Оценка эффективности проекта реконструкции цементного завода

  • Вид работы:
    Дипломная (ВКР)
  • Предмет:
    Маркетинг
  • Язык:
    Русский
    ,
    Формат файла:
    MS Word
    58,37 Кб
  • Опубликовано:
    2013-03-03
Вы можете узнать стоимость помощи в написании студенческой работы.
Помощь в написании работы, которую точно примут!

Оценка эффективности проекта реконструкции цементного завода














Оценка эффективности проекта реконструкции цементного завода

Оглавление

 

Введение

Глава 1. Результаты обследования состояния фирмы

1.1 Краткая характеристика организации

1.2 Состояние функциональной подсистемы управления планирования развития производства, основанной на маркетинговых исследованиях

1.3 Выводы по разделу

Глава 2. Результаты соответствия состояния функциональной подсистемы управления развития фирмы современным требованиям, рекомендации по совершенствованию

2.1 Результаты соответствия системы планирования и прогнозирования ЗАО "Корта", вытекающим из общей теории и теории автоматизированного управления

2.2 SWOT - анализ деятельности фирмы ЗАО "Корта"

2.3 Рекомендации по развитию ЗАО "Корта"

2.4 Выводы по разделу

Глава 3. Научно-исследовательская часть - выбор критериев оценки проекта реконструкции цементного завода

3.1 Обзор и выбор методик оценки проекта реконструкции цементного завода

3.1.1 Метод расчета чистого приведенного эффекта

3.1.2 Метод расчета индекса рентабельности инвестиций

3.1.3 Метод расчета нормы рентабельности инвестиций

3.1.4 Метод определения срока окупаемости инвестиций

3.1.5 Метод расчета коэффициента эффективности инвестиций

3.2 Рекомендации по использованию результатов оценки проекта реконструкции завода

3.3 Выводы по разделу

Глава 4. Проектное решение по реконструкции цементного завода

4.1 Проектное решение

4.2 Выводы по разделу

Глава 5. Результаты оценки эффективности проектного решения

5.1 Эффективность проектного решения

5.2 Выводы по разделу

Заключение

Библиография

Введение


Актуальность выбранной темы. Резкое увеличение объемов строительства жилья в России тут же породило опасение, что на рынке непременно возникнет дефицит цемента, не говоря уже о том, что цена на него тоже будет расти.

По прогнозам аналитиков, к 2015 г. стране потребуется 71,7 млн. т цемента, в то время как нынешние мощности российских предприятий, по оценке Росстата, рассчитаны на выпуск 69,2 млн. т. По оценке же маркетингового агентства ABARUS Market Research, нехватка главного строительного материала уже ощущается, поскольку в необходимо около 57 млн. т, а выпущено будет всего 53 млн. т. Возникает естественный вопрос: хватит ли на всех "хлеба стройки" в ближайшие годы? И как видят развитие этого рынка сами производители и потребители цемента?

Сейчас в России цемент производят около 50 предприятий. Износ основных фондов по отрасли достиг 70%. С 1990 г. суммарное выбытие мощностей составляло почти 20 млн. т цемента в год. В производстве преобладают устаревшие технологии: лишь 15% цемента в стране изготавливается прогрессивным сухим способом, а производительность труда в пять раз ниже, чем на аналогичных по мощности зарубежных заводах.

Эксперты полагают, что даже при условии поддержания существующих производств к 2010 г. дефицит цемента может достичь 20-25 млн. т. То есть если правительство планирует согласно программе "Доступное жилье - гражданам России" к 2010 г. увеличить объем строительства до 80 млн. кв. м в год, то производство цемента к этому сроку необходимо довести до 85-90 млн. т. Так или иначе государству придется искать как пути взаимодействия с производителями, так и эффективные способы влияния на них.

Даже такой краткий обзор рынка производства цемента говорит нам о том, что в скором будущем (к 2010 году) в стране возникнет дефицит производства цемента и других вяжущих материалов.

Поэтому, если строительная компания хочет обеспечить себе в будущем нормальное поступление строительного материала (цемента), она должна позаботиться об этом сейчас.

Одним из способов решения такой задачи может явиться реконструкция цементного завода. Тем самым подтверждается актуальность выбранной темы.

Целью настоящего дипломного проекта является проведение маркетингового исследования по реконструкции цементного завода Пикалевский цемент.

Для достижения поставленной цели нами будут решаться следующие задачи:,

Определены основные тенденции рынка производства строительных сыпучих материалов;

Проанализирован рынок строительных фирм Санкт-Петербурга;

Даны рекомендации по развитию строительной компании ЗАО "Корта";

Изучены теоретические аспекты выбора методик оценки проектов по реконструкции;

Оценена эффективность проекта по реконструкции завода.

Объектом данной дипломной работы является строительная компания ЗАО "Корта".

Предметом изучения является оценка эффективности проекта по реконструкции цементного завода.

Объект изучения - строительная компания ЗАО "Корта".

Представленная работа состоит из введения, пяти глав, заключения, библиографии.

Степень разработанности проблематики.

В современном мире существует множество научной литературы по выбранному направлению. Наиболее известными авторами в данной области являются: Ансофф И., Багиев Г.Л., Баринов В.А., Беляевский И.К., Богаткин Ю.В., Боровков Е.В., Валдайцев С.В., Голубков Е.П. Джоббер Д., Зуб А.Т., Качалов Р.М., Клейнер Г.Б., Колесов В.Ю., Корлюгов Ю.Ю., Коробейников О.П., Королев И.В., Котлер Ф., Кравченко Л.И., Крылова Г.Д., Кузнецов А.И., Ламбен Ж.Ж., Ланкастер Д., Лихачева О.Н., Логинов П.П., Малых В.В., Мамонов В.И., Морозов Ю.П., Морозова Т.Г., Моррисон Д., Никишкин В.В., Ноздрева Р.Б., Омельченко И.Н., Пикулькин А.В., Рикошинский А., Романов А.Н., Скамай Л.Г., Соломатин А.Н., Тамбовцев В.Л., Тарасевич В.М., Терещенко В.М., Трифилова А.А., Трубочкина М.И., Цветкова А.Б., Швандар А. В.

Глава 1. Результаты обследования состояния фирмы


1.1 Краткая характеристика организации


Объектом исследования является строительная фирма ЗАО "Корта".

Общие сведения об организации можно представить в виде таблицы.

Таблица 1

№ п/п

Наименование

Сведения об Участнике конкурса (заполняется Участником конкурса)

1.

Организационно-правовая форма и фирменное наименование Участника конкурса

Закрытое акционерное общество Корта ЗАО Корта

2.

Учредители

Корнилов Дмитрий Николаевич Корнилова Татьяна Стефановна

3.

Свидетельство о внесении в Единый государственный реестр юридических лиц (дата и номер, кем выдано)

Свидетельство о внесении в ЕГР юридических лиц за номером 1024700564778, дата внесения записи 16 декабря 2002г., выдано Инспекцией Министерства РФ по налогам и сборам по Всеволожскому району Ленинградской области

4.

ИНН Участника конкурса

4703012494

5.

Юридический адрес

188710, г. Всеволожск, Ленинградская обл., ул. Советская д.28 кв.17

6.

Почтовый адрес

191023, г. Санкт - Петербург, Апраксин пер. д.4 а/я 104

7.

Филиалы:

ЗАО "Корта" филиал Мурманский, г. Мурманск, ул. Фадеев Ручей д.10

8.

Банковские реквизиты (наименование и адрес банка, номер расчетного счета Участника конкурса в банке, телефоны банка, прочие банковские реквизиты)

Р/сч 40702810337000000916 в ОПЕРУ-4 в ОАО "Промышленно-строительный банк", к/сч 30101810200000000791 в г. Санкт - Петербург, БИК 044030791; КПП 470301001; ОКОНХ 61110; ОКПО 32837320

9.

Телефоны Участника конкурса

 (812) 310-38-73; 310-58-56; 319-41-60

10.

Факс Участника конкурса

 (812) 310-38-73; 310-58-56; 319-41-60

11.            Адрес электронной почты Участника конкурса    Korta@infopro. spb. su

Сайт: www.korta. spb. su

112.

Фамилия, Имя и Отчество руководителя Участника конкурса, имеющего право подписи согласно учредительным документам Участника конкурса, с указанием должности и контактного телефона

Генеральный директор Костромитинова Елена Павловна (812) 310-58-56


Закрытое акционерное общество "КОРТА", учреждено 26 сентября 1994, решением учредительного собрания акционеров, поименованным в учредительном Договоре от 26 сентября 1994 года № 1 и зарегистрировано Постановлением Главы Администрации Всеволожского района от 21 ноября 1994 года № 3170, новая редакция Устава утверждена решением Общего собрания акционеров 14 апреля 1996 года Протокол № 5 и зарегистрирована Всеволожским территориальным отделением Ленинградской областной Регистрационной Палаты на основании Приказа от 22 апреля 1997 года №10/1861, новая редакция Устава утверждена решением Общего собрания акционеров 15 апреля 2002 года Протокол № 26 и зарегистрирована Всеволожским территориальным отделением Ленинградской областной Регистрационной Палаты на основании Приказа от 27 апреля 2002 года № Ю/5305, изменения к Уставу утверждены решением Общего собрания акционеров 09 декабря 2002 года Протокол № 28 и зарегистрированы ИМНС РФ по Всеволожскому району Ленинградской области, изменения к Уставу утверждены решением Общего собрания акционеров 06 августа 2003 года Протокол № 30 и зарегистрированы ИМНС РФ по Всеволожскому району Ленинградской области, изменения к Уставу утверждены решением Общего собрания акционеров 22 октября 2003 года Протокол № 31 и зарегистрированы ИМНС РФ по Всеволожскому району Ленинградской области, изменения к Уставу утверждены решением Общего собрания акционеров 25 января 2005 года Протокол № 34 и зарегистрированы ИМНС РФ по Всеволожскому району Ленинградской области. [16]

Закрытое Акционерное Общество "Корта" стала ведущей организацией на российском рынке строительной индустрии и по праву может гордиться результатами своей работы. Фирма заслуженно зарекомендовала себя как надежная и динамично развивающаяся строительная организация. Совмещая десятилетние традиции производства и ориентацию на потребности рынка, фирма многого достигла за эти годы.

В настоящее время ЗАО "Корта" это - новые, прогрессивные технологии строительства и ремонта, а так же сеть представительств более чем в 15 регионах России. Профессионализм сотрудников, наличие высококвалифицированных специалистов широкого спектра строительных специальностей, современная техническая база, а так же собственная лабораторная служба контроля качества позволяет применять современные технологии и проводить контроль строительства на всех этапах.

За последние годы ЗАО "Корта" стала партнером крупнейших российских предприятий различных отраслей промышленности. Накопленный опыт работы в области промышленного и гражданского строительства даёт возможность выполнять заказы любой степени сложности качественно и своевременно.

В настоящее время ЗАО "КОРТА" может предложить потребителю следующие услуги: Строительство и ремонт всех видов высотных сооружений (дымовые трубы, силосные емкости, грануляционные башни).

При строительстве высотных сооружений из монолитного железобетона технически наиболее сложным и трудоемким является возведение их оболочек или стен, объединяющих в себе функции несущих и ограждающих конструкций. Повышенные требования к прочности и долговечности этих конструкций, применение особо плотных бетонов и специальной механизированной оснастки позволяют отнести их к самому высокому классу промышленных сооружений.

В настоящее время возведение специальных высотных сооружений из монолитного железобетона осуществляется в основном тремя способами.

Промышленные дымовые трубы, радио - и телебашни возводятся методом поярусного бетонирования секциями высотой 2,5 м. В подъемно переставной опалубке с шахтными подъемниками, круглогодично, с применением различных методов тепловой обработки бетона в зимнее время.

Все типовые силосные емкости для сыпучих материалов, имеющие небольшое количество закладных деталей, возводятся методом непрерывного бетонирования в скользящей опалубке, в основном при положительных температурах, что обуславливается кратковременностью самого процесса бетонирования стен.

Сооружения башенного типа (копры, угольные и грануляционные башни), а также отдельные типы силосных складов, имеющие большое количество закладных деталей, возводятся методом поярусного бетонирования секциями высотой 1 м. В скользяще-переставной опалубке с отрывным устройством, с подъемом электромеханическими или гидравлическими домкратами. Этот метод позволяет вести бетонирование сооружений круглогодично, применяя в зимнее время электронагрев бетона.

За 12 лет компанией построено 10 железобетонных дымовых труб и 2 силосные емкости. ЗАО "Корта" имеет на вооружении достаточное количество оборудования, механизмов и технологической оснастки для возведения монолитных зданий и сооружений, в том числе:

подъемно-переставные металлические опалубки, оснащенные шахтными подъемниками и подъемными головками грузоподъемностью до 100 тн. для возведения дымовых труб;

скользящие и скользяще-переставные опалубки с электромеханическим и гидравлическим домкратным подъемом для возведения силосных емкостей и башен;

блочно-переставные металлические опалубки для возведения стен жилых зданий;

Дымовые трубы относятся к сложным специальным инженерным сооружениям башенного типа и являются неотъемлемой частью промышленных предприятий и тепловых электростанций. Трубы обеспечивают рассеивание в атмосфере вредных веществ содержащихся в выбросах, а так же приземную концентрацию вредных веществ в пределах норм установленных Минздравом.

Во время эксплуатации, трубы, подвергаются воздействию агрессивных отводящих газов, которые, в свою очередь, негативно воздействуют на конструктивные элементы трубы. Общим конструктивным элементом дымовых труб всех типов является несущая часть, которая воспринимает внешние нагрузки, климатические воздействия (ветер, дождь снег, температура), солнечную радиацию. Разрушение футеровки происходит из-за воздействий, оказываемых уходящими газами (давление или разрежение газа, кислотная агрессия, высокая температура, абразивное действие газа содержащего твердые частицы). Большие повреждения стволу и футеровке трубы может нанести хлопок (взрыв горючей смеси, получаемой в результате смешивания в газоходе или трубе несгоревшего газа и воздуха). Все это в итоге вызывает разрушение стенки ствола на всю глубину и приводит к потере несущей способности ствола трубы. Гарнитура трубы (стяжные кольца, ходовые скобы, лестницы, светофорные площадки, молниезащита) выходят из строя под воздействием агрессивной среды в которой они находятся. Отсутствие молниезащиты или ее неисправность, приводят к разрушению ствола грозовыми разрядами.

Основным условием обеспечения нормальной эксплуатации труб является соблюдение их проектного температурно-влажностного режима, этому необходимо уделять особое внимание

В зависимости от характера и объема повреждений, выявленных в процессе обследования труб, они подвергаются ремонтам двух видов - текущему и капитальному. При текущих ремонтах выполняются работы профилактического характера или работы по ликвидации мелких повреждений с целью предохранения конструкций труб от дальнейших разрушений, причем в первую очередь устраняются повреждения, создающие опасность для жизни людей, целостности сооружения. При капитальном ремонте труб выполняются работы по усилению или замене изношенных конструкций и их отдельных узлов.

Демонтаж ж/б., кирпичных и металлических высотных сооружений. Для выполнения работ используется самая современная техника и технология. Если условия не позволяют использовать технику, фирма применяет технологию ручной разборки.

Проект Производства Работ разрабатывается с учетом особенностей объекта, пожеланий Заказчика и согласно экологических норм и требований.

Так же фирмой применяется алмазная резка железобетонных конструкций. Несомненным ее достоинством является увеличение скорости работ в десятки раз, что дает возможность уложиться в короткие сроки. Комплекс оборудования, используемый нами, гарантирует резку без вибраций и сотрясений. Кроме того, алмазные инструменты легко справляются с арматурой и прочими закладными деталями бетонного монолита. Агрегаты компактны, что обеспечивает их быструю доставку и сборку на месте. В зарубежных странах алмазная резка выиграла конкурентную борьбу у других технологий разрушения железобетонных, каменных, кирпичных конструкций и занимает лидирующие положения на рынке строительных услуг. Сегодня ЗАО "Корта" готова предложить помощь в решении задач по демонтажу железобетона любой толщины.

Индивидуальный и грамотный подход к организации производства работ позволяет значительно экономить время и средства Заказчиков.

Ремонт градирен, ганбашен, водонапорных, силосных башен, надшахтных копров, элеваторов, газоходов и боровов. Градирни.

При выполнении работ по модернизации градирен специалисты выполняют следующие операции:

Замена обшивки градирни, ветровых и межсекционных перегородок материалами из ПВХ.

Замена блоков оросителя и блоков водоуловителя.

Ремонт и замена водораспределительной системы.

Антикоррозионная защита каркаса градирен.

Восстановление гидроизоляции котлована.

Силосные емкости.

Для ремонта железобетонных силосных емкостей была разработана технология с использованием материала ЦМИД, обеспечивающего непроницаемость конструкций. Внедрение данной технологии позволило усилить конструктивные элементы, продлить срок эксплуатации силоса и исключить потери глинозема или другого мелкодисперсного материала, а так же повысило прочность бетона. С 1999 года силами специалистов ЗАО "Корта" на Кандалакшском алюминиевом заводе были проведены работы по капитальному ремонту четырех силосов. Результаты проведенной экспертизы состояния силосов отремонтированных в 1999 г., показали высокую эффективность новой технологии и хорошее качество ремонта. По сравнению с ранее проводимыми работами по обеспечению восстановления целостности конструкций, внедрение данной технологии позволило усилить конструктивные элементы, продлить срок эксплуатации башен глинозёма и сократить его потери.

Газоотводящие стволы, газоходы наиболее ответственный и технически сложный участок систем газоочистки и технологических цепочек на предприятиях с выделением агрессивных паров, газов. Высокая концентрация газов определяет повышенные требования к надежности и безопасности систем газоходов, газоотводящих стволов. Используются традиционные технологии и материалы, применяемые при строительстве и ремонте газоходов. Качественно и в срок выполним:

Замена металлических газоходов.

Кладка стен.

Замена и ремонт перекрытий и футеровки.

Торкретирование газоходов.

Устройство теплоизоляции.

строительная компания реконструкция завод

Одним из основных видов деятельности компании является экспертиза промышленной безопасности (обследование) зданий и сооружений, в том числе промышленных дымовых и вентиляционных труб, а так же осуществление контроля за их техническим состоянием.

За время работы фирмой были проведены обследования нескольких сотен объектов в разных регионах России, с утверждением заключения экспертиз промышленной безопасности в территориальных органах Ростехнадзора. Согласно ПБ 03-445-02 "Правила безопасности при эксплуатации дымовых и вентиляционных промышленных труб" Госгортехнадзора РФ, плановые обследования эксплуатирующихся дымовых и вентиляционных труб требуется проводить не реже одного раза в пять лет, на каждую трубу должен быть составлен паспорт, содержащий техническую характеристику трубы.

Целью экспертизы промышленной безопасности является определение фактического технического состояния дымовой трубы, оценка соответствия объекта экспертизы предъявляемым к нему требованиям промышленной безопасности.

Для достижения поставленной цели выполняются следующие работы:

анализ имеющейся проектной и исполнительной документации;

обследование наружной и внутренней поверхности (футеровки) дымовой трубы методом промышленного альпинизма;

анализ замеров температурных и газовых режимов работы трубы;

визуальное освидетельствование с фотосъёмкой отдельных характерных дефектов ствола дымовой трубы;

геодезический контроль вертикальности оси ствола трубы;

составление сводной дефектной ведомости.

В результате выполнения работ проводится анализ полученной информации, даётся оценка технического состояния ствола дымовой или вентиляционной трубы, а также рекомендации и мероприятия по устранению выявленных при обследовании дефектов, повреждений и обеспечению дальнейшей безопасной эксплуатации трубы.

Заключение экспертизы оформляется в соответствии с "Правилами проведения экспертизы промышленной безопасности" ПБ 03-246-98 с изм.1 (ПБИ 03-490 (246) - 02).

Целью экспертизы промышленной безопасности (обследования) является определение фактического технического состояния и остаточного ресурса конструкций зданий и сооружений, оценка соответствия объекта экспертизы предъявляемым к нему требованиям промышленной безопасности.

Для достижения поставленной цели выполняются следующие работы:

анализ имеющейся проектной и исполнительной документации;

определение фактических размеров сечений конструкций и соединений, их пространственное положение;

проверка соответствия конструкций проектной документации, фактической геометрической неизменяемости, выявление отклонений, дефектов и повреждений элементов и узлов конструкций с составлением ведомостей дефектов и повреждений;

уточнение фактических и прогнозируемых нагрузок и воздействий, согласование их с Заказчиком;

установление фактических физико-механических свойств материалов конструкций;

проверка фундаментов при деформациях каркаса здания и выявления их осадок;

освидетельствование с фотосъемкой отдельных характерных дефектов конструкций;

составление сводной дефектной ведомости.

В результате выполнения работ проводится анализ полученной информации, дается оценка технического состояния конструкций здания (сооружения), а также рекомендации и мероприятия по устранению выявленных при обследовании дефектов, повреждений и обеспечению дальнейшей безопасной эксплуатации объекта.

Заключение экспертизы оформляется в соответствии с "Правилами проведения экспертизы промышленной безопасности" ПБ 03-246-98 с изм.1 (ПБИ 03-490 (246) - 02).

Наряду с неразрушающими методами контроля технического состояния зданий и сооружений, для получения наиболее точных результатов, ЗАО "Корта" используется метод отбора образцов (кернов) с их последующим лабораторным испытанием. При этом, используют современную переносную бурильную установку. Исследование кернов позволяет определять прочность и химический состав бетона или кирпича после воздействия на них в процессе эксплуатации агрессивных сред.

Строительство промышленных и жилых объектов с металлическим, железобетонным каркасом и наружным стеновым ограждением из сборных железобетонных панелей или сэндвич-панелей.

Важнейшим направление деятельности компании является проектирование, изготовление и строительство многофункциональных складов, хранилищ производственных зданий. Здание строится с использованием полистовой технологии из конструктивных узлов и элементов частичной заводской готовности. Это увеличивает время строительства, однако уменьшает расходы на транспортировку. Фундаменты, применяемые при строительстве по сборной технологии - монолитные, ленточные, свайные или столбчатые в зависимости от грунтов, климатических условий региона, где будет проводиться строительство, и функционального назначения здания или сооружения. Каркас - конструкции из металлопроката (швеллер, уголок, труба, тавр, двутавр). Соединения конструкций между собой могут быть сварными или болтовыми. Ограждающие конструкции - последовательная установка внутренней ограждающей конструкции, утеплителя и затем наружной - для утепленных зданий и сооружений. В случае, если объект не нуждается в утеплении, устанавливаются только наружные ограждающие конструкции. Внутренняя отделка - все самые современные материалы - от цветного пластика до стеклообоев. Толщина панелей от 100 до 180 мм в зависимости от климатических условий. Цоколь и стены, по желанию Заказчика, могут возводиться из кирпича, пеноблоков или монолитными. Междуэтажные перекрытия - обычно выполняются по второстепенным балкам перекрытия, из ребристых пустотных железобетонных плит или стального оцинкованного профилированного листа.

Фирма использует при возведении зданий как импортные, так и отечественные материалы. Здания, по желанию Заказчика, оборудуются приборами электроосвещения, отопления, вентиляции и комплектуются самым разнообразным оборудованием. Возможно подключение к системе водоснабжения, канализации. Все отделочные материалы и конструктивные элементы имеют соответствующие сертификаты.

Также ЗАО "Корта" предлагает и другие виды услуг.

В настоящее время на тепловых электростанциях и в тепловых сетях находится в эксплуатации 1280 труб, обслуживающих 90 % мощности ТЭС и тепловых сетей. Опыт эксплуатации показал, что ресурс железобетонных дымовых труб, построенных до 1965 года, составляет не более 50-55 лет. По этой причине более 250 труб окажутся в ближайшие 10-15 лет непригодными для эксплуатации. [21]

Дымовые трубы работают в сложных условиях, при наличии большого числа неблагоприятных факторов. Так, при наличии футеровки на кислотоупорном растворе разрушение ствола составляет 2-6 мм в год при работе котлоагрегатов на высокосернистом мазуте из-за образования сернистой и серной кислоты.

Для железобетона представляют значительную опасность и малосернистые газы (газовое топливо). Конденсат, образующийся в таких трубах, мигрирует к наружной поверхности и вызывает размораживание бетона.

Изменение проектных режимов эксплуатации (снижение объемов и температуры отводимых газов, перевод на новый вид топлива) приводит к разрушению труб, возведенных даже в последние 20-30 лет.

Годы тяжелого экономического состояния привели к серьезным проблемам. Недостаточный контроль за состоянием дымовых труб и низкая квалификация ремонтно-строительных фирм приводят к аварийным ситуациям. Примером является падение 120-метровой железобетонной трубы, произошедшее на котельной Кузнецких электросетей АО "Пензаэнерго", а также кирпичной трубы котельной на Ораниенбаумской ул., 29, в Санкт - Петербурге.

Для надежной безаварийной работы труб в мировой практике применяется сервисное обслуживание, основанное на долгосрочном сотрудничестве со специализированными организациями, которые по определенному плану производят обследования технического состояния труб и заблаговременно выдают рекомендации по их эксплуатации и ремонту.

Основным профилем деятельности промышленно-строительной фирмы "Корта" является и будет в ближайшее время являться, весь комплекс работ по возведению и ремонту высотных сооружений. Работая с 1996 года самостоятельно, а ранее в составе треста Спецжелезобетонстрой, ПСФ "Корта" имеет квалифицированный персонал, необходимое оборудование и соответствующий опыт работы в этой области.

ПСФ "Корта" строит свою работу как комплекс мероприятий по поддержанию высотных сооружений в рабочем состоянии: своевременные и квалифицированные обследования с выдачей рекомендаций по ремонту, проект реконструкции, выбор метода ведения работ и их производство.

Примером подбора соответствующей технологии и материала для производства работ является выполнение монолитной футеровки на Петрозаводской ТЭЦ. В 1999 году к ПСФ "Корта" обратилось руководство Петрозаводской ТЭЦ "Карелэнерго" с просьбой осуществить быстрый и качественный ремонт внутренней поверхности железобетонной дымовой трубы. Инженерными подразделениями ПСФ "Корта" совместно с ведущими специалистами ВНИИГ им. Б.Е. Веденеева и АО "Теплопроект" был выполнен проект по замене футеровки. Основной задачей данного проекта являлось создание принципиально нового состава с низким коэффициентом теплопроводности и высокой прочностью. Результатом разработки явилась керамзитобетонная композиция с добавлением современного материала ЦМИД, который обеспечил водонепроницаемость конструкции и повысил морозостойкость бетона. Также для увеличения адгезии старого и нового бетона ствол трубы после очистки был обработан раствором одной из модификаций материала ЦМИД. Кроме того, на поверхность футеровки были нанесены кремнийорганические составы - пропиточный ГЭКОС-М и кольматирующий ГЭКОС-МКС. Нанесение этих составов увеличило прочность поверхностного слоя бетона, повысило газо - и водонепроницаемость, а также химическую и термическую стойкость футеровки.

Устройство монолитной футеровки сократило сроки выполнения работ, снизило их стоимость. Следует отметить долговечность труб такой конструкции.

Идея возведения труб с монолитной футеровкой сама по себе не нова, но широкого применения в российской строительной практике не нашла, т.к. требует высокой организации работ и соответствующего оборудования.

Это только один из примеров успешной работы ПСФ "Корта" в области ремонта дымовых и вентиляционных труб. Инженерными подразделениями предприятия постоянно ведется поиск новых инженерных решений и возможности применения современных материалов, разработанных лучшими научно-исследовательскими институтами Санкт-Петербурга. Успешным результатом работы являются выполненные объекты в Мурманске, Череповце, Ярославле и еще 12 регионах России.

Партнёрами ЗАО "Корта" являются:

ОАО "УРАЛВНИПИЭНЕРГОПРОМ";

ЗАО "ТТМ";

ОАО "ВСЕРОССИЙСКИЙ НАУЧНО-ИССЛЕДОВАТЕЛЬСКИЙ ИНСТИТУТ ГИДРОТЕХНИКИ им. Б.Е. ВЕДЕНЕЕВА";

фирма ОРГРЭС;

ЦКТИ им. Ползунова.

 

1.2 Состояние функциональной подсистемы управления планирования развития производства, основанной на маркетинговых исследованиях


Маркетинговые исследования являются самой важной основой в планировании рыночных действий предприятия. Максимально эффективно распределить ресурсы предприятия и правильно выбрать пути к достижению целей можно только на результатах анализа маркетинговых исследований. Планировать рыночные действия компании, основываясь на общей информации или на информации, полученной для решения чужих задач, значит, действовать в условиях неопределенности, осуществляя неправильные действия, что приводит в первую очередь к потере прибыли. Индивидуальные маркетинговые исследования исключают неопределенность при принятии рыночных решений, что позволяет максимально эффективно распределить экономические силы предприятия для достижения успеха в бизнесе и получения наибольшей прибыли.

Процесс управления маркетингом охватывает такие стороны деятельности фирмы, как организация сбыта и его стимулирование, рекламные кампании и исследование маркетинга, управления товарами и ценообразование.

Существует ряд альтернативных концепций, на основе которых коммерческие и некоммерческие организации осуществляют свою деятельность: концепция совершенствования производства; концепция совершенствования товара; концепция интенсификации коммерческих усилий; концепция маркетинга; концепция социально-этичного маркетинга.

Концепция совершенствования товара - это такая ориентация управления, которая предполагает, что потребитель будет благоприятно относиться к товару, поскольку он достаточно высокого качества и обладает лучшими эксплуатационными свойствами. В данном случае фирма (организация) должна сконцентрировать внимание на совершенствовании товара.

Концепция совершенствования производства - в этом случае имеется в виду то, что потребители отдают предпочтение тем товарам, которые наиболее широко распространены и предлагаются по умеренной цене.

В основе данной концепции лежат следующие предпосылки:

) компания концентрирует внимание на снижении себестоимости (путем повышения производительности) с тем, чтобы производить товары по доступным ценам;

) потребители заинтересованы в покупке товаров, производимых данной конкретной фирмой. В этом случае возможна ситуация превышения спроса на товар над его предложением, вследствие чего главной задачей фирмы становится поиск путей расширения производства;

) потребители знают о наличии изделий аналогов и осуществляют свой выбор на основе сравнения цен на аналогичные товары.

Концепция интенсивности коммерческих усилий - это концепция также известна как "концепция сбыта". Она характеризует направление, которого придерживаются производители товаров в своем стремлении правильно организовать сбытовую деятельность.

Основные составляющие данной концепции следующие:

) главная задача фирмы состоит в достижении определенного объема продажи своих товаров;

) потребители не будут покупать товары, в объёме, желаемом фирмой, без определенного воздействия;

) потребителей можно заставить купить данные товары с помощью различных методов стимулирования продажи;

) предпосылка данной концепции следующая: покупатели будут делать повторные покупки или имеется достаточное количество потенциальных потребителей. Таким образом, на практике реализация концепции связана с навязыванием покупки, причем продавец стремится во что бы то ни стало заключить сделку, а удовлетворение потребностей покупателя является второстепенным моментом.

Концепция маркетинга является новым направлением в сбытовой деятельности. В основе данной концепции лежат следующие положения: фирма видит свою задачу в удовлетворении потребностей определённой группы потребителей; фирма отдает себе отчет, что удовлетворение этих потребностей требует проведения целого комплекса маркетинговых исследований для их выявления; маркетинговая деятельность фирмы постоянно контролируется и анализируется; фирма уверена, что результаты ее деятельности по удовлетворению спроса приведут к повторным покупкам продукции и обеспечат благоприятное общественное мнение. Таким образом, концепция маркетинга это ориентация на покупателей, подкреплённая комплексом мер, нацеленных на удовлетворение потребностей рынка.

Концепция социально-этического маркетинга также как и концепция чистого маркетинга предполагает, что первостепенной задачей фирмы является определение нужд и потребностей отдельных групп потребителей и использование более эффективных и продуктивных, чем у конкурентов, способов удовлетворения этих потребностей. Но, наряду с этим, фирма должна обеспечить сохранение и укрепление благополучия потребителя и общества в целом. Появлению данной концепции послужили некоторые сомнения относительно того, на сколько концепция чистого маркетинга соответствует нашему времени, когда налицо ухудшение окружающей среды, нехватка природных ресурсов, стремительный прирост населения, всемирная инфляция и запущенное состояние сферы социальных услуг. По Ф. Котлеру данная концепция " требует от деятелей рынка увязки в рамках политики маркетинга 3-х факторов". Таким образом, первоначально при разработке политики маркетинга фирмы ориентировались главным образом на получение прибыли. С течением времени акцент переносится на удовлетворение покупательских потребностей, результатом чего явилась концепция маркетинга. В настоящее время в процессе принятия решений учитываются также и интересы общества. Сочетание всех трех указанных факторов и характеризует концепцию социально-этичного маркетинга, результатом принятия которой может быть значительный рост продаж и доходов.

Маркетинговые исследования нельзя воспринимать как быстрый и очевидный способ поиска ответов на все вопросы руководства организации. Иногда оптимальное решение вовсе не требует проведения исследования, поэтому менеджер, который столкнулся с какой-либо конкретной проблемой, должен принять во внимание ряд следующих факторов.

Релевантность

Не следует проводить исследование лишь для того, чтобы удовлетворить любопытство или подтвердить правильность ранее принятых решений. Релевантность означает предвидение той информации, которая потребуется в ходе стратегического или тактического планирования. Предоставление такой информации является сутью непрерывно действующей информационной системы. Когда появляются новые обстоятельства, разрабатываются и реализуются отдельные исследовательские проекты. При планировании таких проектов необходимо помнить о принимаемых решениях.

Тип и природа необходимой информации

Решение о том, следует ли проводить маркетинговое исследование, будет зависеть от типа и природы необходимой информации. Если требуемая информация уже существует в организации - либо в форме результатов исследований, которые были проведены ранее по какой-то другой проблеме, либо в форме опыта и знаний менеджеров, - то в проведении нового маркетингового исследования необходимости нет, оно будет пустой тратой денег [4; 38].

Выбор времени

Решения относительно проведения исследований должны приниматься с учетом развития событий. Часто время на принятие таких решений ограничено, их необходимо принять до наступления определенного срока, поэтому используют лишь ту информацию, которая имеется в данный момент. Если на рынок нужно вывести новый товар, то все решения, которые требуют исследований, должны быть приняты заблаговременно. Одной из задач системы планирования является формирование графика проведения маркетинговых исследований таким образом, чтобы их результаты были получены вовремя и могли быть использованы при принятии решений. Однако если перед компанией встает необходимость ответить на действия конкурентов, исследователи всегда подвергаются давлению, так как результаты обычно необходимо получить "вчера". Конечно, также существует много ситуаций, когда момент принятия решения может зависеть от результатов исследования. Однако даже в этом случае существует необходимость получения по возможности наиболее быстрого результата, поскольку вовремя не предпринятые действия могут означать недополучение прибыли.

Доступность ресурсов

Кажется очевидным, что для проведения исследования необходимы соответствующие ресурсы, однако существуют примеры того, как менеджеры заказывали исследования, недостаточно адекватно оценив объемы доступных ресурсов, - речь идет как о финансовых, так и о человеческих ресурсах. Недостаток финансирования может привести к тому, что исследовательский проект не будет выполнен надлежащим образом и в полном объеме. Результаты такого исследования часто не точны. Опять же, если финансовых ресурсов достаточно для проведения исследования, но недостаточно для использования его результатов, исследовательский проект окажется бесполезным. Кроме того, важным фактором при принятии решения о проведении крупных исследований является наличие квалифицированных кадров - особенно это актуально, если речь идет о заказе исследования у стороннего подрядчика. Ведь если компания наймет неквалифицированного исполнителя, результаты вряд ли будут впечатляющими, а часто окажутся вообще неприменимыми.

Анализ издержек и выгод

Перед тем как проводить исследование, добросовестный менеджер должен провести анализ издержек и выгод с целью определения ценности информации, которую он стремится получить. Ведь желание менеджера получить дополнительную информацию для использования в процессе принятия решений будет зависеть от того, как ценность этой информации соотносится с издержками и временем, которые потребовались на проведение исследования. Таким образом, перед тем как проводить маркетинговое исследование, необходимо получить представление о ценности информации, которую оно способно предоставить. Это поможет определить, сколько средств можно потратить на проведение исследования, - или от него вообще следует отказаться.

Несмотря на то, что маркетинговые исследования проводятся с целью получения информации, менеджеры не всегда используют эту информацию. Среди факторов, влияющих на решение менеджера об использовании результатов исследования, можно назвать следующие:

качество исследования;

подтверждение имевшихся ожиданий;

ясность относительно репрезентативности результатов исследования;

приемлемость с точки зрения внутренней политики фирмы;

вызов существующему положению. [6; 73]

Как исследователи, так и менеджеры согласятся, что качество проведения исследования является одним из основных факторов его применимости. Кроме того, менеджеры в меньшей степени склонны использовать результаты исследований, которые не подтверждают их ожиданий или не являются приемлемыми с политической точки зрения. Некоторые исследователи утверждают, что реальное использование полученной информации является функцией прямого и косвенного влияния факторов внешней среды, организационных, информационных и личностных факторов.8 Тем не менее исследователь не должен подгонять результаты под ожидания менеджера. Следует также отметить, что менеджеры организаций, работающих на потребительских рынках, менее склонны использовать результаты исследований, чем их коллеги в компаниях, обслуживающих производственный сектор. Это объясняется тем, что в последнем случае проблема изучения складывающейся ситуации и выявления проблем и возможностей более актуальна, структура организации более формализована, а исследования реже преподносят сюрпризы.

Провести исследование и собрать информацию значительно проще, нежели сделать на ее основе соответствующие выводы. Многие компании, владеющие обширным опытом в области проведения маркетинговых исследований, терпели неудачу, пытаясь понять потребности потребителей.

 

1.3 Выводы по разделу


Объектом исследования является строительная фирма ЗАО "Корта".

Закрытое Акционерное Общество "Корта" стала ведущей организацией на российском рынке строительной индустрии и по праву может гордиться результатами своей работы. Фирма заслуженно зарекомендовала себя как надежная и динамично развивающаяся строительная организация. Совмещая десятилетние традиции производства и ориентацию на потребности рынка, фирма многого достигла за эти годы.

Глава 2. Результаты соответствия состояния функциональной подсистемы управления развития фирмы современным требованиям, рекомендации по совершенствованию


2.1 Результаты соответствия системы планирования и прогнозирования ЗАО "Корта", вытекающим из общей теории и теории автоматизированного управления


Для расчета точных прогнозов развития компании в ЗАО "Корта" используется автоматизированная система Project Expert. При точно введенных о состоянии рынка и информации о предполагаемых кусах валют, уровне инфляции и пр. в данную систему, можно сформировать точный расчет и спрогнозировать результат будущих инвестиций.

Оценку качества используемой предприятием автоматизированной системы прогнозирования рассмотрим в табличной форме (таблица).

Таблица 2

Оценка автоматизированной маркетинговой системы ЗАО "Корта"

Критерий оценки

Оценка

1. Возможность выполнения всех функциональных блоков отдела маркетинга (ведение баз данных потребителей, конкурентов; ценовой анализ; анализ спроса и предложения; и т.д.)

+/-

2. Связь с прочими функциональными системами предприятия (бухгалтерия, бюджетное планирование, производство, НИОКР и т.д.)

+

3. Настройка собственных отчетов, показателей и аналитик маркетинговой системы

+

4. Делегирование ответственности и полномочий

+

5. Анализ бюджета маркетинга (расчет отклонений фактических доходов и затрат от плановых)

+

6. Возможность оперативной корректировки данных с последующими изменениями во всей маркетинговой системе

+

7. Возможность предоставления отчетов за произвольный период

+/-

8. Наличие документооборота в рамках маркетинговой системы (встроенные средства обмена сообщениями и документами между пользователями)

+

9. Разграничение доступа к данным маркетинговой системы

+


Формулируя выводы, отметим что, данная система предприятия является удовлетворяет практически всем критериям ее оценки.

 

2.2 SWOT - анализ деятельности фирмы ЗАО "Корта"


Проведем SWOT-анализ деятельности компании ЗАО "Корта". Он предполагает выявление сильных и слабых сторон, потенциальных угроз и возможностей, а также установление цепочек связей между ними с следующей форме.

 

Возможности

Угрозы

Сильные стороны

Поле СИВ

Поле СИУ

Слабые стороны

Поле СЛВ

Поле СЛУ


В последние годы спрос на недвижимость увеличивался и строительные услуги и продолжает расти. Сейчас рынок недвижимости можно охарактеризовать как "рынок продавца", спрос превышает предложение, и ситуация в ближайшее время не изменится, так как необходимо наращивание темпов строительства, а это зависит не только от строи тельных компаний, но и от позиции города - подготовки участков под застройку, создания нормальных условий для работы строителей. Тем более, если ипотечное кредитование будет развиваться и дальше, то платежеспособный спрос еще увеличится.

В общей структуре продаж лидирующее место на сегодняшний день занимают однокомнатные квартиры, спрос на них всегда высок.

В стройиндустрии существуют внешние или неуправляемые, слабоуправляемые проблемы.

Это, в первую очередь, несовершенство законодательной и нормативной базы в области регулирования взаимоотношений компаний-застройщиков и администрации субъектов России относительно предоставления участков под строительство и объектов под реконструкцию. Существовавшие еще в 2004 году процедуры оформления участков - необходимые многократные вынесения заявок инвесторов на заседания Инвестиционно-тендерной комиссии (ИТК) Санкт-Петербурга, различные согласования - были крайне забюрократизированы и могли растягиваться на несколько лет.

Еще одна проблема - отсутствие в инвестиционном предложении Администрации Санкт - Петербурга участков с подготовленной инженерной инфраструктурой. Несмотря на то, что каждый застройщик перечисляет в Комитет Финансов Санкт-Петербурга средства на развитие инфраструктуры, подготовка новых участков под застройку в городе не ведется.

Одним из тормозов развития строительной отрасли является отсутствие эффективной системы ипотечного кредитования. В развитых странах она выступает основным инструментом финансирования нового жилищного строительства. Например, в США, Германии, Англии до 95% жилья приобретается или строится в рассрочку.

Большинство строительных организаций Санкт-Петербурга объединены в Санкт-Петербургский Союз строительных компаний ("Союзпетрострой"). Это - некоммерческая, непроизводственная, общественная организация добровольно объединившихся организаций. Первостепенной задачей союза стало выражение интересов организаций, работающих в регионе, в органах государственной власти и в некоторой степени влияние на нее.

На сегодняшний день, Союзпетрострой объединяет более 300 организаций самого различного профиля и организационно-правовых форм. В его состав входят не только малые строительные организации Санкт-Петербурга и Ленинградской области, но и корпоративные структуры "ЛенСпецСМУ", "Балтийская Строительная Компания", "ДСК-3", "Метрострой", "Трест-36", "Мостострой-6", "Строймонтаж", "Спецстрой", "Севэнергострой", "Монолитстрой", "Инжпетрострой" и другие. Более четверти членов Союза - это организации по производству строительных материалов и конструкций.

В Союз входят также: высшие учебные заведения (Санкт-Петербургский архитектурно-строительный университет, Санкт-Петербургский военный инженерно-технический университет) издательства, ряд крупных банков Санкт-Петербурга: "Промстройбанк", "Балтийский банк", "Гута-Банк", "Балтонексимбанк", риэлтерские организации - "Итака", "Петербургская недвижимость", страховые организации - "Росгосстрах", "Ингосстрах-Санкт-Петербург", иностранные организации - "Сканска", "Оннинен", "Лахти" и еще 25 иностранных организаций. За 6 лет существования число членов "Союзпетростроя" возросло в 10 раз.

В Петербургском регионе наблюдается интересная тенденция: так например, "ЛенСпецСМУ" и "Строительная компания № 1 - ЛЭК" приобрели ряд заводов строительных материалов с целью защиты от монополизации поставщиков, совершив интеграцию в первые переделы.

Такая наблюдаемая тенденция укрупнения строительного рынка в регионе позволит снизить себестоимость строительства массового жилья и приведет к концентрации в нескольких крупных компаниях всего массового жилья.

Согласно предварительным промежуточным данным к настоящему моменту существует следующая статистика:

За последние 5 месяцев в Санкт - Петербурге инвестиционно-строительным комплексом построен 161 объект жилого назначения на 10297 квартир общей площадью 753193,4 кв. м, в том числе:

объект нового строительства на 10034 квартиры общей площадью 703858,8 кв. м;

объектов реконструкции на 146 квартир общей площадью 11865,4 кв. м;

объектов индивидуального строительства на 117 квартир общей площадью 37469,2 кв. м.

За этот же период введены в эксплуатацию 149 объектов различного назначения общей площадью более 400 тыс. кв. м, в том числе:

автозаправочных станций;

объектов торгового назначения;

производственно-складских объектов;

административных и офисных зданий, бизнес-центров, выставочных комплексов;

объект религии, культуры и образования;

объектов автосервиса, гаражи, крытые стоянки;

объектов здравоохранения и физической культуры;

гостиниц;

объектов коммунального строительства;

участков инженерных сетей;

объектов благоустройства и дорожного строительства.

Еще одно проблемой является - инфляционные процессы на рынке строительных материалов.

% - 70% - доля затрат на материалы и оборудование внутренних инженерных сетей здания в структуре стоимости инвестиционно-строительного проекта.

Повышение общего уровня цен на материалы и конструкции для строительного производства на 10%, приводит к соответствующему удорожанию всего проекта на 5-7%. Для западных компаний, работающих в стабильных ценовых условиях (годовая инфляция предсказуема и составляет 1-3%), возможный рост стоимости проекта неприемлем.

Это снижает инвестиционную привлекательность России в целом. В подобных условиях комплексный инвестиционный анализ любого проекта должен включать инфляционный анализ по номенклатуре применяющихся материалов.

Анализ статистических данных показывает, что рост цен на металл (арматуру, закладные детали) и бетон составил в среднем за год около 60%. При сроках строительства в 2-3 года это может дать значительный рост стоимости проекта.

Для большей наглядности сведем описанную ситуацию в SWOT-таблицу, основанную на оценке внешних возможностей и угроз для предприятия.


Возможности Увеличение своей доли на рынке за счет объединения компаний, реконструкции или выкупа заводов по производству строительных материалов Вытеснение слабых и маленьких строительных организаций

Угрозы Увеличение стоимости материалов Трудность с подбором квалифицированного персонала Небольшое увеличение ставок по кредитам в банках Объединение сильных конкурентов в объединенные компании Насыщение рынка и уменьшение спроса на продукцию

Сильные стороны: Стабильная доля на строительном рынке Применение новых технологий по энергосбережению Хороший имидж компании

ПОЛЕ "СИВ"

ПОЛЕ "СИУ"

Слабые стороны: Продукция рассчитана на людей со средним и высоким уровнем достатка и не рассчитана на людей с малым достатком Компания планирует крупные капиталовложения в свое развитие

ПОЛЕ "СЛВ"

ПОЛЕ "СЛУ"


2.3 Рекомендации по развитию ЗАО "Корта"


Подводя итог проведенному обследованию состояния ЗАО Корта, автором предлагается комплекс мероприятий по для более эффективного распоряжения денежными средствами.

В сложившейся ситуации для ЗАО Корта целесообразно найти возможность объединения с другими компаниями или провести реконструкцию цементного завода, как способа инвестирования, для того чтобы в будущем обеспечить себя сыпучими материалами собственного производства.

Инвестиционные проекты - неотъемлемая часть нормальной экономики. Они обеспечивают эффективное развитие предприятий и бизнеса в целом. В последнее время в России акцент инвестиционных проектов все сильнее смещается в сферу производства.

Инвестиционный проект требует от вас потратить деньги сейчас для получения выгоды в дальнейшем. Поэтому не менее важно проанализировать все затраты. Не занижены ли они? Учтены ли налоги и прочие расходы? Возможно, придется дополнительно тратить огромные деньги на доработку того, что подразумевалось производить. Кроме того, важно знать, на что и когда тратятся деньги. Проект, который требует покупки большого количества "неликвида", доверия не вызывает. То же самое инвестор чувствует, когда необходимо все средства потратить сразу. Поэтому лучше, если проект состоит из нескольких этапов, на каждом из которых можно понять, имеет ли смысл дальнейшее финансирование.

Помимо этих критериев оценки инвестиционной привлекательности проекта есть множество других. Однако, на наш взгляд, они носят второстепенный характер, так как главное - все-таки оценить выполнимость проекта, а уж потом "заглядываться" на рентабельность, окупаемость и прочие вещи. На практике инвестора должны интересовать, прежде всего, гарантии того, что его деньги не пропадут.

 

2.4 Выводы по разделу


Проведен анализ существующего состояния строительной фирмы ЗАО "Корта".

В сложившейся ситуации для ЗАО Корта целесообразно найти возможность объединения с другими компаниями или произвести реконструкцию, для того чтобы в будущем обеспечить себя сыпучими материалами собственного производства.

Глава 3. Научно-исследовательская часть - выбор критериев оценки проекта реконструкции цементного завода

 

3.1 Обзор и выбор методик оценки проекта реконструкции цементного завода


В основе принятия управленческих решений по реконструкции цементного завода, лежат оценка и сравнение объема предполагаемых инвестиций и будущих денежных поступлений. Поскольку сравниваемые показатели относятся к различным моментам времени, ключевой проблемой здесь является проблема их сопоставимости. Воспринимать ее можно по-разному в зависимости от существующих объективных и субъективных условий: темпа инфляции, размера инвестиций и генерируемых поступлений, горизонта прогнозирования, уровня квалификации аналитика и т.п.

Методы, используемые в анализе инвестиционной деятельности в реконструкцию, можно подразделить на две группы: основанные на дисконтированных оценках; основанные на учетных оценках. Рассмотрим ключевые идеи, лежащие в основе этих методов.

 

3.1.1 Метод расчета чистого приведенного эффекта

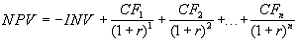
Этот метод основан на сопоставлении величины исходной инвестиции (IC) с общей суммой дисконтированных денежных поступлений, генерируемых ею в течение прогнозируемого срока. Поскольку приток денежных средств распределен во времени он дисконтируется с помощью коэффициента r, устанавливаемого аналитиком (инвестором) самостоятельно исходя из ежегодного процента возврата, который он хочет или может иметь на инвестируемый им капитал.

Допустим, делается прогноз, сто инвестиция (IC) будет генерировать в течение n лет годовые доходы в размере Р1, Р2, … Pn. Общая накопленная величина дисконтированных доходов (PV) и чистый приведенный эффект (NPV) соответственно рассчитываются по формулам:

, (3.1)

. (3.2)

Очевидно, что если NPV>0, то проект следует принять; если NPV<0, то проект следует отвергнуть; если NPV=0, то проект ни прибыльный, ни убыточный.

При прогнозировании доходов по годам необходимо по возможности учитывать все виды поступлений, как производственного, так и непроизводственного характера, которые могут быть ассоциированы с данным проектом. Так, если по окончании периода реализации проекта планируется поступление средств в виде ликвидационной стоимости оборудования или высвобождения части оборотных средств, они должны быть учтены как доходы соответствующих периодов.

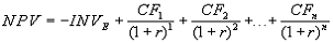
Если проект предполагает не разовую инвестицию, а последовательное инвестирование финансовых ресурсов в течение m лет, то формула для расчета NPV модифицируется следующим образом:

, (3.3)

где i - прогнозируемый средний уровень инфляции.

Расчет с помощью приведенных формул вручную достаточно трудоёмок, поэтому для удобства применения этого и других методов, основанных на дисконтированных оценках, разработаны специальные статистические таблицы, в которых табулированы значения сложных процентов, дисконтирующих множителей, дисконтированного значения денежной единицы и т.п. в зависимости от временного интервала и значения коэффициента дисконтирования.

Необходимо отметить, что показатель NPV отражает прогнозную оценку изменения экономического потенциала предприятия в случае принятия рассматриваемого проекта. Этот показатель аддитивен во временном аспекте, т.е. NPV различных проектов можно суммировать. Это очень важное свойство, выделяющее этот критерий из всех остальных и позволяющее использовать его в качестве основного при анализе оптимальности инвестиционного портфеля.

 

3.1.2 Метод расчета индекса рентабельности инвестиций

Этот метод является по сути следствием предыдущего. Индекс рентабельности (PI) рассчитывается по формуле:

. (3.4.)

Очевидно, что если PI>1, то проект следует принять; если PI<1, то проект следует отвергнуть; если PI=1, то проект ни прибыльный, ни убыточный.

В отличие от чистого приведенного эффекта индекс рентабельности является относительным показателем. Благодаря этому он очень удобен при выборе одного проекта из ряда альтернативных, имеющих примерно одинаковые значения NPV, либо при комплектовании портфеля инвестиций с максимальным суммарным NPV.

3.1.3 Метод расчета нормы рентабельности инвестиций

Под нормой рентабельности, или внутренней нормой прибыли инвестиций (IRR) понимают значение коэффициента дисконтирования, при котором NPV проекта равен нулю: IRR=r, при котором NPV = f (r) = 0.

Смысл расчета этого коэффициента при анализе эффективности планируемых инвестиций заключается в следующем: IRR показывает максимально допустимый относительный уровень расходов, которые могут быть ассоциированы с данным проектом. Например, если проект полностью финансируется за счет ссуды коммерческого банка, то значение IRR показывает верхнюю границу допустимого уровня банковской процентной ставки, превышение которого делает проект убыточным.

На практике любое предприятие финансирует свою деятельность, в том числе и инвестиционную, из различных источников. В качестве платы за пользование авансированными в деятельность предприятия ресурсами оно уплачивает проценты, дивиденды, вознаграждения и т.п., т.е. немеет некоторые обоснованные расходы на поддержание своего экономического потенциала. Показатель, характеризующий относительный уровень этих расходов, можно назвать ценой авансированного капитала (СС). Этот показатель отражает сложившийся на предприятии минимум возврата на вложенный в его деятельность капитал, его рентабельность и рассчитывается по формуле средней арифметической взвешенной.

Экономический смысл этого показателя заключается в следующем: предприятие может принимать любые решения инвестиционного характера, уровень рентабельности которых не ниже текущего значения показателя СС (или цены источника средств для данного проекта, если он имеет целевой источник). Именно с ним сравнивается показатель IRR, рассчитанный для конкретного проекта, при этом связь между ними такова. Если: IRR > СС, то проект следует принять; IRR < СС, то проект следует отвергнуть; IRR = СС, то проект ни прибыльный, ни убыточный.

Практическое применение данного метода осложнено, если в распоряжении аналитика нет специализированного финансового калькулятора. В этом случае применяется метод последовательных итераций с использованием табулированных значений дисконтирующих множителей. Для этого с помощью таблиц выбираются два значения коэффициента дисконтирования  таким образом, чтобы в интервале  функция NPV = f (r) меняла свое значение с " + " на "-" или с "-" на " +". Далее применяют формулу:

, (3.5)

где  - значение табулированного коэффициента дисконтирования, при котором функция ;

 - значение табулированного коэффициента дисконтирования, при котором .

Точность вычислений обратно пропорциональна длине интервала , а наилучшая аппроксимация с использованием табулированных значений достигается в случае, когда длина интервала минимальна (равна 1%), т.е.  и  - ближайшие к друг другу значения коэффициента дисконтирования, удовлетворяющие условиям (в случае изменения знака функции с "+" на "-"):

 - значение табулированного коэффициента дисконтирования, минимизирующее положительное значение показателя NVP, т.е. ;

 - значение табулированного коэффициента дисконтирования, максимизирующее отрицательное значение показателя NVP, т.е. .

Путем взаимной замены коэффициентов  и  аналогичные условия выписываются для ситуации, когда функция меняет знак с "-" на "+".

 

3.1.4 Метод определения срока окупаемости инвестиций

Этот метод - один из самых простых и широко распространен в мировой учетно-аналитической практике, не предполагает временной упорядоченности денежных поступлений. Алгоритм расчета срока окупаемости (РР) зависит от равномерности распределения прогнозируемых доходов от инвестиции. Если доход распределен по годам равномерно, то срок окупаемости рассчитывается делением единовременных затрат на величину годового дохода, обусловленного ими. При получении дробного числа око округляется в сторону увеличения до ближайшего целого. Если прибыль распределена неравномерно, то срок окупаемости рассчитывается прямым подсчетом числа лет, в течение которых инвестиция будет погашена кумулятивным доходом. Общая формула расчета показателя РР имеет вид:

 при котором . (3.6)

Некоторые специалисты при расчете показателя РР все же рекомендуют учитывать временной аспект. В этом случае в расчет принимаются денежные потоки, дисконтированные по показателю цена авансированного капитала. Очевидно, что срок окупаемости увеличивается.

Показатель срока окупаемости инвестиции очень прост в расчетах, вместе с тем он имеет ряд недостатков, которые необходимо учитывать в анализе.

Во-первых, он не учитывает влияние доходов последних периодов. В качестве примера рассмотрим два проекта с одинаковыми капитальными затратами (10 млн. руб.), ко различными прогнозируемыми годовыми доходами: по проекту А=4.2 млн. руб. в течение трех лет; по проекту Б - 38 млн. руб. в течение десяти лет. Оба эти проекта в течение первых трех лет обеспечивают окупаемость капитальных вложений, поэтому с позиции данного критерия они равноправны. Однако очевидно, что проект Б гораздо более выгоден.

Во-вторых, поскольку этот метод основан на недисконтированных оценках, он не делает различия между проектами с одинаковой суммой кумулятивных доходов, но различным распределением ее по годам. Так. с позиции этого критерия проект А с годовыми доходами 4000, 6000, 2000 тыс. руб. и проект Б с годовыми доходами 2000 4000.6000 тыс. руб. равноправны, хотя очевидно, что первый проект является более предпочтительным, поскольку обеспечивает большую сумму доходов в первые два года.

В-третьих, данный метод не обладает свойством аддитивности. Существует ряд ситуаций, при которых применение метода, основанного на расчете срока окупаемости затрат, может быть целесообразным. В частности, это ситуация, когда руководство предприятия в большей степени озабочено решением проблемы ликвидности, а не прибыльности проекта - главное, чтобы инвестиции окупились, и как можно скорее. Метод также хорош в ситуации, когда инвестиции сопряжены с высокой степенью риска, поэтому чем короче срок окупаемости, тем менее рискованным является проект. Такая ситуация характерна для отраслей или видов деятельности, которым присуща большая вероятность достаточно быстрых технологических изменений.

 

3.1.5 Метод расчета коэффициента эффективности инвестиций

Этот метод имеет две характерные черты: во-первых, он не предполагает дисконтирования показателей дохода; во-вторых, доход характеризуется показателем чистой прибыли PN (балансовая прибыль за минусом отчислений в бюджет). Алгоритм расчета исключительно прост, что и предопределяет широкое использование этого показателя на практике: коэффициент эффективности инвестиции (ARR) рассчитывается делением среднегодовой прибыли PN на среднюю величину инвестиции (коэффициент берется в процентах). Средняя величина инвестиции находится делением исходной суммы капитальных вложений на два, если предполагается, что по истечении срока реализации анализируемого проекта все капитальные затраты будут списаны; если допускается наличие остаточной или ликвидационной стоимости (RV), то ее оценка должна быть учтена.

 (3.7)

Данный показатель сравнивается с коэффициентом рентабельности авансированного капитала, рассчитываемого делением общей чистой прибыли предприятия на общую сумму средств, авансированных в его деятельность (итог среднего баланса-нетто).

Метод, основанный на коэффициенте эффективности инвестиции, также имеет ряд существенных недостатков, обусловленных в основном тем, что он не учитывает временной составляющей денежных потоков. В частности, метод не делает различия между проектами с одинаковой суммой среднегодовой прибыли, но варьирующей суммой прибыли по годам, а также между проектами, имеющими одинаковую среднегодовую прибыль, но генерируемую в течение различного количества лет, и т.п.

 


3.2 Рекомендации по использованию результатов оценки проекта реконструкции завода


При выполнении коммерческой оценки инвестиционных проектов обычно используется "классический" подход, суть которого заключается в рассмотрении проектов как вновь создаваемых предприятий.

Значительно более сложной оказывается проблема оценки таких инвестиционных проектов, осуществление которых предполагается на уже действующем предприятии. Основной вопрос инвестиционного анализа, а именно: насколько оправданным является решение о вложении капитала с точки зрения доходов, получаемых в будущем вследствие принятия такого решения, подразумевает в данном случае сопоставление исходного (стартового) состояния предприятия и того состояния, в которое оно перейдет после реализации инвестиционной программы.

В общем случае можно выделить два подхода к оценке инвестиционных проектов, осуществляемых на действующем предприятии. Первый из них, который мы будем называть "методом анализа изменений", в целом совпадает с вышеупомянутым "классическим" подходом и основывается, как следует из его названия, на определении и анализе изменений (приростов), связанных с осуществлением проекта.

Второй подход можно назвать "методом суперпозиции (наложения) проекта и предприятия". Его практическое использование сопряжено с преодолением значительных трудностей и в то же время вызывает сегодня наибольший интерес.

На практике, приходится сталкиваться с проектами, главным результатом осуществления которых оказывается не увеличение выручки от реализации, а абсолютное сокращение текущих, а именно - операционных, затрат. Эта ситуация наиболее характерна для мероприятий по реконструкции или модернизации существующего производства цемента.

Подобный эффект получает отражение в виде противоположных по знаку денежных потоков, описывающих производственную деятельность рассматриваемого предприятия. Одним из следствий этого оказывается весьма своеобразная структура себестоимости производимой продукции, в которой большинство статей (исключая амортизационные отчисления и проценты по кредитам) имеют отрицательные значения.

Кажущаяся абсурдность такой ситуации, тем не менее, нисколько не препятствует дальнейшему проведению анализа, поскольку итоговый результат - увеличение чистого денежного дохода и прибыли проекта - будет полностью соответствовать экономическому смыслу осуществляемых мероприятий. При подготовке исходной информации в нашем случае следует также обратить внимание на возможное снижение абсолютной величины чистого оборотного капитала (за счет уменьшения стоимости запасов, незавершенного производства и готовой продукции), что приводит к высвобождению дополнительных денежных средств и уменьшение общих инвестиционных затрат.

Главным достоинством метода анализа изменений оказывается относительная простота подготовки исходных данных. Основным источником информации для оценки проекта оказываются при этом, условно говоря, чисто "технологические" параметры (то есть те, которые характеризуют производственный процесс), а также, разумеется, объем дополнительных инвестиций (который чаще всего совпадает со стоимостью нового оборудования и затратами на подготовку производства). Из информации, относящейся к действующему предприятию, для подобного анализа требуется, в первую очередь, сложившаяся структура текущих затрат (себестоимости продукции) в части, относящейся к операционным затратам. Определение выручки от реализации может основываться на фактических данных (в случае расширения существующего производства) или на данных маркетинговых исследований (для проектов организации нового производства). Величина снижения общих инвестиционных затрат за счет уменьшения чистого оборотного капитала может быть рассчитана на основании анализа оборачиваемости текущих активов.

Применение метода анализа изменений позволяет сформировать прогнозный отчет о движении чистых денежных потоков (net cash flows), который служит основанием для расчета таких широко используемых "классических" показателей эффективности инвестиций, как чистая текущая стоимость проекта NPV, внутренняя норма прибыли на инвестиции IRR, срок окупаемости инвестиций PBP и других. Ставка сравнения, которая при этом будет использоваться (для расчета NPV и PBP и для сопоставления с IRR), должна соответствовать существующим возможностям предприятия. В качестве одного из вариантов, в частности, может быть предложена средневзвешенная стоимость собственного капитала, определяемая по известной методике CAPM (Capital Asset Pricing Model).

Поскольку проект в действительности не представляет собой самостоятельную экономическую единицу (юридическое лицо) и при выполнении расчетов не учитывается исходное состояние предприятия и его деятельность, выходящая за рамки рассматриваемого инвестиционного проекта, подготовка с помощью метода анализа изменений базовых форм финансовой оценки (прогнозных отчетов о прибыли и убытках, о движении денежных средств и баланса) может носить исключительно демонстрационный характер.

Соответственно, нельзя говорить о его действительной платежеспособности, ликвидности и прочих финансовых характеристиках. Все это не позволяет однозначно ответить на вопрос о финансовой состоятельности (платежеспособности) предприятия, на котором предполагается осуществление данного проекта, в частности - не позволяет дать оценку его кредитоспособности.

Таким образом, возможности применения метода анализа изменений ограничиваются "внутренней" (в смысле - ориентированной на лиц, принимающих решение на уровне руководства предприятия) оценкой эффективности инвестиционных затрат, а результаты выполненных расчетов могут рассматриваться лишь как оценка потенциальной возможности окупаемости вложенных денежных средств. Основным критерием состоятельности инвестиционного проекта при использовании такого подхода оказывается обеспечение приемлемого уровня доходности, в качестве измерителя которого должна выступать ставка сравнения.

В случае, как с нашим проектом реконструкции цементного завода, т.е. реализуемыми на действующем предприятии, приходится сталкиваться, с одной стороны, с результатами предшествующей деятельности последнего (например, с наличием действующих постоянных активов, долгосрочной задолженности, существующими запасами сырья и нереализованной готовой продукции и так далее), а, с другой стороны, с необходимостью учета параллельно с проектом также и функционирования других подразделений (цехов, производств) предприятия. Понятно, что большие масштабы и сложная организационно-производственная структура последнего, равно как и неоднородность выпускаемой продукции, приводят к тому, что решение этой задачи становится весьма непростым делом.

Проблема усугубляется еще и тем, что исходная информация о состоянии предприятия, с одной стороны, и информация о проекте - с другой, имеют различную природу. Если источником первой служит фиксированная финансовая и бухгалтерская отчетная документация, то вторая оказывается более "свободной", поскольку представляет собой прогноз наиболее вероятных будущих значений, определяемых, большей частью, технологическими характеристиками нового оборудования. Поэтому в случае использования фактических данных для формирования каких-либо прогнозов всегда подразумевается их упрощение и усреднение - как по критерию вероятности, так и по фактическим колебаниям. Немаловажным для понимания различия между этими двумя видами информации является то, что отчетная документация всегда отражает текущие (номинальные, инфляционные) или "исторические" цены и весьма сложным оказывается определение "реальной" величины того или иного исходного компонента. Последнее, может быть очень существенным, например, при расчете рентабельности или показателей оборачиваемости и сопоставления расчетных (проектных) показателей с фактическими.

Если говорить коротко, то суть метода суперпозиции проекта и предприятия заключается в прохождении трех этапов:

На первом этапе готовится информация, описывающая проект сам по себе - для этого может быть использован метод анализа изменений. "Побочным" продуктом этого этапа становится предварительное заключение о потенциальной экономической целесообразности осуществления проекта.

Второй этап - самый сложный. Задача, которая должна быть решена здесь - это фактически разработка финансового плана деятельности предприятия в целом, при условии, что рассматриваемый проект не будет осуществлен. При разработке плана целесообразно использовать методы упрощенные финансового прогнозирования. Глубина и дискретность планирования должна соответствовать сроку жизни и интервалу планирования предполагаемого инвестиционного проекта. Степень подробности разработанного плана должна быть разумной, но не слишком загрубленной, чтобы позволить получить информацию о всех направлениях деятельности предприятия - операционной, инвестиционной и финансовой. Для этого нужно на всем протяжении периода планирования определить общий объем выпускаемой продукции, составить общую смету эксплуатационных (текущих) затрат и рассчитать общий объем инвестиций в постоянные активы и чистый оборотный капитал, а также рассматривать общую схему финансирования предприятия.

Третий этап представляет собой собственно наложение проекта на "основу". Совмещение финансового плана и проекта должно происходить на "стыке" последнего из охваченных финансовой отчетностью периодов. Это может быть, например, конец очередного квартала, который должен стать первым (или нулевым - в зависимости от удобства обозначения) интервалом планирования

Представленный метод подготовки информации для оценки проекта, осуществляемого на предприятии, безусловно, является очень трудоемким. Поэтому его применение в полном виде вряд ли окажется целесообразным для принятия решений о судьбе проектов, несопоставимых по масштабам с самим предприятием. В последнем случае, видимо, другой возможности, кроме как использование "классического" подхода или метода анализа изменений, нет.

Ниже описан способ, позволяющий построить достаточно упрощенную модель суперпозиции проекта и предприятия. Подобная модель может быть реализована с использованием какого-либо пакета электронных таблиц или на базе специализированных программных продуктов для инвестиционного анализа "Альт-Инвест", "Альт-Инвест-Прим", Project Expert, а также аналогичных систем, позволяющих за счет своей открытости решать нестандартные задачи. Эта модель может быть полезна для оценки не очень сложных проектов, осуществляемых на не слишком диверсифицированных предприятиях. В качестве исходной информации о состоянии предприятия здесь предполагается использование агрегированного баланса на последнюю отчетную дату.

Предлагаемый способ заключается в том, что к сумме общих инвестиционных затрат в первом интервале планирования добавляется остаточная стоимость постоянных активов (балансовая стоимость основных средств и нематериальных активов за вычетом начисленного износа). Такая же сумма, уменьшенная на величину имеющихся кредитов, относится в качестве собственного (учредительского) капитала к источникам финансирования. Сумма имеющейся задолженности по банковским кредитам также добавляется к источникам финансирования. При этом следует предусмотреть возможные условия по погашению, полному или частичному, этой задолженности в пределах рассматриваемого периода планирования.

Норма амортизационных отчислений для существующих постоянных активов и процентная ставка для кредитов рассчитываются по фактическим данным - на основании анализа соответствующих отчетных форм. При этом не следует забывать, что процентная ставка всегда будет получена в номинальном выражении и будет относится к отчетному периоду (скорее всего - к кварталу).

Информация, которая дополнительно должна быть введена в расчеты, относится к определению величины и структуры чистого оборотного капитала для построения прогноза существующего предприятия. Здесь может быть рекомендовано придерживаться "классической" схемы расчета последнего как разности между текущими (оборотными) активами и текущими (краткосрочными) пассивами. Текущие активы и пассивы могут быть сгруппированы в несколько позиций, с переносом неклассифицируемой части (например, "прочих оборотных активов") в категорию постоянных активов или кредитов. После этого следует оценить, используя фактические данные, периоды оборота (в днях) по каждой группе, что позволит построить прогноз их изменения в будущих интервалах планирования при изменении объемов производства (продаж) уже существующей продукции. В случае, если фактическая величина текущих активов существенно превышает нормируемую (например, за счет избыточных запасов готовой продукции и просроченных счетов к получению), может быть предложено списание их как убытков, с соответствующим уменьшением величины собственного капитала. В любом случае "стартовые" значения по всем позициям текущих активов и пассивов должны быть ведены в первом (нулевом) интервале планирования.

Объемы производства (продаж), цены и операционные затраты по имеющейся товарной номенклатуре должны вноситься, начиная со следующего (второго по счету) интервала планирования. Поскольку расчеты, как предполагается, будут производиться в постоянных ценах, численные значения большинства этих параметров останутся неизменными и равными имеющимся фактическим показателям.

Таким образом, мы получим упрощенную модель финансового прогноза при условии сохранения существующего состояния предприятия. Эта модель будет служить основой или фоном, на котором будут осуществляться мероприятия, описываемые собственно инвестиционным проектом. Данные, характеризующие проект, как уже говорилось, должны быть подготовлены с использованием метода анализа изменений.

 

3.3 Выводы по разделу


Исходя из рассмотрения рынка цементной продукции в современной России в целом и в частности в Санкт-Петербурге, а также рассмотрев современное состояние и перспективы развития ЗАО "Корта" мы пришли к выводу, что данное предприятие вполне может стать организатором реконструкции цементного завода в Санкт - Петербурге (Пикалевский Цемент).

Проект реконструкции цементного завода может быть создан на базе завода Пикалевский Цемент при участии других участников рынка в Санкт-Петербурге.

При совместном финансировании проект цементного завода можно спланировать на 1 год со сроком окупаемости в 7, 4 лет.

Данную процедуру можно будет проводить при эффективном развитии строительных компаний в Санкт-Петербурге и Ленинградской области.

Глава 4. Проектное решение по реконструкции цементного завода

 

4.1 Проектное решение


Успешное развитие современного бизнеса немыслимо без инвестирования средств в его дальнейшее развитие. Основой такого дальнейшего развития может быть инвестирование денежных средств в смежную область производства.

Эффективное вложение денежных средств поможет в будущем получить еще большую прибыль.

Так, например, строительная фирма, вкладывающая денежные средства в собственное производство строительных материалов, обеспечивает в будущем не только доход от дополнительного производства материалов, но и обеспечивает собственное производство материалами по себестоимости.

Основными задачами при инвестировании денежных средств в реконструкцию цементного завода можно сформулировать следующим образом:

Захват большей доли строительного рынка;

Вытеснение мелких конкурентов;

Получение прибыли;

Обеспечение своего основного производства строительным материалом по себестоимости;

Увеличение конкурентоспособности компании.

Оценка эффективности инвестиционного проекта сводится к построению и исследованию некоторой экономико-математической модели процесса реализации проекта.

Необходимость моделирования обусловлена тем, что при оценке проекта сложный и многоплановый процесс реализации проекта приходится упрощать, отбрасывая малозначащие факторы и акцентируя внимание на наиболее существенных. В результате объектом рассмотрения становится не сам проект, а связанные с ним материальные и денежные потоки, и проблема сводится к тому, чтобы "перевести" проектную документацию на язык денежных потоков, а интересы участников проекта отразить в расчетных формулах, позволяющих оценивать денежные потоки с точки зрения этих интересов.

При оценке эффективности исходят из той информации о проекте, которая содержится в проектных материалах, принимая ее обычно как полную, точную и достоверную. При экспертизе или анализе проекта задача обратная - выяснить, насколько полна, точна и достоверна приведенная в этих материалах информация (включая и информацию о параметрах проекта, его реализуемости и связанном с ним риске).

Оценка и экспертиза инвестиционных проектов производится обычно при их разработке или экспертизе для реализации трех типов задач:

оценка конкретного проекта;

обоснования целесообразности участия в проекте;

сравнения нескольких проектов (вариантов проекта) и выбор лучшего из них.

Оценка конкретного проекта предусматривает:

оценку финансовой реализуемости проекта;

оценку выгодности реализации проекта или участия в нем с точки зрения участников проекта, государства и общества;

выявление граничных условий эффективности реализации проекта;

оценку риска, связанного с реализацией проекта, и устойчивости проекта при случайных колебаниях рыночной конъюнктуры и других изменениях внешних условий реализации.

Расчетная схема для оценки эффективности инвестиций в проект цементного завода в результате приобретает законченный вид.

Производим прогноз денежных потоков.

Исходя из структуры финансирования инвестиций и стоимости отдельных компонент (при заданной ставке налога на прибыль) оцениваем взвешенную среднюю стоимость капитала WACC.

Производим расчет показателя NPV по следующей формуле:

, (9.1)

где INV - суммарный объем инвестиций, r = WACC, а денежные потоки CF1, CF2,., CFn

Если используется IRR-метод, то значение показателя IRR определяется с помощью решения уравнения

. (9.2)

Полученное значение внутренней нормы прибыльности затем сравнивается с взвешенной средней стоимостью капитала, и проект принимается с точки зрения финансовой эффективности, если IRR > WACC.

Расчет показателей эффективности производится с помощью следующей процедуры.

производим прогноз денежных потоков.

Оцениваем стоимость собственного капитала компании rE.

Производим расчет показателя NPV по следующей формуле:

,

где INVЕ - объем собственных инвестиций, r = rE, а денежные потоки CF1, CF2,., CFn

Если используется IRR-метод, то значение показателя IRR определяется с помощью решения уравнения

 (9.4)

Полученное значение внутренней нормы доходности затем сравнивается со стоимостью собственного капитала, и проект принимается, если IRR > rE.

По существу, в соответствии со второй схемой оценивается эффективность применения собственного капитала предприятия. Все кредитные элементы инвестиционной схемы "изымаются" из расчета.

Чистый дисконтированный доход;

Срок окупаемости;

Внутреннюю норму доходности;

Индекс прибыльности инвестиций.

Чистый дисконтированный доход рассчитывается по формуле:

                   Tp                    Tp

ЧДД = å (Rt - Z’t) ´ at - å Кt ´ at (1)

                   t=1                      t=1

at = (1 + E) - t, (2)

где ЧДД - чистый дисконтированный доход за расчетный период времени Tp; Rt - денежные поступления на t-ом интервале расчетного периода; Z’t - выплаты на t-ом интервале расчетного периода за исключением капиталовложений; Кt - капиталовложения на t-ом интервале; at, E - соответственно, коэффициент и норма дисконтирования.

Для эффективных инвестиционных проектов должно выполняться условие ЧДД>0.

Срок окупаемости характеризует период времени, в течение которого сделанные инвестором вложения в проект возместятся доходами от его реализации. Его величина может быть определена, как наименьший корень следующего неравенства:

Tок                Tок

å Кt: (1+E) t < å (Rt - Z’t): (1+E) t, (3)

t=1                 t=1

В левой части неравенства представлены дисконтированные инвестиции в реализацию проекта, в правой - доходы, получаемые при его осуществлении. Суммирование в левой и правой частях неравенства выполняется до тех пор, пока суммарный дисконтированный доход в правой части не превысит величину суммарных дисконтированных инвестиций. Для экономически эффективных проектов должно выполняться условие Ток<Т, т.е. сделанные вложения капитала должны окупаться в пределах установленного расчетного периода.

Внутренняя норма доходности отражает размер дохода в расчете на единицу инвестиций, вложенных в реализацию проекта и рассчитывается как корень следующего уравнения:

Tp                                Tp

å (Rt - Z’t): (1+Eвн) t = å Кt: (1+Eвн) t, (4)

t=1                               t=1

где Eвн - внутренняя норма прибыли.

Если определенная из уравнения (4) величина внутренней нормы доходности превышает требуемую инвестором минимально-допустимую норму дохода на вложенный капитал (т.е. - норму дисконтирования), то реализация проекта признается целесообразной.

Индекс прибыльности (доходности) инвестиций - отношение интегрального дисконтированного сальдо денежного потока, определенного без учета инвестиций по проекту, к интегральным дисконтированным инвестициям. Он рассчитывается по формуле:

     Tp

PI = å (Rt - Z’t) ´ at / К0 (5)

      t=1

Для экономически эффективных проектов должно соблюдаться условие PI>1.

Данное моделирование будет проводиться при помощи программного продукта Project Expert.

 

4.2 Выводы по разделу


Подведем итоги, строительная фирма ЗАО "Корта", вкладывающая денежные средства в собственное производство строительных материалов, обеспечивает в будущем не только доход от дополнительного производства материалов, но и обеспечивает собственное производство материалами по себестоимости.

Основными задачами при инвестировании денежных средств в реконструкцию цементного завода можно сформулировать следующим образом:

Захват большей доли строительного рынка;

Вытеснение мелких конкурентов;

Получение прибыли;

Обеспечение своего основного производства строительным материалом по себестоимости;

Увеличение конкурентоспособности компании.

Оценка эффективности инвестиционного проекта сводится к построению и исследованию некоторой экономико-математической модели процесса реализации проекта.

Моделирование результатов инвестиций будет проводиться при помощи программного продукта Project Expert.

Глава 5. Результаты оценки эффективности проектного решения

 

5.1 Эффективность проектного решения


Реконструкция цементного завода по сухому способу производства мощностью 1,3 млн. тонн в год на промышленной площадке Пикалевский цемент, оздоровление экологической обстановки в городе и вокруг него, обеспечение растущей потребности Санкт - Петербурга и Ленинградской областей в цементе, снижение себестоимости цемента за счет меньшей топливоемкости сухого способа производства.

"Сухой" способ гораздо эффективнее, экономичнее, экологически более безопасен. Он позволит значительно сократить издержки на производство: расход топлива - на 50%, электроэнергии - на 20%, воды - на 74%. Общее сокращение затрат составит 30%. [30]

На заводе после реконструкции производственный процесс будет фактически полностью автоматизирован.

Стадия готовности инвестиционного проекта:

Готовится вынос всех сетей оборотного снабжения. Монтируются трубопроводы, выносятся коммунальные сети из зоны строительства, реконструирован мостовой переход.

В настоящее время подготовлена к основным работам цеха предприятия. К середине будущего года все цеха будут готовы к реконструкции в соответствии с рабочей документацией. Завершается договорная работа с поставщиками оборудования.

Полная инженерная подготовка реконструкции должна завершиться к маю 2013 года.

Общий объем освоенных средств составляет около 162 млн. рублей.

Ориентировочные сроки реализации проекта (начало, окончание):

Инвестиционный проект предполагает начало реконструкции в 2013 году.

Запуск технологической линии запланирован на январь 2014 года.

Выход на плановый объем продаж (проектную мощность линии в 1.3 млн. тонн в год) запланирован на 209 год.

Возможные формы участия инвестора в проекте:

Структура финансирования проекта:

% - собственные средства, 70% - заемные средства.

Требуемый объем господдержки - 165,8 млн. рублей.

Получены предложения от 17 кредитных организаций по финансированию проекта. По результатам анализа поданных предложений отобрано 5 в их число внесена и ЗАО "Корта" потенциальных инвесторов, внесших предложение по комплексному кредитованию на приобретение российского, импортного оборудования и финансирование приобретения оборотных средств. Среди участников будет проведен тендер по мере заключения соглашений с поставщиками оборудования для технологической линии.

Основные показатели эффективности проекта:

Создание новых рабочих мест - увеличение численности персонала на 169 человек.

Увеличение потока налоговых платежей в консолидированный бюджет области до 400 млн. руб. в год при выходе на проектную мощность.

Снижение удельной нормы вредных выбросов в атмосферу.

Общая стоимость проекта, млн. руб.: 5 630

Требуемый объем инвестиций, млн. руб.: 4 004

Срок окупаемости: 6 лет

 

5.2 Выводы по разделу


Подводя итоги, отметим, что реконструкция цементного завода является очень прибыльным и выгодным вариантом вложения денежных средств.

Важным является то, что изменяется технология производства цемента на принципиально новую - производство по "сухому" принципу.

Говоря от экономической эффективности данного проекта, отметим, что проект очень выгодный, т.к. при больших капитальных вложениях (4 004 тыс. руб.), проект окупается за 6 лет.

Кроме того, проект является экологичным, т.к. при производстве по "сухому" методу достигается сбережение энергозатрат, и проект характеризуется малыми показателями по загрязнению окружающей среды.

Заключение


Рассматривая политику фирмы "Корта" мы пришли к выводу, что в настоящее время данная организация готова к принятию новых решений по расширению производственных мощностей. Данный вывод был сделан на основании того, что в последние несколько лет в России в целом и в Санкт - Петербурге в частности активно развивается строительная сфера экономики. Следовательно, не хватает тех производственных мощностей, которые могут обеспечивать эффективное функционирование всех строительных организаций Санкт-Петербурга. Как говорилось выше, производство 55 млн. тонн цемента в год не достаточно для активного развития строительного комплекса. В настоящее время строительным организациям всей страны требуется в год около 80 млн. тонн цемента. Исходя из этого, на базе ЗАО "Корта" был разработан проект строительства цементного завода по предложению АО "Саввинский цемент", в проекте которого ЗАО "Корта" может участвовать на паях, что, следовательно, уменьшит его затраты на производство недостатка цемента.

Еще одним фактором, который работает в пользу данного проекта - меньшие затраты на использование более дешевой рабочей силы регионов России. Уменьшение затрат приведет к более эффективному использованию финансовых ресурсов ЗАО "Корта". Деньги могут быть потрачены на привлечение новых потребителей услуг по экспертизе и эксплуатации дымоходных и газоходных труб и т.д. в Санкт-Петербурге. Также, на освободившиеся средства можно будет приобрести оборудование, износ которого в строительных организациях достигает 70-80 %. Несмотря на сложившуюся благоприятную экономическую ситуацию, всем известно, что экономический подъем не бесконечен, а в эффективной работе фирмы заинтересованы как ее руководители, так и персонал. А следовательно, в настоящее время выгоднее расходовать средства на маркетинговые исследования и их эффективное внедрение.

Библиография


1.      Ансофф И. Новая корпоративная стратегия - СПб: Изд-во "Питер", 1999. - 416 с.;

2.      Багиев Г.Л., Тарасевич В.М. Маркетинг: Учебник для вузов - 2-е издание, переработанное и дополненное. - М.: ЗАО Изд-во "Экономика", 2001. - 718с.;

.        Баринов В.А. Экономика фирмы: стратегическое планирование. - М.: "КноРус", 2005, с.230;

.        Беляевский И.К. Маркетинговое исследование: информация, анализ, прогноз: Учеб. Пособие. - М.: Финансы и статистика, 2001. - 320с.;

.        Богаткин Ю.В., Швандар А.В. Экономическое управление бизнесом: Учебное пособие для ВУЗов. - М.: "ЮНИТИ - ДАНА", 2001. - 391с.;

.        Валдайцев С.В. Оценка бизнеса и управление стоимостью предприятия: Учебное пособие для вузов. - М.: ЮНИТИ-ДАНА, 2001г. - 720с.;

.        Голубков Е.П. Маркетинговые исследования: теория, методология и практика. - 2-е издание, переработанное и дополненное. - М.: Изд-во "Финпресс", 2000. - 464с.;

.        Голубков Е.П. Основы маркетинга: Учебник. - М.: Финпресс, 1999.;

.        Голубков Е.П. Стратегическое планирование и роль маркетинга в организации // Маркетинг в России и за рубежом, 2000год, №3;

.        Дейан А., Троадек А. Стимулирование сбыта - СПб.: Изд-во "Нева", 2003. - 128 с.;

.        Дэй Д. Стратегический маркетинг. - М.: Изд-во ЭКСМО - Пресс, 2002. - 640с.;

.        Зуб А.Т. Стратегический менеджмент: Теория и практика: Учебное пособие для вузов. - M.: Аспект Пресс, 2002. - 415 с.;

.        Качество отношений - ключ к успеху. // Недвижимость и строительство Петербурга, №10 (192), март 2002;

.        Клейнер Г.Б., Тамбовцев В.Л., Качалов Р.М. Предприятия в нестабильной экономической среде: риски, стратегия, безопасность.М., 1997, 315с.;

.        Коробейников О.П., Колесов В.Ю., Трифилова А.А. Стратегическое поведение: от разработки до реализации. // Менеджмент в России и за рубежом, 2002, №3.

.        Котлер Ф. Маркетинг менеджмент - СПб: Питер, 2000. - 752 с.;

.        Котлер Ф. Новые маркетинговые технологии. Методики создания гениальных идей. - СПб.: Нева, 2004г.

.        Кравченко Л.И. Анализ хозяйственной деятельности в торговле: Учебник - 6-е издание., перера. - М.: Новое знание, 2003. - 526 с.;

.        Кузнецов А.И., Омельченко И.Н. Технология бизнес-планирования. - М: Издательство: "Московский государственный технический университет им. Н.Э. Баумана", 2005, с. 195;

.        Ламбен Ж.Ж. Стратегический маркетинг. Европейская перспектива. - Спб.: Наука, 1996. - 547 с.;

.        Ланкастер Д., Джоббер Д. Продажа и управление сбытом. /пер с англ. Л.В. Измаиловой - М.: - Амалфея, 1999 - 384с.;

.        Лихачева О.Н. Финансовое планирование на предприятии. - М.: "Проспект", 2004, с.264;

.        Логинов П.П. Стратегическая оценка текущего планирования. // Менеджмент, 2004, №3;

.        Малых В.В. Управление маркетингом торговой фирмы. - М.: Изд-во "Экзамен", 2000. - 192 с.;

.        Мамонов В.И., Мамонова Е.В. Стратегическое планирование деятельности компании и роль маркетинговых исследований. // Менеджмент в России и за рубежом, 2003, №2;

.        Мир бизнеса: консультации и комментарии. // Маркетинг №3, (70), октябрь 2003. - 95с.;

.        Морозов Ю.П., Боровков Е.В., Королев И.В. Планирование на предприятии. / под. Ред. Ю.П. Морозова. - М.: "ЮНИТИ", 2004, с.256;

.        Морозова Т.Г., Пикулькин А.В., Прогнозирование и планирование в условиях рынка. / под. Ред. Т.Г. Морозова. - М.: Издательство: "ЮНИТИ", 2003, с.279;

.        Моррисон Д. Маркетинг со скоростью мысли. - М.: Изд-во ЭКСМО-Пресс, 2002. - 448 с.;

.        Никишкин В.В., Цветкова А.Б. Особенности комплекса маркетинга в торговых предприятиях. // Маркетинг в России и за рубежом №4, 2001 год;

.        Ноздрева Р.Б., Крылова Г.Д. Маркетинг: Учебник, практикум и учебно-методический комплекс по маркетингу - М.: Юрист, 2000 - 568 с.;

.        Ойнер О.К., Арбенина Т.И. Стратегическое планирование и маркетинг: Учеб. Пособие. Екатеринбург: изд-во Урал. гос. экон ун-та, 1997 - 64с.;

.        Покупатель помолодел. // Top manager, апрель 2004 года;

.        Попов Е.В. Продвижение товара. Екатеринбург.: Наука, 1997. - 342 с.

.        Рикошинский А. Производство строительной техники за 9 месяцев 2004 года. // Основные средства, №12, 2004.;

.        Романов А.Н., Корлюгов Ю.Ю. Маркетинг: Учебник - М.: Банки и биржи, ЮНИТИ, 1996. - 560 с.;

.        Рынок диктует застройщикам новые технологии. // Петербургский строительный рынок, №8 (26), август, 2002;

.        Рынок: Бизнес. Коммерция. Экономика. Толковый терминологический словарь. - 3-е изд., испр., доп. - М.: Информационно-внедренческий центр "Маркетинг", 1997.;

.        Скамай Л.Г., Трубочкина М.И. Экономический анализ деятельности предприятия. - М.: "ИНФРА-М", 2004, с.294;

.        Соломатин А.Н. Экономика и организация деятельности торгового предприятия: Учебник - М.: ИНФРА-М, 2001. - 295 с.;

.        Терещенко В.М. Маркетинг: новые технологии в России. - СПб: Питер, 2001. - 416с.;

.        Томпсон А.А., Стрикленд А. Дж. Стратегический менеджмент. Искусство разработки и реализации стратегии: Учебник для Вузов/ пер. с анг. Под ред.Л.Г. Зайцева, М.И. Соколовой. - М: Банки и биржи, ЮНИТИ, 1998г.576с.;

.        Шеховцева Л.С. О некоторых понятиях стратегического управления. // Менеджмент в России и за рубежом, 2002, №6.

.        Шумкин С. Проблемы и направления развития. // Строительство и городское хозяйство, №75, февраль 2005;

.        Эванс Дж., Р. Берман Б. Маркетинг. - М.: Сирин, 2002г., 308с.

.        Интернет - источники:

47.    <http://www.stroy-press.ru> - сайт строительных изданий

.        <http://www.stroysoyuz.ru/> - сайт Строительного Союза

.        http:  // bookr.ru/ Соколова Л.В. Конкурентоспособность предприятия и критерии ее оценкиэ

.        <http://www.cfin.ru/marketing> Рыбальченко И. Практические методы разработки и анализа товарной стратегии предприятия на основе внутренней вторичной информации. Данные сайта

51.    http://www.Ersds. e-burg.ru <http://www.Ersds.e-burg.ru>

52.    <http://www.Gks.ru>

.        <http://www.crep.ru> Суширов А.И. Анализ конкурентоспособности предприятия на основе технологии бенчмаркинга.

.        http://www.masters.edu/ru <http://www.masters.Edu/ru> Захаров А.Н., Зокин А.А. Конкурентоспособность предприятия: Сущность, оценки, механизмы увеличения;

.        http://www.Cfin.ru/press Голубков Е.П. Маркетинг как концепция рыночного управления;

Похожие работы на - Оценка эффективности проекта реконструкции цементного завода

 

Не нашли материал для своей работы?
Поможем написать уникальную работу
Без плагиата!
Без нейросетей!