Проект внутрихозяйственного землеустройства
|
Министерство
сельского хозяйства РФ
Новочеркасская
государственная мелиоративная академия
Геодезические
работы при землеустройстве
Составление
технического проекта
внутрихозяйственного
землеустройства
МЕТОДИЧЕСКИЕ
УКАЗАНИЯ
для составления
курсового проекта
( для студентов
очного обучения по специальности
310900 —
“Землеустройство” )
Новочеркасск —
2001
|
Методические указания составлены ст.
преподавателем кафедры “Землеустройство” НГМА Е.П. Лукьянченко, ассистентом
кафедры “Землеустройство” И.А. Петровой, рассмотрены кафедрой “Землеустройство”
протокол № __ от _______ г. и рекомендованы к изданию методической комиссией
факультета землеустройства, протокол № __ от ________ г.
Рецензенты:
В.М. Зубов — к.т.н., доцент кафедры
“Геодезия” НГМА.
Содержание, порядок
составления и
оформления курсового
проекта
Для
проведения различных землеустроительных мероприятий необходимо иметь информацию
о размерах, форме, местоположении земельных участков и различных элементов
организации территории. С этой целью составляют план землепользования ТОО (АО),
предназначенный для определения площадей участков различными способами и
разработка технического проекта внутрихозяйственного землеустройства.
Рассмотрение
этих вопросов при изучении дисциплины “Геодезические работы при
землеустройстве” предусматривает составление студентом курсового проекта
“Составление технического проекта внутрихозяйственного землеустройства”.
Для
выполнения курсового проекта студенту выдается задание по варианту.
В соответствии
с вариантом, на основе плана землепользования масштаба 1:10000, геодезических
данных по границам землепользования, ведомостей вычисления площадей и в
соответствии с эскизным проектом составляют технический проект внутрихозяйственного
землеустройства ТОО "МИР" и подготавливают необходимые геодезические
данные для перенесения проекта в натуру.
По эскизному
проекту предусмотрено запроектировать:
- на пахотных
землях северной части землепользования — четыре поля полевого севооборота,
скотопрогон, полевую дорогу и спрямить ломаную границу выгоном и пашней;
- на пахотных
землях южной части землепользования — пятипольный овощной севооборот, сад, три
поля полевого севооборота и полевые дороги.
Все полевые
дороги имеют проектную ширину 5 м.
При техническом
проектировании следует уточнить положение границ и площадей проектируемых
участков, определить необходимые геодезические данные для правильного
расположения проектируемых участков в натуре.
В соответствии
с требуемой точностью проектируемых площадей и характером границ участков
запроектировать:
- поля овощного
севооборота- аналитическим способом;
- поля полевого
севооборота в южной части землепользования — графическим способом;
- поля полевого
севооборота в северной части землепользования — механическим способом.
Проектные
решения разрабатываются студентом самостоятельно с использованием настоящих
методических указаний.
В соответствие с
учебным планом студенты предъявляют к защите пояснительную записку и
практическое решения, оформление которых должно производиться согласно
требованиям ГОСТ и в соответствии с действующими условными знаками,
применяемыми в землеустройстве.
1
Составление и оформление
топографической
основы проектного плана
На листе чертежной бумаги с помощью линейки
Дробышева построить сетку квадратов со сторонами 10 см. Точность построения
сетки проверить измерителем по диагонали и сторонам квадратов (допустимое
расхождение 0,2 мм).
По координатам (приложение А) нанести вершины
границ землепользования.
Пользуясь абрисами теодолитной съемки
(приложение Б), нанести контуры ситуации и горизонтали в соответствии с
рисунком 1.
Вычертить:
-
координатную сетку - синей тушью (толщина линии 0,1 мм) и подписать,
- границы
землепользования - черной тушью (толщиной 0,2 мм);
- межевые знаки
- кружками (диаметр не более 1,2 мм),
- условные знаки сельскохозяйственных угодий
(разреженно в 2 раза).
Около
середины каждой линии границы с внешней стороны указать румб и меру линии (в
виде дроби).
2 Способы
определения площадей
2.1 Определение
площадей участков аналитическим способом
2.1.1 По координатам вершин вычислить
площади:
-
южной части землепользования, приусадебных земель;
- северной части землепользования;
производственного центра (таблица 1).
Рабочие
формулы:
Таблица 1 - Ведомость вычисления
площадей
|
Вершины
|
Координаты
|
Разности
координат
|
Произведения
|
|
X
|
Y
|
Xi-1 - Xi+1
|
Yi+1 – Yi-1
|
Yi (Xi-1 - Xi+1)
|
Xi (Yi+1 – Yi-1)
|
|
|
|
|
|
|
|
|
|
|
|
|
|
S
= 0.0
|
S
= 0.0
|
2Р =
|
2Р =
|
|
|
|
|
|
|
|
|
|
|
|
|
|
|
|
1:10000
Рисунок - 1
2.1.2 В соответствии с рисунком 2, по
результатам измерений в натуре (приложение Б), вычислить площадь сенокоса с
прудом и площадь проектируемой дороги в овощном севообороте.
Рисунок
2
Площадь
сенокоса с прудом вычислить по формуле
Площадь
проектируемой дороги вычислить по формуле
2.1.3 В
соответствии с рисунком 3, по результатам измерений в натуре (приложение Б),
вычислить площадь леса
Рисунок 3
Площадь леса вычислить по формуле
2.2 Определение
площади участков графическим способом
Графический способ определения площадей
состоит в том, что участки, изображённые на плане, разбивают на треугольники, в
которых высоты по величине близки к основаниям. Зная высоту и основание, вычисляют
площадь.
Для контроля
и повышения точности вычислений площадь каждого треугольника определяют дважды:
по двум различным основаниям и высотам. Допустимость расхождения между двумя
значениями площади определяют по формуле
,
где М — знаменатель
численного масштаба плана;
Р — площадь треугольника, га.
Для
определения площадей небольших криволинейных участков применяют палетки.
Рисунок 4
Квадратная
палетка (рисунок 4а) — это сетка квадратов со сторонами 1-2 мм. Площадь участка
определяется подсчётом квадратов палетки, наложенной на фигуру. Рекомендуется
при определении площадей участков не более 2 см2 на плане.
Параллельная
палетка (рисунок 4б) — это ряд параллельных линий, проведённых на расстоянии 2
мм. Палетку накладывают на участок так, чтобы крайние её точки k и l
были расположены между её линиями. Измерив, средние линии трапецией ab, cd, ef в масштабе плана и умножив их сумму
на расстояние между линиями палетки, получают площадь участка. Рекомендуется
при определении площадей до 10 см2 на плане.
Чтобы не
выполнять вычислений строят специальную шкалу — масштабную палетку (рисунок
4в), по которой определяют площадь участка, зная сумму средних линий.
Рассчитаем основание шкалы для масштаба 1:10000. При расстоянии между
параллельными линиями 2 мм и при длине шкалы 1 см площадь будет равна 20 ´
100 = 2000 м 2 = 0,20 га. Следовательно, каждому сантиметру шкалы
будет соответствовать 0,20 га на местности. Левое основание шкалы делят на 10
частей. После того как сумма средних линий набрана в раствор циркуля, определяют
площадь по шкале так же, как расстояние по линейному масштабу.
Точность
однократного определения площадей квадратной и параллельной палетками в среднем
характеризуется формулой
,
где М — знаменатель
численного масштаба плана;
Р — площадь фигуры, га.
2.2.1
В соответствии с рисунком 5 определить графическим способом площадь пашни
восточной части поля VII.
Рисунок 5
Площадь
пашни восточной части поля VII вычислить по формуле
2.2.2 Построить параллельную
и масштабную палетки для масштаба плана и, пользуясь ими, определить площади
прудов в северной и южной части землепользования.
2.3 Определение
площадей участков механическим способом
2.3.1.
Определение цены деления планиметра
Выполнив
поверку основного геометрического условия планиметра, определяем цену деления
планиметра путем обвода двух квадратов координатной сетки, по два обвода при
каждом положения полюса. Цену деления планиметра определяем по формуле
,
где S — площадь квадратов
координатной сетки;
n ср — среднее значение
разности отсчетов.
Цену деления p выражают
четырьмя-пятью значащими цифрами в зависимости от величины первой цифры
2.3.2.
Составление кальки контуров
Разделить
массив пашни в северной части землепользования на участки в соответствии с
рисунком 6, при этом границы между ними провести карандашом (линии NK и 23 - L
параллельны линии 13 - 12), обозначить номера контуров. Вкрапленные контуры
обозначить тем же номером, что и основной контур с добавлением индекса “а”, “б”
и т.д.
Рисунок 6
2.3.3. Определение
площадей контуров планиметром.
Определить площадь каждого контура
двумя обводами планиметра при одном положении счётного механизма.
Площади вкрапленных контуров
определить планиметром способом повторений (3-4 повторения), снимая отчеты
перед первым обводом и после последнего; разность отчётов разделить на число
обводов.
Площади участков угодий вычислить по среднему
значению цены деления планиметра , округляя значения площадей до 0.01 га.
Невязку
определить по формуле fp = å Рвыч
- Ртеор и сравнить её с допустимой
где р — цена деления планиметра;
n — число контуров, площади которых
определяют планиметром;
М —
знаменатель численного масштаба плана;
Р — общая
площадь участка.
Если
невязка допустима, распределить её с обратным знаком пропорционально площадям
угодий.
Результаты
вычислений сводим в таблицу 2.
Таблица 2 - Ведомость вычисления площадей
планиметром
|
Планиметр №
|
|
|
R =
|
|
|
|
Р =
|
|
Кон-туры
|
Название угодий
|
Отсчеты по ролику
|
П2 - П1
П3 - П2
|
Средн. из разности
|
Вычес. площ., га
|
Поправки, га
|
Увяз. площ., га
|
Площ. вкрап. кон.,
га
|
Площ. угод., га
|
|
1.
|
Пр.
центр.
|
|
|
|
|
|
|
|
|
|
2.
2а.
|
Выгон
Пруд
|
|
|
|
|
|
|
|
|
|
3.
|
Сенокос
|
|
|
|
|
|
|
|
|
|
4.
|
Пашня
|
|
|
|
|
|
|
|
|
|
5.
|
Пашня
|
|
|
|
|
|
|
|
|
|
6.
6а.
|
Пашня
Сен. заб.
|
|
|
|
|
|
|
|
|
|
7
7а.
|
Пашня
Сен. Заб.
|
|
|
|
|
|
|
|
|
|
|
|
|
Итого:
|
å Р =
|
fp =
|
å Р =
|
|
|
|
|
|
|
|
Ртеор =
|
|
|
|
|
|
|
|
|
|
fp =
|
|
|
|
|
|
|
|
|
|
fp доп =
|
|
|
|
|
3
СОСТАВЛЕНИЕ ТЕХНИЧЕСКОГО ПРОЕКТА ВНУТРИХОЗЯЙСТВЕННОГО ЗЕМЛЕУСТРОЙСТВА
На основе
плана землепользования масштаба 1:10000, геодезических данных по границам
землепользования, ведомостей вычисления площадей и по эскизному проекту в
соответствии с рисунком 7 составить технический проект внутрихозяйственного
землеустройства ТОО "МИР" и подготовить необходимые геодезические
данные для перенесения проекта в натуру.
Эскизный проект
внутрихозяйственного землеустройства
ТОО “Мир” Аксайского
района Ростовской области
Рисунок 7.
По эскизному проекту
предусмотрено запроектировать:
- на
пахотных землях северной части землепользования — четыре поля полевого
севооборота, скотопрогон, полевую дорогу и спрямить ломаную границу между
пастбищем и пашней;
- на
пахотных землях южной части землепользования — пятипольный овощной севооборот,
сад, три поля полевого севооборота и полевые дороги.
Все полевые
дороги имеют проектную ширину 5 м.
При
техническом проектировании следует уточнить положение границ и площадей
проектируемых участков, определить необходимые геодезические данные для
правильного расположения проектируемых участков в натуре.
В
соответствии с требуемой точностью проектируемых площадей и характером границ
участков запроектировать:
- поля
овощного севооборота — аналитическим способом;
- поля полевого
севооборота в южной части землепользования — графическим способом;
- поля полевого
севооборота в северной части землепользования — механическим способом
3.1
Проектирование участков аналитическим способом
При
аналитическом проектировании участков длины проектных линий вычислить с
точностью до 0,01 м, а площади до 0,01 га.
При расчётах для
значений тригонометрических функций после запятой удерживать 5 знаков.
3.1.1
Проектирование квартала сада
Проектная площадь
квартала сада (включая площадь дороги) задаётся преподавателем.
3.1.1.1 Составить схему в соответствии
с рисунком 8, проведя на ней линию 8-Д, параллельную линии 3-4, и выписать
исходные данные.
Рисунок 8
3.1.1.2 По дирекционным углам
вычислить углы треугольника 8-Д-7
3.1.1.3 Из
решения треугольника 8-Д-7 найти стороны l и a
3.1.1.4
Вычислить недостающую площадь 8-Д-7, округлив её до целых квадратных метров:
Контроль:
3.1.1.5 Вычислить недостающую площадь трапеции 8-Д-С-В (как разность
между заданной проектной площадью сада и площадью треугольника 8-Д-7)
3.1.1.6
Недостающую по заданному значению площадь, запроектировать трапецией (таблица
2), предварительно вычислив исходные углы b и g.
3.1.1.7
Проконтролировать площадь сада по сумме площадей двух треугольников (8-7-С и
8-С-В). Расхождение с проектной площадью не должно превышать 0.02га.
3.1.1.8
Определить состав участка сада по угодьям: площадь дороги
Pдор = 5м d
Рсада=
Рзадан - Рдор
Всего ....
Запроектированный
квартал сада и дорогу вдоль линии 8-11 нанести на план землепользования и
написать на нём вычисленные промеры l +
с и d
3.1.2
Проектирование овощного севооборота
Площадь чистой пашни овощного
севооборота Р1 (не считая площадей сенокоса, пруда и дороги) задаётся
преподавателем
3.1.2.1 Составить схему в
соответствии с рисунком 9 участка овощного севооборота и выписать на ней
имеющиеся исходные данные.
Рисунок 9
3.1.2.2
Провести на плане землепользования дорогу вдоль линии 9-10 и определить общую
площадь участка овощного севооборота Р, включающего площадь чистой пашни Р1,
площадь сенокоса с прудом Р2 и площадь дороги РЗ
3.1.2.3 Вычислить длину проектной линии S1-м
по формуле
При
вычислениях во всех промежуточных произведениях удерживать 5 значащих цифр.
Таблица 3 -
Проектирование сада и полей овощного севооборота
|
Наименование
участков
|
Сад
|
Овощной севооборот
|
|
Формула
|
|
V
|
IV
|
III
|
II
|
|
а
|
|
|
|
|
|
|
а2
|
|
|
|
|
|
|
Рга
|
|
|
|
|
|
|
2Рм2
|
|
|
|
|
|
|
b
|
|
|
|
|
|
|
g
|
|
|
|
|
|
|
ctgb
|
|
|
|
|
|
|
ctgg
|
|
|
|
|
|
|
ctgb
+ ctgg
|
|
|
|
|
|
|
2P (ctgb
+ ctgg)
|
|
|
|
|
|
|
a2 - 2P (ctgb
+ ctgg)
|
|
|
|
|
|
|
b = Ö( а2
- 2Р (ctgb
+ ctgg)
|
|
|
|
|
|
|
a+b
|
|
|
|
|
|
|
h = 2P / (a + b)
|
|
|
|
|
|
|
cosecb
|
|
|
|
|
|
|
cosecg
|
|
|
|
|
|
|
с = h cosecb
|
|
|
|
|
|
|
d = h cosecg
|
|
|
|
|
|
Примечание: При вычислениях
обращать особое внимание на знаки котангенсов.
3.1.2.4 Из решения прямой
геодезической задачи вычислить координаты проектной точки М
Контроль:
Если
расхождения между значениями координат допустимы, вычислить средние значения Хм
,Yм
3.1.2.5 По
вычисленным координатам точки М и координатам точки 10 найти дирекционный угол
и длину проектной линии 10-М (результаты вычислений сводим в таблицу 4.
Таблица 4
|
Обозначения
|
Значения
Величин
|
Обозначения
|
Значения
величин
|
|
1.
|
ym
|
|
9.
|
a
|
|
|
2.
|
Y10
|
|
10.
|
S=Ö(DХ 2
+ DY 2)
|
|
|
3.
|
Dy
= ym - y10
|
|
|
Контроль
|
|
|
4.
|
Хм
|
|
11.
|
sina
|
|
|
5.
|
X10
|
|
12.
|
S = DY / sina
|
|
|
6.
|
DХ=Хм-Х10
|
|
13.
|
cosa
|
|
|
7.
|
Tg r
|
|
14.
|
S = DX / cosa
|
|
|
8.
|
r (румб)
|
|
|
|
|
3.1.2.6 По
дирекционным углам вычислить внутренние углы с контролем по сумме углов
четырёхугольника:
3.1.2.7
Полученные проектные линии Si-м, Sio-м и углы b и g
выписать на схему в соответствии с рисунком 8
3.1.2.8 Для
контроля проектирования вычислить аналитическим способом площадь участка
овощного севооборота как сумму площадей двух треугольников по формуле.
Расхождения с проектной
площадью не должно превышать 0,02 га.
3.1.3
Проектирование равновеликих полей овощного севооборота.
3.1.3.1
Вычислить площадь пашни, приходящуюся на одно поле овощного севооборота до 0,01
га по формуле:
Рос = Р1/5,
где Р1 —
заданная площадь чистой пашни.
3.1.3.2 Перед
вычислениями составить схему в соответствии с рисунком 10.
Рисунок 10
Поля овощного
севооборота запроектировать в форме трапеций в такой последовательности: V, VI,
III, II, I. Границы полей V и VI должны быть параллельны линии 10-М, а границы
полей II и III — линии l-2. Так как проектирование ведётся по
площади чистой пашни, перед проектированием вычисляют исходное основание трапеции
V поля
Результаты
проектирования полей овощного севооборота представить в таблице 3.
3.1.3.3 Для
контроля вычислить площадь участка I поля, включающего пашню и сенокос с
прудом, по сумме площадей двух треугольников в соответствии с рисунком 11.
Расхождения с проектной площадью участка не должно превышать 0,02 га.
Рисунок 11
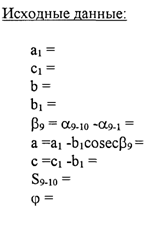
При вычислении
стороны учесть, что она короче стороны сl на величину 5 cosecb9, т. е. с'1
= с1 – 5 cosecb9
Контрольная
площадь чистой пашни поля I
Р = 1/2 (b1 с'1 sinb9 + al dl sinb) - P2,
где Р2 — площадь
сенокоса с прудом.
3.1.3.4
Выписать вычисленные значения сторон полей на схему в соответствии с рисунком
10, запроектированные поля нанести на план землепользования и подписать
промеры, необходимые для перенесения проекта в натуру.
3.2
Проектирование полей графическим способом.
В нижней
части землепользования, согласно эскизному проекту, запроектировать графическим
способом три поля полевого севооборота и две полевые дороги: от точки 10 до
линии 3-4 и вдоль линии 8-11.
Поля V и VI
запроектировать в западной части участка (линиями, параллельными 3-4), граница
восточной части поля VII (полевая дорога) параллельна длинной границе леса и
пашни.
3.2.1 Составить схему в соответствии с
рисунком 12 южной части землепользования.
3.2.2
Определить проектные площади дорог:
- от точки
11 до сада: P1 = 5 S11-В
- от точки
10 до линии 3-4: P2 = 5 S10-K
Нанести
дороги на план землепользования.
Рисунок 12
3.2.3
Вычислить площадь чистой пашни южной части землепользования, исключив из общей
площади, вычисленной по координатам , площади: приусадебных земель, участка
овощного севооборота, сада, леса и двух проектируемых дорог:
Рпаш = Рюж – (Рус
+ Ро.с. + Рсад + Рлес + Рдор)
3.2.4
Вычислить площадь чистой пашни, приходящуюся на каждое поле севооборота:
Рполя = Рпаш / 3
3.2.5
Запроектировать графическим способом восточную часть поля VII линией, исходящей
из точки 10 и параллельной заданной границе леса и пашни в соответствии с
рисунком 12.
Площадь этой части поля VII определить как
площадь трёх треугольников с включением площади контура леса и дороги от точки
10 до линии 3-4 и с последующим включением площади леса и дороги из суммы
площадей трёх треугольников:
РVII=РD1+РD2+РDЗ-Рлес-Р2
3.2.6
Определить оставшуюся площадь пашни, предназначенную для западной части поля
VII, полей VI и V:
Р = Рпаш – PVII
3.2.7 На
плане землепользования через точки 6, 11, 5 провести линии, параллельные
линииЗ-4, в соответствии с рисунком 12. Площади образовавшихся четырёх опорных
трапеций определить графическим способом и увязать с проектной площадью Р
(таблица 5). Для измерения высот трапеций на
плане построить линию от границы сада в направлении, перпендикулярном к линии
3-4.
Таблица 5
|
Трапеция
|
a
b
a + b
|
h
h:2
|
Вычисленная
Площадь,
га
|
Поправки,
га
|
Увязанная
площадь,
га
|
|
1
|
|
|
|
|
|
|
2
|
|
|
|
|
|
|
4
|
|
|
|
|
|
|
|
|
Рвыч =
|
fp =
|
P =
|
|
|
|
P =
|
|
|
|
|
|
fp =
|
|
|
|
|
|
fp доп = 0.04
|
|
|
3.2.8
Запроектировать графическим способом поля в такой последовательности: поле V,
поле VI и западная часть поля VII, увеличивая или уменьшая площади
опорных трапеций до проектных (таблица 6).
Таблица 6
|
Поле
|
Проектная площадь,
|
Площадь трапеции,
|
Трапецию № увеличить +,
|
Приближение
|
|
га
|
№ …
|
уменьшить -
|
S1
|
h1
|
S2
|
h2
|
|
V
|
|
|
|
|
|
|
|
|
VI
|
|
|
|
|
|
|
|
|
VII
|
|
|
|
|
|
|
|
Оставшаяся
площадь западной части поля VII определяется графическим способом.
Расхождение с проектной площадью не должно превышать 0,4 га.
3.3. Проектирование
полей механическим способом
В северной
части землепользования, согласно эскизному проекту в соответствии с рисунком 7
запроектировать четыре поля полевого севооборота, скотопрогон (вдоль линии
25-26-шириной 25 м) и полевые дороги (вдоль линии 23-24-25 и вдоль границы VI
поля).
Площади
проектируемых полей определить двумя обводами планиметра при одном положении
полюса, при этом проектирование недостающей или избыточной площади в форме
трапеции или треугольника производить графическим способом.
При
вычислении площадей следует использовать площади контуров ситуации, определённые
ранее.
1. Составить схему северной
части землепользования в соответствии с рисунком 13.
Рисунок 13
2. Запроектировать четыре поля
полевого севооборота, скотопрогон и полевые дороги.
2.1
Определить графическим способом площади проектируемого скотопрогона и полевых
дорог. Длину дороги определить приближенно, в соответствии с эскизным проектом.
2.2
Вычислить площадь чистой пашни в северной части землепользования, исключив из
площади пашни (определенной планиметром) площади скотопрогона и дорог
Рч.п. = Рпаш -
(Рпрог + Рдор)
2.3
Вычислить площадь пашни, приходящуюся на каждое поле севооборота в северной
части землепользования
Рполя = Рч.п. /
4.
2.4
Запроектировать механическим способом поле I линией NK, параллельной линии 22-12-13.
На плане
провести линию с таким расчетом, чтобы угол поля I приходился на створе линии
17-13. От этого угла (точка N) граница прокладывается по прямой
вдоль указанного створа до линии 14-15. Площадь образовавшегося участка принять
равной площади контура 5 и записать ее в графу 6 ведомости проектирования
полей, в ту же ведомость записать вычисления по недостающей и избыточной
площади (таблица 8).
Таблица 8 - Ведомость проектирования
полей механическим способом
|
Планиметр №
|
|
R=
|
|
|
P=
|
|
Поля
|
Проект. Площадь
поля, га
|
Отсчет по ролику
|
Разность отсчетов
|
Средняя разность
|
Вычис-ленная площ.,
га
|
Площ. прирезки
|
Высота, основание
|
Вычисленное основан.
|
|
I
|
|
|
|
|
|
|
|
|
|
IV
|
|
|
|
|
|
|
|
|
|
II
|
|
|
|
|
|
|
|
|
|
III
|
|
|
|
|
|
|
|
|
2.5.
Запроектировать поле IV. Для этого соединить точку 23 с точкой N и площадь участка принять равной
площади контура 4, исключив из неё площадь скотопрогона и дорог.
Вычислить
избыточную площадь РD == P4
- PIV и исключить её, построив на основании
23-N треугольник 23-N-M
с высотой hD
= 2 РD / S23-N
. Длину S23-N измерить на плане с учётом масштаба. Точку поворота дороги
расположить так, чтобы линия 23-М была продолжением линии 22-23.
2.6
Запроектировать поле II линией, параллельной линии 22-12-13.
Оставшаяся площадь поля III обводится планиметром (для контроля). Расхождения
этой площади с проектной (без учёта площади заболоченного сенокоса) не должно
превышать 0,5 га.
4 СПРЯМЛЕНИЕ ЛОМАНОЙ ГРАНИЦЫ И
СОСТАВЛЕНИЕ ЭКСПЛИКАЦИИ ЗЕМЕЛЬ
4.1. Спрямление ломаной границы
Рисунок 14
4.1.1. Спрямить ломаную
часть восточной границы поля VI с расчётом сохранения площадей пашни и выгона.
Для этого из точки Е в соответствии с рисунком 14 опустить перпендикуляр на
линию PQ и площадь фигуры EFaE определить планиметром. Вычислить
основание FQ равновеликого треугольника EFQ и отложить его, чтобы получить положение
точки Q на плане FQ = 2PEFaE / EF. Длину EF измерить на плане.
4.1.2.
Задачу спрямления ломаной границы можно решить путём графических построений,
пользуясь свойством равновеликих треугольников в соответствии с рисунком 15.
Рисунок 15
Для этого последовательно
исключают повороты ломаной линии "а", "б", "в",
"г" начиная с последнего поворота "г". Поворот
"г" исключают тем, что проводят линию 21 | | вт, и соединяют точки
"в" и 1. Линия в1 исключила поворот "г". Для исключения поворота
"в" проводят линию вг | | б1 и соединяют точки "б" и 2.
Линия б2 исключила поворот "в". Далее, для исключения поворота
"б" проводят линию 63 | | а2 и соединяют точки "а" и 3.
Линия аЗ исключила поворот "б" Наконец, для исключения поворота
"а" проводят линию aQ | | ЕЗ и соединяют точки Е и Q. Линия EQ исключила поворот "а" и является проектной.
При
практическом решении этой задачи с большим числом поворотов ломаной линии
получается большое число линий, затрудняющих проектирование.
Поэтому
после каждого исключения поворота стирают построенные линии и оставляют лишь
получаемые точки 1, 2, 3, Q.
4.2. Составление экспликации
земель
По
результатам определения площадей и расчетам, выполненным при проектировании,
составить экспликацию земель колхоза к моменту землеустройства и по проекту
(таблица 9).
Таблица 9 - Экспликация земель
В гектарах
|
Виды
|
Общая
|
Паш-
|
Са-
|
Сенокосы
|
Паст
|
При-
|
Лес
|
Под
|
Под
|
Под
|
|
угодий
|
пло-
|
ня
|
ды
|
всего
|
в т. ч
|
бища
|
усад.
|
|
во-
|
до-
|
общ.
|
|
щадь
|
|
|
|
сух.
|
заб.
|
|
земли
|
|
дой
|
рог.
|
пост.
|
|
на момент землеустройства
|
|
|
|
|
|
|
|
|
|
|
|
|
|
по проекту
|
|
|
|
|
|
|
|
|
|
|
|
|
5 ПОДГОТОВКА ГЕОДЕЗИЧЕСКИХ ДАННЫХ
ДЛЯ ПЕРЕНЕСЕНИЯ
ПРОЕКТА В НАТУРУ.
Для
перенесения проекта в натуру необходимо выбрать наиболее простые способы,
требующие наименьших затрат, и которые должны обеспечивать необходимую
точность.
В данной
работе рекомендуется использовать для перенесения проекта в натуру способ
промеров и угломерный.
Угломерный
способ применить для перенесения в натуру точек N
и M1 по границам полей II и VI северной части землепользования,
а границы остальных полей перенести в натуру способом промеров.
5.1.
Угломерный способ (вычисление углов и линий проектного теодолитного хода)
5.1.1.
Составить схему проектного теодолитного хода, прокладываемого от точки 23 до
точки 17 с целью перенесения в натуру проектных точек М и N, в соответствии с
рисунком 16.
Рисунок 16
5.1.2 Для
сохранения угла при точке 23 равным 180°, вычислить координаты точек M1, по дирекционному углу a22-23 к горизонтальному проложению S23-M1, взятому с плана (приложение А):
XM1
= X23
+ S23-M1 cos a22-23 ;
YM1
= Y23
+ S23-M1 sin a22-23 .
5.1.3
Координаты точки N определить графически.
Xn = Xi + (100/(а1+а2))(а1
М/1000);
Yn = Yi + (100/(bl+b2))(bl
M/1000).
где М — знаменатель масштаба плана.
Рисунок 17
5.1.4 Решить
обратные геодезические задачи и вычислить проектные (правые по ходу) углы
(таблица 10) при точках 23, М, N, 17 (с округлением до 0,10)
и горизонтальные проложения (с округлением до 0,1 м).
Таблица 10
|
Точки
|
Координаты
|
Приращения
|
tg r
|
Румб
|
S =
|
Контроль
|
a
|
b
|
Точки
|
|
X
|
Y
|
DX = Xi+1 –Xi
|
DY = Yi+1
–Yi
|
|
r
|
Ö(DX2+DY2)
|
S =
DX / cos r = DY / sin
r
|
|
|
|
|
1
|
2
|
3
|
4
|
5
|
6
|
7
|
8
|
9
|
10
|
11
|
12
|
|
22
|
|
|
|
|
|
|
|
|
|
|
22
|
|
1
|
2
|
3
|
4
|
5
|
6
|
7
|
8
|
9
|
10
|
11
|
12
|
|
23
|
|
|
|
|
|
|
|
|
|
|
23
|
|
Ml
|
|
|
|
|
|
|
|
|
|
|
Ml
|
|
N
|
|
|
|
|
|
|
|
|
|
|
N
|
|
17
|
|
|
|
|
|
|
|
|
|
|
17
|
|
18
|
|
|
|
|
|
|
|
|
|
|
18
|
|
|
|
|
|
|
|
|
|
åb пр
åb т
|
|
5.2. Способ промеров
5.2.1.
Определение проектных отрезков.
Для
перенесения в натуру проектных точек, расположенных на линиях теодолитного
хода, необходимо измерить графически на плане землепользования расстояния от
опорных до проектных точек, если эти расстояния не получены путем вычисления
при проектировании. Длины измеренных отрезков увязать с общей длиной линии, по
которой определены эти отрезки, при этом допустимые расхождения в сумме измеренных
отрезков следует рассчитать по формуле
,
где n — число отрезков.
Результаты расчетов свести в
таблицу 11.
Таблица 11
В метрах
|
Название
Линии
|
Измеренная длина отрезков
|
Сумма
отрезков
|
Теорет. длина
линии
|
Невязка
|
Допуст.
невязка
|
Поправки
|
Увязан. длина
|
|
11-8
|
|
|
|
|
|
|
|
|
6-5
|
|
|
|
|
|
|
|
|
4-3
|
|
|
|
|
|
|
|
|
23-Ml
|
|
|
|
|
|
|
|
|
15-14
|
|
|
|
|
|
|
|
6 СОСТАВЛЕНИЕ И ОФОРМЛЕНИЕ
ТЕХНИЧЕСКОЙ ДОКУМЕНТАЦИИ ДЛЯ ПЕРЕНЕСЕНИЯ ПРОЕКТА В НАТУРУ.
6.1. Составление и оформление рабочего
чертежа для перенесения проекта в натуру
6.1.1.
Составить рабочий чертёж в соответствии с рисунком 18, который является
техническим документом при перенесении проекта в натуру. Рабочий чертёж
составляют на кальке в масштабе плана землепользования и вычерчивают ситуацию и
элементы проекта тушью различными цветами:
чёрной тушью
— существующие границы землепользования, граничные знаки и цифровой материал к
ним, контуры ситуации и объекты местности;
красной
тушью — проектные границы полей с их обозначениями нумерацией по проекту,
дороги, скотопрогон, места постановки новых граничных знаков и числовые данные
к ним;
синей тушью
— проектный теодолитный ход и относящиеся к нему данные (меры линий и углы).
6.1.2. При
составлении рабочего чертежа разработать и указать стрелками маршрут и движения
исполнителя, показать условными знаками места постановки вех для получения
направления опорных линий при разбивке других участков.
Примеры по
опорным линиям от опорной точки до проектных точек подписать нарастающим итогом
в направлении движения ленты, перпендикулярно к опорной линии.
На свободном
месте рабочего чертежа указать порядок и последовательность движения при
перенесении проекта в натуру.
Рисунок 18 — Рабочий чертёж для
перенесения проекта в натуру.
Приложение А
ВЫПИСКА
ИЗ ВЕДОМОСТИ КООРДИНАТ ТЕОДОЛИТНЫХ
ХОДОВ,
ПРОЛОЖЕННЫХ ПРИ СЪЁМКЕ ГРАНИЦ ЗЕМЕЛЬ
ТОО "МИР".
|
№ точек
|
Увязанные углы
|
Дирекционные углы
|
Горизонтальные проло-жения
|
Координаты
|
|
|
|
|
X
|
Y
|
|
1.
|
2.
|
3.
|
4.
|
5.
|
6.
|
|
1.
|
|
|
|
2400.0
|
2700.0
|
|
|
179°56'
|
1186.6
|
|
|
|
2.
|
180°19'
|
|
|
1213.4
|
2701.4
|
|
|
179°37'
|
879.6
|
|
|
|
3.
|
101°52'
|
|
|
333.8
|
2707.3
|
|
|
257°45'
|
1570.8
|
|
|
|
4.
|
83°27'
|
|
|
0.5
|
1172.3
|
|
|
354°18'
|
574.2
|
|
|
|
5.
|
210°58'
|
|
|
571.9
|
1115.3
|
|
|
323°20'
|
1167.8
|
|
|
|
6.
|
129°06'
|
|
|
1508.6
|
417.9
|
|
|
14°14'
|
1337.7
|
|
|
|
7.
|
80°48'
|
|
|
2805.2
|
746.9
|
|
|
113°26'
|
767.3
|
|
|
|
8.
|
191°48'
|
|
|
2500.1
|
1450.9
|
|
|
101°38'
|
524.3
|
|
|
|
9.
|
192°04'
|
|
|
2394.4
|
1964.4
|
|
|
89°34'
|
735.6
|
|
|
|
1.
|
89°38'
|
|
|
24000
|
2700.0
|
|
|
|
|
|
|
|
22.
|
|
|
|
2557.8
|
1452.5
|
|
|
293°55'
|
745.3
|
|
|
|
12.
|
180°00'
|
|
|
2860.0
|
771.2
|
|
|
293°55'
|
804.7
|
|
|
|
13.
|
107°39'
|
|
|
3186.2
|
35.6
|
|
|
6°16'
|
1006.2
|
|
|
|
14
|
156°29'
|
|
|
4186.4
|
145.3
|
|
|
29°47'
|
934.0
|
|
|
|
15.
|
109°39'
|
|
|
4997.0
|
609.2
|
|
|
100°08'
|
998.9
|
|
|
|
16.
|
178°1б'
|
|
|
4821.3
|
1592.5
|
|
|
|
|
|
|
|
1.
|
2.
|
3.
|
4.
|
5.
|
6.
|
|
|
|
|
|
|
|
|
101°52'
|
1184.0
|
|
|
|
17.
|
167°48'
|
|
|
4577.8
|
2751.2
|
|
|
114°04'
|
676.1
|
|
|
|
18.
|
124°38'
|
|
|
4302.1
|
3368.5
|
|
|
169°26'
|
1041.3
|
|
|
|
19.
|
140°43'
|
|
|
3278.5
|
3559.5
|
929.7
|
|
|
|
20.
|
119°09'
|
|
|
2463.1
|
3112.9
|
|
|
2б9°34'
|
1159.1
|
|
|
|
21.
|
167°54'
|
|
|
2454.3
|
1953.8
|
|
|
281°40'
|
511.9
|
|
|
|
22.
|
177°45'
|
|
|
2557.8
|
1452.5
|
|
|
|
|
|
|
|
8.
|
|
|
|
|
|
|
|
101°38'
|
|
|
|
|
9.
|
111°20'
|
|
|
2394.4
|
1964.4
|
|
|
170°18'
|
918.7
|
|
|
|
10.
|
92°33'
|
|
|
1488.8
|
2119.2
|
|
|
257°45'
|
476.6
|
|
|
|
11.
|
88°04'
|
|
|
1387.7
|
1653.4
|
|
|
349°4 '
|
1130.7
|
|
|
|
8.
|
68°03'
|
|
|
2500.1
|
1450.9
|
|
|
|
|
|
|
|
|
|
|
|
|
|
21.
|
|
|
|
|
|
|
|
281°40'
|
|
|
|
|
22.
|
90°23'
|
|
|
2557.8
|
1452.5
|
|
|
11°17'
|
576.9
|
|
|
|
23.
|
89°35'
|
|
|
3123.5
|
1565.4
|
|
|
101°42'
|
189.1
|
|
|
|
24.
|
133°32'
|
|
|
3085.2
|
1750.6
|
|
|
148°10'
|
81.9
|
|
|
|
25.
|
228°04'
|
|
|
3015.0
|
1793.8
|
|
|
100°06'
|
216.2
|
|
|
|
26.
|
94°20'
|
|
|
2977.7
|
2006.6
|
|
|
185°46'
|
526.1
|
|
|
|
21.
|
84°06'
|
|
|
2454.3
|
1953.8
|
Приложение Б
АБРИСЫ ТЕОДОЛИТНОЙ СЪЁМКИ
ВОПРОСЫ ДЛЯ САМОПРОВЕРКИ
1. Что
является объектами проектирования при межхозяйственном и внутрихозяйственном
землеустройстве?
2. Какие
геодезические работы выполняются при землеустройстве?
З.В чём
достоинства аналитического способа проектирования?
4. Как
вычислить проектные длины при аналитическом способе проектирования?
5. В чём
заключается контроль проектирования равновеликих полей овощного севооборота?
6. В чём
заключается сущность графического способа проектирования?
7. Как
определить невязки площадей опорных трапеций при графическом проектировании?
8. Как
рассчитать необходимую высоту треугольника (трапеции) при исключении избыточной
площади?
9. Сущность
графоаналитического и графического спрямления ломаной границы с расчётом
сохранения площадей?
10. Как
получают проектные величины (углы, линии) для перенесения проекта в натуру при
различных способах проектирования?
11. Какое
отличие между эскизом и техническим проектированием?
12. Как
учитывают влияние угла наклона местности при перенесения проекта в натуру?
СПИСОК ИСПОЛЬЗУЕМЫХ ИСТОЧНИКОВ
1. Геодезические работы при
землеустройстве. /Маслов А.В., Горохов Г.М., Ктиторов Е.Н., Юнусов А.Г. —
М.:Недра, 1986.
2. Маслов
А.В., Гордеев А.В., Батраков Ю. Г. Геодезия. — М.: Недра, 1980.
3. Бурыхин
Н.Н., Цфасман Я.М., Козлов В.Г. Землеустроительное проектирование и организация
землеустроительных работ. — М.: Колос, 1974.
4. Пальчиков
Ф.И. Практикум по землеустроительному проектированию и организации
землеустроительных работ. — М.: Колос, 1977.
5. Левицкий
И.Ю., Крохмаль Е.М., Реминский А.А. Геодезия с основами землеустройства. — М.:
Недра, 1977.
6.
Землеустроительное проектирование / М.А. Гендельман, В.Я. Заплетин, А.Д.
Шулейкин и др. Под ред. Гендельмана М.А. — М.: Агропромиздат, 1986.
7. Егорова
Т.М. Землеустроительное черчение. — М.: Недра, 1982.
Рисунок 13.
2. Запроектировать четыре поля
полевого севооборота, скотопрогон и полевые дороги.
2.1
Определить графическим способом площади проектируемого скотопрогона и полевых
дорог. Длину дороги определить приближенно, в соответствии с эскизным проектом.
2.2
Вычислить площадь чистой пашни в северной части землепользования, исключив из
площади пашни (определенной планиметром) площади скотопрогона и дорог
Рч.п. = Рпаш -
(Рпрог + Рдор)
2.3
Вычислить площадь пашни, приходящуюся на каждое поле севооборота в северной
части землепользования
Рполя = Рч.п. /
4.
2.4
Запроектировать механическим способом поле I линией NK, параллельной линии 22-12-13.
На плане провести линию с таким
расчетом, чтобы угол поля I приходился на створе линии 17-13. От этого угла
(точка N) граница прокладывается по прямой
вдоль указанного створа до линии 14-15. Площадь образовавшегося участка принять
равной площади контура 5 и записать ее в графу 6 ведомости проектирования
полей, в ту же ведомость записать вычисления по недостающей и избыточной Лабораторные работы
Содержание, порядок
проведения и
оформления
лабораторных работ.
Лабораторные
работы выполняются студентами с целью приобретения практических навыков
вычисления площадей, проектирования участков и оформления технической
документации.
В ходе
лабораторных работ студенты выполняют следующие задания:
1.
Определения площадей участков механически способом.
2. Проектирования
полей механическим способом.
3.
Спрямление ломаной границы и составление экспликации земель.
4.
Подготовка геодезических данных для перенесения проекта в натуру.
5.
Составление и оформление технической документации для перенесения проекта в натуру.
Задание
оформляется в виде проектных чертежей. Все необходимые расчеты ведутся в
пояснительной записке.
Задание 1. Определение площадей участков
механическим
способом
Цель: приобретение
практических навыков определения площадей участков механическим способом.
Содержание
и последовательность выполнения:
1. Определение цены
деления планиметра;
2. Составление кальки
контуров;
3. Определение
площадей контуров планиметром.
Порядок и методика
выполнения
1.
Определение цены деления планиметра
Выполнив
поверку основного геометрического условия планиметра, определяем цену деления
планиметра путем обвода двух квадратов координатной сетки, по два обвода при
каждом положения полюса. Цену деления планиметра определяем по формуле
,
где S — площадь квадратов
координатной сетки;
n ср — среднее значение
разности отсчетов.
Цену деления p выражают
четырьмя-пятью значащими цифрами в зависимости от величины первой цифры
2.
Составление кальки контуров
Разделить
массив пашни в северной части землепользования на участки в соответствии с
рисунком 12, при этом границы между ними провести карандашом (линии NK и 23 - L
параллельны линии 13 - 12), обозначить номера контуров. Вкрапленные контуры
обозначить тем же номером, что и основной контур с добавлением индекса “а”, “б”
и т.д.
Рисунок 12.
3. Определение
площадей контуров планиметром.
Определить площадь каждого контура
двумя обводами планиметра при одном положении счётного механизма.
Площади вкрапленных контуров
определить планиметром способом повторений (3-4 повторения), снимая отчеты
перед первым обводом и после последнего; разность отчётов разделить на число
обводов.
Площади участков угодий вычислить по среднему
значению цены деления планиметра , округляя значения площадей до 0.01 га.
Невязку определить
по формуле fp = å Рвыч
- Ртеор и сравнить её с допустимой
где р — цена деления планиметра;
n — число контуров, площади которых
определяют планиметром;
М —
знаменатель численного масштаба плана;
Р — общая
площадь участка.
Если
невязка допустима, распределить её с обратным знаком пропорционально площадям
угодий.
Результаты
вычислений сводим в таблицу 6.
Таблица 6 - Ведомость вычисления площадей
планиметром
|
Планиметр № …
|
|
|
R =
|
|
|
|
Р =
|
|
Контуры
|
Название угодий
|
Отсчеты по ролику
|
П2 - П1
П3 - П2
|
Средн. из разности
|
Вычес. площ., га
|
Поправки, га
|
Увяз. площ., га
|
Площ. вкрап. кон., га
|
Площ. угод., га
|
|
1.
|
Пр. центр.
|
|
|
|
|
|
|
|
|
|
2.
2а.
|
Выгон
Пруд
|
|
|
|
|
|
|
|
|
|
3.
|
Сенокос
|
|
|
|
|
|
|
|
|
|
4.
|
Пашня
|
|
|
|
|
|
|
|
|
|
5.
|
Пашня
|
|
|
|
|
|
|
|
|
|
6.
6а.
|
Пашня
Сен. заб.
|
|
|
|
|
|
|
|
|
|
7
7а.
|
Пашня
Сен. Заб.
|
|
|
|
|
|
|
|
|
|
|
|
|
Итого:
|
å
Р =
|
fp
=
|
å
Р =
|
|
|
|
|
|
|
|
Ртеор =
|
|
|
|
|
|
|
|
|
|
fp
=
|
|
|
|
|
|
|
|
|
|
fp доп
=
|
|
|
|
|
Задание 2. Проектирование
полей механическим способом
Цель: приобретение
практических навыков проектирования полей механическим способом.
Содержание
и последовательность выполнения:
1. Составить
схему северной части землепользования;
2. Согласно эскизному
проекту запроектировать четыре поля полевого севооборота, скотопрогон и полевые
дороги.
Порядок и методика
выполнения
В северной
части землепользования, согласно эскизному проекту в соответствии с рисунком 6
запроектировать четыре поля полевого севооборота, скотопрогон (вдоль линии
25-26-шириной 25 м) и полевые дороги (вдоль линии 23-24-25 и вдоль границы VI
поля).
Площади
проектируемых полей определить двумя обводами планиметра при одном положении
полюса, при этом проектирование недостающей или избыточной площади в форме
трапеции или треугольника производить графическим способом.
При
вычислении площадей следует использовать площади контуров ситуации,
определённые ранее.
1. Составить схему северной части
землепользования в соответствии с рисунком 13.
площади
(таблица 7).
Таблица 7 - Ведомость проектирования
полей механическим способом
|
Планиметр №
|
|
R=
|
|
|
P=
|
|
Поля
|
Проект. Площадь поля, га
|
Отсчет по ролику
|
Разность отсчетов
|
Средняя разность
|
Вычис-ленная площ., га
|
Площ. прирезки
|
Высота, основание
|
Вычисленное основан.
|
|
I
|
|
|
|
|
|
|
|
|
|
IV
|
|
|
|
|
|
|
|
|
|
II
|
|
|
|
|
|
|
|
|
|
III
|
|
|
|
|
|
|
|
|
2.5.
Запроектировать поле IV. Для этого соединить точку 23 с точкой N и площадь участка принять равной
площади контура 4, исключив из неё площадь скотопрогона и дорог.
Вычислить
избыточную площадь РD == P4
- PIV и исключить её, построив на основании
23-N треугольник 23-N-M
с высотой hD
= 2 РD / S23-N
. Длину S23-N измерить на плане с учётом масштаба. Точку поворота дороги
расположить так, чтобы линия 23-М была продолжением линии 22-23.
2.6
Запроектировать поле II линией, параллельной линии 22-12-13.
Оставшаяся площадь поля III обводится планиметром (для контроля). Расхождения
этой площади с проектной (без учёта площади заболоченного сенокоса) не должно
превышать 0,5 га.
Задание 3. Спрямление ломаной границы и
составление экспликации земель.
Цель: приобретение
практических навыков спрямления ломаной границы и составления экспликации
земель.
Содержание
и последовательность выполнения:
1.
Спрямление ломаной границы;
2. Составление
экспликации земель.
Порядок и методика
выполнения
1. Спрямление ломаной границы
Рисунок 14.
1.1. Спрямить ломаную часть восточной
границы поля VI с расчётом сохранения площадей пашни и выгона. Для этого из
точки Е в соответствии с рисунком 14 опустить перпендикуляр на линию PQ и площадь фигуры EFaE определить планиметром. Вычислить
основание FQ равновеликого треугольника EFQ и отложить его, чтобы получить положение
точки Q на плане FQ = 2PEFaE / EF. Длину EF измерить на плане.
1.2. Задачу
спрямления ломаной границы можно решить путём графических построений, пользуясь
свойством равновеликих треугольников в соответствии с рисунком 15.
Рисунок 15.
Для этого последовательно
исключают повороты ломаной линии "а", "б", "в",
"г" начиная с последнего поворота "г". Поворот
"г" исключают тем, что проводят линию 21 | | вт, и соединяют точки
"в" и 1. Линия в1 исключила поворот "г". Для исключения
поворота "в" проводят линию вг | | б1 и соединяют точки "б"
и 2. Линия б2 исключила поворот "в". Далее, для исключения поворота
"б" проводят линию 63 | | а2 и соединяют точки "а" и 3.
Линия аЗ исключила поворот "б" Наконец, для исключения поворота
"а" проводят линию aQ | | ЕЗ и соединяют точки Е и Q. Линия EQ исключила поворот "а" и является проектной.
При
практическом решении этой задачи с большим числом поворотов ломаной линии
получается большое число линий, затрудняющих проектирование.
Поэтому
после каждого исключения поворота стирают построенные линии и оставляют лишь
получаемые точки 1, 2, 3, Q.
2. Составление экспликации
земель
По
результатам определения площадей и расчетам, выполненным при проектировании,
составить экспликацию земель колхоза к моменту землеустройства и по проекту
(таблица 8).
Таблица 8 - Экспликация земель
В гектарах
|
Виды
|
Общая
|
Паш-
|
Са-
|
Сенокосы
|
Паст
|
При-
|
Лес
|
Под
|
Под
|
Под
|
|
угодий
|
пло-
|
ня
|
ды
|
всего
|
в т. ч
|
бища
|
усад.
|
|
во-
|
до-
|
общ.
|
|
щадь
|
|
|
|
сух.
|
заб.
|
|
земли
|
|
дой
|
рог.
|
пост.
|
|
на момент землеустройства
|
|
|
|
|
|
|
|
|
|
|
|
|
|
по проекту
|
|
|
|
|
|
|
|
|
|
|
|
|
Задание 4. Подготовка геодезических данных для
перенесения
проекта в натуру.
Цель: приобретение
практических навыков подготовки геодезических данных для перенесения проекта в
натуру.
Содержание
и последовательность выполнения:
1.
Угломерный способ перенесения проекта в натуру;
2. Способ промеров.
Порядок и методика
выполнения
Для
перенесения проекта в натуру необходимо выбрать наиболее простые способы,
требующие наименьших затрат, и которые должны обеспечивать необходимую
точность.
В данной
работе рекомендуется использовать для перенесения проекта в натуру способ
промеров и угломерный.
Угломерный
способ применить для перенесения в натуру точек N
и M1 по границам полей II и VI северной части землепользования,
а границы остальных полей перенести в натуру способом промеров.
1.
Угломерный способ (вычисление углов и линий проектного теодолитного хода)
1.1.
Составить схему проектного теодолитного хода, прокладываемого от точки 23 до
точки 17 с целью перенесения в натуру проектных точек М и N, в соответствии с
рисунком 16.
Рисунок 16
1.2 Для
сохранения угла при точке 23 равным 180°, вычислить координаты точек M1, по дирекционному углу a22-23 к горизонтальному проложению S23-M1, взятому с плана (приложение А):
XM1
= X23
+ S23-M1 cos a22-23 ;
YM1
= Y23
+ S23-M1 sin a22-23 .
1.3
Координаты точки N определить графически.
Xn = Xi + (100/(а1+а2))(а1
М/1000);
Yn = Yi + (100/(bl+b2))(bl
M/1000).
где М — знаменатель масштаба плана.
Рисунок 17
1.4 Решить
обратные геодезические задачи и вычислить проектные (правые по ходу) углы
(таблица 9) при точках 23, М, N, 17 (с округлением до 0,10)
и горизонтальные проложения (с округлением до 0,1 м).
Таблица 9
|
Точки
|
Координты
|
Приращения
|
tg r
|
Румб
|
S =
|
Контроль
|
a
|
b
|
Точки
|
|
X
|
Y
|
DX = Xi+1 –Xi
|
DY
= Yi+1 –Yi
|
|
r
|
Ö(DX2+DY2)
|
S =
DX
/ cos r = DY / sin r
|
|
|
|
|
1
|
2
|
3
|
4
|
5
|
6
|
7
|
8
|
9
|
10
|
11
|
12
|
|
22
|
|
|
|
|
|
|
|
|
|
|
22
|
|
1
|
2
|
3
|
4
|
5
|
6
|
7
|
8
|
9
|
10
|
11
|
12
|
|
23
|
|
|
|
|
|
|
|
|
|
|
23
|
|
Ml
|
|
|
|
|
|
|
|
|
|
|
Ml
|
|
|
|
|
|
|
|
|
|
|
N
|
|
17
|
|
|
|
|
|
|
|
|
|
|
17
|
|
18
|
|
|
|
|
|
|
|
|
|
|
18
|
|
|
|
|
|
|
|
|
|
åb пр
åb т
|
|
2. Способ промеров
2.1.
Определение проектных отрезков.
Для
перенесения в натуру проектных точек, расположенных на линиях теодолитного
хода, необходимо измерить графически на плане землепользования расстояния от
опорных до проектных точек, если эти расстояния не получены путем вычисления
при проектировании. Длины измеренных отрезков увязать с общей длиной линии, по
которой определены эти отрезки, при этом допустимые расхождения в сумме измеренных
отрезков следует рассчитать по формуле
,
где n — число отрезков.
Результаты расчетов свести в
таблицу 10.
Таблица 10.
В метрах
|
Название
Линии
|
Измеренная длина отрезков
|
Сумма
отрезков
|
Теорет. длина
линии
|
Невязка
|
Допуст.
невязка
|
Поправки
|
Увязан. длина
|
|
11-8
|
|
|
|
|
|
|
|
|
6-5
|
|
|
|
|
|
|
|
|
4-3
|
|
|
|
|
|
|
|
|
23-Ml
|
|
|
|
|
|
|
|
|
15-14
|
|
|
|
|
|
|
|
|
14-13
|
|
|
|
|
|
|
|
Задание 5. Составление и оформление технической
документации для
перенесения проекта в натуру.
Цель: приобретение
практических навыков составления и оформления технической документации для
перенесения проекта в натуру.
Содержание
и последовательность выполнения:
1.
Составление рабочего чертежа для перенесения проекта в натуру;
Порядок и методика выполнения
1. Составление и оформление рабочего
чертежа для перенесения проекта в натуру
1.1.
Составить рабочий чертёж в соответствии с рисунком 18, который является
техническим документом при перенесении проекта в натуру. Рабочий чертёж составляют
на кальке в масштабе плана землепользования и вычерчивают ситуацию и элементы
проекта тушью различными цветами:
чёрной тушью
— существующие границы землепользования, граничные знаки и цифровой материал к
ним, контуры ситуации и объекты местности;
красной
тушью — проектные границы полей с их обозначениями нумерацией по проекту,
дороги, скотопрогон, места постановки новых граничных знаков и числовые данные
к ним;
синей тушью
— проектный теодолитный ход и относящиеся к нему данные (меры линий и углы).
1.2. При
составлении рабочего чертежа разработать и указать стрелками маршрут и движения
исполнителя, показать условными знаками места постановки вех для получения
направления опорных линий при разбивке других участков.
Примеры по
опорным линиям от опорной точки до проектных точек подписать нарастающим итогом
в направлении движения ленты, перпендикулярно к опорной линии.
На свободном
месте рабочего чертежа указать порядок и последовательность движения при
перенесении проекта в натуру.
Рисунок 18 — Рабочий чертёж для
перенесения проекта в натуру.
Приложение А
ВЫПИСКА
ИЗ ВЕДОМОСТИ КООРДИНАТ ТЕОДОЛИТНЫХ
ХОДОВ,
ПРОЛОЖЕННЫХ ПРИ СЪЁМКЕ ГРАНИЦ ЗЕМЕЛЬ
ТОО "МИР".
|
№ точек
|
Увязанные углы
|
Дирекционные углы
|
Горизонталные проложения
|
Координаты
|
|
|
|
|
X
|
Y
|
|
1.
|
2.
|
3.
|
4.
|
5.
|
6.
|
|
1.
|
|
|
|
2400.0
|
2700.0
|
|
|
179°56'
|
1186.6
|
|
|
|
2.
|
180°19'
|
|
|
1213.4
|
2701.4
|
|
|
179°37'
|
879.6
|
|
|
|
3.
|
101°52'
|
|
|
333.8
|
2707.3
|
|
|
257°45'
|
1570.8
|
|
|
|
4.
|
83°27'
|
|
|
0.5
|
1172.3
|
|
|
354°18'
|
574.2
|
|
|
|
5.
|
210°58'
|
|
|
571.9
|
1115.3
|
|
|
323°20'
|
1167.8
|
|
|
|
6.
|
129°06'
|
|
|
1508.6
|
417.9
|
|
|
14°14'
|
1337.7
|
|
|
|
7.
|
80°48'
|
|
|
2805.2
|
746.9
|
|
|
113°26'
|
767.3
|
|
|
|
8.
|
191°48'
|
|
|
2500.1
|
1450.9
|
|
|
101°38'
|
524.3
|
|
|
|
9.
|
192°04'
|
|
|
2394.4
|
1964.4
|
|
|
89°34'
|
735.6
|
|
|
|
1.
|
89°38'
|
|
|
24000
|
2700.0
|
|
|
|
|
|
|
|
|
|
|
|
|
|
22.
|
|
|
|
2557.8
|
1452.5
|
|
|
293°55'
|
745.3
|
|
|
|
12.
|
180°00'
|
|
|
2860.0
|
771.2
|
|
|
293°55'
|
804.7
|
|
|
|
13.
|
107°39'
|
|
|
3186.2
|
35.6
|
|
|
6°16'
|
1006.2
|
|
|
|
14
|
156°29'
|
|
|
4186.4
|
145.3
|
|
|
29°47'
|
934.0
|
|
|
|
15.
|
109°39'
|
|
|
4997.0
|
609.2
|
|
|
100°08'
|
998.9
|
|
|
|
16.
|
178°1б'
|
|
|
4821.3
|
1592.5
|
|
|
|
|
|
|
|
1.
|
2.
|
3.
|
4.
|
5.
|
6.
|
|
|
|
|
|
|
|
|
101°52'
|
1184.0
|
|
|
|
17.
|
167°48'
|
|
|
4577.8
|
2751.2
|
|
|
114°04'
|
676.1
|
|
|
|
18.
|
124°38'
|
|
|
4302.1
|
3368.5
|
|
|
169°26'
|
1041.3
|
|
|
|
19.
|
140°43'
|
|
|
3278.5
|
3559.5
|
|
|
208°43'
|
929.7
|
|
|
|
20.
|
119°09'
|
|
|
2463.1
|
3112.9
|
|
|
2б9°34'
|
1159.1
|
|
|
|
21.
|
167°54'
|
|
|
2454.3
|
1953.8
|
|
|
281°40'
|
511.9
|
|
|
|
22.
|
177°45'
|
|
|
2557.8
|
1452.5
|
|
|
|
|
|
|
|
|
|
|
|
|
|
8.
|
|
|
|
|
|
|
|
101°38'
|
|
|
|
|
9.
|
111°20'
|
|
|
2394.4
|
1964.4
|
|
|
170°18'
|
918.7
|
|
|
|
10.
|
92°33'
|
|
|
1488.8
|
2119.2
|
|
|
257°45'
|
476.6
|
|
|
|
11.
|
88°04'
|
|
|
1387.7
|
1653.4
|
|
|
349°4 '
|
1130.7
|
|
|
|
8.
|
68°03'
|
|
|
2500.1
|
1450.9
|
|
|
|
|
|
|
|
|
|
|
|
|
|
21.
|
|
|
|
|
|
|
|
281°40'
|
|
|
|
|
22.
|
90°23'
|
|
|
2557.8
|
1452.5
|
|
|
11°17'
|
576.9
|
|
|
|
23.
|
89°35'
|
|
|
3123.5
|
1565.4
|
|
|
101°42'
|
189.1
|
|
|
|
24.
|
133°32'
|
|
|
3085.2
|
1750.6
|
|
|
148°10'
|
81.9
|
|
|
|
25.
|
228°04'
|
|
|
3015.0
|
1793.8
|
|
|
100°06'
|
216.2
|
|
|
|
26.
|
94°20'
|
|
|
2977.7
|
2006.6
|
|
|
185°46'
|
526.1
|
|
|
|
21.
|
84°06'
|
|
|
2454.3
|
1953.8
|
Приложение Б
АБРИСЫ ТЕОДОЛИТНОЙ СЪЁМКИ
Приложение В
Варианты
заданий
|
Площадь
|
0
|
1
|
2
|
3
|
4
|
5
|
6
|
7
|
8
|
9
|
|
А—И
|
Pсад
|
33,0
|
32,6
|
34,2
|
32,7
|
31,3
|
35,2
|
32,5
|
32,3
|
31,4
|
36,3
|
|
Pов.сев.
|
51,7
|
58,5
|
54,7
|
53,6
|
52,4
|
57,1
|
50,7
|
54,3
|
57,8
|
56,1
|
|
К—У
|
Pсад
|
36,2
|
35,3
|
33,4
|
36,5
|
34,3
|
36,1
|
33,8
|
32,4
|
34,7
|
34,6
|
|
Pов.сев.
|
55,4
|
55,7
|
56,9
|
56,3
|
54,7
|
53,5
|
55,1
|
52,0
|
56,3
|
50,8
|
|
Ф—Я
|
Pсад
|
34,5
|
35,8
|
37,5
|
32,9
|
34,0
|
33,7
|
32,2
|
31,0
|
37,2
|
34,2
|
|
Pов.сев.
|
52,7
|
54,3
|
53,7
|
54,3
|
54,0
|
53,5
|
54,0
|
57,5
|
56,9
|
56,5
|
Вариант задания выбирается
по первой букве фамилии и по последней цифре номера зачетной книжки.
ВОПРОСЫ ДЛЯ САМОПРОВЕРКИ
1. Что
является объектами проектирования при межхозяйственном и внутрихозяйственном
землеустройстве?
2. Какие
геодезические работы выполняются при землеустройстве?
З.В чём достоинства
аналитического способа проектирования?
4. Как
вычислить проектные длины при аналитическом способе проектирования?
5. В чём
заключается контроль проектирования равновеликих полей овощного севооборота?
7. Как
определить невязки площадей опорных трапеций при графическом проектировании?
8. Как
рассчитать необходимую высоту треугольника (трапеции) при исключении избыточной
площади?
9. Сущность
графоаналитического и графического спрямления ломаной границы с расчётом
сохранения площадей?
10. Как
получают проектные величины (углы, линии) для перенесения проекта в натуру при
различных способах проектирования?
11. Какое
отличие между эскизом и техническим проектированием?
12. Как
учитывают влияние угла наклона местности при перенесения проекта в натуру?
СПИСОК ИСПОЛЬЗУЕМЫХ ИСТОЧНИКОВ
1.
Геодезические работы при землеустройстве. /Маслов А.В., Горохов Г.М., Ктиторов
Е.Н., Юносов А.Г. — М.:Недра, 1986.
2. Маслов
А.В., Гордеев А.В., Батраков Ю. Г. Геодезия. — М.: Недра, 1980.
3. Бурыхин
Н.Н., Цфасман Я.М., Козлов В.Г. Землеустроительное проектирование и организация
землеустроительных работ. — М.: Колос, 1974.
4. Пальчиков
Ф.И. Практикум по землеустроительному проектированию и организации землеустроительных
работ. — М.: Колос, 1977.
5. Левицкий
И.Ю., Крохмаль Е.М., Реминский А.А. Геодезия с основами землеустройства. — М.:
Недра, 1977.
6.
Землеустроительное проектирование / М.А. Гендельман, В.Я. Заплетин, А.Д.
Шулейкин и др. Под ред. Гендельмана М.А. — М.: Агропромиздат, 1986.
7. Егорова
Т.М. Землеустроительное черчение. — М.: Недра, 1982.