Взаимосвязь успешности обучения с характеристиками внимания и уровнем интеллектуального развития

  • Вид работы:
    Дипломная (ВКР)
  • Предмет:
    Психология
  • Язык:
    Русский
    ,
    Формат файла:
    MS Word
    461,74 Кб
  • Опубликовано:
    2013-03-11
Вы можете узнать стоимость помощи в написании студенческой работы.
Помощь в написании работы, которую точно примут!

Взаимосвязь успешности обучения с характеристиками внимания и уровнем интеллектуального развития

Введение

Жизнь, это очень сложная структура, система взаимодействия самых разнообразных объектов. Далеко не малую роль в этой системе можно отвести человечеству, цивилизациям.

Известная наша история, это тоже своего рода жизнь, со своими взлётами и падениями. На протяжении всего времени существования известного нам общества, мы чему-то учились, иногда уроки приходилось проходить по нескольку раз, знания же и умения занимали почти всегда одну из самых важных ниш. Сейчас, когда пришла информационная эпоха, их ценность возросла многократно.

Эти знания копились год от года, иногда терялись, иногда заново были найдены. Но неизменным оставалось одно, всегда было стремление их сохранить и приумножить. Имели место самые разнообразные формы и средства переноса информации, будь звуковой, будь графический или символьный.

Человек, это тот, кто наделён целым рядом самых уникальных свойств, и, пожалуй, самое главное свойство дарованное природой, - обучаемость. Обучение, это длительный процесс, который всегда требовал оптимизации, подстройки под психофизические характеристики и свойства человека. И по сегодняшний день, общество уделяет процессу познания много внимания, это важно, как для отдельно взятого человека, семьи, так и для государства в целом, т.к. от этого зависит наше будущее благополучие. Поэтому вопрос «как облегчить и ускорить процесс обучения?» актуален и ныне.

У этого процесса есть масса субпроцессов и характеристик, целью данной работы является определить степени взаимосвязи успешности обучения с характеристиками внимания и уровнем интеллектуального развития студентов одного учебного потока ГУАПа, которые будут объектом исследования, а соотношения их психических способностей с успешностью обучения, - предметом.

Для достижения этой цели будет необходимо решить следующие задачи:

проанализировать исследуемые параметры;

выбрать метод получения информации о контрольной группе;

оценить уровень интеллектуального развития студентов;

определить степень их внимательности;

получить данные об успеваемости;

построить модель соотношения исследуемых характеристик;

произвести анализ построенной модели;

сделать выводы о характере влияния уровней внимания и интеллектуального развития на успешность обучения.

Решение этих задач научным исследованием поможет нам понять степень корректности выдвинутой нами гипотезы, состоящей в следующем: текущая академическая успеваемость больше зависит от интеллектуального развития, чем от уровня внимания, поэтому для её повышения необходимо больше внимания уделять уровню интеллекта.

Научное исследование основано на применении научного метода, предоставляет научную информацию и теории для объяснения природы и свойств окружающего мира.

В связи с этим в этой главе постараемся понять, что известно нам о свойствах и природе интересующих нас фактов, выберем оптимальный научный метод получения и обработки информации, произведём анализ полученных результатов.

1. Общие понятия

Чтобы приступить к получению и обработке данных необходимо не только выбрать методы, которые позволят это сделать, но и понять какая именно информация нас интересует, какие у неё специфические и общие характеристики, особенности, для этого введём несколько понятий и постараемся рассмотреть их структуру.

Интеллект

Интеллект, или говоря иначе, умственное развитие, в настоящий момент это понятие вызывает большой интерес и самые различные споры, уже существует масса разнообразных теорий и гипотез. Структура же его до конца не исследована, что затрудняет его исследования. Так, например можно выделить три теории о природе интеллекта: первая предполагает, что интеллектуальное поведение может проявляться в таких способностях, как рассуждение, воображение, инсайт, суждение и адаптируемость; вторая говорит, что следует выделять только три фундаментальных познавательных процесса (абстрагирование, научение и оперирование с новым); третья же утверждает, что существует так называемый генеральный фактор, который, как предполагалось, лежит в основе всех интеллектуальных функций.

Теории интеллекта в свою очередь каждый раз жёстко увязаны к системе оценок, которая отражает социальные и культурные особенности общества.

Столь ажиотажный спрос на различного рода тесты можно обосновать тем, что именно от способности быстро и качественно принимать решения зависит умение извлекать выгоду из опыта и управлять самыми различными системами, а значит показатель IQ имеет значение при приёме на работу, при социализации в жизни в целом. Это впрочем может грозить дискриминационными последствиями.

Общие понятия об интеллекте

Примем наиболее общим определением интеллекта следующее:

Интеллект - это способность, которая объединяет все познавательные способности индивида: ощущение, восприятие, память, представление, мышление, воображение.

Так же интересным и содержательным можно посчитать утверждение Холодной М.А., что «интеллект - это система психических механизмов, которые обусловливают возможность построения «внутри» индивидуума объективной картины происходящего».

Как отмечает М.А. Холодная «с психологической точки зрения назначение интеллекта - создавать порядок из хаоса на основе приведения в соответствие индивидуальных потребностей с объективными требованиями реальности» .

Долгие годы монополия в изучении интеллектуальных возможностей человека принадлежала тестологии.

Самым первым предположением о природе интеллекта были рассуждения Фр. Гальтона, однако он, заблуждаясь, отнёс его к врождённым фнукциям психики, таким как реакция и чувствительность.

В 1905 г. А. Бине и Т. Симон - в связи с запросами правительства найти способ отличать неспособных детей создали первую серию тестов (30 заданий). Они же впервые выдвинули идею о влиянии окружающей среды на особенности познавательного развития; однако интеллект в их понятии ограничивался только достигнутым на данный момент уровнем изучаемых особенностей (то есть репродуктивной его стороной).

Как уже говорилось, существуют различные теории природы и структуры интеллекта, но можно выделить две основные тенденции в развитии представлений об интеллекте:

Признание общего фактора интеллекта;

Отрицание какого-либо общего начала интеллектуальной деятельности и утверждение существования множества независимых интеллектуальных способностей.

Рассмотрим их поподробнее.

) Целостный интеллект

Наиболее ярким представителем и, даже можно сказать основополжником этой теории является К. Спирмен, который определил двухфакторную систему, в которой general factor (g) есть собственно интеллект сущность которого сводится к индивидуальным различиям в «умственной энергии» (его составляет сумма результатов всех тестовых заданий); фактор s - характеризует специфику каждого конкретного задания.

Так например Дж. Равен выделял продуктивный интеллект, который производил оценку настоящего, на основе которой создавались алгоритмы действия в других схожих ситуациях, за реализацию же этих алгоритмов отвечал равеновский репродуктивный интеллект. Именно подобные размышления о его структуре привели к созданию теста «матрицы Равена».

Ровно так же и Р. Кеттелл в своих исследованиях разделял эти два основных интеллекта с тем отличием, что продуктивный интеллект был им назван кристаллизованным, а репродуктивный процессуальным, текущим.

В свою очередь, Ф. Вернон, разделяет фактор g на два основных групповых фактора: вербально-цифровой-образовательный и механико-пространственный-практический.

) Множественность и независимость интеллектуальных способностей

Основоположниками и исследователями интеллекта с позиции крайней дифферентности его природы, являются Терстоун, Гилфорд, Р. Стенберг и Ягер.

Так Л. Терстоун определил семь основных умственных способностей, или факторов, к которым он отнёс:

пространственный;

восприятие;

вычислительный;

вербальное понимание;

беглость речи;

память;

логическое рассуждение.

Дж. Гилфорд, создал структурную модель, основными критериями классификации факторов которой были тип операции, форменное содержание материала и, собственно, конечный продукт, который получался в результате реализации самых разнообразных интеллектов.

А. Ягер предложил «берлинскую модель структуры интеллекта» предусматривающую две его основы:

операции (в том числе скорость, память, креативность);

содержание (в том числе вербальное, цифровое, наглядное). Общий интеллект - продукт взаимопересечений всех типов операций и всех типов содержаний.

Так же интересными можно считать 5 критериев интеллектуальной одарённости Р. Стенберга:

Критерий превосходства (тестового);

Критерий редкости (нетипичности);

Критерий продуктивности;

Критерий демонстративности (повторяемости);

Критерий ценности (для данной культуры).

Здесь следует отметить, что одарённость это такая особенность человека, которая позволяет создавать что-то субъективно-объективно новое.

Необходимо указать, что все создатели тестологических моделей в конечном итоге приходили к выводу, что существует как многофакторная, так и однофакторная природа интеллекта, что вполне объяснимо высокой степенью сложности всех природных систем в целом, что нет ничего однозначного. В то же время тесты, которые были разработаны для определения умственных способностей, являются удачным инструментом для выявления некоторых психических отклонений, так же эти тесты направлены скорее на определения умения решать какие-то практические задачи или оценку социализированности, культурной адаптированности. Поэтому будем в дальнейшем аккуратны в трактовке результатов тестов.

Теория множественности интеллектов Гарднера

Рассмотрим отдельно теорию Говарда Гарднера, т.к. она качественно отличается от всех ранее представленных. И рассматривает интеллект как совокупность многих способностей.

Гарднер разработал критерии, предпосылками которых являются психологические, антропологические, биологические, культурологические закономерности, которые уже выявлены человечеством.

Используя эти критерии, Говард Гарднер оценил множество способностей и выделил семь соответствующих способностей, которые он классифицирует и определяет, как интеллекты:

Языковой

Логико-математический

Музыкальный

Пространственный

Телесно-кинестетический

Интраперсональный

Интерперсональный

Интеллект естествоиспытателя

Этот список может быть продлён в соответствии с новыми открытиями в самых различных областях миропознания человека.

Теория множественного интеллекта базируется на двух важных, по мнению Гарднера, утверждениях. Во-первых, все люди обладают всеми видами интеллекта. Во-вторых, так же как все мы обладаем разной внешностью, неповторимыми особенностями темперамента и личности, так же мы обладаем и различными интеллектуальными профилями.

Одна из отрицательных черт данной концепции заключена в сложности оцифровки и численного представления данных, что на наш взгляд является вопросом математической статистики и времени.

Замечательной же чертой можно считать предпосылку к тому, что, составив правильный психологический портрет «мировосприятия» ребёнком или взрослым человеком, можно составить такую программу обучения, которая будет эффективна. Уже сейчас мы наблюдаем реструктурирование образовательных процессов. Что позволяет говорить о возможности полнее реализовать свой интеллектуально-социальный потенциал.

Формы проявления интеллекта

Мы можем утверждать, что интеллект это некоторый параметр, некоторая оценка средней эффективности решения самых различных задач, т.е. КПД умственной деятельности. Субпараметрами или качествами человеческого интеллекта можно назвать пытливость и глубина ума, его гибкость и подвижность, логичность и доказательность:

В свободной интернет-энциклопедии приводятся следующие качества человеческого интеллекта:

любопытство - стремление разносторонне познать то или иное явление в существенных отношениях, лежащее в основе активной познавательной деятельности;

глубина ума - способность отделять главное от второстепенного, необходимое от случайного;

гибкость и подвижность ума - способность человека широко использовать имеющийся опыт, оперативно исследовать предметы в новых связях и отношениях, преодолевать шаблонность мышления;

логичность мышления - способность соблюдения строгой последовательности рассуждений, с учётом всех существенных сторон в исследуемом объекте, всех возможных его взаимосвязей;

доказательность мышления - способность к использованию в нужный момент фактов и закономерностей, подтверждающих правильность суждений и выводов;

критичность мышления - способность строгой оценки результатов мыслительной деятельности для отбрасывания неправильных суждений, выводов и решений (способность отказываться от начатых действий, если они противоречат требованиям задачи);

широта мышления - способность к всестороннему охвату объекта мыслительной деятельности с учётом исходных данных задачи и многовариантности её решений.

Многие из этих субфакторов поддаются внешнему влиянию или корректировке, так существует некоторый ряд исследований показавший, что групповое мышление может оказать весьма значительное влияние на позицию отдельного человека. Из этого следует, что СМИ, формирующие культуру и стереотипы критически важный орган социума, при помощи которого можно изменять уровень общественного интеллекта.

Восемь основных подходов к формированию интеллекта

Многие учёные, в том числе и Холодная М.А., выделяют восемь основных подходов к формированию и природе интеллекта, к ним относят:

Феноменологический подход: интеллект представляет собой систему внезапно порождающую решения вследствие произведённой ею реструктуризации познаваемого окружения (В. Келлер.; К. Дункер,; М. Вертгеймер; Дж. Кемпион и др.).

Генетический подход: интеллект рассматривается как биопсихическая структура, которая имеет своё развитие в рамках онто- и филогенезов, вследствие необходимости адаптироваться к окружающей среде (У.Р. Чарльзворт; Ж. Пиаже).

Социо-культурный подход: интеллект неотъемлемый продукт социальной деятельности человека (Дж. Бруннер; Л. Леви-Брюль; А.Р. Лурия; Л.С. Выготский и др.).

Процессуально-деятельностный подход: интеллект предлагается расценивать, как характеристику мыслительных процессов, позволяющую производить объективизации окружающей действительности (С.Л. Рубенштейн; А.В. Брушлинский и др.).

Образовательный подход: интеллект есть продукт формирующийся в процессе обучения или разрешения задач (А. Стаатс; К. Фишер; Р. Фейерштейн и др.).

Информационный подход: интеллект как совокупность элементарных процессов переработки информации (Г. Айзенк,; Э. Хант; Р. Штернберг и др.).

Функционально-уровневый подход: интеллект как система разноуровневых познавательных процессов (Б.Г. Ананьев; Е.И. Степанова; Б.М. Величковский и др.).

Регуляционный подход: интеллект рассматривается как фактор саморегуляции, возбуждения и торможения, психической активности (Л.Л. Терстоун и др.).

Соотношение мышления и интеллекта

В этом разделе мы произведём сравнение этих двух понятия, взяв для простоты за первичные определения следующие утверждения.

Интеллект - способность к мышлению.

Мышление - процесс оценки и принятия решений используя интеллектуальные способности.

Значительное внимание этому вопросу уделил Дружинин В.Н. Он приводит весьма самодостаточное утверждение: «Мышление и интеллект - близкие по содержанию термины. Термину «мышление» мы можем поставить в соответствие слово «обдумывание». Слово «ум» выражает свойство, способность, а «обдумывание» - процесс. Таким образом, оба термина выражают различные стороны одного и того же явления. Человек, наделенный интеллектом, способен к осуществлению процессов мышления. Интеллект - это способность к мышлению, а мышление - процесс реализации интеллекта.»

В то же время необходимо отметить ещё одну отечественную созданную Ананьевым Б.Г. теорию о структуре и природе интеллекта, которая первую очередь она основана на стимул-реакционности поведения любого живого существа и человека в том числе.

Согласно этой теории мышление выступает не как нечто отдельное, но тесно связанное с интеллектом, а как его непосредственная высшая форма, которая проявляется в случае если совместное действие восприятия, внимания, памяти не разрешили поставленную задачу.

Как ни странно, здесь будет весьма уместным указать, что современные персональные компьютеры, стремящиеся упростить решение задач, требующих интеллектуального напряжения, обладают различной структурой, однако подавляющее большинство из них имеют центральный процессор, оперативную память, материнскую плату, жёсткий диск, различные средства ввода и вывода информации.

Подобное устройство в контексте мышление-интеллект мы сможем интерпретировать следующим образом: характеристика быстродействия процессора, частота, может быть неким аналогом уровня интеллекта, мышление же это процесс обработки данных, которые в свою очередь поступают из аналога хранилища жизненного опыта, жёсткого диска, и мгновенно поступающей за счёт персептивных органов, требующей немедленной обработки информации, подобно содержанию оперативной памяти. Однако принципы и алгоритмы работы, координируемой посредством материнской платы, задаются инженерами-технологами, и компьютер не в состоянии создавать какие-либо иные нестандартизованные подходы и решения. Подобный пример может подтверждать идею Дружинина о различных задачах и характеристиках мышления и интеллекта, как самостоятельных, но непрерывно взаимодействующих образований, результатом совместной работы которых является решение задач или составление новых систем реакций и поведения.

Индивидуальные особенности интеллекта

Индивидуальные особенности интеллекта определяются структурой интеллекта, как мы писали ранее, она вызывает массу споров. В частности интересен аспекты связности субспособностей, «переносимости», т.е. степень эффективности «перенесённого интеллекта» из одной сферы деятельности в другую, так же важен аспект наличия общего механизма выполнения любой интеллектуальной деятельности или системы отдельных локальных механизмов.

Факторный анализ является таким математическим методом, который позволяет обнаружить корреляции между параметрами системы выявить их организационную структуру интеллекта. Подробнее о факторном анализе можно прочитать в многочисленных руководствах.

Так, например, К. Спирмен, положивший в 1927 г. начало разработке факторного анализа, производил его по отношению к своим G-фактору и S-факторам. Так он определил три промежуточных фактора интеллекта: числовой, пространственный и вербальный. Фактор G оказался наиболее значимым для некоторых конкретных операций, что говорит о неполной слабой централизованности интеллекта вокруг некого единого «ядра».

Главным оппонент Спирмена Л. Терстоун, так же прибег к факторному анализу и подтвердил, что ряд независимых способностей определяют успешность интеллектуальной деятельности.

Так же имела место «кубическая» модель Д. Гилфорда. Он полагал, что наши способности определяются тремя основными категориями: операциями, содержанием и продуктами.

Так например любая задача имеет тот или иной вид содержания, предполагает осуществление определенной операции, которая приводит к соответствующему продукту.

В настоящее время, однако, математические методы Гилфорда подвергнуты резкой критике. Показано, что его данные могут быть легко объяснены, исходя из другой факторной модели.

В то же время Е. Торранс, последователь Гилфорда, извлёк практическую пользу и разработал тест креативности.

Обобщая здесь сказанное, отметим, что уровень интеллекта, в общем понимании, есть некоторый интегральный показатель, который в действительности связан с самыми различными проявлениями психики, однако несёт достоверную информацию об общем состоянии всей мыслительной деятельности.

Возрастные, половые и социальные особенности интеллекта

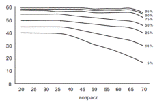
Как мы уже определились ранее уровень интеллекта подвержен изменению, однако есть некоторый ряд особенностей который связан с возрастными, половыми и социальными характеристиками отдельно взятого человека. Так, например, выявлено, что в большинстве случаев, в которых наблюдались хорошие или высокие показатели интеллектуального развития в детстве, наблюдался и пропорциональный рост уровня интеллекта по отношению к возрасту. Причём может происходить как естественно обусловленный рост интеллекта, так и его снижение.

Сложная структура интеллекта не однозначна в своих изменениях, что можно связать с тем, что входящие в неё субструктуры изменяются с разными частотами, т.е. в разное время ведут себя по разному.

В подтверждение сказанному Дружинин В.Н. приводит график зависимости интеллекта от возраста, составленный на основании использования теста Равена.

Продуктивная способность как функция возраста

Так же исследователи на основе экспериментальных данных выявили интеллектуальную акселерацию, которая предполагает учёт изменений среды. Ведь не секрет, что сейчас темп жизни ускорился и приходится решать самые разнообразные задачи почти мгновенно. Поэтому люди, рождённые сейчас, обладают отличным от прошлых лет уровнем интеллекта, но это связано в первую очередь со временем решения задач и опытом, полученным в течение жизни. Однако этот процесс, на наш взгляд, временно начнёт претерпевать векторные изменения, т.к. сейчас многое из того, что нужно было делать самостоятельно заменено различными инструментами, которые упрощают жизнь, а следовательно не способствуют научению в большем смысле.

Необходимо понимать, что опыт в формировании интеллектуальных способностей имеет одну из самых ключевых ролей в решении задач. Поэтому рост IQ наблюдается в течении всего периода активной умственной деятельности.

Социальный аспект выражается в характере деятельности, семейных отношениях в детстве, уровня имущественного благополучия, в условиях элитарного образования. Так, например, далеко не всем желающим открыты двери Йельского университета, предполагается, что качественное образование в несоциальноориентированных государствах могут быть в основном материально благополучные люди. Характер деятельности, будь-то рабочей, будь «повседневной» так же оказывает влияние, что вполне объяснимо тем, что именно характер интенсивности умственной деятельности для каждого случая различен, в то же время нужно помнить о кругозоре и интересах отдельного человека. Семейные взаимоотношения и среда в которой развивался и рос человек, в которой он сейчас пребывает, оказывает вполне закономерное влияние, что обуславливается структурой познания человека.

Так например Р. Зайонц исследовал такую частность, как зависимость интеллекта детей от их количества в семье, порядка и интервала их рождения (рис. 3). Для этого он ввел понятие «интеллектуальный климат», который определяется средним интеллектом членов семьи. Из построенного им графика видно, что среда социально личностных взаимоотношений оказывает значительное влияние на умственное развитие отдельно взятого индивида, что говорит о необходимости более жёсткого контроля и более высокого понимания родителями многодетных семей своих задач и целей.

Зависимость интеллекта детей от их количества в семье, порядка и интервала их рождения

Однако среда не является единственным фактором, т.к. любые качества человека формируются путём взаимодействия его физиологии, устоявшихся систем мировосприятия с внешней средой. Однако же интенсивность и качество внешних влияний могут иметь весьма значимый характер.

Другой вопрос в сфере психологии интеллекта, который вызывает идеологические дискуссии, - это гендерные различия. В принципе существуют уже сформированные модели гендерного поведения, которые прививаются каждому с детства. Поэтому при выборе некоторых приоритетов ориентируются на устоявшиеся модели. Даже само общество располагает этому, облегчая интеграцию среднестатистических мужчин и женщин. В то же время нельзя отрицать некоторые психофизиологические особенности деятельности головного мозга. Так, например, принято считать, что у женщин более развито «интуитивное» полушарие, а у мужчин «логическое». Что тоже является своеобразным стереотипом. Впрочем, так же очевидно, что мировосприятие формируется от взаимодействия, в том числе и физиологических особенностей с внешней средой.

Поэтому природа различий в интеллектуальных способностях крайне многогранна и как многое другое в человеке сводится к генетике и среде.

Внимание

Внимание, согласно Маклакову А.Г., является одним из психических процессов и характеризуется направленностью и сосредоточенностью психической деятельности.

Общие понятия о внимании

Как и любое свойство деятельности психической системы человека, являет собой сложную структуру, обладающую своими определяющими характеристиками.

Внимание, как и интеллект, вызывает массу споров, что в случае внимания обусловлено тесной связью с самыми различными психическими процессам, а значит присутствует некоторая неоднозначность приравнивания его к ним.

Оно тесно переплетается с познавательными и волевыми психическими процессами, т.к. процесс познания не возможен без волевой концентрации внимания на изучаемый предмет. В то же время нужно отметить, что организм человека это система, а элементы любой системы так или иначе связаны.

Вне мышления, восприятия, работы памяти, движения внимание не существует, оно приложено ко всем этим процессам.

Выделяют также свойства, или параметры внимания:

концентрация внимания выражается в степени сосредоточенности на объекте;

устойчивость характеризуется длительностью сосредоточенности, умением не отвлекаться в течение определенного периода времени;

объем внимания характеризуется количеством одновременно воспринимаемых объектов;

распределение - способность одновременного выполнения нескольких действий;

переключение - способность менять направленность внимания, переходить от одного вида работы к другому

отвлекаемость - характеризует степень неустойчивости внимания

Выделяют следующие типы внимания:

непроизвольное - характеризуется отсутствием целенаправленного волевого акта;

произвольное - характеризуется наличием целенаправленного волевого акта;

послепроизвольное - характеризуется целенаправленностью, но отсутствием волевых усилий.

Соответственно от уровней свойств и типа внимания зависит степень эффективности выполнения той или иной задачи. Т.к. задачи это и есть жизнь, то существует объективная необходимость в высоком качестве внимания.

Основные функции внимания

Основная функция внимания это активизация и торможение различных патологических и физиологических процессов. Оно так же способствует фильтрации и усилению поступающей в организм информации, влияет на координацию деятельности органов чувств, обеспечивает избирательную и длительную сосредоточенность психической активности на одном и том же объеме или виде деятельности.

Таким образом, внимание обеспечивает чёткость и ясность сознания, осознание смысла психической деятельности в тот или иной момент времени.

Теории внимания

Интересные и противоречивые свойства внимания привлекали к нему взгляды многих ученых, которые по-разному объясняли происхождение и сущность внимания. Н.Н. Ланге выделил такие основные подходы к проблеме внимания:

Внимание как результат двигательного приспособления.

Внимание как результат ограниченности объема сознания.

Внимание как результат эмоции.

Внимание как результат апперцепции, т.е. как результат жизненного опыта индивида.

Внимание как особая активная необъяснимая способность духа.

Внимание как усиление нервного раздражителя.

Теория нервного подавления объясняет основной факт внимания - преобладание одного представления над другим - тем, что лежащий в основе первого физиологический нервный процесс задерживает или подавляет физиологические процессы, лежащие в основе других представлений и движений, результатом чего является факт особой концентрации сознания.

Все эти теории опираются на реальные факты, но абсолютизируя выделенные феномены, они игнорируют все остальные проявления. Правильно понять феномен внимания можно лишь в совокупности всех его свойств.

Среди отечественных психологов П.Я. Гальперин выдвинул оригинальную трактовку внимания. Основные положения его концепции заключаются в следующем:

внимание является одним из моментов ориентировочно-исследовательской деятельности и представляет собой психологическое действие, направленное на содержание образа, мысли, другого феномена, имеющегося в данный момент в психике человека;

по своей функции внимание представляет контроль над этим содержанием. В каждом действии человека есть ориентировочная, исполнительская и контрольная части. Последняя и представлена вниманием как таковым;

в отличие от действий, направленных на производство определенного продукта, деятельность контроля, или внимание, не имеет отдельного особого результата;

с точки зрения внимания, как деятельности психического контроля, все конкретные акты внимания - и произвольного и непроизвольного - являются результатом формирования новых умственных действий.

Итак, внимание - направленность и сосредоточенность сознания на каком-либо реальном или идеальном объекте, предполагающие повышение уровня сенсорной, интеллектуальной или двигательной активности индивида.

Физиологическая основа внимания

С точки зрения физиологии внимание, есть определённая степень активности конкретных мозговых центров, сообразно текущей ситуации или необходимости переключаться с одного предмета на другой.

Так, раздражение систем нервных клеток и узлов отвечающих за синхронизацию внешних сигналов вызывает появление быстрых электроколебаний в коре головного мозга, что приводит к снижению скоординированности и чувствительности, это становится необходимым для концентрации внимания на конкретных объектах, чтобы не происходило «отвлечений». Собственно можно сказать, что в этом и выражен ориентировочный рефлекс, выраженный в торможении активности одних и возбуждении целевых отделов головного мозга, что обуславливается в законе индукции нервных процессов.

Выделяют две основные системы осуществления процессов внимания: периферическая и центральная. К периферической относят координацию и получение информации от органов чувств. Центральные же механизмы внимания связаны собственно с перераспределением активностей соответствующих нервных клеток. силой нервных возбуждений, которая в первую очередь зависит от силы внешнего раздражения. Более сильные возбуждения подавляют возникающие одновременно с ними слабые возбуждения и определяют течение психической деятельности в соответствующем направлении. Согласно А.А. Ухтомскому это перераспределение определяется степенью важности, доминантности, конкретных процессов. Именно так и становится возможным эффективно использовать ресурсы головного и спинного мозга.

Так же, исходя из электрохимической природы нервных импульсов, можно утверждать, что генетически обусловленные принципы построения нервной системы, а в частности сети нейронов, структуры головного и спинного мозга определяют скорость передачи и обработки сигналов. В то же время нужно понимать, что организм сложная система, а значит генетически установлены лишь алгоритмы возможного построения, а непосредственное структурирование происходит в процессе онтогенеза и зависит уже от внешнесредовых факторов.

Таким образом, внимание обусловлено деятельностью целой системы зависимых между собой мозговых систем, находящимися в строго алгоритмированных соотношениях. Что говорит о необходимости системных, взвешенных внешних влияний.

Виды внимания

Современная нам наука выделяет три вида внимания произвольное, непроизвольное и послепроизвольное.

Непроизвольное внимание есть механизм реакции на внешние «неожидаемые» возбудители, причём порядок и алгоритм действия этого механизма связан со скоростью возбуждения и торможения психической системы, с ранее полученным опытом жизни, который обуславливает некоторые шаблонности поведения, а так же связан с характером возбуждающего воздействия и общими состояниями фоновой среды.

Произвольное же внимание теснейшим образом связано с волей, оно так же влияет на степень возможной концентрации на конкретных предметах. Можно сказать, что оно скорее определяется жизненными установками и приоритетами, может трактоваться, как непосредственное координирование и регулирование психических процессов.

Отдельно выделяют названное Н.Ф. Добрыниным послепроизвольное внимание, которое можно понимать, как следствие произвольного внимания, причём продолжающее быть под контролем воли, но находящееся в автономном режиме, который может, как усиливаться, так и распадаться в зависимости от степени непроизвольного интереса к изучаемому, обрабатываемому предмету. Эта автономность и позволяет выполнять длительную и монотонную работу.

Основные свойства внимания

Генеральными характеристиками, параметрами внимания являются устойчивость, концентрация, распределение, переключение и объем внимания.

Устойчивость - это такое свойство внимания, которое определяет длительность концентрации на определённом объекте. В целом это можно соотнести с количеством и полезным качеством усилий, которые необходимо прилагать для поддержания сосредоточенности.

Концентрация внимания - это параметр, отражающий возможности перераспределения и использования психических ресурсов для решения конкретной задачи, с уменьшением энергетических издержек на другие процессы. Так например А.А. Ухтомский полагал, что концентрация является следствием возбуждения в доминантном очаге при одновременном торможении остальных зон коры головного мозга.

Под распределением внимания, в отличии от концентрации, следует понимать распределение ресурсов не для решения одной задачи, а для решения сразу многих с наибольшей эффективностью. Здесь следует уточнить, что концентрация и распределение действуют всегда вместе, просто степень их проявленности для разных процессов и задач различна.

Переключение внимания может быть определено, как скорость и характер изменения структуры распределения и концентрации внимания, в том числе степень их проявленности, в зависимости от качества и необходимости оптимизации ресурсов психики.

Объем внимания - это своеобразная оперативная память человека, которая ровно так же как и компьютерная имеет ограниченный характер, а количество информации, которое может быть в ней содержаться зависит от степени умения сжатия и структуризации информации, которая подлежит обработке.

Мы посчитали важным выделить такую особенность внимания, как отвлекаемость - это понятие напрямую связано с утомляемостью нервной системы и с порогом устойчивости концентрации, к внешним и, что не мало важно, внутренним влияниям

Возрастные особенности внимания

Внимание, имеет свои фазы развития, пропорционально развитию психики и физиологии, а в частности основных центров внимания. Наибольшие изменения в структуре внимания происходят в детстве, т.к. именно в этот период происходит наиболее интенсивное структурирование организма человека.

Именно внимание является одной из основ развития, т.к. оно начинает наиактивнейшее проявляться в самом раннем периоде жизни. Благодаря вниманию мозгу поставляется информация об окружающем мире, которая затем структурируется создавая первичные алгоритмы действий и мыслительных процессов, которые затем глубоко укореняются в нашем взрослом сознании. Другой вопрос, что настройка исходных параметров восприятия имеет достаточно непредсказуемый характер, отсюда можно сделать вывод, что у каждого человека создаётся различный интеллектуальный потенциал, а так же различное мировосприятие.


Локализация основных центров внимания (по картине активации зон коры), связанных с обработкой семантической информации (М. Познер, С. Петерсен): а - латеральная; б - медиальная сторона полушария (из Н.Н. Даниловой)

Естественно, что гормональные и социальные факторы в течение всего развития и жизни организма оказывают весьма значимое влияние, на уровень внимания. Т.к. наибольшая стабильность, как социальная так и физиологическая имеет место в «средние года», то в этот период в среднем наблюдается константность показателей уровня внимания у людей.

Отдельную важность внимание представляет для процессов обучения, т.к. именно внимание позволяет концентрироваться на не представляющим интереса процесса обучения. Здесь можно сделать заключение, что для успешной обучаемости, как учеников (7-17 лет), так и людей больших возрастов, необходимо построить учебный процесс в соответствии с утомляемостью и интересами обучающихся, в то же время, надо понимать, что именно преодоление препятствий является наиболее важным фактором развития и приспособленности.

Отсутствие сложных задач и почти полная остановка регенерационных процессов в «старости», приводит к постепенному снижению способностей внимания и появлению различных отклонений от «взрослой нормы».

В некоторое заключение можно сказать, что для сбалансированного и даже успешного развития организма необходимо создавать соответствующие психофизиологические условия, здесь имеет важность как питание, так и социальная среда роста и взаимодействий. Природа же позаботилась о многочисленных предохранителях от перегрузок, что в значительной степени способствует гармоничности личности и человека в целом.

Успеваемость

Академическая успеваемость обучающегося может быть определена как степень совпадения реальных и запланированных результатов учебной деятельности. Академическая успеваемость находит отражение в балльной оценке. Успешность обучения это также эффективность руководства учебным процессом, обеспечивающего высокие результаты при минимальных затратах.

Наиважнейшей предпосылочной характеристикой успеваемости является обучаемость, выраженная в приобретенной учащимися внутренней готовности к различным психологическим перестройкам и преобразованиям в соответствии с новыми программами и целями дальнейшего обучения. То есть общая способность к усвоению знаний. Важнейшим показателем обучаемости является то количество дозированной помощи, которая необходима учащемуся для достижения заданного результата. Результатом взаимодействия процесса обучения и способности обучаться является обученность, представляющая собой запас усвоенных понятий и способов деятельности. То есть система знаний, умений и навыков, соответствующая норме (заданному в образовательном стандарте ожидаемому результату).

Процесс усвоения знаний осуществляется поэтапно в соответствии со следующими уровнями:

различения или узнавания предмета (явления, события, факта);

запоминания и воспроизведения предмета, понимания, применения знаний на практике и переноса знаний в новые ситуации.

Качество знаний оценивают по таким показателям, как их полнота, системность, глубина, действенность, прочность.

Одним из основных показателей перспектив развития учащегося является способность ученика к самостоятельному решению учебных задач (близких по принципу решения в сотрудничестве и с помощью учителя).

В качестве внешних критериев эффективности процесса обучения принимают:

степень адаптации выпускника к социальной жизни и профессиональной деятельности;

темпы роста процесса самообразования как пролонгированный эффект обучения;

уровень образованности или профессионального мастерства.

Обучение, наравне с вниманием и интеллектом, имеет массу субпараметров, однако для простоты сравнения и увеличения эффективности будет взят интегральный показатель успеваемости, и в частности средний балл за все периоды обучения студента в ГУАПе. Показатели же других интересующих характеристик мы получим в следующем параграфе.

. Сбор и подготовка необходимой информации

Ключевым шагом является сбор информации. Для корректного выполнения данной задачи необходимо выбрать оптимальные методики получения данных.

Информация должна соответствовать некоторым стандартным требованиям, к которым относят:

объём должен быть достаточным;

достоверность информации;

при сборе информации должен вестись логический, арифметический и другие виды контроля;

доступность информации;

оперативность информации (своевременность, актуальность данных);

однородность информации по месту, времени, технологии;

экономичность получения (временные затраты);

учёт погрешности результатов.

Руководствуясь этими ограничениями, мы при помощи математической статистики оценим достаточность имеющегося исследуемого массива информации, будем следить за методической корректностью выполнения оценочных мероприятий, выберем наиболее нейтральную среду, такую как учебная аудитория университета, для выполнения выбранных методик, будем исследовать взаимосвязи психических характеристик у людей принадлежащих одной учебной группе, выбирая способ получения сведений, учтём временные ограничения, а в выводах критически оценим результаты.

Итак, выберем методики оценки психических характеристик внимания и интеллекта, академическая же успеваемость уже получена, путём вычисления среднеарифметического балла по всем дисциплинам всех прошедших семестров обучения.

Выбор методики получения эмпирических данных

Ввиду того, что целью нашей работы являются психологические свойства и их оценочные значения, нами будут выбраны психодиагностические методы, частным случаем которых являются проективные методики, которые, в свою очередь, могут быть бланковыми, опросными и рисуночными.

Методики оценки интеллекта

В начале XX века Чарльз Спирман показал, что если человек хорошо решает одни задачи, то он успешен и в решении других, то есть, что все интеллектуальные способности статистически связаны. Как мы уже писали, Спирман ввёл «фактор g» общего интеллекта, показывающий эффективность выполнения всех познавательных задач. На практике оказалось, что «фактор g» трудно измерить напрямую. Однако на его основе удалось сформулировать величины, которые измерить возможно и которые представляют собой приблизительные меры g. Одним из таких параметров является коэффициент интеллекта (IQ).

Существуют различные способы оценки уровня интеллекта, но наиболее распространёнными и эффективными являются тесты. Рассмотрим самые распространённые и признанные из них.

Тест интеллекта Айзенка

Тест Айзенка - тест коэффициента интеллекта (IQ), разработанный английским психологом Гансом Айзенком. На данный момент известно восемь различных вариантов теста Айзенка на интеллект.

Тесты предназначены для оценки интеллектуальных способностей (по шкале от 0 (теоретически) до 180 баллов) для людей в возрасте от 18 до 50 лет, имеющих образование не ниже среднего. Коэффициент интеллекта (англ. IQ - intelligence quotient) - количественная оценка уровня интеллекта человека: уровень интеллекта относительно уровня интеллекта среднестатистического человека такого же возраста. Определяется с помощью специальных тестов. Тесты IQ рассчитаны на оценку мыслительных способностей, а не уровня знаний (эрудированности). Коэффициент интеллекта является попыткой оценки фактора общего интеллекта (g).

Тесты IQ разрабатываются так, чтобы результаты описывались нормальным распределением со средним значением IQ, равным 100 и таким разбросом, чтобы 50% людей имели IQ между 90 и 110 и по 25% - ниже 90 и выше 110.

Эти тесты предназначены для общей оценки интеллектуальных способностей с использованием словесного, цифрового и графического материала с различными способами формулировки задач.

Таким образом, можно надеяться на нейтрализацию недостатков достоинствами; к примеру, человек, который хорошо справляется со словесными заданиями, но плохо решает арифметические задачи, не получит каких-либо преимуществ, но и не окажется в невыгодном положении, так как оба вида задач представлены в тестах примерно поровну.

Прогрессивные матрицы Равена

Следующий метод носит название, - прогрессивные матрицы Равена (Raven Progressiv Matrices) - тест интеллекта. Предназначен для измерения уровня интеллектуального развития. Предложен Л. Пенроузом и Дж. Равеном в 1936 г. Прогрессивные матрицы Равена разрабатывались в соответствии с традициями английской школы изучения интеллекта, согласно которым наилучшим способом измерения фактора «g» является выявление отношений между абстрактными фигурами.

Согласно Равену - это тест испытания способностей воспринимать определенные формы, охватывать их особенности, характер, взаимные отношения или ансамбль, совокупность отношений, а поэтому он требует по отдельным задачам метода логических рассуждений. Автор не считает, что таким образом можно производить измерения некоего абсолютного интеллекта, однако существующие результаты дают понять, что измеренные тестом мнения и навыки в определенной мере репрезентуют интеллект.

Перцептивная шкала матриц опирается или основана на 2-х теориях:

на теории восприятия форм, развитой гештальтпсихологией;

на теории неогенеза К. Спирмена.

При решении заданий выступает 3 основных психических процесса:

внимание, внимательность (внимание отделяется от восприятия и мышления);

восприятие, восприимчивость;

мышление, понятливость.

При решении задач внимание сильно напряжено, поддерживает стремление (интерес) к решению. Оно требует концентрированного вниман6ия в объеме и распределении. При снижении внимания всегда появляются ошибки. Кроме внимания, выступает воля и эмоции.

Поэтому испытание прогрессивными матрицами Равена не является тестом «всеобщего интеллекта», а испытывает остроту и точность внимания и ясность мышления. В данном случае речь идет об определении способности к систематизации в мышлении и планомерности или методичности, а не о самом интеллекте. Тесты Равена - невербальные испытания, свидетельствующие о том, что вербализация как мыслительный процесс в их решении значения не имеет.

Существует два варианта теста:

Цветной вариант (предназначен для детей от 5 до 11 лет и иногда рекомендуется для лиц старше 65 лет).

Черно-белый (для обследования подростков 14-16 лет и взрослых от 16 до 65 лет).

Материал черно-белого варианта состоит из 60 матриц с пропущенными элементами.

Задания разделены на 5 серий (А, В, С, D, Е) по 12 однотипных, но возрастающих по сложности матриц в каждой серии. Трудность заданий возрастает также при переходе от серии к серии.

Испытуемый должен выбрать недостающий элемент матрицы среди 6, 8 предложенных вариантов.

При необходимости первые 5 заданий серии А испытуемый может выполнять с помощью экспериментатора.

Каждая серия заданий составлена по определенному принципу:

А - принцип взаимосвязи в структуре матриц;

В-аналогия между парами фигур;

С - принцип прогрессивных изменений в фигурах матриц;

D - принцип перегруппировки фигур;

E - принцип разложения фигур на элементы.

Серия А. От испытуемого требуется дополнение недостающей части изображения. При работе с матрицами этой серии реализуются следующие мыслительные процессы:

дифференциация основных элементов структуры и раскрытие связи между ними;

идентификация недостающей части структуры и сличение их с образцами.

Психологическое значение: решение зависит от уровня внимательности, уровня статистического представления, воображения и уровня визуального различия (дискриминации).

Серия В. Сводится к нахождению аналогий между двумя парами фигур. Испытуемый раскрывает этот принцип путем постепенной дифференциации элементов. При решении используется способность постигать симметричность между фигурами.

Психологическое значение: способность к линейной дифференциации и суждение (умозаключение) на основе линейных взаимосвязей.

Серия С. задания этой серии содержат сложные изменения фигур в соответствии принципам их непрерывного превращения и развития по вертикали и горизонтали и суммирование этих новых элементов в конечной недостающей фигуре.

Психологическое значение: проявляется способность к динамической (быстрой) наблюдательности и прослеживание непрерывных изменений, динамическая внимательность и воображение, способность представлять.

Серия D. Составлена по принципу перестановки фигур матрицы по горизонтальному и вертикальному направлению. Решение требует проследить закономерную последовательность и чередование фигур в целостной структуре.

Психологическое значение: решение зависит от способности схватывать количественные и качественные изменения в упорядочении (составлении) фигур согласно закономерности использованных изменений.

Серия Е. процесс решения задач заключается в анализе фигур основного изображения и последующей сборки недостающей фигуры по частям (аналитико-синтетическая деятельность мозга). Здесь требуется складывать и вычитать элементы фигур, смешивать части согласно алгебраическому принципу. Недостающий член структуры находиться с помощью алгебраических операций с остальными членами структуры.

Психологическое значение: способность наблюдать сложное количественное и качественное развитие кинетических, динамических рядов. Высшая форма абстракции и динамического синтеза.

Тест «Прогрессивные матрицы Равена» относится к числу невербальных тестов интеллекта и основывается на двух теориях, разработанных гештальт-психологией: теорией перцепции форм и так называемой «теорией неогенеза» Ч. Спирмена.

Согласно теории перцепции форм каждое задание может быть рассмотрено как определенное целое, состоящее из ряда взаимосвязанных друг с другом элементов. Предполагается, что первоначально происходит глобальная оценка задания-матрицы, а затем осуществление аналитической перцепции с выделением испытуемым принципа, принятого при разработке серии. На заключительном этапе выделенные элементы включаются в целостный образ, что способствует обнаружению недостающей детали изображения. Теория Ч. Спирмена углубляет рассмотренные положения теории перцепции форм. Как показывает опыт многолетних исследований, данные, полученные с помощью теста Равена, хорошо согласуются с показателями других распространенных тестов: Векслера, Стенфорд-Бине, ШТУРа, Выготского-Сахарова.

Данные, полученные с помощью прогрессивных матриц Равена, хорошо согласуются с показателями других распространенных тестов общих способностей. Так, коэффициенты корреляции между результатами теста (серии ABCDE) и шкалами измерения интеллекта Векслера составляют 0,70-0,74; для испытуемых в возрасте 9-10 лет - 0,91; со шкалами умственного развития (Станфорд-Бине) - 0,66; с тестом Выготского-Сахарова - 0,54. Наиболее высока корреляция оценок прогрессивных матриц Равена с группой арифметических тестов (0,74-0,87). Коэффициент надежности теста, по данным различных исследований, варьирует от 0,70 до 0,89. Средняя трудность заданий теста - 32,12%. Показатель прогностической валидности теста (по связи с критериями успеваемости) - 0,72.

Существуют модификации прогрессивных матриц Равена. Одна из таких модификаций предложена автором (Дж. Равен в сотрудничестве с Д. Кортом, 1977, 1982). Оригинальный материал теста претерпел значительные изменения - были усложнены задания, введены новые серии. Существенной особенностью является дополнение теста вербальной шкалой (Mill Hill Vocabulary Scales), что, по мнению разработчиков, в немалой мере способствует расширению области применения теста. Интересная модификация прогрессивных матриц Равена, а также процедуры обследования предложена югославскими психологами (З. Буяс, 1961). В их варианте предусмотрена дифференцированная форма оценки ответов обследуемых. От них требуется указать на три фрагмента из тех, которые предложены для восполнения матрицы: точно подходящий, подходящий более-менее и совершенно не подходящий. Это дает возможность качественной оценки результатов, отпадает также необходимость в использовании индекса вариабельности. Прогрессивные матрицы Равена, благодаря простоте применения, валидности и надежности результатов, возможности группового обследования, получили широкое распространение в психодиагностике. В отечественных исследованиях тест успешно используется при обследовании детей и взрослых (С.М. Морозов, 1979, 1980 и др.).

Прогрессивные матрицы Равена предназначены для определения уровня умственного развития у детей ментального возраста (1-4 класс массовой школы). Матрицы Равена могут применяться на испытуемых с любым языковым составом и социокультурным фоном, с любым уровнем речевого развития.

Тест Равена может быть использован как в качестве теста скорости (время выполнения 20 минут), так и в качестве теста результативности (без ограничения времени).

Тест интеллекта Векслера

Ещё одна система получения данных, носящая название «тест интеллекта Векслера», является наиболее распространенным для оценки уровня интеллектуального развития и определения структуры психического дефекта у взрослых.

Тест позволяет получить представление не только об общем уровне интеллекта, но и об особенностях его структуры. Тест Векслера состоит из 11 отдельных методик-субтестов, разделенных на 2 группы, - б вербальных и 5 невербальных. Каждый тест включает от 10 до 30 постепенно усложняющихся вопросов и заданий.

К вербальным субтестам относятся задания, выявляющие общую осведомленность, общую понятливость, способности, нахождение сходства, воспроизведения цифровых рядов и т.д.

К невербальным субтестам относятся следующие: шифровка, нахождение недостающих деталей в картине, определение последовательности картин, сложение фигур. Выполнение каждого субтеста оценивают в баллах с их последующим переводом в унифицированные шкальные оценки, позволяющие анализировать разброс.

Учитывают общий интеллектуальный коэффициент (IQ), соотношение «вербального и невербального» интеллекта, анализируют выполнение каждого задания. Количественная и качественная оценки выполнения заданий дают возможность установить, какие стороны интеллектуальной деятельности сформированы хуже и как они могут компенсироваться.

Низкий количественный балл по одному или нескольким субтестам свидетельствует об определенном типе нарушений. Выделяют качественные и количественные признаки, характерные для той или иной формы нервно-психической патологии.

Согласно Российскому стандарту диагностики и лечения психических и поведенческих расстройств, при определении степени умственной отсталости IQ устанавливается только батареей Векслера.

Обоснование выбора методики оценки уровня интеллекта

В результате оценки приведённых тестовых методик был выбран тест Айзенка, как наиболее адекватный целям оценки интеллекта, т.к. прогрессивные матрицы Равена, хоть и являются более глубокими, но предназначены для тестируемых категории школьного возраста, а тест интеллекта Векслера слишком трудоёмок в реализации, хоть и даёт приблизительно такую же оценку интеллекта испытуемого.

Методики оценки внимания

Внимание, так же как и интеллект, относится к психологическим свойствам человека и может быть подвергнуто психодиагностике самыми различными системами тестирования. Представим некоторые из них.

Корректурная проба Бурдона

Корректурная проба впервые была предложена Бурдоном в 1895 г., и используется для выявления устойчивости внимания и способности к его концентрации. Обследование проводится при помощи специальных бланков, на которых приведен ряд букв (или цифр), расположенных в случайном порядке. Обследуемый просматривает ряд и вычеркивает определенные указанные в инструкции буквы (или цифры). При этом через каждые 30 или 60 секунд исследователь делает отметки в том месте таблицы, где в это время находится карандаш испытуемого, а также регистрирует время, затраченное на выполнение всего задания. О достаточной устойчивости и концентрации внимания свидетельствуют показатели: время затраченное на выполнение заданий и количество ошибок.

Известны следующие основные модификации:

Кольца Ландольта. Корректурный бланк содержит случайный набор колец с разрывами, направ ленными в различные стороны. Такой вариант более удобен для обследования детей младшего возраста

Модификация В.Я. Анфимова. Стандартная процедура пробы Бурдона дополнена тем, что в определенное время экспериментатор, не предупреждая испытуемых, вводит помехи, называя вслух в течение 15 с какие-либо буквы алфавита. Это позволяет определить степень влияния помех на устойчивость внимания испытуемого.

Модификация А.Г. Иванова-Смоленского. Набор различных вариантов сочетаний букв (например: СХ или СХ и ХВ)

Последующие две методики используют вычисления, как материал для оценки способностей внимания человека.

Счет по Крепелину

Методика была предложена Крепелиным в 1895 г. для исследования работоспособности - упражняемости и утомляемости.

В большой столбец записывалось много однозначных чисел, которые испытуемый должен складывать в уме. Результаты оценивались по количеству сложенных в определенный промежуток времени чисел и допущенных при этом ошибок. Для проведения опыта необходим специальный бланк.

Обследуемому дается инструкция - производить сложение чисел в столбцах. Каждые 30 с или каждую минуту исследующий делает отметку в том месте, где в это время остановился испытуемый, затем подсчитывает количество сложений и допущенных ошибок для каждого отрезка времени.

С помощью графика можно получить кривые работоспособности - равномерность и темп выполнения задания, наличие истощаемости, врабатываемости, расстройства внимания.

Кривые утомляемости:

гиперстенический - начало выполнения задания в быстром темпе и очень рано проявляется истощаемость. В последующем эпизодически отмечается кратковременное улучшение показателей, но, в целом, обычно не достигая первоначального уровня;

гипостенический - отмечается постепенное увеличение времени и постепенная истощаемость, которая увеличивается без резких колебаний.

Самый низкий результат сложенных пар отмечается к концу задания.

Чем больше пиков, тем больше напряжение воли, внимания.

Отсчитывание

Методика была предложена Крепелином - возможности осуществления испытуемым счетных операций, состояние внимания.

Опыт заключается в вычитании от 100 или 200 все время одного и того же числа, например, 7. Испытуемого предупреждают, что считать он должен про себя, а вслух только называть полученное при очередном вычитании число.

Промежутках между числами хронометрируются. Запись опыта приобретает следующий вид:

(100-7)..93…86…79…72…65..58.51..44..37.30.23.16.2.

При наличии повышенной истощаемости длительность пауз в конце - увеличивается.

Возможны два вида ошибок.

Первый - ошибки в единицах и главным образом при переходе через десяток - свидетельствует о некоторой интеллектуальной недостаточности, например:

(100-7)..93…. 85….78..71….64….58 и т.д.

Второй - ошибки в десятках - характерен главным образом для исследуемых с неустойчивым вниманием. Например:

…86…69..62…..55…38 и т.д.

Отыскивание чисел по таблицам Шульте

Методика применяется для исследования темпа сенсомоторных реакций и особенностей внимания. Исследование производится с помощью специальных таблиц, изготовление которых несложно. На этих таблицах в беспорядке расположены числа от 1 до 25. Размер таблицы - 60х60 см. Обследуемый находится на таком расстоянии от таблицы, чтобы видеть ее целиком. Ему дается инструкция отыскивать числа по порядку, каждое показать указкой и назвать вслух. Секундомером отмечается время, которое затрачивается на каждую таблицу.

Можно отмечать количества чисел, найденных обследуемым за каждые 30 с, либо время, за которое обследуемый находит каждые пять чисел.

Обычно испытуемые ведут поиск чисел в таблицах равномерно, а иногда даже наблюдается у них ускорение темпа сенсомоторных реакций в последующих таблицах.

Устойчивость внимания по Риссу «Перепутанные линии»

Методика, предложенная Риссом, определяет устойчивость внимания при его сосредоточении и влияние длительной работы на концентрацию внимания. Модификацией теста Риссу является проба переплетенных линий Рея.

Перед испытуемыми на бланке ряд перепутанных между собой линий. Каждая из них начинается слева и заканчивается справа. Задача состоит в том, чтобы проследить каждую линию слева направо и в той клетке, где она заканчивается, проставить ее номер. Начинать нужно с линии 1, затем перейти к линии 2 и т.д. до конца. Следить за линиями надо только глазами; помогать себе пальцами, карандашом нельзя.

Задание выполняется испытуемыми за время, устанавливаемое и фиксируемое экспериментатором, который следит за тем, что преобладает у испытуемого установка на скорость или на точность; уверен ли в себе испытуемый, проверяет ли себя или нет; испытывает ли трудности при прослеживании (в начале, середине или конце задания); пытается ли он помочь себе (несмотря на запрет) пальцем, карандашом. При этом можно фиксировать время, за которое испытуемый прослеживает каждые 5 линий по порядку (с 1 по 5, с 6 по 10 и т.д.), что даст возможность судить о влиянии утомления на выполнение задания. В этом случае бланк протокола исследования такой же, как для таблиц Шульте. После окончания работы следует спросить испытуемого о том, какие трудности он испытывал, считает ли он, что хорошо справился с заданием или нет, и почему он так считает.

Полученные показатели в результате обработки данные интерпретируют, исходя из того, что ошибки в прослеживании линий и медленный темп работы (большое время поиска) при нормальной остроте зрения свидетельствует о слабой концентрации внимания. Об устойчивости (или наоборот, истощаемости) концентрированного внимания судят по сохранению (либо) снижению темпа работы от начала к концу задания.

Обоснование выбора методики оценки внимания

Проанализировав приведённые виды тестирования, приходим к выводу, что наиболее оптимальным способом получения оценки внимания является метод «Перепутанных линий» Рисса, ввиду наибольшей простоты проведения и достаточной точностью определения показателей внимания. Возможности получения интегрального показателя внимания, а так же в связи с тем, что нам необходимо в дальнейшем оценить влияние степени развитости внимания в целом на успеваемость. Что вполне согласуется с ограничением в виде необходимости проводить массовый результативный тест, чтобы сэкономить время и создать одинаковые условия выполнения.

Порядок проведения тестирования

Наиболее важным является точное следование методикам, т.к. отклонения от предложенного порядка может привести к некорректной интерпретации результатов, что недопустимо в условиях, когда мы хотим, на основе данного исследования делать какие-либо конструктивные выводы.

Порядок проведения теста Айзенка

Для проведения теста направленного на оценку внимания испытуемых нам понадобятся следующие инструменты тестирования:

персональный компьютер;

программа с автоматизированным тестом Айзенка;

бланк учёта

пишущие инструменты.

Предполагается, что тест будет проходиться в стандартных условиях, т.е. без значительных внешних и внутренних помех.

Порядок обработки результатов IQ-теста

Результаты тестирования получаются автоматически от электронно-вычислительной машины, на которой это тестирование проводилось. Эти данные будет необходимо переписать в заготовленные таблицы (Приложение 5).

Порядок проведения теста на внимание по Риссу «Перепутанные линии»

Для проведения теста направленного на оценку внимания испытуемых нам понадобятся элементарные инструменты тестирования:

специальные бланки (см. приложение 2,3,6);

секундомер;

бланк учёта;

пишущие инструменты.

Перед началом теста необходимо прочитать следующую инструкцию:

«Перед Вами на бланке ряд перепутанных между собой линий. Каждая из них начинается слева и заканчивается справа. Ваша задача проследить каждую линию слева направо и в той клетке, где она заканчивается, проставить ее номер. Начинать нужно с линии 1, затем перейти к линии 2 и т.д. до конца. Следить за линиями надо только глазами; помогать себе пальцами, карандашом нельзя. Старайтесь работать быстро и не делать ошибок». Т.к. опыт проводится коллективно, то в инструкцию добавим: «По команде «стоп» прекращаете выполнять задание теста». Ввиду состава испытуемой группы будет задан 15 минутный интервал.

Следующим неотъемлемым этапом исследования является обработка результатов, от которой в не малой степени зависит степень корректности конечных утверждений, которые будут получены в выводах.

Обработка сводится к подсчету (с помощью заранее заготовленного «ключа») числа правильно прослеженных линий (количества ошибок и числа линий, оставшихся непрослеженными).

После получения индивидуальных показателей количества правильно прослеженных вычисляются соответствующие средне-групповые оценки, строятся 95%-ные доверительные интервалы и делаются диагностические выводы. Результаты можно сравнивать с данными, полученными на различных контингентах испытуемых.

Критерии оценки по методике «Перепутанные линии»:

19 и более - отлично;

4 - 9 - удовлетворительно;

10 - 18 - хорошо;

3 и менее - неудовлетворительно.

Обработка полученных данных

Итак, все необходимые приготовления были произведены, затем была выполнена сама оценка психических характеристик, частный пример выполнения всех тестовых заданий представлены в приложении 3. Исходные средние показатели академической успеваемости указаны в приложении 5.

Обработка результатов теста интеллектуальных способностей

По результатам теста Айзенка, мы получили следующие оценки интеллекта:

Тестируемый

IQ

Тестируемый

IQ

Тестируемый

IQ

Тестируемый

IQ

студент 1

100

студент 47

102

студент 24

111

студент 36

99

студент 2

110

студент 13

106

студент 25

119

студент 37

91

студент 3

103

студент 14

106

студент 26

101

студент 38

94

студент 4

106

студент 15

124

студент 27

111

студент 39

85

студент 5

115

студент 16

93

студент 28

94

студент 40

95

студент 6

105

студент 17

112

студент 29

114

студент 41

116

студент 7

113

студент 18

83

студент 30

84

студент 42

114

студент 8

98

студент 19

115

студент 31

102

студент 43

94

студент 9

93

студент 20

100

студент 32

95

студент 44

122

студент 10

107

студент 21

90

студент 33

106

студент 45

108

студент 11

106

студент 22

114

студент 34

118

студент 46

92

студент 12

109

студент 23

105

студент 35

121



Обработка результатов теста на внимание

Ввиду чрезмерной нагруженности теста «перепутанные линии» мы использовали упрощённую систему оценки характеристики внимания, сводящуюся к определению количества правильно прослеженных линий за отведённое время, составившее 15 мин.

Результаты получены следующие:

Тестируемый

Показатель внимания

Тестируемый

Показатель внимания

студент 1

14

студент 25

19

студент 2

13

студент 26

14

студент 3

14

студент 27

13

студент 4

13

студент 28

19

студент 5

15

студент 29

19

студент 6

14

студент 30

14

студент 7

16

студент 31

18

студент 8

14

студент 32

13

студент 9

15

студент 33

14

студент 10

14

студент 34

16

студент 11

13

студент 35

19

студент 12

16

студент 36

17

студент 13

19

студент 37

15

студент 14

19

студент 38

20

студент 15

20

студент 39

13

студент 16

16

студент 40

19

студент 17

17

студент 41

16

студент 18

13

студент 42

19

студент 19

18

студент 43

15

студент 20

12

студент 44

18

студент 21

16

студент 45

20

студент 22

17

студент 46

16

студент 23

13

студент 47

16

студент 24

15



3. Построение множественного уравнения регрессии

интеллект внимание мышление регрессия

Построение множественного уравнения регрессии входит в состав регрессионного анализа, - метода математической статистики, позволяющий изучать зависимость среднего значения какой-либо величины от вариации другой величины или нескольких величин (в этом случае применяется множественный Р. а.). Так Ф. Гальтон, назвал закономерность определенного соотношения между ростом родителей и их взрослых детей примером регрессии. Регрессионный анализ используется преимущественно в эмпирических психологических исследованиях при решении задач, связанных с оценкой какого-либо влияния, при конструировании психологических тестов и т.д.

Так и мы, используя полученные статистические данные, построим уравнение многофакторной регрессии, управляя модулем «Множественная регрессия» в пакете программ «STATISTICA», и оценим адекватность полученных моделей. Для проведения анализа мы сделали выборку данных о психических и академических способностях студентов 4 факультета. Количество наблюдений в выборке - 47. Целью анализа является выявление степени зависимости успеваемости от уровня внимания, которые и стали факторными признаками со следующими названиями:

Успеваемость (Средняя успеваемость студентов за предыдущие периоды обучения)

Интеллект (Уровень интеллекта, полученный тестом Айзенка)

Внимание (Показатель уровня внимания, полученный методом «перепутанных линий»)

Составление матрицы исходных данных

Исходные данные в программе STATISTICA:


 

Поскольку исходные данные являются различными характеристиками: несут различные смыслы и измеряются в разных физических единицах, поэтому, чтобы осуществление анализа стало возможным, необходимо все данные стандартизовать.

Составление матрицы парных коэффициентов корреляции

Следующий шаг - составление матрицы парных корреляций. Для этого воспользуемся коэффициентом ранговой корреляции Спирмэна, который может быть применен и к качественным, и к количественным характеристикам, если они проранжированы.

Проверка значимости парных коэффициентов корреляции на основе t-критерия Стьюдента

Видно, что все коэффициенты корреляции значимы при уровне р=0,05. Для того, чтобы коэффициент корреляции между успеваемостью и показателем внимания стал не значимыми по t-критерию Стьюдента, вероятность ошибки надо уменьшить до 1%.

Анализ матрицы парных коэффициентов корреляции на наличие мультиколлинеарности

Из матрицы видно, что существует средняя зависимость (0,77) между факторными признаками: успеваемостью и вниманием, а интеллект и внимание связаны слабо (0,37). Сильных и очень высоких корреляций не выявлено, на этом основании решаем, что в нашей модели нет мультиколлинеарности и все факторы уместны. На основании этого можно использовать статистические методы для обработки наших параметров и данных.

Построение уравнения многофакторной регрессии посредством пошагового регрессионного анализа


Модель нам дала следующее уравнение:

Успеваемость=0,681*Интеллект+0,257*Внимание

Построение уравнения многофакторной регрессии посредством пошагового регрессионного анализа

На первом шаге видно, что наибольшее влияние на успеваемость оказывает уровень интеллекта.



Итак, академическая успеваемость языком математики может быть записана следующим образом: Успеваемость=0,681*Интеллект+0,257*Внимание

значимости коэффициентов регрессии на основе t-критерия Стьюдента

Согласно t-критерию Стьюдента все коэффициенты регрессии являются значимыми при вероятности ошибки 5%. Все отобранные факторы вошли в модель и все коэффициенты существенны, что свидетельствует о правильном выборе факторных признаков.

Коэффициент детерминации R2=0,66; а скорректированный коэффициент детерминации - 0,64. Это значит, что построенная модель описывает лишь 64% данных из рассматриваемой выборки. Такая величина является недостаточной для признания модели пригодной для прогнозирования (64%<85%).

Проверка значимости уравнения регрессии на основе F-критерия, Фишера-Снедекора

Расчетное значение F-критерия больше критического значения критерия Фишера-Снедекора (42.2>3.2).

Рис. 8

Из этого следует, отвергается гипотеза об отсутствии множественной корреляционной связи между x1 и (х2, х3) на уровне значимости 0,01. Т.е. взаимосвязь присутствует с вероятностью 95%.

Оценка статистической значимости уравнения регрессии, содержащего статистически значимые параметры

Коэффициент детерминации R2=0,66; а скорректированный коэффициент детерминации - 0,64. Это значит, что построенная модель описывает лишь 64% данных из рассматриваемой выборки. Такая величина является недостаточной для признания модели пригодной для прогнозирования (64%<85%). Однако полученные результаты позволяют делать обобщённые выводы.

Математико-психологическая интерпретация уравнения регрессии

В процессе построения множественного уравнения регрессии мы получили некоторый ряд показателей, прокомментируем их.

Так, например, согласно построенной модели, если уровень интеллекта будет на единицу выше, то происходит рост успеваемости в среднем на 0,681. Причем нужно помнить, что данные были стандартизованы, и анализировались не сами значения показателей, а их отклонения от среднего. Таким образом, происходит не рост непосредственно успеваемости, а ее отклонения от среднего.

Для качественных характеристик проведем анализ знаков: в нашем случае оба исходных параметра, как внимание, так и интеллект, входят с положительным знаком и значит находятся в прямой зависимости с успеваемостью. Т.е., увеличение значения переменных приведёт к росту результирующего признака «Успеваемость». Можем сказать, что эти положительные коэффициенты отражает реальную ситуацию: т.к. внимательный и концентрированный слушатель, обучающийся воспримет больше информации, нежели когда он будет распылён на различные объекты, в то же время, лишь обладая определёнными знаниями в контексте алгоритмов решения задач можно эффективно обработать получаемые знания.

Коэффициент детерминации R2≈0,64 показывает, что на 64% вариации уровня успеваемости объясняются вошедшими в модель показателями. Остальная часть обусловлена действием неучтенных факторов.

Заключение

Результатом нашего исследования стало заключение, что на успеваемость студентов влияют не только интеллект и внимание, хотя интеллект обладает наибольшим вкладом. Было весьма затруднительно учесть такие исходные параметры, как настроение, социальная среда развития, взаимоотношения в семье, текущие жизненные цели и задачи, степень умения / неумения решать некоторые прикладные задачи. Все эти неучтённые параметры говорят нам о том, что всегда будет некоторая погрешность связанная с невозможностью знать все характеристики исходного состояния. В то же время было выяснено, что внимание оказывает значительное влияние на уровень интеллектуального развития, что подтверждается структурой предложенной А.Г. Маклаковым, которая предполагает вхождение внимания в интеллект на правах составляющей.

Следствием этих результатов является подтверждение выдвинутой гипотезы о том, что текущая академическая успеваемость больше зависит от интеллектуального развития, чем от уровня внимания, поэтому для её повышения необходимо больше внимания уделять уровню интеллекта.

Однако следует указать, что в лонгитюдном исследовании могут получиться отличные результаты, ввиду того, что внимание не только оказывает, пусть, меньшее, но, всё же, прямое влияние на успеваемость, но и, что самое главное, участвует в формировании интеллекта на протяжении всей жизни.

На этом основании выдвигаем новую гипотезу, которая может стать темой нового научного исследования: развитие внимания - основа повышения интеллекта и студенческой успеваемости.

Список использованной литературы

1) Маклаков А.Г. Общая психология - СПб. Питер, 2001. - 592 с.

) Холодная М.А. Психология интеллекта. Парадоксы исследования. - 2-е изд., перераб. и доп. - СПб.: Питер, 2002, - 272 с.

) Келер, В., Некоторые задачи гештальтпсихологии / Хрестоматия по истории психологии Под ред. П.Я. Гальперина, А.Н. Ждан. М., 1980. 362 с.

) Вертгеймер М., Психология продуктивного мышления. М.: Прогресс, 1987, - 336 с.

) Дункер К., Качественное (экспериментальное и теоретическое) исследование продуктивного мышления // Психология мышления. М., 1965, - 533 с.

) Добрынин Н.Ф., Внимание и его воспитание, М.: Правда, 1951 г., - 32 с.

) Дружинин В.Н., Психология, - СПб.: Питер, - 2009, - 656 с.

) Дункер К., Психология продуктивного (творческого) мышления // под ред. Матюшкина А.М., Психология мышления, - М., 1965, - 533 с.

) Пиаже Ж. Психология интеллекта // Избранные психологические труды. М.: Просвещение 1969 г., - 659 с.

) Рубинштейн С.Л., Избранные философско-психологические труды, - М.: Наука, 1997, - 445 с.

) Г.Ю. Айзенк, Узнай свой собственный IQ, - Кострома: Ай Кью, 1995, - 168 с.

) Хант Э. Искусственный интеллект - М.: Мир, 1978. - 558 с.

) Корректурная проба (Тест Бурдона) / Альманах психологических тестов. М., 1995, С. 654

) Краткий психологический словарь / Сост. Л.А. Карпенко; Под общ. ред. А.В. Петровского, М.Г. Ярошевского. - М.: Политиздат, 1985. - 431 с.

) Ананьев, Б.Г. Очерки психологии/ Б.Г. Ананьев; Ин-т философии АН СССР. - Л.: Лениздат, 1945. - 160 с

Похожие работы на - Взаимосвязь успешности обучения с характеристиками внимания и уровнем интеллектуального развития

 

Не нашли материал для своей работы?
Поможем написать уникальную работу
Без плагиата!
Без нейросетей!