Проектирование судна-нефтесборщика для ликвидации разливов нефти в Финском заливе
Содержание
Введение
Часть 1. Экологическое состояние вод
Финского залива
.1 Характеристика загрязнения вод
Финского залива
.1.1 Биогенные вещества
.1.2 Загрязняющие вещества
.2 Антропогенное воздействие на
морскую среду, возникающее при эксплуатации флота, добыче и транспортировке
нефти
.2.1 Загрязнение акваторий
.2.2 Загрязнения с судов
.3 Экологические риски
.4 Механизмы переноса загрязнений в
Мировом океане
.5 Загрязнение моря нефтью
.5.1 Состав и основные свойства
нефти
.5.2 Поведение нефти в морской среде
.6 Защита морской среды от
загрязнения
.6.1 Защита морской среды при
эксплуатации судов
.6.2 Оборудование и устройства по
предотвращению загрязнения нефтью
.6.3 Оборудование и устройства по
предотвращению загрязнения сточными водами
.7 Предотвращение загрязнения
морской среды при эксплуатации проектируемого судна
Часть 2. Технология морских работ по
ликвидации аварийных разливов нефти
.1 Вероятные объемы разлива нефти по
рекомендациям ИМО
.2 Организация операции ликвидации
разлива нефти
.3 Технология борьбы с разливами
нефти
.3.1 Обнаружение и контроль разлива
нефти
.3.2 Предотвращение распространения
нефтепродуктов по водной поверхности
.3.3 Прием, хранение, сдача,
утилизация собранной нефти. Методы ликвидации разливов
.4 Устройства специальные для сбора
нефти и мусора, установленные на судне-проекте
.4.1 Щеточное устройство
.4.2 Устройство очистки механизмов и
систем судна от нефтепродуктов
Часть 3. Анализ условий аварийного
разлива нефти в Финском заливе
.1 Терминалы и трассы
транспортировки нефти в Финском заливе
.2 Оценка вероятных объемов
аварийных разливов нефти
.3 Система ликвидации разливов нефти
.4 Анализ гидрометеорологических,
гидрологических и ледовых условий в Финском заливе
.5 Характеристика условий работы
проектируемого судна
Часть 4. Проектирование судна
нефтесборщика
.1 Исходные данные
.2 Расчет водоизмещения, главных
размеров в первом приближении
.3 Расчет ходкости на чистой воде
.3.1 Выбор движителя судна
.4 Уточнение нагрузки и определение
водоизмещения во втором приближении
.5 Уточнение нагрузки и определение
водоизмещения в третьем приближении
.6 Краткое описание судна
.7 Судовые устройства
.8 Судовые системы
.9 Судовая энергетическая установка
.10 Электрооборудование
.11 Средства связи, навигации и
сигнализации
Часть 5. Конструкция и технология
постройки
.1 Конструкция корпуса
.2 Технология постройки
.3 Организационно-технологическая
схема постройки
.4 Расчет трудоемкости
Часть 6. Экономика
.1 Определение оптовой цены судна на
основе себестоимости его конструктивных разделов
.2 Годовые эксплуатационные расходы
по судну
.3 Расчет экономического эффекта
Заключение
Список использованной литературы
Введение
Экосистемы Финского залива Балтийского моря, как
и любая другая экосистема, подвергаются воздействию различных загрязнений,
которые негативным образом сказываются на их функционировании.
В последние десятилетия здесь происходит
интенсивное развитие судоходства, которое сопровождается строительством новых
портов и расширением действующих. В стадии строительства находятся или
построены порты в Выборге, Высоцке, Приморске, Санкт-Петербурге, Ломоносове,
Кронштадте, Усть-Луге.
Рост морских перевозок увеличивает опасность
аварий в море с судами всех типов.
Особую угрозу представляет транспортировка нефти
в узких фарватерах мелководного Финского залива. Основными причинами аварий
являются «человеческий» фактор, неисправности оборудования и тяжелые погодные
условия. Аварии с судами сопровождаются разливами транспортируемых нефти и
нефтепродуктов, а также топлива, что сопровождается наиболее тяжелыми
последствиями для морской среды. Причинами разливов нефти также являются:
устаревший танкерный флот, наличие однокорпусных танкеров типа «Нефтерудовоз»,
большой объем несанкционированных перевалок типа «берег-судно», неблагоприятные
погодные условия, человеческий фактор и др.
В этой связи для защиты морских и береговых
экосистем требуется развитие флота: специализированных судов для сбора разлитой
нефти и нефтепродуктов - нефтесборщиков, а также строительство очистных
сооружений в портах.
Назначение судов нефтесборщиков - осуществление
ликвидации разливов нефти в морских акваториях. Эта работа должна
осуществляться в кратчайшие сроки после аварии и в любых погодных условиях.
Оборудование, установленное на судах нефтесборщиках, должно позволять проводить
сбор нефти и нефтепродуктов с различной вязкостью в объемах, которые являются
наиболее вероятными при аварийных происшествиях.
Особенно опасными являются разливы «тяжелых»
нефтей и топочного мазута, которые содержат большое количество сернистых
соединений, особенно опасных для морских экосистем.
Эти нефтепродукты имеют большую плотность и при
понижении температуры воды до температуры замерзания могут стать тяжелее нефти,
погрузиться на дно, весной всплыть на поверхность и снова вызвать нефтяное
загрязнение.
Другой особенностью рассматриваемых
нефтепродуктов является большая вязкость, вследствие чего они медленно
растекаются по поверхности воды. Это обстоятельство может облегчить ликвидацию
разлива этих нефтепродуктов, если операция ЛАРН будет начата через минимальный
срок после аварийного разлива.
Целью дипломного проекта являлось создание
специализированного судна для ликвидации аварийного разлива нефти и
нефтепродуктов (в первую очередь: «тяжелой» нефти и мазута), обладающего
высокой скоростью хода, обеспечивающей его оперативное прибытие в акватории
наиболее вероятных аварийных происшествий с судами в Финском заливе.
Часть 1. Экологическое состояние вод Финского
залива
.1 Характеристика загрязнения вод Финского
залива
Состояние экосистемы Финского залива в
значительной степени определяется антропогенным воздействием, что обусловлено
его географическим положением. Сводка под эгидой Хельсинской комиссии
свидетельствует о том, что удельные поверхностные и объемные нагрузки на
Финский залив значительно выше, чем на многие другие районы Балтийского моря
(табл. 1).
Таблица 1 - Сопоставление некоторых
географических характеристик Финского залива
|
Характеристика
|
Балтийское
море в целом
|
Финский
залив
|
Доля
Финского залива, %
|
|
Площадь
акватории, км
|
412560
|
2960
|
7
|
|
Объем
чаши, км
|
21631
|
1100
|
5
|
|
Площадь
водосбора, км
|
1733850
|
413300
|
24
|
|
Речной
сток, км /год
|
483
|
112
|
23
|
|
Население
на площади водосборного бассейна. Тыс.чел.
|
71000
|
12000
|
17
|
|
Плотность
населения, чел/км
|
42
|
28
|
-
|
.1.1 Биогенные вещества
Наиболее важными биогенными веществами,
определяющими продуктивность водоемов, являются соединения азота, фосфора и
кремния, которые служат питательными веществами для одноклеточных растительных
организмов (фитопланктона). Недостаточное количество биогенных веществ
ограничивает развитие жизни в водных объектах. Однако избыточное поступление
этих веществ может приводить к процессам эвтрофикации. Эвтрофикацией называют
массовое развитие фитопланктона, в частности, сине-зеленых водорослей
вследствие избыточного поступления биогенных элементов.
По последним обобщенным данным около 80%
биогенных элементов поступает в Финский залив со стоком рек. При этом на долю
Финляндии приходится 10 - 15%, Эстонии - 15 - 20% и России- 65 - 75% общей
нагрузки биогенных элементов на Финский залив. Оценка поступления биогенов в
Финский залив за период до 1995 года включительно приведена в таблице 2.
Таблица 2 - Оценка поступления биогенных веществ
в Финский залив с суши, тонн/год.
|
Год
|
Общий
азот
|
Общий
фосфор
|
|
До
1982
|
73995
|
4852
|
|
1982-
1984
|
104600
|
6502
|
|
1985
- 1986
|
169000
|
8700
|
|
1990
|
140442
|
11790
|
|
1992-1994
|
128600
|
8350
|
|
1995
|
115300
|
7380
|
Поступление в восточную часть Финского залива
невских вод, богатых биогенными элементами, обуславливает развитие в заливе
процессов эвтрофикации. В фитопланктоне преобладают сине-зеленые водоросли,
массовое развитие которых в летний период способствует интенсивному «цветению»
воды, что существенно ухудшает качество вод. С середины 80-х годов в восточной
части Финского залива отмечается тенденция роста первичной продукции, что
является следствием процессов эвтрофикации.
В настоящее время эвтрофикация является одной из
наиболее серьезных экологических проблем Финского залива и Балтийского моря в
целом. В связи с этим, стоит очень важная задача по существенному снижению нагрузки
биогенных веществ на Финский залив, что требует принятия срочных
природоохранных мероприятий. Для этих целей необходимо обеспечить доочистку
сточных вод от биогенов, что позволит существенно снизить их поступление в
Финский залив.
.1.2 Загрязняющие вещества
Гидрохимические наблюдения последних лет
свидетельствуют о загрязнении вод Финского залива различными загрязняющими
веществами, к числу которых относятся нефть, тяжелые металлы, фенолы и
органические вещества. Загрязнение вод представляет серьезную опасность для
морской флоры и фауны, ухудшает условия использования населением прибрежных
районов для культурно-оздоровительных целей.
Одним из источников загрязнения Финского залива
нефтеуглеводородами являются нефтесодержащие воды, сбрасываемые с судов, при
этом, особую опасность представляют балластные воды танкеров,
неотсепаратированные льяльные воды, выкачиваемые за борт, а также
непосредственные разливы нефти в случае аварии с танкерами. Число нефтяных
разливов непрерывно увеличивается в течение последнего десятилетия.
Развивающееся в Финском заливе судоходство содействует увеличению количества
нефтяных пятен.
Существенным источником загрязнения Финского
залива являются стоки промышленных предприятий и городов, расположенных на
побережье и сбрасывающих свои стоки непосредственно в залив.
Значительный вклад в загрязнение Финского залива
вносят многочисленные реки (112 м/год), воды которых содержат различные
загрязняющие вещества, попадающие туда со сточными водами городов и
промышленных предприятий.
Определенное количество загрязняющих веществ
вносится в залив с дымовыми газами и другими промышленными выбросами в
атмосферу.
Биологическим откликом на загрязнение вод и
донных отложений Финского залива является наличие патологий у планктонных
ракообразных и рыб в виде опухолеподобных образований на теле.
Восточная часть Финского залива относится к
водоемам высшей рыбохозяйственной категории, что определяется составом ее
рыбного населения и ролью данного района в воспроизводстве рыбных запасов. К
качеству вод рыбохозяйственных водоемов предъявляются повышенные требования:
рыбохозяйственные ПДК более жесткие, чем санитарно- гигиенические.
.2 Антропогенное воздействие на морскую среду,
возникающее при эксплуатации флота, добыче и транспортировке нефти
Загрязнение моря представляет собой одну из
серьезнейших проблем охраны природы, возникших перед человечеством. Оно носит
глобальный характер и его последствия рано или поздно ощущают на себе не только
прибрежные страны, но и все человечество. Источники загрязнения морской среды
многообразны и одним из наиболее существенных из них является мировое
судоходство. Учитывая значительную концентрацию плавсредств в ряде районов
Мирового океана, развитие и рост их числа, становится очевидным, что вызываемое
судоходством загрязнение уже в настоящее время носит угрожающий характер.
Современные морские суда представляют собой
сложные плавучие сооружения с мощными энергетическими установками и системами,
которые в процессе работы приводят к образованию разнообразных видов отходов
(мусор, сточные воды, льяльные воды, промывочные и балластные воды). Наиболее
интенсивно загрязняются воды в местах скопления судов и при проведении
погрузочно-разгрузочных операций, т.е. в акваториях портов и на внешних рейдах.
.2.1 Загрязнение акваторий
Соотношение между загрязнениями, поступающими с
берега и с судов, а также между хозяйственно-фекальными, нефтесодержащими и
производственными сточными водами зависит от грузооборота конкретного порта,
характера погрузочно-разгрузочных операций, используемого оборудования.
Рис. 1. Схема
загрязнения акваторий
.2.2 Загрязнения с судов
Современные суда представляют собой сложные
системы, в результате которых образуются разнообразные отходы: жидкие,
газообразные, твердые. Существующие санитарные нормы и международные соглашения
требуют контроля отходов и их обезвреживания.
Наиболее распространенными источниками
загрязнения является нефть. Около трети объема попадающего в Мировой океан
нефти, приходится на судоходство. По классификации ИМО (Международной морской
организации), потери нефти при эксплуатации судов следующие:
- эксплуатационные сбросы нефтяного
груза с танкеров;
- сбросы с судов при постановке в док;
- сбросы у причалов, включая
бункеровочные операции;
- сбросы с льяльными трюмными водами и
отходами топлива;
- сбросы с нефтесодержащих балластов
из топливных танков;
- разливы при аварии;
Эксплуатационные сбросы нефтяного груза с
танкеров.
Этот вид сбросов является наиболее значительным
и составляет примерно половину попадающей в море нефти от судоходства. Это
обусловлено тем, что танки моются при смене груза, а также тем, что в
большинстве танкеров танки используют попеременно как грузовые, так и
балластные.
Сбросы судов при постановке в док.
Ранее большинство танкеров перед докованием
смывало нефтяные остатки в море. В настоящее время в результате увеличения
сроков докования до 2 лет, постройки и увеличения пропускной способности
приемных очистных приемных сооружений, применение мойки сырой нефтью ситуация
значительно улучшилась.
Сбросы у причалов, включая бункеровочные
операции.
Сюда относятся разрывы подводных нефтепроводов,
шлангов, переполнение танков и т.п.
Сбросы с льяльными трюмными водами и отходами
топлива.
Нефтесодержащие льяльные воды для дизельных
судов составляет около 2%, а для паровых - 1,5%. Сбросы льяльных вод в сумме
могут загрязнить значительные территории портов и акваторий.
Сбросы нефтесодержащих балластов из топливных
танков.
Некоторые суда, например рыболовные, в целях
безопасности плавания в опорожненные топливные танки берут водяной балласт.
Затем он попадает в море вместе с остатками топлива.
Разливы при аварии. В связи с ростом танкерного
флота, несмотря на принимаемые меры и относительное сокращение числа аварий
количество попадающей в море нефти по причинам аварий не уменьшается.
Наиболее распространенным (по количеству) видом
загрязнения океана является нефть. Общая масса нефтяных углеводородов,
попадающих в океан, оценивается в 5-10 млн. т. Основная доля загрязнений
приходится на транспортирование нефти. Это и неудивительно, так как основные
нефтедобывающие районы расположены на значительном расстоянии от многочисленных
районов потребления и переработки нефти и, следовательно, нефть необходимо
транспортировать в океанских танкерах. Обычные танкерные операции
сопровождаются большой потерей нефти. К таким обычным операциям относятся
загрузка балласта, очистка танков (освобождение от балласта), погрузка и
разгрузка.
Таблица 3 - Статистические
данные поступления нефтяных углеводородов в океан
|
Источник
загрязнения
|
Общее
количество, млн.т/год
|
Доля,
%
|
|
Транспортные
перевозки, в том числе обычные перевозки; катастрофы
|
2.1
1.8 0.3
|
34.4
29.5 4.9
|
|
Вынос
реками
|
0.9
|
14.8
|
|
Попадание
из атмосферы
|
0.5
|
8.2
|
|
Природные
источники
|
0.6
|
9.8
|
|
Промышленные
отходы
|
0.3
|
4.9
|
|
Городские
отходы
|
0.3
|
4.9
|
|
Отходы
прибрежных нефтеочистительных заводов
|
0.2
|
3.3
|
|
Потери
при добыче нефти в открытом море
|
1.2
|
19.7
|
|
Итого
|
6.1
|
100
|
.3 Экологические риски
В конце 20 века прогрессирующее загрязнение ОС,
быстрый рост использования невозобновляемых природных ресурсов привели к тому,
что способность биосферы к самоочищению оказалась на гране исчерпания, впервые
на нашей планете появились очаги необратимых экологических изменений ОС.
В качестве количественной меры опасности и
безопасности используется понятие риска. Она характеризует величину ожидаемой
опасности и степень близости и границам ее устойчивости.
В понятие риска входят:
1. Вероятность возникновения, то есть частота
рассматриваемого фактора;
2. Ущерб от реализации того или иного опасного
фактора;
3. Неопределенность причин ущерба и вероятность.
По причинам возникновения риски подразделяются:
1. Природные риски - обусловлены
катастрофическими природными явлениями;
. Техногенные - опасности от производственных
объектов;
3. Экологические - неблагоприятные изменения в
ОС природного и техногенного характера;
4. Биолого-социальные риски - эпидемии;
. Социально-политические;
. Экономические - изменения в экономике;
Экологический риск выражает вероятность
экологического бедствия, катастрофы, нарушения нормального функционирования
экологических систем и объектов в результате антропогенного вмешательства в
природную среду или стихийного бедствия.
Таблица. 4 - Источники и факторы экологического
риска
|
Источники
риска
|
Наиболее
распространенные факторы
|
|
Антропогенное
вмешательство в природную среду
|
Разрушение
ландшафтов, искусственные водоемы, интенсивная мелиорация, истребление лесных
массивов и т.д.
|
|
Техногенное
влияние на ОС
|
Загрязнение
водоемов, воздуха, почвы вредными веществами, изменение газового состава
воздуха, энергетическое загрязнение биосферы.
|
|
Природные
явления
|
Землетрясение,
наводнение, ураган, засухи и т.д.
|
Нежелательные проявления повышенного
экологического риска могут наблюдаться как непосредственно в зонах
вмешательства, так и за их пределами.
Математически суммарный риск
от
нескольких не зависимых одновременно происходящих неблагоприятных событий
определяется как произведение вероятного
и отдельного неблагоприятного i-го
события и ожидаемого ущерба
в результате реализации:
Количественно экологический риск
выражается формулой:
где
- число антропогенных экологических
катастроф и стихийных бедствий в единицу времени.
- число потенциальных источников
экологических нарушений на рассматриваемой территории.
Оценим масштабы экологического риска для
Финского залива.
Масштабы экологического риска оценивают по
следующей формуле:
= 29,5 тыс. км2 - общая
площадь территории.
= 468,55 км2 - площадь
катастрофической территории портов.
.4 Механизмы переноса загрязнений в
Мировом океане
Диффузия, т.е. перенос субстанций
при помощи хаотических молекулярных или турбулентных движений в водной среде,
является важным фактором, участвующим в формировании в Мировом океане как
естественных гидрофизических полей (солености, растворенного кислорода,
биогенных элементов), так и полей примесей (в том числе антропогенного
происхождения). Перераспределение загрязнений в океане определяется не только
диффузией, но и в значительной степени течениями (адвекцией), процессами
биоаккумуляции, атмосферным переносом, живыми организмами и т.д.
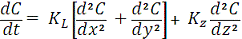
Поток загрязнений в океане зависит
от градиента концентрации С загрязнений и коэффициента переноса К, учитывающего
свойства морской среды, и имеет следующий вид:
где К - для однородных водных масс представляет
собой коэффициент молекулярной диффузии D; С - градиент концентрации.
Диффузия в неподвижной жидкости обусловлена не
хаотическим молекулярным движением, а турбулентным обменом, коэффициент
переноса К будет зависеть от координат.
В этом случае уравнение турбулентной диффузии
примесей в неподвижной жидкости:
KL и Kz - горизонтальный и вертикальный
коэффициент турбулентного обмена (KL>>Kz).
В общем случае перенос примеси в водной среде
осуществляется и за счет диффузии и за счет адвекции.
В этом случае вектор потока примеси q будет
иметь вид:

,
где V - скорость движения водных масс с
примесями.
С - концентрация.
Тогда уравнение диффузии примеси в движущейся
жидкости примет вид:
Движение реальных океанических водных масс
всегда турбулентно. При турбулентном движении жидкости флуктуирует не только
скорость течения жидкости, но и другие гидродинамические характеристики, в том
числе и концентрация загрязнений. Интерес могут представлять только сведения о
статистических характеристиках случайного флуктуирующего поля концентрации
загрязнителя. Как известно в реальной морской среде все гидрофизические
величины флуктуируют около среднего значения. Поэтому полученное уравнение
должно быть определено во времени:
Если принять во внимание физико-химические и
биологические процессы в МС, приводящие к изменению концентрации примесей, а
так же, что в МС могут присутствовать источники примесей, то выброс примеси
может быть и мгновенным, то уравнение динамики примесей (уравнение турбулентной
диффузии загрязнений в движущемся потоке жидкости) в МС примет окончательный
вид:
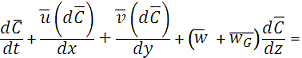
Где: u,y, w - компоненты осредненной скорости
течений по осям OX, OY и OZ.G-собственная гравитационная скорость
примеси.L и Kz- горизонтальные и вертикальные
коэффициенты турбулентной диффузии примеси.- коэффициент молекулярной диффузии
примеси.- мощность точечного, природного или антропогенного источника примеси. δ-дельта
функции Дирака.
При х=х*,у=у*,z=z* - δ
=1, в
других случаях δ=0.
x*, y*, z* - координаты положения источника
примесей.
Коэффициент неконсервативности γ
имеет
вид:
γ = 
,
где 
- период полураспада примеси.
Уравнение динамики примеси с
начальными и граничными условиями является основой для расчета
перераспределения нефтяных загрязнений в толще МС и широко используется для
прогнозирования экологической ситуации.
1.5 Загрязнение моря нефтью
.5.1 Состав и основные свойства нефти
Нефть - горючая маслянистая жидкость, вязкая,
темно-коричневого цвета со специфическим запахом, является важнейшим полезным
ископаемым.
К основным компонентам нефти относятся
углеводороды(98%).Кроме того, в состав нефти входят их производные, содержащие
кислород, серу, азот. Существенное значение имеет содержание в нефти серы.
Кроме элементной серы, в нефти присутствуют некоторые специфические сернистые
соединения (меркаптаны, сульфиды, тиофены), дающие специфический запах.
Присутствие сернистых соединений увеличивает токсичность нефти. По содержанию
серы нефть бывает малосернистая (менее 0.5%), сернистая(0.5-2.0%),
высокосернистая (более 2%).
Различают легкую(0.65-0.87 г/см),
среднюю(0.871-0.910 г/см) и тяжелую(0.910-1.05 г/см) нефть. Теплота сгорания
43.7-46.2 МДж/кг.
Путем перегонки из нефти получают бензин,
реактивное топливо, осветленный керосин, дизельное топливо, мазут. Нефть и нефтепродукты
представляют особую опасность для окружающей среды и ее обитателей. Покрывая
тонкой пленкой огромные участки водной поверхности, нефть нарушает кислородный,
углекислый и другие виды газового обмена в поверхностных слоях среды и пагубно
воздействуют на водную флору и фауну. Попав в водоем, нефть и нефтепродукты,
очень скоро перестают существовать как исходные субстраты, и могут быть
представлены следующими агрегатными состояниями:
· поверхностные пленки (слики);
· растворимые формы;
· эмульсии («нефть в воде», «вода в
нефти»);
· взвешенные формы (плавающие на
поверхности и в толще воды мазутнонефтяные агрегаты, сорбированные на взвесях,
нефтяные фракции);
· осажденные на дне твердые и вязкие
компоненты;
· аккумулированные в водных
организмах;
В условиях хронического загрязнения ее
доминирующей формой является эмульгированная нефть.
Опасность отравления нефтью возникает с
повышением ее концентрации. Токсичность в водной среде проявляется при
концентрации в водной среде более 1мг/м3. Даже незначительное содержание нефти
(200-400 мг/м) придает воде специфический запах.
Температура кипения нефти возрастает с
увеличением молекулярного веса, плотность в основном зависит от молекулярного
строения, а вязкость - от обоих факторов. Эти физические свойства определяют
токсичность нефти и определяют ее поведение и процесс трансформации при
разливах. Компоненты нефти с низкой температурой кипения (200-300°) быстро
испаряются, увлекая за собой более высокие фракции.
Некоторые компоненты нефти (ароматические
соединения и парафины), растворимы в воде и быстро выщелачиваются при
растекании нефти тонким слоем.
.5.2 Поведение нефти в морской среде
При попадании нефти в море происходит ее
растекание, сопровождающееся физико-химическими процессами: испарением,
эмульгированием, растворением в воде и биохимическим окислением.
Растекание по спокойной поверхности воды
происходит под действием сил тяжести, инерции, вязкостного сопротивления
поверхностного натяжения. В зависимости от того, какая из этих сил преобладает,
различают три режима растекания: инерционный, вязкостный и под действием сил
поверхностного (межфазного) натяжения. Теоретически, если рассматривать только
силы поверхностного натяжения, нефть должна растечься по поверхности воды
тонкой пленкой. Однако на кинетику растекания влияют силы тяжести, инерции и
вязкости. Сила тяжести способствует растеканию, а инерционные и вязкостные силы
препятствуют ему. По мере уменьшения толщины пленки сила тяжести уменьшается
(соответственно падает и сила инерции), начинает преобладать вязкостный режим
растекания. Заканчивается процесс растекания режимом, обусловленным
поверхностными силами.
На процесс растекания нефти в море большое
влияние оказывает температура окружающей среды, направление и силы течения и
ветра. Разлившаяся нефть способна покрыть громадные водные поверхности,
растекаясь до тончайших пленок.
Растекание нефти сопровождается испарением. В
первую очередь испаряются углеводороды с меньшим числом атомов углерода,
имеющие более низкую температуру кипения. Углеводороды с числом атомов углерода
до 13 испаряются в течение первых нескольких часов, до 20 атомов - в течение
нескольких суток. При разливе мазутов, моторных топлив (тяжелых фракций)
испаряются всего 10%. В результате испарения легких фракций увеличивается
плотность нефти, и она начинает тонуть.
В воде может раствориться до 5-7% нефти. В
основном - это компоненты с низким молекулярным весом, ароматические
углеводороды и продукты окисления. Растворенные соединения оказывают наибольшее
влияние на обитателей моря.
Вода и нефть способны образовывать эмульсии как
прямые («нефть в воде»), так и обратные («вода в нефти»). Прямые эмульсии
представляют собой капельки нефти малого размера (0,5 мкм.), распределенные в
воде. Они являются основной причиной рассеивания нефти в объеме воды. При этом
ускоряется биохимическое разложение нефти.
Эмульсии обратного типа образуются у
поверхности, характеризуются большой вязкостью и стойкостью. По внешнему виду
они похожи на чистую нефть, иногда имеют светло-коричневую окраску («шоколадный
мусс»).
Основными процессами разложения нефти в морской
воде являются фотохимическое и биохимическое окисление. Фотохимическое
окисление происходит у поверхности воды под действием кислорода и солнечной
радиации. По мере погружения нефти, процесс замедляется, а на дне прекращается.
В результате разложения нефти образуется углекислый газ, вода и «смоляные
шарики» (до 35%). Биохимическое окисление нефти происходит под действием
кислорода, воздуха и воды, а также различных микроорганизмов, бактерий,
грибков. В результате разложения нефти образуются растворимые в воде вещества,
а также смолистые продукты, в дальнейшем не разлагающиеся. Все соединения,
содержащиеся в нефти, подвержены биоразложению. Наиболее быстро разлагаются
легкие углеводороды (бензин, керосин). Разложение углеводородов и других
соединений с числом атомов более 20, практически прекращается при температуре
воды ниже 4°С. При современных масштабах загрязнения, природа не справляется с
переработкой нефти.
При сильном разливе нефти наиболее очевидным
является ее механическое воздействие на среду. Тяжелые фракции и эмульсии типа
«мусс» загрязняют поверхность, берега, забиваются в расщелины, затрудняют
дыхание и питание мелких животных. Многие углеводороды нарушают строение
межклеточных мембран, регулирующих процессы обмена веществ.
К основным формам загрязнения, которые
образуются при поступлении нефти и нефтепродуктов в воду, относятся: свободно
плавающая пленка, либо частицы на поверхности и в толще воды; осевшие на дно,
либо находящиеся в грунтах тяжелые фракции нефти; растворенные и
эмульгированные нефтепродукты.
Когда плавающий слик достигает берега, его
дальнейшая судьба зависит как от состояния нефти, так и от характера берега.
При незначительном загрязнении основная масса нефти будет выноситься
последовательными приливами на берег до отметки уровня полной воды. На
каменистом берегу нефть проникает на 0,5 - 1м между камнями, откуда её трудно
удалить. Во влажный песок нефть проникает хуже, но буруны могут заносить ее
сверху новыми порциями песка, создавая сходную с геологическим напластованием
слоистую структуру. В этом случае сильно загрязненный берег в течение
некоторого времени после загрязнения может казаться чистым, а содержащаяся в
нем нефть обнаруживается позже, после удаления поверхностных слоев во время
шторма или сезонных перемещений песка. Нефть налипает к мидиям, наружной
оболочке раковин, водорослям. Нефть впитывается также в сухую пористую породу,
преимущественно кораллового происхождения.
Интенсивность света под слоем нефти составляет,
как правило, 15% интенсивности света на поверхности, в лучшем случае - 5-10%.
Ослабление света под поверхностью движущегося слика не имеет большого значения
в открытом море, но может играть важную роль в условиях скальных углублений и
мелководных лагун, где вода в солнечный день перенасыщена кислородом вследствие
фотосинтетической деятельности водорослей. При отсутствии света, продукция
кислорода прекращается, однако растения и животные продолжают потреблять его в
процессе дыхания. Вероятно, при большом скоплении живых организмов в спокойной
воде, диффузия кислорода через толстую пленку нефти будет недостаточной, и
животные будут погибать от удушья.
.6 Защита морской среды от загрязнения
Требования к охране вод морей от загрязнения
регламентируются «Правилами санитарной охраны прибрежных вод морей». Требования
к сбросу вредных веществ с судов и других плавучих средств регламентируются
«Международной конвенцией по предотвращению загрязнения моря с судов» (1973г.),
«Конвенцией ООН по морскому праву», «Конвенцией по защите морской среды района
Балтийского моря» (1974,1992гг.)
Техническая политика в области защиты морской
среды от загрязнения должна быть направлена на:
- предотвращение поступления
загрязняющих веществ от наземных источников;
- предотвращение поступления
загрязняющих веществ с судов;
- удаление вредных веществ из
различных выбросов морских судов;
- предотвращение загрязнения морских
вод при бурении и освоении морских скважин;
- борьбу с нефтяными разливами,
возникающими при эксплуатации нефтяных скважин на шельфе или при авариях
нефтеналивных судов.
.6.1 Защита морской среды при эксплуатации судов
Источниками загрязнения морской среды с судов
являются отработавшие газы судовых энергетических установок, сбросы топлива и
масел, трюмных и балластных вод, отходы реакторных установок, бытовые сточные
воды, различный мусор.
Для предотвращения загрязнения и охраны морской
среды, суда должны быть оснащены специальным оборудованием и устройствами:
· оборудование и устройства по
предотвращению загрязнения нефтью;
· оборудование и устройства по
предотвращению загрязнения сточными водами;
· оборудование и устройства по
предотвращению загрязнения мусором;
· оборудование и устройства для
очистки и нейтрализации судовых выбросов.
1.6.2 Оборудование и устройства по
предотвращению загрязнения нефтью
Сырая нефть - любая жидкая смесь углеводородов,
встречающихся в естественном состоянии под поверхностью земли, независимо от
того, подвергнута она обработке, с целью сделать ее пригодной для
транспортировки или нет.
В целях предотвращения загрязнений морской среды
нефтью и нефтепродуктами, суда должны быть оснащены следующим оборудованием и
устройствами:
· сборной цистерной нефтесодержащих
вод;
· стандартными сливными соединениями
для сдачи нефтесодержащих вод;
· системой перекачки и сдачи
нефтесодержащих вод.
Дополнительно суда могут оборудоваться:
· очистным оборудованием;
· прибором, сигнализирующим о
превышении нефтесодержания в сбросе более 10 мг/л (прибор должен работать при
крене до 15° на оба борта);
· автоматическим устройством,
прекращающим сброс нефтесодержащих вод (при превышении нефтесодержания в сбросе
более 10 мг/л);
· системой сброса нефтесодержащих вод;
· сборной цистерной для нефтяных
остатков.
Каждое судно, перевозящее более 2000т нефти,
должно иметь на борту свидетельство о гражданской ответственности за ущерб от
загрязнения нефтью. Без него вход и выход судна из портов России не
разрешается.
1.6.3 Оборудование и устройства по
предотвращению загрязнения сточными водами
Судовые сточные воды подразделяются на
сточно-фекальные и хозяйственно-бытовые. Сточно-фекальные воды - это стоки и
прочие отходы из всех видов туалетов, унитазов, раковин, ванн.
Хозяйственно-бытовые воды - стоки от умывальников, душевых, ванн, прачечных, а
также от моек и оборудования камбуза и других помещений пищеблока.
Технологические решения по предотвращению
загрязнения моря сточными водами судов осуществляется:
- оборудованием судов автономными
системами для обработки, полной очистки и обеззараживания сточных вод до
требуемых норм непосредственно на борту, с последующим их сбросом, согласно
существующим правилам; пропускная способность установки должна соответствовать
количеству людей на борту.
- оборудованием судов специальными
цистернами достаточного объема, для сбора и хранения сточных вод, с последующей
передачей их во вне судовые приемные устройства;
- строительство и усовершенствование
специальных портовых судов для приема загрязненных судовых сточных вод и сдачи
их на береговые очистные сооружения.
На судах применяются три основных метода очистки
сточных вод:
Биологический метод - основан на биохимическом
окислении отходов с помощью активного ила. Метод обеспечивает высокую степень
очистки от взвешенных веществ, очистку больших объемов стоков, высокую степень
разложения органических веществ.
Физические методы, включающие фильтрацию,
центрифугирование, флотацию, осаждение и т.д.
Физико-химические методы, обеспечивающие
коагуляцию, адсорбцию и окисление мелкодисперсных частиц в сточных водах.
Обеззараживание сточных вод после их очистки
осуществляется хлорированием, электролизом или ультразвуковым воздействием.
Минздрав допускает сброс сточных вод с судов с
количеством взвешенных веществ не более 10 мг/л.
.7 Предотвращение загрязнения морской среды при
эксплуатации проектируемого судна
Конструкции корпуса, механизмов, оборудования и
систем судна удовлетворяют требованиям Правил по экологической безопасности
судов внутреннего и смешанного плавания. Для предотвращения загрязнения
окружающей среды льяльными водами на судне предусматривается система
нефтесодержащих трюмных вод закрытого типа.
Система включает в себя:
· сборную цистерну, расположенную в
машинном отделении и оборудованную воздушной трубой, выведенной в машинное
отделение,
· трубопровод сбора нефтесодержащих
трюмных вод из-под пайол машинного отделения, включающий в себя ручной насос
Gusher 10 производительностью до 82 л/мин и установленный в МО рядом с
цистерной, гибкий шланг длиной 4 м с приемной сеткой на конце,
· трубопровод выдачи льяльных вод на
береговые сооружения или сборщик, включающий в себя ручной насос сбора трюмных
вод, заканчивающийся на палубе фланцем международного образца.
Для предотвращения загрязнения окружающей среды
сточными водами на судне предусматривается сточная система со сборной цистерной
и выдачей загрязненных вод на берег или судно-сборщик при помощи штатного
фекального насоса.
Для предотвращения загрязнения акватории бытовым
мусором на судне предусматриваются мусорные контейнеры.
Часть 2. Технология морских работ по ликвидации
аварийных разливов нефти
.1 Вероятные объемы разлива нефти по
рекомендациям ИМО
Оценка риска проводиться исходя из данных ИМО по
статистике аварий и разливов нефти и на основе методики Хелком.
Ниже в табл. 5 приведены оценки объемов
вероятного вылива груза танкеров при днищевых повреждениях, при столкновениях и
посадках на мель, базирующиеся на статистических данных ИМО.
Таблица 5 - Оценка вылива груза при авариях
танкеров
|
№
п/п
|
Характеристика
|
Обозн-е
|
1
|
Варианты
танкера
|
5
|
|
|
|
|
2
|
4
|
|
|
1
|
Чистая
грузовместимость, м3
|
∑
Vi
|
6800
|
17000
|
30600
|
71100
|
90000
|
|
2
|
Осадка,
м
|
d
|
7,08
|
8,5
|
11,02
|
12,9
|
13,03
|
|
3
|
Высота
двойного дна, м
|
Ндв.д.
|
1,2
|
1,5
|
1,7
|
2,0
|
2,3
|
|
4
|
Высота
борта, м
|
н
|
9,58
|
12,0
|
15,48
|
17,85
|
18,23
|
|
5
|
Вылив
груза при аварии,м3
|
Q
|
206
|
491
|
732
|
2038
|
2600
|
|
6
|
Максимальный
вылив груза при столкновениях и посадке на мель, м
|
Qmax
|
700
|
1700
|
2490
|
6930
|
8800
|
Согласно оценке риска проведенной на основе
методики Хелком для Финского залива, количество вероятных аварий речных
танкеров равно 0,15 аварий в год, а морских танкеров - 0,04 аварий в год.
При авариях сухогрузных судов вероятность
разлива топлива зависит от места расположения топливных танков на судне и
характера аварии (столкновение, посадка на мель, авария топливоприемного
оборудования и переливы). Запасы топлива в зависимости от назначения судна и
его конструкции могут размещаться в следующих цистернах (танках):
- двойном дне;
- танках, непосредственно
расположенных в пределах МО;
- двойных бортах;
- танках в районе туннеля гребного
вала;
- диптанках.
Скорость процесса разложения нефтепродуктов в
значительной мере зависит от фактических гидрометеоусловий на месте разлива. На
основе погодных условий (температура воздуха, скорость ветра и течения) и их
прогноза проводится также планирование работ ЛPH.
.2 Организация операции ликвидации разлива нефти
Так как важнейшим фактором, определяющим успех
операции ЛPH, является фактор времени, первоочередной задачей является быстрота
принятия обоснованных решений по задействованию имеющихся в распоряжении
персонала и технических средств.
При ЛPH необходимо обеспечить:
o предотвращение или снижение вылива
нефти из источника (аварийное судно, трубопровод и т.д.);
o создание благоприятного крена судна,
препятствующего дальнейшему разливу, заделка пробоины.
o перепуск и перекачка нефти из
поврежденных танков в неповрежденные, перекачка нефти на другое судно;
o буксировку поврежденного судна в
защищенное место;
o слежение за движением пятна;
o локализацию и сбор нефти;
o принятие мер по защите приоритетных
зон;
o оповещение компетентных органов о
возможном загрязнении береговой полосы;
o любую комбинацию операций,
приведенных выше;
o эффективную систему управления
привлекаемыми техническими и плавсредствами, исключающую или снижающую до
возможного минимума опасность вторичных аварий в зоне ЛPH.
При любом решении действия на водной акватории
должны быть первоочередными и наиболее быстро принимаемыми.
Технические средства закрепляются за конкретными
плавсредствами, на которых также размещаются специалисты, обеспечивающие работы
этих средств.
Немедленно после получения сообщения о разливе и
его обстоятельствах должно быть проведено прогнозирование распространения нефти
для оценки необходимости в защите берега и очередности мер по защите конкретных
объектов.
Сразу же после получения сообщения о разливе,
должны быть направлены к месту разлива специальные подразделения, находящиеся в
состоянии эксплуатационной готовности.
Все операции по ЛРН в море неэффективны без
постоянной авиаразведки и наводки плавсредств на нефтяные поля.
Воздушную разведку разлива следует предпринять
сразу с наступлением светлого времени, чтобы получить более четкую картину
обстановки.
.3 Технология борьбы с разливами нефти
.3.1 Обнаружение и контроль разлива нефти
Первым этапом ликвидации разлива нефти является
ее обнаружение. Об аварийной ситуации на танкерах сразу же оповещаются все
службы порта.
При борьбе с нефтяными разливами большое
значение имеет время обнаружения нефтяного пятна, его размеры, качественные
характеристики, а также источник разлива. Наиболее оперативно нефтяные
загрязнения обнаруживают дистанционными (неконтактными) методами. Эти методы
позволяют инспектировать обширные водные площади за сравнительно малый
промежуток времени. К наиболее распространенным методам дистанционного
обнаружения можно отнести визуальный (аэрофотосъемочный) и фотометрический.
Для приближенной визуальной оценки уровня
загрязненности воды пленкой нефти часто используют справочные таблицы
зависимости между толщиной пленки, площадью нефтяного пятна и внешним видом
нефтяного пятна.
Информация о наличии и размерах нефтяных пятен
может быть получена путем фотографирования поверхности воды с борта самолета
или судна. Для обнаружения нефтяных загрязнений чаще используют
фотографирование в ультрафиолетовых или инфракрасных лучах. Фотометрическим
методом можно заметить пятна толщиной 3 мкм.
Дистанционные методы обнаружения нефтяных
загрязнений подразделяются на пассивные и активные. При применении пассивных
методов регистрируется тепловое излучение зондируемой поверхности, отраженное
солнечное излучение или собственное гамма-излучение нефти. При применении
активных методов зондируемая водная поверхность облучается излучением
искусственного источника и регистрируется отраженное или флуоресцентное
излучение.
Тепловое инфракрасное излучение.
В качестве регистрирующих устройств прямого и рассеянного солнечного излучения
используется спектрорадиометр или дифференциальный радиометр. Контраст между
чистой и загрязненной водной поверхностью в этом случае обусловлен в их
температурах и излучательных способностях. В солнечный день радиационная
температура нефти больше чем у воды; в ночное время, наоборот. Радиометрический
метод, основанный на инфракрасном видении, может применяться с борта
плавсредств и авиасредств.
Пассивная микроволновая радиометрия.
Метод регистрации собственного теплового излучения микроволновым радиометром
дает возможность определять толщину пленок путем измерения двух или нескольких
частот и может применяться в любое время суток, и при любых погодных условиях.
Этот метод позволяет выявлять нефтяные разливы и определять их характеристики,
но не позволяет идентифицировать судно.
Ультрафиолетовое излучение.
Обнаружение нефтяных пленок на поверхности моря с использованием
ультрафиолетового диапазона основано на свойстве водной поверхности и нефтяной
пленки, по-разному отражать ультрафиолетовую составляющую солнечного излучения,
а также на свойстве нефти флуоресцировать под действием такого излучения. По
сравнению с поверхностью воды толстые пленки нефти обладают большей отражающей
способностью, тонкие - меньшей.
Радиолокация.
Радиолокационными методами можно регистрировать разницу в физическом состоянии
чистой и покрытой нефтяной пленкой поверхностей волнующегося моря. Для
получения более точных результатов применяются РЛС с двумя каналами: один для
выявления потенциальных загрязнителей (судов), а другой - более
высококачественный - для выявления и определения данных о нефтяных пятнах. РЛС
обнаруживает нефтяную пленку толщиной 3-5 мкм и более.
Каждый метод обнаружения нефтяного пятна имеет
свои преимущества и недостатки, поэтому используют комбинированные системы,
ИК/УФ сканеры, дополненные микроволновым радиометром.
Цель, состоящая в обнаружении загрязнения,
считается достигнутой, если решаются следующие задачи:
· обеспечивается постоянное наблюдение
в любое время суток, при любых погодных условиях;
· обнаруживаются все виды сбросов
углеводородов на поверхности моря;
· можно точно определить природу
загрязняющего вещества;
· можно производить картирование всего
района загрязнения;
· можно определить количество разлитой
нефти и её распределение на поверхности воды;
· можно определить источник
загрязнения и вид сброшенного нефтепродукта;
· удостоверить точное местонахождение
источника загрязнения, а также определить, какие силы и средства вовлечены в
операции по борьбе с разливом нефти и проведение очистных операций;
· зафиксировать в документальном виде
все поступающие данные в связи с разливом нефти, которые могут потребоваться
при расследовании обстоятельства разлива.
.3.2 Предотвращение распространения нефтепродуктов
по водной поверхности
После обнаружения разлива приступают к его
локализации. Нефть после разлива быстро растекается по поверхности воды, ее
толщина резко уменьшается. Ветер и волны разбивают нефтяное пятно. Все это
ухудшает последующий сбор нефти с поверхности. Локализация разлитых
нефтепродуктов осуществляется с помощью боновых заграждений.
В настоящее время для ограничения разливов нефти
используются боновые заграждения различных типов, которые применяются как
самостоятельно для ограждения аварийных объектов, танкеров при проведении
грузовых операций и изменении направления дрейфа нефти, так и для расширения
зоны захвата нефтесборных средств, для увеличения толщины пятна нефти путем
уменьшения его площади.
Все типы боновых заграждений при различном
конструктивном исполнении включают в себя: элемент плавучести; подводную часть,
препятствующую движению нефти под заграждением; надводную часть, препятствующую
перехлестыванию нефти через заграждение; груз (балласт), обеспечивающий
вертикальное положение бонов; соединительные узлы.
Известно более 150 видов боновых заграждений,
которые, исходя из конструкции и условий применения, можно приближенно
разделить на 4 основные категории:
Боны с жесткими поплавками.
К основным достоинствам бонов данной категории следует отнести их повышенную
надежность, поскольку при повреждении камер они не теряют плавучести, не
возникает проблем с заполнением их воздухом. Однако для хранения бонов
указанной группы требуются большие площади складских помещений, и нередко
возможна их деформация.
Надувные боны.
Достоинством надувных бонов является то, что они хорошо отслеживают волну и
занимают мало места при хранении, но при этом необходимо время подготовки их к
заполнению воздухом и возможность потери плавучести при нарушении герметичности
поплавковых камер.
Жесткие секционные боны.
Достоинство таких бонов состоит в том, что нет необходимости надувать их
воздухом; при повреждении нет потери плавучести; занимают мало места при
хранении, однако они хорошо удерживают нефтяную пленку только при спокойной
погоде.
Пневматические барьеры.
Образуются созданием ниже поверхности воды экрана из воздушных пузырьков,
поднимающихся из перфорированных труб, по которым подается воздух под
давлением. Они не препятствуют судоходству, легко приводятся в рабочее
положение, однако они имеют ряд недостатков. Их применение не эффективно при
сильных течениях и большом волнении, при длительном пребывании на дне они
заиливаются. Применяться могут при небольших глубинах, при увеличении глубины
резко возрастают технические сложности по их использованию.
Однозначно разграничить средства по районам
применения или по назначению невозможно, так как в сложных метеоусловиях
ликвидации разливов нефти (ЛPH) могут одновременно применяться заграждения
различного типа.
Пределом эффективного применения бонового
заграждения любого типа является наибольшее значение перпендикулярной
составляющей скорости течения относительно бонов (0.5 -1.5 уз). При увеличении
скорости наблюдается утечка нефти под боны. Там скапливается толстый слой
нефтепродуктов, который испытывает гидродинамическое воздействие движущейся
воды. В нижней части бона повышается турбулентность потока, что приводит к
дроблению (эмульгированию) слоя нефтепродуктов, частичному их отрыву и переносу
через заграждение.
Интенсивность турбулентности на любой
поверхности бонов возрастает из-за неровности поверхности загрязнения. Короткая
и крутая волна также увеличивает турбулентность потока.
.3.3 Прием, хранение, сдача, утилизация
собранной нефти. Методы ликвидации разливов
Нефть (нефтеводяная смесь), собранная с
поверхности воды судами - нефтесборщиками, должна перекачиваться на танкера,
баржи и сборщики льяльных вод с последующей сдачей на очистные станции или
нефтебазы.
При сборе вблизи берега вязких отходов,
смешанных с водорослями, мелким мусором, следует предусматривать их сдачу на
судно технического флота. Разгрузку этих отходов следует производить с помощью
вакуумных автомашин, грейферов.
Собранная нефть утилизируется на очистных
сооружениях, а замазученный мусор сдается на договорной основе
специализированным организациям.
Способы ликвидации разливов нефти:
Механические методы
Разновидности конструкций плавсредств в
зависимости от способа передвижения или крепления, все нефтесборные устройства
делятся на:
- самоходные;
- устанавливаемые стационарно;
- буксируемые;
- переносные;
- навесные.
Существуют различные способы ликвидации
аварийных разливов нефти, в основе которых заложены разнообразные физические
явления. Для улавливания нефти и нефтепродуктов в настоящее время создано и
работает много устройств и аппаратов. По используемому принципу действия все
они могут быть объединены в следующие группы:
o адгезионные - работающие на свойстве
нефти прилипать к погруженным в нее поверхностям;
o абсорбционные - работающие на
свойстве некоторых материалов хорошо впитывать нефть и пропускать воду;
o аппараты, работающие на принципе
скоростного напора;
o устройства, работающие на принципе
водослива - слив поверхностного загрязненного слоя в приёмный танк за счет
разности уровня в танке и вне его.
Устройства, работающие на принципе адгезии,
выполняются обычно в виде барабанов или транспортеров, покрытых составом,
повышающим сцепление нефтепродуктов с поверхностью устройства. Устройство
погружается в воду на 10-50 см. Нефть налипает на поверхность устройства и
затем скребком соскабливается в сборную емкость, откуда, перекачивается в танки
судна. Скорость вращения барабанов регулируется в зависимости от вязкости
нефтяного загрязнения.
Устройства, работающие на принципе абсорбции,
основаны на свойстве некоторых материалов, впитывать нефть и пропускать воду.
Нефть впитывается в материал движущейся ленты и затем отжимается в
накопительный танк.
Принцип работы аппаратов скоростного напора
состоит в том, что поток воды с плавающей нефтью попадает в специальный
раструб, где приводится во вращение и разделяется под действием центробежных
сил. Нефть отбирается от одной части, а оставшаяся вода выбрасывается обратно.
К недостаткам способа относятся высокая чувствительность к замусоренной нефти,
большой толщине слоя нефти, малая ширина захвата (1.5- 2 м) и, как следствие,
невысокая производительность. Эти устройства не могут работать совместно с
бонами, так как скорость траления не может быть менее 4 узлов.
Устройства, работающие на принципе порогового
водослива, работают за счет слива обусловленного разницей уровня забортной воды
и уровнем в приемном отсеке, обеспечиваемой насосами. Здесь могут быть варианты
с поплавковыми устройствами, с "вихревой воронкой", с приемными
ваннами.
Поплавковые устройства являются выносными и
неудобны для сбора с больших площадей. К тому же они очень чувствительны к
волнению, толщине пленки и состоянию замусоренности.
Приемные ванны - способ очистки акватории путем
захвата всего загрязненного слоя жидкости, включая нефтепродукты и мусор,
позволяет за один проход забирать с поверхности воды все плавающие загрязнения.
Главные преимущества способа - универсальность, относительная простота,
надежность конструкции, возможность сбора любых загрязнений (от пленки до
сгустков нефти и мусора), возможность работать как на ходу, так и на стоянке.
Применение диспергентов.
Диспергенты - средство активации естественного рассеивания нефти с целью
удаления её с поверхности воды до того, как она достигнет берега.
Диспергенты можно подразделить на два основных
типа в зависимости от основного растворителя, использованного в их составе:
- на основе углеводородного
растворителя (используемые в первую очередь для обработки вязкой тяжелой
нефти), разбавлять водой нежелательно из-за снижения эффективности;
- на основе других растворителей
(воды, гликолей, спиртов) можно разбавлять водой в ходе применения.
Преимущества применения диспергаторов:
o действуют при любых условиях погоды
и состояния моря,
o самый быстрый способ борьбы с
нефтяным пятном,
o ускоряют биоразложение, так как
увеличивается площадь поверхностной нефти, которая может быть подвергнута
воздействию бактерий,
o диспергирование плавающей нефти
сводит до минимума загрязнение нефтью морских птиц и млекопитающих,
o дисперсия имеет тенденцию тормозить
фотоокисление нефти до образования токсичных перекисей и кислот,
o дисперсия снижает опасность
возгорания при наличии летучих углеводородов,
o немедленное применение диспергентов
уменьшает возможность образования «шоколадного мусса»,
o диспергирование плавающей нефти в
море значительно уменьшает загрязнение побережья,
o по сравнению со сбором нефти
диспергирование дешевле.
Применение диспергентов имеет ряд отрицательных
моментов:
o возможное негативное влияние на
моллюсков и рыбу, способствуют увеличению проникновения нефти в песок и
повышению мутности воды.
Несмотря на то, что технология диспергирования
является важным элементом ЛPH, ее применение ограниченно определенными типами
нефти и образованием водонефтяной эмульсии.
Применение сорбентов.
Сорбенты действуют посредством абсорбирования (впитывания) или адсорбтрования
(налипание) нефти, плавающей на поверхности воды. Вследствие очень малой
плотности сорбенты продолжают плавать даже тогда, когда они пропитаны нефтью.
Применение сорбентов является одним из наиболее
эффективных способов фиксации и удаления тонких нефтяных пленок.
В настоящее время в мире для ликвидации разливов
нефти предлагается более двух сотен различных сорбентов, которые подразделяют
на: неорганические, природные органические и органоминеральные, а также
синтетические. Качество сорбентов определяется, главным образом, их емкостью по
отношению к нефти, степенью гидрофобности (не намокаемости в воде), плавучестью
после сорбции нефти, возможностью десорбции нефти и регенерации или утилизации
отработанного сорбента. Применение сорбентов хорошо сочетается с механическими
методами сбора нефти. При этом механические методы могут применяться как до,
так и после применения сорбентов, фиксирующих нефть и предотвращающих
образование эмульсий.
Наиболее распространенные и дешевые
неорганические сорбенты имеют очень низкую емкость и тонут вместе с нефтью,
практически не очищая воду от загрязнения. Высокоэффективные синтетические
сорбенты очень дороги, не выдерживают низких температур и не предназначены для
удаления тонких пленок нефти. Природные органические и неорганические сорбенты
являются наиболее перспективным видом сорбентов. Чаще применяют древесную щепу
и опилки, модифицированный торф, высушенные отходы зернопродуктов, шерсть, макулатуру.
Освоено промышленное производство гидрофобных
нефтяных сорбентов. Сорбент производится из экологически чистого торфа моховой
группы, обладает высокой морозостойкостью. Основными достоинствами этих
природных сорбентов является экологическая чистота, широкая сырьевая база,
высокая гидрофобность и нефтеемкость при сравнительно низкой стоимости.
Образуемый с нефтью конгломерат легко извлекается скиммерами, плавучими
насосами и вакуумными системами. Технология утилизации сорбентов имеет
различные модификации: используют фильтрпрессы или отжимные валки, при этом из
нефтенасыщенного сорбента можно извлекать до 50-70% поглощенной нефти и затем
повторно использовать сорбент. Отработанный сорбент можно использовать как
высококалорийное топливо.
Основными ограничениями при применении сорбентов
являются:
. трудности, встречающиеся при сборе
сорбентов на море (ветер и течения могут рассеять нефтесодержащие материалы на
большой площади),
. необходимость сжигания нефтесодержащего
материала (что не всегда легко осуществить на месте разлива),
. вязкость сырой (или выветрившейся)
нефти,
. высокая стоимость эффективных
сорбентов.
По этим причинам сорбенты часто не применяются
или их использование ограничивается небольшими разливами в защищенных
акваториях или сбором нефти в труднодоступных пространствах (например, под
пирсами, в доках и т.п.).
Химические собиратели нефти.
Существуют химические препараты, которые при нанесении их на поверхность воды
образуют мономолекулярную пленку. Если эту пленку расположить вокруг нефтяного
пятна, то силы поверхностного натяжения на поверхностях раздела нефть-воздух и
нефть-вода изменяются таким образом, что силы сцепления в слое нефти превышают
силы, вызывающие её растекание, т.е. в результате роста сил поверхностного
натяжения пленка нефти как бы стягивается и толщина ее соответственно
увеличивается. Такие препараты принято называть «собирателями нефти» (СН).
Пятно нефти только стягивается, его центр
тяжести не перемещается под действием химического препарата. При этом центр
тяжести, а следовательно, и само пятно нефти, будет продолжать двигаться под
действием ветра и течения. СН применяются для предотвращения растекания нефти и
для уменьшения площади разлива, чтобы сделать возможным сбор нефти, а также в
качестве дополнения к системе отводящих бонов в прибрежной зоне с целью
облегчения последующей очистки загрязненного берега.
Но СН почти бесполезны в открытом море или когда
пятно нефти имеет большую толщину (более 4мм). На защищенных акваториях СН
могут найти ограниченное применение в портах, доках и гаванях в качестве
заменителя бонов. Кроме того, характеристики нефтесборного оборудования
адсорбирующего типа значительно ухудшаться, если этими препаратами будут
загрязнены адсорбирующие поверхности, так как нефть после этого не будет на них
налипать.
Сжигание нефти (инсенерация).
Мощный по толщине слив свежеразлитой сырой нефти будет сгорать полностью, но,
если он растекается, более летучие и легковоспламеняющиеся компоненты быстро
теряются. Большая теплоемкость находящейся снизу воды препятствует установлению
достаточно высокой температуры, чтобы поддерживать горение нефти.
Компания «British Petroleum» рекомендует
применять заграждающие боны с конструкцией печи, также плавающей в воде и
сжигающей нефть, удерживаемую заграждением. Пламя поддерживается системой
трубок, создающей принудительную тягу над поверхностью слива, которая из-за
нагревания нефти обеднена летучими компонентами. Таким образом, чем быстрее
сгорит слой разжиженной нефти, тем большие ее количества поступают на смену.
Среди методов очистки акваторий от нефтяных
загрязнений до недавнero времени сжигание нефти было наиболее распространенным,
однако оно не обеспечивает достаточно полного удаления нефти и наносит
значительный экологический ущерб, как водной среде, так и атмосфере. Более
того, сжигание нефти запрещено во многих особых районах, в частности в
Балтийском море (Марпол 73/78).
Биологический метод.
Вполне реальным считается и биологический метод разложения разлитой нефти, для
чего можно использовать микроорганизмы. В настоящее время изучено несколько сот
нефтеокисляющих бактерий, пригодных для практического использования.
Разработаны установки для их размножения в необходимых количествах.
Некоторые из этих способов не нашли широкого
применения. Например, попытки зажечь нефть, вылившуюся из танкера «Тори
Каньон», не привели к желаемому результату, поскольку после выгорания легких
фракций горение прекращается. Кроме того, образующиеся пары воды препятствуют
дальнейшему контакту нефти с воздухом. Для поддержания горения разрабатываются
химические вещества, создающие на поверхности нефтяного пятна пенообразный
слой, благодаря чему частицы нефти поднимаются вверх и вступают в контакт с
воздухом. Несмотря на эффективность такого решения (сгорает до 98% нефти),
сжигание признано малоперспективным из-за чисто технических трудностей,
связанных с необходимостью покрывать нефть сплошным ровным слоем состава, и
вследствие опасений, что процесс горения может стать неуправляемым. Осаждение
нефти на дно океана также не нашло широкого применения, поскольку трудно
определить степень загрязнения нефтепродуктами придонного слоя, что особенно
опасно в местах интенсивного рыболовства.
.4 Устройства специальные для сбора нефти и
мусора, установленные на судне-проекте
.4.1 Щеточное устройство
Щеточное устройство предназначено для сбора
нефтепродуктов всех типов, включая эмульгированные и застывшие, на любых
акваториях при следующих условиях:
- температура воздуха 0°С - +50°С,
- температура воды 0°С - +30°С.
Щеточное устройство типа Lamor LCAT-5 C/2300
монтируется стационарно между корпусами в средней части судна. (Рис. 2).
Рис. 2 Щеточное устройство типа Lamor LCAT-5
C/2300.
Специальное подъемное устройство с гидроприводом
позволяет поддерживать постоянным необходимое заглубление щеточного устройства
при изменении осадки судна, а также обеспечивает фиксацию устройства в
транспортном (поднятом) положении при переходе к району выполнения нефтесборных
работ. Производительность щеточного устройства при работах составляет около 205
м3 /час.
Мореходные качества и конструкция щеточного
устройства рассчитаны на сбор нефти и мусора при скорости 3-4 узла и волнении
до 4-х баллов.
Увеличение ширины очищаемой полосы акватории
обеспечивается специальными поворотными щитами, позволяющими увеличивать ширину
обрабатываемой зоны до 17 м. (Рис.3)
Рис.3. Судно нефтемусоросборщик с раскрытыми
поворотными щитами
В кормовой верхней части щетки располагается
специальное устройство, которое снимает со щеток собранную с поверхности воды
нефть в специальную емкость, откуда самотеком нефть стекает в судовую сборную
цистерну. Прошедшая через щетки и очищенная вода выводится за борт через
поворотный клапан при помощи гидравлического насоса Volvo F11-19 с диаметром
крыльчатки 300 мм.
Работа щеточного устройства обеспечивается
гидравлической энергией от гидростанции с приводом от главных двигателей.
Нефтесборное устройство управляется при помощи контрольного блока
(гидравлического распределительного щита с клапанами), соединенного шлангами с
устройством и источником питания. Контрольный блок обеспечивает управление
вращением щеток и бесступенчатое изменение скорости.
К основным свойствам щеточного устройства Lamor
LCAT-5 C/2300можно отнести:
. Коэффициент улавливания нефти до 98%
. Сменные щетки позволяют собирать
практически любой тип нефти.
. Сменная вставка не требует
использования инструментов и может быть заменена за минуту.
.4.2 Устройство очистки механизмов и систем
судна от нефтепродуктов
Для очистки механизмов и систем судна от
нефтепродуктов на судне предусматривается специальное устройство Lamor Diesel
Heavy Duty Pressure Cleaner очистки горячей водой под давлением. Устройство
обеспечивает подачу забортной воды с интенсивностью до 1140 л/мин, нагрев ее до
температуры 100°С и выдачу под давлением на очищаемую поверхность, и снабжается
шлангом длиной 10 м. В качестве приводного механизма используется дизельный
двигатель мощностью 12 кВт.
Хранение по-походному Lamor Diesel Heavy Duty
Pressure Cleaner предусматривается в грузовом трюме.
Очистка самого щеточного устройства
предусматривается при помощи Lamor Diesel Heavy Duty Pressure Cleaner
непосредственно в отсеках щеточного устройства. Откачка загрязненной воды
предусматривается при помощи нефтеперекачивающего насоса MSP 100 в цистерну
собранной нефти.
Грузовой кран
В носовой части судна установлен гидравлический
кран типа HIAB 035-2, выполняющий следующие операции:
· подача и уборка шлангов для
перекачки нефтесодержащих и сточных вод;
· прием мусорных контейнеров с судна и
передача пустых контейнеров на судно;
· сдача контейнеров на берег;
· прием с берега и передача на суда
различного снабжения в ящиках и контейнерах;
· другие различные операции.
Грузоподъемность крана составляет 0,78т при
вылете 4,7м.
На судне предусматривается возможность перевозки
нефтесодержащих вод других судов. Транспортировка загрязненных судовых вод
осуществляется в сборной цистерне.
Выдача из цистерны собранной нефти и льяльных
вод на береговые сооружения или суда-сборщики производится отдельным,
расположенным в цистерне собранной нефти, погружным нефтеперекачивающим насосом
Foilex TDS 200 через патрубок выдачи.
Нефтеперекачивающий насос Foilex TDS
200.
Винтовой насос приводится в действие встроенным
гидромотором. Насос выполнен в виде винта с двумя вращающимися дисками,
уплотняющими винт, что обеспечивает перекачку очень вязких жидкостей. Рабочий
объем насоса составляет 1,9 л, производительность - до 65 м3 /ч.
Для обеспечения механизмов и оборудования
гидравлической энергией на судне предусматривается система гидравлики. Система
обслуживает следующие потребители:
. щеточное устройство,
. кран,
. нефтеперекачивающий насос.
Система гидравлики включает в себя:
- два гидронасоса DFR 1/31R с
регулируемым объемом, установленные на фланце отбора мощности каждого из
главных двигателей,
- цистерну гидравлической жидкости
объемом около 400 л, установленную в машинном отделении и оборудованную
датчиками уровня и температуры с выводом сигналов в рулевую рубку,
- трубопроводы, соединяющие их со
всеми механизмами,
- клапаны управления.
Мощность каждого установленного гидравлического
насоса составляет около 60 кВт при рабочем давлении 28 МПа.
Управление всеми гидравлическими механизмами
предусматривается дистанционное электрическое из рулевой рубки.
Все разъемные соединения трубопроводов
располагаются в местах, доступных для осмотра и обслуживания.
Часть 3. Анализ условий аварийного разлива нефти
в Финском заливе
.1 Терминалы и трассы транспортировки нефти в
Финском заливе
Финский залив является акваторией, для которой в
случае масштабной аварии с последующим разливом нефти на десятки лет
предопределены негативные последствия. В Северо-Западной части России много
портов с нефтяными терминалами, которые оказываются очень опасными для
населения, природы и хозяйственной деятельности.
Характеристики порта Усть-Луга
Порт Усть-Луга расположен практически на границе
РФ и Европейского союза. Он органично вписывается в транспортную сеть
Северо-Западного региона, который играет важную роль в организации транзитных
перевозок грузов в рамках Европейской транспортной инфраструктуры.
В настоящее время в порту Усть-Луга
действуют одиннадцать терминалов
<#"605043.files/image024.gif">
Рис. 4. Гидрологические районы в вершине
Финского залива:- Невская губа, II - мелководный район, IIIа и IIIб -
внутренний и внешний глубоководные районы, IVк - Копорская губа, IVл - Лужская
губа.
Климатические условия
Климат района Финского залива относится к типу
умеренного с избыточным увлажнением и является промежуточным между морским и
континентальным. И хотя водные массы Невской губы и Финского залива служат
своеобразным конденсатором тепла, накапливающим его в течение лета и отдающим
зимой, но решающего влияния на климат района они не оказывают вследствие
сравнительно небольшой площади залива и малой толщи вод.
Атмосферные процессы. Общий характер
циркуляционных процессов в атмосфере над северо-восточным районом Балтийского
моря, включая Финский залив, определяется влиянием переноса воздушных масс с
Атлантического океана. В связи с этим, влияние океана на климат Балтийского
моря очень велико. Циклоны на акваторию Финского залива и водосборный бассейн
реки Невы перемещаются во все сезоны главным образом с запада, осенью и зимой
велика также повторяемость перемещения циклонов с северо-запада, а весной и
летом нередки выходы юго-западных циклонов.
Климатическая характеристика сезонов. В качестве
критерия смены сезонов года используется главным образом характеристика
термического режима воздуха. За начало и конец зимнего сезона принято считать
дату перехода средней суточной температуры воздуха через 0°С, а за конец лета -
переход через 10°С.
Зима в районе Финского залива начинается в
середине ноября и заканчивается в первой декаде апреля. В этот сезон
преобладают воздушные течения западного и южного направлений, поэтому
наибольшую повторяемость имеет умеренно теплая, влажная погода с температурами
воздуха от 0°С до -8°С. Начиная с января, в связи с усилением арктического
сезона, происходит вторжение воздушных масс с севера и северо-востока и
устанавливается холодная сухая погода с температурой воздуха -17-25°С. От
декабря к марту возрастает вероятность ясного неба, а осадков за зиму выпадает
около четверти их годовой нормы.
Весна приходится на апрель-май, и нередко в
течение весны отмечаются возвраты холодов и поздние снегопады. Осадки выпадают
реже, чем зимой, и длительность их меньше, чем в другие сезоны. Относительная
влажность весной - наименьшая в году.
Лето - умеренно теплое и длится с начала июня до
середины сентября. Преобладающие западные потоки приносят влажные массы
воздуха. Более редкие юго-восточные переносы обуславливают жаркую погоду.
Осадков летом выпадает больше, чем в другие сезоны, и в основном они носят
ливневый характер.
Осень наступает около середины сентября и
сопровождается общим ухудшением погоды: понижением температуры воздуха,
повышением облачности и увеличением выпадающих осадков. Продолжительность
выпадения осадков в октябре и ноябре по сравнению с летом увеличивается в 2-3
раза, но они являются большей частью обложными, поэтому месячная сумма осадков
меньше, чем летом.
В связи с частой сменой воздушных масс
различного происхождения над районом Финского залива в отдельные сезоны могут
наблюдаться существенные отклонения некоторых характеристик от средних величин.
Атмосферные осадки. Район Финского залива
относится к зоне избыточного увлажнения. В течение года осадки выпадают
неравномерно: 70% приходится на теплый период и 30% - на холодный. Северное
побережье Финского залива и особенно его северо-восточные области относятся к
наиболее важным районам, тогда как центральная часть залива и его южное побережье
получают меньшее количество осадков.
Годовые суммы осадков в Финском заливе могут
изменяться в широком диапазоне от 335мм до 988мм. Такие большие различия
обусловлены в первую очередь изменчивостью атмосферной циркуляции. Наибольшие
значения годовых сумм осадков отмечаются в районах, прилегающих к
северо-восточной части залива, а наименьшие - в районе о. Мощный.
Температура и соленость воды
К основным физическим характеристикам морской
воды относится ее температура, соленость и плотность. Важнейшие химические
свойства воды характеризуются содержанием в ней растворенных газов (кислорода,
углекислого газа и др.) и биогенных веществ (соединений фосфора, азота,
кремния), которые определяют уровень продуктивности вод. Качество вод в
значительной степени нередко определяют также содержащие в воде загрязняющие
вещества, поступающие с территории водосбора.
Температура воды на поверхности восточной части
Финского залива в течение года изменяется, в целом следуя за температурой
воздуха. С января по март практически вся поверхность Финского залива покрыта
льдом, а температура воды под ним сохраняет значения, близкие к температуре
замерзания, т.е. около 0°С. Прогрев поверхностных вод начинается в апреле,
одновременно с началом очищения от ледяного покрова, и продолжается до июля -
начала августа, когда температура на поверхности достигает максимальных
значений (в среднем 18-20°С в открытой части залива и на 1-2°С выше у берегов).
В жаркое лето температура воды на поверхности, особенно в мелководных районах,
может достигать 24-26°С. При ветреной погоде, особенно во время штормов,
поверхностная вода перемешивается с холодными нижележащими слоями. Толщина
перемешанного слоя сильно меняется и может составлять от 2-4 до 15-20 метров. В
тоже время, на глубине, ниже слоя перемешивания, вода остается гораздо более
холодной в течение всего лета. При переходе от верхнего перемешанного слоя к
глубинной воде температура, как правило, очень резко понижается в пределах
сравнительно тонкого переходного слоя, который называют «слоем скачка».
Придонные и глубинные воды время от времени подпитываются затоками из более
глубоких районов открытой части Финского залива. Поэтому вблизи дна (на глубине
20м и более) вода в течение всего лета может сохранять температуру всего около
2-3°С, а иногда даже ниже.
В конце августа - начале сентября начинается
охлаждение поверхностных вод, которые становятся плотнее и опускаются вниз,
приводя к перемешиванию и выравниванию всех свойств по вертикали. К концу
октября - началу ноября вертикальное распределение температуры в прибрежной
полосе с глубинами до 15-23м становится практически однородным и остается таким
при дальнейшем охлаждении, в том числе и после замерзания, вплоть до конца
марта и начала очищения залива ото льда.
К очень редким изменениям поверхностной
температуры может приводить апвеллинг - подъем глубинных вод на поверхность. В
июле 1997г. вследствие сложившейся гидрометеорологической ситуации большая
часть акватории восточной части Финского залива оказалась в зоне апвеллинга.
При этом распространение холодных глубинных вод происходило в восточном
направлении вдоль южного берега залива. В зоне влияния водных масс оказались
Копорская и Лужская губы, прилегающие к ним участки глубоководного района
(южнее островов Мощный и Сескар), а также часть мелководного района. В разгар
лета при очень жаркой погоде температура воды на поверхности в районе
апвеллинга была сильно понижена. При этом в районе Лужской губы, температура
воды в поверхностном горизонте составляла 4-7°С, в то время в северной части залива
достигала 21-24°С. В зоне апвеллинга, температура и соленость воды по вертикали
распределялись относительно равномерно, наблюдалось ослабление или полное
отсутствие стратификации.
По сравнению с Мировым океаном, соленость
которого приблизительно 35‰, Балтийское море в целом сильно распреснено: его
соленость в открытой части составляет в среднем 6-8‰ на поверхности и 12-13‰ у
дна. В заливах, в том числе и в Финском, соленость еще меньше. Невская губа
из-за мощного влияния стока р. Невы является исключительно пресноводной,
(табл.1.2.) Далее в западном направлении соленость в заливе постепенно растет,
достигая в глубоководном районе 2,5-5,8‰ на поверхности и 4-8,5‰ в придонных
слоях. Таким образом, соленость обычно увеличивается с глубиной, причем наиболее
резкое увеличение происходит на нижней границе перемешанного верхнего слоя,
т.е. в слое скачка температуры. При апвеллинге подъем глубинных вод на
поверхность приводит, наряду с понижением температуры, к повышению солености
воды в поверхностных горизонтах. Так, при мощном апвеллинге в 1997г. соленость
на поверхности в Лужской губе достигала 5‰.
Уровень моря
Финский залив практически свободно сообщается с
Балтийским морем, уровненный режим которого формируется в результате
взаимодействия различных факторов: атмосферных процессов, водообмена с Северным
морем, влиянием пресного стока, за счет осадков, испарения, процессов
ледообразования и ледотаяния и т.д.
Приливы в Финском заливе, как и во всей Балтике,
хорошо изучены, их характер неправильный суточный и полусуточный, амплитуда
приливных колебаний невелика - не более 1-12 см.
Наибольшие колебания уровня в Финском заливе
связаны со штормовыми нагонами, обусловленными прохождением циклонов над
акваторией Балтики. Преимущественное движение циклонов с запада на восток,
постепенное уменьшение глубин в восточной части залива и его резкое сужение к
устью Невы делают район Невской губы опасным с точки зрения наводнений.
Наводнения с подъемом уровня выше 160 см над ординаром (средний многолетний
уровень поста в районе Горного института - в Санкт-Петербурге) сопровождается
штормовым предупреждением.
Течения
Течения в восточной части Финского залива
формируются под влиянием таких факторов, как речной сток, атмосферные процессы,
водообмен с Балтийским морем и морфометрические особенности залива. Все эти
процессы очень изменчивы, и поэтому фактическая картина течений тоже сильно
меняется как во времени, так и в пространстве. Тем не менее, речной сток и
разность плотности соленых и пресных вод являются более или менее постоянными.
Поэтому можно говорить о некоторой средней картине циркуляции вод в Финском
заливе, включая и его восточную часть. Так в районах I и II, где преобладает
влияние стока Невы, течения на севере в среднем направлены на запад, а на юге -
на восток. Во внутренней части Копорской и Лужской губ средняя картина течений
в основном определяется местным стоком рек Луга, Коваши, Систа и др., воды
которых, при впадении в море, отклоняются вправо. Однако фактические течения в
каждый момент времени, например, при сильном ветре, могут сильно отличаться от
средних, по направлению, и значительно превосходить их по скорости.
Ветры, туманы
Ветры. В большей части описываемого района в
течение почти всего года преобладают ветры с юга, юго-запада и запада
(суммарная повторяемость до 60%). Из ветров других направлений с
сентября-октября по март-апрель часто отмечаются ветры с северо-востока
(повторяемость до 25%), а с мая по август увеличивается повторяемость ветров с
северо-запада и запада (до 25% каждого). Средняя месячная скорость ветра 3-4
м/с, причем, осенью и зимой она больше, чем, весной и летом.
Туманы. Число дней с туманом колеблется от 30 до
75 за год. Чаще всего туманы наблюдаются с сентября - октября по апрель - май,
когда среднее месячное число дней с ними в основном 4-7, местами оно
увеличивается до 10. В остальное месяцы число дней с туманом не превышает 3 за
месяц.
Волнение
В описываемом районе в течение всего года
преобладают волны высотой менее 2 м (повторяемость 70-100%). Повторяемость волн
высотой 2-6 м с апреля по июль-август составляет 3-12%, а с сентября по март
10-30%, Волны высотой 6 м и более отмечаются крайне редко; повторяемость их не
превышает 1%.
Рельеф дна и грунт
Финский залив мелководен. Дно его усеяно банками
различной величины. Особенно неровное дно вблизи северного берега залива в
районе финских шхер. У южного берега залива дно значительно ровнее. Банок здесь
меньше, изобаты проходят в основном параллельно береговой линии. В средней
части Финского залива грунт - ил, вдоль северного берега залива чаще всего
встречаются песчаный ил или камень, местами изгарь. В бухтах, вдающихся в
северный берег залива, грунт преимущественно глина. В бухтах, вдающихся в южный
берег залива, на больших глубинах грунт - ил, а на отмелых участках - песок. В
западной части залива у его южного берега довольно часто встречается глина.
. Ледовый режим.
Ледовый режим Финского залива определяется его
географическим положением, климатическими условиями, глубиной, интенсивностью
водообмена с Балтийским морем, сильным распреснением залива под влиянием
речного стока.
Вследствие постепенного уменьшения глубины и
солености вод с запада на восток суровость ледовых условий в заливе быстро
возрастает в этом направлении. В конце ноября - начале декабря лед появляется в
вершине залива, в начале января - в центральной его части и лишь в конце января
- начале февраля в прибрежных районах западной части залива. В суровые зимы в
восточной части залива толщина льда достигает 7-80 см, в западной части обычно
не превышает 40-50 см. В суровые зимы около 30% площади Финского залива
покрывается торосами с высотой надводной части до 2-3 м. Очищение ото льда в
западной части залива происходит в первой половине апреля, в восточной - в
начале мая.
.5 Характеристика условий работы
проектируемого судна
В Финском заливе расположено много портов,
наибольшими являются порты в Санкт-Петербурге, Приморске, Выборге, Высоцке,
Усть-Луге. Эти порты доступны для различных судов, хорошо механизированы, имеют
оборудованные гавани.
На карте обозначены основные фарватеры к
названным выше портам:
Рис. 5 - Карта Финского залива с основными
фарватерами.
──── Основные фарватеры
движения судов.
Места наиболее вероятного разлива нефти.
Выполненный анализ показывает, что проектируемый
нефтемусоросборщик предназначен для выделенных районов наиболее вероятных
разливов нефти. Период работы начинается с конца марта - начала апреля и
продолжается до ноября. В это время температура воды составляет:
Таблица 8 - Температура воды
|
Месяцы
|
Март
|
Апрель
|
Май
|
Июнь
|
Июль
|
Август
|
Сентябрь
|
Октябрь
|
Ноябрь
|
|
Абсолютный
максимум, °C
<#"605043.files/image026.gif">
В связи с заменой силового агрегата
и, учитывая заданное значения экономической скорости хода, можно рассчитать вес
топлива, требуемого для движения на расстояние, равное заданной дальности
плавания экономическим ходом:
,
где т/кВт*ч - удельный расход топлива в
экономичном режиме, -
коэффициент морского запаса, уз, =350 миль - дальность плавания, -
адмиралтейский коэффициент, соответствующий экономическому режиму.
Запас смазочного масла
,
следовательно, окончательная масса
раздела нагрузки «топливо, масло, вода»
.
Уравнение масс будет иметь вид:
Адмиралтейский коэффициент и вычисляется
по прототипу:
;
Вычисление измерителей:
1.Корпус:
.Судовые устройства:
.Судовые системы:
4. Энергетическая установка:
.Электрооборудование:
. Запасные части:
. Вооружение:
.Запас водоизмещения:
.
9. Постоянные жидкие грузы:
. Снабжение:
11. Провизия, экипаж, питьевая вода:
,
где - масса экипажа с багажом, водой и
продовольствием; - расходные
материалы и расходные жидкие среды. Входящие в массы принимаются такими же, как
для прототипа: масса одного человека - 100 кг, запас провизии - 4 кг/сут.чел.,
запас воды - 50 л/сут.
т;
т;
т.
. Груз:
Грузоподъемность судна увеличилась,
в связи с установкой нового оборудования (щеточная система Lamor LCAT-5 C/2300
+ компрессорная установка и грузовой кран HIAB 035-2), весом 10 т:
т.
13. Топливо, вода, масло:
. Жидкий балласт:
Подставляя значение измерителей, уравнение
нагрузки примет вид:
.
Далее решаем его путем последовательных
приближений:
|
940
|
943,0301
|
|
942
|
944,7939
|
|
944
|
946,5574
|
|
946
|
948,3207
|
|
948
|
950,0838
|
|
950
|
951,8467
|
|
952
|
953,6094
|
|
954
|
955,3718
|
|
956
|
957,1341
|
|
958
|
958,8962
|
|
960
|
960,658
|
|
962
|
|
964
|
964,1811
|
|
966
|
965,9424
|
|
968
|
967,7034
|
|
970
|
969,4643
|
|
972
|
971,2249
|
|
974
|
972,9853
|
|
976
|
974,7456
|
|
978
|
976,5056
|
|
980
|
978,2654
|
Рис.6 - Метод последовательных приближений.
В результате решения получаем:
Мощность ЭУ в первом приближении
кВт.
Нагрузка в первом приближении:
т;
т;
т;
т;
т;
т;
т;
т;
т;
т;
т;
т.
т;
. Определение главных размеров в
первом приближении.
Относительная длина судна
рассчитывается по формуле:
где - полное водоизмещение
судна-прототипа, рассчитываемое по формуле:
,
Где , , - главные размеры судна-прототипа,
В0 = 2,94 м - ширина
судна-прототипа;
Т0 = 3,1 м - осадка судна
прототипа;
δ1 = 0,59 -
коэффициент общей полноты судна-прототипа;
ρ = 1,025 т/м3 - удельная
масса морской воды;0 = 46,2 м - длина по KBЛ судна-прототипа;
Подставляя все значения, получаем:
.
Относительная длина судна получается
равной:
.
Длину в первом приближении
рассчитаем по формуле:
.
где Квч =1,02 - коэффициент выступающих частей;
Осадка судна определяется:
м.
Ширина судна (одного корпуса):
;
Высота борта:
.
Таким образом, в первом приближении принимаем:1=964
т, H1=5,63 м,1=56,53 м, T1=3,78 м,1=11,6
м, δ=0,59.к1
=
3,51 м, N1=1279кВт
. Расчёт мощности во втором приближении.
Мощность энергетической установки,
обеспечивающая судну заданную скорость, во втором приближении вычисляется по
формуле
,
где - эксплуатационное сопротивление
движению ( -
буксировочное сопротивление на тихой воде (см. рис. 3)), - расчётная
скорость судна в м/с, - КПД
гребного винта.
4.3 Расчет ходкости на чистой воде
Для расчета полного сопротивления  всего судна необходимо учесть
коэффициенты, учитывающие особенности двухкорпусного судна, а также знать
площадь смоченной поверхности Ω, которая вычисляется по формуле С.П.
Мурагина:
=430,52 м2.
Число Фруда:
=0,35
Так как у нас судно- катамаран, то необходимо
учесть коэффициенты - ζост,
ζф, Кф L/В,
Кф δ,
Кф В/Т, Кволн L/В, Кволн δ,
Кволн В/Т, которые служат для учета влияния одного корпуса на
другой. [В. А. Дубровский, 1975]
Коэффициент остаточного сопротивления одного
корпуса:
ζост/Fr =
2*Rl / ρv2 Ω,
принимаем равным 1,72*103
Коэффициент сопротивления формы одного корпуса:
ζф=ζост|Fr=0,15=0,5*
103
Коэффициент волнового сопротивления одного
корпуса:
ζволн=
ζост - ζф
= 1,22 *103
Коэффициент влияния клиренса и отношения L/B1 на
вязкостное сопротивление:
Кф L/В=Кф δ
(L/B1,2b)=1,3
Коэффициент влияния клиренса и коэффициента
общей полноты на вязкостное сопротивление:
Кф δ
=Кф
δ (δ,2b)=0,92
Коэффициент влияния отношения B1/T на вязкостное
сопротивление:
Кф В/Т = Кф В/Т (В1/Т, 2b)
=0,7
Коэффициент влияния клиренса на вязкостное
сопротивление:
Кф = Кф L/В Кф δ
Кф
В/Т =0,85
Коэффициент сопротивления формы корпуса в
составе катамарана:
ζкф=
Кф ζф=
1,02
Коэффициент влияния на волновое сопротивление
клиренса и отношения L/B1:
Кволн L/В= Кволн L/В (L/Bl,2b)
=1,95
Коэффициент влияния на волновое сопротивление
клиренса и коэффициента общей полноты δ=0,59:
Кволн δ
=Кволн
δ (δ, 2b) = 0,97
Коэффициент влияния на волновое сопротивление
клиренса 2b и отношения В1/Т:
Кволн В/Т = Кволн В/Т (В1/Т,2b)=
0,55
Коэффициент влияния клиренса 2b на волновое
сопротивление:
Кволн= Кволн L/В Кволн
δ Кволн В/Т =1,04
Коэффициент волнового сопротивления корпуса в
составе катамарана:
ζк волн =
Кволн ζ волн
= 1,25
Коэффициент остаточного сопротивления корпуса в
составе катамарана:
ζк ост =ζк
волн + ζкф=2,27
Коэффициент трения эквивалентной пластины:
, =296,12
=1,06
Коэффициент полного сопротивления корпуса в
составе катамарана:
ζк=
ζк ост + ζтр+∑∆ζтр=
3,31*10-3
Тогда полное сопротивление корпуса в составе
катамарана:
Мощность корпуса в составе
катамарана:
для расчетного режима ( ), , .
Рис. 7 - Зависимость буксировочного
сопротивления и буксировочной мощности от скорости
.3.1 Выбор движителя судна
Водометные движители.
Водометные движители, как и гребные винты,
относятся к числу гидрореактивных движителей, создающих упор за счет
отбрасываемой реакции, с некоторым ускорением, массы воды. В отличие от
гребного винта, движущиеся части водомета находятся внутри корпуса судна и
надежно защищены от повреждений при встрече с подводными препятствиями, что и
определяет основное преимущество этого вида движителей.
Суда с водометами могут проходить по мелководью
с глубинами, почти равными осадке корпуса, преодолевать отдельные препятствия,
выступающие из воды. Кроме того, к преимуществам водометного движителя
относятся:
- уменьшение сопротивления воды
движению судна вследствие отсутствия выступающих частей;
- относительная простота изготовления
реверсивно-рулевого устройства;
- высокая маневренность,
обеспечиваемая реверсивно-рулевым устройством;
- значительное укорочение и упрощение
линии валопровода;
- менее шумная работа движительной
установки;
- возможность установки двигателя
горизонтально или с минимальным наклоном, что улучшает его работу и ликвидирует
потери, связанные с наклонным валопроводом.
Основной недостаток водометного движителя -
более низкий по сравнению с гребными винтами пропульсивный к. п. д., равный
0,55. Это вызвано потерями мощности на подъем струи воды выше ватерлинии и
преодоление дополнительного сопротивления в трубе водомета. Однако отсутствие
выступающих частей в значительной степени компенсирует этот недостаток, так что
в конечном итоге эффективность водомета иногда оказывается выше, чем обычного
гребного винта.
Любой водометный движитель состоит, как правило,
из насоса с валом, водометной трубы (водовода), спрямляющего аппарата
(контрпропеллера) и реверсивно-рулевого устройства. При вращении насоса на
засасывающей стороне его лопастей, как и гребного винта, возникает разрежение,
благодаря которому вода по приемной трубе (водозаборнику) поднимается к диску
насоса. Здесь, получив некоторое ускорение, вода выбрасывается через сопло,
выходное сечение которого меньше, чем диаметр трубы насоса. В силу
неразрывности потока для прохода той же массы воды через меньшее сечение за
одинаковое время скорость потока должна быть больше; таким образом, суженное
сопло увеличивает скорость выбрасываемой струи воды.
Водометы Kamewa серии FF.
Компания Петровские верфи, занимающаяся
поставкой на рынок России судового оборудования, предлагает водометные
движительные комплексы фирмы Rolls-Royce марки KaMeWa. Водометы KaMeWa отличает
высокое качество.
Широкий выбор типов и размеров позволяет
устанавливать эти водометы практически на всех видах судов. Конструктивной
особенностью водометов KaMeWa является алюминиевый корпус. Это позволяет во
много раз повысить коррозионную устойчивость и уменьшить вес движительной
установки. Водометы Kamewa серия FF рассчитаны на входную мощность 100 - 2000
кВт.
Водометы серии FF изготавливаются из прочных,
коррозионно-стойких материалов. Импеллер, вал, рулевые тяги и тяги реверса
производятся из нержавеющей стали. Точная обработка деталей и высокое качество
сборки обеспечивают высокую надежность.
Для уменьшения износа внутренняя поверхность
корпуса покрыта прорезиненным материалом, а для уменьшения веса конструкции и
оптимизации гидродинамических показателей, входной патрубок производится из
алюминия. Одноступенчатая, осевая конструкция насоса обеспечивает хорошую силу
тяги на низких оборотах. Поэтому для водометов серии FF редукторы обычно не
требуются. Все водометы серии FF могут также поставляться в качестве блоков без
рулевых компонентов.
Рисунок 8 - Водометный движитель
Данные в таблице 18 параметры могут служить
только в качестве рекомендации. Водометы могут быть установлены как на
водоизмещающие, так и на глиссирующие суда. Возможна установка одного, двух,
трех или четырех водометов на один корпус. Водометы могут быть прикреплены к
корпусу судна болтами или сваркой.
Для проектируемого судна выбран
водомет Kamewa модель FF550 (мощность 300 - 2000 кВт) с максимальными оборотами
импеллера, составляющие 1650 об/мин. - КПД гребного винта=0,55.
Тогда мощность:
кВт.
Для дальнейших расчётов примем большее значение
мощности, т. е.
кВт.
Таблица 18 - Таблица водоизмещения
|
Модель
водомета
|
Мощность
(кВт)
|
Макс,
обороты импеллера (об/мин)
|
Размеры
(мм), размер D- град
|
Вес
(кг)
|
|
|
|
А
|
В
|
С
|
D
|
Е
|
F
|
G
|
Сухой
вес
|
EW
1
|
EW
2
|
Ctrl
S
|
|
FF
550
|
300-
2000
|
1650
|
1100
|
1045
|
2400
|
90
|
460
|
1120
|
1963
|
960
|
485
|
395
|
62
|
|
FF
450S
|
200-
1000
|
2100
|
880
|
830
|
1800
|
93
|
348
|
1000
|
1400
|
500
|
235
|
175
|
40
|
|
FF
450
|
200
- 500
|
2100
|
880
|
830
|
1800
|
93
|
348
|
1000
|
1189
|
460
|
235
|
175
|
40
|
|
FF410HS
|
200-1000
|
2300
|
800
|
800
|
2250
|
93
|
345
|
1080
|
1278
|
510
|
265
|
190
|
40
|
|
FF410S
|
200
- 1000
|
2300
|
860
|
796
|
1700
|
93
|
326
|
1140
|
1396
|
470
|
245
|
160
|
40
|
|
FF410
|
200
- 600
|
2300
|
860
|
796
|
1700
|
93
|
326
|
1140
|
1239
|
420
|
245
|
160
|
40
|
|
FF
375HS
|
100
-600
|
2500
|
714
|
758
|
1700
|
93
|
330
|
1170
|
1075
|
360
|
175
|
115
|
36
|
|
FF
375S
|
100-600
|
2500
|
750
|
736
|
1300
|
93
|
308
|
1170
|
1043
|
330
|
180
|
120
|
36
|
|
FF
375
|
100
-350
|
2500
|
750
|
736
|
1300
|
93
|
308
|
1170
|
997
|
310
|
180
|
120
|
36
|
|
FF
310
|
50
- 490
|
3000
|
624
|
650
|
1215
|
93
|
290
|
1027
|
637
|
220
|
90
|
50
|
15
|
|
FF
270
|
50
- 370
|
3500
|
430
|
540
|
1070
|
93
|
230
|
875
|
561
|
130
|
50
|
25
|
15
|
|
FF
240
|
50
- 260
|
4000
|
400
|
574
|
865
|
93
|
274
|
880
|
410
|
110
|
50
|
15
|
15
|
Примечания:
1. EW1
- вес воды, заполняющей весь объем водомета;
2. EW2
- вес воды, заполняющей объем водомета в корпусе судна;
3. Ctrl
S- вес пульта управления при одиночной установке;
4. Версии
S оснащены высокопрочными упорными подшипниками; Версии HS предназначены для
высокоскоростных судов (скорость выше 50 узлов).
.4 Уточнение нагрузки и определение
водоизмещения во втором приближении
Второе приближение основано на использовании
более точных формул:
, где или
, где .
; т;
; т;
; т;
т;
; т;
; т;
; т;
т;
; т;
; т;
т;
т.
; т;
Нагрузка судна:
т,
т,
т.
В таком случае необходимо выполнить
как минимум ещё одно приближение и добиться выполнения условия:
Для того чтобы выяснить, насколько
изменилось водоизмещение катера после второго приближения, необходимо вычислить
коэффициент Норманна . Он
учитывает тот факт, что приращение нагрузки не равно приращению водоизмещения,
т. е.
.
Коэффициент Нормана:
т,
т.
Определение размеров во втором
приближении
;
м,
м,
м,
м;
м.
4.5 Уточнение нагрузки и определение
водоизмещения в третьем приближении
, или .
т; т;
т; т;
т; т;
т; т;
т; т;
т, т.
 т;
Нагрузка судна в третьем приближении
т;
т,
т;
Окончательно принимаем: т.
Далее составляем таблицу
предварительной нагрузки:
Таблица 19- Предварительная нагрузка
|
№
|
раздел
нагрузки
|
проект
|
прототип
|
|
|
Pi,
т
|
Pi/D
|
Pi,
т
|
Pi/D
|
|
1
|
корпус
|
342,8
|
0,563
|
301,40
|
0,573
|
|
2
|
устройства
судовые
|
30,03
|
0,049
|
26,40
|
0,050
|
|
3
|
системы
|
70,06
|
0,103
|
67,32
|
0,128
|
|
4
|
установка
энергетическая
|
16,78
|
0,055
|
11,80
|
0,023
|
|
5
|
электроэнергетическая
система
|
6,24
|
0,009
|
6,00
|
0,011
|
|
7
|
вооружение
|
1,35
|
0,00
|
1,30
|
0,00
|
|
9
|
запасные
части
|
3,77
|
0,006
|
3,30
|
0,006
|
|
11
|
запас
водоизмещения
|
21,66
|
0,051
|
25,10
|
0,051
|
|
12
|
постоянные
грузы
|
14,2
|
0,015
|
13,64
|
0,026
|
|
13
|
снабжение,
имущество
|
3,89
|
0,021
|
3,74
|
0,007
|
|
14
|
экипаж
|
7,3
|
0,007
|
6,00
|
0,011
|
|
15
|
груз
|
28,4
|
0,026
|
18,40
|
0,035
|
|
16
|
топливо,
масло, вода
|
23,4
|
0,024
|
3,89
|
0,007
|
|
18
|
переменные
жидкие грузы
|
39,9
|
0,071
|
37,8
|
0,072
|
|
|
Водоизмещение
полное
|
603
|
1
|
526,1
|
1
|
Окончательно принимаем:= 603 т,= 51,21 м,= 10,5
м,K=3,19 м,= 4,79 м,= 3,22 м,
δ = 0,59.
.6 Краткое описание судна
Специализированное судно предназначено для сбора
с поверхности воды нефтепродуктов с последующей их транспортировкой к пунктам
выгрузки на берег.
Нефтесборщик рассчитан на механизированный сбор
нефтепродуктов любой вязкости, плавающих на поверхности воды и топочного
мазута.
Район и условия плавания.
Район плавания в открытой части Финского залива,
при волнении моря не более 4 баллов и силе ветра не более 5 баллов, с удалением
от места убежища до 150 миль при указанных выше условиях погоды.
Тип и класс судна.
Нефтесборщик является самоходным катамараном с
малой осадкой, с машинным отделением и рубкой, расположенными в кормовой части,
с дизельной энергетической установкой и движителями, с упрощёнными обводами.
Поперечная прочность судна обеспечивается мостами, соединяющими части
катамарана.
Автономность плавания по запасам топлива и воды
составит 8 суток.
Главный двигатель - два дизель - генератора
Caterpillar 3412 С весом 4327 кг каждый, один вспомогательный дизель-генератор
Caterpillar 3056 весом 1192 кг. Скорость регулируется работой двигателя и
величиной открытия реверсивных заслонок.
Максимальная скорость судна в тихую погоду на
спокойной воде около 16 узлов. Скорость при сборе нефтепродуктов и мусора - 3-4
узла.
Все операции по сбору нефти и мусора
осуществляются экипажем из 6- х человек.
Большая часть устройств имеет гидравлический
привод и управление.
Противопожарные системы и конструктивные
особенности нефтесборщика допускают сбор разлитой сырой нефти. Мореходные
качества и конструкция приемного устройства рассчитаны на сбор нефти при волне
до 4-х баллов.
Нефтесборщик снабжен специальными поворотными
щитами, позволяющими увеличивать ширину обрабатываемой зоны до 17 м.
Надежность.
Установленные механизмы и оборудование, а также
примененные материалы отвечают техническим условиям на их поставку,
утвержденным в установленном порядке, а также чертежам.
Конструкция корпуса, механизмов и оборудования,
их изготовление и монтаж обеспечивают надежное использование судна в заданных
условиях его эксплуатации.
Предотвращение загрязнения
окружающей среды.
Конструкции корпуса, механизмов, оборудования и
систем судна удовлетворяют требованиям «Правил по экологической безопасности
судов внутреннего и смешанного плавания». Для исключения попадания собранных
нефтепродуктов в воду при аварийных повреждениях корпуса судна в районе сборной
цистерны предусматриваются двойные борта и двойное дно.
Для предотвращения загрязнения окружающей среды
льяльными водами на судне предусматривается система нефтесодержащих трюмных вод
и сборной цистерной емкостью около 0,25 м3 и выдачей загрязненных
вод на берег или судно-сборщик при помощи штатного насоса.
Для предотвращения загрязнения окружающей среды
сточными водами на судне предусматривается сточная система со сборной цистерной
емкостью около 0,8 м3 и выдачей загрязненных вод на берег или судно
- сборщик при помощи штатного фекального насоса.
Для предотвращения загрязнения акватории бытовым
мусором на судне предусматриваются мусорные контейнеры емкостью около 0,03 м3.
.7 Судовые устройства
. Якорное устройство.
На судне предусматривается установка двух
становых якорей Матросова с якорными цепями по 40 м калибра 11 мм без распорок.
Спуск и подъем становых якорей осуществляется с
помощью якорно-швартовного брашпиля типа STEEN 28 с ручным приводом и рабочей
нагрузкой 400 кгс.
Хранение якорей "по-походному"
предусматривается в бортовых шлюзax; якорных цепей - в цепных ящиках.
. Швартовное устройство.
Швартовное устройство состоит из 10 швартовных
кнехтов, установленных побортно.
Судно снабжается тремя полипропиленовыми
швартовными канатами диаметром 26 мм трехпрядными тросовой свивки по 30 м
каждый.
Для предохранения повреждения судна при
швартовках по периметру палубы предусматривается деревянный привальный брус.
. Устройства специального назначения.
Для выполнения работ, предусмотренных
назначением судна, устанавливается следующее оборудование:
o Реактивные реверсивные заслонки.
На нефтесборщике установлены 2 реактивные
реверсивные заслонки, обеспечивающие изменение направления движения судна, без
изменения направления вращения гребного винта за счет силы, возникающей при
изменении направления струи от водометного движителя поворотными заслонками.
Заслонка предназначена для изменения места
забора воды на гребной винт. Открывается заслонка только на период перехода
судна, а при сборе нефти она закрыта.
При движении судна вперед реверсивные заслонки
повернуты таким образом, что их передние кромки прилегают к наружной обшивке, а
кормовые кромки не препятствуют свободному выходу струи из насадки.
Судно, оборудованное реверсивно-рулевым
устройством данного типа, имеет возможность стоять на месте при работающем
движителе и разворачиваться на месте.
o Направляющие щиты со створками.
Направляющие щиты со створками предназначены для
впуска поверхностного слоя воды с плавающей нефтью к специальному щеточному
устройству и для увеличения ширины захвата при тралении, а створки на щитах для
работы в узкостях, когда плавание с открытыми щитами невозможно. Привод всех
специальных устройств осуществляется от гидростанции.
В снабжении судна для проведения технологических
операций предусматривается двухместная жестко-надувная мотолодка типа «Редан
250». Хранение шлюпки по-походному - на палубе между корпусами.
. Спасательные средства.
На судне предусматриваются следующие спасательные
средства:
спасательные жилеты - 6 шт., хранятся в шкафу в
тамбуре,
круги спасательные - 3 шт., один с
самозажигающимся буйком (на боковой стенке рубки) и два со спасательным линем
(на палубе побортно).
4.8 Судовые системы
. Система осушения.
Осушение машинного отделения, помещения цистерн
и грузового трюма предусматривается с помощью автономных погружных насосов
Jabsco 3550 производительностью 15 м3/ч и напоре 30 кПа.,
соединенных трубопроводами с отливными патрубками в каждом из этих отсеков.
Для осушения форпика и небольших отсеков
двойного борта и второго дна предусматривается ручной насос Gusher 30
производительностью около 220 л/мин. Насос устанавливается на верхней палубе за
грузовым люком и снабжается гибким шлангом длиной 10 метров с приемной сеткой.
Для аварийного осушения машинного отделения
устанавливается дополнительный погружной насос Jabsco 3550.
В машинном отделении устанавливается датчик с
выводом сигнала в рулевую рубку о наличии воды в помещении.
. Система вентиляции и воздушного отопления.
Приточная принудительная вентиляция предусматривается на судне в машинном
отделении и рулевой рубке. Производительность вентиляторов обеспечивает
кратность воздухообмена требуемую Санитарными Правилами.
Вытяжная принудительная вентиляция предусматривается
в помещении цистерн. Приемные отверстия каналов вентиляции располагаются вне
пожароопасных пространств.
В качестве вентиляторов машинного отделения и
помещения цистерн предусматриваются вентиляторы типа PAR производительностью
426 м3 /час во взрывозащищенном исполнении. Рулевой рубки и
дежурного помещения - вентиляторы типа ТМС производительностью около 270 м3/час.
. Системы водоснабжения.
Система снабжения пресной водой включает в себя:
одну цистерну пресной воды, выполненную из
нержавеющей стали, емкостью 400 л, расположенную под палубой в помещении
цистерн и снабженную датчиком измерения текущего уровня с выводом показаний в
рулевую рубку;
трубопровод подачи холодной пресной воды к
смесителю душа и раковины в санузле с электронасосом VOLVO PENTA WPS 650
производительностью до 660 л/час при напоре 20 кПа, расположенным рядом с
цистерной, фильтром и пневмоцистерной объемом 8 литров;
систему подогрева пресной воды и подачи ее к
смесителю в санузле с водоподогревателем Volvo Penta QL 20L, работающим на
утилизации тепла главного двигателя от сети переменного тока 220 В и
расположенным в машинном отделении по ПрБ.
Для промывки сточной цистерны, обмыва палубы,
якорей и прочих нужд предусматривается система забортной воды. Система состоит
из электрического насоса ITT PAR Puppy производительностью до 1,5 м3
/час, устанавливаемых в помещении цистерн, и трубопровода с концевым клапаном.
Гибкий шланг длиной 12 метров с накидной гайкой на конце обеспечивает подачу
забортной воды в любую точку судна. Штатное место хранения шланга - в помещении
цистерн.
. Система сточная.
Сточная система включает в себя:
сточную цистерну из нержавеющей стали емкостью
около 800 л, расположенную в помещении цистерн и снабженную датчиком верхнего
уровня с выводом сигнала о заполнении цистерны на 80% в рулевую рубку,
трубопроводы сбора сточных вод от унитаза
санузла в сточную цистерну,
унитаз в санузле с системой обмыва забортной
водой и принудительной ручной прокачкой,
трубопровод сбора хозяйственно-бытовых вод от
душа, мойки санузла в сточную цистерну,
трубопровод выдачи сточных вод из цистерны на
сборные береговые емкости или за борт, включающий электрический насос MASERATOR
производительностью около 23 л/мин при напоре 2 м.вод.ст., расположенный в
помещении цистерн.
. Система нефтесодержащих трюмных вод.
Для предотвращения загрязнения окружающей среды
льяльными водами на судне предусматривается система нефтесодержащих трюмных вод
закрытого типа.
Система включает в себя:
сборную цистерну емкостью около 250 л,
расположенную в машинном отделении у носовой переборки по ЛБ и оборудованную
воздушной трубой, выведенной в машинное отделение,
трубопровод сбора нефтесодержащих трюмных вод из
под пайол машинного отделения, включающий в себя ручной насос Gusher 10
производительностью до 82 л/мин и установленный в МО рядом с цистерной, гибкий
шланг длиной 4 м с приемной сеткой на конце,
трубопровод выдачи льяльных вод на береговые
сооружения или судно-сборщик, включающий в себя ручной насос сбора трюмных вод,
заканчивающийся на палубе фланцем международного образца.
Так как наполнение цистерны льяльных вод
предусматривается ручным насосом, установленным непосредственно на цистерне, и
воздушная труба выводится в машинное отделение, датчик верхнего уровня в
цистерне не предусматривается.
Дополнительно для накопления льяльных вод может
использоваться пространство под пайолами машинного отделения.
. Системы пожаротушения.
Система углекислотного пожаротушения.
Для тушения пожаров в машинном отделении на
судне предусматривается система углекислотного пожаротушения. Баллон емкостью
40 л давлением 15 МПа с углекислым газом устанавливается в машинном отделении у
носовой переборки, дистанционное управление пуском огнетушащего вещества
осуществляется из тамбура МО на палубе над местом установки баллона.
Защита всех других помещений осуществляется
порошковыми, пенными и углекислотными огнетушителями.
Похожие работы на - Проектирование судна-нефтесборщика для ликвидации разливов нефти в Финском заливе
|