Описание колебательно-волновых процессов
Министерство
образования и науки РФ
Пермский
национальный исследовательский политехнический университет
Кафедра общей
физики
Курсовая
работа
по дисциплине
«Оптическая физика»
«Описание
колебательно-волновых процессов»
Выполнил: студент Газизов Л.М.
Проверил: доцент кафедры общей физики Баяндин Д.В.
Пермь 2012
Содержание
1.
Определение частоты собственных колебаний системы с одной степенью свободы
. Расчет
нормальных мод и собственных колебаний тел в двухмодовой системе
. Определение
зависимости амплитуды дисперсии от частоты при установлении вынужденных
колебаний
. Дисперсия в
системе
.
Распределение полярных молекул по угловой координате во внешнем поле
. Техника
реализации условия фазового синхронизма
Список
литературы
1. Определение частоты собственных колебаний системы с одной
степенью свободы
В системе, показанной на рис. 1.28, масса каждого бруска m, жесткость пружины
. Масса блока равна массе бруска.
Система пришла в движение с нулевой начальной скоростью при недеформированной
пружине. Найти частоту колебаний
(Иродов)
Рис. 1.28
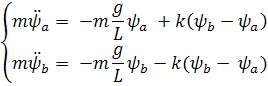
Используя второй закон Ньютона:
Подставляя значения
в уравнение:
получим:
Выполнив вычисления и заменив
значением m, получили:
Знак минус связан с тем, что
Сделав кое-какие сокращения, получили:
Ответ:
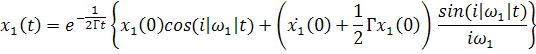
2. Расчет нормальных мод и собственных колебаний тел в
двухмодовой системе
колебание
тело полярный синхронизм
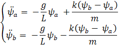
Написать и решить уравнения для двух идентичных связанных маятников.(Крауфорд
)
Решение:
) Запишем для маятников 2-й закон Ньютона:
Так как выполняется 3-й закон Ньютона, во втором уравнении системы перед
силой упругости ставиться знак «-»
Из рисунка видно, что sinα =
Подставляя синус в систему, запишем:
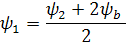
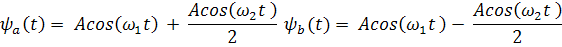
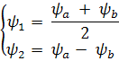
2) Перейдём к нормальным координатам. Для этого сложим и вычтем.
Сложив эти уравнения, имеем:

характеризует смещение центра масс
=
, то есть частота 1-й моды определяется только силой тяжести.
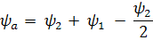
Поделив каждое из независимых уравнений на массу, имеем:
Вычитая, получаем:

деформация пружины
Отсюда

то есть частота 2-й моды зависит от силы тяжести и упругости.
) Решение для мод имеет вид:

4) Выразим
и
через
и
используя систему:
Отсюда:


5) Теперь подставляем уравнения из пункта 3 в найденные смещения
и
в пункте 4.
Производные
(t) и
(t):

Рассмотрим начальные условия в момент времени
. В соответствии свыше указанными
формулами начальные смещения и скорости маятников будут равны
Сместим маятник а в положение 2А, а маятник б будем удерживать в нулевой
точке, затем отпутсим одновременно оба маятника и примем этот момент за начало
отсчета времени т=0. Наблюдая за маятниками, мы увидим красивое явление биений.
Ответ:
;
;
3. Определение зависимости амплитуды дисперсии от частоты при
установлении вынужденных колебаний
|
Дано:
|
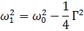
Решение: Затухание свободных колебаний:
|
|
Найти:
|
|
Общее решение имеет вид:
Константы
определяются из равенства
и общее решение принимает вид:
Учитывая последнее уравнение, частное решение сильного затухания
принимает вид:
Ответ:
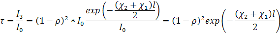
4. Дисперсия в системе
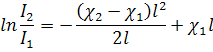
Монохроматический пучок света падает нормально на поверхность
плоскопараллельной пластины толщиной
Показатель поглощения вещества
пластины линейно изменяется вдоль нормали к ее поверхности от значения
. Коэффициент отражения от каждой
поверхности пластины равен
Пренебрегая вторичными отражениями, определить коэффициент
пропускания пластины. ( Иродов 5.231)
Решая это уравнение, мы получим:
Отсюда коэффициент пропускания равняется:
Ответ:
5. Распределение полярных молекул по угловой координате во
внешнем поле
Атом ксенона (поляризуемость α=5,2*10-29 м3) находится на
расстоянии
=1 нм от протона. Определить индуцированный в атоме ксенона
электрический момент
(Чертов 16.44)
Ответ:
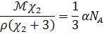
Поляризуемость α молекулы водорода можно принять равной 1.0*10-29
м3. Определить диэлектрическую восприимчивость χ
водорода для двух
состояний: 1) газообразного при нормальных условиях; 2) жидкого, плотность ρ
которого равна 70.8 кг/м3.
(Чертов 16.38)
Диэлектрическая воспиримчевость
При нормальных условиях, концентрация молекул равна числу Лошмидта:
Тогда
) Если водород в жидком состоянии, тогда
Ответ:
6. Техника реализации условия фазового синхронизма
Появление лазеров привело к развитию нового научного направления
нелинейной оптики. Ее предметом является исследование оптических явлений в
различных средах (твердых телах, жидкостях, газах), характер которых зависит от
интенсивности света. При тех интенсивностях, которые были доступны
экспериментаторам в «до лазерную» эпоху, показатели преломления, коэффициенты
поглощения и рассеяния различных веществ практически не зависели от
интенсивности излучения. Необходимо подчеркнуть, что нелинейные эффекты в
мощных световых полях, формируемых лазером, проявляются не как малые поправки к
уже известным количественным характеристикам процессов, а в виде
самостоятельных, отчетливо наблюдаемых явлений, радикально изменяющих характер
поведения световых пучков.
К числу процессов, представляющих особый интерес для квантовой
радиофизики, относится получение когерентного оптического излучения в различных
спектральных диапазонах. Эта задача в значительной мере может быть решена не
только за счет поиска новых генерирующих сред, но и путем преобразования
частоты излучения, генерируемого уже существующими лазерами. К таким процессам
относятся, в частности, генерация высших гармоник света и параметрическая
генерация.
Генерация второй гармоники
Генерация второй гармоники впервые наблюдалась в 1961 г. (Франкен с
сотрудниками) при распространении излучения рубинового лазера в кристаллическом
кварце, дигидрофосфате калия и триглицинфосфате. Терхьюном с сотрудниками
изучалась зависимость мощности второй гармоники
, возбуждаемой в пластинке кварца
рубиновым лазером, от длины оптического пути, пройденного световыми волнами в
кварце. Величина
изменялась за счет изменения угла наклона кварцевой
пластинки
относительно пучка лазера. Оказалось, что мощность второй
гармоники в зависимости от
быстро осциллирует (рис. 1). Участки, на которых мощность
второй гармоники нарастает за счет основной волны, сменяются областями, где
происходит обратный процесс, - мощность второй гармоники «перекачивается»
обратно в мощность основной волны. Длина каждого участка спада и нарастания
определяется величиной
. Для кварца
мм. Периодические изменения
в зависимости от длины оптического
пути иногда называют осцилляциями Мейкера.
Рис.1. Зависимость мощности второй гармоники излучения рубинового лазера
от угла наклона кварцевой пластинки (длины оптического пути)
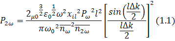
Аналитически мощность второй гармоники
при прохождении одномодового
гауссового пучка света мощностью
вдоль главной оси непоглощающего
нелинейного кристалла с плоскопараллельными торцами описывается формулой:
где
- радиус пучка основной частоты;
- составляющая тензора нелинейной
оптической восприимчивости второго порядка
- мощности основного излучения и его второй гармоники внутри
кристалла. Из формулы (1.1) видно, что при фиксированном значении
(или ∆k) мощность второй гармоники можно увеличить только путем
подбора среды с максимально возможной нелинейной восприимчивостью либо за счет
увеличения мощности излучения основной частоты (как видно из (1.1), зависимость
квадратична, т. е.
). Однако предельные мощности,
которые еще может выдержать кристалл, ограничены порогом его радиационного
разрушения.
Квантовый выход второй гармоники (отношение числа квантов второй
гармоники к числу квантов излучения на основной частоте) в опытах Франкена
составлял всего
. Из формулы (1.1) видно, что мощность второй гармоники будет
максимальна, если
, т. е.
где
- фазовые показатели преломления среды на частотах
- модули волновых векторов основной
волны и волны второй гармоники имеют вид:
Соотношение (1.2) называют условием фазового синхронизма при генерации
второй гармоники
Фазовый синхронизм и методы его реализации.
Как известно, распространение света внутри оптически анизотропной среды
имеет особенности. В выбранном направлении в среде распространяются две
линейно-поляризованные волны на одной и той же частоте с различными скоростями
(различными показателями преломления); векторы поляризации волн взаимно
перпендикулярны. С существованием в кристалле двух световых волн,
распространяющихся с разными скоростями, связано явление двойного
лучепреломления. Каждой из волн соответствует своя поверхность значений
показателя преломления (индикатриса показателя преломления), наглядно
демонстрирующая, как зависит от направления волнового вектора показатель
преломления для данной волны. В одноосных кристаллах одна из индикатрис
показателя преломления есть сфера, а другая - эллипсоид вращения вокруг
оптической оси кристалла. Первая индикатриса соответствует обыкновенной (ordinary) световой волне; ее показатель
преломления не зависит от направления волнового вектора. Вторая индикатриса
соответствует необыкновенной (ехtraordinary) волне; ее показатель преломления зависит от угла
между направлением волнового вектора
и оптической осью кристалла. Вектор
обыкновенной волны перпендикулярен к
плоскости угла
; вектор
необыкновенной волны лежит в указанной плоскости.
На рис. 2 показаны сечения индикатрис показателя преломления плоскостью,
проходящей через оптическую ось: а - в отрицательном одноосном кристалле, б - в
положительном одноосном кристалле. Кристалл характеризуется двумя параметрами,
зависящими от частоты, - главными значениями показателя преломления
и
; смысл этих параметров ясен из
рисунка. Параметр
определяет скорость обыкновенной волны в любом направлении (
). Параметр
определяет скорость необыкновенной
волны в направлении, перпендикулярном к оптической оси. В направлении
оптической оси скорости обеих волн совпадают. Если
<
то имеем отрицательный одноосный
кристалл, а если
>
, то - положительный. Поскольку используемые в нелинейной
оптике одноосные кристаллы являются, как правило, отрицательными, ограничимся
рассмотрением отрицательных одноосных кристаллов. Зависимость показателя
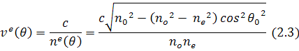
преломления ne необыкновенной волны от угла θ выводится из уравнения эллипса
.
Представим это уравнение в виде (см. рис. 2)
Рис. 2 Сечение индикатрис показателей преломления плоскостью проходящей
через оптическую ось
Отсюда находим искомую зависимость
Из уравнения (2.2) следует, что скорость необыкновенной волны,
распространяющейся под углом
к оптической оси, равна
Виды фазового синхронизма.
В области прозрачности диэлектрика дисперсия показателя преломления
является нормальной: с ростом частоты показатель преломления увеличивается. На
рис. 2 показаны сечения индикатрис показателя преломления отрицательного
одноосного кристалла для основной частоты (непрерывные кривые) и второй
гармоники (штриховые кривые).
Из рисунка видим, что в направлениях, образующих угол
с оптической осью, выполняется
равенство показателей преломления обыкновенной волны на основной частоте и
необыкновенной волны на частоте второй гармоники:
Соотношение (3.1) может рассматриваться как условие фазового синхронизма
для генерации второй гармоники в случае, когда волновые векторы
взаимодействующих волн коллинеарны и при этом основные волны являются
обыкновенными, а волна второй гармоники - необыкновенной. Для выполнения синхронизма
волновые векторы должны быть ориентированы од углом θ к оптической оси. Это направление
нарывают направлением синхронизма, а угол
- углом синхронизма. В пространстве
эти направления образуют конус синхронизма. Приведенный пример соответствует
одной из разновидностей фазового синхронизма. Виды синхронизма делятся на две
группы (два типа). При синхронизме первого типа обе волны на основной частоте
имеют одну и ту же линейную поляризацию, а волна на частоте второй гармоники
имеет перпендикулярную поляризацию. При синхронизме второго типа волны на
основной частоте имеют взаимно перпендикулярные поляризации. Если одноосный
кристалл отрицателен, то синхронизм первого типа может быть реализован в том
случае, когда обе волны на основной частоте являются обыкновенными, а волна
второй гармоники - необыкновенной; это есть случай так называемого
оо-е-синхронизма или, иначе, оо-е-взаимодействия. В положительном одноосном
кристалле синхронизм первого типа может быть реализован, когда волны на
основной частоте являются необыкновенными, а волна второй гармоники -
обыкновенной (ее-о-взаимодействие). Синхронизм второго типа в отрицательном
кристалле соответствует ое-е-взаимодействию, а в положительном
ео-о-взаимодействию по таблице:
|
Тип синхронизма
|
Отрицательные кристаллы
|
Положительные кристаллы
|
|
Первый
|
|
|
|
Второй
|
|
|
Кроме того, следует различать скалярный и векторный синхронизмы, При
скалярном синхронизме волновые векторы взаимодействующих световых волн
коллинеарны, а при векторном - не коллинеарны. Таким образом, если ограничиться
отрицательными одноосными кристаллами, то следует рассмотреть четыре вида
синхронизма: скалярные оо-е и ое-е, векторные оо-е и ое-е. Приведенный выше
пример соответствовал скалярному.
Прежде чем начать обсуждение различных видов синхронизма, заметим, что
условие синхронизма накладывается на волновые векторы. Поэтому надо перейти от
поверхностей значений показателя преломления к поверхностям волновых векторов,
используя известное соотношение
. В дальнейшем будем рассматривать сечения именно
поверхностей волновых векторов. Скалярный оо-е-синхронизм. В случае
оо-е-взаимодействия представим условие синхронизма в виде
Поскольку I
,то для скалярного (коллинеарного)
варианта данного типа синхронизма соотношение (3.2) можно упростить:
Переходя от волновых векторов к показателям преломления, получаем
Используя уравнение (2.2), получим выражение для косинуса угла
синхронизма:
Угол
называют углом первого синхронизма. Необходимым и
достаточным условием его существования является условие
Если θ с = 90°, то такой синхронизм называют 90-градусным.
Вывод выражения для угла
в случае скалярного ое-е-синхронизма аналогичен, выражение
из которого угол синхронизма может быть рассчитан:
Решив это уравнение относительно
, получим аналогичное (3.5)
соотношение для расчета угла синхронизма.
Фазовый синхронизм для генерации второй гармоники в кристалле GaSe
Для проведения экспериментальных исследований собрана установка для
(генерации второй гармоники) ГВГ
и
:YSGG-лазеров и (Поверочные газовые
смеси) ПГС на основе кристалла
, а также фемтосекундного генератора
бегущей волны с накачкой Ti:Sapphire - лазерной системой. Лидирующий пик
перестраиваемого в диапазоне 9,2−10.8 мкм импульсно-модулированного
лазера, работающего в
-моде с частотой повторения импульсов
400−1000 Гц, имеет длительность 120 нс FWHM при пиковой мощности 500 Вт.
Излучение
лазера фокусировалось в кристалл линзой из
c фокусным расстоянием 65 мм, а
второй гармоники (ВГ) на чувствительную площадку детектора с помощью
35-миллиметровой линзы из
. Двадцать три исследуемых образца кристалла GaSe из разных
частей буль, выращенных в различное время различными технологическими группами,
характеризовались уровнем оптических потерь в пределах от ~ 0,1 до 0,23 см-1 в
области максимальной прозрачности. Излучение накачки отсекалось перед
детектором излучения второй гармоники двумя пластинами из LiF, установленными
вплотную к линзе и к входному окну детектора соответственно.
Управляемое шаговым двигателем позиционирующее устройство RCA100, Zolix
Instruments Co., Ltd., точность углового позиционирования 18″,
использовано для настройки кристалла на направление ФС (фазовый синхронизм).
Настройка осуществлялась поворотом позиционирующего устройства в одном
направлении для исключения влияния люфта на результаты измерений. Контроль
исходной ориентации кристалла производился по положению отраженного от входной
поверхности луча опорного He-Ne-лазера на удалении около 5 м. UV-FIR-монохроматор
SBP300, Zolix Instruments Co., Ltd. С решеткой 66 штр./мм и пироэлектрический
детектор МГ-30, Россия, с диапазоном чувствительности Δλ
= 2−20 мкм и NEP =
1,5⋅10-9 Вт/(см⋅Гц1/2) использованы для измерения
длины волн
лазера и регистрации излучений соответственно. Привод
шагового двигателя и обработка сигналов с выхода детектора излучения в данном
исследовании, после преобразования в цифровой вид в аналого-цифровом
преобразователе собственного изготовления, производились в автоматическом
режиме. Определение угла ФС производилось с усреднением по 10 циклам измерений,
в которых результат измерений в каждом положении кристалла усреднялся по 1000
импульсам излучения лазера. Излучение
:YSGG-лазера, генератора бегущей
волны и ПГС направлялось на кристаллы непосредственно.
:YSGG-лазер (длина волны излучения
2,79 мкм) работал в режиме модуляции добротности с длительностью импульсов
порядка 100 нс с энергией одиночных импульсов ∼ 16 мДж. Генератор бегущей волны
Topas-C, Литва, генерировал 60−90-фемтосекундные импульсы излучения с
частотой 1 кГц на длинах волн 1,1−1,6 и 1,6−2,9 мкм соответственно
сигнальной и холостой полосы излучения. Общая средняя мощность его излучения
составляла 0,5 Вт при нестабильности ≤ 1%. Ti:Sapphire фемтосекундная
лазерная система его накачки состояла из Nd:YLF-лазера с ГВГ из кристалла BBO,
задающего Ti:Sapphire-лазера Mira 900-B, Coherent, выходное излучение которого
усиливалось в Ti:Sapphire оптическом усилителе Legend Elite, Coherent. В этом
случае УФ-ДИК-монохроматор Zolix SPB300, КНР, с решеткой 300 штр./мм и
фоторезистор DPbS2900, Zolix, КНР, из PbS с параметрами: Δλ
= 0,8−2,9 мкм, D ≥
≥ 5⋅108 (см⋅Гц1/2 )/Вт, τ ≤ 200 мкм, вольтовый отклик ≥ 3⋅104 В/Вт, использованы соответственно
для измерения длины волны и регистрации импульсов ВГ. ПГС на основе кристалла
работал на длине волны ∼ 5 мкм. При измерении длины волны в
этом случае использована решетка 150 штр./мм, а для регистрации ВГ −
пироэлектрический детектор МГ-30. Сигнал ВГ во всех этих случаях также
усреднялся по 1000 импульсам в каждом цикле измерений. Тем не менее из-за
нестабильности энергетических параметров и направления выхода излучения ошибка
в измерениях углов ФС была не более 30′ в случае использования
YSGG-лазера и ПГС на основе кристалла
и неплоскостности рабочих
поверхностей кристалла. Из-за проблем ввода излучения в кристаллы GaSe длина
волны накачки была ограничена снизу длиной волны 2,5 мкм.
Рис 3. Диаграмма ФС для ГВГ в кристалле GaSe как функции длины волны (а) и частоты (б) источника
накачки
Результаты измерений углов ФС (рис. 3) для ГВГ
и
YSGG-лазеров и ПГС на основе
кристалла
находятся в хорошем соответствии с кривыми ФС, рассчитанными
для ГВГ по данным для подавляющей части всех исследованных образцов кристаллов
в пределах исследованного диапазона 2,5−10,8 мкм, а также с большей
частью известных экспериментальных данных. Некоторое различие в в условиях ФС в
равной степени характерно для чистых кристаллов GaSe плохого (α
≈ 0,15− 0,2
см-1) оптического качества и легированных кристаллов GaSe:Er (0,5 aт. %).
Чистые кристаллы GaSe невысокого оптического качества, как и легированные
кристаллы GaSe:Er (0,5 aт. %) с относительно невысоким оптическим качеством и
несколько ухудшенным качеством кристаллической структуры, показывают тренд в
сторону больших углов ФС, что и следует ожидать. Внешние углы ФС для ГВГ
CO2-лазера в качественных кристаллах GaSe лежат ниже кривых ФС, на величину ∼ 1°. Это указывает на некорректность
предположения идентичности чистых кристаллов GaSe высокого оптического качества
и легированных кристаллов GaSe:Er (0,5 ат. %) и взаимоприменимость
соответствующих дисперсионных уравнений. Различие в углах ФС, согласно
дисперсионным уравнениям, несущественно.
Заключение
Состояние синхронизма весьма чувствительно к направлению распространения
света. Малейшее отклонение от угла синхронизма
приводит к резкому уменьшению
мощности второй гармоники. Как следствие, эффективность преобразования сильно
зависит и от угловой ширины (расходимости) падающего пучка света. Кроме
требования высокой направленности, весьма жесткие требования предъявляются и к
спектральному составу основного излучения. Дело в том, что при изменении
частоты эллипсоиды индикатрисы
вследствие дисперсии деформируются, а сферы
изменяют свои радиусы. В результате
углы фазового синхронизма для различных спектральных составляющих возбуждающего
пучка различаются. Следует также отметить, что показатели преломления зависят и
от температуры кристалла Т . Поэтому при изменении Т изменяется и направление
фазового синхронизма
. На практике это приводит к необходимости поддержания
температуры нелинейного кристалла с точностью до долей градуса.
Список литературы
1. Зуев В.В.,
Ланский Г.В., Морозов А.Н. и др. Фазовый синхронизм для генерации второй
гармоники в кристалле GaSe // Известия высших учебных заведений. Физика 2010. №
12. С. 13-20.
.
Лабараторная работа № 4. Генерация второй гармоники в импульсно-переодическом
лазере на алюмо-аттриевом гранате
. Мишина
А.В., Мишин А.Д. Моделирование условий возникновения фазового синхронизма при
генерации второй оптической гармоники в неупорядоченных структурах // Вестник
ТвГУ. Серия «Физика». 2010 выпуск 10. С. 37-44
. Слабко В.
В. Нелинейная оптика. Версия 1.0 [Электронный ресурс]: конспект лекций /