Расчет коленчатого вала двигателя 6ЧН 25/34
Курсовая
работа
Расчет
коленчатого вала двигателя 6ЧН 25/34
Основные параметры и
характеристики двигателя
Обозначение дизеля: 6ЧН 25/34-3
Мощность: 320 кВт
Мощность перегрузки (не более 1
часа): 352 кВт
Кол-во цилиндров: 6
Диаметр цилиндра / ход поршня:
250 / 340 мм
Рабочий объем цилиндров: 100,08
л
Степень сжатия: 12,5
Среднее эффективное давление:
8,47 кг/см2
Максимальное давление сгорания:
75 кг/см2
Частота вращения: 500 об/мин
Средняя скорость поршня: 5,67
м/с
Род тока - переменный трехфазный:
частота: 50 Гц
напряжение: 400 В
ток статора на номинальной
мощности при cos =0,8: 578 A
Удельный расход топлива: 228
г/кВт ч
Удельный расход масла на угар:
1,45 г/кВт ч
Срок службы масла: 3000 ч
Объем масла в системе смазки:
340 л
Объем воды в системе
охлаждения: 250 л
Ресурсы:
непрерывной работы: 1000-1200 ч
до переборки: 10000-18000 ч
до капитального ремонта:
60000-70000 ч
Габариты:
длина: 5495 мм
ширина: 1750 мм
высота: 2925 мм
Масса сухая: 16600 кг
Автоматизация: 1-я или 2-я
степень по ГОСТ 14228-80
Общее устройство
Дизель-генераторы состоят из
дизеля и генератора, смонтированных на общей раме, и вспомогательного
оборудования, устанавливаемого в машинном помещении.
Соединение коленчатого вала
дизеля с ротором генератора эластичное колодочной резиновой муфтой, а в ДГРА
800/750 жесткое фланцевое.
По исполнению дизель-генераторы
правой модели (газо-выпускной коллектор находится справа, а сторона управления
слева, если смотреть со стороны генератора). Дизели четырехтактные,
шестицилиндровые, с вертикальным однорядным расположением цилиндров, с
непосредственным впрыском топлива, с газотурбинным наддувом и охлаждением
наддувочного воздуха. Остов дизелей состоит из блок-картера и фундаментной
рамы, скрепленных анкерными связями, образующих жесткую конструкцию, на которой
смонтированы все остальные детали и узлы. В ДГРА 800/750 блок-картер с
подвесным коленвалом установлен на подмоторной раме. На переднем торце дизеля
размещены: турбокомпрессор, охладитель наддувочного воздуха, фильтр топлива,
насосы воды, масла, топливоподкачивающий и маслопрокачивающий насосы. Со
стороны заднего торца размещены: щит приборов, главный пусковой клапан,
распределитель воздуха, механизм безопасности, регулятор скорости, привод
распредвала. На верхней части дизеля размещены крышки рабочих цилиндров, к
которым крепятся: впускной коллектор, выпускной коллектор и коллектор отвода
воды из крышек цилиндров. На стороне управления дизелем размещены:
распределительный вал, топливные насосы и их приводы, привод впускных и выпускных
клапанов, механизм регулирования подачи топлива, тяга с защелками механизма
безопасности и фильтр тонкой очистки масла. На противоположной управлению
стороне дизеля расположены: коллектор подачи охлаждающей воды к втулкам рабочих
цилиндров, предохранительные противовзрывные клапаны, охладители масла и воды с
регуляторами температуры прямого действия.
Рис.1.Поперечный разрез
двигателя 6ЧН25\34
Рис.2.Продольный разрез
двигателя 6ЧН25\34.
Раздел №1 Описание коленчатого вала
Коленчатый вал воспринимает усилия от шатунов,
преобразует их во вращающий момент и передает его потребителю, осуществляет
перемещение поршней во вспомогательных ходах, передает движение к
распределительному валу, приводит в действие вспомогательные механизмы. На вал
действуют силы от давления газов и силы инерции поступательно движущихся и
вращающихся масс, изгибающие и скручивающие моменты от этих сил. Они вызывают
деформацию в элементах, концентрацию напряжений, трение и изнашивание его шеек
и подшипников. Периодически изменяющиеся крутящие моменты вызывают крутильные
колебания вала, которые увеличивают напряжение в его элементах и могут
способствовать усталостному разрушению вала.
Коленчатый вал. Основными
элементами коленчатого вала (рис. 2.17, а) являются шатунные (мотылевые) 4 и
корененные (рамовые) 2 шейки, соединяющие их щеки 3, кормовой и носовой концы
вала. Шатунные шейки вместе со щеками образуют колена (мотыли, кривошипы),
число которых равно числу цилиндров. Коренные шейки соединяют кривошипы в
единую конструкцию, имеющую сложную пространственную форму. Кривошипы
заклинивают относительно друг друга под углом а = = (360/f)z
(здесь z= 1 для двухтактных
и z = 0,5 для
четырехтактных двигателей), что обеспечивает получение наиболее равномерного
крутящего момента, лучшую уравновешенность двигателя. Заклинивание колен должно
также обеспечивать определенную последовательность вспышек в цилиндрах, при
которой будет получено более равномерное распределение нагрузки по длине вала.
Коленчатые валы в ВОД и СОД
выполняют цельными, а в МОД - по длине вала составными из нескольких частей,
соединенных фланцами. Кривошипы вала изготовляют цельными, полусоставными,
составными и сварными (рис. 3,б-е). Полусостапные кривошипы валов СОД и МОД
имеют шатунную шейку, выполненную за одно целое со щеками, в которые
запрессованы с натягом рамовые шейки (рис. 3, е). Коленчатые валы МОД могут
иметь составные кривошипы из отдельных шеек и щек (рис. 3,г), если толщина слоя
металла между шейками будет не мене 0,3 их диаметра. В современных МОД, имеющих
валы повышенной жесткости, возможно применение сварных кривошипов. Варианты
конструкций сварных кривошипов из литых элементов предусматривают сборку вала
путем сварки половинок рамовых шеек, выполненных заодно с цельным кривошипом
(рис. 3,5), или путем сварки рамовых и шатунных шеек, половинки которых
выполнены вместе со щекой (рис. 3, е). Правильную установку элементов вала
перед сваркой осуществляют с помощью кольцевых шайб, которые вставляют в
центрирующие проточки во внутренних сверлениях шеек. После сварки вал
обрабатывают. Размеры (диаметр и длину шеек) выбирают из условия обеспечения
требуемых прочности и жесткости вала, получения допустимых удельных давлений на
подшипники и далее уточняют расчетом. Диаметры рамовых и шатунных шеек
принимают равными. Иногда для снижения неуравновешенных масс диаметр шатунной
шейки уменьшают по сравнению с рамовой. Для снижения массы и повышения
усталостной прочности вала в шейках делают осевые отверстия цилиндрической или
бочкообразной формы. Сопряжение шеек со щеками для уменьшения концентрации
напряжений выполняют плавно с большим радиусом закруглений (галтелей). Чтобы не
уменьшать рабочую длину шейки, галтели утапливают в щеку (рис. 3, в, д, е).
Поверхности шеек и галтелей тщательно шлифуют.
Рис.3. Коленчатый вал: а -общий
вид; б -цельный; в - полусостзшшй; г - составной; д, е - сварной; ж - крепление
противовеса.
Щеки соединяющие между собой
шейки вала, могут иметь различную форму. Прямоугольные щеки (рис. 3, й) со
скосами для уменьшения неуравновешенной массы просты в изготовлении; их
применяют в СОД. Щеки круглой формы (рис. 3,6) используют в ВОД и СОД. Щека
овальной формы (рис. 3 в,е) наиболее рациональна с точки зрения использования
материала, прочности, жесткости. Такие щеки применяют в двигателях любого типа.
'Формы и размеры щек полусоставных и составных валов (рис. 3, в, г) должны выбираться
с учетом требований Морского Регистра СССР. Жесткость вала и усталостное
сопротивление щеки изгибу могут быть увеличены за счет перекрытия шеек Д,
которое имеет место, когда сумма радиусов гк + гш коренной и шатунной шеек
превышает радиус г кривошипа (рис.3, а).
Противовесы служат для
уравновешивания двигателя, разгрузки рамовых подшипников от действия
центробежных сил инерции. Противовесы 2 могут выполняться вместе со щеками, но
чаще выполняются отдельно и крепятся к щекам, шпильками 1 или болтами (рис. 3,
ж). Для разгрузки болтов от действия сил инерции применяют замки различного
типа. Масло на смазывание рамовых шеек подается под давлением из циркуляционной
системы двигателя. От коренного подшипника к шатунному масло поступает по
радиальным, осевым и наклонным сверлениям (рис, 3,6) в элементах вала. Чтобы не
допустить вытекания масла, отверстия в шейках закрывают заглушками 1 (рис. 3,6)
или вставляют в наклонные отверстия латунные трубки 5 (рис. 3, а). Кромки
маслоподводящих сверлений на рабочей поверхности шеек скругляют и полируют для
снижения концентрации напряжений.
Кормовой конец вала (рис. 3, а)
заканчивается фланцем 8 для крепления маховика и отбора мощности к потребителю.
На этом конце закреплены шестерня 7 или звездочка для привода распределительного
вала, выполнен бурт 6 для установочного подшипника рамы (см. рис. 3, с). На
носовом конце вала (рис. 3, а) закреплены шестерня 1 для привода навешенных
вспомогательных механизмов и (при необходимости) гаситель крутильных колебаний.
Маховик обеспечивает
необходимую равномерность вращения коленчатого вала и используется для
проворачивания двигателя. Маховик выполняется в виде диска с массивным ободом.
В мощных СОД и МОД моменты инерции вращающихся масс обеспечивают необходимую
равномерность вращения вала, поэтому в этих двигателях вместо маховика на валу
устанавливают зубчатое колесо валоповоротного устройства, именуемое часто
маховиком.
Коленчатые валы изготовляют
ковкой или литьем нз стали марок 35, 40, 35Г, 40Г или легированных сталей 40Х,
40ХН, 35ХМЮА, 35ХЮА и литьем из специального модифицированного чугуна; однако
чугунные валы разрешается устанавливать на судовые двигатели только после
согласования вопроса с Регистром СССР. Валы подвергаются термообработке для
повышения износостойкости рабочих поверхностей.
а)
Особенности конструкций
поршневой и шатунной групп двигателей крейцкопфного типа. Конструкция поршня
крейц-копфного двигателя в основном определяется типом продувки и способам
подвода охлаждающей жидкости. Поршень двигателя с прямоточно-клапанной
продувкой состоит из головки 6, которая крепится шпильками к верхнему фланцу 4
штока поршня 3 и короткой направляющей части 5. Охлаждающая жидкость (вода или
масло) подводится к поршню по кольцевому каналу между трубой 2 и штоком 3, а
сливается - по трубе 2. В двигателях с контурной продувкой поршень имеет
длинную, перекрывающую окна, направляющую часть 2 (рис. 2,18,6). В этой
конструкции охлаждающая жидкость подается в поршень и отводится из него по
телескопическим устройствам 3.
Задача снижения тепловой
напряженности поршней МОД решается разными способами. В конструкции,
представленной для снижения температурных перепадов применяют днище уменьшенной
толщины, а для обеспечения прочности днище подкрепляют кольцевым поясом,
опирающимся на шток. Ребра, связывающие стенки головки с опорным кольцом,
повышают жесткость конструкции. Применяются конструкции поршней с утолщенным
днищем, обеспечивающим повышенную прочность и жесткость головки . Для снижения
тепловых напряжений по всей внутренней поверхности днища просверлены глухие
каналы а, они близко подходят к огневой поверхности днища поршня, образуя
развитую поверхность охлаждения.
Раздел №2. Расчет коленчатого
вала в первом положении
Динамический расчет.
Таблица.1.Исходные данные.
|
Діаметр
поршня
|
мм
|
D=
|
240
|
|
Частота
обертання КВ
|
хв-1
|
n=
|
500
|
|
Максимальний
тиск згоряння
|
МПа
|
Рz=
|
7,1686
|
|
Тиск
на початку стиску
|
МПа
|
Pa=
|
0,1576
|
|
Тиск
повiтря перед двигуном
|
МПа
|
Ps=
|
0,176
|
|
Тиск
залишкових газів
|
МПа
|
Pг=
|
0,118
|
|
Кривошипно-шатунне
відношення.
|
|
|
0,254
|
|
Маса
деталей, що рухаються зворотно-поступально.
|
кг
|
m=
|
70,0
|
|
Радіус
кривошипа.
|
м
|
r=
|
0,170
|
|
Ступінь
стиску
|
|
|
12,6
|
|
Показник
політропи стиску
|
|
n1=
|
1,37
|
|
Показник
політропи розширення
|
|
n2=
|
1,26288
|
|
Ступінь
попереднього стиску
|
|
|
1,426
|
дизель генератор
коленчатый вал
Таблица 2.Результаты расчета
динамического расчета .
|
rad
|
s
|
Pr
|
Pj
|
Pdv
|
N
|
Z
|
T
|
|
0
|
0
|
0
|
0,1760
|
-0,9039
|
-0,7279
|
0,0000
|
-0,7279
|
0,0000
|
|
15
|
0,261799388
|
0,042581561
|
0,1760
|
-0,8548
|
-0,6788
|
-0,0447
|
-0,6441
|
-0,2189
|
|
30
|
0,523598776
|
0,165724596
|
0,1760
|
-0,7158
|
-0,5398
|
-0,0691
|
-0,4329
|
-0,3297
|
|
45
|
0,785398163
|
0,356393219
|
0,1760
|
-0,5097
|
-0,3337
|
-0,0609
|
-0,1929
|
-0,2790
|
|
60
|
1,047197551
|
0,59525
|
0,1760
|
-0,2689
|
-0,0929
|
-0,0209
|
-0,0283
|
-0,0909
|
|
75
|
1,308996939
|
0,859673568
|
0,1760
|
-0,0280
|
0,1480
|
0,0375
|
0,0021
|
0,1526
|
|
90
|
1,570796327
|
1,127
|
0,1760
|
0,1831
|
0,3591
|
0,0943
|
-0,0943
|
0,3591
|
|
105
|
1,832595715
|
1,377311658
|
0,1760
|
0,3451
|
0,5211
|
0,1319
|
-0,2623
|
0,4692
|
|
120
|
2,094395102
|
1,59525
|
0,1760
|
0,4519
|
0,6279
|
0,1416
|
-0,4366
|
0,4730
|
|
135
|
2,35619449
|
1,770606781
|
0,1760
|
0,5097
|
0,6857
|
0,1252
|
-0,5734
|
0,3963
|
|
150
|
2,617993878
|
1,897775404
|
0,1760
|
0,5327
|
0,7087
|
0,0907
|
-0,6591
|
0,2758
|
|
165
|
2,879793266
|
1,974433213
|
0,1760
|
0,5377
|
0,7137
|
0,0470
|
-0,7015
|
0,1393
|
|
180
|
3,141592654
|
2
|
0,1576
|
0,5377
|
0,6953
|
0,0000
|
-0,6953
|
0,0000
|
|
195
|
3,403392041
|
1,974433213
|
0,1602
|
0,5377
|
0,6979
|
-0,0460
|
-0,6860
|
-0,1362
|
|
210
|
3,665191429
|
1,897775404
|
0,1683
|
0,5327
|
0,7010
|
-0,0898
|
-0,6520
|
-0,2728
|
|
225
|
3,926990817
|
1,770606781
|
0,1836
|
0,5097
|
0,6932
|
-0,1266
|
-0,5797
|
-0,4007
|
|
240
|
4,188790205
|
1,59525
|
0,2089
|
0,4519
|
0,6608
|
-0,1490
|
-0,4595
|
-0,4978
|
|
255
|
4,450589593
|
1,377311658
|
0,2500
|
0,3451
|
0,5951
|
-0,1506
|
-0,2995
|
-0,5359
|
|
270
|
4,71238898
|
1,127
|
0,3181
|
0,1831
|
0,5012
|
-0,1316
|
-0,1316
|
-0,5012
|
|
285
|
4,974188368
|
0,859673568
|
0,4357
|
-0,0280
|
0,4077
|
-0,1032
|
0,0059
|
-0,4205
|
|
300
|
5,235987756
|
0,59525
|
0,6529
|
-0,2689
|
0,3841
|
-0,0866
|
0,1170
|
-0,3759
|
|
315
|
5,497787144
|
0,356393219
|
1,0865
|
-0,5097
|
0,5768
|
-0,1053
|
0,3334
|
-0,4824
|
|
330
|
5,759586532
|
0,165724596
|
2,0017
|
-0,7158
|
1,2859
|
-0,1646
|
1,0313
|
-0,7856
|
|
345
|
6,021385919
|
0,042581561
|
3,7164
|
-0,8548
|
2,8616
|
-0,1885
|
2,7153
|
-0,9227
|
|
360
|
6,283185307
|
0
|
5,0246
|
-0,9039
|
4,1207
|
0,0000
|
4,1207
|
0,0000
|
|
375
|
6,544984695
|
0,042581561
|
7,1686
|
-0,8548
|
6,3138
|
0,4160
|
5,9910
|
2,0359
|
|
390
|
0,165724596
|
4,7934
|
-0,7158
|
4,0777
|
0,5221
|
3,2703
|
2,4910
|
|
405
|
7,068583471
|
0,356393219
|
2,7252
|
-0,5097
|
2,2155
|
0,4045
|
1,2806
|
1,8526
|
|
420
|
7,330382858
|
0,59525
|
1,7020
|
-0,2689
|
1,4332
|
0,3232
|
0,4367
|
1,4027
|
|
435
|
7,592182246
|
0,859673568
|
1,1712
|
-0,0280
|
1,1432
|
0,2893
|
0,0164
|
1,1791
|
|
450
|
7,853981634
|
1,127
|
0,8756
|
0,1831
|
1,0587
|
0,2780
|
-0,2780
|
1,0587
|
|
465
|
8,115781022
|
1,377311658
|
0,7009
|
0,3451
|
1,0461
|
0,2647
|
-0,5265
|
0,9419
|
|
480
|
8,37758041
|
1,59525
|
0,5936
|
0,4519
|
1,0456
|
0,2358
|
-0,7270
|
0,7876
|
|
495
|
8,639379797
|
1,770606781
|
0,5268
|
0,5097
|
1,0365
|
0,1892
|
-0,8667
|
0,5991
|
|
510
|
8,901179185
|
1,897775404
|
0,4863
|
0,5327
|
1,0189
|
0,1305
|
-0,9477
|
0,3965
|
|
525
|
9,162978573
|
1,974433213
|
0,4644
|
0,5377
|
1,0021
|
0,0660
|
-0,9851
|
0,1956
|
|
540
|
9,424777961
|
2
|
0,4575
|
0,5377
|
0,9953
|
0,0000
|
-0,9953
|
0,0000
|
|
555
|
9,686577349
|
1,974433213
|
0,1180
|
0,5377
|
0,6557
|
-0,0432
|
-0,6445
|
-0,1280
|
|
570
|
9,948376736
|
1,897775404
|
0,1180
|
0,5327
|
0,6507
|
-0,0833
|
-0,6052
|
-0,2532
|
|
585
|
10,21017612
|
1,770606781
|
0,1180
|
0,5097
|
0,6277
|
-0,1146
|
-0,5249
|
-0,3628
|
|
600
|
10,47197551
|
1,59525
|
0,1180
|
0,4519
|
0,5699
|
-0,1285
|
-0,3963
|
-0,4293
|
|
615
|
10,7337749
|
1,377311658
|
0,1180
|
0,3451
|
0,4631
|
-0,1172
|
-0,2331
|
-0,4170
|
|
630
|
10,99557429
|
1,127
|
0,1180
|
0,1831
|
0,3011
|
-0,0791
|
-0,0791
|
-0,3011
|
|
645
|
11,25737368
|
0,859673568
|
0,1180
|
-0,0280
|
0,0900
|
-0,0228
|
0,0013
|
-0,0928
|
|
660
|
11,51917306
|
0,59525
|
0,1180
|
-0,2689
|
-0,1509
|
0,0340
|
-0,0460
|
0,1477
|
|
675
|
11,78097245
|
0,356393219
|
0,1180
|
-0,5097
|
-0,3917
|
0,0715
|
-0,2264
|
0,3275
|
|
690
|
12,04277184
|
0,165724596
|
0,1180
|
-0,7158
|
-0,5978
|
0,0765
|
-0,4794
|
0,3652
|
|
705
|
12,30457123
|
0,042581561
|
0,1180
|
-0,8548
|
-0,7368
|
0,0485
|
-0,6991
|
0,2376
|
|
720
|
12,56637061
|
0
|
0,1180
|
-0,9039
|
-0,7859
|
0,0000
|
-0,7859
|
0,0000
|
Таблица 3. Угол поворота коленчатого вала
|
|
|
0
|
120
|
240
|
360
|
480
|
600
|
|
0
|
1
|
0
|
0,47
|
0,49
|
0
|
0,78
|
-0,42
|
|
120
|
2
|
0,49
|
0
|
0,78
|
-0,42
|
0
|
0,47
|
|
240
|
3
|
0,78
|
-0,42
|
0
|
0,47
|
0,49
|
0
|
|
360
|
4
|
0,47
|
0,49
|
0
|
0,78
|
-0,42
|
0
|
|
480
|
5
|
-0,42
|
0
|
0,47
|
0,49
|
0
|
0,78
|
|
600
|
6
|
0
|
0,78
|
-0,42
|
0
|
0,47
|
0,49
|
|
Ʃ
|
|
0
|
0,54
|
1,27
|
1,32
|
0,78
|
0,05
|
Таблица 4.Расчет коленчатого вала в первом
положении
|
Исходные
данные
|
Обозначение
|
Значение
|
Рамовая
шейка
|
Расчет
|
|
|
Максимальное
давление сгорания
|
70,25
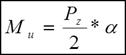
|
Рамовая
шейка от реакции Pz\2 на плече α изгибается
моментом кг\см
|
|
474,1875
|
|
|
Расстояние
от центра коренной шейки до стенки щеки колена
|
13,5
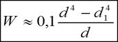
|
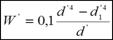
Момент
сопротивления шейки см3
|
|
2556,434
|
|
|
Расстояние
от центра коренной шейки до центра щеки колена
|
18,5
|
Напряжение
изгиба кг\см2
|
|
0,185488
|
|
|
Диаметр
коренной шейки
|
33,4
|
Скручивание
шейки моментом кг\см
|
|
22,44
|
|
|
диаметр
масляного сечения
|
25
|
Момент
сопротивления кручению шейки (полярный момент)см3
|
|
5112,869
|
|
|
Диаметр
шатунной шейки
|
33,4
|
Напряжение
кручения кг\см2
|
|
0,004389
|
|
|
диаметр
масляного сечения
|
25
|
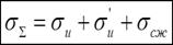
Сложное
напряжение на шейке валакг\см2
|
|
0,185921
|
|
|
|
Щека
колена
|
|
|
|
Радиус
кривошипа
|
17,000
|
Щека
колена от реакции Pz\2 на плече α1 изгибается
моментом кг\см2
|
|
474,1875
|
|
|
Толщина
щеки колена
|
10,9
|
Момент
сопротивления щеки см3
|
|
1768,416
|
|
|
Расстояние
от центра коренной шйки к центру коренной шейки
|
75,7
|
Щека
испытывает напряжение изгиба от тангенциальной силы T'f кг\см
|
|
22,44
|
|
|
Ширина
щеки
|
31,2
|
Напряжение
изгиба кг\см2
|
|
0,268143
|
|
|
Тангенциальная
сила
|
1,32
|
Напряжение
сжатия сжимающейся щеки кг\см2
|
|
0,103285
|
|
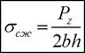
Суммарное
напряжение в щеке кг\см2
|
|
0,556915
|
|
|
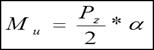
Мотилевая
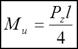
шейка от силы Pz изгибается моментом кг\см
|
|
1329,481
|
|
Момент
сопротивления шейки см3
|
|
|
|
Напряжение
изгиба кг\см2
|
|
0,185488
|
|
Шейка
скручивается моментом от тангенциального усилия ТF кг\см
|
|
22,44
|
|
Момент
сопротивления кручению (полярный момент) см3
|
|
3536,832
|
|
Напряжение
кручения кг\см2
|
|
0,006345
|
|
Сложное
напряжение кг\см2
|
|
0,185921
|
Вывод
В данной курсовой работе было сделано описание
коленчатого вала, произведен динамический расчет, и расчет коленчатого вала в
первом положении, все расчеты произведены в программе Microsoft
Excel.