Оценка энергоресурсных характеристик и показателей надежности перспективной космической термоэмиссионной ЯЭУ
Введение
Анализ проблемных вопросов обеспечения надежности перспективных КА с ЯЭУ
и создаваемых на их основе космических систем показал, что срок активного
существования КА и уровень готовности КС будет в значительной степени
определяться энергетическими характеристиками термоэмиссионных ЯЭУ.
Важным достоинством термоэмиссионных ЯЭУ является возможность
комплексного решения двух задач: форсирования уровня выходной электрической
мощности ЯЭУ в 2-2.5 раза на участке выведения КА на рабочую орбиту и обеспечения
их бесперебойного электропитания в течении 7-10-летнего срока активного
существования КА.
Требуемый уровень электрической мощности, генерируемой ЯЭУ в номинальном
режиме, определяется решаемыми целевыми задачами КА. Что касается уровня
электрической мощности ЯЭУ в форсированном режиме, то его выбор оказывает
существенное влияние на время выведения КА на орбиту. Так, при увеличении
электрической мощности ЯЭУ на форсированном режиме уменьшается время выведения
КА на орбиту. Это позволяет сократить время развертывания орбитальной системы и
ее восполнения при отказах отдельных КА, что, при фиксированном уровне
долговечности объектов, приводит к повышению готовности орбитальной космической
системы в целом. Однако повышение уровня выходной электрической мощности ЯЭУ на
форсированном режиме кроме положительных результатов приводит к отрицательным
последствиям. В частности, ускоряются процессы деградации характеристик ЯЭУ и
ее элементов, процессы деформации оболочек электрогенерирующих элементов (ЭГК)
, закупорки их газоотводных устройств, что приводит к замыканию ЭГЭ и , в
итоге, к уменьшению запаса ресурса энергоустановки .
Структура и
состав ЯЭУ.
Структурная схема ЯЭУ второго поколения представлена на рисунке 1.
К числу унифицированных решений и элементов ЯЭУ-25 и ЯЭУ-50 можно
отнести:
ЭГК;
цезиевую систему (отдельные узлы ЦС отличаются лишь размерами креплений);
преобразователи тока и напряжения САУ;
приводы ОР и СБ;
замедлитель;
холодильник-излучатель.
Большинство элементов и узлов ЯЭУ-25 и ЯЭУ-50 не имеют существенных
различий, разработаны по одинаковой принципиальной схеме. Их параметры, по
существу, лишь переносятся на заданные значения выходных характеристик.
К числу основных отличий ЯЭУ-25 и ЯЭУ-50 относятся:
различные уровни тепловой мощности в форсированном и номинальном режимах
работы и продолжительность (ресурс) работы ЯЭУ-25 и ЯЭУ-50 в данных режимах;
различное количество ЭГК в активных зонах РП-25 и РП-50 и схемы их
коммутации, количество и рабочие токи в ветвях ЭГК;
различные свободные объемы сердечников ЭГК;
различная загрузка активных зон РП-25 и РП-50 по топливу;
наличие выгорающего поглотителя в РП-50 (3 вставки).
Рисунок 1 - Структурная схема ЯЭУ второго поколения
ЯЭУ - ядерная энергетическая установка
ЯЭБ - ядерный энергетический блок
САУ - система автоматического управления
КС - кабельная сеть
БПГП - блок подпитки гидридной полости РП
СР - система развертывания ЯЭБ
ЭН - стартовые электронагреватели
ПрОР - привод органов регулирования
ПрСБ - привод стержней безопасности
РП - реактор-преобразователь
РЗ - радиационная защита
СТО - система теплоотвода
ПИП - первичные управляющие и информационные преобразователи
СКК - силовая конструкция и крепеж
КС - кабельная сеть ЯЭБ
ЦС - цезиевая система
ОР - органы регулирования
ИО - исполнительные органы САУ
КЭГК - комплект ЭГК
Зам - замедлитель
Отр - отражатель
Корп - корпус
СБ - стержни безопасности
ХИ - холодильник-излучатель
ЭМН - электромагнитный насос
КБ - компенсационный бак
Лов -ловушка
Кл - клапан
ГПЦ - генератор паров цезия
Нак - накопитель
Схемы
коммутации и распределения ЭГК в активных зонах
В составе ЯЭУ-25 и ЯЭУ-50 используются унифицированные девятиэлементные
ЭГК. Схемы коммутации ЭГК в активных зонах РП -25 и РП-50 представлены на
рисунках 2 и 3.
Рисунок
2 - Схема коммутации ЭГК в активной зоне РП-25.
Рисунок 3 - Схема коммутации ЭГК в активной зоне РП-50.
Как видно из рисунков 2 и 3, в активной зоне РП-25 электрогенерирующие
каналы скоммутированы в две ветви, а в активной зоне РП-50 - в четыре ветви.
Количественное распределение ЭГК по рядам и ветвям РП-25приведены в
таблице 3.
Таблица 3- Количественное распределение ЭГК по рядам и ветвям РП-25
|
Номер ветви
|
Номер ряда
|
Количество ЭГК в ветви
|
|
Центр.
|
1
|
2
|
3
|
4
|
|
|
1
|
1
|
3
|
3
|
14
|
30
|
|
2
|
0
|
3
|
6
|
9
|
10
|
28
|
|
Всего
|
1
|
6
|
9
|
18
|
24
|
58
|
Значения коэффициентов неравномерности тепловыделения в рядах и свободных
объемов сердечников ЭГК в активной зоне РП-25 приведены в таблице 4.
Таблица 4 - Коэффициенты неравномерности тепловыделения по рядам ЭГК
РП-25
|
Ряд
|
Количество ЭГК, шт
|
Неравномерность при рабочем положение СУЗ
|
Свободный объем сердечника, %
|
|
Центр.
|
1
|
1,04
|
23,7
|
|
1
|
6
|
1,16
|
23,7
|
|
2
|
9
|
1,14
|
23,7
|
|
3
|
18
|
1,07
|
31,8
|
|
4
|
24
|
0,90
|
31,8
|
Требования
надежности
Под надежностью ЯЭУ понимается свойство данного объекта сохранять
исправное состояние при наземной эксплуатации и работоспособность на всех
режимах его функционирования в заданных условиях применения по назначению в
течение назначенного ресурса (в данном случае равного 7 годам работы).
Обобщенным показателем надежности ЯЭУ является вероятность безотказной
работы ЯЭУ в течение назначенного ресурса (с учётом пятилетнего хранения),
значение которой должно быть не менее 0,98.
Устанавливаются следующие требования к показателям надежности ЯЭУ на всех
периодах (режимах) ее эксплуатации:
вероятность безотказной работы ЯЭУ в форсированном режиме в течение
назначенного ресурса, не превышающего 6 месяцев, Рфр> 0,995;
вероятность безотказной работы ЯЭУ в номинальном режиме в течение
назначенного ресурса, не превышающего 6,5 лет, Рнр> 0,985.
При проектировании ЯЭУ должны быть реализованы принципы и механизмы
обеспечения отказоустойчивости. Должен быть обеспечен временной резерв и
программно-аппаратные средства для парирования последствий ошибочно выполненных
операций, команд, единичных сбоев и отказов элементов ЯЭУ.
Выход из строя одного элемента не должен приводить к отказу аппаратуры
САУ данного изделия.
Виды и
критерии отказов ЯЭУ и ее составных частей
Под отказом ЯЭУ понимается событие, заключающееся в достижении такого
состояния, когда она не способна поддерживать заданный уровень выходной
электрической мощности либо ее дальнейшая работа приведет к разрушению
конструкции.
Причинами возникновения этого состояния могут быть следующие события:
) внезапные отказы элементов ЯЭУ, в том числе:
потеря герметичности магистралей жидкометаллического контура;
потеря герметичности цезиевой системы;
пробой изоляции в электрических цепях;
обрыв электрических цепей ЯЭУ;
отказ преобразователей тока и напряжения;
отказы приборов и датчиков САУ;
отказы приводов САУ.
) перегрева конструкции РП и достижения предельно допустимого уровня
напряжения деформации, обусловленного перепадом температур теплоносителя по
длине РП, вызванные:
ресурсным снижением выходного напряжения ЭГК;
уменьшением эффективной площади ХИ вследствие метеорного пробоя;
ресурсным снижением КПД ЭМН;
) исчерпания запаса реактивности РП.
Имитационная
модель функционирования ЯЭУ-25
Имитационная модель функционирования ЯЭУ предназначена для оценки
показателей надежности установки, включая вероятность безотказной работы ЯЭУ в
течение заданного времени функционирования в форсированном и номинальном
режимах работы установки при заданных уровнях выходной электрической мощности в
форсированном и номинальном режимах работы.
Имитационная модель функционирования ЯЭУ позволяет адекватно описывать
случайные события и процессы, приводящие к деградации характеристик и отказам
составных частей и установки в целом, с учетом технологических отклонений их
параметров от номинальных значений, а также погрешностей оценки параметров.
В основу ее разработки ИМФ ЯЭУ положены принципы статистического
моделирования случайных процессов и использованы следующие упрощающие приемы:
. Модели состояния составных частей ЯЭУ в распределенных параметрах
сведены к моделям в сосредоточенных параметрах, где осреднение полей параметров
осуществляется на уровне отдельных электрогенерирующих элементов (ЭГЭ)
многоэлементных ЭГК.
2.
Весь период функционирования ЯЭУ Т разбивается на малые и непересекающиеся
интервалы времени:
("принцип
"),
и осуществляется аппроксимация процесса функционирования ЯЭУ.
.
Каждое квазистационарное состояние ЯЭУ приближенно характеризуется постоянными
средними значениями параметров ее составных частей.
.
Процессы деградации характеристик составных частей ЯЭУ описываются моделями,
представляющими собой кусочно-линейные аппроксимации реальных физических
процессов. При этом на каждом интервале времени, соответствующем определенному
квазистационарному состоянию, скорости деградации характеристик элементов
считаются постоянными, а их значения определяются зависимостью от текущих
значений параметров квазистационарного состояния (уровней тепловой мощности,
тока, температуры, давления и др.).
.
Начальные значения параметров составных частей ЯЭУ и ресурсные изменения их
характеристик за заданное время рассматриваются как случайные величины,
распределенные на интервалах заданных технологических допусков, реализуемых при
изготовлении данных изделий.
.
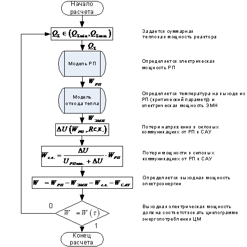
Моделирование функционирования ЯЭУ сводится к попеременному решению двух задач
(см. рисунок 5):
определения
параметров квазистационарного состояния ЯЭУ;
определения
параметров деградации характеристик ЯЭУ при переходе от одного
квазистационарного состояния к следующему квазистационарному состоянию.
Рисунок
5- Схема моделирования функционирования ЯЭУ.
Первая задача решается путем подбора тепловой мощности РП, при которой
генерируемая мощность равна мощности, потребляемой специальной и обеспечивающей
бортовой аппаратурой КА с ЯЭУ.
После
определения параметров квазистационарного состояния ЯЭУ с использованием
моделей деградации характеристик составных частей ЯЭУ определяется их ресурсное
изменение на интервале времени
.
В ИМФ ЯЭУ используются расчетно-экспериментальные данные, полученные с
использованием распределенных моделей ЭГЭ. Перечень этих данных включает
зависимости теплоэнергетических параметров ЭГЭ активной зоны РП-25
(определенной модификации ЭГК) и интенсивности деградации их характеристик в
зависимости от тепловой мощности, выделяющейся в сердечнике ЭГК, тока, значений
внутренних параметров ЭГЭ (степени легирования поверхности эмиттера ниобием,
свободного объема сердечника ЭГЭ, тепловой проводимости между электродами через
пары цезия, работы выхода коллектора в парах цезия, давления цезия в МЭЗ)
Внутри модели квазистационарных состояний (рисунок 6) выделены два
относительно независимых блока: модель термоэмиссионного преобразования
тепловой энергии в электрическую в реакторе-преобразователе (в дальнейшем
«модель РП») и модель отвода тепла с использованием ХИ (в дальнейшем «модель
отвода тепла»). Эти блоки линейны (имеют один вход и один выход), что упрощает
алгоритм в целом, так как нелинейные части алгоритма находятся внутри этих
блоков.
Рисунок
6 - Схема расчета параметров модели квазистационарных
состояний ЯЭУ.
Алгоритм
определения параметров квазистационарных состояний ЯЭУ включает следующие шаги.
На
вход блока «РП» подается значение полной тепловой мощности реактора
, а на выходе считывается значение генерируемой в РП
электрической мощности
.
Определяется
значение отведенной из РП теплоносителем тепловой мощности
.
Полная
тепловая мощность реактора (
)
распределяется следующим образом:
где
- отведенная тепловая мощность;
-
мощность генерируемой РП электроэнергии;
-
тепловая мощность, излученная через обечайку РП;
-
тепловая мощность, отведенная теплоносителем:
,
где
- доля тепловой энергии, которая излучается с
поверхности РП.
Полученное
значение
подается на вход блока модели отвода тепла, а на
выходе считывается мощность, затрачиваемая ЭМН на прокачку теплоносителя
.
Величина
мощности генерируемой электроэнергии
рассчитывается
в модели РП. Часть ее расходуется ЭМН на прокачку теплоносителя
и практически полностью переходит обратно в тепловую
энергию теплоносителя (2/3 непосредственно нагревают ТН, 1/3 излучается, и
поскольку ЭМН находится рядом с ХИ, то излученная энергия в основном
поглощается ХИ). Оставшаяся мощность электроэнергии с учетом потерь в силовых
коммуникациях между РП к САУ
и
собственного потребления САУ (включая органы управления и датчики)
подводится к целевому модулю КА, таким образом,
выходная электрическая мощность реактора W определяется
из выражения:
.
Случайная
величина потерь
определяетсяс использованием выражения:
,
где
- максимальное абсолютное значение допуска на
величину электрических потерь в силовых электрических коммуникациях при
транспортировке электроэнергии на форсированном или номинальном режимах, а
- случайное число с равномерным распределением в
интервале [0,1].
Величина
потерь электрической мощности в силовых электрических коммуникациях
определяется по формуле:
,где
- электрическое сопротивление силовых электрических
коммуникаций от клемм РП до САУ.
При
расчете параметров в модели РП и модели отвода тепла приходится решать задачу
согласования входных и выходных параметров моделей. Суть согласования
параметров в частности в модели РП заключается в подборе такого значения полной
тепловой мощности РП
, при котором реактор вырабатывает заданную графиком W(t) электрическую мощность.
Блок модели
РП
Входной
сигнал задается в виде текущего значения полной тепловой мощности
. Модель РП основывается на расчетно-экспериментальных
ВАХ ЭГЭ в достаточно широких диапазонах изменения
,
и
, полученных по распределенной модели ЭГЭ с
использованием экспериментальных локальных ВАХ. ВАХ ЭГЭ представлены в
координатах
, чтобы определять электроэнергетические
характеристики ЭГЭ по предлагаемой ниже методике.
Электрическая
мощность, генерируемая РП, определяется по формуле:
,
где
- суммарный ток, генерируемый ветвями ЭГК,
- ток v-той ветви.
Напряжение
, создаваемое в цепи РП должно соответствовать
заданному значению (115 В) с учетом потерь напряжения при коммутации
:
.
Токи
ветвей (
) определяются, исходя из условия обеспечения
заданного напряжения на их концах
.
Напряжение
в ветви UV равно сумме напряжений ЭГК ветви:
,
где
- напряжение на i-том ЭГК ветви;
-
количество ЭГК в ветви.
Напряжение
на девятиэлементном ЭГК равно сумме напряжений его ЭГЭ с учетом концевого
сопротивления:
,
где
- концевое сопротивление i-го ЭГК v-той
ветви;
-
напряжение на j-том ЭГЭ i-го ЭГК v-той ветви,
зависящее от тепловой мощности, выделяющейся в сердечнике ЭГК, значений
внутренних параметров ЭГЭ и его состояния (замкнул / не замкнул).
Напряжение
на ЭГЭ определяется путем интерполяции табличных зависимостей напряжения ЭГЭ от
тока ветви
, тепловой мощности, выделяющейся в сердечнике ЭГК
и отклонений внутренних параметров ЭГЭ (работы выхода
коллектора в парах цезия
, тепловой проводимости между электродами
, степени черноты между электродами
и давления паров цезия в МЭЗ
) от номинальных значений:
,
где
- номинальные значения внутренних параметров ЭГЭ;
-
текущие отклонения внутренних параметров ЭГЭ;
-
базовое табличное значение напряжения при номинальных значениях работы выхода
коллектора в парах цезия, тепловой проводимости МЭЗ, степени черноты
электродов, давления цезия в МЭЗ соответственно:
-
отклонение от базового значения напряжения ЭГЭ, обусловленное отклонениями
параметров
от их номиналов.
Тепловая
мощность в канале определяется по формуле:
,
где
- коэффициент неравномерности тепловыделения по
радиусу РП для z-го ряда (кольцевой зоны) реактора, в котором
расположен канал (
);
-
эмпирический коэффициент - доля тепловыделения в ЭГК от общей тепловой мощности
РП;
= 58 -
общее число ЭГК в РП;
-
тепловая мощность реактора, заданная на входе блока модели РП.
Схема
алгоритма расчета параметров модели РП приведена на рисунке 7.
Рисунок
7 - Алгоритм расчета параметров модели термоэмиссионного преобразования
тепловой энергии в электрическую
В соответствии со схемой, представленной на рисунке 7, на выходе модели
РП должно быть получено значение генерируемой электрической мощности при
заданном на входе значении полной тепловой мощности реактора.
Исходные данные по схеме коммутации ЭГЭ и ЭГК, количественному
распределению ЭГК в активной зоне РП-25, коэффициентам неравномерности
тепловыделения в кольцевых зонах и свободным объемам сердечников ЭГК приведены
в разделе «Схемы коммутации и распределения ЭГК в активных зонах» (Рисунок 2,
таблицы 3 и 4).
В состав активной зоны РП-25 входят 58 многоэлементных ЭГК, которые
распределены по 5 рядам реактора и коммутированы в 2 параллельные электрические
ветви.
Модель отвода тепла
В
модели отвода тепла в качестве входного сигнала поступает тепловая мощность,
которая выводится из активной зоны теплоносителем
, а на выходе формируется сигнал о величине
электрической мощности ЭМН затрачиваемой на прокачку теплоносителя
.
В
основе модели отвода тепла лежит уравнение теплового баланса ЯЭУ:
,
-
тепловая мощность, аккумулированная теплоносителем:
Потребление
ЭМН
определяется в частной модели ЭМН в зависимости от
расхода, плотности теплоносителя (как функции от средней температуры ТН) и
характеристик насоса.
Тепловая
мощность, отводимая холодильником-излучателем
,
определяется в частной модели ХИ.
Алгоритм
определения теплового баланса использует уравнение, связывающее величину
отведенной тепловой мощности с перепадом температур в ЖМК:
,
где G - расход теплоносителя;
-
удельная теплоемкость теплоносителя.
В
последнем уравнении два неизвестных
. Для
определения значений этих температур используется блок согласования, в котором
подбирается такие температуры
, при
которых выполняется равенство
. В
соответствии со схемой (рисунок 10) на входе задается значение
. Из данного уравнения определяется соответствующее
значение
.
Рисунок
10 - Схема расчета параметров в модели отвода тепла теплоносителем из РП и его
излучения ХИ.
Полученные
температуры подаются на входы блоков частных моделей ХИ и ЭМН, в которых
определяются:
мощность
тепловой энергии излученной ХИ в космическое пространство
;
мощность
электроэнергии затраченной ЭМН на прокачку теплоносителя
(которая в результате трения при прохождении
теплоносителя по каналам охлаждающего тракта выделяется в виде тепла).
Сумма
отведенной из РП тепловой энергии
и выделившейся
в теплоносителе из-за трения составляют суммарную тепловую энергию
, аккумулированную теплоносителем. Разница
между суммарной мощностью тепловой энергией,
аккумулированной в теплоносителе, и тепловой энергией, излученной в космическое
пространство, сохраняется в таблице
(
). По данным таблицы
(
) строится интерполяционная функция
. В каждой i-той итерации на вход модели
подается такое значение
, при котором
=0. Цикл
продолжается до тех пор, пока
не
станет равной нулю с заданной точностью.
Найденная
в ходе расчетов температура на выходе из РП и перепад температур между входом и
выходом из РП являются критическими параметрами и используются в дальнейшем в
модели отказа ЯЭУ.
При
расчете излученной ХИ тепловой мощности в качестве входного сигнала
используется температуры
и
. На
выходе блока «ХИ» формируется сигнал в виде величины тепловой мощности,
сбрасываемой холодильником-излучателем (
).
Величина
зависит от температурного режима функционирования ЯЭУ
в космосе. В наиболее общем виде температурный режим ЯЭУ в конкретных условиях
полета в составе КА будет определяться его положением относительно Солнца и
Земли, свойствами его поверхности (коэффициентом поглощения солнечных лучей,
теплового потока от Земли и собственного излучения), временем пребывания
аппарата в данном положении, исходной температурой и др.
С
учетом достаточно высоких рабочих температур жидкометаллического теплоносителя
ЯЭУ-25 количество излучаемого холодильником тепла может быть практически точно
определено из соотношения:
,
где
- степень черноты ХИ;
-постоянная
Стефана-Больцмана;
-
температуры на входе и выходе из ХИ.
- доля
ТТ отключенных газом согласно регулировочной характеристики
;
-
коэффициент ресурсного уменьшения площади ХИ за счет пробоя части ТТ
микрометеоритами (4% в год);
-эффективная
площадь ХИ:
;
-
геометрическая площадь ХИ;
-
коэффициент продольно-поперечной тепловой эффективности панелей (
=0.8);
-
внутренняя излучающая площадь ХИ с учетом поглощения части излученного тепла
соседними панелями ХИ:
;
-
тепловая эффективность щелей и торцов ХИ.
Исходя
из того, что температуры
и
отличается
от температур
и
не более
чем на 1К, принимаем:
,
;
Расчет энергопотребления ЭМН
В
качестве входного сигнала используется температуры
и
. На
выходе из блока ЭМН считывается значение электрической мощности, затраченной на
прокачку теплоносителя. Электрическая мощность, затрачиваемая на обеспечение
прокачки теплоносителя, определяется соотношением:
,
где
- гидравлическая мощность ЭМН;
- доля
потерь электрической энергии в электрических коммуникациях от блока питания
насоса (БПН) до ЭМН;
- КПД
ЭМН и блока питания насоса.
Гидравлическая
мощность ЭМН определяется по формуле:
,
где
- коэффициент гидросопротивления ЖМК, Па´с2/кг2;
G -
расход теплоносителя;
-
плотность теплоносителя.
Модели
выходных характеристик ЭГК
Напряжение на девятиэлементном ЭГК определяется по формуле:
,
где
- концевое сопротивление I-го ЭГК v-той
ветви,
- напряжение на j-том ЭГЭ,
зависящее от тепловой мощности, выделяющейся в сердечнике ЭГК, значений
внутренних параметров и работоспособности (замкнул / не замкнул) ЭГЭ - ток
ветви.
Напряжения
в ветвях UV равно сумме напряжений ЭГК, входящих в каждую ветвь:
,
где
- напряжение на I-том ЭГК ветви,
- количество ЭГК
в
ветви.
Ток
ветви V-той ветви (
)
определяется, исходя из условия обеспечения заданного напряжения на ее концах:
UV =U
=115 + DU.
Суммарный
ток ветвей РП равен
.
Электрическая
мощность, генерируемая комплектом ЭГК, определяется по формуле:
Nэл.п.ф.н.макс=(115
+ DU)´IРП.
Модели
определения температурного поля активной зоны РП
Модели предназначены для определения температурного поля активной РП в
различных режимах функционирования, что, в свою очередь, необходимо для оценки
запаса реактивности ЯЭУи его изменения в ходе кампании.
При разработке моделей приняты следующие допущения, упрощающие решение
поставленной задачи. Массив замедлителя с каналами охлаждения условно
разделяется на одинаковые по объему замедлителя ячейки, число которых
соответствует числу каналов с теплоносителем (ТН). Температурное поле каждой ячейки
рассчитывается независимо, тепловые потоки между ячейками не учитываются.
Теплообмен с корпусом реактора в первой версии данных моделей также не
учитывается.
Расчет температурных полей в ячейках замедлителя производится в следующей
последовательности.
1. По упрощенным алгебраическим зависимостям определяются одномерные
профили тепловыделения ЭГК и температуры ТН по длине канала.
2. Определяются максимальные температуры в ячейках замедлителя.
Решение может быть получено либо с использованием упрощенных алгебраических
зависимостей, либо численным методом расчета температурных полей.
Численный метод, реализованный на данном этапе выполнения НИР, позволяет
получить более точное решение по сравнению с аналитическим методом, так как в
нем используется более точная геометрическая модель. Однако он требует более
сложных вычислений. При использовании указанного метода расчета температур
замедлителя расхождение в оценках максимальных температур в ячейках
замедлителя, полученных для ЯЭУ в номинальном режиме работы, находится в
пределах 1%.
Определение профиля тепловыделения ЭГК и температур теплоносителя
Закон тепловыделения задается в форме «обрезанного косинуса»
(рисунок 11) и описывается выражением вида

Зависимость
температуры ТН от координаты z определяется из закона сохранения энергии и для
выбранного закона тепловыделения имеет вид [9]:
,
где
- температура ТН на входе в канал;
-
параметры закона тепловыделения;
- суммарный
подогрев ТН (разница темератур ТН на входе и выходе);
-
мощность тепловыделения в канале;
- расход
теплоносителя;
-
средняя по длине канала теплоемкость теплоносителя.
Определение температурных полей в ячейках замедлителя
При определении температурных полей в ячейках замедлителя используется
метод и компьютерная программа, позволяющая решать уравнения в частных
производных, к числу которых относятся уравнения теплопроводности, на основе
теоретических положений и с учетом практических рекомендаций, содержащихся в
работе [11].
Обобщенное дифференциальное уравнение, описывающее теплообмен в среде за
счет теплопроводности, имеет вид:
- i-ая
координата (i=1 или 2 для двумерной модели);
-
обобщенный коэффициент диффузии (теплопроводность в задачах расчета
теплообмена);
-
зависимая переменная (температура);
S - мощность
генерации соответствующей физической величины в единице объема.
Получение
численного решения основано на разбиении ячейки замедлителя двухмерной сеткой
(в продольном и радиальном направлениях) с шагом, который выбирается исходя из
соображений достижения заданной точности расчета температурного поля и таким
образом, чтобы границы элементов полученной расчетной области совпадали с разрывами
свойств материала.
Для
получения дискретных аналогов моделируемого объекта используется метод
контрольных объемов, который гарантирует сохранение баланса энергии полученного
решения во всей расчетной области.
Решение
сводится к линеаризации уравнений теплопроводности в каждом контрольном объеме
и решению системы линейных уравнений методом прогонки попеременно в продольном
и радиально направлениях расчетной сетки. Окончательное решение получается в
результате нескольких итераций прогонки, когда изменения температурного поля
между итерациями становится меньше заданной предельно допустимой ошибки
расчета.
Граничные
условия для расчетной области со стороны теплоносителя задаются в виде заданной
(предварительно рассчитанной) температуры теплоносителя (эвтектики NaK)
и коэффициента теплообмена с ним.
Со
стороны соседних ячеек замедлителя задается условие нулевого теплового потока.
Расчетная
область кроме замедлителя включает стенки трубок теплоносителя и трубные доски,
торцевые отражатели с чехлами. Овальные в сечении каналы заменяются
эквивалентными круглыми. Слева, снизу и справа расчетная область ограничивается
теплоносителем; сверху - соседней ячейкой замедлителя. Максимальный радиус
расчетной области определяется из условия равных по объему замедлителя ячеек
активной зоны.
Определение
максимальных температур замедлителя
Максимальная
температура замедлителя определяется по формуле
,
где
- перепад
температуры на границе жидкость - стенка канала теплоносителя:
где
- коэффициент теплопередачи между жидкостью и стенкой
канала;
-
линейный тепловой поток от замедлителя к теплоносителю;
- число
нуссельта (определяется по эмпирической формуле [9]);
-
теплопроводность теплоносителя;
-
гидравлический диаметр канала:
;
- смоченый
периметр;
-
площадь сечения канала.
-
перепад температуры в стенке трубы ТН:
-
срединный диаметр трубы ТН;
-
теплопроводность материала трубы теплоносителя;
-
перепад в зазоре газовом между трубой теплоносителя и замедлителем;
-
перепад температур в замедлителе [10]:
где
- объемная плотность тепловыделения в замедлителе;
-
внешний (эквивалентный) радиус ячейки замедлителя;
-
внутренний радиус ячейки замедлителя;
-
теплопроводность замедлителя.
На
данном этапе выполнения ииследований с использованием разработанных моделей и
компьтерной программы выполнены расчеты температурного
поля замедлителя РП-25 и РП-50 в номинальном режиме работы ЯЭУ.
На рисунках 12, 13 и 14 представлены схема расчетной области и результаты
определения удельного тепловыделения и полей температур в элементах расчетной
области (в дисках замедлителя, отражателях, трубных досках), полученных для
центрального ЭГК РП-25 при следующих условиях: температура на входе в РП 760 К,
расход теплоносителя 3.5 кг/сек, тепловая мощность 320 кВт (соответствует
номинальному режиму работы РП-25).
Результаты представлены в осесимметричной системе координат, где r - радиус от оси ЭГК, Z - расстояние вдоль оси ЭГК.
Заключение
ядерная энергетическая
установка реактор
В ходе выполнения работы были выполнены следующие задачи:
. Выполнен сбор и сформированы исходные данные для обоснования
энергоресурсных характеристик ЯЭУ-25 применимых в данном методическом подходе.
. Разработана модель и алгоритм обоснования энергоресурсных
характеристик, в том числе:
имитационная модель функционирования ЯЭУ-25,включающая:
модель квазистационарных состояний ЯЭУ;
модель термоэмиссионного преобразования тепловой энергии в электрическую
в реакторе-преобразователе;
Список
литературы:
1. Техническое задание 10/1-КЗ на выполнение составной
части опытно-конструкторской работы «Ядро-ЯЭУ» по теме «Разработка и отладка
программных компонентов для оценки и прогнозирования показателей надежности и
ресурса ЯЭУ» , ФГУП «Красная Звезда», 2010 г.
. Техническое задание на составную часть ОКР «
Электрогенерирующий канал ЯЭУ-25», ФГУП « Красная Звезда» , 2008 г.
. «Оптимизация уровня выходной электрической мощности
двухрежимной термоэмиссионной ЯЭУ на участке выведения сверхтяжелых КА на
высокоэнергетические орбиты» Научно-технический журнал«Авиакосмическая техника
и технология»4, 2008 г.
. Определение принципов построения и требуемых
характеристик имитационно-моделирующего комплекса оценки и прогнозирования
показателей надежности и ресурса ЯЭУ второго поколения по результатам наземной
экспериментальной отработки и летных испытаний. Научно-технический отчет по ОКР
«Ядро-ЯЭУ-Ц», (промежуточный), АНО «ЦВКИ АК», 2009 г.
. Разработка предложений по облику, этапности создания
и порядку испытаний имитационно-моделирующего комплекса и разработка второй
версии программных компонентов для программно-методического обеспечения
расчетно-экспериментальной оценки и прогнозирования показателей надежности и
ресурса ЯЭУ второго поколения по результатам наземной экспериментальной
отработки и летных испытаний. Научно-технический отчет по ОКР «Ядро-ЯЭУ-Ц»,
(заключительный), АНО «ЦВКИ АК», 2009 г.