Гальваномагнитные явления

  • Вид работы:
    Реферат
  • Предмет:
    Физика
  • Язык:
    Русский
    ,
    Формат файла:
    MS Word
    241,77 Кб
  • Опубликовано:
    2013-03-02
Вы можете узнать стоимость помощи в написании студенческой работы.
Помощь в написании работы, которую точно примут!

Гальваномагнитные явления

МИНИСТЕРСТВО ОБРАЗОВАНИЯ И НАУКИ РОССИЙСКОЙ ФЕДЕРАЦИИ

Федеральное агентство по образованию

Дальневосточный федеральный университет

Школа Естественных наук

Кафедра общей физики






РЕФЕРАТ

По дисциплине Физика

ТЕМА: Гальваномагнитные явления

Студент гр. С7203

Харчук В. А.

Руководитель

Доц. Присяжнюк А. В.

Реферат допущен к защите:





Владивосток - 2011 г.

Содержание

Введение

Глава 1. История открытия гальваномагнитных явлений

.1 История открытия эффекта Холла

.2 История открытия эффекта магнетосопротивления

.3 История открытия эффекта Эттингсгаузена

.4 История открытия эффекта Нернста

.5 История открытия эффекта Риги-Ледюка

Глава 2. Количественная теория гальваномагнитных явлений

.1 Количественная теория эффекта Холла

.2 Количественная теория эффекта магнетосопротивление

.3 Количественная теория эффекта Эттингсгаузена

.4 Количественная теория эффекта Нернста

.5 Количественная теория эффекта Риги-Ледюка

Глава 3. Примеры технического применения гальваномагнитных явлений

.1 Техническое применение эффекта Холла

.2 Техническое применение эффекта магнетосопротивления

.2 Техническое применение эффекта Эттингсгаузена

.3 Техническое применение эффекта Нернста

.4 Техническое применение эффекта Риги-Ледюка

Заключение

Список литературы

Введение

Гальваномагнитные явления - это совокупность явлений, возникающих под действием магнитного поля в проводимых средах, по которым протекает электрический ток.

Изучение гальваномагнитного эффекта является актуальным, так как представляет собой научный, так и практический интерес. С одной стороны, оно позволяет установить таких важных для теории значений поперечной разности потенциалов, изменение удельного сопротивления, а с другой стороны, дает методы измерений определяющих параметров, как коэффициент Холла, напряженность электрического поля, электродвижущей силы и др.

Основная причина гальваномагнитных явлений - искривление траекторий носителей тока (электронов проводимости и дырок) в магнитном поле. Траектория носителей в магнитном поле может существенно отличаться от траектории свободного электрона в магнитном поле - круговой спирали, навитой на магнитную силовую линию. Разнообразие траекторий носителей тока у различных проводников - причина разнообразия гальваномагнитных явлений. И они рассмотрены в данной работе. Это эффекты: Холла, магнетосопротивление, Эттингсгаузена, Нернста и Риги-Ледюка. Все данные получены благодаря использованию библиотечной литературы и ресурсов сети.

Глава 1. История открытия гальваномагнитных явлений

.1 История открытия эффекта Холла

Эффект Холла был открыт в 1879 г. американским ученым Эдвином Гербертом Холлом (рис.1).

Рис. 1. 1 Эдвин Герберт Холл

В конце прошлого века молодой американский студент-физик Эдвин Холл сделал открытие, вписавшее его имя в учебники физики. Он проводил простой, "студенческий" опыт - изучал распространение тока в тонкой металлической пластинке, помещенной между полюсами сильного электромагнита. Студенты всех университетов проходят лабораторную практику, где на простых примерах их обучают мастерству эксперимента. Так было и в этот раз. Скромный студент и предполагать не мог, что его простенький опыт породит целую лавину исследований, часть которых будет отмечена самой почетной научной наградой - Нобелевской премией.

Прибор, с которым работал Холл, состоял из двух крест-накрест расположенных электрических цепей - так перевязывают ленточкой коробки с конфетами. Цепи различались тем, что одна из них содержала электрическую батарею и ток от нее проходил вдоль пластинки, другая, поперечная, не имела источников тока и просто соединяла края пластины.

Как и следовало ожидать, в случае, когда электромагнит был выключен, приборы фиксировали течение тока лишь вдоль пластины - в цепи с батареей - и его отсутствие в "пустой" поперечной цепи. Ничего удивительного. Однако, как только включался электромагнит, в поперечной цепи как бы из ничего, сам по себе возникал электрический ток. Это было интересно, но никакого чуда тут не было - объяснение нашлось довольно быстро. На движущиеся в продольной цепи электроны действует хорошо известная еще из школьного учебника сила Лоренца, отклоняющая электроны в поперечном направлении, что и порождало небольшой ток в поперечной цепи - все элементарно просто.

Более полувека, полузабытое, это явление оставалось в тылу физической науки. Откопали его в архивах специалисты по микроэлектронике. Сначала выяснилось, что если грубые измерительные приборы времен Холла заменить на современные, то открытое им явление можно использовать для подсчета числа заряженных частиц, движение которых порождает электрический ток, а это очень важно для конструкторов малошумящих транзисторов и других высокочувствительных микроэлектронных устройств, работающих с очень слабыми токами и магнитными полями.

.2 История открытия эффекта магнетосопротивления

Магнетосопротивление впервые было обнаружено в 1856 году Уильямом Томсоном.

Гигантское магнетосопротивление было экспериментально открыто двумя научными группами под руководством Альбера Фера и Петера Грюнберга независимо друг от друга в 1988 году. За открытие эффекта гигантского магнетосопротивления Феру и Грюнбергу была присуждена Нобелевская премия по физике за 2007 год.

Туннельное магнитное сопротивление было открыто Мишелем Жюльером в 1975 году.

.3 История открытия эффекта Эттингсгаузена

Эффект Эттингсгаузена был открыт в 1887 году в Германия.

.4 История открытия эффекта Нернста

Эффект В. Г. Нернстом открыт в 1886 году.

.4 История открытия эффекта Риги-Ледюка

Эффект Риги-Ледюка почти одновременно в 1887 году итальянским физиком А. Риги (A. Righi) и французским физиком С. Ледюком.

Глава 2. Количественная теория гальваномагнитных явлений

.1 Количественная теория эффекта Холла

Эффект Холла - явление возникновения поперечной разности потенциалов (называемой также холловским напряжением) при помещении проводника с постоянным током в магнитное поле.

Схема эксперимента Холла изображена на рис. 2.1.

Рис. 2.1.

К проводнику, расположенному вдоль оси х, приложено электрическое поле Ех, вызывающие электрический ток jx. Помимо того, имеется магнитное поле Н(рис. 2.2.), параллельное оси z.

Рис. 2.2. Действие магнитного поля (1. Электроны, 2. Зонд, 3. Магниты, 4. Магнитное поле, 5. Источник тока)

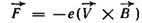
В результате появляется сила Лоренца - eBv, отклоняющая электроны в отрицательном направлении оси y дрейфовая скорость электрона направлена против тока). Однако электроны не могут долго двигаться в направлении оси у, поскольку они достигают границы проводника. По мере того как они там скапливаются, нарастает электрическое поле, направленное вдоль оси у и противодействующие движению и дальнейшему накоплению электронов. В состоянии равновесия это поперечное поле (или поле Холла) Еу компенсирует силу Лоренца, и ток идет лишь в направлении оси х.

Две величины представляют здесь интерес. Одна из них - это отношение поля вдоль проводника Ех к плотности тока jx:


Другой характеристикой является величина поперечного поля Еу. Поскольку такое поле уравновешивает силу Лоренца, можно полагать, что оно должно быть пропорциональным как приложенному полю Н, так и току jx в проводнике.

Поэтому величину, называемую коэффициентом Холла, определяют как

RH = Еу / jx H.

Следует обратить внимание на то, что, поскольку поле Холла направлено против оси у (рис 2.1.), коэффициент RH должен быть отрицательным. С другой стороны, если бы заряд носителей был положительным, знак их Х-компоненты скорости был бы обратным и сила Лоренца осталась бы неизменно. В результаты имеет при отрицательно заряженных носителях. Этот вывод очень важен, поскольку он означает, что измеряется поля Холла позволяют определить знак носителей заряда.

Коэффициент Холла для некоторых металлов в сильных и промежуточных полях приведены в табл. 1. 1.

Таблица 1.1

Коэффициенты Холла некоторых металлов для полей от промежуточного до сильного

Металл

Валентность

Коэффициент Холла

Li

1

0.8

Na

1

1.2

K

1

1.1

Rb

1

1.0

Cs

1

0.9

Cu

1

1.5

Ag

1

1.3

Au

1

1.5

Be

2

-0.2

Mg

2

-0.4

In

3

-0.3

Al

3

-0.3


Рис. 2.3. Проводящая пластинка в магнитном поле

На рис. 2.3. изображена прямоугольная полупроводниковая пластинка, к узким боковым граням которой в продольном направлении подводится электрический ток I. На двух других гранях находится еще два электрода (так называемые холловские электроды), расположенные друг против друга. В направлении Z на пластину действует магнитное поле с индукцией B.

Для простоты рассмотрим полупроводник n-типа, т.е. с электронным типом проводимости. На электроны, двигаются в пластинке со скоростью V, в магнитном поле будет действовать сила Лоренца

 .

В силу ортогональности векторов V и В может быть записано в виде

,

Где y0 - единичный вектор, направленный вдоль оси y;

Vx - средняя скорость электронов в направлении х;

e - заряд электрона.

Под действием силы Лоренца возникает составляющая движения электронов в направлении y. В результате происходит пространственное разделение зарядов и появляется электрическое поле. Это поле начинает препятствовать разделению зарядов и как только создаваемая им сила станет равной силе Лоренца, дальнейшее разделение зарядов прекратиться. При равновесии рассматриваемых сил поток электронов движется через пластину не отклоняясь, а на боковых гранях пластинки можно определить разность потенциалов Эн.

Напряженность электрического поля в направлении оси y будет равна силе Лоренца, отнесенной к единице заряда

.

Скорость перемещения зарядов может быть выражена через подвижность носителей зарядов n и напряженность электрического поля воль направления тока Vx = nEx. Используя удельное электрическое сопротивление материала пластинки , напряженность Е преобразуем в плотность электрического тока jx, тогда Vx = n jx. Произведение n  представляет собой постоянную Холла RH = n , значение которого зависит не только от свойства материала, но и от значения магнитной индукции В. Умножая обе части равенства на площадь поперечного сечение пластинки b*d, получим

.

Учитывая, что Еyb = Эн - э.д.с. Холла, можно выразить следующим образом:

2.2 Количественная теория эффекта магнетосопротивление

Магнетосопротивление - изменение удельного сопротивления r проводника (металла, полуметалла, полупроводника) во внешнем магнитом поле Н.

В общем случае можно говорить о любом изменении тока через образец при том же приложенном напряжении и изменении магнитного поля. Все вещества в той или иной мере обладают магнетосопротивлением. Для сверхпроводников, способных без сопротивления проводить электрический ток, существует критическое магнитное поле, которое разрушает этот эффект и вещество переходит в нормальное состояние, в котором наблюдается сопротивление. В нормальных металлах эффект магнетосопротивления выражен слабее. В полупроводниках относительное изменение сопротивления может быть в 100-10 000 раз больше, чем в металлах, и может достигать сотен тысяч процентов.

Магнетосопротивление вещества зависит и от ориентации образца относительно магнитного поля. Это связано с тем, что магнитное поле не изменяет проекцию скорости частиц на направление магнитного поля, но благодаря силе Лоренца закручивает траектории в плоскости, перпендикулярной магнитному полю.

o   Отрицательное магнетосопротивление. Среди эффектов, которые приводят к магнетосопротивлению можно выделить слабую локализацию, как наиболее известный эффект приводящий к отрицательному магнетосопротивлению, то есть наблюдается увеличение проводимости при приложении магнитного поля. Это одноэлектронный квантовый интерференционный эффект, приводящий к дополнительному рассеянию носителей, что уменьшает проводимость.

o   Анизотропное магнетосопротивление. Особенностью ферромагнитных материалов является зависимость их электрического сопротивления от угла между направлением движения носителей тока и направлением намагниченности в образце вследствие спин-орбитального взаимодействия.

o   Гигантское магнетосопротивление. Эффект проявляется в многослойных структурах (сверхрешетках), состоящих из чередующихся ферромагнитных и немагнитных слоев. Подбором толщины немагнитного слоя можно достичь того, что основным состоянием будет антипараллельная направленность намагниченности в соседних магнитных слоях (антиферромагнитная структура). Приложением внешнего магнитного поля можно ориентировать намагниченность параллельно во всех слоях. В этом случае часть электронов будет проходить сквозь структуру, рассеиваясь очень слабо.

o   Туннельное магнетосопротивление. Туннельное магнитное сопротивление так же, как и гигантское, наблюдается в многослойных структурах ферромагнитных материалов, где в качестве прослойки между ними используется диэлектрик, через который происходит туннелирование электронов при прохождении электрического тока через образец.

При протекании тока через образец только те электроны, скорость которых близка к средней скорости, двигаются в поперечных электрическом и магнитном полях, не отклоняясь от прямолинейных траекторий, т.к. только для них сила Лоренца скомпенсирована действием поля Холла. В этом случае линии тока параллельны гранями образца.

Траектории движения тех электронов, скорость которых отличается от средней скорости, искривляются под действием магнитного поля. На более медленные носители сильнее действует поле Холла, а на более быстрые - сила Лоренца. Эффективная длина свободного пробега носителей в направлении электрического тока уменьшается, поскольку подвижность электронов пропорциональна длине свободного пробега, то в результате уменьшится электропроводность образца в данном направлении.

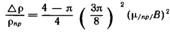
Эффект магнетосопротивления характеризуется отношением изменения сопротивления в магнитном поле =(В)-  (0) к сопротивлению при отсутствии поля  (0)

/=((В)-  (0))/  (0).

При примесной электронной или дырочной проводимости и слабом магнитном поле изменение сопротивления определяется следующими выражения

магнитный поле магнетосопротивление гальваномагнитный

где м/n.p./ - подвижность соответствующих носителей заряда (электронов или дырок).

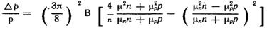
В случае проводимости, обусловленной носителями обоих знаков, изменение магнетосопротивления определяется выражением:


В полупроводнике с двумя видами носителей поле Холла меньше, поэтому линии тока в нем не параллельны граням и эффект магнетосопротивления соответственно проявляется сильнее.

Из приведенных выше выражений вытекает, что изменение сопротивления в слабом магнитном поле пропорциональна квадрату индукции магнитного поля и подвижности носителей.

.3 Количественная теория эффекта Эттингсгаузена

Эффект Эттингсгаузена - эффект возникновения градиента температур в находящемся в магнитном поле проводнике, через который течет ток. Если ток течет вдоль оси x, а магнитное поле направлено вдоль y, то градиент температур будет возникать вдоль z.

Это явление также вызвано тем, что электроны в кристалле имеют неодинаковые скорости. Те электроны, скорость которых меньше средней, под действием магнитного поля будут отклоняться на одну грань образца: для них сила Лоренца превышает действие поля Холла. На электроны со скоростью меньше средней более сильное влияние будет оказывать электрическое поле, под действием которого они будут отклоняться в противоположную сторону. Быстрые электроны отдают избыточную энергию кристаллической решетке, и соответствующая грань образца нагревается; медленные электроны на противоположной грани образца будут пополнять свою энергию за счет охлаждения решетки, и эта грань будет охлаждаться. Таким образом, возникает поперечная разность температур.

Температурный градиент пропорциональный напряженности поля

,

где p - коэффициент Эттингсгаузена.

Разница температур приведет к появлению термо-э.д.с. Холла, зависит от направления тока, магнитного поля и знака носителей заряда.

2.4 Количественная теория эффекта Нернста

Нернста эффект (продольный гальванотермомагнитный эффект) - появление в проводнике, по которому течет ток j, находящемся в магнитном поле H, перпендикулярном j, градиента температуры gradT, направленного вдоль тока j (рис.2.4.); градиент температуры не меняет знак при изменении направления поля Н на обратное (четный эффект). Нернста эффект возникает в результате того, что перенос тока (поток носителей заряда) сопровождается потоком тепла. Фактически Нернста эффект представляет собой возникновение на концах образца разности температур, что приводит к компенсации потока тепла, связанного с током j, потоком тепла за счет теплопроводности. Нернста эффект наблюдается также и в отсутствие магнитного поля. Эффект Нернста возникает также вследствие неодинаковых скоростей носителей тока, но их движение рассматривается вдоль другой оси, а именно, в магнитном поле электроны с большими скоростями будут достигать дальнего конца образца, в то время как электроны с меньшими скоростями отклоняются к грани образца. Происходит селекция (отбор) электронов вдоль образца, вследствие чего возникает продольный градиент температуры.


.5 Количественная теория эффекта Риги-Ледюка

Эффект Риги-Ледюка - термомагнитный эффект, состоящий в том, что при помещении проводника с градиентом температур в постоянное магнитное поле, перпендикулярное тепловому потоку, возникает вторичная разность температур, перпендикулярная магнитному полю и тепловому потоку. Эффект Риги-Ледюка, как и другие термомагнитные явления, обусловлен тем, что траектории носителей заряда в магнитном поле искривляются под действием силы Лоренца. Диффундирующие носители заряда переносят с собой теплоту (теплопроводность). В отсутствии магнитного поля поток теплоты направлен от горячего конца образца к холодному. При включении магнитного поля поток диффузии отклоняется силой Лоренца на некоторый угол, и возникает поперечный градиент температуры. Количественной характеристикой эффекта служит постоянная Риги-Ледюка S, характеризующая свойства данного вещества. При этом:


Согласно простейшим представлениям,

S = eτ / m * c,

где τ - время свободного пробега носителей, e - заряд носителей, m - эффективная масса.

Так как направление силы Лоренца при данном направлении диффузии зависит от знака носителей заряда, то знак S будет различным для носителей разного знака. Для электронов S > 0, для дырок S < 0.

Существует приближенное соотношение между S и постоянной Холла R:

S = σR,

где σ - удельная электропроводность.

Глава 3. Примеры технического применения гальваномагнитных явлений

.1 Техническое применение эффекта Холла

Эффект Холла был открыт уже более века назад, но особого внимания удостоился только в последние три-четыре десятилетия. Первое практическое применение (не считая лабораторных исследований) эффекта Холла было в 50-х годах в датчике микроволнового излучения. Затем, в связи с освоением массового производства полупроводниковой продукции, эффект Холла стал применяться более широко. В 1968 году произошла революция в производстве микропереключателей: появилась первая твердотельная клавиатура. Вначале чувствительный элемент и остальную электронику производили как отдельные узлы, но сейчас датчики на эффекте Холла используются практически везде: в компьютерах и швейных машинах, в автомобилях и самолетах, инструментах и медицинском оборудовании.

Эффект Холла технологически является очень выгодным. Чувствительный элемент - это всего лишь тонкая пластинка проводящего материала с выводами, расположенными перпендикулярно протеканию тока. Если эту пластинку подвергнуть воздействию магнитного поля, то напряжение на выводах изменится пропорционально величине напряженности этого магнитного поля. Напряжение на выводах очень мало, порядка микровольт, и требуется дополнительное усиление, чтобы добиться напряжения, с которым можно работать. Когда элемент Холла объединяется со вспомогательной электроникой - получается датчик Холла. Представляет собой тонкую прямоугольную пластину (площадь - несколько мм2), или пленку, изготовленную из полупроводника (Si, Ge, InSb, InAs), имеет четыре электрода для подвода тока и съёма ЭДС Холла. Чтобы избежать механических повреждений, пластинки Холла ЭДС датчика монтируют (а пленку напыляют в вакууме) на прочной подложке из диэлектрика (слюды, керамики). Для получения наибольшего эффекта толщина пластины (плёнки) делается возможно меньшей. Датчики ЭДС Холла применяют для бесконтактного измерения магнитных полей (от 10-6 до 105 Э). При измерении слабых магнитных полей пользуются Холла ЭДС датчиками, вмонтированными в зазоре ферро- или ферримагнитного стержня (концентратора), что позволяет значительно повысить чувствительность датчика. Так как в полупроводниках концентрация носителей зарядов (а следовательно, и коэффициент Холла) может зависеть от температуры, то в случае точных измерений необходимо либо термостатировать Холла ЭДС датчик, либо применять сильнолегированные полупроводники (последнее снижает чувствительность датчика).

Несмотря на то, что датчик Холла чувствителен к магнитному полю, он может быть использован как основной элемент в различных типах датчиков, таких как датчики тока, температуры, давления, положения и т. д. Принцип его применения в следующем. Датчик Холла всегда реагирует на изменение магнитного поля, созданного магнитной системой. В свою очередь состояние магнитной системы изменяется в зависимости от изменения измеряемой величины: температуры, давления, положения или какого-нибудь другого параметра через входной преобразователь. Выходной преобразователь формирует необходимый выходной сигнал измерителя, используя напряжение датчика Холла (рис. 3.1.).

Рис. 3.1. Датчик Холла

Основные преимущества использования датчика Холла следующие:

монолитность конструкции;

высокая наработка на отказ (порядка 30 миллиардов операций);

высокая скорость срабатывания (частота переключений свыше 100 кГц);

способность работы при не подвижной магнитной системе;

отсутствие подвижных частей;

совместимые логические уровни входов и выходов;

допустимые рабочие температуры от -40 до +150 °C;

высокая точность повторяемости операций.

.2 Техническое применение эффекта магнитоспоротивления

Так как напряженность холловского электрического поля снижает магниторезисторный эффект, то конструкция магниторезистора должна быть такой, чтобы уменьшить или полностью устранить эффект Холла. Максимальный магниторезисторный эффект наблюдается в неограниченном полупроводнике в направлении, перпендикулярном току.

В диске Корбино (рис. 3.2., а) при отсутствии магнитного поля в таком образце проходит в радиальном направлении от центра диска ко второму электроду, расположенному по периметру диска или наоборот. Отклонение носителей заряда под действием магнитного поля происходит в направлении, перпендикулярном радиусу, а поскольку не существует граней, на которых может происходить накопление зарядов, то разделение носителей заряда и образование электрического поля Холла в таком образце не происходит.

Другой конструкцией магниторезистора (хотя и с меньшим проявлением эффекта магнетосопротивления, чем в диске Корбино) является пластинка полупроводника, ширина которой больше ее длины (рис 2.1, б)

Рис 3.2. Конструкция магниторезисторов

Эти две структуры обладают наибольшим относительным изменением сопротивления в магнитном поле (рис. 3.3.)

Рис. 3.3. Изменение сопротивления в магнитном поле

Магниторезисторы могут применяется для измерительного преобразования индукции магнитного поля в напряжение. Поскольку магнитный резистор является пассивным преобразовательным элементом, то его необходимо включать в электрическую цепь, обеспечивающую протекание через него электрического тока.

В слабых магнитных полях (до 0,3..0,5 Тл) магниторезисторы могут служить основными элементами удвоителя частоты. Их можно использовать также для построения смесителей частот, модуляторов, анализаторов спектра, усилителей, генераторов, функциональных преобразователей и т. п.

.3 Техническое применение эффекта Эттингсгаузена

Ведутся исследования по созданию охлаждающих устройств на основе эффекта Эттингсгаузена и уже получены перепады температуры до 100°.

Низкотемпературное устройство на основе эффектов Пельтье и Эттингсгаузена, отличающийся тем, что с целью одновременного использования термоэлектрической батареи как генератора холода и как источника магнитного поля для охладителя Эттингсгаузена, термобатарея выполнена в виде цилиндрического соленоида.

Изменяется сопротивление проводника, что эквивалентно возникновению добавочной разности потенциалов вдоль направления электрического тока. Для обычных металлов это изменение мало - порядка 0,1% в поле 20 кВ, однако для висмута и полупроводников величина изменения может достигать 200% (в полях 80 кв.).

.4 Техническое применение эффекта Нернста

Известны попытки технического использования эффекта Нернста для получения низких температур. В этом случае элемент из пары полупроводников помещается в магнитное поле. В качестве полупроводниковых материалов для получения низких температур применяются двойные сплавы висмут - сурьма, которые дают возможность получать достаточно низкие температуры. Особенно в многокаскадных батареях, где в верхних ступенях используется эффект Пельтье, а в нижних - эффект Нернста.

.5 Техническое применение эффекта Риги-Ледюка

Эффект Риги-Ледюка, как и другие термомагнитные явления, лучше изучен в полупроводниках, чем в металлах, и служит для исследования подвижности носителей тока в твёрдом теле.

Заключение

В ходе изучения гальваномагнитных явлений получены данные из их истории открытия, количественной теории, а так же приведены примеры технического применения.

Гальваномагнитные эффекты широко используют в установках для лабораторных исследований и в ряде технических устройств. Датчики ЭДС Холла применяют для бесконтактного измерения магнитных полей (от 10-6 до 105 Э). Низкотемпературное устройство на основе эффекта Эттингсгаузена, отличающийся тем, что с целью одновременного использования термоэлектрической батареи как генератора холода и как источника магнитного поля для охладителя Эттингсгаузена, термобатарея выполнена в виде цилиндрического соленоида. Известны попытки технического использования эффекта Нернста для получения низких температур. Эффект Риги-Ледюка, как и другие термомагнитные явления, лучше изучен в полупроводниках, чем в металлах, и служит для исследования подвижности носителей тока в твёрдом теле.

Список литературы

1.       Лифшиц И. М., Каганов М. И., Некоторые вопросы электронной теории металлов, «Успехи физических наук», 1965, т. 87, с. 173

2.      В. Барашенков, Э. Капусцик, Загадки скрещенных токов - Эффект Холла, 2001 г.

3.       Ашкрофт Н., Мермин Н. Физика твердого тела, 1975 г., 457 с.

.         http://ru.wikipedia.org/wiki/Эффект_Холла

.         Справочник/ З.Ю. Готра, Л. Я. Ильницкий, Е. С. Полищук; за ред. З. Ю. Готра. - Львов: Каменяр, 1995. - 312 с.

.         http://www.kruso.su/info/152-effekt-holla-i-ego-primenenie.html

.         Справочник/ З.Ю. Готра, Л. Я. Ильницкий, Е. С. Полищук; за ред. З. Ю. Готра. - Львов: Каменяр, 1995, с. 192

.         http://www.ngpedia.ru/id80118p4.html


Не нашли материал для своей работы?
Поможем написать уникальную работу
Без плагиата!
Без нейросетей!