Механізація свиноферми на 7000 голів

  • Вид работы:
    Курсовая работа (т)
  • Предмет:
    Другое
  • Язык:
    Украинский
    ,
    Формат файла:
    MS Word
    36,21 Кб
  • Опубликовано:
    2013-02-21
Вы можете узнать стоимость помощи в написании студенческой работы.
Помощь в написании работы, которую точно примут!

Механізація свиноферми на 7000 голів















Механізація свиноферми на 7000 голів

1. Технологічна частина

1.1 Вибір технології утримання тварин

Для свинарських ферм і комплексів найдоцільніший павільйонний тип забудови, коли свинарники розміщуються автономно. При такій забудові можлива організація вигулів та забезпечення природного освітлення приміщень. Технологічні розриви між свинарниками становлять 18-20 м.

Для санітарної обробки і дезінфекції приміщень свинарники розділяють суцільними перегородками на ізольовані секції. Місткість секцій визначається залежно від розміру технологічних груп, але не повинна перевищувати 60 маток у свинарниках-маточниках, 600 відлучених поросят, 1200 свиней на відгодівлі.

Залежно від виробничого напрямку і типорозміру ферми застосовують такі основні системи утримання свиней, безвигульну і вигульну.

Безвигульна система утримання поширена у великих тваринницьких підприємствах. При цій системі тварин від народження до реалізації утримують в приміщеннях з індивідуальними або груповими станками. Іноді практикують клітково-ярусне утримання. Інтенсивне ведення свинарства при цілорічному безвигульному утриманні всіх вікових і виробничих груп свиней нерідко веде до ослаблення конституції і зниження їх продуктивності. Тому для підприємств племінного напрямку, а також для кнурів-плідників, свиноматок і ремонтного молодняка промислових репродукторів доцільна вигульна система утримання.

Вигульна система ділиться на режимно-вигульну і вільно-вигульну. При режимно-вигульному утриманні тваринам надається можливість виходу з приміщень на вигульні майданчики лише в час, передбачений розпорядком дня; при вільно-вигульному тварини мають вільний доступ до місця вигулу. Вигули, як правило, розміщують уздовж стін свинарників і поділяють на окремі секції.

Норма площі вигулів для кнурів і поросних свиноматок (за 10- 15 днів до опоросу), а також підсисних маток з поросятами - 10м2 на одну голову, для свиноматок холостих і першого періоду поросності - 5 м2, ремонтного та відгодівельного молодняка - відповідно 1,5 і 0,8 м2 на 1 голову. Вигульні майданчики повинні мати суцільне тверде покриття.

Приміщення для літньо-табірного утримання будують за типом стаціонарних будівель або у вигляді пересувних споруд. На невеликих фермах взимку свиней утримують у приміщеннях, а влітку - здебільшого в таборах. За новою технологією на промислових комплексах безвигульне утримання свиней практикується цілорічне. Стадо свиней розподіляють на виробничі групи, які утримують окремо: дорослі кнури, свиноматки поросні, підсисні та холості, ремонтний молодняк (кнурці та свинки), племінний молодняк, відгодівельний молодняк та підсисні поросята.

Всі групи свиней утримують у сухих приміщеннях, де немає протягів. На великих промислових свинарських комплексах та на товарних свинофермах кнурів-плідників утримують в окремих приміщеннях, в індивідуальних або групових (по 3-5 голів) станках з обов'язковим цілорічним моціоном. Влітку при табірному утриманні їх систематично пасуть. Холостих і поросних свиноматок утримують групами по 10-12 голів у станку. В групу підбирають свиноматок, однакових за віком, живою масою, типом нервової діяльності, періодом поросності та вгодованістю. За 2-3 дні до опоросу їх переводять в окремі станки. Холос -  тих, поросних і підсисних свиноматок щоденно випускають на прогулянку. Поросят-сисунів на фермах і комплексах утримують поряд з матками в індивідуальних, а підгодовують у підгодівельних станках. Відлучених поросят залежно від віку та живої маси формують у групи по 10- 20 голів для вирощування, свинок у 3-місячному віці відокремлюють від кнурців.

У племінних господарствах влітку свиней утримують у таборах поблизу пасовищ або безпосередньо на них, недалеко від водоймищ, на сухому підвищеному місці, захищеному від вітрів і віддаленому від проїжджих шляхів. Поблизу таборів сіють пасовищні трави (переважно бобові), запроваджують зелений конвеєр.

Відгодівельне поголів'я розміщують у спеціальних приміщеннях групами по 10-15 голів (але не більше 25) у станку. Площу станка приймають із розрахунку 0,8 м2 на голову. Огородження станка висотою 1 м - суцільне. Годують тварин із групових годівниць, фронт годівлі - 0,3 м.

1.2 Механізація кормоприготування і роздавання кормів
 
1.2.1 Значення процесу та зоовимоги

Головними факторами повноцінної годівлі є: повний набір незамінних поживних речовин, своєчасне і оптимально узгоджене в кількісному відношенні надходження їх в організм тварин. Для достатньо повного задоволення потреб тварин у поживних речовинах їх раціони, згідно даних наукових досліджень, повинні бути збалансованими приблизно за 20-ти чітко нормованими показниками для великої рогатої худоби і 50-80-ти показниками для свиней та птиці. Кількість показників, що контролюються, зростає у міру підвищення рівня інтенсифікації тваринництва.

Співвідношення різних за поживністю та фізико-механічними властивостями кормових компонентів, що входять до складу раціону, характеризує тип годівлі. Вибір останнього диктується необхідністю забезпечення тварин відповідною кількістю поживних речовин та фізіологічними особливостями їх травлення. Тому слід підкреслити ще одну умову раціонального використання кормів: вони повинні бути узгодженими не тільки за кількісним, але і за якісним відношенням. Тобто корми доцільно згодовувати у такому вигляді, в якому їх поживні речовини будуть легко доступними і засвоюватимуться організмом тварин з максимальною ефективністю.

Отже, основа інтенсивного розвитку тваринництва - це повноцінна годівля, яка забезпечується виробництвом достатньої кількості кормів, зниженням втрат їх поживності при заготівлі та зберіганні, а також правильною підготовкою кормів до згодовування.

Обсяг робіт по кормоприготуванню визначають на основі того що молодняк свиней вагою 25-30 кг відгодовують на м’ясо протягом 5 місяців до ваги 100-105 кг За рік здійснюють два обороти поголів'я свиней.

Норми годівлі, раціони І обсяг робіт по приготуванню кормів для свиноферм визначають для трьох вагових груп тварин у відповідності з планом їх вагового росту (табл. 1)

 
Таблиця 1. Основні показники відгодівлі свиней

Показники

Вагові групи тварин, кг


25-37

38-67

68-100

Початкова вага 1 голови в групи, кг

25

38

68

Середньодобовий приріст, гр

400

500

550

Тривалість відгодівлі, днів

ЗО

60

60

Приріст, кг

12

ЗО

33

Кінцева вага однієї голови, кг

37

67

100

Поголів'я свиней по групам*

0,2m.

0,4m

0,4m


Таблиця 2. Середньодобові норми корму одному  підсвинку по періодах року, кг

Назва кормів

Зимовий період

Літній період


І група

група І І

група III

І група

II група

група III

Комбікорм

1 3

1 7

22

14

1 9

24

Коренеплід

25

50

50

-

-

Сінне борошно

02

04

04

-

-

-

Зелені корми

-

-

-

25

50

50


При концентратно-коренеплідному типі годівлі всі корми раціону згодовують тваринам у вигляді кормових сумішей. При цьому корми підлягають в основному механічній обробці очистці подрібненню і змішуванню. При використанні дерті грубого помелу для підвищення смакових якостей дерть запарюють. Теплову обробку застосовують також з метою знезаражування кормів.

Технологія підготовки кормів до згодовування в кожному випадку має свої особливості.

1.2.2 Вибір раціону годівлі, розрахунок потреби в кормах (разової і добової)

Визначаємо основні параметри кормоцеху свиновідгодівельної ферми з поголів'ям 7000 голів.

Визначаємо поголів'я свиней в групі. Згідно даних таблиці 1 маємо наступне поголів'я:

де m - загальне поголів'я свиней на фермі m=7000 голів

перша вікова група  m=1400 голів

друга і третя вікова група  m=2800 голів

 m3 = 2800 голів

. Визначаємо добову витрату кожного виду кормів на фермі в зимній період знаючи з таблиці 2:

норму видачі комбікорму на одну голову 1-ї групи тварин

  


кг.

норму видачі коренеплодів

  


кг.

норму сінного борошна

  


кг

Визначаємо фактичну  кормової суміші добового раціону;


де  - вологість і-го компонента раціону, %.

Для розрахунків приймаємо, що складові раціону мають наступну вологість: при розрахунку приймаємо вологість концентрованих кормів 13%, коренебульбоплодів - 80%, сінного борошна - 18%.

Wф=567,8%.

Загальний добовий обсяг роботи кормоцеху визначаємо за формулою:


де  - добовий обсяг роботи кормоцеху, кг;

 і  - задана і фактична вологість кормової суміші, %

Вологість кормової суміші, приготовленої свиням без запарювання повинна знаходитись в межах від 60 до 65%. Приймаємо  тоді,

кг.

Необхідну кількість води, для одержання кормової суміші заданої вологості визначаємо за формулою:


де  - необхідна маса води, кг.

кг

На свиновідгодівельних фермах добову норму видачі кормів розподіляють рівномірно між окремими циклами годівлі, а тому разову потребу і-го корму можна визначити за формулою:

- кратність годівлі (роздавання).

Будемо вважати, що на фермі прийнята трьохразова годівля, тобто m = 3. Тоді, потреба в кормах на фермі для однієї даванки буде становити:

комбікормів:

кг;

коренебульбоплодів:

сінного борошна:

. Визначаємо добову витрату кожного виду кормів на фермі в літній період знаючи з таблиці 2:

норму видачі комбікорму на одну голову і-ї групи тварин

  


кг.

  


кг.

Визначаємо фактичну  кормової суміші добового раціону;


де  - вологість і-го компонента раціону, %.

Для розрахунків приймаємо, що складові раціону мають наступну вологість:

при розрахунку приймаємо вологість концентрованих кормів 13%, зеленої маси - 75%.

Wф=44,8%

Загальний добовий обсяг роботи кормоцеху визначаємо за формулою:


де  - добовий обсяг роботи кормоцеху, кг;

 і  - задана і фактична вологість кормової суміші, %

Вологість кормової суміші, приготовленої свиням без запарювання повинна знаходитись в межах від 60 до 65%. Приймаємо  тоді,

 кг.

Необхідну кількість води, для одержання кормової суміші заданої вологості визначаємо за формулою:


де  - необхідна маса води, кг.

кг

На свиновідгодівельних фермах добову норму видачі кормів розподіляють рівномірно між окремими циклами годівлі, а тому разову потребу і-го корму можна визначити за формулою:

- кратність годівлі (роздавання).

Будемо вважати, що на фермі прийнята трьохразова годівля, тобто m = 3. Тоді, потреба в кормах на фермі для однієї даванки буде становити:

комбікормів:

зеленої маси:

Результати розрахунків витрат кормі заносимо в таблицю 3.

Таблиця 3. Добова потреба та розподіл кормів по видах

Види корму

Добова потреба, кг

Потреба для першої, другої та третьої годівлі по періодах року, кг

зимою

літом

зимовий

літній

Комбікорм Коренебульбоплоди Сінне борошно Зелений корм

12740 31500 2520 -

29960 - - 31500

4246,7 10500 840 -

9986,7 - - 10500


1.2.3 Вибір типового кормоцеху та комплекту його обладнання

Кормоцех - це виробничий об'єкт, що входить до складу тваринницької ферми чи комплексу, призначений для приймання, нагромадження, обробки кормової сировини та приготування і видачі кормових сумішок у потрібній кількості (відповідно до разової норми) і в чітко визначений час (безпосередньо перед годівлею за розпорядком дня ферми).

Вибір варіанту кормоцеху і склад його технологічних ліній визначаються виробничим напрямком і розмірами ферми, структурою кормових раціонів, способами підготовки до згодовування їх окремих компонентів і зоотехнічними вимогами щодо показників якості їх обробки, номенклатурою машин і обладнання, що випускаються промисловістю. При цьому кормоцех тваринницької ферми повинен задовольняти таким основним вимогам: відповідати структурі кормової бази, що склалася в господарстві; повністю забезпечувати потреби в кормах всіх тварин на фермі з урахуванням приросту їх поголів'я на перспективу; комплектуватися машинами і обладнанням, що знаходяться на промисловому виробництві, і повністю усувати ручну працю на приготуванні кормів; технологічні лінії - включати мінімальну кількість машин, простих і надійних в експлуатації; обробка кормів - не тільки виключати втрати і погіршення якості, але й сприяти їх кращому поїданню і підвищенню поживності.

Визначимо кількість технологічних ліній кормоцеху:


де  - кількість технологічних ліній кормоцеху;- кількість компонентів в раціоні;

При прийнятому нами концентратно-коренеплідному типу годівлі свиней склад раціону наступний: в зимній період року - комбікорм, коренеплоди, сінне борошно; в літній період - комбікорм і зелений корм. Отже, k = 3, а тому кількість технологічних ліній в кормоцеху буде становити:

 лінії.

Перша технологічна лінія - лінія комбікормів; друга - коренеплодів; третя - сінного борошна, і зелених кормів; четверта - лінія змішування.

1.2.4 Обґрунтування вибору типу та розрахунок необхідної кількості кормороздавачів

Об'єм бункера накопичувача комбікормів визначаємо за формулою:


де  - об'єм бункера,

Д - кількість діб, протягом яких використовують корм із бункера, приймаємо Д = 4 доби;

φ - коефіцієнт заповнення бункера (φ = 0,9…0,95);

 - об'ємна маса комбікормів ( = 0,55…0,75 т/).

Для забезпечення безперервної роботи кормоцеху необхідно мати запас комбікормів обсягом не менше добової потреби.

Приймаємо: Д = 4 доби;  = 600 кг/;  = 0,9; добову потребу комбікормів приймаємо в літній, період максимального споживання

= 12740 кг.

Тоді одержимо:

=12740*4/0,9*550=72

Приймаємо об'єм бункера для комбікормів  = 75 . Саме такий об'єм бункера має дозатор-живильник ПК-6, який, як правило, встановлюють в кормоцехах свиновідгодівельних ферм.

Визначаємо продуктивність технологічної лінії коренебульбоплодів:


де  - тривалість обробки коренеплодів, год

Приймаємо тривалість обробки коренеплодів  = 1,5 год., тоді

Визначаємо набір машин лінії коренебульбоплодів. Базовою машиною лінії коренебульбоплодів є мийка-різка. Вона виконує основні операції лінії і зумовлює її пропускну здатність. Необхідну кількість машин для миття і різки коренеплодів можна визначити за формулою:


де n - необхідна кількість машин;

 - продуктивність вибраної машини, кг/год.

Для миття і подрібнення коренеплодів можуть бути використані наступні машини ИКМ-5; ИКМ - Ф-10; ИКС-5,0М.

Приймаємо, що для виконання зазначеної операції буде використана мийкорізка ИКМ-5, її продуктивність  = 1,9 кг/с або 6800 кг/год., тоді

машин

Приймаємо одну мийку-різку ИКМ-5.

Для транспортування коренеплодів до ИКМ-5 приймаємо, що в кормоцеху встановлений транспортер ТК-5Б.

Сінне борошно готують із сіна бобових трав яке доставляють до кормоцеху кормороздавачем КТУ-10 після завантаження його машинами ФН - 1,4 ПС-Ф-5 або ПСК-5

За аналогічною технологічною схемою здійснюють також підготовку до згодовування зелених кормів

Як правило для приготування сінного борошна в кормоцехах свиновідгодівельних ферм використовують універсальну дробарку КДУ-2, а підготовку зелених кормів здійснюють на подрібнювачі «Волгарь-5». Проте остання машина подрібнює сіно до частинок розміром до 2 мм. Тому, для зменшення номенклатури машин кормоцеху приймемо, що для підготовки до згодовування як грубих, так і зелених кормів буде використаний подрібнювач «Волгарь-5».

Визначимо продуктивність технологічної лінії, при підготовці до згодовування грубих кормів:

Визначаємо продуктивність технологічної лінії, при підготовці до годування, грубих кормів:


де  - тривалість обробки грубих кормів, год

Сінне борошно можна заготовляти, оскільки воно не відноситься до кормів, що швидко готуються, а тому тривалість обробки цього виду корму можна визначити за формулою:


де  - коефіцієнт, який враховує технологічне використання машин ;

Т - тривалість робочої зміни Т = 7 год.

Приймаємо  = 0,85, тоді:

=, а = кг/год.

Визначаємо необхідну кількість подрібнювачів:


Продуктивність подрібнювача «Волгарь-5» на подрібненні сіна становить 0,3 кг/с або 1080 кг/год, тоді:

= машини.

Приймаємо один подрібнювач «Волгарь-5», а для транспортування кормів до змішувача транспортер ТС-40.

Для підготовки зеленої маси в господарстві також будем використовувати дробарку «Волгарь-5».

Визначаємо продуктивність технологічної лінії, при підготовці до годування, зеленої маси:


Продуктивність технологічної лінії підготовки зеленої маси необхідно розрахувати з врахування строків зберігання подрібненої маси. Згідно зоовимог подрібнену зелену масу допускається зберігати 0,5…1 год.

де  - тривалість обробки зеленої маси, год. Приймаємо = 0.5 год.

= кг/год.

Визначаємо необхідну кількість подрібнювачів:


Продуктивність подрібнювача «Волгарь-5» на подрібненні зеленої маси становить 3000 кг/год, тоді:

= машини.

Приймаємо один подрібнювач «Волгарь-5», а для транспортування кормів до змішувача транспортер ТС-40.

На свинофермах використовують змішувачі періодичної дії, кількість яких можна визначити за формулою:


де  - кількість змішувачів;

 - об'ємна маса кормової суміші, кг/;- місткість змішувача, ;

 - коефіцієнт використання місткості змішувача  = 0,7…0,8;

 - кількість циклів змішування.

Визначаємо об'ємну масу кормосуміші:


Комбікорм - 640 кг. коренеплоди - 12740 кг., сінне борошно - 2520 кг. і вода - 1260/3=420 кг.

Об'ємна маса складових кормо суміші становить; комбікормів =550…750 кг/, коренеплодів 700…800; сінного борошна 150…200; води 1000 кг/.

Для розрахунків приймаємо: = 550 кг/; = 745 кг/;

= 175 кг/; =1000 кг/.

=  кг/

Визначимо кількість циклів змішування:


де  - максимально допустима тривалість роботи кормоцеху при виконанні робіт по разовій годівлі, год ( =  год.);

 - тривалість циклу змішування, год.


де  - час завантаження змішувача, год;

 - тривалість змішування, год;

 - час розвантажування змішувача, год.

Тривалість завантаження і розвантаження змішувача залежить від продуктивності відповідних транспортерів:

 

де  і  - продуктивність завантажувального і розвантажувального транспортерів, /год.

Таблиця 4. Результати розрахунків потрібної кількості машин кормоцеху

Назва технологічної лінії

Продуктивність лінії Qi кг/год

Марка машини

Продуктивність машини кг/год

Кількість машин, шт.

Лінія комбікормів


Бункер накопичувач Живильник ПК-6

Лінія корене-бульбоплодів

960

ТК-5Б ИКМ-5

 6800

1 1

Лінія сінного борошна і зелених кормів

14,5 по сінному борошну

«Волгарь -5» ТС-40С

1080 по сінному борошну 40 м

1  1

Лінія змішування


МЗС-40,0М С-7 ТС-40,0М

40  40

1 1 1


Площу кормоцеху визначаємо за методом коефіцієнтів:


де  - коефіцієнт зайнятості виробничої площі машинами та обладнанням,

 = 0,3…0,4;

 - площа в плані, яку займає і-та машина, ;- кількість машин;

 - площа допоміжних приміщень, ;

 - площа сховищ для кормів, ;

При розрахунках приймаємо наступне:  = 0,4; площа кімнати відпочинку 16 ; площа душової і лабораторії відповідно 6 і 8 ; площа сховищ для кормів  = 0, тобто будемо вважати, що при кормоцеху відсутні сховища кормів.

Таблиця 5. Площа, в плані, машин та обладнання кормоцеху

Найменування машини

Кількість машин цієї марки

Розміри, в плані, м

Площа, яку займають машини, м΄



довжина

ширина


«Волгарь-5»

1

2,4

1,33

3,2

ПК - 6,0 з бункером

1

5,55

4,135

23,0

Живильник ТК-5Б

1

6,140

6,50

39,9

Транспортер коренебульбоплодів

1

7,44

0,68

5,1

ИКМ-5

1

2,2

1,36

3,0

Транспортер ТС-40,0С

1

7,44

0,680

5,1

Транспортер МЗС - 40,0

1

5,39

0,69

3,7

Змішувач С-7

1

3,9

2,62

10,2

Транспортер ТС-40,0М

6,155

0,675

4,2

Разом




97,4


2. Конструктивна частина

.1 Зоовимоги до технологічного процесу

Подрібнення - це процес руйнування перероблюваного матеріалу з метою зменшення крупності його часток (кусків) до розмірів, необхідних для ефективного використання продуктів, що при цьому одержуються.

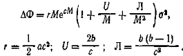
Встановлено, що технологічні показники (наприклад, вихід продукції, витрати кормів на одиницю продукції тощо) мають екстремальну залежність від крупності кормових часток:


де Ф - технологічний показник, що вивчається; М - середня крупність кормових часток (модуль), мм; а, b, с - постійні величини; е - основа натурального логарифму.

При цьому нерівномірне подрібнення кормів приносить технологічні й економічні втрати, величина яких пропорційна дисперсії σ2 фракційного складу продуктів подрібнення:


Надмірне подрібнення супроводжується збільшенням виходу пиловидної фракції при переробці сухих та виділенням соку із соковитих кормів. Це призводить до підвищення втрат продукту, його поживних речовин. Пиловидні частки, крім того, погано змочуються слиною і поїдаються тваринами; вони утворюють грудочки, що важко засвоюються організмом.

З цих позицій цілком закономірне зниження технологічної ефективності надмірно подрібнених кормів. Пил шкідливий для людей і тварин, оскільки забиває їх шляхи дихання. Зі зростанням пилоутворення знижується довговічність машин, підвищуються витрати на їх експлуатацію і удосконалення системи пилоуловлювання. Нарешті, надмірне подрібнення саме по собі завжди пов'язане з додатковими витратами енергії, праці та засобів.

Передбачені три ступені помелу: дрібний (середній розмір часток - 0,2-1,0 мм), середній (1,0-1,8) та крупний (1,8-2,6 мм).

Доведено, що готувати комбікорми для свиней необхідно з інгредієнтів дрібного помелу, а для великої рогатої худоби і птиці - середнього та крупного. Грубі корми для свиней слід переробляти на частки розміром 1-2 мм, для великої рогатої худоби - на січку довжиною 30-50 мм при роздільному згодовуванні і 10-15 мм у складі кормових сумішок. Коренебульбоплоди перед згодовуванням рекомендується подрібнювати для великої рогатої худоби на стружку товщиною 10-15 мм, а для свиней - на частки розміром 5-10 мм.

2.2 Порівняльна оцінка існуючих засобів механізації стосовно даного технологічного процесу

Машини для подрібнення грубих і соковитих кормів можна застосовувати окремо і в комплектах кормоприготувальних відділень. Вони бувають пересувні й стаціонарні з приводом від електродвигуна або трактора.

Більшість машин для подрібнення зеленої маси І грубих кормів мають живильний і різальний апарати, механізм привода і транспортні органи для подрібненої маси. Залежно від конструкції різального апарата машини поділяються на дискові і барабанні. Живильні апарати можуть бути активної (при наявності живильного транспортера) і пасивної ДІЇ (при завантаженні маси руками). У більшості машин солому і зелену масу попередньо пресують живильними вальцями чи похилими транспортерами, після чого підводять її до різального апарата. Попереднє спресовування сприяє зменшенню затрат потужності на різання і дозволяє використовувати різальний апарат невеликих розмірів.

Машини для подрібнення грубих і соковитих кормів повинні забезпечувати подрібнення соломи, сіна і зеленої маси до розміру часток: для великої рогатої худоби - 40-50 мм, коней - 30-40 і овець - 20-ЗО мм. Для приготування вологих мішанок для свиней величина часток не повинна перевищувати 10 мм.

Подрібнювач грубих кормів ИРТ-165 призначений для подрібнення сіна, соломи та інших грубих кормів. Подрібнювач може використовуватись в складі потокової технологічної лінії кормоцехів, а також самостійно. Маса для подрібнення може подаватись в рулонах, тюках.

Живильна воронка являє собою циліндр з конічним розтрубом, виготовленим з листової сталі. У верхній частині циліндра приварені бігова доріжка для опорних роликів та зубці ведучої зірочки привода воронки. Приводиться вона від електродвигуна через електромагнітну муфту і клинопасову передачу на проміжний вал, звідки ланцюговою передачею приводиться конічний редуктор, вал якого зв'язаний ланцюговою передачею із зірочкою воронки. Натяг ланцюгів здійснюється натяжними роликами. Під дією електромагнітної муфти можна змінювати швидкість руху живильної воронки.

Подрібнювальний барабан приводиться від електродвигуна через карданний вал і клинопасову передачу. Подрібнювальний барабан установлений в днищі дробарки. Під барабаном розташовані змінні решета.

Працює дробарка так: грейферним навантажувачем завантажують грубий корм у воронку. Воронка обертається назустріч руху подрібнювального барабана. Лопаті воронки захвачують масу і підводять до подрібнювального барабана, де вона подрібнюється молотками і проштовхується через отвори решіт на стрічковий вивантажувальний транспортер.

2.3 Основні параметри та показники машини

механізація кормоприготування технологічний машина

Тип машини ………………………………стаціонарний

Продуктивність при переробці:

коренебульбоплодів……………………………………. 10 т/год

зеленої маси і силоса…………………………………… 3-5 т/год

сіна, соломи……………………………………………… 0,8-1 т/год

Габаритні розміри:

довжина…………………………………. 2400 мм

ширина…………………………………… 1330 мм

висота……………………………………. 1350 мм

Маса…………………………………… 1175 кг (±3%)

Привод…………………………………… від електродвигуна

АО2-71-4 виконання М101= 22 кВт= 1450 об/хв

Кількість обслуговуючого персоналу…………. 1 чол.

Число ступінь подрібнювання…………………. 2

Механізм подачі маси до апарата первинного

подрібнення………………………… подаючий і нажимний

транспортер

Подаючий транспортер:……………………ланцюгово-планчастий

довжина…………………………………. 1524 мм

ширина…………………………………. 390 мм

швидкість транспортера………………… 0,22 м/сек.

Нажимний транспортер ланцюгово-планчастий

довжина…………………………………. 490 мм

ширина ………………………………… 290 мм

швидкість транспортера………………… 0,22 м/сек

Прохідний переріз між подаючим і нажимним

транспортерами:

максимальне……………………………. 290×170 мм

мінімальне ……………………………… 290×10 мм

Аппарат первинного різання:

тип подрібнювального апарата………… барабан з спіральними

ножами

кількість ножів…………………………. 6

діаметр ріжучого барабана……………… 450 мм

довжина ріжучого барабана……………. 380 мм

спосіб заточки ножів……………………. заточним пристроєм

число оборотів вала ріжучого барабана. 750 об/хв

кут заточування ножів…………………… 35º40'

довжина різки маси ріжучим барабаном. 20-80 мм

зазор між ножами і протиріжучою

пластиною………………………………… 0,5-1 мм

кут заточування протирізальної пластини. 75º

Апарат вторинного різання:

кількість рухомих ножів…………………… 9

кількість нерухомих ножів………………… 9

число обертів рухомих ножів і шнека……. 1015 об/хв

зазор між рухомим і нерухомим ножами… 0,05-0,5 мм

діаметр шнека……………………………… 440 мм

крок шнека…………………………………. 140 мм

кут заточування ножів……………………… 90º

2.4 Експлуатація машини та її технічний огляд

Установка ступеня подрібнення здійснюється в залежності від того, для яких тварин готується корм.

Для свиней корм подрібнюється і перемішується за допомогою апаратів первинного і вторинного різання. В цьому випадку лезо першого рухомого ножа встановлюється по відношенню відігнутого витка шнека під кутом 52˚.

Для птиці потрібен найбільш мілко подрібнений корм. Це досягається шляхом наближення леза першого рухомого ножа до відігнутого витка шнека, кут між відігнутим витком шнека і лезом першого рухомого ножа повинен бути 9˚ в напрямку обертання ведучого вала.

При переробці риби і хвої перед вимиканням промити всі робочі органи машини гарячою водою із шланга.

Щоденно перед початком роботи подрібнювача перевірити кріплення робочих органів і кожухів, кріплення обертових частин, натяг ланцюгів і пасів.

Регулярно, через 30 годин роботи здійснювати змащування підшипників ковзання.

Перед пуском машини в роботу необхідно:

1. Зняти захисне огородження.

2. Перевірити кріплення електродвигуна, редуктора привідних шківів, корпусів підшипників ріжучого барабана, натяг пасів і ланцюгів, перевірити присутність змазки в редукторі.

3. Відкрити кришки корпуса і впевнитись у відсутності сторонніх предметів в робочих органах подрібнювача і на подаючому транспортері.

4. Поставивши важіль вмикання транспортерів в положення «вперед» прокрутити робочі органи подрібнювача вручну за шків вала апарата вторинного подрібнювання. Всі робочі органи повинні вільно обертатися.

5. Переконавшись в справності машини, закрити кришку корпуса, встановити і закріпити огорожу і поставивши важіль вмикання транспортерів в нейтральне положення «стоп», ввімкнути електродвигун і дати машині на протязі 3-5 хвилин пропрацювати з вимкненими транспортерами, після чого перевести важіль вмикання в положення «вперед» і вимикнути транспортери.

Для повідомлення транспортеру зворотного обертання необхідно перевести важіль вмикання в положення «назад».

2.5 Можливі неполадки та їх усунення

Неполадка

Причина

Спосіб усунення

Ножі ріжучого барабана чіпляють протиріжучу пластину.

Зміщення опор ріжучого барабану під час транспортування в результаті слабкого кріплення опор.

Встановити зазор 0,5-1 мм. Між ріжучими ножами і протиріжучою пластиною, надійно закріпити опори

Не передається обертаючий момент на ріжучий барабан.

Слабке кріплення протиріжучої пластини. Слабке кріплення ріжучих ножів.

Закріпити пластину. Затягнути гайки і зашплінтувати.

Не передається обертаючий момент від редуктора на ведучі вали приймального і нажимного транспортерів.

Слабко натягнутий пас. Зрізана зрізна шпилька.

Натягнути пас. Встановити нову зрізну шпильку.

Не обертається шнек.

Пробуксовує фрекційна муфта. Пробуксовують паси. Зрізана зрізна шпилька.

Провести регулювання зусиль зжаття пружин муфти. Натягнути паси. Встановити нову зрізну шпильку.

Шнек обертається, рухомі ножі не обертаються.

Зрізана зрізна шпилька.

Поставити нову зрізну шпильку.

Набігання ланцюгів подаючого і нажимного транспортерів на зуби тягових зірочок.

Слабко натягнуті ланцюги.

Провести натягування ланцюгів.

При зрізаної шпильці ножі продовжують обертатися разом з валом.

Відсутній зазор між повідками в результаті перетягування круглих гайок кріплення ножів апарату вторинного різання.

Відпустити круглі гайки і встановити зазор 0,5 мм. між повідками.

Зрізні шпильки на шківах ріжучого барабану і апарату вторинного різання зрізані, а ріжучі органи продовжують обертатися.

Відсутній зазор між повідками і шківами в результаті перетяжки круглих гайок кріплення.

Відпустити круглі гайки і встановити зазор 0,5 мм між повідком і шківом.

При вмиканні кнопкової станції не проходить пуск електродвигуна.

Перевірити наявність зрізнолї шпильки і положення автомата відключення.

Поставити шпильку і встановити автомат відключення.


2.6 Вимоги техніки безпеки та виробничої санітарії при експлуатації машини

До роботи на подрібнювачі кормів допускаються особи, які вивчили дійсне керівництво і отримали інструктаж з техніки безпеки:

1. Забороняється притовкувати масу в горловину між транспортерами руками або вилами.

2. Забороняється вмикати машину при наявності любих несправностей і неповній її комплектності, при наявності вм’ятин на кришках ріжучого або барабанів, з відкритими кришками або кожухами і при наявності предметів на транспортері.

3. Заточування ножів обох ступенів здійснюється в захисних очках.

4. При знятті і встановленні ріжучих ножів обох ступенів, а також при очистці ріжучих частин від остатків корма і ремонті електрообладнання необхідно вимкнути загальний рубильник, вийняти запобіжники і повісити плакат «НЕ ВМИКАТИ, ПРАЦЮЮТЬ ЛЮДИ».

Література

1.   В.А. Добровольский, Расчёт деталей машин. Государственное издательство технической литературы.-К., 1961.

.     Г.М. Ицкевич, В.А. Киселёв, Курсовое проектирование деталей машин, 6-е издание.-М., изд. Машиностроение, 1970.

.     Механізація виробництва продукції тваринництва.; За ред. І.І. Ревенко.-К,:Урожай. 1994.

.     Справочник по кормлению сельскохозяйственных животных.; За ред. А.М. Венедиктов.-М.: Россельхозиздат, 1983.

.     Довідник зооінженера.; За ред. М.І. Машкіна.-К,: Урожай. 1989.

.     Технічний паспорт машини «Волгарь-5».

.     Методичні вказівки до курсового проекту з дисципліни, машиновикористання в тваринництві.; За ред. Д.Г. Кондратюк, М.В. Любін.-ВЦ ВДАУ.

Похожие работы на - Механізація свиноферми на 7000 голів

 

Не нашли материал для своей работы?
Поможем написать уникальную работу
Без плагиата!
Без нейросетей!