Измерение электродвижущей силы источника тока

  • Вид работы:
    Практическое задание
  • Предмет:
    Физика
  • Язык:
    Русский
    ,
    Формат файла:
    MS Word
    263,35 Кб
  • Опубликовано:
    2013-01-13
Вы можете узнать стоимость помощи в написании студенческой работы.
Помощь в написании работы, которую точно примут!

Измерение электродвижущей силы источника тока

Федеральное государственное бюджетное образовательное учреждение высшего профессионального образования

«Ижевский государственный технический университет

имени М.Т. Калашникова»

Кафедра «физики и оптотехники»







Лабораторная работа

Тема: Измерение электродвижущей силы источника тока



Выполнил:

Студент группы С03-201-1

Митрофанов Р.Р.

Проверил:

Калугин А.И.



Ижевск 2012

Введение

Цель работы: научиться измерять ЭДС источника тока методом компенсации.

Приборы и принадлежности: выпрямитель ПУ-1М, стабилизированный источник питания, два исследуемых гальванических элемента, перекидной шестиполюсный переключатель, гальванометр, реостат, используемый в качестве сопротивления R.

Теоретическая часть

Между полюсами источника тока существует разность потенциалов (напряжение) как в отсутствие тока, когда цепь разомкнута, так и при наличии тока, когда источник замкнут на внешнее сопротивление. Для поддержания этой разности потенциалов внутри источника происходит разделение разноименных зарядов и перенос их на соответствующие полюса источника. Силы, разделяющие заряды, имеют неэлектрическую природу и называются сторонними силами. Природа этих сил может быть разнообразна (химическая, магнитная, механическая и т.д.). Разделению и переносу зарядов внутри источника тока препятствуют, во-первых, внутреннее электрическое поле, во-вторых, сопротивление среды источника. Работа сторонней электроразделительной силы слагается из работы А1, совершаемой против сил электрического поля внутри источника, и работы против механических сил сопротивления среды А2

где

поэтому  (1)

Работа, совершаемая сторонней электроразделительной силой при перемещении между полюсами источника тока единичного положительного заряда, называется электродвижущей силой источника.

 (2)

Если источник тока разомкнут, то А2 = 0. В этом случае сторонние силы не перемещают заряды внутри источника, а лишь поддерживают установившееся на полюсах разделение зарядов. Поэтому

 (3)

т.е. электродвижущая сила равна разности потенциалов на полюсах разомкнутого источника тока. В замкнутой цепи ЭДС равна сумме падений напряжения на внутреннем и внешнем участках цепи

 (4)

Методическая часть

Измерение ЭДС исследуемого элемента обычно производят сравнением с ЭДС эталонного источника, которая заранее известна с высокой точностью. Для сравнения ЭДС двух элементов используется компенсационная схема (рис.1).


Вспомогательный источник тока G, замыкается на сопротивление RAB (потенциометр R). Гальванометр Р измеряет силу тока, проходящего через GBX и GC. Включим в цепь сначала эталонный источник GC. Перемещая подвижный контакт потенциометра R, можно добиться равенства нулю тока через GC, (что видно по гальванометру). Отсутствие тока в замкнутом контуре, содержащем ЭДС, возможно только в том случае, если действие ЭДС компенсировано напряжением на некотором участке цепи. В данном случае ЭДС эталонного источника (GC) компенсируется напряжением на участке RAС1, то есть:

 (5)

Заменив эталонный источник на исследуемый, также можно добиться компенсации, но при положении подвижного контакта в точке С2. При этом можно записать:

 (6)

Так при компенсации разветвления тока в узле Д не происходит (I2=0), то величина тока I определяется только значением ЭДС вспомогательного элемента (εG) и сопротивлением Rab:


и остаётся постоянной при замене GC на GBX- Разделив выражение (5) на (6), получим:

 (7)

Поскольку компенсирующее напряжение снимается с потенциометра R, то сравнение электродвижущих сил можно заменить сравнением известных величин сопротивлений в той схеме, в которую включены элементы. В лабораторной установке в качестве внешнего сопротивления R используется потенциометр, выполненный из проволоки с высоким удельным сопротивлением ρ, намотанной на каркас. Учитывая, что , а проволока имеет одинаковое сечение по всей длине, выражение (7) можно записать в виде:

 (8)

где l1 и l2 длины участков RACI и RAC2 соответственно. Потенциометр снабжён равномерной шкалой с делениями, число которых пропорционально длине. В связи с этим формулу (8) можно переписать в виде:

 (9)

где NX и NC - число делений на шкале потенциометра при включении GBX и GС соответственно. Зная εGc и измерив NX и NC, по формуле (9) можно определить ЭДС исследуемого элемента.

Ход выполнения работы

ток электродвижущая сила батарея

Измерения проводим по схеме представленной на рис.2:

Рис.2

Включаем вилку от источника в сеть (~220В). Переключатель S замыкаем на стабилизированный источник питания GC. Передвигаем ручку потенциометра так, чтобы положение стрелки гальванометра было на нуле. По шкале потенциометра определяем число делений NC. Ставим переключатель S в положение GBX.. Передвигая ручку потенциометра R, снова добиваемся отсутствия тока через гальванометр. Определяем число делений потенциометра NX.

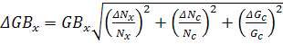
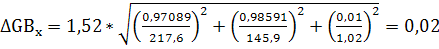
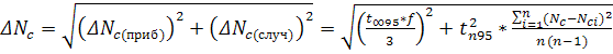
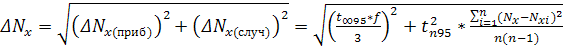
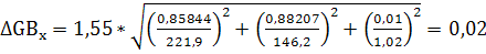
Опыт повторяем десять раз и значения заносим в таблицу. Определяем среднее значение NX и NC. Вычисляем ЭДС гальванического элемента по формуле (9), взяв средние значения NX и NC, где  - ЭДС исследуемого источника тока,  - ЭДС стабилизированного источника питания при комнатной температуре  В. Вычисляем погрешность  по формуле:

.

Аналогично определяем ЭДС второго элемента.

Результаты измерений

Для первого источника тока:

№ п./п.

1

2

3

4

5

6

7

8

9

10

Nci

144

146

142

146

147

146

145

147

147

Nxi

217

216

218

217

218

217

218

219

217

219


Для второго источника тока:

№ п./п.12345678910











Nci

147

146

146

145

146

147

147

145

147

146

Nxi

222

221

221

223

221

222

222

223

222

222


Вычисления

 

 

 

 

Где f - цена деления линейки.

 

 

Для первого источника тока:

 

 

 

 

 

 В

Для второго источника тока:

 

 

 

 

 

 В

Вывод

Я научился измерять ЭДС методом компенсаций и получил результаты с небольшими погрешностями для первого источника тока: GBx1=1,52±0,02 В; и для второго: GBx2=1,55±0,02 В. Так как номинал батарей задан 1,5±0,05 В, и вычисленные мною значения входят в этот интервал, следовательно, реальное значение ЭДС этих батарей соответствуют заданному номиналу, и они являются исправными.

Похожие работы на - Измерение электродвижущей силы источника тока

 

Не нашли материал для своей работы?
Поможем написать уникальную работу
Без плагиата!
Без нейросетей!