Совершенствование методов ультразвуковой дефектоскопии многослойных конструкций воздушных судов

  • Вид работы:
    Дипломная (ВКР)
  • Предмет:
    Другое
  • Язык:
    Русский
    ,
    Формат файла:
    MS Word
    1,87 Мб
  • Опубликовано:
    2013-04-08
Вы можете узнать стоимость помощи в написании студенческой работы.
Помощь в написании работы, которую точно примут!

Совершенствование методов ультразвуковой дефектоскопии многослойных конструкций воздушных судов

УСЛОВНЫЕ ОБОЗНАЧЕНИЯ И СОКРАЩЕНИЯ

НК- неразрушающего контроля

ИАТА- Международная ассоциация воздушного транспорта- Углепластик

ПМК - (полимерные матричные композиты)- Национальное агентство по аэронавтике и исследованию космического пространства США

АКФ - Автокорреляционная функция

ОФ - Оптимальный фильтр

ЭЛТ - Электронно-лучевая трубка

ТО - Техническое обслуживание

ФМ - Фазоманипулированные

МСК- Метод свободных колебании

УЗК- Ультразвуковой контроль

УЗ- Ультразвукаэлектромагнитные акустические преобразователи

ИК- инфракрасный

СОДЕРЖАНИЕ

ВВЕДЕНИЕ

. МНОГОСЛОЙНЫЕ КОНСТРУКЦИИ В АВИАЦИИ

. ДЕФЕКТЫ, ВСТРЕЧАЮШИЕСЯ В ПРОЦЕССЕ ЭКСПЛУАТАЦИИ

. МЕТОДЫ КОНТРОЛЯ МНОГОСЛОЙНЫХ КОНСТРУКЦИЙ

.1 Метод инфракрасный термографии

.2 Акустические методы контроля многослойных конструкций

.2.1 Импедансный метод

.2.2 Метод свободных колебаний

.2.3 Резонансный метод

.2.4 Акустико-топографический метод

.2.5 Велосиметрический метод

.2.6 Метод прохождения (теневой)

.2.7 Реверберационный метод

.2.8 Эхо-импульсный метод

4. Проблемы, возникающие ПРИ Ультразвукавом эхо контроле многослойных композитных материалОВ

5. Совершенствование Ультразвуковой дефектоскопии с помощью фазоманипулирования сигнала

.1 Простая математическая модель предлагаемого дефектоскопа

ЗАКЛЮЧЕНИЕ

СПИСОК ИСПОЛЬЗОВАННОЙ ЛИТЕРАТУРЫ

ВВЕДЕНИЕ


В течение последних 50 лет, можно заметить большое увеличение использования метода неразрушающего контроля (НК) на авиационной технике. Совершенствование электроники и компьютерной техники открывали дверь новым возможностям развития НК. В настоящее время метод НК - это важнейший способ продолжения летной годности летательных аппаратов. Надо заметить что, моделирование новой концепции технического обслуживания (ТО) по состоянию контролем параметров стало причиной увеличения доверия к персоналу, осуществляющему НК.

Потенциал резкого и рентабельного постоянного контроля на высоко площадных комплексных технических структурах, разрешающие быстрее и чаще контролировать с низкой себестоимостью, таким образом поддерживать надёжности и безопасности Авиационной техники.

Несколько главных методов НК используется в ТО гражданской авиации. Визуальный метод, капиллярный метод, ультразвуковой контроль, вихретоковой метод, магнитный метод, термография, Рентген. У каждого свои преимущества и недостатки. Данная дипломная работа сосредоточивается на совершенствовании ультразвукового (УЗ) метода НК.

Ультраакустика (или ультразвук) представляет собой область интенсивных научных и технологических исследований. Она экстенсивно применяется в научной и инженерной деятельности. Ультразвук, который по своей сути является механической волной, взаимодействует с веществами. Разнообразие типов волн, от продольных до поверхностных, позволяет использовать их во всевозможных аспектах. Прогресс в области сенсоров, электронного инструментария, компьютеров, улучшение знаний о физическом взаимодействии - все это способствовало совершенствованию экспериментальной ультраакустики. Последние разработки в науке и технологии ультразвука в сферах неразрушающего контроля (НК), медицины, подводной акустики, молекулярного взаимодействия действительно впечатляют и открывают большие возможности для новых применений.

В 1880-х годах братья Кюри открыли пьезоэлектричество. Гальтон (1883), изучая акустический спектр, обнаружил существование УЗ в сигнале свистка. Свисток Гальтона считается одним из первых ультразвуковых генераторов. После этого проводится ряд исследований в области генерирования и обнаружения ультразвука. В начале ХХ века некоторые значительные разработки, связанные с коммерциализацией ультразвуковой технологии, обрели твердую почву. Вид и Лумис впервые использовали ультразвук с коммерческой точки зрения в конце 1920-х годов для распыления жидкости, контроля затвердевания, жидкой эмульгации и взаимодействие с живыми тканями. Файрестон (1940) создал первый коммерческий инструмент для УЗ дефектоскопии. После 1950-х масштабные технологические в электронике и компьютерах дали дополнительные преимущества отрасли УЗ инструментария.

Во всех отраслях УЗ важную роль играют технология преобразователей и электронный инструментарий. Вначале были пьезоэлектрические кристаллические преобразователи, а сегодня существует бесконтактные электромагнитные акустические преобразователи (EMAT), лазерные преобразователи и преобразователи воздушно-акустической связью.

Композитные материалы играют важную роль в многослойных конструкциях в аэрокосмической промышленности, показывают большую перспективу конструктору для оптимизации конструкции и обладания высокого соотношения прочность/вес. Контролем композиционных структур были опробованы некоторые техники НК, что доказало полезность ультразвуковых методов.

1.      МНОГОСЛОЙНЫЕ КОНСТРУКЦИИ В АВИАЦИИ


После 1950-х годов, в авиации стали широко применяли многослойные конструкции из металлических и неметаллических материалов. Элементы неметаллические и комбинационные (металлы и неметаллы) структуры соединялись с использованием клея. Также элементы металлических структур соединялись, используя пайку или сварку. Кроме того склеенные и сварные элементы дополнительно закрепляется с использованием точечной сварки или заклёпок [10].

Под многослойными понимаются конструкции из металлических и неметаллических материалов, отдельные элементы которых соединяются между собой клеями, пайкой или иным способом. Основы типы таких конструкций представлены в табл. 1.

Таблица 1 Основные типы многослойных конструкций [10]

№ схемы

Схема

Материал элементов

Вид соединения

1

1-Металл или армированный пластик; 2-Металл или пластик

Клеевое или паяное

2

1,3- металл или армированный пластик; 2- соты из металлической фольги или неметаллической (стекло-пластик, бумага) ленты

Клеевое или паяное

\3

1,3,5- Армированный пластик; 2,4- соты из армированного пластика

Клеевое

4

1,3- Металл или армированный пластик; 2-пенопласт

Клеевое

5

1-Пластик армированный или неармированный; 2-Металл;

Клеевое

6

1,2,3- Пластик армированный или неармированный

Клеевое

7

1,2- металл или пластик

Клеевое

8

Армированный слоистый пластик (стеклотекстолит и т.п.)

Слои материала, соединение связующим веществом


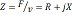
В XX веке в авиационных конструкциях в основном применяли высокопрочные алюминиевые, магниевые и титановые сплавы. При выборе материала учитываются его механические свойства (придел прочности , текучести , сопротивления усталости при различных циклах изменения напряжений, модуль упругости Е, износостойкость, вязкость и др.), теплофизические и химические свойства ( коэффициент линейного расширения , теплопроводность , коррозионная стойкость и др.), плотность , стоимость и дефицитность сырья, степень освоения в производстве, технологические свойства ( пластичность, свариваемость, линейные качества), определяющие возможность применения наиболее производительных производственных процессов [13].

Таблица 2 Сравнительные характеристики материалов, применяемых в авиационных конструкциях [13]

Материал

,

,МПа

,ГПа

Алюминиевые сплавы: Деформируемые Литейные

 2,7 2,7

 400…550 200…500

 72 72

Магниевые сплавы: Деформируемые Литейные

 1,8 1,8

 200…340 200…270

 45 45

Титановые сплавы: Деформируемые Литейные

 4,5 4,5

 500…1300 630…860

 120 120

Стали: Углеродистые Легированные Высокопрочные

 7,8 7,8 7,8

 420…650 800…1600 1600…2400

 210 210 210

Композитные материалы

1,4…2,6

500…1300

35…250


При выборе материала для элементов конструкции учитываются также их формы и размеры, величина и характер нагрузки (постоянная, ударная, циклическая), тепловое нагружение, наличие в элементах конструкции отверстий, перепадов сечений и других концентраторов напряжений. Однако наибольшее внимание при выборе материала уделяется удовлетворению требования обеспечения необходимых прочности и жесткости конструкции при наименьшей массе [22].

В настоящие время в многослойных конструкциях чаще используются композитные материалы. Они очень популярны в авиационной промышленности благодаря высокой прочности и легкому весу.

Композит в самой простой форме представляет собой материал, составленный как минимум из двух элементов, которые при соединении друг с другом обладают характеристиками, не присущими им по отдельности. На практике большинство композитов состоят из основного материала (матрицы) и некоторого упрочнителя, добавляемого в первую очередь для увеличения прочности и жесткости матрицы. Как правило, упрочняющий материал представлен в виде волокон. В настоящее время наиболее распространенные композиты можно разделить на три группы. Самыми популярными являются полимерные матричные композиты (ПМК) [23].

Рис.1. Структура композитного материала

Армированные полимеры или полимерные матричные композиты (ПМК) представляет собой полимерные основание (матрица) которые состоит из тонкое армированное (усиленное) высоконапряженное волокно. Волокно может быт стекло, углеродное, борное, керамическое или органический пластик. Волокно обеспечивает материала прочность и жёсткость. Матрица содержит материалы на одной структуры. Перемещая направление армированных волокон, можно усилить прочность в необходимом направлении [23]. Когда больше одного вида волокна для армирования, композиты называется гибрид (hybrid) [26]. В авиации, ПМК заменяли традиционные алюминиевые сплавы, что позволяло создать легкие и прочные конструкции. На военной авиации применение ПМК значительно выше. Первый значительный применение композитный материалов в гражданской авиации была в Европе, В 1983 фирма аэробус представляли композитный руль направления на А300. Следовательно, вертикальный стабилизатор А310 в 1985.

ПМК широко применяется в авиации. Узлы на силовой установке, обтекатели антенны. Вертикальные и горизонтальные стабилизаторы, сотовые панели и многие других (Рис.2 А-320) [23].

В А-320 применяется 12,5% РМС от веса самолета (60,5% понижение алюминиевые сплавы; 7,2% титановые сплавы и 5,5% других материалы) [20].применяли композитные материалы на весь хвостового оперения А-320. Кроме того, композиты применяли на фюзеляже как обшивки, обтекатели. Неподвижные съёмные панели на передней/задней кромке крыла и дефлекторы, закрылки, интерцепторы, элероны, дверей/капоты колеса передней и главные опоры, гондолы, интерьеры и углеродный тормоз. Пеналы для полу тоже создано с ПМК армированный c стекловолокном. Смотр. Рис. 2.

Композитные структура крыла особенно привлекательно из за высокая прочность и жёсткость, и низкая плотность позволяет производить длинные, тонкие (относительное удлинение) крыла которая невозможно производить используя монолитные материалы.

композитный аэрокосмический ультразвуковой дефектоскопия

Рис. 2. Композитные материалы на А-320 [20]

Металлический вертикальный стабилизатор состоял из более 2000 компонентов, не считая деталей крепления. А композитный вертикальный стабилизатор имели менее 100 компонентов. Сравнением с металлическим, композитный стабилизатор не только был более легкий но и понижал стоимость сборки [23]

Эксплуатационная эффективность и экономичность с удобства пассажиров важно в гражданской ВС. Уменьшение вес планера экономит топливо, поэтому понижает себестоимость эксплуатации в авиакомпании. Некоторых разработки NASA доказывали понижение себестоимости применением ПМК с углеродного волокна[23]. Применение композитных материалов на А-380 позволялось экономит 17% топлива[28].

По словам генерального директора КАПО им.Горбунова Василия Каюмова, в авиалайнере Ту-214, производящемся в Казани, композитные материалы составляют около 25% всей конструкции, в то время как новейший Boeing-787 Dreamliner на 60% состоит из композитов [25].

Рис. 3. Композитные материалы, применяемые в конструкции самолёта Боинг 787 [ 25]

Очевидно что с увеличением использования многослойнных композитов увеличивается борьба их диагностирование. Соотвественно требуется свершенствование методы диагностики. Для этого требуется изучить своиства материалы и возможные дефекты.

2.      ДЕФЕКТЫ, ВСТРЕЧАЮШИЕСЯ В ПРОЦЕССЕ ЭКСПЛУАТАЦИИ


Дефекты на многослойных конструкции можно разделить на, внутренние ПМК дефекты, и дефекты на соединениях [24].

Внутренние ПМК дефекты. К внутренним дефектам относятся:

.        Отслоение;

.        Трещина;

.        Повреждение при ударной нагрузке, представляющие многократные отслоении и трещины на месте повреждение;

.        Пористость;

.        Зоны с увеличенным или уменьшенным обметкой.

.        Отклонения от оптимального значения обмотка полимеризация.

.        Отклонение конфигурация армирование от нормы;

Дефекты на соединениях. В авиации широко применяется многослойных конструкции которые соединенных склеиванием. Качества таких соединениях (прочность, жесткость, противодействие на внешних ударов и т.д.) определяется свойства клейки и используемые технологии. Дефекты на клеевых соединениях;

.        Нарушение сцепления (disbonding)

Обычно такие дефекты бывает из за газовых зазоров. Причины появления таких дефектов, это, несоответствие элементы соединение бывших нарушения сцепления или недостаточные давление технологических оснастки на изготовление.

. Плохое сцепление

слабое сцепление клея с материалом. Это понижает прочность клееная место соединения. Причина плохого сцепления, это некачественное изготовление поверхности элементы соединения и особенно при попадании масло и другие загрязнение на них.

.        Незаконченный полимеризация клея

Из-за недостаточной температуры и/или не достаточное время твердения.

.        Некачественный клей.

Когда клей не соответствует с нормативной документации. Конструкции с такими соединениями не обеспечивает необходимые прочности соединении.

.        Пористость ослабляет прочность соединения.

Причины пористость: незавершённое удаление раствора от клея, недостаточные давление во время запрессовки, использование не качественное клей.

.        Отклонение толщина келейная слоя от нормы,

понижает прочность. Оптимальная прочность и толщина определённо для каждого типа клея.

.        Усталостные разрушение клееного соединения, в результате попадания посторонних предметов. (грады, птицы и т.д.)

В общем, опыт эксплуатации с многослойными конструкциями показывает, что повреждении происходят из-за дискретные источники как удар молнии и человеческий фактор, чем усталостные повреждение(Blohm, 1994). Статистика ИАТА (табл. 3) показано итоговые причины повреждении на композитных конструкциях. (Кроме повреждении во время обслуживание на земле (ground handling))

Таблица 3 Чаше встречающие причины повреждения авиационных композитных материалов (ИАТА 1991) [24]

Причина неисправности

Встречаемые случи на %

Нападение Влаги и химические жидкости

30

Нагрева, усталость, изнашивание, эрозия

11

Попадание птицы, градобитие

8

Попадание посторонних предметы на ВПП

8

удар молнии

7


Типы повреждения на композитных материалах:

- нарушение сцепления или отслоение (45%);

отверстия или пробоины (35%);

трещины (10%);

другие повреждения (10%).

Техническое обслуживание особенно затруднено, когда происходит воздействие воды или других жидкости на сотовые панели. Это вызывает коррозию, которая нарушает распределение действующей нагрузки, а затем приводит к снижению прочности. Причины повреждения композитов на разных частях самолета приведены на табл. 4.

Таблица 4 Причины повреждения композитов на разных частях самолета; Blohm (1994) [24]

Причины повреждения (на полете)

Бракованная деталь

Градобитие

Обтекатели, входные устройства двигателя, Верхний част крыла, Киль, Управление.

Попадание птицы

Входные устройства двигателя, Обтекатели.

Разрушение двигателя

Капот двигателя, Фюзеляж, нижняя часть крыла.

Отделение частей сепаратора пневматики (Tire protector separation)

Закрылки, обтекатели на нижней корневой части крыла, Капот шасси

Причины повреждения (на земле)

Бракованная деталь

Градобитие

Все горизонтальные поверхности (обшивки крыла, управление, верхние части капота двигателя)

Оснастки обслуживания на земле

Капот двигателя, корневой части крыла, Капот шасси.

Неправильное обслуживание

Капот двигателя, дверца для обслуживания

Перегрузка из-за отказа гидросистемы управления

Управление, Интерцепторы, реверс.

Транспортировка

Все заменяемые детали.

Мольные удары

Обтекатели корневой и концевой части крыла (элероны, руль направление, руль высоты) Капот двигателя

Перегрев

Капот двигателя, Капот шасси

Эрозия

Обтекатели, входные устройства двигателя

Химическое загрязнение утечка Skydrol

Капот двигателя , Управление, интерцепторы

Раствор для удаления краски

Все покрашенные детали.

Коррозия

Все алюминиевые соты с композитным армированием.


На многослойных конструкциях, не как металлические конструкции, необходимо выявлять мелкие дефекты. Дефекты обычно поступается с одного до нескольких квадратных сантиметров.

В зависимости от направления армирующих волокон, получены однонаправленный, продольный поперечный, косой пересекающие структуры и другие структуры ПМК. С однонаправленной армирование, модуль Юнга определяется его прочности. Скорости звука максимальна в направлении армирование и минимальна в направлении нормали к ней, потому что они определяются в основном параметрами полимерной матрице.

С продольной поперечной арматуры (например, с GFRP утка и основы расположены взаимно перпендикулярны), скорость звука максимальна в направлении утка и минимально в 450 направлении к ним. Таким образом, для GFRP одного из типов, скорости продольной волны на сумму 4497; 4110 и 3710м/с, соответственно [21]. В направлении нормали к плоскости листа, модуль Юнга и эта скорость гораздо меньше

При любом расположении армирующих волокон в плоскости листа, модуль Юнга в направлении нормального этой плоскости и определение важность гибкости сухого контакта. Где точки меньше, чем любые направления в плоскости, следовательно, в тестировании многослойных конструкциях с наружным слоем в ПМК, значения контакт гибкость превышает те в случае испытания контролируемого объекта с металлической обшивкой. Это снижает передачи колебания корыта зоне контакта и уменьшает колебание передачи корыта зоне контакта и уменьшает длину воздействия возбуждении импульсами с соответствующим сужением их спектра. Большие значения контактные гибкость отрицательно влияет на импедансных дефектоскопов.

Высокое поглощение ультразвуковых волн в полимерной матрице и неоднородность структуры ПМК обусловлено хорошо заметная разница волнового сопротивления материалов армирующих волокон и матрицы являются причиной высокого затухания (поглощения и рассеяния) волн всех типов особенно на высоких частотах. Отсюда вытекает сложность применения традиционных методов ультразвуковые диагностики.

Рассмотрим традиционные методы, использующие дефектоскопии многослойных конструкции.

3.      МЕТОДЫ КОНТРОЛЯ МНОГОСЛОЙНЫХ КОНСТРУКЦИЙ


Как рассмотрено на втором разделе, характерными дефектами многослойных конструкций являются нарушение или ослабления соединений между элементами, а также дефекты (особенно расслоения) в неметаллических слоях. Особенности этих конструкций ограничивают использование традиционных методов неразрушающего контроля.

 

.1 Метод инфракрасный термографии


В последние годы методы ИК-термографии рассматриваются как одно из перспективных направлений в технике неразрушающих испытаний изделий, в том числе и конструкций из композиционных материалов [32]. Практическое применение методов ИК-термографии в ряде случае затруднено и связано с необходимостью использования опытных специалистов для интерпретации результатов контроля и их анализа. В ряде работ рассмотрена возможность передачи функций анализа температурной информации и автоматизированного обнаружения дефектов, используя достаточно сложные алгоритмы теории распознавания образов [33].

Для выявления признаков наличия дефекта методом ИК-термографии необходимо выяснить может ли временное изменение температуры быть описано одномерным приближением для однородной среды или нет. Это позволяет провести упрощенный анализ и выявить признаки наличия дефектов по кривой изменения температур. Кривая временного изменения температуры при наличии дефектов типа включений или расслоений с воздушными промежутками располагается выше кривой охлаждения изделия без дефектов [34].

Рис.4. Кривые охлаждения в зонах бездефектного (2) и дефектных (1,3) участков [32]

Термограммы процесса остывания объекта получены в режиме отрицательного теплового воздействия (остывания предварительно равномерно нагретого фрагмента объекта в свободной атмосфере). Подобное тепловое воздействие наиболее близко моделирует тепловой переходный процесс в технологическом процессе изготовления изделий. Характерные термограммы процесса свободного остывания фрагмента изделия из углестеклопластика приведены на рис. 5-а, а из стеклопластика - на рис. 5-б.

Рис.5-а. Термограммы фрагмента конструкции из углестеклопластика. Область выявленного расслоения показана стрелкой [32]

Рис.5-б. Термограммы процесса остывания изделия из стеклопластика. Области выявленных расслоений показаны стрелками [32]

К достоинствам описанного подхода следует отнести возможность осуществления оперативного контроля состояния протяженных поверхностей в ходе технологического процесса в тех случаях, когда имеют место переходные тепловые режимы.

Наряду с описанными преимуществами термографический метод контроля не свободен от недостатков, главным из которых является требование обеспечения оптического доступа к поверхности объекта, а также обеспечение однородности излучательных свойств и начальной температуры контролируемой поверхности. В ряде случаев отмеченные особенности можно преодолеть путем применения дифференциального анализа термограмм, а также применения дублирующих методов контроля, например, ультразвукового метода.

Дефектоскоп: Тепловизор серии ТН-9100 фирмы NEC (Япония).

 

.2 Акустические методы контроля многослойных конструкций


В настоящие время, самые распространенные методы выявления дефектов многослойных конструкции являются акустическими. Акустика (от греч. ακούω (аку́о) - слышу) - это наука о звуке. Звуковые волны классифицирует в соответствии с их частотой, как показано на таблице 5.

Таблица 5 Механический волновой спектр [36]

Частота (Гц)

Назначение спектрального диапазона

Длина волны (см)


Инфразвук

3×104

2×101

Аудио (слышимый)

3×102

2×104



2×107

Ультразвуковой

3×100



3×10-2

2×109

Гиперзвуковой

3×10-4

2×1011


3×10-6

2×1013

Вибрация кристаллической решетки

3×10-8 3×10-10


Звуковые волны с частотой менее 20 Гц называются инфразвуком. Волны, обладающие частотой от 20Гц до 20кГц,- это слышимый звук.

Звуковые волны с частотой, превышающей 20кГц, называются ультразвуком, С частотой превышающей 10мГц- гиперзвуком. Слабоинтенсивные ультразвуковые волны, имеют интенсивность от 10-14 Вт/м2 до 103 Вт/м2 и широко применяются уже более 50 лет [36].

Ультразвуковые волны представляет собой подвид звуковых волн, следовательно, они наделены всеми характеристическими параметрами, присущими звуковым волнам. По сути, ультразвуковые волны - это механические колебания с различными длинами волн, распространяющиеся в среде. Изменение длины ультразвуковых волн в различных средах обусловлено упругими свойствами последних и характером вынужденных колебании частиц среды.

Ультразвуковые волны классифицируют по четырем различным категориям в соответствии с механизмом колебания частицы в среде и с учетом направление распространения первичной волны.

)        Продольные, или волны сжатия;

)        Поперечные, или волны сдвига;

)        Поверхностные, или волны Рэлея;

)        Волны в пластинах, или волны Лэмба.

Характеристические свойства УЗ волн [36]

1.      Скорость распространения волны завысит от природы вещества.

Скорость продольной волны = ; (1)

Скорость поперечной волны = ; (2)

Скорость поверхностной волны = 0,9 ; (3)

где, = плотность материала,

= коэффициент пуассона,= модуль Юнга материала.

.        Волновое сопротивление (характеристический импеданс) Z- это сопротивление распространению УЗ волны в веществе.

; (4)

где, - плотность вещества; U- Скорость УЗ.

.        Интенсивность звука (I) и звуковое давление (P) (Вт/м2)

; (5)

; (6)

где  = амплитуда колебаний частиц.

Поведение УЗ волн

Отражение

Подобно звуку и свету, УЗ волны демонстрируют такие явления, как отражение, рефракция и дифракция.

Рис. 6. Отражение и прохождение УЗ волн на границе двух сред [36]

Рис.7. Отражение УЗ волн. Поверхность - граница плексиглас/сталь [14]

Коэффициент отражения, , (7)

Коэффициент прохождения,  (8)

Затухание: Это показатель уменьшение энергии УЗ волны при ее распространения в среде. Для определение уровня затухания замеряют изменения интенсивности в децибелах (дБ) [36].

Коэффициент затухания,  (9)

где d= толщина среды, А= Амплитуда УЗ волны, = Амплитуда когда t=0

При распространении УЗ волны в среде интенсивность, получаемая на другом конце среды, меньше интенсивности вблизи от источника. Акустическая мощность пропорциональна квадрату амплитуды или давления. Дифракция, рассеяние и поглощение распространяющейся волны - все это приводит к потере интенсивности. Кроме того, есть еще ряд составляющих, которые обусловливают подобные потери: прослойка, шероховатость поверхности, дивергенция луча, объектная геометрия, взаимозависимость инструментария и т.д.

Рис.8. Схемы основных акустических методов контроля [31]

Основные Акустические методы использующие в авиации, являются импедансный метод (рис.8 г), Метод свободных колебаний (рис.8 д), Резонансный метод (рис.8 в), Акустико-топографический метод, Велосиметрический метод, Метод Прохождение (Теневой) (рис. 8 а), Эхо Импульсный Метод (рис.8 б), Реверберационный Метод.

 

.2.1 Импедансный метод

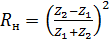
Этот метод использует влияние дефекта на механический импеданс  называется комплексное отношение силы , действующей на поверхности (или в точке) механической системы, к средней колебательной скорости  на этой поверхности (или в точке) в направлении силы. Механический импеданс () представляется в виде.

 ; (10 )

где - активная, - реактивная составляющие; ;

 - модуль или в виде , где .

Инерционную реактивную составляющую считают положительной, упругую - отрицательной.

В отличие от характеристического импеданса , характеризующего среду, в которой распространяются упругие волны, механический импеданс является параметром конструкции.

В контролируемых изделиях возбуждают изгибные колебания звуковых и низких (до 40 кГц) ультразвуковых или продольные колебания ультразвуковых частот. Применяется как непрерывное, так и импульсное излучение. сухого точечного контакта: Импедансный метод не требует соединяющих жидкостей (coupling liquid). Поэтому метод удобен для использования.

Контактная поверхность преобразователя обычно имеет форму сферы с радиусом кривизны R1 = 3 … 20 мм. Преобразователь прижимается к изделию с полной силой F0. В зоне контакта действует также переменная сила, обусловленная колебаниями преобразователя (излучение) или изделия (прием), Передаваемые через зону контакту упругие колебание могут быть непрерывными или импульсными. Для приемных преобразователей условие Fm<<F0 (Fm - амплитуда переменной составляющей силы) выполняется всегда, для излучающих в некоторых случаях.

Для колебаний звуковых и низких ультразвуковых частот зона контакта представляет собой механический импеданс

; (11)

где  контактная гибкость. flexibility

Импеданс  соединен цепочкой с механическим импедансом  контролируемого изделия, что соответствует параллельному соединению  и  на эквивалентной схем. Общий механический импеданс нагрузки преобразователя с сухим точечным контактом.

; (12)

С увеличением  значение  уменьшается, уменьшая величине  на величину  и передачу колебаний между преобразователем и контролируемым объектом. Поэтому сухого точечного контакта ограничено областью частот до 100 кГц.

Преобразователи импедансный дефектоскопов: Узлом дефектоскопа, преобразующим изменения механического импеданса контролируемого объекта в соответствующие изменения электрического сигнала, служит преобразователь. В дефектоскопах, использующих изгибные колебания, применяют совмещенные и раздельно-совмещенные преобразователи с сухим точечным контактом, а также бесконтактные преобразователи.

Дефектоскопы: IAD-3(VIAM-1968), AFD(Inspection instruments, Great Britain), AD-40I, AD-42I (MSIA “Spectrum”), DI-91(ACS-Russia), ISONIC-MIAMAP(Concord- British Airways), DAMI-S (VOTUM-Moldovia), BondMaster (Staveley, USA), ID-91M (AKA-CONTROL LTD-Russia).

Методика контроля: При контроле вручную оператор перемещает преобразователь по контролируемому изделию со скоростью 1 … 15 м/мин. Большие значения скоростей соответствуют изделиям с гладкими поверхностями. Шаг сканирование составляет 60 … 80% от минимальной протяженности допустимого дефекта. Контуры выявленных дефектов отмечают на поверхности изделия по показаниям дефектоскопа

Рис.9. Изменение амплитуды сигнала на выходе преобразователя при контроле сотовой панели [35] : - максимальный и минимальный уровни сигнала в доброкачественной зоне изделия

Возможности и особенности метода: Импедансный метод особенно в России применяется для выявления дефектов сотовых конструкций и тонких ПМК.

Чувствительность метода зависит от параметров контролируемого изделия. С уменьшением толщины обшивки и увеличением жесткости и массы внутреннего элемента на единицу поверхности изделия чувствительность возрастает. В благоприятных условиях совмещенным преобразователем выявляют дефекты диаметром 3 … 5 мм. В случае жесткого внутреннего элемента (например, толстого металлического лонжерона) предельная толщина обшивок наибольшая. Для конструкций с внутренними элементами небольшой жесткости или выполненными из легких материалов с малыми модулями упругости (пенопласт и т.п.) предельная толщина обшивок уменьшается.

Их недостатки: большая площадь контакта с контролируемым объектом, затрудняющая контроль изделий с криволинейными поверхностями, Относительно малое значение (глубина), мелкие дефекты не обнаруживаются.

3.2.2 Метод свободных колебаний

Метод свободных колебании (МСК) основан на ударном возбуждении в контролируемом изделии свободно затухающих упругих колебаний и регистрации изменения их спектров. В отличие от интегрального МСК, в котором используют колебания изделия как единого целого, здесь рассматривается локальный вариант метода, основанный на возбуждении изгибных колебаний в части изделия и регистрации изменений спектров в местах расположения дефектов.

Простейший вариант МСК- простукивание изделия с регистрацией изменений характера звука на слух.

Недостатки простукивания (субъективность оценки результатов контроля и невысокая чувствительность) устраняются применением аппаратуры (МСК дефектоскопов) для анализа спектров и оценки их изменений. В изделиях ударно возбуждают изгибные упругие колебания, а получаемые акустические импульсы преобразуют в электрические сигналы и обрабатывают а электронном блоке. Колебания обычно возбуждают электромагнитными вибраторами, принимают- микрофонами или пьезоприемниками. В зоне дефекта спектр ударно возбуждаемого импульса меняется в результате изменения модулей механических импедансов  для соответствующих спектра. Это меняет колебательные скорости данных составляющих с собственными частотами отделенных дефектами слоев. Диапазон рабочих частот определяется в основном параметрами ударного вибратора, свойствами контролируемого объекта и амплитудно-частотной характеристикой приемника упругих колебаний. Обычно его выбирают в приделах 0,3…20 кГц. В дефектоскопе АД-64М, построенном по МСК, анализ спектра выполняется с помощью алгоритма быстрого преобразования Фурье (БПФ). Дефектоскопы АД-64М используют для контроля изделий из неметаллических материалов, в том числе с низкими модулями упругости и большим затуханием упругих колебаний: стеклопластиковых лопастей воздушных винтов с пенопластовым заполнителем, неметаллических покрытий на силовых каркасах и т.п.

Возможности и особенности метода: Контроль ведут при одностороннем доступе без смачивания изделий. Придельная глубина  залегания выявляемых дефектов в пластинках 30 мм. Минимальная площадь обнаруживаемого дефекта зависит от глубины залегания  и составляет 1…15 : с увеличением  чувствительность падает.

 

.2.3 Резонансный метод

Состояние резонанса существует, когда толщина материала равна половине длинны звуковой волны в материале или кратна ей. Контролировать длину волны в материале можно с помощью контроля частоты. Если имеется передатчик изменяемой частотой, его можно настроит так, чтобы вызвать резонансное состояние для толщины контролируемого образца. Диапазон рабочих частот лежит обычно в приделах от 30 до 550 кГц. Данное состояние можно легко распознать по увеличению амплитуды принятых импульсов. Зная основную (собственную) резонансную частоту  и скорости  ультразвука в образце, можно рассчитать толщину  образца.

 (13)

Поскольку распознать режим основных колебаний достаточно сложно, основные частоты получается из разностей двух соседних гармоник, которые изображаются в виде двух соседствующих пиков в амплитуде импульса.

Достоверность оценки прочности склеивания резонансным методом в значительной мере определяется свойствами клея и технологией склеивания. В частности, адгезионная прочность клея должна превышать когезионную. При использовании первого режима контроля условием получения удовлетворительных результатов является постоянство массы клея на единицу поверхности.

Рис. 10. Спектр, полученный на установке УД4-Т [41]

Метод используется для контроля клееных, клеесварных конструкций, в которых выявляются лишь непроклеи.

Недостатки метода: необходимость смачивания контролируемых изделий и трудность проверки конструкций с криволинейными поверхностями.

Дефектоскопы: УД4-Т "ТОМОГРАФИК", AД-50U, AД-60S, АД-64М.

 

.2.4 Акустико-топографический метод

Метод основан на возбуждении в контролируемом изделии мощных упругих колебаний широкого диапазона частот и регистрации увеличения амплитуд колебаний отделенных дефектами участков вследствие их резонансов на собственных частотах. Индикатором служит тонкодисперсный порошок (ликоподий). К изделию прижимают излучатель упругих колебаний изменяющейся частоты. При совпадение излучаемой частоты с собственной частотой отделенного дефектом участка амплитуда колебаний посредственно резко возрастает и частицы порошка смещаются в зоны с меньшим амплитудами, группируясь вокруг дефекта и образуя видимое его изображение.

Аппаратура: Контроль проводят на установке, состоящей из генератора касающейся частоты мощностью 0,4кВт, блока управления и пьезоэлектрического или магнитострикционного излучателя, прижимаемого к контролируемому изделию специальным устройством. Излучатель снабжен концентратором, имеющим сферическую поверхность контакта с изделием. Диапазон рабочих частот 18 … 200 кГц. Время контроля одного изделия 20 … 40 с.

Возможности и особенности метода. Метод пригоден для контроля изделий широкой номенклатуры независимо от способа соединения слоев (пайка, термодиффузионное сцепление, склеивание на сотовых конструкциях). Контроль изделий с малым коэффициентом затухания УЗК проводится обычно при одном положении излучателя относительно контролируемой конструкции. При проверке изделий с большим коэффициентом затухания (содержащих неметаллические слои) изделие последовательно возбуждают в нескольких точках. Отсутствие необходимости в сканировании обслуживает высокую производительность метода.

Благодаря отсутствию мертвой зоны можно обнаруживать дефекты вблизи поверхности.

При контроле изделий с периодической структурой внутреннего элемента это структура становится видимой. Порошок удерживается на наклеенных поверхностях, поэтому возможен контроль изделий с криволинейными поверхностями. Условием выявления дефекта является наличие резонанса отдельного им участка в диапазоне частот генератора. С увеличением глубины залегания дефекта чувствительность падает. Предельная глубина залегания дефекта 5 мм.

 

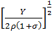
.2.5 Велосиметрический метод

Велосиметрический метод использует влияние дефектов на скорость распространение упругих волн в изделии и длину пути волн между излучателем и приемником упругих колебаний. В контролируемом изделии возбуждают непрерывные или импульсные низкочастотные УЗК. Дефекты регистрируют по изменению сдвига фазы принятого сигнала или времени распространение волны на участке между излучающим и приемным вибраторами дефектоскопа. Эти параметры не зависят от силы прижатия преобразователя к изделию, состояния акустического контакта и других факторов, поэтому метод отличается повышенной стабильностью показаний.

В первом варианте преобразователь содержит расположенные в общем корпусе излучающий и приемный вибраторы с фиксированным расстоянием  между осями (Рис.11)

Рис. 11. Односторонний доступ [35]

Во втором варианте излучатель И и приемник П упругих волн по располагаются соосно по разные стороны от контролируемого изделия ( рис.12). при отсутствии дефекта (расслоения, нарушения соединения между элементами конструкции) непрерывные упругие колебания проходят через изделие в виде продольной волны L.

Третий вариант (импульсный фазовый метод) отличается от первого тем, что вместо непрерывного излучения в нем используется импульсное. Изменение фазовой скорости упругих волн над дефектами регистрируется по смещению нулей импульса, принятого приемным вибратором (Рис.9).

Четвертый вариант использует импульсное излучение, дефект регистрируется по смещению нулей импульса, но вибраторы располагаются по разные стороны от изделия (Рис. 12)

Пятый вариант (временной метод) отличается от второго использованием импульсного излучения. (рис. 12)

Рис.12. Двухсторонний доступ [35]

Шестой вариант использует амплитудно-фазовую обработку сигнала. Вибраторы преобразователя располагаются по одну сторону от контролируемого объекта.

Преобразователи. Для излучения и приема упругих колебаний в преобразователях применяют составные пьезовибраторы работающие на собственных частотах. Используют продольный и поперечные пьезоэффекты.

Дефектоскопы: UVFD-1 (Россия-1962- первый и третий варианты), AD-10U (Россия), Sondicator S2B (Sperry, USA) , MIZ-21Sra (Zetec, USA), BondMaster (Staveley, USA).

Методика контроля изделий с односторонним доступом (первый, третий и шестой варианты) такая же, как и при импедансном методе.

При контроле изделий с двусторонним доступом (второй, четвертый и пятый варианты) применяемые приспособления для сканирование должны обеспечивать сносность излучающего и приемного преобразователей с точностью не ниже 2… 3 мм и перпендикулярность осей преобразователей к поверхности с отклонением не более .

Возможности и особенности метода. Односторонним вариантам метода (первому, третьему и шестому) свойственна мертвая зона, прилагающая к поверхности, противоположной поверхности ввода упругих колебаний. Она составляет 20… 40% от толщины изделия. Двухсторонние варианты (второй, четвертой и пятый) не имеют мертвой зоны и позволяют выявлять дефекты во всех сечениях изделия.

Односторонним вариантам метода присущи интерференционные помехи, затрудняющие контроль небольших (менее  мм) изделий и конструкций, не содержащих сильно-поглощающих упругие колебания неметаллических слоев. Интерференционные помехи- наибольшие в первом варианте, когда используются непрерывные колебания. В этом случае краевая мертвая зона составляет 20 … 50 мм. Двусторонние варианты метода меньше подвержены влиянию интерференционных помех.

 

.2.6 Метод прохождения (теневой)

Этим методом выявляют дефекты (преимущественно расслоения и непроклеи) в многослойных конструкциях из металлических и неметаллических материалов с различным сочетанием слоев, а также узлы их ПМК. Метод не имеет миртовой зоны и позволяет за один проход обнаруживать дефекты во всех слоях изделия. Применяют все способы акустического контакта. Для ручного и механизированного контроля часто используют катящиеся преобразователи с сухим контактом через шины из мягкого пластика. При контроле изделий переменной толщины из материалов с большими коэффициентами затухания применяют устройства для автоматического регулирования усиления, позволяющие компенсировать ослабление вследствие затухания.

Сотовые панели и изделия из ПМК контролируют также бесконтактным теневым способом с применением пьезоэлектрических преобразователей с воздушной связью и рабочими частотами 40 … 400 кГц. Ввиду малости волнового сопротивление воздуха по сравнению с модулями акустических импедансов обоих пьезоэлементов и объекта контроля коэффициенты прохождения на всех четырех границах раздела с раздела с воздухом близки к нулю. Поэтому амплитуда сквозного сигнала очень мала. Для ее повышения увеличивают напряжение возбуждения излучающего пьезоэлемента, применяют усилители с малым уровнем шумов, используют согласование акустических импедансов пьезоэлементов с воздухом и электрических импедансов пьезоэлементов с соответствующими импедансами электронного блока.

Повышение чувствительности достигается применением фокусирующих преобразователей. Для работы на частотах не более 50 … 70 кГц иногда используют изгибно-колеблющиеся биморфные преобразователи и электростатические приемники микрофонного типа, не требующие согласования с волновым сопротивлением воздуха.

Для контроля блоков из пенопласта с плотностью 100  использован амплитудно-временной метод прохождения. Информативными параметрами служат амплитуда и время задержки сквозного сигнала. Метод реализован в установке с 11 парами катящихся преобразователей с сухим контактом, работающих на частоте 50 кГц. Разработан способ оценки глубины залегания дефектов в этих материалах и даже их физико-механических свойств. Теневым методом контролируют авиационных колес.

Как правило, контроль проводят на специализированных установках с автоматическим сканированием и записью результатов.

В последнее время для неразрушающего контроля эхо- и теневым методом наличии использовать бесконтактное излучение УЗК с помощью лазера и прием УЗК оптическим интерферометром.

Дефектоскопы: UK-22KB, UD2-16 (Для ПМК 10…20мм) , 4 канальный SARA 10.

 

.2.7 Реверберационный метод

Этот метод, называемый также методом многократных отражений, является разно водностью эхо-метода. Он основан на явлении реверберации (многократного отражения) упругих волн в слоях с относительно небольшими коэффициентами затухания УЗК (обычно в металлах). При контроле конструкций типа металл- пластик применяют два варианта метода.

В первом варианте импульсы УЗК вводятся в металлический слой в котором наблюдаются многократно отраженные эхо-сигналы.

Рис. 13. Схема контроля конструкции металл-пластик реверберационным методом [35] : - со стороны металла; - со стороны пластика; 1-преобразователь дефектоскопа; 2- металлический слой; 3- пластик; 4- клеевой шов

Дефект соединения увеличивает коэффициента отражения УЗК на границе раздела металл- пластик, в результате чего уменьшается скорость затухания эхо-сигналов (увеличивается время реверберации) в слое металла.

При вводе УЗК со стороны металла выявляемость дефектов улучшается с увеличением коэффициента отражения  от поверхности УЗК и уменьшением коэффициента отражения  от внутренней границы металла. Значение  можно увеличить применением преобразователя с полуволновым пьезоэлементом без демпфера, входной импеданс которого на резонансной частоте .

Аппаратура. Применяют стандартные и специализированные эходефектоскопы. Для работы реверберационным методом часто используют прямые совмещенные преобразователи с недемпфированными пьезоэлементами.

Возможности и особенности метода. Контроль проводят при одностороннем доступе. Частоту выбирают так, чтобы толщина  металлического слоя составляла не менее половины длинны волны. Поэтому с уменьшением  частоту повышают (до 20 … 25 МГц). Наиболее удобны для контроля конструкции с металлическими слоями толщиной более 1,5 мм. Как правило, выявляют лишь зоны нарушения соединений между слоями. С уменьшением характеристического импеданса  неметаллического слоя возможности метода ухудшаются. Если  неметаллический слой слабо влияет на коэффициент отражения , который определяется в основном значение  клеевой пленки. В этом случае обнаруживаются только зоны отсутствия адгезии клея к металлу. Обычно этим методом выявляют дефекты площадью более 0,5 см2. Чувствительность может быть повышена применением фокусирующих преобразователей. Контроль со стороны пластика возможен лишь при относительно небольшом коэффициенте затухания УЗК в пластике, когда обеспечивается прием многократных эхо-сигналов в слое металла.

Методика контроля сводится к сканированию преобразователем поверхности контролируемого изделия. При контроле вручную изменение скорости затухания эхо сигналов оценивают визуально по изображению на экране ЭЛТ либо регистрируют с помощью автоматического сигнализатора дефектов

 

.2.8 Эхо-импульсный метод

Как видно, существует огромное количество методов ультразвуковой дефектоскопии, но один из наиболее распространённых методов является эхо-импульстный метод ультразвукового неразрушающего контроля. Это объясняется тем, что этот метод - в отличии от других - применим при одностороннем доступе к исследуемому объекту, и при этом позволяет определить размеры дефекта, его координаты, характер.

В эхо-импульсном методе ультразвуковой дефектоскопии (УЗД) используются те же принципы, что и в радио - и акустической локации.

Современный эхо-метод УЗД основан на излучении в контролируемое изделие коротких импульсов упругих колебаний (длительностью 0,5 - 10 мксек) и регистрации интенсивности (амплитуды) и времени прихода эхо-сигналов, отраженных от дефектов отражателей.

К основным характеристикам метода относятся: чувствительность, максимальная глубина прозвучивания, минимальная глубина ("мертвая" зона), разрешающая способность, точность измерения расстояния, производительность контроля [30].

Под чувствительностью понимают минимальный размер дефекта, находящийся на максимальной глубине и четко регистрируемый прибором. Количественно ее определяют порогом чувствительности. Для эхо-метода - это минимальная площадь искусственного дефекта типа плоскодонного отверстия, который обнаруживается при контроле. Ее можно определить по отражателям другого типа, выполняя пересчет на площадь плоскодонного отверстия по формулам акустического тракта. Порог чувствительности ограничивается двумя главными факторами: чувствительностью аппаратуры и уровнем помех. В зависимости от структуры материала будет и изменяться порог чувствительности.

Максимальная глубина прозвучивания определяется максимальным расстоянием от дефекта (отражателя) заданного размера, на котором он уверенно выявляется. Она ограничивается условием, чтобы сигнал от дефекта был больше минимального сигнала, регистрируемого прибором и уровня помех. Она также определяется параметрами аппаратуры. В технических характеристиках прибора в качестве максимальной глубины прозвучивания указывают максимальную длительность развертки дефектоскопа. Достижение максимальной глубины прозвучивания ограничивается теми же факторами, которые препятствуют повышению чувствительности.

Минимальная глубина или "мертвая" зона - минимальное расстояние от преобразователя или от поверхности изделия до дефекта, на котором он четко выявляется не сливаясь с зондирующим импульсом или импульсом от поверхности ввода ультразвука.

Разрешающая способность - минимальное расстояние между двумя одинаковыми дефектами, при котором они регистрируются раздельно. Различают лучевую и фронтальную разрешающую способности метода.

Лучевая разрешающая способность - минимальное расстояние в лучевом направлении, при котором сигналы от дефектов видны на экране как два раздельных импульса.

Фронтальная разрешающая способность по перемещению - минимальное расстояние между дефектами в направлении перпендикулярном лучевому.

Точность измерения расстояния до дефекта определяется погрешностью в % от измеряемой величины.

Производительность контроля определяется шагом и скоростью сканирования (перемещения) преобразователя. При оценке времени контроля учитывается и время на исследование дефекта.

Условия выявления дефектов при эхо-импульсном методе: для обеспечения надежного выявления дефектов необходимо выполнение двух условий:

. Сигнал от дефекта должен превосходить минимальный сигнал, регистрируемый регистратором прибора:

. Сигнал от дефекта должен быть больше сигнала помех:

Также, зачастую от правильного выбора частоты ультразвуковых колебаний зависит мощность получения сигнала от дефекта, и как следствие, точность определения дефекта. Можно сказать, что частота является одним из главных параметров, от выбора которых зависит выявление. Остановимся подробно на её выборе. Как известно, частота зависит от коэффициента затухания. Для большинства материалов в диапазоне частот, применяемых в дефектоскопии, эта зависимость приближенно выражается формулой:

; (14)

где  и - коэффициенты, не зависящие от частоты.

Первый член связан с поглощением, второй - с рассеянием ультразвука мелкими зернами (кристаллитами) металла. При малых расстояниях от преобразователя до дефекта влияние затухания ультразвука невелико, поэтому в ближней зоне целесообразно применение высоких частот. В дальней зоне затухание имеет очень большое значение для рационального выбора частоты. Оптимальная частота ультразвуковых колебаний определяется формулой:

 ; (15)

где: С1 - коэффициент, связанный с поглощением ультразвука;- расстояние от преобразователя ультразвуковых волн до дефекта.

Виды помех, появляющихся при эхо-методе: При ультразвуковой дефектоскопии материалов и изделий, как и при других видов дефектоскопии наблюдается помехи. Их делят на несколько видов:

помехи усилителя дефектоскопа. Эти помехи препятствуют беспредельному увеличению коэффициента усиления приемного тракта дефектоскопа и определяют граничное значение регистрируемого прибором сигнала.

шумы преобразователя, возникающие при его работе по совмещенной схеме. Непосредственно после излучения зондирующего импульса чувствительность усилителя резко ослабляется в связи с сильным динамическим воздействием на него мощного сигнала генератора. Вследствие этого в указанной зоне резко возрастает граничное значение регистрируемого прибором сигнала наличие многократных отражений в протекторе, призме преобразователя, контактной жидкости создает помехи, затягивающие действие зондирующего импульса. Эти помехи быстро исчезают;

ложные сигналы, возникающие в результате отражения от выступов или выточек и других неровностей поверхности. Эти помехи мешают выявлению дефектов на отдельных участках объекта контроля;

помехи, связанные с рассеянием ультразвука на структурных неоднородностях, зернах материала, т.е. структурной реверберацией. Сигналы от неоднородностей в зависимости от фазы ослабляют или усиливают друг друга. Они носят статистический характер.

Если дефект находиться в дальней зоне, то для улучшения выявляемости дефекта в дальней зоне целесообразно увеличивать размеры преобразователя. При увеличении диаметра преобразователя улучшается направленность излучения. В ближней зоне увеличение диаметра преобразователя оказывает отрицательное влияние на отношение сигнал-шум, приводит к ухудшению направленности преобразователя.

Ультразвуковой эхо-импульсный дефектоскоп: Ультразвуковой эхо-дефектоскоп - это прибор, предназначенный для обнаружения несплошностей и неоднородностей в изделии, определения их координат, размеров и характера путем излучения импульсов ультразвуковых колебаний, приема и регистрации отраженных от неоднородностей эхо-сигналов. Рассмотрим его составляющие [31].

Рис.14. Блок схема импульсного ультразвукового дефектоскопа [31]

На рисунке 14 приведена принципиальная схема импульсного ультразвукового дефектоскопа. Генератор радиоимпульсов 3 возбуждает, пьезопластину передающей искательной головки 1. Ультразвуковые колебания распространяются в контролируемой детали, отражаются от ее противоположной стенки ("донный сигнал") и попадают на пьезопластину приемной искательной головки 2. Отраженные ультразвуковые колебания возбуждают колебания пьезопластины приемной искательной головки 2. При этом на гранях пьезопластины возникает переменное напряжение, которое детектируется и усиливается в усилителе 4, а затем поступает на вертикальные отклоняющие пластины электронно-лучевой трубки (ЭЛТ) 5 осциллографа. Одновременно генератор горизонтальной развертки 6 подает пилообразное напряжение на горизонтальные отклоняющие пластины ЭЛТ 5. Генератор радиоимпульсов 3 возбуждает пьезопластину передающей.

Определение образа выявленного дефекта: Целью НК является не только обнаружение дефектов, но и распознавание их образа для оценки потенциальной опасности дефекта. Методы визуального представления дефектов эффективны, когда размеры объектов (дефекта в целом или его фрагментов) существенно превышают длину волны УЗК, Кроме того, эти методы требуют применения довольно сложной аппаратуры.

Рис. 15. Виды преобразователи [14]

Преобразователи на эхо-импульсных дефектоскопах: Преобразователи может быть, прямые, наклонные или разделано совмещенные (Рис.13).

Дефектоскопы: UD2-12, УД4-Т "ТОМОГРАФИК-Россия", EPOCH XT “Olympus NDT-USA”

Различные виды сканеров: Ультразвуковые эхо-сигналы с помощью электронных средств преобразуются визуальное представление на экране. Существует три основных способа представления, которые называются А- сканирование, В- сканирование и С сканирование.

Наиболее распространенным способом представления является А-сканирование. В этом способе горизонтальная линия на экране служит для обозначения времени работы системы, а вертикальное отклонение показывает амплитуду эхо-сигнала. По местоположение и амплитуде эхо-сигнала на экране можно определить глубину дефекта в материале и оценить размера дефекта. Типичная система А сканирование показано на рис 14.

Рис.16. Блок схема получения изображения с помощью А-сканирования [36]

В-сканирование дает вид тестирование образца в разрезе, показывает ширину и глубину залегания дефекта в тестируемом материале. На экране выводится отражения передней и задней поверхностей материала и от дефекта. Типичная система В-сканирование показана на рис. 17.

Рис. 17. Блок схема получения изображения с помощью В-сканирования [36]

Главным достоинством В-сканирование является возможность получать на экране поперечный разрез тестируемого образца и дефектов в нем. поскольку изображение сохраняется в течение времени, достаточно для того, что бы полностью оценить образец, можно не фотографировать картину на экране ЭЛТ для получения постоянной записи.

Недостатки В-сканирования заключаются в следующем:

)        Области за отражающей поверхностью находятся в тени, поэтому получить их изображение не представляется с возможным.

)        Ширина дефекта в направлении, перпендикулярном УЗ лучу и направлению движения зонда, не регистрируется, кроме тех случаев, когда она влияет на эхо-сигнал, усиливая или ослабляя его интенсивность, и тем самым изменяет яркость изображения.

)        Вследствие органичности ширины луча и эффекта дивергенции дефекты вблизи задней поверхности образца кажутся больше, чем дефекты вблизи передней поверхностей.

С-сканирующее оборудование обеспечивает постоянную запись результатов тестирования в высокоскоростном автоматическом режиме. Картина С- сканирование показывает дефекты в горизонтальной проекции, но не дает информации о глубине или ориентации. Система С- сканирования показана на Рис. 18

Рис.18. Блок-схема устройства для С- сканирования [36]

 А-Скан

 B-Скан

C-Скан

Рис. 19-a. A, B, C Сканирование от дефектоскопа УД4-Т [41]

А-Скан

В-Скан

Рис. 19-б . A, B Сканирование от дефектоскопа EPOCH XT [42]

Рис. 19-в. Дефектоскоп EPOCH XT “Olympus NDT-USA [42]

На рис. 19-а показаны A,B,C сканирование, полученные с помощью дефектоскопов УД4-Т и на рис. 19-б A и B сканирование EPOCH XT (Рис. 19-в) использующихся в ГТК «РОССИЯ».

4.      Проблемы, возникающие ПРИ Ультразвукавом эхо контроле многослойных композитных материалОВ

 

Среди многообразная свойств композитов, определяющих требования к УЗ контролю, выделены основе, высоко затухание ультразвука и сложная структура. При УЗ контроле протяженных изделий из композитов интегральное затухание ультразвука становится столь высоким, что отраженные от одна изделия, а также от дефектов эхо-сигналы находятся ниже порогового уровня приемного тракта дефектоскопа и не обнаруживается. Это правило к появлению новой для УЗ контроля проблеме обнаружения эхо-сигналов, находящихся в смеси со случайным, белым шумом.

Проблема обнаружения близка к существующей в традиционной дефектоскопии проблеме повышения чувствительности эхо контроля. Однако, существующие методы повышения чувствительности не решают проблемы обнаружения эхо-сигнала, замаскированного шумом, и выделения его из случайного шума. В традиционной аппаратуре УЗ эхо контроля диапазон чувствительности ограничивается снизу уровнем шума приемной части дефектоскопа. Увеличение чувствительности за счет увеличения амплитуды зондирующего сигнала имеет придел, определяемый выходным каскадом генератора или допустимым напряжением на преобразователе [12].

Таким образом, при контроле изделий с большим затуханием ультразвука появляется принципиально новая проблема обнаружении эхо-сигнала, находящегося ниже порогового уровня шумоприемной части дефектоскопа к целесообразно поэтому ввести новое понятие - чувствительности должна характеризироваться соотношением уровней эхо-сигнала и белого шума (соотношением сигнала/шум).

Как будет показано ниже, выделение эхо-сигнала из белого шума зависит не от амплитуды, а от энергии зондирующего сигнала. Очевидно, что выделить эхо сигнал из шума можно при уменьшении частоты зондирующего сигнала, так как в композитах затухание ультразвук зависит от частоты- чем ниже частота, тем ниже затухание. Отсюда следует, что введенное понятие чувствительности к обнаружению прямо пропорционально энергии зондирующего сигнала и обратно пропорционально частоте сигнала, и тем самым отличается от традиционного понятия чувствительности.

Введенное понятие чувствительности к обнаружению находится в противоречии с разрешающей способностью по дальности . Действительно, чем ниже частота сигнала, тем больше его длительность  и тем ниже разрешающая способность , где - скорость ультразвука.

Особенно указанное противоречие сказывается при контроле многослойных композитов, применяемых в космической и авиационной отраслях, где, как правило, возможен только односторонний контроль изделий и где наряду с высокой чувствительностью к обнаружению требуется высокая разрешающая способность. Пример контроля такого изделия приведен на рис.20, где необходимо обнаружить эхо-сигналы, отраженные от границ многослойной конструкции .

Рис.20. Схема ультразвукового эхо-контроля многослойного изделия [12]

Обобщенная для многих полимерных композитов частотная зависимость коэффициента затухания приведена на рис. 21.

Рис. 21 . Обобщения зависимость затухания ультразвука в композитных материалах [12]

На рис. 22 условно показаны зондирующие сигналы длительностью  в первый период колебаний на частотах 100, 200, 400 кГц и эхо-сигналы от границ слоев 1 и 2.

Рис. 22. Иллюстрация противоречия между чувствительностью к обнаружению и разрешающей способностью ультразвукового эхо-контроля многослойного изделия с большим затуханием УЗ при использовании зондирующих сигналов с разделными несущими частотами кГц: =100, =200, =400 [12]

Видно, что при частоте  100кГц () эхо-сигналы находятся выше уровня порогового шума приемной части электроакустического тракта дефектоскопа  (обычно значение  составляет единицы мкВ ), сигналы выделяются из шума, но не разрешаются во времени. На частоте  400кГц (c) эхо-сигналы разрешаются во времени, но находятся ниже порога и порога и поэтому не обнаруживаются. На рис.22-б показан промежуточный случай. Таким образом, очевидна ситуация, когда обеспечить одновременно высокие значение чувствительности к обнаружению и разрешающей способности традиционный эхо-импульсный метод контроля не может и возникает необходимость разработки новых способов УЗ эхо-импульсного контроля, обеспечивающих выделение эхо-сигналов, замаскированных шумами приемника дефектоскопа (белым шумом). Одновременно можно перечислить еще ряд проблем, возникающих при УЗ эхо-дефектоскопии или эхо-толщинометрии многослойных композитов с большим затуханием ультразвука:

Неоднозначность контроля, которая может возникнуть из-за резонансных явлений в слоях, когда могут возникать стоячие волны и амплитуда отраженных сигналов не будет соответствовать реальной величине;

Рис. 23. Образование погрешности измерения толщины изделия с большим затуханием УЗ за счет искажения формы эхо-сигнала [12]

Искажения переднего фронта эхо-сигнала, приводящие к ошибке  в изменении временного положения эхо-сигнала (рис. 23), что особенно сказывается в УЗ эхо-импульсной толщинометрии, где измерении эхо сигнала производится автоматически по переднему фронту эхо-сигнала и по мере затягивания фронта увеличивается ошибка измерения ();

Изменение начальной фазы эхо-сигнала на границах слоев , что может привести к ошибке измерения толщины слоя на величину, ровную половине переда несущей частоты, при изменениях фазы отраженного сигнала на . это проблема особенно актуальна при толщинометрии многослойных композитов, так как из-за многообразия материалов, из которых могут быть изготовлены слои , в одном случае коэффициента отражения от границ слоя  может быть положительным , а в другом случае - отрицательным . Соответственно эхо-сигналы от границ слое а имеют различные начальные фазы (рис. 24, б, в). Если при этом измерение производится по переднему фронту эхо-сигнала, то возникает ошибка в измерениях .

Рис. 24. Образование погрешности измерения толщины первого слоя (а) при различных акустических сопротивлениях второго слоя (б, в) [12]

5.      Совершенствование Ультразвуковой дефектоскопии с помощью фазоманипулирования сигнала

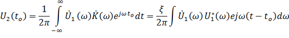
Как известно из радиотехники, оптимальным фильтром (ОФ) называется линейный частотный фильтр, обеспечивающий на выходе максимально возможное отношение сигнал/шум [12]. Если на входе линейного фильтра с коэффициентом передачи  поступает сигнал , то на выходе его в любой момент времени  сигнал равен:

. (16)

Если одновременно на входе фильтра поступает сигнал помехи типа белого шума, имеющий энергетический спектр , не зависящий от частоты, то дисперсия шума на выходе линейного фильтра будет определяться так [1]:

. (17)

Отношение сигнал/шум на выходе фильтра записать как отношение модуля мгновенного значения полезного сигнала к среднеквадратическому уровню шума :

 (18)

Подробный анализ, проведенный в работе [1] показывает, что отношение (18) будет максимальным при выполнении двух условий:

 ; (19)

; (20)

где

из (19) следует, что фазовая характеристика ОФ должна быть такой, чтобы в нем происходила компенсация начальных фаз всех гармоник сигнала. В момент  все гармоники должны иметь одинаковую нулевую фазу, что обеспечивает их синфазное суммирование с образованием пика сигнала на выходе ОФ в этот же момент времени . форма выходного сигнала при этом будет отличаться от формы входного. Из (20) следует, что модуль передаточной функции ОФ отличается от модуля спектральной характеристики сигнала только на постоянную . Следовательно, ОФ пропускает спектральные составляющие сигнала практически без искажений, а входной шум ограничивается в ОФ. В сочетании с фазовой компенсацией сигнала это приводит к максимизации отношения сигнал/шум на выходе ОФ. Причем это отношение при данном уровне входного шума определяется только энергией входного сигнала :

. (21)

С учетом (4) и (5) коэффициент передачи ОФ можно представить в виде:

 (22)

И сигнал на выходе ОФ теперь запишется:

 ; (23)

где,  (24)

является автокорреляционной функцией (АКФ) сигнала. Другими словами ОФ устанавливает степень соответствия входного сигнала ожидаемому. Сигнал на выходе ОФ не соответствует временному изображению входного сигнала, а имеет вид АКФ сигнала.

Подставляя (22) в (18) с учетом (20) и (21), получаем:

 (25)

Из (25) становится ясным, что ОФ обеспечивает максимально возможное соотношение сигнал/шум на выходе и это отношение зависит от энергии выходного сигнала , пропорциональной энергии зондирующего сигнала. Таким образом, можно сделать вывод, что при УЗ дефектоскопии изделий с большим затуханием ультразвука для повышения чувствительности к обнаружению следует увеличивать энергию зондирующего сигнала. При этом численно чувствительность к обнаружению эхо-сигналов в шуме определяется выражением (25) и показывает, во сколько раз следует увеличить энергию сигнала для обеспечения соотношения сигнал/шум больше единицы. Увеличение энергии зондирующего сигнала за счет увеличения амплитуды возбуждающего сигнала имеет, как было отмечено выше, придел. Поэтому для увеличения чувствительности обнаружения следует увеличивать длительность зондирующего сигнала . Однако, это приводит, что также отмечалось выше, к ухудшению разрешающей способности по дальности.

Как известно, разрешающая способность эхо-контроля по дальности характеризуется минимальной разностью разрешающих эхо-сигналов  [1]. Различие сигналов будет тем больше, чем меньше значение среднего квадрата разности:

; (26)

где  энергии сигналов, взаимо-корреляционная функция (ВКФ) сигналов .

В том случае, когда приходится разрешать во времени два одинаковых сигнала, то ВКФ становится их АКФ. Для высокого такими, чтобы их АКФ была минимальной на возможно большем протяжении АКФ и была бы максимальной только в коротком интервале в области высокой корреляции . При  можно получить высокую разрешающую способность по дальности.

 (27)

Корреляция, это математическая операция которая использует два сигнала и преобразует третий. Получивший третий сигнал называется кросс-корреляция (cross-correlation). Если сигналы корролизирует собой, то результат называется автокорреляцией [15].

Потенциальная точность измерения временного положения эхо-сигнала тем выше, чем больше отношение сигнал/шум и чем больше эффективная ширина спектра сигнала. Как будет показано ниже, применение широкополосных сложно-модулированных сигналов о последующей оптимальной фильтрацией решает проблему точного определения положения эхо-сигнала как в дефектоскопии, а так и в толщинометрии.

Согласно (19) суть оптимальной фильтрации заключается в накоплении и суммирования составляющих сигнала в течение длительности импульса. Использование оптимальной фильтрации одиночного видеоимпульса или радиоимпульса хотя и необходимо, но не дает большего выигрыша в отношении сигнал/шум. Использование накопление периодических импульсов, легко реализуемое сегодня в цифровых вычислительных устройствах, обеспечивает выделение сигнала из шума, увеличивает чувствительность дефектоскопа к обнаружению, но и не решает одновременно задачи разрешения эхо-сигналов и задачи точного измерения параметров сигнала. С этой целью наиболее целесообразно использовать фазоманипулированные (ФМ) сигналы с последующей оптимальной фильтрацией - внутриимпульсным накоплением. В результате оптимальной фильтрации эти сигналы длительностью  (сжимаются во времени) - сигнал на выходе оптимального фильтра имеет очень четко выраженный максимум длительностью , амплитуда которого значительно превышает уровень боковых лепестков сигнала. За счет увеличения амплитуды главного максимума увеличивается чувствительность контроля, короткий сжатый максимум определяет высокую разрешающую способность по дальности

Качанов В. А. был первым, который предложил тот метод для УЗ дефектоскопии в 1974 г [3]. Затем Чен В. Х., Чунг И. С. Динг С. Х. предложили модификации этого метода. Метод уже применяется на УЗ дефектоскопах в аэрокосмических отраслях. Разработки еще продолжаются в Московском энергическом институте.

Как известно, чем сложнее сигнал, тем большим набором он обладает, тем больше новых методов УЗ контроля возможно создавать на основе использования этих свойств.

В этом дипломном работе ФМ сигналы строится путем модуляции фазы несущего колебания на  двоичными кодовыми Баркера.

Каждый код, а значит и соответствующий ему ФМ сигнал имеет свою индивидуальность. Это означает, что ОФ для конкретного сигнала выделит его из смеси с другими ФМ сигналами, а также из помех и шумов.

Рис.25-a. Фазоманипулированный сигнал Баркера N=13: а= видеосигнал, б= ФМ сигнал. [12]

Рис. 25-б. Автокорреляционная функция видео кода Баркера [12]

На рис. 25-a изображен видеокод Баркера с индексом N=13 (), соответствующий ему ФМ сигнал (б), в котором фаза несущего колебания меняется согласно коду на . на рис. 25-b показана огибающая этого же сигнала после ОФ - т.к. его АКФ. Длительность ФМ сигнала , где длительность элементарного импульса () с одним главным максимумом и малым уровнем боковых лепестков - главный максимум в N раз превышает уровень боковых лепестков. Длительность главного максимума на уровне ½ составляет , именно на интервале находится область высокой корреляции АКФ, благодаря чему выполняется уровне (27) и обеспечивается высокая разрешающая способность

Важный параметр сложно-модулированных сигналов, характеризующий их помехоустойчивость, а также чувствительность к обнаружению - база сигнала Б - определяется как произведение ширины спектра сигнала  на его длительность . Для рассматриваемого сигнала ,

.

У сложно-модулированных сигналов Б>>1 в отличие от немодулированных сигналов, у которых .

Рис. 26. Разрешение сжатых ФМ эхо-сигналов и выделение их из шума [12]

Преимущество использования ФМ сигналов при УЗ контроле поясняется рис.26, где показана структурная схема эхо-контроля многослойного изделия (), излучаемый длинный (следовательно, высокоэнергетичный, обеспечивающий высокую чувствительность контроля) ФМ сигнал (б), отраженные от границ раздела слоев эхо-сигналы до оптимальной фильтрации (в) и после (г). Видно, что отраженные не отфильтрованные эхо-сигналы находятся, во-первых, ниже порогового уровня шума приемника из-за высокого затухания УЗ в изделии, а во-вторых, не разрешаются во времени. Однако после снижения в ОФ все сигналы выделяются из шума и различаются во времени (рис.26, г). Таким образом обеспечиваются одновременно высокая чувствительность и разрешающая способность УЗ эхо-контроля.

На этом же примере рассмотрим еще одно преимущество использования оптимальной фильтрации сигналов в УЗ дефектоскопии. В традиционных УЗ дефектоскопах эхо-сигналы представляют собой временную копию зондирующего сигнала, искаженную в электроакустическом тракте, в силу чего возникают проблемы с определением временного положения эхо-сигнала. При использовании оптимальной фильтрации индикация производится по максимуму АКФ, положение же максимума, как это видно из рис. 25-b, в практически не меняется. Именно в этом проявляется требование (28).

Еще одно преимущество ФМ сигналов сказывается при контроле многослойных материалов. Как известно, в традиционных устройствах УЗ эхо-импульсного контроля используются максимально короткие импульсы не только с целью обеспечения высокой разрешающей способности, но и из-за интерференционных явлений. Использование относительно длинных зондирующих сигналов при контроле многослойных материалов из-за возникновения стоячих волн приводит к неоднозначным результатам контроля- амплитуды эхо-сигналов таких слоев не соответствуют реальным значениям коэффициентов отражения. При отражении от слоя радиоимпульса длительностью  возникает известная зависимость амплитуды эхо-сигнала от соотношения длины волны и толщины слоя (рис. 27, кривая ).

Проведенное на ЭВМ моделирование прохождения через слой ФМ сигнала Баркера длительностью  показывает, что стоячих волн в слое не возникает (рис. 27, кривая б). Аналогичные результаты дали эксперименты по прохождению радиоимпульсов и ФМ сигналов через слой оргстекла, помещенного в воду. Такой эффект нерезонансного прохождения ФМ сигнала через слой означает что амплитуды эхо-сигналов показанных на рис. 25, г соответствуют реальным значениям коэффициентов отражения.

Рис. 27. Зависимость амплитуд через прошедших через слой ФМ сигнала [12] (после сжатие в ОФ и одинакового с ним по длительности гармонического сигнала )

В качестве ОФ для ФМ сигнала может быть предложена линия задержки на время  с отводами, фазоинверторами, сумматором и оптимальным фильтром ОФ  для элементарного импульса. На рис. 28 приведен такой ОФ для ФМ сигнала Баркера с индексом .

Рис. 28. Оптимальный Фильтр видео кода Баркера N=13 [12]

На практике удобнее производить сжатие не радиоимпульсного ФМ сигнала, а соответствующего его видеокода, получаемого путем предварительного переноса в области нулевых частот спектра ФМ сигнала[3]. Процесс сжатия видеокода в ОФ показан на рис. 28. На рис. 29 показаны сжатие сигналы после сумматора (сплошной линией) и после ОФ для элементарного импульса (пунктирной линией).

Рис. 29. Процесс сжатия ФМ сигнала в оптимальном фильтре (а) и сжатый ФМ сигнал на выходе фильтра [12]

В ОФ для ФМ сигнала происходит геометрическое сложение составляющих некоррелированного входного шума и арифметическое сложение элементарных составляющих ФМ сигнала, в результате чего на выходе ОФ отношение сигнал/шум возрастает в  раз:

; (28)

где  коэффициенты передачи отводов линий задержки (см. рис. 26).

Таким образом, ОФ для ФМ сигнала подобен накопителю для  сигналов длительностью  с периодом следования . Аналогичен и результат: при накоплении одинночных импульсом с периодом следования  и при сжатии ФМ сигнала быстродействие выше в  раз. Этот факт также показывает преимущество использования оптимальной фильтрации ФМ сигналов при УЗ дефектоскопии по сравнению с накоплением пачки из  немодулированных сигналов.

Перенесение спектра эхо-сигнала из области радиочастот в область видеочастот следует производить не только из-за удобства обработки, но и из-за целого ряда других эффектов. В частности при индикации видеосигналов удается увеличить разрушающую способность по дальности в 2-3 раза.

В большинстве УЗ эхо- импульсных дефектоскопов реальных зондирующий сигнал приставляет собой импульс, длительность которого составляет 1-2 периода. Очевидно, что разрешающая способность по дальности ограничена такой длительностью. Получить более высокое разрешение за счет частотного перекрытия двух соседних радиоимпульсов не удается, т.к. за счет фазовых эффектов при суммировании этих сигналов результирующий сигнал может имеет различный вид (при суммирование фазе и противофазе), что приводит к неоднозначному результату.

Рассмотрим как этот метод можно представит как математический модель который показывает свойства дефектоскопа и материала.

5.1 Простая математическая модель предлагаемого дефектоскопа

Для разрешения частично перекрывающихся импульсов предлагается использовать комплексную радиотехническую обработку эхо-сигналов, включающую в себя оптимальную фильтрацию.

Еще больший эффект для разрешения частично перекрывающихся сигналов получается при использовании ФМ сигналов за счет того, что ФМ сигнал ортогонален своей копии, сдвинутой относительно его самого [2].

При комплексной обработке эхо-сигнала устраняется так же информация о наличной фазе эхо-сигнала. В результате отраженные от границ раздела сред с различными акустическими сопротивлениями эхо-сигнал не будут зависеть от начальной фазы эхо-сигналов, тем самым решается проблема точности измерения временного положения эхо-сигнала при дефектоскопии и толщинометрии слоистых изделий.

Рис. 30. Структурная схема УЗ эхо контроля дефектоскопа с использованием ФМ сигнала и его оптимальной обработки

Структурная схема УЗ эхо-импульсного дефектоскопа с использованием ФМ сигнала и оптимальной обработкой эхо-сигналов в каждом из квадратурных каналов приведена на рис.30. Опорные сигналы в каждом из квадратурных каналов сдвинуты на 90о, после возведения в квадрат и суммирования на выходе сумматора эхо сигнал не зависит от начальной фазы. После операции извлечения квадратного контроля амплитуды эхо-сигналов соответствуют реальным размерам дефектов.

Главная цель модели является предсказывать ответные измерение от системы характерная аномалия материала. Таким образом в модели должно быть, преобразователь, Геометрия материала, Затухание, Помехи, Обработка сигнала. Однако саамы важный часть модели, это взаимодействие УЗ с дефектом.

Простой математический модель представлена на рис. 32. c использованием компьютерная программа Simulink в программе Matlab. С моделью автор пытался показать, действия дефектоскопа создавая искусственный дефект, границу и соответственно помехи и затухание на многослойных ПМК. Материал имеет 2 слоя сделано из углепластика и стеклопластика. Дефект на втором слое как показано на рис 31.

Рис. 31. Двухслойная конструкция, использованная в модели

Присутствие хорошей модели позволяет представить конструкцию затем оптимизация диагностирование и интерпретация результаты от эксперименты. Кроме того с хорошей модели гораздо просто и дешевле изучить характеристики метода, чем экспериментально. Каждая компьютерная программа работает благодаря микропроцессор который находится внутри компьютера. Процессор имеет определенная частота, и он выполняет команды от процессора и манипулирует частоты на диапазоне 0-максималная частота, еще амплитуда сигнала. То ест как результат получается сигнал во времени которые представляет информации которые на самом деле изменении электрические напряжении во времени. На данном программе “Simulink”, есть определенные блоки, которые совершает определенные функции (блок генератор сигнал, генератор баркер коды и т.д.). Дальше у нее ест блоки для манипулирования сигналы и экраны (Scope), для смотрения, получивши результаты. С использованием “Simulink”, можно моделировать комплексные системы с минимальной затраты времени.

Рис. 32-а . Математическая модель работы дефектоскопа с помощью Matlab’s (Simulink)

Рис. 32-б . Фазоманипулирование сигнала в Matlab

Barker Code Generator : Генератор кода Баркера. Длинна кода Баркера может быт 1,2,3,4,5,7,11 или 13. На этой модели автор использовал код с индексом 13. То ест сообщение [-1 -1 -1 -1 -1 1 1 -1 -1 1 -1 1 -1].

Signal Generator: Генератор сигнала. под этой модели, создает, повторяющегося синусоидального сигнала. То ест носитель = .

Product : Выполняют вычисление произведения текущих значений сигналов. Используется для того что бы смешать сообщение и носитель.

Band-Limited White Noise: Генератор белого шума с ограниченной полосой частот (генератор случайных сигналов с равномерным распределением верятностей)

Gain: Выполняет умножение входного сигнала на постоянный коэффициент. На данной модели Attenuation: затухание, когда коэффициент k, 0<k<1.

Transport Delay: Блок временной задержка сигнала. Обеспечивает задержку входного сигнала на заданное время.

Блок Subsystem 1,2,3: ФМ обработка сигнала как показано на рис. 28-a для того что бы получит импульс от сигнала.

Блок Subsystem 4,5,6: обработка сигнала для получения один пик от импульса.

Sum: суммирует разные сигналы

Dot Product: Скалярное умножение, вычисляет скалярное произведение двух векторов соответствие с выражением:

 ; (29)

где u1 и u2- входные векторы; conj- операция вычисления комплексно-сопряженного числа; Sum- операция вычисления суммы

Scope: Графопостроитель переменных во времени. Позволяет наблюдать за изменениями сигналов в процессе моделирования.

Рис. 33. Результат (А скан) математической модели

В результате, графики (А скан), автор хотел показать высокое затухание ПМК. Кроме того показывает, что ФМ сигналы действительно выше помехи (от белого шума). То есть предлагаемый метод, обладает хорошей разрешающей способностью.

Опробования характеристики дефектоскопа и материалы проведено на выше сказанном модели.

Прежде всего эксперимента модель идет путем изменения привели белый шум материалов. Теоретически, непрерывный белый шум, время корреляции 0, плоская спектральной плотности мощности (PSD) и ковариационной бесконечности. На практике, физические системы никогда не нарушается белого шума, хотя белый шум является полезным теоретические приближения, когда шум нарушение временем корреляции, что очень мало по сравнению с природным пропускную способность system. In Simulink, можно моделировать эффект белый шум с помощью случайной последовательности с временем корреляции значительно меньше, чем короткое время постоянной системы. Ограниченный по полосе Белый шум блока производит такую последовательность. Время корреляции шумов Sample Rate блока. Для точного моделирования, использовать время корреляции значительно меньше, чем самый быстрый динамику системы.

По сравнению с нормальным (по отношению к соответствующей модели) 100 кГц ультразвуковые волны с коэффициентом помехи (К) 0,0000007 ( мощность помехи).

Ситуация №1;= 0.0000007; нет дефектов;

Рис. 34. Ситуация №1

Ситуация №2;= 0.0000007; с дефектом во 2-й слой;

Рис. 35. Ситуация №2

Ситуация №3;>K1= 0.0000003; с дефектом во 2-й слой;

Рис. 36. Ситуация №3

Ситуация №4;>>K2= 0.00000001(почти нет помехи); с дефектом во 2-й слой;

Рис. 36. Ситуация №4

Ситуация №5;<K3= 0.0000009; с дефектом во 2-й слой;

Рис. 37. Ситуация №5

Ситуация №6;<<<K4= 0.0000019 (очень высокая уровень помехи); с дефектом во 2-й слой;

Рис. 38. Ситуация №6

Обратим внимание, что сигнал от дефекта теряется в шуме, когда шум коэффициента достигает более 0,0000018. Такая модель работает в этом пределе шумов 0…0.0000018. Баркер закодированы оптимального фильтра не эффективно в высших этих приделы. Для того что бы повышать чувствительность надо использовать другие коды (например М-коды) и соответственный оптимальный фильтр.

Теперь рассмотрим характеристики ФМ сигнала на среде, где 2 тонки слои из композитов.

Ситуация 7; K= 0.0000007; 2 тонкие слои, дефект на втором слое;

Рис.39. Ситуация №7

Заметим что дефект трудно обнаруживать в среде помехи.

Ситуация 8;>>K8=0.0000015;

Рис.40. Ситуация №8

Дефект хорошо видно когда помехи меньше,

Теперь рассмотрим, как модель реагирует на композитную конструкцию с тонким слоем и толстым слоем разных материалов, аналогично лонжерона и обшивка на A-400M (рис. 44). На модели толщина представляется как временную задержку. Тем толще материал, чем дальше УЗ волна распространяется, чем выше временная задержка.

Ситуация 9;<K9= 0.0000009, высокое уровне помехи.

Рис.41. Ситуация №9

Дефект видно. Но для обнаружения мелкие дефекты лучше использовать высокая частота.

Ситуация 10;=0.0000009, высокие помехи; 1MHz;

Рис. 42.

Ситуация № 10

Дефект видно. Когда частота выше, УЗ затухает больше. Но с ФМ можно сигнал от дефекта обнаружить если бы использовали обычный импульс, то обратный сигнал от дефекта будет ниже порогового белого шума.

 

ЗАКЛЮЧЕНИЕ


Как правило, в большинстве ультразвуковых эхо-импульсных дефектоскопов используется ударное возбуждение излучающего преобразователя. Это не позволяет гибко перестраивать частоту зондирующего сигнала, что желательно при контроле изделий с большим затуханием и многослойной структурой для обеспечения оптимального соотношения чувствительности и разрешающей способности. Такое соотношение, как правило, трудно рассчитать для каждого изделия заранее и желательно устанавливать экспериментально в процессе контроля. Из-за того, что в описанном выше УЗ дефектоскопе используется в качестве зондирующего сигнала радиоимпульс (ФМ сигнал), появляется возможность в процессе контроля плавно менять частоту зондирующего сигнала и другие параметры (в первую очередь длительность элементарного импульса, определяющую разрешающую способность контроля и ширину спектра ФМ сигнала). Это в свою очередь позволяет подстраивать параметры зондирующего сигнала под параметры контролируемого изделия- т. е. находить оптимальную частоту сигнала с целью повышения чувствительности к обнаружению и наиболее оптимальную длительность сигнала с целью обеспечения разрешающей способности.

Автор предлагает более общую концепцию создания компьютерно-адаптивных параметров зондирующего сигнала, коэффициент усиления входного усилителя, способ оптимальной обработки переменных сигналов и другие параметры УЗ контроля, исходя из параметров контролируемого изделия.

Результаты от модели показывает, что баркер коды с последствием его оптимального фильтра создают эффективные результаты в многослойных контракциях, которые толще, чем обычные конструкции. Создание компьютерной модели экономили времени и денег, которые требуют реальные эксперименты, открыли окно для рассмотрения характеристики ультразвуковой ФМ волны на композитных материалах. Хотя эксперимент крайний важен перед применением такого метода в ТО, потому что гражданская авиация требует высокого уровня надежности и безопасности.

Таким образом, выше изложены основные проблемы, возникающие при УЗ эхо-импульсом контроле полимерных композитов с большим затуханием ультразвука и многослойной структурой.

Рис. 43. Соединения лонжерон с обшивкой на A400M

Уже на самолете A-400M, лонжероны и обшивки созданы из тонких слоев композитных материалов (рис. 43). Поэтому очень важно совершенствовать методы их дефектоскопии [43].

В настоящей дипломной работе предлагаются методы улучшения ультразвукового контроля, специфичные только для УЗ-дефектоскопии, не имеющие аналогов в радиолокации и технике связи, обеспечивающие одновременно увеличение помехоустойчивости, чувствительности, разрешающей способности, контроля, достоверности и точности измерения параметров эхо-сигналов.

СПИСОК ИСПОЛЬЗОВАННОЙ ЛИТЕРАТУРЫ

1. Леин Ю. С. Введение в теорию и технику радиотехнических систем. - М.: Радио и связь, 1986.-280 с.

. Качанов В. К. Применение ортогональных фазоманипулированных сигналов в УЗ дефектоскопии 1990, №9-С. 39-46.

. Качанов В. К. о возможности применение методов сжатия импульсов в УЗ дефектоскопии. 192, 1974-с. 121-129.

. Качанов В. К. применения методов сжатия импульсов УЗ дефектоскопии: автореф. Дис… канд. Техн.наук. М.,1979.

. Furgason E. S., Newhouse Y.L., Bilgutay N. M., Cooper G. R. Application of random signal correlation techniques to ultrasonic flow detection. Ultrasonic, 1975,13.P.11-17.

. Lam F.K., Szilard I pulse compression techniques in ultrasonic non destructive testing. Ultrasonics 1976, 14.-P.111-114.

. Chen W. H., Chung I. S. , Ding C. H. ultrasonic non destructive testing using bark code pulse compression techniques. 3rd europian conference on non destructive testing, Florance, 15-18 october 1984. V. 5.

. Lam F. K., Huz M. S. An ultrasonic puls compression system for non destructive testing using maximal length sequence. Ultrasonic, 1982, 20-.-P.107-112.

. Качанов В. К., рапорт Д.К., мозговой А. В. Разработка новых методов ультразвукового контроля полимерных композиционных материалов на основе использование радиолокационных сигналов // дефектоскопия, 1990, № 9. С. 3-20.

. Разработка ультразвуковых адаптивных методов и устройств для контроля полимерных материалов// В. К. Качанов,. О. А. Канзацев, И. В. Соколов, А. Ю. Завьялоа// Дефектоскопия, 1990, № 9- С. 52-56.

. Карташев В. Г., Качанов В. К. Оптимальное выделение сигналов на фоне структурного шума в УЗ дефектоскопии// дефектоскопия 1992, №7. - С. 14-24.

. Использование Радиолокационных сигналов и методов их обработки в УЗ дефектоскопии композиционных материалов. В.К. Качанов, The journal “Technical diagnostics and NDT” 1995, №2. С- 3-18

13. Житомирский Г. И., Конструкция самолетов: Учебник для студентов авиационных специальностей вузов.- 3-е изд., перераб. И доп.- М.: Машиностроение, 2005.-406с.:ил.

14. Michael Berke, Basic principles of ultrasonic testing, Krautkramer NDT Ultrasonic Systems, 42p

. Steven W. Smith, The Scientist and Engineer's Guide to Digital Signal Processing, 479p

. T. Stepinski and F. Lingvall, Automatic Defect Characterisation in Ultrasonic NDT Uppsala University, Signals and Systems, Uppsala, Sweden, 10p

. Ultrasonic NDT in defect detection, Mathematical modeling, Hakan Wirdelius. Chalmers University of technology, division of mechanics, Goteborg, SWEDEN: 1995

. Конференция DEFEKTOSKOPIE 2008 Brno, 6. 11. 2008, Mehdi HAJIAN, Farhang HONARVAR, Hamid ABRISHAMI-MOGHADDAM,Improving the ultrasonic NDE signals by iterative wiener filtering, 47-54p.

. Udaya B. Halabe, Ph.D., Hota GangaRao, Ph.D., Hema J. Siriwardane, Ph.D., Powsiri Klinkhachorn, Ph.D., REVIEW OF NONDESTRUCTIVE EVALUATION TECHNIQUES FOR FRP COMPOSITE STRUCTURAL COMPONENTS, Department of Civil and Environmental Engineering, Morgantown, West Virginia, 2007, 225p

. 15th world conference on non destructive testing. Rome (Italy), 2000. Paper XCV/904.

. Potapov A.I., Pakker F.P. Nondestructive testing of structures of composite materials. Leningrad: Mashinostroenie, 1977. 192P

22.<http://www.centennialofflight.gov/essay/Evolution_of_Technology/composites/Tech40.htm>

23. Low-Cost Composite Materials and Structures for Aircraft Applications, Dr. Ravi B. Deo, Dr. James H. Starnes, Jr., Richard C. Holzwarth. 12P: Paper presented at the RTO AVT Specialists’ Meeting on “Low Cost Composite Structures”,held in Loen, Norway, 7-11 May 2001, and published in RTO-MP-069(II).

. NEW MATERIALS FOR NEXT-GENERATION COMMERCIAL TRANSPORTS (Committee on New Materials for Advanced Civil Aircraft,National Materials Advisory Board,Aeronautics and Space Engineering Board,Commission on Engineering and Technical Systems, National Research Council) NATIONAL ACADEMY PRESSm,Washington, D.C. 1996

25. <http://www.avias.com/news/2008/10/27/8796093085152.html>

. Van sickele’s modern Airmanship, 1999, 991p

27. LATEST DEVELOPMENTS ON INDUSTRIAL ULTRASONIC TESTING OF AIRCRAFT COMPONENTS, W.Haase, A. Maurer, NUTRONIK GmbH, Alzenau, Germany- 7p

. COMPOSITE MATERIALS REVOLUTIONISE AEROSPACE ENGINEERING, “INGENIA” ISSUE 36 SEPTEMBER 2008 24-28pp

. Identification of Layered Material Properties Using Wavelet Transform of Ultrasonic Data Timothy C. Hanshawt, Chin S. Hsut, and Michael J. AndersonS

30. Чумичев,А.М. Техника и технология неразрушающих методов контроля деталей горных машин и оборудования: Учебное пособие для студентов вузов, обучающихся по направлению «Горное дело».- 2-е издание. - М.: МГГУ, 2003.- 379 с.

. Кривенков С.В., Зайцев Ю.В., Протасов В.Н., Кузьменков П.Г. Выявление скрытых дефектов деталей методом ультразвуковой дефектоскопии, 1999

. Вавилов В.П. Тепловые методы неразрушающего контроля. М.:, «Машиностроение» 1991, 240 с

. N P Avdelidis, A Moropoulou, Z P Marioli-Riga, “Invited Paper: The technology of composite patches and their structural reliability inspection using infrared imaging”, Journal of Progress in Aerospace Sciences, Vol. 39, No 4, pp 317-328, 2003.

. D Bates, G Smith, D Lu, J Hewitt, “Rapid thermal non-destructive testing of aircraft components”, Journal of Composites Part B: Engineering, Vol. 31, No 3, pp 175-185, 2000.

. I.N Ermolov, Yu. V. Lange, Nondestructive Testing Handbook, Volume 3, ultrasonic testing-M.:2009.-784p

. Baldev Raj, V. Rajendran, P. Palanichamy; SCIENCE AND TECHNOLOGY OF ULTRASONICS. New Delhi,2006:.576 c

. Bassem R. Mahafza, Ph.D.Radar Systems Analysis and Design Using MATLAB.Corporation. Huntsville, Alabama, 2000. 532p

. Цисарь И. Ф. MATLAB simulink Компьютерное моделирование экономики. -Москва.:СОЛОН-ПРЕСС, 2008. - 256 с.

. CTMS: Simulink Modeling Tutorial. 14p

. C.H. Chen, University of Massachusetts, USA.ULTRASONIC AND ADVANCED METHODS FOR NONDESTRUCTIVE TESTING AND MATERIAL CHARACTERIZATION, World Scientific Publishing Co. Pte. Ltd., 2007, 1-217p

41. <http://www.votum.ru/ud4_ru/>

. <http://www.olympus-ims.com/ru/epoch-xt/>

Похожие работы на - Совершенствование методов ультразвуковой дефектоскопии многослойных конструкций воздушных судов

 

Не нашли материал для своей работы?
Поможем написать уникальную работу
Без плагиата!
Без нейросетей!