Суммирующий механизм для перемещения прицельных нитей в артиллеристских системах
Введение
суммирующий механизм
редуктор
Суммирующие механизмы широко используются в
современной технике при конструировании различного рода механизмов. Суммирующий
механизм основан на сложении независимых перемещений. Эти перемещения могут
быть как поступательные, так и вращательные. В современных механизмах эти два
вида движения могут сочетаться в разнообразных комбинациях. В результате данный
суммирующий механизм может быть применен к объектам различного функционального
назначения:
1. Резьбонарезной станок с гидравлическими
связями для нарезания червяков обкаточным резцом может использоваться в
станкостроительной промышленности для нарезания цилиндрических червяков
долбяком. Поскольку заготовка участвует в двух исполнительных движениях -
вращение заготовки и инструмента, а также вращение заготовки и поступательное
движение инструмента, и эти движения происходят одновременно, а заготовка
является общим звеном, одновременно принадлежащим обеим группам движений, то
сложение этих двух движений происходит на заготовке через суммирующий механизм
в виде дифференциала с коническими колесами.
2. Зуборезный станок. С помощью
суммирующего механизма осуществляется коррекция погрешности.
3. Устройство оптических прицелов. Для
более точной наводки в цель оптического прицела в фокальной (фокусной)
плоскости объектива устанавливаются прицельные приспособления. Они снабжаются
суммирующим механизмом, позволяющим с большой точностью перемещать их как в
горизонтальном, так и в вертикальном положении.
На примере устройства прицела в артиллерийских
системах сконструирован суммирующий механизм данного курсового проекта.
Назначение и область применения
Редуктором называется механизм, состоящий из
зубчатых или червячных передач, выполненный в виде отдельного органа и служащий
для передачи вращения от вала двигателя к валу рабочей машины. Назначение
редуктора - понижение угловой скорости и повышение вращающего момента ведомого
вала по сравнению с ведущим.
Редуктор состоит из корпуса, в котором размещают
элементы передачи - зубчатые колеса, валы, подшипники и т.д. В отдельных
случаях в корпусе размещают также устройства для смазывания или устройства для
охлаждения.
В данном курсовом проекте рассматривается
суммирующий механизм, предназначенный для перемещения прицельных нитей в
артиллеристских системах. Установка угла прицеливания осуществляется
суммированием вращения 2-х валов, на которых для облегчения вращения укреплены
маховики. Один из них предназначен для грубой настройки, а второй - для
коррекции установленного угла прицеливания.
Рассматриваемый суммирующий механизм, состоящий
из эвольвентного червяка, получающего вращательное движение от маховика и
поступательное движение вдоль своей оси от пары винт-гайка, которая в свою
очередь преобразует вращательное движение от второго маховика. Червяк входит в
зацепление с червячным колесом, суммарный угол поворота которого является
алгебраической суммой двух движений.
В курсовом проекте предусмотрено устройство для
постоянного выбора мертвых ходов в червячной и винтовой парах с целью устранения
погрешностей при установке угла прицеливания.
Описание и обоснование выбора
конструкции
Согласно техническому заданию на курсовое
проектирование данный суммирующий механизм предназначен для перемещения
прицельных нитей в артиллеристских системах. Установка угла прицеливания
осуществляется суммированием вращения 2-х валов, на которых для облегчения
вращения укреплены маховики. Один из них предназначен для грубой настройки, а
второй для коррекции установленного угла прицеливания.
Червячные передачи обладают высокой плавностью и
бесшумностью в работе, большими передаточными числами при сравнительно малых
габаритах, повышенной кинематической точностью. Кинематические передачи
винт-гайка также характеризуются большой плавностью и точностью перемещений и используются
в механизмах настройки. В соответствии с описанными характеристиками эти
передачи удовлетворяют техническим требованиям проектируемого механизма.
Поэтому спроектированный в курсовом проекте суммирующий механизм конструктивно
объединяет червячную передачу и передачу винт-гайка.
Грубая настройка угла прицеливания
осуществляется при помощи червячной передачи, состоящей из эвольвентного
червяка с нижним расположением, получающего вращательное движение от маховика,
и составного червячного колеса, оснащенного люфтовыбирающим устройством на базе
пружинной проволоки. Кроме того, червяк конструктивно объединен при помощи
вилки с гайкой от пары винт-гайка и тем самым получает поступательное движение
вдоль своей оси от передачи винт-гайка, которая в свою очередь преобразует
вращательное движение от второго маховика. Тем самым осуществляется коррекция
установленного при помощи первого маховика угла прицеливания. Суммарный угол
поворота червячного колеса является алгебраической суммой двух движений. Для
передачи винт-гайка также предусмотрен механизм выборки мертвого хода в виде
раздвоенной гайки, поджимаемой в радиальном направлении болтом.
Корпус редуктора выполнен разъемным, литым из
чугуна марки СЧ 15 ГОСТ 1412-79. Оси валов редуктора расположены в одной вертикальной
плоскости. Валы редуктора изготовляются из стали 40Х. Они воспринимают осевые
нагрузки, поэтому опираются на радиально-упорные шарикоподшипники качения.
Герметично закрытый корпус редуктора
обеспечивает соблюдение требований как техники безопасности, так и
производственной санитарии.
В работе над курсовым проектом широко
применялась стандартизация и унификация. Спроектированный в настоящем курсовом
проекте редуктор соответствует условиям технического задания.
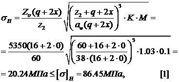
Расчёт червячной передачи
Исходные данные:
- момент нагрузки на червячном
колесе;
- максимальная скорость вращения
червячного колеса;
u=30 -
передаточное число;
- ресурс времени;
- модуль червячной передачи.
Выбор материала червячных передач.
Определение допускаемых напряжений. Выбор материала червяка и колеса
Так как передача малой мощности <1 кВт,
принимаем для червяка сталь 45 с термообработкой, вариант - улучшение. Витки
фрезерованы и шлифованы.
Для выбора материала колеса определяем
ориентировочную скорость скольжения:
(м/с) [2]
Для червячного колеса выбираем
материал СЧ15, способ отливки - в песок. Механическая характеристика:
.
Допускаемые напряжения
Для выбранного материала колеса
допускаемое контактное напряжение:
[1]
Общее число циклов перемены
напряжений:
[1]
Эквивалентное число циклов:
[1], где
- коэффициент загруженности для
особо лёгкого режима нагружения.
Коэффициент долговечности:
[1]
Исходное допускаемое напряжение
изгиба:
. [1]
Предел прочности при изгибе:
[1]
Допускаемое напряжение изгиба:
[1]
Предельные допускаемые напряжения:
,
Проектный расчёт. Основные параметры
передачи
Поскольку передаточное число
, то
принимаем число витков червяка:
, [1].
Число зубьев колеса:
. [1]
Принимаем
Предварительные значения:
а) межосевого расстояния передачи:
[1]
Принимаем в соответствии со
стандартными линейными размерами
[1]
б) коэффициента диаметра червяка
. [1]
Минимально допустимое значение
коэффициента диаметра червяка
[1]
Коэффициент смещения инструмента
[1]
Угол подъёма линии витков червяка:
a) на
делительном цилиндре
[1]
[1]
Размеры червяка и колеса
Диаметр делительный червяка
Диаметр вершин витков
Диаметр впадин
Длина нарезанной части червяка:
Поскольку витки шлифуют, то длину
увеличиваем
на 26:
Диаметр делительный колеса:
Диаметр вершин зубьев:
Диаметр впадин:
Диаметр колеса наибольший:
где
для эвольвентных червяков
Ширина венца:
, где
при
.
Проверочный расчёт. Проверочный
расчёт передачи на прочность
Скорость скольжения в зацеплении:
, [1]
где окружная скорость на начальном
диаметре червяка :
[1]
Уточняем допускаемое напряжение:
[1]
Расчётное напряжение: [1]
где для эвольвентного червяка
,
коэффициент нагрузки:
, где
для окружной скорости червячного
колеса:
,
коэффициент концентрации нагрузки:
, [1]
Где коэффициент деформации червяка
, табл. 2.16
[1]
Коэффициент, учитывающий влияние
режима работы передачи на приработку зубьев червячного колеса и витков червяка
, табл. 2.17
[1].
КПД передачи
КПД передачи:
, где
приведенный угол трения
[1].
Силы в зацеплении
Окружная сила на колесе, равная
осевой силе на червяке:
. [1]
Окружная сила на червяке, равная
осевой силе на колесе:
. [1]
Радиальная сила
где
для стандартного угла.
Проверка зубьев колеса по
напряжениям изгиба
Расчётное напряжение изгиба:
, где
коэффициент нагрузки
,
коэффициент
формы зуба
колеса выбираем [1] в зависимости от эквивалентного числа зубьев
.
Расчёт передачи винт-гайка
Исходные данные:
- шаг винта.
Выбор материала винта и гайки, вида
резьбы
Так как передача кинематическая,
принимаем резьбу метрическую. Материал для винта сталь 45, для гайки - чугун.
Коэффициент рабочей высоты для
метрической резьбы:
Угол профиля резьбы:
Выбор конструкции гайки
Так как в кинематическом механизме
необходимо предусмотреть механизм выбора мертвых ходов для обеспечения
достаточно высокой точности преобразования движения, принимаем раздвоенную
конструкцию гайки. Принимаем коэффициент высоты гайки:

Из конструктивных соображений в
соответствии с ГОСТ 24705-81 принимаем:
· Наружный диаметр винта:
· Средний диаметр винта:
· Внутренний диаметр винта:
· Внутренний диаметр винта по дну впадины:
· Внутренний диаметр гайки:
Число заходов резьбы
Для кинематического винтового механизма с
метрической резьбой:
Принимаем ход резьбы:
[3]
Определение угла подъема
и
приведенного угла трения
Угол подъема винтовой линии:
[3]
Приведенный угол трения:
[3]
где
коэффициент трения для сталь-чугун.
Так как
, то
винтовой механизм самотормозящийся.
Определение расчетных и
конструктивных размеров гайки
Высота гайки:
[3]
Принимаем
.
Количество витков гайки:
[3]
Наружный диаметр гайки:
]
Определение КПД передачи винт-гайка
Коэффициент, учитывающий потери
мощности на трение в опорах
Принимаем
КПД передачи:
[3]
Устройства выборки мертвого хода
С целью устранения погрешностей при установке
угла прицеливания в курсовом проекте предусмотрено устройство для постоянного
выбора мертвых ходов в червячной и винтовой парах.
Для винтовой пары конструктивно предусмотрена
гайка раздвоенной конструкции, поджимаемая в радиальном направлении болтом.
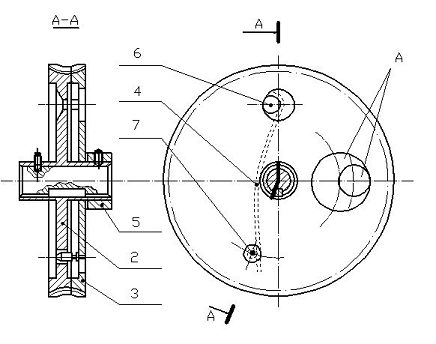
На червячное колесо установлено представленное
на рисунке люфтовыбирающее устройство, представляющее собой пружинную проволоку
4, один конец которой охватывает цилиндрическую часть стержня 6, расклепанного
в колесе 2; другим концом проволока опирается па стойку 7, запрессованную в
колесе 3. Для того чтобы блок колес 2 и 3 не разваливался до его установки на
ведомом валу, предусмотрена втулка 5, соединенная стопорным винтом с колесом 2.
В колесах 2 и 3 предусмотрены отверстия А для
того, чтобы обеспечить при сборке доступ к крепежным винтам фланца втулки для
шарикоподшипников.
Рис.
Выбор типов подшипников
Так как валы редуктора воспринимают радиальную и
осевую нагрузки, шарикоподшипники выбираем радиально-упорные однорядные легкой
серии конструктивно под диаметры валов 6мм основной конструктивной модификации,
узкой по ширине серии: 6026 ГОСТ 831-75.
Расчет на точность. Передаточный
коэффициент погрешности червячной передачи
В соответствии с ГОСТ 21098-82 по методу
максимума-минимума рассчитываем передаточный коэффициент погрешности червячной
передачи:
Минимальное и максимальное значение
кинематической погрешности передачи
где согласно ГОСТ 3675-81 для 7
квалитета точности
- допуск на
погрешность винтовой линии на длине нарезанной части червяка;
- допуск на погрешность профиля
витка червяка;
- наименьшее отклонение толщины
витка червяка по хорде;
- допуск на кинематическую
наибольшую погрешность червячного колеса;
где
- осевое и радиальное
соответственно биения витков;
торцовый угол профиля;
делительный угол подъема линии червяка.
Минимальное и максимальное значения
мертвого хода передачи
где
- гарантированный боковой зазор;
допуск на толщину витка червяка по
хорде;
- предельное отклонение межосевого
расстояния в передаче;
- предельное отклонение межосевого
расстояния в обработке;
соответственно осевой и радиальный
зазоры в опорах вращения, принимаются равными осевым и радиальным биениям.
Так как для прибора предусмотрен
механизм выборки мертвого хода, принимаем значение мертвого хода передачи
равным 0.
Значение кинематической погрешности
и мертвого хода передачи в угловых единицах
Расчет по методу максимума-минимума
кинематической погрешности механизма
Погрешность положения червячного
колеса на 1 оборот червяка может принимать значения не менее 80% от заданной
величины
, т.е.
. Условие
выполнено, следовательно, принимаем точность проектируемого механизма, равной
7.
Список использованных источников
.Дунаев
П.Ф. Леликов О.П. Детали машин. Конструирование узлов и деталей машин: Учебное
пособие для техн. спец. вузов. - 7-е изд., перераб. и доп. М.: - Высшая школа,
2001.
.Скойбеда
А.Т., Кузьмин А.В. Детали машин и основы конструирования. - Мн.: Вышэйшая
школа, 2000.
.Справочник
конструктора-приборостроителя. Детали и механизмы приборов/В.Л. Соломахо. -
Мн.: Вышэйшая школа, 1990.
.Иванов
М.Н., Иванов В.Н. Детали машин. Курсовое проектирование. - М.: Высшая школа,
1975.
.Элементы
приборных устройств. Курсовое проектирование. Ч. 1 и 2/Под ред. О. Ф. Тищенко.
- М.: Высшая школа, 1978.
.Милосердин
Ю.В., Лакин Ю.Г. Расчет и конструирование механизмов приборов и установок. -
М.: Машиностроение, 1978.