Боевое применение подразделений инженерных войск

  • Вид работы:
    Дипломная (ВКР)
  • Предмет:
    Военная кафедра
  • Язык:
    Русский
    ,
    Формат файла:
    MS Word
    255,29 Кб
  • Опубликовано:
    2013-02-18
Вы можете узнать стоимость помощи в написании студенческой работы.
Помощь в написании работы, которую точно примут!

Боевое применение подразделений инженерных войск

ВВЕДЕНИЕ

В современных условиях значительно возросла роль передвижений войск, которые стали составной и неотъемлемой частью их боевой деятельности. Основным способом передвижения, является марш в колоннах по дорогам и колонным путям, с целью своевременной высадки в назначенный район или на указанный рубеж.

Роль машин инженерного вооружения состоит в обеспечении продвижения и маневра войск. Машины инженерного вооружения имеют целью создать необходимые условия для обеспечения марша беспрепятственного движения войск в высоком темпе, повышения защиты их от средств поражения противника и своевременного прибытия в назначенный район в готовности к ведению боевых действий.

Важнейшим условием успешного осуществления продвижения и маневра является наличие необходимой сети путей, обеспечивающей движение войск в высоких темпах и в любых погодных и дорожных условиях.

Для выполнения этой задачи применяются путепрокладочные машины, инженерные машины разграждения, однако в условиях массовых разрушений, завалов и радиоактивного заражения местности появилась необходимость модернизации существующих и разработке новых видов, более универсальных рабочих органов и устройств.

Успешное решение сложных задач инженерного обеспечения современного общевойскового боя находится в прямой зависимости от степени инженерной подготовки основных родов войск и уровня специальной подготовки инженерных войск технической оснащенности, которые должны соответствовать современным требованиям.

ОБОСНОВАНИЕ ОСНОВНЫХ ТАКТИКО-ТЕХНИЧЕСКИХ ТРЕБОВАНИЙ. АНАЛИЗ ТАКТИЧЕСКОГО ЗАДАНИЯ

Боевое применение подразделений инженерных войск в подготовке к наступлению, организуется и осуществляется в целях своевременного и качественного выполнения наиболее трудоемких задач и мероприятий, выполнение которых существенно влияет на ход боя и связано с применением сложной инженерной техники и боеприпасов, что требует специальной подготовки личного состава.

Наступление на обороняющегося противника осуществляется с ходу или из положения, занимаемого в непосредственном соприкосновении с ним. Наличие высокоточного оружия дает возможность в короткие сроки надежно поражать оборону противника без заблаговременного сосредоточения большого количества артиллерии и других средств поражен, а полностью моторизованные части и соединения способны быстро выдвигаться из глубины для нанесения удара с ходу ,вслед за огневыми ударами.

В полном объеме инженерное оборудование проводится с развертыванием войск и продолжается непрерывно в ходе всего наступления. I Инженерное обеспечение наступления включает:

инженерное оборудование районов и позиций занимаемых подразделениями МСП до перехода в наступление

инженерное обеспечение выдвижения подразделений МСП к обороне противника и их развертывание для атаки.

инженерное обеспечение атаки, развитие наступления в глубине обороны противника, отражение контратак противника

инженерное обеспечение форсирования водных преград

инженерное обеспечение закрепления на захваченом рубеже.

Инженерное оборудование исходного района МСП включает:

· проверку на наличие мин при необходимости разминирование участков местности, или их ограждение

· фортификационное оборудование

· выполнение инженерных мероприятий по маскировке

· оборудование пунктов водоснабжения.

В исходном районе силами иср мсп подготавливается :

-2-3 фронтальных пути

-        полковая ракада

всего 30-50 км путей

Рассматривая боевые действия МСП в наступлении, необходимо отметить значение инженерного обеспечения боевых действий. Возрастающие способности мотострелковых подразделений ставят дополнительные задачи перед инженерными подразделениями. Инженерным подразделениям приходится решать задачи инженерного обеспечения в более тяжелых условиях, в сравнении с боевыми действиями Великой Отечественной войны.

На выполнение задач влияют многие факторы:

Современные средства поражения, так как они наиболее существенно будут воздействовать на работоспособность инженерной техники;

· климатические условия;

· время, отведенное на выполнение задач;

- рельеф местности и так далее.

Общая обстановка.

1. Противник «Северные» 1мбр(США).

Наступая в направлении Винзили - Беркут, встретив упорное сопротивление частей и подразделений 4 мед на заранее подготовленном промежуточном рубеже за пределами карты, перешли к обороне.

2. Свои войска «Южные» 5 мед (1,2,3 мсп, 4тп, остальные части по номеру дивизии).22 мсп, совершив 100км. марш к 7.00 2. 06, сосредоточился в исходном районе Орловка (06 92), отм. 58.7(87 02),отм.412.3(06 06),отм.562.3 (00 06) в готовности к наступлению с утра 3 06.

3. Боевой порядок полка в 2 эшелона:

-1 эшелон - 1 мсб с Тб (без 2-х тр), 2 мсб с тр.;

-2 эшелон - 3 мсб с тр.

Приданные части и-подразделения ИСР,ИДВ 2/1 ИСБР сосредоточатся в районе отм. 921.5(00 94) к 9.00 200.

Частная обстановка.

В 9.30 2 06 командир полка объявил замысел на наступление, из которого стало ясно:

Главный удар полк наносит в направлении Беркут(95 16) - Богандинский (1814) прорывает оборону противника по всей полосе наступления. Атакой с ходу с рубежа отм. 72.0(02 94),отм.61.4(05 10) в комбинированном боевом поряд--разгромить первый эшелон противника и к 8.00 3 06 батальонами первого эшелона 1 мбр (США), выполнить ближайшую задачу. Развивая наступление, вводом в бой 2-го эшелона полка с рубежа отм.72.0(05 92) отм.64.4(07 02).

Направление продолжения наступления на посёлок Винзили.

Рубеж развёртывания в батальоны колонны по рубежу перекрёсток дорог (9214) западная окраина оз. Круглое в 4.15 3 06; развёртывание в ротные колонны 4.40 3 06;(развёртывание во взводйые колонны в 4.48 3 06; переход в атаку в 4.55 3 06.

Иср 22 мсп к 7.00 10.12 сосредоточилась в исходном районе. Личный со ставроты выполняет задачи по оборудованию своего района расположения, ведению инженерной разведки на наличие минновзрывных заграждений в районах развёртывания пунктов управления.

НИС 22мсп в 10.00 2 06 на КП полка вручил боевое распоряжение командиру штатной иср.

В ходе боевых действий, а в частности при наступлении в условиях отсутствия сплошных фронтов и наличия большого количества разрывов в боевых порядках противника, особенно на направлениях применейия ядерного оружия, подразделения часто будут наступать в предбоевых порядках или двигаться в походных порядках, преследуя противника не встречая особого сопротивления с его стороны при совершении маршей в целях наращивания усилий или перегруппировки войск во времени ограничено. Во всех случаях темп продвижения войск должен быть достаточно высоким.

Любое препятствие или заграждение может значительно сбить
темп продвижения войск. Поэтому в голове походного порядка необходимо иметь высоко-подвижные и специально оснащенные инженерно-дорожные подразделения, способные в короткие сроки проделать проход в заграждениях, устроить переход через препятствие или
подготовить обходные пути.

При движении в голове колонны, в ходе наступления или по только что освобожденной от противника территории, инженерно-дорожные подразделения могут в любой момент встретится с его отставшими или специально высланными подразделениями.

Наиболее вероятна такая встреча на препятствии или при подготовке обходного пути, то есть там, где противник будет стремится задержать продвижение наших войск. Поэтому инженерные подразделения должны быть усилены мотострелковыми и танковыми подразделениями, способными прикрыть их в случае внезапного нападения.

Отсюда вытекает необходимость создания отряда обеспечения движения ООД, состоящего, прежде всего из инженерных подразделений и включающие мотострелковые или танковые подразделения, а также расчеты из химической разведки.

Если говорить о технической оснащенности инженерных подразделений, то в мсп основной машиной может быть ИМР-2м.

Инженерная машина разграждения ИМР-2м предназначена для подготовки и прокладывания путей движения войск в условиях массовых завалов и разрушений, в том числе и на зараженной местности. По штатной принадлежности машина находится в полковом звене в иср в отделении инженерной техники исв в количестве одной единицы.

По боевому применению предусматривается использование машины в отряде обеспечения движения, в зависимости от конкретной обстановки.

Рассмотрим три схемы применения ООД. При преследовании противником продвижения в глубине его обороны. ООД может двигаться за подразделениями разведки с возможным опережением головы колонны на 1-2 часа и выполнять свою задачу.


Место ООД в походном порядке.

Если разведка встретила противника, то подразделения охранения (головная походная застава) прикрывает ООД, который движется за подразделениями охранения и выполняет свою задачу.

Место ООД в предбоевом порядке.

Если же подразделения охранения встретили превосходящие силы противника, то выдвигаются подразделения первого эшелона, разворачиваются под прикрытием охранения, атакуют и уничтожают противника. В этих условиях ООД выполняет свою задачу, перемещаясь за подразделениями первого эшелона.

Место ООД в боевом порядке.

Одна из основных задач ООД:

- подготовка колонного пути, что включает:

а) инженерная разведка местности, заграждений, проверки местности на наличие минно-взрывных заграждений;

б) обозначение колонного пути знаками и указателями;

в)устройство проходов в заграждениях, разрушениях и устройство переходов через препятствия.

Все эти задачи могут выполняться в условиях радиоактивного и химического заражения местности.

Для успешного выполнения задач по подготовке колонного пути целесообразно в ООД иметь:

-1... .2 танка с БТУ;

-1....2ИМР;

-автомобильный кран;

-автомобили с удлиненными зарядами и указками;

-1... .2 машины из комплекта ТММ-3;

-автомобили с дорожными покрытиями;

-0,5-1тоннаВВ.

Если в ходе боевых действий с применением ядерного и обычного оружия будет поражено 8-10 % населенных пунктов, можно ожидать, что протяженность каменных завалов на путях движения войск будет достигать 10-15 % от общей протяженности пути.

В населенных пунктах городского типа будут выполняться следующие задачи:

-разборка завалов из железо- бетонных конструкций, связанных между собой стальной арматурой;

-растаскивание и эвакуация поврежденной техники;

-разрушение крупногабаритных конструкций;

-засыпка воронок;

-вскрытие твердых покрытий городских улиц;

-устройство временных проездов на территории завалов разрушенных конструкций.

Все эти мероприятия могут выполняться в условиях городских пожаров.

Крупные завалы могут возникнуть при ведении боевых действий, или в результате стихийного бедствия.

Длинна каждого завала может составлять 10.... 100 метров, высота до 10 метров. При этом размеры отдельных элементов будут достигать 5-7 метров в поперечном сечении. Из опыта известно, что проделывать проход в завале высотой до 10 метров, с помощью БАТ или ИМР без" специального оборудования для закладки ВВ оказывается практически невозможно.

Суммарная энергоемкость проделывания походов в лесных завалах в среднем составляет 500-1000 п.м. на 500 п.м. завала.

В ходе боевых действий может быть поражено 4-8% лесов, при Р их плотности 35-40% от общей протяженности войсковых путей. Таким образом, на 10 километров путей может приходиться 150-200 погонных метров лесных завалов.

Совершенствование средств вооруженной борьбы, в том числе появление средств высокоточного оружия, повлекло за собой увеличение объема выполнения задач. При этом с расчетом, объема задач постоянно сокращаются сроки, которые могут быть определены на выполнение задач. Во избежание роста потерь в живой силе и технике, задача по устройству путей, должна выполняться в любых климатических условиях и инженерно-геологических, в том числе и при наличии значительного слоя сезонной и многолетней мерзлоты, когда использование землеройных средств затруднено, а иногда и невозможно. Единственным способом быстрого выполнения задач в районах с тяжелым грунтом является предварительное рыхление таких грунтов взрывным способом.

Таким образом, рабочее оборудование проектируемого изделия должно включать:

· поворотный бульдозерный отвал, обеспечивающий разработку снега и грунта;

· стреловое оборудование с ковшом-захватом;

· бурильную установку для закладки зарядов ВВ.

Должны быть увеличены сроки эксплуатации рабочего оборудования без его систематического обслуживания.

В дипломном проекте рассматривается вариант применения ИСР мотострелкового полка в ходе подготовки к Наступлению.

Особенностями применения инженерных подразделений будут:

боевой порядок МСП и его усиление; вероятный характер действий; сроки подготовки к наступлению обученность личного состава и имеющиеся в наличии собственные средства и средства усиления.

Решение командира МСП; боевой порядок полка в два эшелона в первом 1мсб,3 мсб и тб, во втором 2мсб;в полку создана полковая артиллерийская группа ПАГ; подразделения противовоздушной обороны ПВО включают штатную зенитно -ракетную батарею полка противотанковый резерв - штатная противотанковая батарея; подвижный отряд заграждения - инженерно - саперный взвод ИСР МСП .Полку для выполнения задач придана инженерно-саперная рота ИСБР .Противник обороняет заранее подготовленный рубеж обороны.

Время на подготовку к наступлению одни сутки.

Четность - пересеченная, юг Тюменской области. Время года - весна.

Инженерные подразделения укомплектованы полностью.

формат

зона

ПОЗ.

Обозначение

Наименование

Кол-во

Прим.





Техническое



A-l




Решение

1


A-l-




Общий вид

1






Сборочный



A-l




Чертёж

1


A-l




Чертёж детали

1






Гидравлическая



A-l




Схема

1






Варианты



A-l




Применения

1






Техническое



A-l




Обслуживание

1


A-l


1


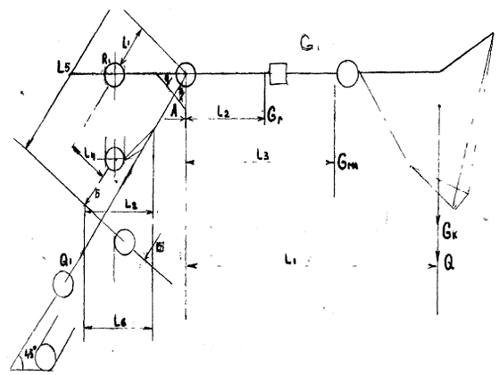
Сборочный чертеж

1




1


Стрела

1




2


Рукоять

1




3


Ковш в сборе

1




4


Гидроцилиндр







стрелы

1




5


Гидроцилиндр

2






рукояти





6


Гидроцилиндр

1






ковша





7


Кронштейн

1






стрелы





8


Рычаг

1




9


Ось

1




10


Ось

1


l


11


Ось

1




12


Ось

1




13


Ось

1




14


Ось

1




15


Ось

1






Чертеж детали



A-l


1


Задняя челюсть

1




2


Передняя

1






челюсть





3


Шарнир

1






челюсти





4


Двуплечий

1






рычаг





5


Козырёк

1




6


Кольцо

2




7


Палец

2




8


Ось двуплечего

1






рычага





9


Зуб

4




10


Сплошной нож

1




11


Кронштейн

1






крепления







гидроцилиндра







задней челюсти





12


Гидроцилиндр

1






задней челюсти





13


Ось

1




14


Траверса

1




15


Гидроцилиндр

2






поворота







челюсти





16


Ось

1




17


Рукоять

1




18


Шарнир ковша

1




19


Рычаг

1




20


Рычаг

1




21


Гидроцилиндр ковша

1



ТАКТИКО-ТЕХНИЧЕСКИЕ ТРЕБОВАНИЯ ПРЕДЪЯВЛЯЕМЫЕ К МАШИНЕ ИМР

Тактико-технические требования предъявляемые, к ИМР основываются из анализа данных, к которым относятся такие как условия применения машин при выполнении задач инженерного обеспечения, характеристика средств вооружения и воздействий на противника, достижения науки и техники, требования ГОСТов.

Если рассматривать рабочее оборудование, то можно выделить следующее:

·   бульдозерное оборудование должно быть универсальным. Оно должно устанавливаться в одно из трех положений в двухотвальное, бульдозерное и грейдерное;

·   стреловое оборудование с ковшом-захватом, позволяет выполнять большой комплекс работ по устройству проходов в лесных, каменных и городских завалах, при фортификационном оборудовании местности.

Требование к инженерным машинам разграждения:

-машина должна обеспечивать выполнение задач по подготовке путей движения войск и марша

-конструкция машины должна обеспечивать работу в грунтах от 1 до IV категорий

-масса машины должна быть больше массы рабочего оборудования

-запас хода по топливу не менее 500 км. пробега и 3…..5 часов работы рабочего оборудования.

Инженерная машина разграждения должна обеспечивать выполнение следующих инженерных задач:

-прокладывание колонных путей

-прокладывание проходов в лесных и каменных завалах городских разрушениях и на местности зараженной отравляющими веществами

-устройство переходов через рвы, воронки и овраги

-фортификационное оборудование местности.

При прокладывании колонных путей рабочее оборудование должно обеспечивать выравнивание и планировку местности с шириной захвата до 4,5 метров. Минимальное значение ширины захвата не должно быть менее габарита шасси самой машины. При проделывании проходов, переходов, как лесных, каменных, так и в городских завалах и разрушениях рабочее оборудование должно обеспечивать удаление (растаскивание) элементов разрушений и обвалов

Стреловое оборудование должно быть полноповоротным и обеспечивать:

· захват, подъем и перемещение отдельных элементов завалов и разрушений

· укладку на преграду типовой дорожно-мостовой конструкции-возможность движения с поднятым грузом со скоростью 2-6 км/час на уклоне до 5 градусов

-        отрывку котлованов при фортификационном оборудовании.

Требования по скрытности и маскировке:

Наружные поверхности ИМР- 2 покрывают эмалью ХВ-518 по технической документации, утвержденной в установленном порядке. Конструкция рабочего оборудования должно обеспечивать уровень стандартизации и унификации характеризуемой следующими показателями:

· коэффициент применимости не менее 63%;

· коэффициент повторяемости не менее 63%.

Рабочее оборудование должно быть максимально унифицировано с рабочим оборудованием ИМР и ИМР-2.

МАНЕВРЕННОСТЬ

Транспортная скорость, маневренность и проходимость машины должны быть не менее чем у боевых и транспортных машин других родов войск, с которыми осуществляется взаимодействие в ходе боя. Средняя скорость машины в составе группы разграждения 30-35 км/час. Наибольшая скорость одиночной машины в соответствии с требованиями ГОСТ МО РФ должна быть 60-65 км/час.

ЖИВУЧЕСТЬ

Показателями живучести машины в условиях воздействия поражающих факторов ядерного взрыва могут служить:

-величина избыточного давления по фронту ударной волны ядерного взрыва:

∆Рср= 9,8*10 Па

г =0,7с

-световое излучение (И)

-кратность ослабления, проникающей радиации (К) -суммарный коэффициент ослабления мгновенного у - излучения (Кг). Исходя из требований МО РФ и требований постановлений по новым условиям живучести машины, эти величины должны быть следующими:

АРср= 9,8 * 10 Па/г = 0,7с

И = 75 ккал/см3

Kj = 35

Kz= 35

Машина должна выполнять задачи в условиях крупнокалиберного, стрелкового, пулеметного огня.

НАДЕЖНОСТЬ.

Средства инженерного вооружения относятся к образцам обеспечивающего типа.

Они являются ремонтируемыми и восстанавливаемыми образцами многократного использования, примеряемыми после соответствующей подготовки.

Надежность образцов характеризуется безотказностью, долговечностью, ремонтопригодностью и сохраняемостью.

В ТТЗ на разработку(модернизацию) конкретного образца должны задаваться следующие параметры:

- наработка на отказ не менее 100 м/ч

· среднее время на восстановление не более 8 часов

· 80% ресурса до капитального ремонта

· 40% срок сохраняемости не менее 3 лет

· коэффициент технического использования 0,75

ТЕХНИЧЕСКОЕ ОБСЛУЖИВАНИЕ

Должно включать:

-     техническое обслуживание с периодическим контролем ;

      ежедневное техническое обслуживание

      техническое обслуживание № 1

      техническое обслуживание № 2

      сезонное обслуживание

      регламентированное техническое обслуживание.

Трудоемкость технических обслуживании № 1 и № 2 рабочего оборудования не должно быть более 8-10 часов.

наступление войско зараженный местность

ТРЕБОВАНИЯ ПО ТРАНСПОРТАБЕЛЬНОСТИ

Габаритные размеры проектируемого изделия должны обеспечивать размещение под установленный железнодорожный габарит 02-Т по ГОСТ-9238-73, а при движении своим ходом, в пределах автодорожного габарита. Запас топлива должен обеспечивать передвижение машины на расстояние не менее 500 км, и последующую работу в течении 3-5 часов.

ОПРЕДЕЛЕНИЕ ТАКТИЧЕСКИХ ТРЕБОВАНИЙ К МАШИНЕ

На среднепересеченной местности, летом темп прокладывания колонных путей должен составлять 5-7 км/час или 50-70 км за 10 часов при использовании существующей дорожной сети. Зимой соответственной эта скорость будет составлять от 2-х до 7 км/ч или 20-70 км за 10 часов, в зависимости от погодных условий. Производительность при проделывании проходов в завалах, при выполнении работ того или иного вида, которые войскам необходимо выполнять на одном маршруте, за день боя определяется

ΣQij=ΣΣnij * Pi * Pj * Qij (пoг. м)

где: nij -количество объектов,] - типа

Pj- вероятность появления объектов j - типа

Pi - вероятность появления работ i-типа

Qi -объем работ i -типа на j - объектах

В результате расчета по этой формуле имеем -

-        проделывание проходов в лесных завалах

Qmin= 50 ПОГ.М

Qmax = 450 ПОГ. М

-        проделывание проходов в каменных завалах

Qmin = 30 ПОГ.М

Qmax = 350 ПОГ. М

Исходя из опыта учений, расход моторесурса машины за сутки боевых действий составляет 8-13 часов. При средней скорости по войсковым дорогам 30-35 км/ч на передвижение машины между объектами будет затрачено:

Т пер =L* Km / V cр. (час)

где: L - средняя длина маршрута

Кm - коэффициент маневра

Vcр - средняя скорость машины

В зависимости от изменения исходных данных

Тпер = 2 - 2,4 часа

Значит среднее выполнение работ на объекте составит:

t'cp = t'- tпep/ W(чac)

где: tо - общее время выполнения задачи t пер - время передвижения машины

w - среднее количество объектов, на которых будет задействована машина (W =14)

Эксплуатационная производительность машины определяется


t'сp =(6...10/14) (0,43...0,72) (час)

Приняв величину допустимой вероятности указанного объекта работ, равной 0,9 , рассчитаем требуемое значение эксплуатационной производительности.

При проделывании колонных путей она должна составлять

Пж = 5-7 км/ч

При проделывании проходов в каменных завалах

Пэ = 350 пог. км/ч

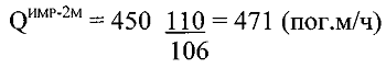
При проделывании проходов в лесных завалах

Пэ = 450 пог. м/ч

Состав рабочего оборудования.

Состоит из:

-     поворотного бульдозерного отвала

      грузоподъемного оборудования, универсального захвата с ковшом грейферного типа

      оборудования для разработки мерзлых грунтов и скальных пород.

ВЫБОР ВАРИАНТА РАБОЧЕГО ОБОРУДОВАНИЯ. Анализ рабочего и специального оборудования МАШИН ИМР И ИМР 2М

Из анализа применения машин для преодоления разрушений в ходе боевых действий в Дружественной Республике Афганистан, в ходе учений, а также использования этих машин при, ликвидации последствий аварий на Чернобыльской АЭС, было выявлено ряд недостатков по применению машины в завалах из строительных; материалов и конструкций, работе в горной местности. Из-за недостаточно высоких характеристик и возможностей рабочего оборудования машин этого типа.

В частности, при применении машин в зоне горных завалов в Демократической Республике Афганистан, машина нередко теряла свою работоспособность вследствие того, что до 30% завалов составляли громоздкие и большие по массе элементы горной породы, которые машина была не способна переместить захватом. Ограниченное пространство горной дороги при этом не всегда позволяло использовать для проделывания прохода бульдозерное оборудование.

Дробление монолита закладной ВВ не всегда было эффективным, вследствие того, что подрывники, выполнявшие, задачу по дроблению монолита поражались, ружейно-пулеметным огнем. Оборудования же способного расчленить элементы на более мелкие части на машинах этого типа нет. Телескопическая стрела не могла обеспечить достаточной эффективной работы машины при разборке завала и засыпке воронок, так же образовывались так называемые "зоны недосягаемости", то есть, зоны, которые невозможно достать захватом или скребком-рыхлителем из-за невысокой характеристики телескопической стрелы.

В условиях применения машин в ходе ликвидации последствий аварии на Чернобыльской АЭС возникла необходимость погрузки и вывоза радиоактивно зараженного грунта, обломков строительных конструкций. Причем использование обычных экскаваторов было невозможно, так как уровень радиации был высок, и возникла реальная опасность для жизни людей. Работа в этих условиях машины ИМР-2 с помощью скребка- рыхлителя давала практически нулевую производительность.

В этих условиях для обеспечения высокой эффективности на 50% машин этого типа, манипулятор заменяется на ковш грейдерного типа .

Однако это влекло за собой возможность применения машины лишь специализированно, в одной или нескольких из огромной серии разных работ.

В тоже время при эксплуатации машин ИМР-2 в ходе ликвидации последствий аварии на Чернобыльской АЭС, при прокладывании колонных путей и ведение земляных работ в ходе учений "Запад-87" и "Щит-88" были отмечены высокие показатели производительности и универсальности бульдозерного оборудования этих машин. PIMP обеспечивала достаточно высокие темпы прокладывания колонных путей, довольно высокую производительность при ведении земляных работ. Однако, как недостаток, отмечалось практически полная потеря работоспособности в мерзлых грунтах и скальных породах.

Установка разминирования установленная на машине ИМР-2 не всегда позволяла эффективно использовать ее. Так в условиях горных пород, при прокладывании проходов в минированных завалах пуск заряда был затруднен, вследствие ограниченности полосы пуска. В тоже время высокая эффективность проделывания проходов в минированных завалах достигалась по равнинной местности при применении машин на учениях "Щит-86". Наряду с этим резко возрастала вероятность поражения машины ружейно-пулеметным огнем противника.

При эксплуатации машин в условиях боевых действий, а также ведение работ на радиоактивно зараженной местности техническое обслуживание машин практически не проводилось, что влекло за собой повышение потерь энергии на трении в шарнирных соединениях их повышенный износ, и как результат - преждевременный выход рабочего оборудования из строя.

Из выше сказанного можно сделать вывод, что к машинам для преодоления разрушений на сегодняшний день предъявляются следующие дополнительные требования:

. Машина должна быть оснащена новым универсальным оборудованием, способным выполнять погрузо-разгрузочные работы в условиях ограниченного габарита и повышенного уровня радиации , а так же захват, перемещение и выгрузку элементов завала. Конструкция рабочего органа должна обеспечивать замену или трансформацию рабочего оборудования в зависимости от выполнения задач силами экипажа без выхода его из машины.

.        Машине необходимо иметь рыхлитель активного действия для
расчленения крупных элементов завала, рыхления мерзлых грунтов и тем
самым обеспечения работоспособности машины в мерзлых грунтах при
фортификационном оборудовании местности.

Эксплуатационные характеристики рабочего оборудования должны увеличить сроки между техническими обслуживаньями.

Степень защиты от проникающей радиации в корпусе машины должна быть повышена до 90-100 раз. Таким образом, можно сделать

Вывод: Основным направлением грузоподъемного оборудования с установкой на машину рыхлителя активного действия.

АНАЛИЗ ОСНОВНЫХ НАПРАВЛЕНИЙ РАЗВИТИЯ МНОГОЦЕЛЕВОГО МАНИПУЛЯТОРНОГО ОБОРУДОВАНИЯ

Одним из направлений развития строительной и дорожно-землеройной техники на современном этапе является создание высокомобильных и универсальных машин малой и средней мощности для использования в стесненных условиях, при выполнении разнообразных по виду задач.

При производстве земляных работ большое распространение получили универсальные одноковшовые гидравлические экскаваторы. Для них возможно создание рабочего оборудования многоцелевого назначения, которое обеспечивало бы в неблагоприятных условиях разнообразие выполняемых работ, решения сложных технологических задач с практически полным исключением ручных операций.

При действии машин по преодолению разрушений работы приобретают рассредоточенный характер, в связи, с чем нередко машины действуют в стесненных условиях, возникает необходимость частой замены одного вида рабочего оборудования другим или одной землеройной машиной другой, с требуемым рабочим органом. Все это повышает трудоемкость и себестоимость работ. Имеются затруднения с погрузкой строительного мусора.

Использование для этой цели экскаватора с обычным рабочим оборудованием или погрузчика манипуляторного типа зачастую невозможна, а погрузка, а погрузка краном мало эффективна и порой опасна.

Для выбора наиболее рационального рабочего оборудования многоцелевого назначения на заводе " ТУЗЕМ" при Карагандинском металлургическом комбинате была выработана анкета опроса специалистов высокой квалификации имеющих большой практический опыт эксплуатации машины этого типа.

В анкету включили восемь конструктивных схем рабочего оборудования экскаваторов, перечень которых был составлен на основе наиболее часто встречающихся на уровне изобретений, технических решений:

. Поворот ковша вокруг оси рукояти прямая (обратная) лопата

2  Движения ковша вдоль оси рукоятки.

3  Поперечное раскрытие ковша с челюстным захватом.

4  Продольное раскрытие ковша с челюстным захватом.

5  Поворот ковша в собственной фронтальной плоскости.

6  Поворот днища ковша.

7  Перемещение рукоятки с ковшом вдоль оси стрелы.

8  Совмещение рукоятки с ковшом по обе стороны от оси поворотной платформы.

Положения в рабочее необходим выход члена экипажа из машины.

низкая производительность в лесных завалах.

-й вариант предлагает использование многоцелевого манипуляторного оборудования совместно НПО ВНИИ строймаш, МАДИ на базе гидравлического одноковшового экскаватора.

Многоцелевое манипуляторное рабочее оборудование представляет собой ковш, оснащенный челюстным захватом с двух шарнирной вставкой закрепленной на рукояти, при наличии которой рабочий орган получает дополнительную степень свободы, что придает ему качества манипулятора.

ДОСТОИНСТВА РАБОТЫ КАК ГРЕЙФЕР И КАК МАНИПУЛЯТОР ЧЕЛЮСТНОГО ТИПА

-        повышает производительность машины при устройстве переходов через противотанковые рвы, выездов на эскарпы, выполнение
погрузочно-разгрузочных работ позволять работать в мерзлых грунтах и скальных породах.

НЕДОСТАТКИ

· сложность конструкции

· низкая производительность при разборке завалов

-необходимость выхода одного из членов экипажа для перевода
рыхлителя в рабочее положение.

3 -й вариант представляет собой универсальный ковш-манипулятор продольного раскрытия. Для эффективной работы в условиях массовых завалов и отсутствие такого рабочего.

ОЦЕНКА ВАРИАНТОВ ТЕХНИЧЕСКОГО ПРЕДЛОЖЕНИЯ

В соответствии с видами выполняемых работ и предназначение ИМР-2 на основе анализа применения данного типа машин и требований к ним выделении три перспективных варианта компоновочной схемы грузоподъемного оборудования.

1 -и вариант компоновки представляет собой телескопическую 2-х ступенчатую стрелу, выполненную по типу ИМР-2, на которую вместо манипулятора установлен ковш грейферного типа со съемными щеками, позволяющими использовать его как манипулятор и как грейфер.

Снизу на рукояти ковша шарнирно закреплен рыхлитель активного действия.

Основным достоинство этого варианта является:

-   максимальная унификация узлов и деталей с машиной ИМР-2

-   расширение возможностей машины при малых конструктивных изменениях

-   повышение производительности рабочего оборудования при оборудовании въездов на эскарпы, переходов через противотанковые рвы и воронки.

-   обеспечение работы в мерзлых грунтах и скальных породах.

НЕДОСТАТКИ

-   наличие вокруг машины "мертвой зоны" при работе универсальным грейфером-манипулятором

-   высокая трудоемкость трансформации рабочего оборудования и
необходимость выхода экипажа из машины

·  низкие показатели стрелового оборудования при ведении земляных работ

·  для обеспечения перевода рыхлителя из транспортного оборудования в дорожном строительстве был спроектирован и обеспечен поворот лепестков основного ковша на 47% параллельно продольной оси ковша с их фиксацией, что позволяет его как манипулятор смешанного лепестково-клещевого типа. Двухшарнирная вставка обеспечивает перемещение ковша в вертикальной плоскости и продольное раскрытие его половин. Рукоять ковша выполнена из двух составных частей -подвижной и неподвижной. Нижняя - подвижная часть рукояти поворачивается относительно оси рукояти на 180 . В ее корпусе размещен рыхлитель активного типа. Рукоять шарнирного закреплена к стреле и посредством двух гидроцилиндров поворачивается в вертикальной плоскости. Подъем - опускание стрелы осуществляется гидроцилиндром аналогичного типа ИМР-2.

ДОСТОИНСТВА ДАННОЙ КОМПОНОВОЧНОЙ СХЕМЫ

-обеспечивает высокопроизводительную работу машины, как экскаватор, как грейфер, так и захват манипулятор

· трансформация рабочего органа и без выхода экипажа из машины

· перевод и работа рыхлителем не требует выхода экипажа из машины

· размещение рыхлителя в рукояти позволяет производить рыхление в непосредственной зоне работы ковшом - манипулятором

-        2-х звеньевая стрела обеспечивает работу с любой стороны от машины

· работает как прямая, так и обратная лопата

· позволяет работать машине как кран с двумя вылетами 'стрелы

· позволяет устроить шурфы в мягком грунте и скальной породе.

НЕДОСТАТКИ

сложность конструкции

С помощью комплексного метода оценим варианты конструктивных схем грузоподъемного оборудования полях противника (машины оборудованные установкой разминирования) рыхление мерзлых грунтов и скальных пород, ведение земляных работ как экскаватор, грейфер при проделывании проходов, в условиях массовых завалов.

Машина также может применяться для фортификационного оборудования местности в условиях массовых завалов, мерзлого грунта и скальных пород.

Базовая машина включает в себя:

- бронированный корпус

2   силовую установку

3   силовую передачу

4   ходовую часть

5   электро и пневмооборудование.

Рабочее оборудование состоит:

- бульдозерное оборудование

2 стреловое оборудование

3 колейно- минного трала

4 редуктора привода насосов

5 гидропривода, электро и пневмосистем.

Штатная принадлежность: инженерная машина разграждения находится по штату в инженерно-саперной роте мотострелкового полка -1 ед. Предусматривается применение

Таблица № 1 Вариант применения


ПОКАЗАТЕЛИ

КОЭФ. ЗНАЧИМОСТИ ПОКАЗАНИЯ Pi

СТЕПЕНЬ СООТВЕТСТВИЯ ПОКАЗАТЕЛЯ ТРЕБУЕМОГО Pi




1

3


2

3

4

5

6


Производительность как экскаватор - как грейфер

0.40

0,85 0,8 0,1

1,0 0,9

1,0 0,9 1,0


Приспособленность к работе на зараженной

0.85

0,8

0.9

0,95


Долговечность

0,07

1

0,9

0,9


Безотказность

0,10

0

0,9

0,9


Живучесть

0,04

0

0,8

0,8


Ремонтопригодность

0,04

0

0,8

0,8


Сохраняемость

0,2

1

1,0

1,0


Универсальность

0,1

0

0,9

1,0


Сложность

0,03

0

0,9

0,9

0

Эффективность применения рыхлителя

'0,05

0,85

0.85

0,90


ВСЕГО

1,0

0,88

0,745

0,9475


Рассмотрев данные варианты компоновки грузоподъемного оборудования машины, их достоинства и недостатки, можно сделать вывод, что третий вариант не имеет таких существенных недостатков свойственных 1-му и 2-му вариантам;

Этот вариант позволяет удовлетворить практически все недостатки требований предъявленных к нему в соответствии ТТТ.

Конструкция ковша - манипулятора позволяет удовлетворить практически все требования кроме перемещения элементов завала производить уборку разрыхленной породы, что особенно важно при оборудовании шурфов в прочной среде и оборудование выездов на маршрутах движения войск.

Такое конструктивное решение позволяет обойтись без скребка-рыхлителя и упрощает управление машиной при работе на объектах, так как всеми операциями по использованию ковша - манипулятора управляет оператор из поворотной башни - кабины, конструкция которой аналогична башне ИМР-2. Механик-водитель будет занят управлением.

ВЫВОД: Проанализировав существующие средства преодоления разрушений, разработки мерзлых грунтов и скальных пород можно заключить, что необходимо создание модифицированной инженерной машины разграждения.

ДАННАЯ МАШИНА БУДЕТ ВКЛЮЧАТЬ:

· бульдозерное оборудование по типу ИМР-2

· ковш-манипулятор с двухзвеньевым стреловым оборудованием

-        рыхлитель активного действия, расположенный в рукояти ковша манипулятора

-        тралящее оборудование

Назначение, область применения и общие требования к ИМР-2.

Основное назначение ИМР-2 - это, прокладывание колонных путей, проделывание проходов в невзрывных заграждениях, а также, в минных полях противника (машины оборудованные установкой разминирования) рыхление мерзлых грунтов и скальных пород, ведение земляных работ как экскаватор, грейфер при проделывании проходов, в условиях массовых завалов.

Машина также может применяться для фортификационного оборудования местности в условиях массовых завалов, мерзлого грунта и скальных пород.

Базовая машина включает в себя:

- бронированный корпус

2   силовую установку

3   силовую передачу

4   ходовую часть

5   электро и пневмооборудование.

Рабочее оборудование состоит:

- бульдозерное оборудование

2 стреловое оборудование

3 колейно- минного трала

4 редуктора привода насосов

5 гидропривода, электро и пневмосистем.

Штатная принадлежность: инженерная машина разграждения находится по штату в инженерно-саперной роте мотострелкового полка -1 ед. Предусматривается применение

ОБЩЕЕ УСТРОЙСТВО МАШИНЫ И ПРИНЦИП ЕЕ ДЕЙСТВИЯ

ИМР-2 состоит из базовой машины и рабочего оборудования. Базовая машина (изделие 637) представляет собой бронированную гусеничную машину изготовленную, на базе узлов и агрегатов танка Т-72А и предназначена для монтажа на ней рабочего оборудования.

Базовая машина включает:

· бронированный ковш;

· силовую установку

· силовую передачу

· ходовую часть

· электро и пневмооборудование

Рабочее оборудование состоит из:

- бульдозерное оборудование

- полноповоротной двух звеньевой шарнирно соединенной стрелы с
универсальным ковшом манипулятором грейдерного типа

· копейного минного трака

· установки разминирования

· грузоподъемного устройства

· редуктор привода насосов

· гидропривода электробронепневматической системы

При работе бульдозерным оборудованием работы могут вестись в двух отвальном грейдерном и бульдозерном режиме. Поворот отвала вокруг поперечной оси позволяет работать на косогорах.

При работе грузоподъемным оборудованием возможны четыре варианта его применения:

· как экскаватор прямой лопаты

· как экскаватор обратной лопаты

· как грейфер

· как захват смешанного типа.

УСТРОЙСТВО РАБОЧЕГО ОБОРУДОВАНИЯ МАШИНЫ

Универсальное бульдозерное оборудование машины выполнено аналогично бульдозеру ИМР-2 . Оно предназначено для разработки и перемещения грунта, расчистки снега и кустарника, валки деревьев и их корчевки, устройства, проходов в лесных завалах и разрушениях. Основными узлами бульдозерного оборудования является центральный отвал, крылья обоймы рамы, отвала, телескопические штанги, захваты, механизм подъема и опускания, переноса и крепления бульдозерного оборудования

Универсальное грузоподъемное оборудование состоит из:

· стрелы

· рукояти

· универсального ковша-манипулятора

· приводов управления

Стрела закреплена на кронштейнах поворотной платформы. Рукоять шарнирно закреплена на плоскости под углом 135 . Рукоять состоит из двух частей неподвижной и поворотной. За кронштейны неподвижные части рукояти крепятся к стреле. В ней же располагается поворотная колонка с механизма поворота. К поворотной части рукояти с помощью двух шарнирной вставки крепится универсальный ковш-манипулятор. Наличие вставки позволяет ковшу перемешаться вдоль продольной оси

Ковш-манипулятор состоит из:

· клещевого захвата

· двух лепестковых пластин

Лепестковые пластины крепятся к корпусу захвата, где установлен пальцевой гидрофиксатор.

РАСЧЕТ РАБОЧЕГО ОБОРУДОВАНИЯ. ОПРЕДЕЛЕНИЕ ОБЩИХ ПАРАМЕТРОВ МАШИН

В соответствии с ТТТ максимальная скорость машины должна быть 50- 65 км/ч, что равно скорости выбранной базовой машины.

Машина должна соответствовать требованиям железнодорожного габарита 02-Т, а при движении своим ходом требованиям автодорожного габарита.

Грузоподъемность при проделывании проходов

· в каменных завалах П. эк. = 450 пог.м./час.

· в лесных завалах Пэк. = 500 пог.м./час.

· при прокладывании колонных путей Пэк. = 3       7 км/ч

ОПРЕДЕЛЕНИЕ ЧАСТНЫХ ПАРАМЕТРОВ

За базовую машину, согласно задания взяли Т-72. С него демонтируется башня, артиллерийское вооружение, боекомплект - все это составило 12105 кг. Установим дополнительно:

· универсальный бульдозер массой 2738 кг,

· башню оператора 2667 кг.

Из этого следует, что масса грузоподъемного оборудования должна составлять вместе с механизмами и приводами не более 7 тонн.

РАСЧЕТ ГЕОМЕТРИЧЕСКИХ ПАРАМЕТРОВ

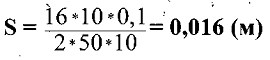
Анализ применения машины для преодоления разрушений в ходе ряда учений показал, что нормальной работы машины по разработке завалов необходимо, чтобы максимальный вылет стрелы от оси вращения составлял не менее пяти метров. Так для машины ИМР и ИМР-2 он составляет 5,835 метра.

При этом она должна складываться, чтобы не выходить за пределы габаритов 02-Т. Вследствие масштабного моделирования были определены оптимальные геометрические параметры рабочего органа. Длина стрелы составит по осям шарниров 5,025 метра. По конструктивным соображениям длина рукояти 3,540 метра. Для обеспечения компоновочного складывания, стрела снабжена гуськом, имеющий уклон относительно оси стрелы на 137' Это позволяет переводить рабочий орган в транспортное положение "под себя", при этом длина рабочего органа составляет 6,098 метра. Расстояние от торца рукояти до оси шарнирного сочленения со стрелой составляет 0,930 метра. В рабочем положении максимальный вылет от оси крепления стрелы составит:

· по торцу рукояти -8,195 метра

· по режущей кромке ковша - 9,195 метра

При использовании машины в возведении фортификационного оборудования должна обеспечивать отрывку котлованов под основные сооружения. Размеры котлованов приведены в таблице 1,5

Таблица № 1,5

Вид сооружений

Размеры (м)


I

b

h

Блиндаж безврубочной конструкции

5,5

2.0

2,3

КВС-У

8,0

2,0

2,3

КВС-А

9,0

3,6

2,3

Бункер

15,0

4,0

4,0

Убежище из элементов СБУ

11,6

2,5

2,3

Окоп для танка

5,0

4,0

2,0

Укрытие для техники на базе




- УАЗ -469

4,5

2,5

2,0

- ГАЗ -66

7,0

2,5

2,0

- КрАЗ, УРАЛ, ЗИЛ.

7,0

3,6

3.0

КамАЗ





Геометрических параметров рабочего оборудования позволяют отрывать котлованы глубиной до 4,75 м, это составляет выполнение практически всех требований по глубине. Высота рабочего органа в транспортном положении составит 1,350 м.

Определение кинематических параметров

Экспериментальным путем было определено, что для нормальной работы достаточно, чтобы рабочий орган поворачивался относительно оси стрелы на 135°. Это обеспечивает его работу во всех режимах, а также перевод в транспортное положение. Башня оператора аналогична ИМР-2 и имеет поворот вокруг своей оси на 360 °.

Расчет производительности рабочего оборудования

Приведем сравнительный анализ по времени затраченного на перемещение элементов завала малых и крупных размеров. Определенно ,что в современных условиях протяженных завалов на маршруте в 50-65 км может в лесах 0,1 -0,15 км , а в населенных пунктах 0,05 -0,1 км. В городских завалах, на 100 метров завала приходится 5-20 элементов, которые необходимо дробить захватом.

Учитывая, что ИМР-2 способна захватить элементы "пакетом" не более d-1,1 метр

Тогда:

- I max > 1,1м - 5-20 элементов - их необходимо дробить

I мах < 1,1 м - 16-24 элемента

где I max - меньший катет элемента захвата. В лесных завалах откидывается наличие 7-15 дробимых элементов на таком же участке по производительности:

-1 > 1,1м - 7-15 элементов

-1 < 1,1м - 16-24 элемента

Рассмотрим время рабочего цикла без дробления:

Тр.ц. =(t3.r. +1 п.+ tr.n. +1 c6.+1 x.x.) * К и.в.; (Сек)

где: t з. г. - время захвата глыбы

t п. - время подъема

t г. п. - время горизонтального перемещения,

t сб. - время сброса t x.x. - время холостого хода

К и.в. - коэффициент использования рабочего времени при погрузки крупногабаритных грунтов

Ки.в.= 1,2+4,2

Время подъема груза определяется по формуле :

t п.= h: V п.о. + t р.з. = J: V +1 р.з. (сек)

где h -высота подъема груза h - Зм

Vп.o -скорость подъема груза V = 3,6 Град/Сек.

ρ - угловая величина от оси башни оператора 10м.

Тогда:

tп. = 20: 36 + 2 = 5,6 +2=8 (сек)

Время горизонтального перемещения определяется :

t г.п. = t: Vr.n. +1 р.з. (сек) i

где t: Vr.n. = 180°: 360° = 0,5 (мин.)

t p.з. = 3-4 (сек) - дополнительные рабочие затраты при
горизонтальном перемещение груза, тогда

tr.n. = 70 (сек) + 24 = 34(сек)

Время холостого хода определяется:

t х.х. = t: V п.г. + t р.з. (сек)

где 1 -дуга поворота ,I = 180°

V п.г. = 720' / мин.

t х.х. = 180: 720 +4 = 25 +4 =29 (сек)

В таблице 2,5 представлены сравнительные характеристики времени захвата одного элемента завала для ИМР-2. И МР-2М.

Таблица № 2,5 Время захвата одного элемента

Марка машины

Глыбы

Бревна

ИМР-2

15-25с

12-17с

ИМР-2М

10-15 с

6-10 с


По этим данным можно определить продолжительность рабочего цикла на перемещение одного элемента захвата:

а) для ИМР-2 на одну глыбу

Тр.ц. = (t з.г.+ t п. + t г.п. + t сб. +t х.х.) *

Ки.в.=(20+8+34+4+29) * 1,2142 =115 (сек)

б) для одного бревна

Тр.ц. = (14+8+34+4+29) * 1,2142=108 (сек)

Для проектируемой машины ИМР-2М эти данные будут составлять:

Тр.ц. = (12+8+34+4+29) * 1,1242 =105(сек)

Время рабочего цикла захвата, перемещения и выгрузки одного 1 элемента с возвратом в исходное положение для глыбы составляет:

Тр.ц.= 10 5 (сек)

для бревна:

Т р.ц. = 100 (сек)

Ожидаемое количество элементов в завале составляет согласно расчетов:

Q= 15-25 шт.

Время, затрачиваемое на одну операцию при проделывании проходов в, лесных и городских завалах машинами ИМР-2 и ИМР-2М

Таблица № 3


Лесные завалы из средних и малых

ИМР-2

105с

110с

ИМР-2М

100с

105с


Из таблицы 3.5 видно, что математическое ожидание характеристик разработанного оборудования выше имеющегося на сооружении рабочего оборудования ИМР-2

РАСЧЕТ МЕТАЛЛОКОНСТРУКЦИЙ РАБОЧЕГО ОРГАНА

По аналогии с существующими конструктивными решениям крановых стрел и стрел гидравлических одноковшовых экскаваторов, можно принять исходное значение поперечных сечений стрелы и рукоять, толщину листов, из которых сварены с учетом приваренных на наиболее опасных участках накладок (λ =8mm) и марка стали 10 ХСНД для которых допускаемое напряжение на изгиб (Gh) = 260 * 10cкН/м

Рассчитаем наиболее опасные сечения при максимальном вылете грузоподъемного оборудования и массе поднимаемого груза 2 тонны.

Максимальный вылет грузоподъемного оборудования соответствует следующему положению:

- стрела поднята на 45, рукоять ковша манипулятора повернута на 135 относительно исходного транспортного положения. Расчетная схема представлена на рисунке 1

Рис. 1 .Расчетная схема стрелового оборудования.

W3=fмт Gпp (cos α1 + f тт sin α1) cos α1

где Gпp - сила тяжести грунта, перемещенного отвалом;

α1 - угол между касательной к поверхности основного листа отвала;

fмт - коэффициент трения грунта по металлу.

При ориентированных тяговых расчетах можно принять сопротивление при движении базовой машины

W5 = (G0 - Gpo)( / cos α ± sin α)

Сопротивление передвижной лыжи

W4≤fmtKhcF

Где G0 - сила тяжести машины;

Gpo - сила тяжести рабочего органа

Кнс - коэффициент несущие способности грунта равный (18-36Н/СМ2)

F - опорная площадь лыжи, СМ

L2=l,3 м

L3= 1,65м

Тогда наибольший изгибающий момент будет

M1=20 * 3,6 +5 *3,6 + 3,2 * 1,3=94,16 (кНм)

Сжимающая сила в сечении отсутствует, так как рукоять

горизонтально GM=Q

Площадь поперечного сечения рукояти определяется

Fi=2(b1*δ1+h1* δ 1)2 (м2)

где h1, δ1- размеры поперечного сечения рукояти (м)

разрез А-А

F1=2(0,42 * 0,008 + 0,42 * 0,008)= =0,01344(м)

Момент сопротивления по изгибу определяется

W1= bj * hi2- ( bi - 2 δ1K hi - 25iY* (м)3

6 6 W1= 0,42 *(0,42) - (0,42 - 2 * 0,008) (0,42- 2 * 0,008) = 6 6 = 1,3582* 10 (m)

Наибольшее суммарное напряжение в сечении определяется по формуле:

G0=Mi + T≤[G] (кН/м)

W1 F1

Где M1 - наибольший изгибающий момент в сечении (Н*м)
Т - наибольшая сгибающая сила (н) Т = 0

W1 - момент сопротивления изгибу (м )

F1 - площадь поперечного сечения (м )

G0=94,16=6922.05< 260 *10

1,3582* 10-3

Коэффициент запаса прочности определяется


5.5.1 РАСЧЕТ МЕТАЛЛОКОНСТРУКЦИИ СТРЕЛЫ (СЕЧЕНИЕ В - В)


Ь2=0,36м

h2=0,29м

δ=0,008 м

Наибольший изгибающий момент в сечении:

M2=Q (l1 + l2 cosα)+GK(l1 + l4 cosα)+ Gp(l3 + l4 cosα) + +GP(l2 + l4 cosα) (kH)

где Q - вес груза (кН)

GK - вес ковша (кН)

Gp - вес рукояти (кН)  ;

l1 ,l2 ,l3,l4- плечи приложения сил (м).

l4 = 0,48(м)

α = 450

Тогда:

М2=20(3,6+1,3 * )+5(3,6+0,48 * )+3,2(1,65+0,48 * ) + 3,2(1,3+0,48*) =131,41 (кН)

Наибольшая сжимающая сила действующая в сечении

Т2=( Gp * l 2 + l1* Q + l1* GK) sin α (кН)

Где Gp - вес рукояти (кН)

[G] - допустимое напряжения изгиба для стали 10 ХСНЦ

[G]=260* 103(кН/м)

Go - наибольшее суммарное напряжение в сечении

к- вес ковша (кН)

l1 ,l2 ,l3- плечи приложения сил (м)

α= 45

Тогда:

Т2 =(3,2 * 1,3+5 * 3,6 +3,6 * 20) * = 65,91 (кН)

Момент сопротивления поперечного сечения изгибу


где h2, b2- размеры поперечного сечения (м)

δ- толщина листа металлоконструкции (м)

Наибольшее суммарное напряжение сечения В-В:


где М2 - наибольший изгибающий момент в сечении

Т2 - наибольшая сжимающая сила

W2 - момент сопротивления изгибу

F2 - площадь поперечного сечения Находим площадь поперечного сечения:

F2=2 δ2 (h2 + b2)

где h2, b2- размеры поперечного сечения (м)

δ - толщина листа металлоконструкции (м)

Тогда:

F2= 2 * 0,008(0,29 + 0,36) = 0,0104 (м2)

Отсюда следует:

Находим коэффициент запаса прочности:


Где [G] - допустимое напряжения изгиба для стали 10 ХСНЦ

Go - наибольшее суммарное напряжение в сечении Получим:

С учетом того, что K3.п.min = 1,5, можно сделать вывод: Металлоконструкция удовлетворяет требованиям прочности.

РАСЧЕТЫ СЕЧЕНИЯ СТРЕЛЫ (СЕЧЕНИЕ Б-Б)


Ь3=0,63 м

h3=0,36 м

δ =0,008 м

Наибольший изгибающий момент в сечении:

M2=Q (l1 +15 cosα)+GK(l1 +15 cosα)+ Gp(l2 +15 cosα)

Где Q - вес груза (кН)

G к - вес ковша (кН)

Gp - вес рукояти (кН)

l1 ,l2 ,l3 l4 - плечи приложения сил (м)

15 = 4,125 (м)

Подставив значение, получим:

М3=20(3,6+4,125 * )+5(3,6+4,125 * )+3,2(1,3+4,125 *) =175,59 (кН/м)

Наибольшая сжимающая сила:

Т3=Т2=65,91(кН)

Максимальное сопротивление поперечного сечения изгибу:


где hз, hз - размеры поперечного сечения (м)

- толщина листа металлоконструкции (м) подставив данные, получим:

Площадь поперечного сечения:

F3=2 δ(b3+h3)

F3 = 2 * 0,008(0,36 + 0,63) = 0,01584 (м)

Наибольшее суммарное напряжение в сечении:


Где М3 - наибольший изгибающий момент

Т3 - наибольшая сила

W3 - момент сопротивления изгибу поперечного сечения

F3 - площадь поперечного сечения

Подставляем значения:

Коэффициент запаса прочности:


К3.п= 260 * 103= 2,156

,81

,5<2,156

отсюда следует вывод:

Металлоконструкция удовлетворяет требованиям прочности.

РАСЧЕТ ГИДРОПРИВОДА. РАСЧЕТ МЕХАНИЗМА ПОВОРОТА РУКОЯТИ

Поворот рукояти осуществляется двумя гидроцилиндрами. Определим усилие, которое необходимо развить гидроцилиндру при условии манипулирования грузом массой 2 тонны.

Σм0= о

Рц = Ql1+GKl1+GcI2(KH)ц

где 1ц - плечо приложенной силы (м)

Ц = 0,63 м

Gc - вес стрелы

Gc = 5,92kH

Тогда:

Тогда диаметр гидроцилиндра, найдем по формуле:


где Р - .давление в гидросистеме (кН/м )

В соответствии с рядом внутренних диаметров принимаем

dц = 0,1 м

Толщина стенки гидроцилиндра определяется:


где Р - давление в гидросистеме

[Gp] - допустимое напряжение растяжения, кН/м

для стали GT = 45

[Gp] = 50 *103кН/м2

Подставив значение в формулу, имеем:

Тогда наружный диаметр гидроцилиндров составит:

dц = dц + 2S

dц = 0,1+2* 0,016 = 0,132 (м)

Исходя из того, что давление в гидросистеме составляет:

16МПа= 16* ЮкН/м и усилие на щиток известны, определим параметры гидроцилиндров, Внутренний диаметр гидроцилиндра:

Рц1 = Рц2 = Р (КН)

Где Рц1 - усилие на первом гидроцилиндре поворота рукояти (кН)

Рц2 - усилие на втором гидроцилиндре поворота рукояти (кН)

РАСЧЕТ ГИДРОЦИЛИНДРА ПОДЪЕМА (ОПУСКАНИЯ)

Из условия:

ΣМ0= 0

отсюда следует


где 1цс - плечо приложения силы (м)

1цс=0,82

16     = 2,92 (м)

17     = 1,38(м)

Подставив в формулу, имеем:

=225,21 (кН)

При давлении в гидросистеме:

16 * 10 кН/м

Определим необходимый внутренний диаметр гидроцилиндра подъема (опускания) стрелы


где Рц- усилие, развиваемое гидроцилиндром

Р - давление в гидросистеме

Тогда:

В соответствии с рядом внутренних диаметров гидроцилиндров принимаем:

dц1 = 0,150 (м)

Толщина стенки гидроцилиндра составит:


Где: [Gp] - допустимое напряжение растяжения для стали

G=45

[Gp] = 50*103 (кН/м)2

Тогда:

Наружный диаметр гидроцилиндров составит:

dH´ = dц´ + 2S (м)

dH = 0,15+ 2* 0,024 = 0,198 (м)

Принимаем:

dн'= 0,2(м)

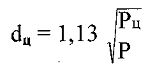
ОПРЕДЕЛЕНИЕ ПРОИЗВОДИТЕЛЬНОСТИ РАБОЧЕО ОРГАНА ПРИ РАБОТЕ КАК ЭКСКОВАТОРА

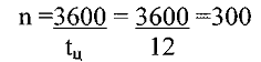
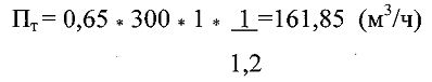
Техническая производительность машины при работе ковшом составляет 0,65 м3, а время рабочего цикла 12 секунд определяется:

Пт = g * n * К 1_ (м3/ч) К

где Пт - техническая производительность м3/ч

g - объем ковша м3

n - число циклов за 1час работы


Кн - коэффициент наполнения ковша;

Кн =1

Кр - коэффициент разрыхленности грунта

Кр= 1,2

Подставив данные в формулу, имеем:

Определяем эксплуатационную производительность:    ,

Пэ = Пт*Ки (м3/ч)

где Пт - техническая производительность

Ки - коэффициент использования машины по времени

Ки = 0,8

Тогда:

Пэ = 161,85 * 0,8 = 129,48 (м3/ч)

ПРЕДЕЛЕНИЕ ПРОИЗВОДИТЕЛЬНОСТИ МАШИНЫ ПРИ ПРОДЕЛЫВАНИИ ПРОХОДОВ В ЗАВАЛАХ

Одним из основных показателей для определения производительности путепрокладочных машин, так же машин для проделывания разрушений является время рабочего цикла.

Рассмотрим варианты захвата одиночного элемента лесного завала, Время рабочего цикла можно выразить формулой

Трц (tзэ+tп+tгп+tсб+tхх)Кив

где tзэ - время захвата элемента (с)

tп - время подъема (с)

tгп - время горизонтального перемещения (с)

tcб - время сброса (с)

txx. - время холостого хода (с)

Как было рассмотрено выше, время рабочего цикла на перемещение одного элемента завала составляет для ИМР-2 и ИМР-2М соответственно:! 10 и 105

Тогда изменение производительности машины при работе в завалах можно выразить формулой


- производительность ИМР-2М в завале (пог. м/ч)

Q

hmp-2

- производительность ИМР-2 в завале (пог.м/ч)

ТРЦ - время рабочего цикла перемещения элемента завала (с)

Тогда производительность ИМР-2М в лесных завалах составит:

в каменных завалах:


РЕКОМЕНДАЦИИ ПО ПРИМЕНЕНИЮ МАШИНЫ

Устройство проходов в лесных завалах производится раздвиганием основной массы завала отвалом, а также отталкиванием и уборкой ковшом отдельных деревьев, мешающих эффективной работе бульдозера. Для этого ковш используется как челюстной захват, который позволяет сократить время на сталкивание и перемещение отдельных деревьев с проезжей части. При этом отвал устанавливается в двух отвальное положение, а ковш разворачивают и устанавливают захватом впереди отвала. При наличии в завале крупногабаритных элементов, а так же при ограниченной площади производства работ, элементы расчищаются челюстями ковша. При захвате элементов завала "пакетом" необходимо перевести лепестки отвала в манипуляторное положение, что обеспечит более высокую производительность машины.

Проходы в каменных завалах в зависимости от их высоты и длины устраиваются двумя способами:

-расчистка завала до твердого основания на ширину, обеспечивающую односторонний проезд с помощью бульдозера и ковша

-устройством проезда поверху завала путем разравнивания его поверхности с устройством въезда и съезда, расчленением и уборкой крупногабаритных элементов.

Первый способ может применяться при высоте завала до 1 метра, второй - при большей высоте и крутизне завала въезд на него осуществляется бульдозером. Проходы в городских разрушениях устраиваются теми же способами, что и каменных завалах. Последовательность устройства в городских разрушениях аналогична, применяемой, при устройстве каменных завалов. Дополнительно при устройстве проходов поверху неровности могут выравниваться засыпкой с помощью ковша строительным мусором

Валка деревьев и корчевка пней значительно упрощена в сравнении с ИМР-2

ПРИМЕНЕНИЕ МАШИНЫ ИМР-2М ПРИ ЛИКВИДАЦИИ ПОСЛЕДСТВИЙ ЯДЕРНЫХ УДАРОВ ПРОТИВНИКА ПО ТЫЛУ ВОЙСК

При нанесении ядерных ударов по тылу войск будут иметь место массовые завалы и разрушения, радиоактивное заражение местности.

Возникает необходимость по очистке местности и объектов от разрушений, погрузки, вывоза и захоронения радиоактивного зараженного грунта, элементов и конструкций с высоким уровнем радиации.

Как показал опыт ликвидации последствий аварии на Чернобыльской АЭС, машин способных выполнять все эти операции, у войск пока нет. В связи с необходимостью, там были собраны па базе ИМР-2 такие машины как ИМР-2Д, оборудованные кроме бульдозера ковшом грейферного типа для погрузки зараженного грунта в контейнеры и степенью защиты увеличенной до 100 крат, ИМР-2Е - оборудованная, манипулятором по типу ИМР-2 и увеличенной степенью защиты до 100 крат.

Однако лишь разработанное в дипломном проекте рабочее оборудование ИМР-2М может обеспечить выполнение погрузочно- разгрузочных работ с радиоактивно зараженным грунтом, элементами конструкций способными разбирать завалы.

РАБОТА МАШИНЫ, ПРИ ФОРТИФИКАЦИОННОМ ОБОРУДОВАНИИ

Рабочее оборудование ИМР-2М позволяет использовать его для фортификационного оборудования местности в грунтах 1-4 категорий, а также в мерзлых грунтах и скальных породах. Наличие грузоподъемного оборудования позволяет устанавливать фортификационные сооружения в открытом котловане элементами массой до 1,5 тонн, а также пролетные строения и элементы дорожного покрытия.

ПЕРЕВОЗКА МАШИНЫ ПО ЖЕЛЕЗНОЙ ДОРОГЕ

Машина устанавливается на платформе, после этого она должна быть заторможена, коробка передач устанавливается на 1-ю передачу. Под гусеницы, укладываются поперечные брусья закрепленными гвоздями. Для предотвращения сдвига машины поперек платформы с внутренней стороны гусениц против крайнего катка закрепить и расклинить диски. Телескопические источники и упоры отвала снять с бульдозера. Штанги уложить на подкладки, закрепленные четырьмя гвоздями. Штанга крепится за проушину к стоечным скобам растяжками из проволоки диаметром 7 мм в две нити. Упоры крепятся проволокой диаметром 7 мм в две нити к раме отвала. Крылья отвала устанавливаются в крайнее заднее положение и крепятся к корпусу машины проволокой диаметром 7 мм в четыре нити. Машина крепится на платформе растяжками. Инструментальные ящики и фишки ломов пломбируются в соответствии с железнодорожными правилами.

ОСОБЕННОСТИ ЭКСПЛУАТАЦИИ МАШИНЫ. ТЕХНИЧЕСКОЕ ОБСЛУЖИВАНИЕ МАШИНЫ ИМР-2М.

Техническое обслуживание машины обеспечивает постоянную, техническую готовность машины, максимальное продление межремонтных сроков работы и устранения причины, вызывающей преждевременный износ и приводящих к неисправностям узлов и агрегатов.

Установлены следующие виды и периодичности технического обслуживания:

·  техническое обслуживание с периодическим контролем - перед, выходом машины из парка, во время работы, на остановках и пути.

·  ежедневное технические обслуживание (ЕТО) - проводится после каждого выхода машины, а для рабочего оборудования после его работы.

·  техническое обслуживание № 1 (ТО-1) - проводится для гусеничного шасси через каждые 50 часов работы двигателя или 1500 - 1800 км пробега машины, а для рабочего оборудования через каждые 100 часов работы.

·  техническое обслуживание № 2 (ТО-2) - проводится для гусеничного шасси через каждые 3200 - 3500 км пробега, а для рабочего оборудования -через каждые 300 часов работы,

·  сезонное техническое обслуживание (СО) - проводится, два раза в год при подготовке машины к эксплуатации в весенне-летний и осенне-зимний периоды.

Обслуживание проводится силами экипажа. В отдельных случаях в помощь экипажу выделяются специалисты из ремонтных подразделений с необходимым оборудованием.

ОСОБЕННОСТИ ОБСЛУЖИВАНИЯ РАБОЧЕГО ОБОРУДОВАНИЯ

Проведенный анализ работы подшипников скольжения рабочего оборудования показал, что при разработке грунта частицы его через зазоры попадают в смазку, тем самым увеличивается трение в деталях и соединениях и их износ. Существующие и применяемые на машинах приспособления для смазки шарнирных соединений не обеспечивают необходимого запаса смазки, для обеспечения длительной работы рабочего оборудования без обслуживания. При этом КПД подшипника скольжения в 10-12 раз уменьшается, а увеличивается износ в соединении. Это ведет к снижению производительности, преждевременному выходу рабочего оборудования из строя. Из этого можно сделать вывод, что необходимо смазывать шарнирные соединения под давлением с постоянным подпором смазки. Проведенный анализ обслуживания аналогичного по элементам рабочего оборудования ЭОВ - 4421 показал, что из 20 точек обслуживания рабочего оборудования, 15 составляют шарнирные соединения, заполняемые смазкой через масленки.

Для обеспечения хорошего качества смазки шарнирных соединений рабочего оборудования ИМР-2М в течение длительного времени применяются шприц - прессовщик. Для проведения работ по смазке шарнирных соединений необходимо выполнить следующие требования:

· перед смазкой удалить грязь с пресс масленок, пробок, заливных горловин баков, редукторов

· все поверхности подлежащие смазке тщательно протереть чистой ветошью, смоченной в керосине

· при замене смазки, старую смазку тщательно удалить со всех смазываемых поверхностей ветошью смоченной в керосине

- удалить коррозию с полированных или шлифованных поверхностей

- заполнить смазкой через' пресс-масленку до полного заполнения
смазывающей полости (до появления старой смазки из зазоров сочленения)-
после смазывания узлов и механизмов удалить выступившую лишнюю
смазку. Шарнирные соединения смазывать смазкой Литол-24.

ЗАПРАВОЧНЫЕ ЕМКОСТИ ИМР-2М

топливная система:

-        наружные баки - 490 л.

баки внутри корпуса - 710 л.

Система смазки двигателя:

-        полная заправка системы - 76 л.

Масленый бак пощупу-65л.

Система охлаждения   - 80 л.

Гидропривод рабочего оборудования:

-редуктор механизма поворота платформы - 79 л.

-масленый бак гидросистемы по щупу - 300 л.

-редуктор насосов

Применяемое масло АУП или АУ.

ОЦЕНКА ЭФФЕКТИВНОСТИ И КАЧЕСТВА МАШИНЫ

Качество инженерной машины - это наиболее важный момент на этапе проектирования машины. Оценивая машину, подводится итог и делается вывод целенаправленности дальнейшего применения данной машины. Внедренные, новые технические решения, должны оказывать влияние на свойства и способность машины выполнять возложенные на нее задачи.

Качество инженерной машины - это совокупность свойств определяющих ее пригодность удовлетворять определенные потребности войск. Качество машины оценивают системой показателей (параметров), которые количественно характеризуют ее свойства.

К числу основных свойств машины, определяющих ее качество, относятся:

-производительность

-маневренность

-живучесть

-надежность

-экономичность

Оценка уровня качества машины проводится комплексным методом.

Определяем относительный показатель:

αi =Kmax/Ki

где: Kmax - максимальное значение показателя одной из машин

Ki - значение показателя других машин

i - номер показателя

Результаты расчетов занесены в таблицу 1.7

Определяем обобщенный показатель качества по формуле:


где: Mi - коэффициент весомости определяется экспериментально

i -относительный показатель качества Результаты занесены в таблицу.

Кi1 = 0,86

Ki2=0,95

Определяем относительный показатель базовой машины

Ki = Ki / Кб

где: Кб - наименьший обобщенный показатель

Ki = 0,86 /0,86=1

Ki2 =0,95/0,86=1,1

Вывод: разработанная машина превосходит ИМР-2 на If) %

Таблица Оценка уровня качества

Показатель

Коэф. весомости"

ИМР-2

ИМР-2М



Относит, показ.

Показатель ур. кач

Относ, показ.

Показа тель ур кач

В лесных завалах

0,2

0,95

0,19

1

0,2

В каменных завалах

0,2

0,75

0,15

1

0,2

Расчистка горных завалов

0,2

0,75

0,15

1

0,2

Маневренность

0,1

1

0,88

0,088

Наработка па отказ

0,15

0,9

0,135

1

0,15

Трудоемкость

ОД

0,88

0,088

0,77

0,077

Расход топлива на 100 км

0,05

0,75

0,0375

0,66

0,033

ВСЕГО

1


0,86


0,95


ОЦЕНКА ЭФФЕКТИВНОСТИ МАШИНЫ

Для обеспечения эффективности боевого применения рассмотрим основные параметры, характеризующие ее при выполнении задач инженерного обеспечения.

Такими параметрами являются:

- производительность

- скорость перемещения

· средняя наработка на отказ

· живучесть

Учитывая, что производительность ИМР-2М может рассматриваться как в лесных, так и в каменных завалах, принимаем условно за максимум -производительность машины в лесных завалах, а за минимум в каменных завалах.

Тогда производительность машины ИМР-2

И т min = 300 м/ч

Пттах=400м/ч

ИМР-2М

П Т min = 400 м/ч

П т тах = 420 м/ч

В связи с увеличением массы машины ИМР-2М в среднем с ИМР-2, максимальная скорость составляет 60 км/ч. Сопоставив соответствующие данные, получим вероятность выполнения расчетом машины ИМР-2 задач инженерного обеспечения

Кэб = 0,8037

а для разработанной машины

Кэб = 0,8411

Это показывает повышение боевой эффективности разработанной машины.

ЗАКЛЮЧЕНИЕ

В ходе дипломного проектирования были проанализированы существующие аналогичные образцы инженерной техники, разработаны варианты технических решений и выбраны наилучшие.

Этот вариант ИМР-2 был проработан по многим параметрам; рассчитано крановое оборудование с гидравлическим выдвижением секции стрелы; эффективность разработанного образца.

Расчеты показали, что эффективность по сравнению с ИМР-2 возросла, что позволило в боевой обстановке сократить время на выполнение задач по прокладыванию колонных путей и задач способствующих этому, а именно: проделывание проходов в лесных завалах, проделывание проходов в городских завалах, укладка дорожных покрытий на болотистых участках пути, укладка дорожных труб.

Данную машину целесообразно применять на вооружении в идр оисб мед (тд), идр оисбр, А (АК).

Диплом выполнил: курсант А. Латынцев

Руководитель: подполковник В. Долгий

Похожие работы на - Боевое применение подразделений инженерных войск

 

Не нашли материал для своей работы?
Поможем написать уникальную работу
Без плагиата!
Без нейросетей!