Фиалка полевая и трехцветная и их медицинское применение
МИНИСТЕРСТВО ЗДРАВООХРАНЕНИЯ РБ
ВИТЕБСКИЙ ГОСУДАРСТВЕННЫЙ МЕДИЦИНСКИЙ
УНИВЕРСИТЕТ
ФАРМАЦЕВТИЧЕСКИЙ ФАКУЛЬТЕТ
КУРСОВАЯ РАБОТА
ПО ФАРМАКОГНОЗИИ
ТЕМА: Фиалка полевая и трехцветная и
их медицинское применение
Исполнитель: студент 4 группы 3 курса
фармацевтического факультета
Казицкий Олег Павлович
Научный руководитель:
Коноплева Мираида Макаровна
Витебск, 2012
Оглавление
Введение
Название сырья, растений и семейства на русском и латинском языках
(происхождение названия, синонимы)
Краткое описание растений
Ареал, места обитания, экологические особенности
Отличия от морфологически сходных видов
Сбор, обработка, сушка, хранение ЛРС
Химический состав
Подлинность ЛРС
Макроскопические диагностические признаки
Микроскопия
Качественные химические реакции
Доброкачественность ЛРС
Определение содержания экстрактивных веществ в лекарственном
растительном сырье
Использование и применение в медицине
обычно заканчивается [10]. Заключение
Заключение
Список использованной литературы
Введение
В настоящее время мы всё чаще и чаще обращаем своё внимание
на целебное действие трав. Пока не заденет человека та или иная болезнь он даже
не задумается о том, что вокруг нас находится чудесная сила природы. Правда,
чтобы она была действительно чудесной не обходимо иметь определённую сумму
знаний. Если не хватает времени и желания обрести эти знания, то просто стоит
заглянуть в аптеку.
История использования растений в качестве лечебных средств
начинается с глубокой древности. Многовековой практикой врачевания были открыты
лечебные свойства многих растений.
Благодаря успехам химии действующие вещества растений были
выделены в чистом виде и получили широкое применение в медицине.
Созданные на основе лекарственных растений препараты влияют
на организм мягче, чем синтетические, лучше переносятся больным, значительно
реже вызывают побочные аллергические реакции. Поэтому лекарственные
растительные препараты все шире применяются в комплексном лечении больного.
Название
сырья, растений и семейства на русском и латинском языках (происхождение
названия, синонимы)
Трава фиалки Herba Violae
Фиалка трехцветная Viola tricolor
Фиалка полевая Viola arvensis
Сем. фиалковые Violaceae
Родовое название Viola, ae, f. - латинское название пахнущих крестоцветных.
Видовое определение arvensis,e - полевой; tricolor,oris - трехцветный. Фиалка
трехцветная встречается под названиями анютины глазки, братики, трехцветка,
топорчики [5], мотыльки, полуцвет, воробьиное семя, сорочье семя, золотуха,
камчуг, недушник [11].
Эти растения имеют холодную ауру. Им благоприятствует планета
Сатурн, и их стихией является вода. Используются цветки анютиных глазок. Обычно
носят с собой, чтобы привлечь любовь [11].
Бытовала легенда о юноше и девушке, которые горячо полюбили
друг друга, и, узнав, что они брат и сестра, превратились в цветок, окрашенный
в разные цвета, дабы никогда больше не разлучаться. С тех пор этот цветок
считается символом верности.
Фиалку необычайно почитали древние греки. Они украшали
венками и букетами из фиалок не только себя, но и свои жилища, статуи богов.
В римской мифологии фиалку называют цветком Юпитера. Легенда
повествует о том, что однажды в жаркий день Венера решила искупаться и вдруг
увидела, что несколько смертных смотрят на нее. Разгневавшись, богиня воззвала
к Юпитеру, требуя смерти виновных. Но Юпитер решил их превратить в цветок,
который олицетворял бы удивление и любопытство, погубившее несчастных.
(Название "анютины глазки" также связано с легендой о девушке,
превращенной в цветок за излишнее любопытство).
фиалка полевая трехцветная медицинский
Римляне использовали фиалку как целебную траву, а также
добавляли ее в вино, получившее название весеннего напитка. Без фиалок не
обходились ни радостные события, ни религиозные празднества, поэтому
окрестности Рима, как и окрестности Афин, напоминали плантации фиалок. Их
воспевали римские поэты, а в городе Генна (Сицилия) чеканили монеты с
изображением этих цветов.
У древних галлов фиалка считалась символом невинности,
скромности и девственности, ею осыпали ложе новобрачных и украшали могилу безвременно
погибшей невесты. От галлов любовь к этому цветку унаследовали французы, у
которых во времена "цветочных игр" (поэтических состязаний),
происходивших ежегодно в Тулузе, одной из высших наград была золотая фиалка.
Страстно любила фиалки и красавица Жозефина, которая при
первой встрече с молодым генералом Бонапартом была облачена в платье, утканное
фиалками, а единственным ее украшением были живые цветы. Прощаясь с Наполеоном,
она уронила букетик цветов к его ногам. Каждый год в день своей свадьбы императрица
Жозефина находила на своем ночном столике свежий букетик фиалок, а после смерти
Наполеона в его золотом медальоне, с которым он никогда не расставался, нашли
две засушенные фиалки и локон белокурых волос.
В Германии же фиалку называют мачехой: она как будто
напоминает лицо сердитой женщины. Считается, что самый крупный и ярко
окрашенный нижний лепесток - это злая мачеха, два средних, нарядных лепестка -
ее дочери, а два верхних, самых маленьких и бледных - бедные падчерицы. Но во
все времена этот удивительный цветок был все-таки цветком влюбленных. И в
Валентинов день именно фиалки посылают любимым, ведь они не нуждаются в словах
[9].
Краткое
описание растений
Однолетние или двулетние растения, высотой 10-40 см, с тонким
буроватым стержневым корнем. Стебли простые или ветвистые, прямостоячие,
восходящие или почти лежащие. Листья длиной 0,5-7 см, шириной 5-20 мм,
очередные, коротковолосистые, тупозубчатые, с крупными лировиднораздельными
прилистниками; нижние листья широкояйцевидные, черешковые, верхние -
продолговатые, по краю пильчатые почти сидячие.
Цветки у фиалки трехцветной одиночные, длиной 2-3 см,
зигоморфные, на длинных (3-13 см) цветоножках, с двумя прицветниками. Венчик
длиннее чашечки.
Чашелистиков 5, они линейные или ланцетовидные, шириной 1,5-5
мм, в основании с овальными или ромбическими, обращенными вниз придатками.
Венчик длиной 18-27 мм, из пяти неравных лепестков, у основания опушенных
тонкими изогнутыми волосками. Два верхних лепестка обратнояйцевидные, большей
частью сине-фиолетовые, реже бледно-фиолетовые, два боковых-эллиптические,
налегающие краями на верхние, сине-фиолетовые или желтые с одним-тремя темными
нектарными полосками; нижний лепесток треугольный с закругленными краями,
крупнее других, у основания всегда желтый, с пятью-семью темными полосками, по
краю фиолетовый, часто бледный с синеватым шпорцем. Тычинок 5, почти сидячих,
плотно прилегающих пыльниками к пестику; две тычинки с придатками, вдающимися в
шпорец. Пестик с верхней одногнездной завязью и искривленным столбиком; рыльце
шаровидное, полое. У фиалки полевой верхний лепесток обычно белый, реже
светло-фиолетовый, а остальные желтые, венчик равен по длине чашечке или меньше
ее. Плод - продолговато-яйцевидная коробочка, растрескивающаяся по швам на три
створки. Одно растение приносит свыше 3000 семян. Семена обратнояйцевидные,
гладкие, желтовато-коричневые [1,2,8].
Ареал, места
обитания, экологические особенности
Фиалка трехцветная европейский вид. Широко распространена по
всей европейской части СНГ. Северная граница ареала проходит по линии Мурманск,
Кировск, Кандалакша, Белое море, Поной (Кольский п-ов), гор. Мезень, среднее
течение р. Мезень, города Ухта, Печора, Воркута. Далее граница идет по 60
меридиану до Свердловска, выклиниваясь на востоке у Тобольска.
Южная граница ареала проходит через Челябинск, южнее Уфы
(между Уфой и Оренбургом), поднимается к северу до Ижевска, затем через
Куйбышев, Саратов, Волгоград, несколько южнее Цимлянского водохранилища,
направляется к Ростову-на-Дону, далее следует через Донецк к Запорожью, Одессе,
Кишиневу и Карпатам. На северо-западе выходит к побережью Балтийского моря, по
южному берегу Финского залива достигает Ленинграда, затем идет на север вдоль
границы с Финляндией до Мурманска.
Почти в тех же районах, что и фиалка трехцветная растет
фиалка полевая, проникая дальше на cевер и восток.
Фиалка - светолюбивое растение открытых местообитаний,
выносящее лишь слабое затенение. Произрастает среди кустарников, в светлых
сосновых, мелколиственных, реже широколиственных лесах. Предпочитает
среднеувлажненные почвы, но встречается и на более сухих и влажных местах.
Растет преимущественно на луговых, довольно богатых, слабокислых или даже
нейтральных почвах (рН 6,0-7,5). Умеренного обилия достигает на бедных
мезотрофных почвах, редко встречается на бедных, кислых (рН 5,0-5,5),
выщелоченных, песчаных и супесчаных почвах. Не выносит конкуренции других
растений, поэтому поселяется преимущественно на нарушенных местообитаниях.
В елово-широколиственных лесах, борах, дубовых, грабовых
лесах и в их производных - березняках и осинниках, фиалка трехцветная принимает
лишь незначительное участие в сложении травостоя. Во всех типах леса она растет
лишь на опушках, полянах, просеках. Встречается также по краям торфяников и
незадерненным берегам водоемов. В лесостепной и степной зоне фиалка приурочена
к склонам балок, оврагов, байрачным лесам и зарослям кустарников.
Наибольшего обилия она достигает на сельскохозяйственных
угодьях, сухих залежах, паровых полях, в посевах различных культур, парках, на огородах,
обочинах дорог и насыпях железных дорог [11].
Отличия от
морфологически сходных видов
В некоторых районах ошибочно, вместо фиалки заготавливают
траву марьянника (Melampуrum), которые также имеют название Иван-да-марья.
Отличают его по желтым двугубым цветкам и фиолетовым прицветникам (таблица 1)
[4].
ОТЛИЧИТЕЛЬНЫЕ ПРИЗНАКИ ФИАЛОК ОТ ПРИМЕСЕЙ
|
Название
растения
|
Листья
|
Прилистники
|
Цветки
|
|
Фиалка
трехцветная -
Viola tricolor
|
Длинной до 6-7
см. с 3-6 зубцами с каждой сторны.
|
Перисто-раздельные
|
Одиночные,
пазуш-ные на длинных цве-тоножках. Венчик длиннее чашечки (до 30мм.),
фиолетово - желтые, не образуют трубок
|
Длинной до 2,5
см. с 2-5 зубцами с каждой стороны.
|
Перисто-раздельные
|
Одиночные.
Венчик не длиннее чашечки (6-14мм.), бледно-желтые, не образуют трубок.
|
|
Марьянник
гребен-чатый - Melampyrum cristatum
|
Длинной 3-5
см., цельнокрайние, с 1-2 зубцами с каждой стороны (у основания).
|
Отсут-ствуют
|
В густых,
колосовид-ных соцветиях на верхушках стеблей. Венчики пурпурные с желтым
краем, трубчатые.
|
|
Марьянник
дубрав-ный-Melampyrum nemorosum
|
Длинной 3-8
см., цельнокрайние, с 1-2 зубцами с каждой стороны (у основания),
|
Отсут-ствуют
|
В густых,
колосовид-ных соцветиях. Прицветники ярко-фиолетовые. Венчики
золотисто-фиоле-товые, трубчатые.
|
Сбор,
обработка, сушка, хранение ЛРС
Собирают надземную часть во время цветения в мае - июне,
срезая стебли ножом или серпом, складывают рыхло, без уплотнения в корзины или
мешки. Сушат в хорошо проветриваемом помещении, на чердаках, раскладывая слоем
толщиной 5-7 см и периодически перемешивая. Сушка считается законченной, когда
стебли станут ломкими. При искусственной сушке температура не должна быть выше
40°C. Хранят в сухих, хорошо проветриваемых помещениях, на стеллажах. Срок хранения
1,5 года.
Запах сырья слабый, своеобразный, вкус сладковатый с
ощущением слизистости [4,8].
Химический
состав
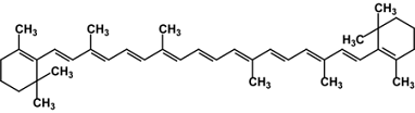
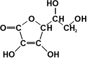
Трава фиалки трехцветной содержит каротиноиды (β-каротин, виолоксантин, зеаксантин, ауроксантин, флавоксантин),
аскорбиновую кислоту, 0,087% салициловой кислоты, 9,5% слизей, 6,2% урсоловой
кислоты, флавоноиды (витексин, изовитексин, ориентин, изоориентин, виолантин,
вицетин-2 и др.). Листья содержат 0,13%, стебли - 0,08%, корни - 0,05% рутина
(виолаквер-цитрина). В цветках найдено эфирное масло (состоящее главным образом
из метилового эфира) и антоциановые гликозиды (виоланин, 3-гликозид
дельфинидина и 3-гликозид пеонидина); в корнях обнаружены следы алкалоидов
[1,8,12,13].
Рутин
Дельфинидин: R,R’=OH Пеонидин: R= OCH3; R’= H
аскорбиновая кислота
В-каротин
Виоланин

Витамин К1 Витамин К2
Подлинность
ЛРС
Подлинность - соответствие исследуемого объекта наименованию,
под которым оно поступило для анализа. Подлинность ЛРС устанавливается
путем:
. Макроскопического анализа.
. Микроскопического анализа.
. Качественного химического анализа.
. Люминисцентного анализа [5].
Макроскопические
диагностические признаки
Цветки у фиалки трехцветной одиночные, зигоморфные, на
длинных (3-13 см) цветоножках, с двумя прицветниками. Венчик длиннее чашечки.
Чашелистиков 5, они линейные или ланцетовидные в основании с
овальными или ромбическими, обращенными вниз придатками. Венчик из пяти
неравных лепестков, у основания опушенных тонкими изогнутыми волосками. Два
верхних лепестка большей частью сине-фиолетовые, реже бледно-фиолетовые, два
боковых-сине-фиолетовые или желтые с одним-тремя темными нектарными полосками;
нижний лепесток крупнее других, у основания всегда желтый, с пятью-семью
темными полосками, по краю фиолетовый, часто бледный с синеватым шпорцем.
Тычинок 5, почти сидячих, плотно прилегающих пыльниками к пестику [8].
У фиалки полевой верхний лепесток обычно белый, реже
светло-фиолетовый, а остальные желтые, венчик равен по длине чашечке или меньше
ее [2,3].
Микроскопия
При рассмотрении листа с поверхности у обоих видов фиалки
видны клетки эпидермиса, с нижней стороны более извилистые, чем с верхней;
устьица располагаются с обеих сторон и окружены 3-4 клетками эпидермиса
(аномоцитный тип) [рис2]. Простые волоски нежнобородавчатые, с толстыми
стенками и заостренным концом [рис.1], располагаются преимущественно на жилках
и по краю листа. Железистые волоски [рис3] с многоклеточной головкой на широкой
многоклеточной ножке, встречаются только по краю листа с углублениями между зубцами
и на концах зубцов. В мезофилле листа видны многочисленные крупные друзы
оксалата кальция.
Клетки эпидермиса лепестков имеют сосочковидные выросты. На
эпидермисе средних и нижних лепестков (у основания) располагаются длинные
одноклеточные тупоконечные волоски с тонкими стенкам [рис.4]. На эпидермисе
нижнего лепестка при входе в шпорец видны извилистые длинные одноклеточные
бугорчатые волоски [рис.5]. В паренхиме нижней части лепестков встречаются
друзы оксалата кальция. [1,4].


рис.1 рис.2 рис.3
рис.4 рис.5
Качественные
химические реакции
Основной группой БАВ являются флавоноиды.
Для обнаружения флавоноидов в ЛРС используют химические
реакции и хроматографию. Химические реакции подразделяются на цветные и реакции
осаждения.
Цветные реакции
. Специфической реакцией на флавоноиды является цианидиновая
проба (проба Шинода), основанная на восстановлении карбонильной группы
атомарным водородом в кислой среде в присутствии металлического магния и
образовании антоцианидинов. Продукты восстановления флавонов имеют окраску
оранжевую, флавонолов, флаванонов - красно-фиолетовую. При использовании цинка
положительную реакцию дают флавонолы и флавонол-3-гликозиды, а флаваноны не
дают её. Цианидиновую реакцию не дают также изофлавоны, неофлавоноиды, халконы
и ауроны. Халконы и ауроны образуют красное окрашивание при добавлении
концентрированной хлористоводородной кислоты за счет образования оксониевых
солей.
. Реакция со щелочами (аммиаком) - флавоноиды дают различную
окраску от желтой до коричневой; халконы и ауроны со щелочами дают красное
окрашивание или ярко-желтое; антоцианидины - синее окрашивание.
. Флавоноиды, благодаря карбонильным и фенольным оксигруппам,
способны образовывать комплексы с солями металлов:
с хлоридом окисного железа (III) флавоноиды образуют
комплексы, окрашенные в различные цвета в зависимости от структуры (от зеленого
до коричневого цвета);
борно-лимонная реакция -
-оксифлавоны и 5-оксифлавонолы взаимодействуют с борной
кислотой в присутствии лимонной (или щавелевой), образуя комплекс ярко-желтого
окрашивания с желто-зеленой флуоресценцией в УФ-свете.
Если флавонол или флавон не содержит гидроксил в 5 положении,
то реакция протекает за счет гидроксила 3 положения;
реакция с треххлористой сурьмой - 5-оксифлавоны и
5-оксифлавонолы, взаимодействуя с треххлористой сурьмой, образуют комплексные
соединения, окрашенные в желтый или красный цвет;
он
многие флавоноиды дают окрашенные комплексы желтого цвета с
5% спиртовым раствором алюминия хлорида, с 2% спиртовым раствором циркония
хлорида. Флавоноиды, имеющие две оксигруппы у С3 и С5, дают хелаты жёлтого
цвета за счёт образования водородных связей между карбонильной и гидроксильной
группами.
. Флавоноиды со свободной 7-оксигруппой вступают в реакцию с
солями диазония, образуя оранжевые или красные продукты азосочетания.. Реакции
осаждения
Все флавоноиды с основным ацетатом свинца образуют осадки,
окрашенные в ярко-желтый или красный цвет.
Средним ацетатом свинца осаждаются лишь флавоноиды,
содержащие свободные орто-гидроксильные группы в 3', 4' - положениях кольца В.
III. Хроматография
Для обнаружения флавоноидов в растительном материале широко
используется бумажная и тонкослойная хроматография. Обнаружение флавоноидов на
хроматограммах проводят:
по окраске пятен в видимом свете (антоцианы);
по характеру свечения в УФ-свете: флавоны,
флавонол-3-О-гликозиды, флаваноны и халконы обнаруживаются в виде
темно-коричневых пятен, флавонолы и их 7-О-гликозиды - в виде желтых или
желто-зеленых;
по характеру свечения в УФ-свете после проявления 5%~ ным
спиртовым раствором хлорида алюминия и последующего прогревания хроматограммы
при 105°С 2-3 мин: наблюдают пятна флавоноидов с интенсивной желтой и
желто-зеленой флуоресценцией [7].
Доброкачественность
ЛРС
Доброкачественность-соответствие ЛРС требованиям НД.
Доброкачественность ЛРС определяется количеством действующих веществ, чистотой
сырья, естественной степенью измельчения (для цельного сырья), влажностью,
содержанием золы.
Числовые показатели. Цельное сырье. Экстрактивных веществ,
извлекаемых водой, не менее 30%; влажность не более 14%; золы общей не более
13%; золы, нерастворимой в 10% растворе хлористоводородной кислоты, не более 3
%; пожелтевших листьев и стеблей не более 7 %; других частей растения (плодов,
створок плодов, корней, в том числе отделенных при анализе) не более 3 %;
органической примеси не более 3 %; минеральной примеси не более 1 %.
Измельченное сырье. Экстрактивных веществ, извлекаемых водой,
не менее 30 %; влажность не более 14 %; золы общей не более 13 %; золы,
нерастворимой в 10 % растворе хлористоводородной кислоты, не более 3 %;
пожелтевших кусочков листьев и стеблей не более 7 %; других частей растения
(плодов, створок плодов, корней) не более 3 %; частиц, не проходящих сквозь
сито с отверстиями диаметром 7 мм, не более 10 %; частиц, проходящих сквозь
сито с отверстиями размером 0,5 мм, не более 10 %; органической примеси не
более 3 %; минеральной примеси не более 1 % [3].
Определение
содержания экстрактивных веществ в лекарственном растительном сырье
Определение экстрактивных веществ в сырье проводят в случае
отсутствия в нормативно-технической документации метода количественного
определения действующих веществ.
Содержание экстрактивных веществ в процентах (X) в пересчете
на абсолютно сухое сырье вычисляют по формуле:
х= m*200*100
m1 (100 - W) '
где m - масса сухого остатка в граммах; m1 - масса сырья в
граммах; W-потеря в массе при высушивании сырья в процентах [3].
Использование
и применение в медицине
Растение обладает противовоспалительными свойствами, которые
связаны с наличием в надземной части растения фармакологически активного
эфирного масла и слизеподобных веществ, оказывающих антисептическое действие в
области желудочно-кишечного тракта, усиливающих секрецию бронхиальных желез и
облегчающих выведение мокроты. Сапонины определяют бронхолитические,
отхаркивающие и мочегонные свойства растения [8].
Не менее активным компонентом травы фиалки считается и
флавоновый гликозид виолакверцетин, который так же, как и рутин, при местном и
при резорбтивном действии способствует уплотнению клеточных мембран, замедляет
всасывание различных веществ воспаленными тканями, что характерно для
противовоспалительного действия флавоноидов и дубильных веществ.
При приеме препаратов фиалки внутрь, кроме местного
противовоспалительного эффекта, наблюдается также некоторое спазмолитическое и
желчегонное действие. Препараты фиалки, подобно рутину, тормозят развитие
травматического отека у крыс, оказывают противовоспалительное действие на
модели декстранового отека, а также снижают проницаемость сосудов и дают
выраженный гипосенсибилизирующий эффект
Как лекарственное средство фиалку использовали еще в
древности.
Препараты фиалки трехцветной используют самостоятельно в виде
настоев и отваров, а также в смеси с другими лекарственными растениями
аналогичного терапевтического действия. В основном траву фиалки назначают как
отхаркивающее и смягчающее кашель средство при острых респираторных
заболеваниях, хронических бронхитах и бронхопневмониях, при коклюше.
Настои и отвары травы фиалки усиливают секрецию бронхиальных
желез, размягчают воспалительные налеты, облегчают отделение мокроты, повышают
двигательную активность реснитчатого эпителия слизистых оболочек, способствуя
более быстрой эвакуации мокроты и в связи с этим успокаивая кашель.
Траву фиалки назначают при воспалительных заболеваниях почек
и мочевыводящих путей. Растение используют в комплексной терапии при
мочекаменной болезни, мочекислом диатезе и при других урологических
заболеваниях.
Противовоспалительные и гипосенсибилизирующие свойства фиалки
используются при аллергических дерматитах, экссудативном диатезе, экземе. При
этих заболеваниях применяют траву фиалки местно в виде примочек и для
приготовления ванн.
Противопоказаний к применению препаратов из фиалки не
выявлено. Однако при передозировке галеновых форм фиалки возможны тошнота и
рвота. Рвотное действие приписывают алкалоиду виолаэметину и сапонинам.
В народной медицине настои травы фиалки применяют еще при
ревматизме, подагре, а также как потогонное, противоаллергическое и
кровоочистительное средство. Довольно широко используют настои и отвары фиалки
при золотухе у детей.
В качестве лекарственного растения фиалка известна и за
рубежом. В Болгарии, например, ее. применяют как потогонное, противоревматическое
и мягчительное средство. В Колумбии фиалкой лечат лихорадку, в Бразилии -
заболевания дыхательных путей. Фиалку успешно применяют в косметологии.
Благодаря своим противовоспалительным, вяжущим, мягчительным свойствам настой
этого растения рекомендуется в виде примочек при жирной себорее лица и головы.
В сборах с другими лекарственными растениями, например, крапивой, лопухом,
полезно ополаскивать волосы после мытья.
Настой травы фиалки трехцветной (Infusum herbae Violae
tricoloris): 5 г (1 столовую ложку) сырья заливают 200 мл (1 стакан) горячей
кипяченой воды, нагревают на кипящей водяной бане 15 мин, охлаждают при
комнатной температуре 45 мин, процеживают, остаток растительного сырья
отжимают. Принимают по 1/2 стакана 3-4 раза в день при простудных заболеваниях,
при воспалительных заболеваниях желудочно-кишечного тракта и почек.
Две столовые ложки измельченного сырья заваривают стаканом
кипятка, настаивают 2 часа и процеживают. Используют для полоскания полости рта
[11].
СПОНДИЛЁЗ. При деформирующем спондилёзе берутся поровну трава
фиалки трёхцветной, стручки фасоли, кукурузные рыльца, листья толокнянки, почки
берёзы. 1 столовую ложку смеси залить 1 стаканом кипятка, настоять 20 минут.
Принимать по 2,3 столовые ложки 2,3 раза в день. Торопиться не надо, дозу не
увеличивать. Лечение рассчитано на длительный срок (на всю зиму, например).
Можно усилить приёмом настойки сабельника по чайной ложке 3 раза в день и
лёгкими втираниями в позвоночник настойки дягиля, бузины красной, чередуя их
между собой через 3,4 недели. В приёме травяного настоя через 3,4 недели тоже
сделать перерыв на неделюполторы, продолжая в это время пить сабельник.
ОСТЕОХОНДРОЗ. Лечение точно такое же.
ГЛОМЕРУЛОНЕФРИТ. Тоже готовится смесь: поровну взять фиалку,
траву буквицы и почки чёрного тополя.1 столовую ложку сбора залить стаканом
кипятка, настоять 30 минут, принимать по 1/4 стакана 4 раза в день перед едой.
Лечение длительное: ведь поражаются капилляры клубочков почечной ткани, где
фильтруется кровь и образуется моча. Пройдя месячный курс такого лечения, можно
на месяц сменить его другим лечением, затем снова вернуться к этому сбору. Тоже
надо запастись терпением и выдержкой (внимательно просмотрите приведённые в
книге методы лечения и выбирайте себе подходящее, не имеющее противопоказаний).
КРАУРОЗ (зуд влагалища при атрофии вульвы, обычно у пожилых
женщин). Составляется сбор: 2 части фиалки, 2 части череды, по 1 части травы
чистотела, листа берёзы и листа чёрной смородины.2 столовые ложки сбора
заваривают стаканом кипятка. Настоять 1 час, процедить. На день потребуются 2,3
стакана настоя. Из них 100 мл принимается внутрь на ночь. Остальной настой в
тёплом виде используется на спринцевание. Желательно спринцеваться 2 раза в
день в течение 2 месяцев. На этом курс лечения обычно заканчивается [10].
Заключение
В 21-ом веке лекарственное растительное сырьё, не только не
потеряло своей значимости вопреки многим прогнозам скептиков, а напротив очень
часто применяется в лечебной практике. Это связано в первую очередь с тем, что
многочисленные исследования, проводимые как в ближнем, так и в дальнем
зарубежье показали, что растительное лекарственное сырьё намного безопаснее, а
зачастую и эффективнее, нежели чем синтетические лекарственные средства может
излечивать заболевания различной природы и этиологии. Кроме того, немало важно
заметить тот факт, что лекарственные средства на основе лекарственного
растительного сырья значительно реже вызывают различные осложнения и
аллергические реакции. А ведь 21 век это век аллергии и аутоиммунных
заболеваний. Поэтому сегодня всё больше врачей, да и самих пациентов там, где
это возможно отдают предпочтение препаратам из лекарственных растений. Начало
21-го века можно смело назвать новым "золотым" веком фитотерапии.
Фиалка обладает противовоспалительными свойствами, которые
связаны с наличием в надземной части растения фармакологически активного
эфирного масла и слизеподобных веществ. Сапонины определяют бронхолитические,
отхаркивающие и мочегонные свойства растения.
При приеме препаратов фиалки внутрь, кроме местного
противовоспалительного эффекта, наблюдается также некоторое спазмолитическое и
желчегонное действие.
Препараты фиалки трехцветной используют самостоятельно в виде
настоев и отваров, а также в смеси с другими лекарственными растениями аналогичного
терапевтического действия.
Проведённая мною работа имеет научно - познавательное
значение. Я считаю, что изложенная в ней информация способствует развитию
творческих способностей и формирует профессиональные знания. Работа доказывает,
что средства растительного происхождения составляют основу народной и научной
медицины. Огромный ассортимент и ощутимая польза, которую они приносят,
отодвигают на задний план другие лекарственные средства.
Список
использованной литературы
1.
Муравьева Д.А. Фармакогнозия. - М.: Медицина, 1991. - С.470-471.
.
Фармакогнозия: Атлас. / Под ред. Н.И. Гринкевич, Е.А. Ладыгиной - М.: Медицина,
1989. - С.325-328.
.
Государственная Фармакопея СССР, ХI изд., М.: Медицина, 1990. - Вып. 2 - С. 340-341.
.
Правила сбора и сушки лекарственных растений (Сборник инструкций). - М.:
Медицина, 1985. - С. 270-272.
.
Фармакогнозия: Курс лекций. / Под ред. Шелюто В.Л. - Витебск: ВГМУ, 2002. - С.
210-212.
.
Лекарственное растительное сырье: Сборник стандартов. - М.: Издательство
стандартов, 1980. - С. 106-107.
.
Коноплева М.М. Фармакогнозия: природные биологически активные вещества. -
Витебск: ВГМУ, 2007. - С. 153-155.
.
Plant. geoman.ru - Жизнь растений
.
www.officinalis plant.com - Лекарственные
растения
.
www apteka. es - Зеленая аптека
.
mag.org.ua/rast. /rsttt. /trava-Лекарственные растения
.ru.
wikipedia.org-Свободная
энциклопедия
.
www.eco resorce.ru-Целебные травы