Принятие управленческих решений
Оглавление
Введение
Глава 1. Аналитический раздел
.1 Организационные решения
.2 Этапы решения проблем
.3 Требования, предъявляемые к управленческим решениям
.4 Технология подготовки, принятия и реализации решений
.5 Методы анализа и решения проблем
.6 Критериальный язык описания выбора
.7 Теория управления
Глава 2. Специальный раздел
.1 Экспертиза бизнес-проектов и бизнес-планов
.2 Предмет экспертизы
.3 Анализ условий сравнений существующих ПК и ценовые
характеристики
Глава 3. Практический раздел
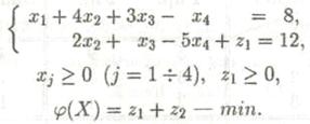
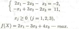
.1 Постановка задачи
.2 Экспертная оценка альтернативы выбора бизнес-плана
.3 Симплекс-метод решения задачи линейного программирования
.4 Решение поставленной задачи симплекс-методом
.5 Выводы
Глава 4. Экология и охрана труда. Разработка оптимальных
условий труда инженера-эксперта
.1 Общие положения. Выбор оборудования
.2 Условия труда инженера-эксперта
.3 Расчет кондиционирования
.4 Рабочее место инженера-эксперта
.5 Расчет воздухообмена
.6 Расчет выделений тепла
.7 Выбор типа и модели кондиционера
.8 Организация режима труда и отдыха
.9 Расчет информационной нагрузки
.10 Выводы по охране труда
Заключение
Список использованных источников
Введение
Одна из основных и наиболее ответственных функций, выполняемых
руководителем в процессе управления, - принятие решений. От правильности и
своевременности управленческих решений зависит эффективность управления, а
следовательно, и эффективность производства.
Решения по управлению производством в этих условиях отличаются особой
ответственность, и сложность их выработки возрастает.
Управленческое решение - это директивный документ, организующий,
направляющий и стимулирующий совместную деятельность коллектива (или
коллективов).
Решения группируются по нескольким признакам: по содержанию
(экономические, информационные, политические, организационные, технические), по
уровню управления (решение мастера, начальника цеха, директора, генерального
директора, министра), по форме, срокам и т.д. Решения могут быть общими,
затрагивающими все предприятие, его производственную и хозяйственную
деятельность, и частными, касающимися какой-либо подсистемы или ситуации.
Некоторые решения обращены к внешним организациям.
Решения бывают оперативными и стратегическими. В оперативных решениях
меняются в основном сроки, отдельные количественные параметры, конкретные
исполнители, в то время как общие задачи, технология, кадры в целом остаются
теми же. Такие решения принимаются быстро, без большой дополнительной
подготовки. Стратегические решения носят творческий характер. Они
предусматривают не только количественные, но и качественные изменения в
структуре производства и соответственно в его результатах. Такие решения
являются следствием анализа, поиска, расчетов, споров и размышлений большой
группы людей. Стратегические решения - это согласованная программа
взаимосвязанных мероприятий, обязательная для выполнения трудовым коллективом и
направленная на преодоление возникающих противоречий в производстве.
Общей особенностью российского рынка является составление предприятиями
бизнес-планов на основе принимаемого без проверки прогноза сбыта (из практики
конкурентов или по информации поставщика оборудования), а затем детальная
проработка мероприятий по организации производства. В связи с этим, на
сегодняшний день весьма актуальной является проблема экспертизы бизнес-планов.
Целью дипломной работы является проведение экспертизы бизнес- плана фирмы
«Уруштын» по оборудованию учебного центра.
Для достижения этой цели необходимо решить следующие задачи:
· провести анализ технологии подготовки, принятия и реализации
решений;
· исследовать предмет экспертизы;
· провести экспертную оценку бизнес-плана;
· исследовать вопросы экологии и охраны труда
инженера-эксперта.
Для проведения экспертной оценки была разработана математическая модель
задачи, для решения которой был использован симплекс-метод.
Результаты работы могут быть использованы как для решения частной задачи
экспертизы бизнес-плана фирмы «Уруштын», так и для экспертной оценки других
проектов.
Глава 1.
Аналитический раздел
.1 Организационные решения
Человека можно назвать менеджером тогда, когда он принимает
организационные решения и реализует их через других людей, учитывая при этом их
собственные цели и интересы. Принятие решения, как и обмен информацией,
является основной составляющей любой управленческой деятельности.
Решение - это выбор наиболее приемлемой альтернативы из возможного
многообразия вариантов.
Организационное решение - это выбор, который делает руководитель, чтобы
выполнить свои обязанности, определенные его должностью. Цель организационного решения
- обеспечение последовательного движения организации к намеченным целям.
Организационные решения бывают запрограммированными и
незапрограммированными. Запрограммированными решениями являются те, которые
сопутствуют получению результата, и определены некоторой, уже отработанной
последовательностью шагов, решений или действий. Незапрограммированные решения
- те, которые возникают вследствие новой необычной ситуации.
Компромисс - соглашение, достигнутое путем приемлемых взаимных уступок.
Интуитивное решение - выбор, сделанный только на основе ощущения,
озарения.
Решения, основанные на суждениях - это выбор, основанный на знаниях или в
соответствии с накопленным опытом.
Существует несколько разновидностей решений, типичных для сферы
управления:
1. В процессе планирования принимаются следующие решения: решение о
сверхзадаче и природе бизнеса; о целях; о взаимодействии с внешним окружением;
о стратегии и тактике, которые выбираются организацией для достижения
поставленных целей.
2. В процессе организации деятельности компании принимаются
следующие решения: о структурировании работы организации; о координации
функционирования различных блоков; о распределении полномочий между
руководителями подразделений; о структуре организации при изменении внешнего
окружения.
. В процессе мотивации персонала принимаются следующие решения: о
потребностях подчиненных; об удовлетворении их потребностей; о
производительности работы подчиненных и об их удовлетворенности работой.
. В процессе контроля принимаются следующие решения: об измерении
результатов работы; об оценке этих результатов; о том, насколько достигнуты
цели организации; о корректировке целей.
Рациональное решение - это решение, которое основывается на базе
аналитического процесса, и часто не зависящее от предшествующего опыта.
.2 Этапы решения проблем
Диагностирование сложной проблемы - это осознание и установление причин
затруднений и имеющихся возможностей их преодоления. К признакам наличия
проблем в организации относятся: низкая прибыль; относительно малый сбыт
продукции; низкая производительность труда и качество продукции; чрезмерные
издержки в производственном процессе, различные конфликты в организации и
большая текучесть кадров. Выявление этих симптомов позволяет определить общие
проблемы в данной организации. Для более детального анализа существующих
проблем необходимо собрать предварительную информацию, касающуюся состояния
внешней и внутренней среды организации.
Причины затруднений чаще всего зависят от конкретной ситуации и
конкретных руководителей: возможно, это недостаточное количество работников
необходимой квалификации; отсутствие прогрессивной технологии как руководства
различными процессами, связанными с функционированием организации, так и
непосредственно производственным процессом; острая конкуренция; иногда даже
действующие законы и нормативные акты в данной стране.
Формулировка набора альтернатив или альтернативных решений является
принципиально важным моментом. Очень часто непродуманные немедленные действия
приводят к усугублению данной проблемы. Желательно выявить максимум возможных
действий, которые помогли бы решить данную проблему, а затем проран жировать
возможные действия по своей эффективности и реализуемости. Рассмотрим процесс
анализа альтернатив:
а) если проблема была определена правильно, альтернативы тщательно
взвешены, и им дана обоснованная оценка, принять решение относительно просто.
б) если проблема оказалась весьма сложной, и возможные альтернативы не
отвечают оптимальному (желательному) результату, в этом случае значительную роль
играет имеющийся опыт в данной области деятельности.
Решение окажется более оптимальным, если оно будет согласовано с теми,
кого непосредственно затрагивает, или с теми, кто помогал в подготовке принятия
данного решения. В связи с этим, для успешной реализации любого значимого
решения целесообразно привлекать к его выработке наибольшее количество
сотрудников организации.
После того, как решение принято, и начало осуществляться, обязательно
необходимо установление обратной связи. Система контроля необходима для
обеспечения оптимального исполнения данного процесса или действия. Обратная
связь позволяет руководителю частично корректировать принятое решение, и
способствовать его лучшей реализации.
Оценка результатов реализации решений позволяет учесть имеющийся опыт
просчетов и недостатков в последующей работе.
Существуют другие факторы, влияющие на принятие решений.
Личностные оценки руководителем важности данной проблемы часто содержат
субъективные суждения. Каждый человек обладает своей системой оценки, которая
определяет его действия, и влияет на принимаемое решение. Подход к принятию
управленческих решений чаще всего основано на определенной системе ценностей. В
связи с этим, руководитель, который во главу своей деятельности ставит
максимизацию производительности труда любыми средствами, часто забывает о
проблемах организации оптимального, эффективного процесса работы сотрудников.
Это может выражаться в отсутствии должных условий труда, возможностей для
отдыха, хорошего дизайна рабочих помещений.
На принятие решений влияют поведенческие ограничения, то есть факторы,
затрудняющие межличностные и внутриорганизационные коммуникации. Например,
часто руководители по-разному воспринимают существование и серьезность
проблемы. Они могут по-разному воспринимать ограничения и альтернативы. Нередко
это ведет к возникновению различных конфликтов между ними в процессе принятия и
реализации решений.
В организации все решения, как правило, взаимосвязаны. Часто важное
решение базируется на предшествующих нескольких решениях, и в свою очередь,
создает альтернативы для принятия последующих решений. Эта способность видеть
взаимосвязь решений является одним из главных критериев выбора и назначения
руководителей высшего звена. Менеджеры, обладающие такой способностью, часто
являются кандидатами на повышение по службе.
1.3 Требования, предъявляемые к управленческим решениям
Каждое управленческое решение, принимаемое в системе управления
предприятием в соответствии с его назначением, должно отвечать следующим
требованиям:
иметь ясную цель (в противном случае принятие обоснованных рациональных
решений невозможно);
быть обоснованным, т.е. содержать количественную, расчетную основу,
объединяющую мотив выбора именно данного решения из ряда других возможных;
иметь адресата и сроки исполнения, т.е. иметь ориентацию на конкретных
исполнителей и конкретные даты исполнения решений;
быть непротиворечивым, т.е. всесторонне согласованным как с внутренними,
так и с внешними обстоятельствами, а также с предшествующими и предстоящими
решениями;
быть правомочными, т.е. опираться на требования правовых актов,
нормативных документов, указаний и распоряжений руководителей, а также
учитывать обязанности и права руководства и подчиненных;
быть эффективным, т.е. наилучшим из возможных в отношении ожидаемого
итога к затратам;
быть конкретным, т.е. отвечать на вопросы, как, когда и где действовать;
быть своевременным, т.е. приниматься тогда, когда реализация этого
решения еще может привести к поставленной цели;
обладать достаточной полнотой, краткостью, четкостью, быть понятным
исполнителям.
.4 Технология подготовки, принятия и реализации решений
Процесс управления многогранен, но в нем ясно вырисовывается система
действий, которую можно условно назвать технологией принятия решений.
Весь процесс подготовки и принятия решения можно представить в виде
следующих этапов:1)выявление проблемной ситуации, определение цели решения и
критериев оценки его результатов; 2) информационный цикл, этап сбора информации
для ознакомления с вопросом, по которому принимается решение (это самый важный
этап, он требует наиболее квалифицированного управленческого труда, умения
анализировать, выбирать наилучший вариант решения); 3) организация выполнения
принятого решения (разработка плана реализации решения, определение сроков выполнения
операций, назначение ответственных лиц, инструктаж и другие мероприятия,
которые могут потребоваться для выполнения принятого решения); 4) контроль
выполнения решения. Только при сочетании всех звеньев процесса управления и
соблюдении всего технологического цикла принятия решения этот процесс будет
осуществлен объективно, на научной основе. Подготовка, принятие и реализация
решений как процесс управленческого труда руководителя имеют определенную
технологию: совокупность последовательно применяемых приемов и способов
достижения целей деятельности.
Процесс решения с технологической точки зрения можно представить в виде
последовательности этапов и процедур, имеющих между собой прямые и обратные
связи. Предлагается следующая схема процесса подготовки, принятия и реализации
решения.(рис.1).
Выявление и анализ проблемной ситуации. Анализируется исходная информация
о состоянии объекта исследования и внешней среды, определяются место и роль
анализируемых объектов исследования среди смежных объектов и объектов более
высокого порядка, осуществляется выявление, структуризация и ранжирование
проблем.
Прежде всего, определяются стратегические направления решения выявленных
проблем для последующего формирования целей. Стратегические варианты решения
выявленных проблем излагаются в сценарии. Под сценарием понимается
вербально-аналитическое описание существующего и прогнозируемого состояний
объекта исследования, принципиальных подходов к решению проблем. Сценарий
содержит предварительный расчет ресурсов, необходимых для решения проблем в
рамках различных стратегических направлений их реализации.
Рис.1. Процесс подготовки, принятия и реализации решения.
Конечным результатом работ на первом этапе выработки решения является
выявление так называемых базовых, кардинальных проблем, за решение которых надо
браться в первую очередь, ранжирование этих проблем и выбор стратегического
направления их решения с предварительной ресурсной оценкой.
Формирование целей. Определяются цели решения базовых, кардинальных
проблем. Цели должны иметь конкретные формулировки и количественные
характеристики, по которым можно будет судить о степени их достижения. Это и
является конечным результатом работ на втором этапе.
Выявление полного перечня альтернатив. На этом этапе определяется как
можно более полная совокупность альтернатив вариантов (способов, средств)
достижения поставленных целей. Это и является конечным результатом работ на
третьем этапе. В реальных условиях обычно рассматриваются два-три варианта
решения, не более: меньше трудоемкость анализа, меньше шансов совершить грубую
ошибку. Однако и нет шанса принять наилучшее решение. Среди них вообще может не
быть наилучшего. При большом наборе вариантов решений появляется гарантия, что
в их числе есть наилучший.
Выбор допустимых альтернатив. Альтернативы, выявленные на предыдущем
этапе, пропускаем через фильтр различных ограничений (ресурсных, юридических,
социальных). Конечным результатом работ на данном этапе является множество
альтернатив, удовлетворяющих ограничениям.
Предварительный выбор лучшей альтернативы. Проводится детальный анализ
допустимых альтернатив с точки зрения достижения поставленных целей, затрат
ресурсов, соответствия конкретным условиям реализации альтернатив. Конечным
результатом работы на пятом этапе является вынесение суждения о
предпочтительности альтернатив. Эти данные системными аналитиками
представляются лицу, принимающему решение, о данной проблеме.
Оценка альтернатив. На основе данных, полученных на предыдущем этапе, а
также с помощью любой другой информации, производится выбор наилучшего способа
достижения целей. Конечным результатом работ на шестом этапе является вынесение
суждения со стороны лица, принимающего решение, о предпочтительности вариантов
достижения поставленных целей.
Экспериментальная проверка альтернатив. В тех случаях, когда лицо,
принимающее решение, затрудняется в окончательном выборе наилучшей альтернативы
и имеются соответствующие возможности, осуществляется экспериментальная
проверка 2-3 наиболее предпочтительных альтернатив.
Конечным результатом данного этапа является получение дополнительной
экспериментальной информации, необходимой для окончательного формирования у
лица, принимающего решение, суждения о предпочтительности определенного
варианта решения.
Выбор единственного решения. С учетом данных экспериментальной проверки,
любой другой дополнительной информации принимается окончательное решение. Оно
является конечным результатом работ на данном этапе. Если экспериментальной
проверки нет, то шестой и восьмой этапы совмещаются.
Определение этапов, сроков и исполнителей принятого решения. На данном
этапе принятое решение делим на составные компоненты, имеющие конкретную
временную и адресную привязку.
Конечным результатом работ на данном этапе является получение ответов по
принятому решению на следующие вопросы: что делать? где делать? кому делать?
когда делать? как делать? с кем делать? в какой последовательности делать?
Обеспечение работ по выполнению решения. Осуществляются доведение заданий
до исполнителей, обеспечение исполнителей всем необходимым, выбор рациональных
методов работы, подбор и обучение кадров, разъяснение исполнителям целей
решения и их конкретной роли в его реализации, определение методов
стимулирования эффективного выполнения решения.
Конечным результатом работ на десятом этапе является обеспечение
исполнителей всем необходимым и создание соответствующих условий для их
эффективной работы.
Выполнение решения. Осуществляется оперативный контроль за реализацией
решения, устранение отклонений от реализации решения, внесение в случае
необходимости коррективов в реализуемое решение, анализ результатов
реализованного решения.
Конечный результат работ на данном, завершающим этапе является конечным
для всего рассмотренного процесса подготовки, принятия и реализации решения
-полное достижение целей решения в установленные сроки в рамках отпущенных
ресурсов.
Достаточно четкое последовательное разделение на этапы существует редко,
поскольку в той или иной степени они осуществляются параллельно.
.5 Методы анализа и решения проблем
Выбор является действием, придающим всей, деятельности
целенаправленность. Именно выбор реализует подчиненность всей деятельности
определенной цели или совокупности целей. Рано или поздно наступает момент,
когда дальнейшие действия могут быть различными, приводящими к разным
результатам, а реализовать можно только одно действие, причем вернуться к
ситуации, имевшей место в этот момент,
уже (как правило) нельзя.
Работа многих исследователей в этом направлении выявила характерную
ситуацию, типичную для моделирования (в данном случае - моделирования процессов
принятия решений): полная формализация нахождения наилучшего решения возможна,
но лишь для хорошо изученных (хорошо структурированных) задач; для решения
слабо структурированных задач полностью формальных алгоритмов не существует
(если не считать тривиального и далеко не всегда приемлемого алгоритма
перебора, т.е. метода проб и ошибок). Современная тенденция практики выбора в
естественных ситуациях состоит в сочетании способности человека решать
неформализованные задачи с возможностями формальных методов и компьютерного
моделирования (например, диалоговые системы поддержки решений, экспертные
системы, информационно-поисковые системы, системы управления базами данных,
автоматизированные системы управления и т.п.).
Задачи выбора чрезвычайно многообразны, различны и методы их решения.
Прежде всего введем понятия, общие для всех задач выбора.
Будем представлять принятие решения как действие над множеством
альтернатив, в результате которого получается подмножество выбранных
альтернатив (обычно это одна альтернатива, что не обязательно, а иногда и
невозможно). Сужение множества альтернатив возможно, если имеется способ
сравнения альтернатив между собой и определения наиболее предпочтительных.
Каждый такой способ будем называть критерием предпочтения. Обратим внимание на
то, что при таком описании выбора считают сами собой разумеющимися, уже
пройденными, два чрезвычайно важных этапа:
) порождение множества альтернатив, на котором предстоит осуществлять
выбор;
) определение целей, ради достижения которых производится выбор
Даже в такой упрощенной постановке проблема выбора не тривиальна и
допускает существенно различающиеся математические постановки задач. Дело в
том, что каждая компонента ситуации выбора может реализовываться в качественно
различных вариантах. Отметим основные из этих вариантов:
множество альтернатив может быть конечным, счетным или континуальным;
оценка альтернативы может осуществляться по одному или по нескольким
критериям, которые в свою очередь могут иметь как количественный, так и
качественный характер;
последствия выбора могут быть точно известны (выбор в условиях
определенности), иметь вероятностный характер. Соответственно различают
индивидуальный и групповой выбор;
степень согласованности целей при многостороннем выборе может
варьироваться от полного совпадения интересов сторон (кооперативный I выбор) до
их противоположности (выбор в конфликтной ситуации). Возможны также
промежуточные случаи, например компромиссный выбор, коалиционный выбор, выбор в
условиях нарастающего конфликта и т.д.(3.стр 64)
Различные сочетания перечисленных вариантов и приводят к многообразным
задачам выбора, которые изучены не в одинаковой степени.
.6 Критериальный язык описания выбора
На примере описания выбора видно, как об одном и том же явлении можно
говорить на языках различной общности. К настоящему моменту сложилось три
основных языка описания выбора. Самым простым, наиболее развитым (и, быть
может, поэтому чаще употребляемым в приложениях) является критериальный язык.
Это название связано с основным предположением, состоящим в том, что каждую
отдельно взятую альтернативу можно оценить конкретным числом (значением
критерия), и сравнение альтернатив сводится к сравнению соответствующих им
чисел.
Пусть х - некоторая альтернатива из множества X. Считается, что для всех
x может быть задана функция q(x), которая называется критерием (критерием
качества, целевой функцией, функцией предпочтения, функцией полезности и т.д.)
и обладает тем свойством, что если альтернатива х1 предпочтительнее
альтернативы х2 (будем обозначать это x1 >x2) то q(x1) >q(x2) и
обратно(2.стр 74).
Если теперь сделать еще одно важное предположение, что выбор любой
альтернативы приводит к однозначно известным последствиям (т.е. считать, что
выбор осуществляется в условиях определенности) и заданный критерий q(x)
численно выражает оценку этих последствий, то наилучшей альтернативой х*
является, естественно, та, которая обладает наибольшим значением критерия:
х*= arg max {q(x)|x принадлежит X}.
Задача отыскания х*, простая по постановке, часто оказывается сложной для
решения, поскольку метод ее решения (да и сама возможность решения)
определяется как характером множества X (размерностью вектора х и типом
множества X - является ли оно конечным, счетным или континуальным), так и
характером критерия .
Однако сложность отыскания наилучшей альтернативы существенно возрастает,
так как на практике оценивание любого варианта единственным числом обычно
оказывается неприемлемым упрощением Более полное рассмотрение альтернатив
приводит к необходимости оценивать их не по одному, а по нескольким критериям,
качественно различающимся между собой. Например, при выборе конструкции
самолета проектировщикам следует учитывать множество критериев: технических (высотность,
скорость, маневренность, грузоподъемность, длительность полета и тд.),
технологических (связанных с будущим процессом серийного изготовления
самолетов), экономических (определяющих затраты на производство, эксплуатацию и
обслуживание машин, их конкурентоспособность), социальных (в частности, уровень
шума, загрязнение атмосферы),эргономических (условия работы экипажа, уровень
комфорта для пассажиров) и пр.
Итак, пусть для оценивания альтернатив используется несколько критериев
q(xi), i = 1, ..., р. Теоретически можно представить себе случай, когда во
множестве X окажется одна альтернатива, обладающая наибольшими значениями всех
р критериев; она и является наилучшей. Однако на практике такие случаи почти не
встречаются, и возникает вопрос, как же тогда осуществлять выбор.
Логически невозможно проводить максимизацию в более чем одном измерении
при наличии противоречивых целей, целенаправленное поведение требует скалярной
целевой функции. Относительно стратегических целей А. Томпсон и А. Стрикленд
отмечают [5, стр. 64]: "компания, которая постоянно упускает возможности
упрочнения своих конкурентных позиций в долгосрочной перспективе (вместо этого
делая выбор в пользу немедленного улучшения финансовых показателей) рискует
подорвать свою конкурентоспособность, лишаясь движущей силы на рынке, потерять
способность противостоять своим более честолюбивым конкурентам. Риск особенно
велик, когда конкуренты компании нацелены на рост и придают большее значение
достижению лидерства в отрасли в долгосрочной перспективе, чем текущим
прибылям".
.7 Теория управления
Умение принимать решения необходимо для реализации управленческих
функций, поэтому процесс принятия решений является основой теории управления.
Как наука, это направление зародилась в Англии, во время Второй мировой войны,
когда группа ученых получила задние на решение сложной военной проблемы -
оптимального размещения различных подразделений гражданской обороны и огневых
позиций своей армии. В 50-х годах эта теория была модернизирована, и стала
применяться для решения проблем гражданской промышленности.
Ее отличительными особенностями являются:
1. Использование научного метода, то есть наблюдение, формулировка
гипотезы, подтверждение достоверности гипотезы.
2. Системная ориентация.
. Использование различных моделей.
Процесс моделирования часто применяется при решении сложных проблем в
управлении, так как позволяет избежать значительных трудностей и издержек при
проведении экспериментов в реальной жизни. Основой моделирования является
необходимость относительного упрощения реальной жизненной ситуации или события,
вместе с тем это упрощение не должно нарушать основных закономерностей
функционирования изучаемой системы.
Типы моделей: физическая, аналоговая (организационная схема, график),
математическая (использование символов для описания действия или объектов).
Процесс построения моделей состоит из нескольких этапов: постановка
задачи; построение модели; проверка модели на достоверность описания данного
процесса, объекта или явления; применение модели; обновление модели в процессе
исследования или реализации.
Эффективность модели может быть снижена за счет ряда потенциальных
погрешностей, к которым можно отнести недостоверные исходные допущения,
информационные ограничения, непонимание модели самими пользователями,
чрезмерная стоимость создания модели и т.п.
Часто при моделировании применяется теория игр. Она первоначально
разрабатывалась военными, чтобы учесть возможные действия противника. В бизнесе
она применяется при моделировании поведения конкурента, особенно часто в связи
с проблемами изменения ценовой политики.
Модель теории очередей (модель оптимального обслуживания). Эта модель
используется для определения оптимального числа каналов обслуживания по
отношению к потребностям в этих каналах.
Модель управления запасами. Эта модель часто используется для оптимизации
времени исполнения заказов, а также для определения необходимых ресурсов и
площадей для хранения той или иной продукции. Цель этой модели - свести к
минимуму отрицательные последствия при накоплении или дефиците тех или иных
запасов продукции или ресурсов.
Модель линейного программирования. Эта модель применяется для определения
оптимального распределения дефицитных ресурсов при наличии конкурирующих между
собой потребностей.
Имитационное моделирование. Часто применяется в ситуациях слишком сложных
для использования математических методов (маркетолог может создать модель
модификации покупательских потребностей в связи с изменением цен товаров на
рынке, и их дизайна).
Экономический анализ является одной из форм моделирования. Примером может
служить экономический анализ эффективности той или иной фирмы.
Количественные методы прогнозирования.
Их можно использовать для прогнозирования, когда деятельность фирмы в
прошлом имела определенные тенденции, которые можно и необходимо продолжить в
будущем, а информации для выявления тенденций в рассматриваемом периоде
прогнозирования недостаточно.
Одним из методов такого прогнозирования является анализ временных рядов.
Он основан на допущении, что на закономерностях прошлого можно прогнозировать
будущее. Этот метод выявляет тенденции прошлого и проецирует их в будущее.
Причинно-следственный метод применяется в ситуациях, когда имеется
несколько неизвестных. Это исследование статистической зависимости между
рассматриваемым фактором и другими переменными.
Другие качественные методы прогнозирования.
Мнение жюри. Его суть состоит в соединении и усреднении мнений экспертов
в данной области.
Метод исследования информации сбытовиков, то есть когда торговые агенты
на основе своего опыта предсказывают спрос на определенном целевом рынке.
Модель ожиданий. Она базируется на опросе потребителей и обобщении их
мнений.
Метод Дельфи. Суть его заключается в том, что эксперты заполняют
специальные опросники по рассматриваемой проблеме. Каждый из них индивидуально
формирует свой прогноз. Затем эти прогнозы передаются всем экспертам,
принимающим участие в обсуждении. Они знакомятся с мнением коллег. и возможно,
корректируют свой предшествующий прогноз на базе новых идей или информации. Эта
процедура повторяется три-четыре раза, пока в конечном итоге все эксперты не
придут к единому мнению.
Глава 2. Специальный раздел
.1 Экспертиза бизнес-проектов и бизнес-планов
Под бизнес-планом понимается бизнес-проект на любой стадии его
реализации.
Бизнес-проект (бизнес-план) в том или ином виде может иметь следующие
составляющие:
· прогноз рыночной ситуации;
· план поставки и наладки оборудования;
· график выхода оборудования на проектную мощность;
· план (прогноз) цены и качества;
· план по сбыту;
· план продвижения продукции;
· план расстановки кадров;
· финансовый план.
Часто бизнес-проект существует в виде план-графика вложений и
возвратности средств, составленного на основе прогноза затрат, объемов сбыта,
отпускных цен. Иногда это вообще голая идея, для которой не делалось даже
предварительных выкладок (в этом случае следует говорить скорее о рыночной
возможности).
Для бизнес-плана характерно существование плана развития производства и
плана по сбыту.
Общей особенностью российского рынка является составление предприятиями
бизнес-планов на основе принимаемого без проверки прогноза сбыта (из практики
конкурентов или по информации поставщика оборудования), а затем детальная
проработка мероприятий по организации производства.
Предметом анализа при маркетинговом подходе к консультированию является
не финансовый план или план действий, как таковой, а достижимость самой цели в
рамках принятых стратегий. Другими словами, консультант проверяет не
правильность составления документации, а ее рыночную основу.
Экспертиза бизнес-проектов с помощью консультирования широко
распространена. На предприятии, как правило, существует только одна группа
(подразделение или менеджер), в чьи функции входит проработка бизнес-проекта,
именно эта группа и готовит проект. Поскольку реализация проекта требует обычно
значительных трат, для предприятия важно снизить риск до минимума перепроверкой
основных выкладок. Организовать независимую проверку силами собственных
сотрудников невозможно. Рациональным решением является привлечение для этой
цели консультанта.
Экспертиза бизнес-планов с применением стороннего консультирования имеет
несколько меньшее распространение. Реализуемый проект окружен повышенным
вниманием руководства предприятия; если все идет по плану - не требует
вмешательства; при сбоях - причины выявляются самим предприятием. Использование
здесь консультирования обуславливается чаще занятостью руководства, либо
отсутствием квалифицированного маркетинга на предприятии. Обычно консультант
приглашается при явном отставании бизнес-плана от графика, стойкой его
убыточности “по ряду объективных причин”.
Работа консультанта по экспертизе бизнес-планов и бизнес-проектов может
быть заказана и выполнена в разных объемах. Минимальное участие консультанта
заключается в исследовании перспектив сбыта, максимальное - приближается к
разработке стратегий и оптимизации оргструктуры. Обычно предприятия интересуют
именно перспективы сбыта, иногда - качество, сервис и методики работы с
покупателями. В этих случаях консультант практически не затрагивает вопросы
управления предприятием, задача является локальной, и требует лишь минимальной
включенности заказчика.
Экономический эффект применения консультирования для экспертизы
бизнес-проектов и бизнес-планов чаще всего выражается в экономии средств, которые
могли быть потрачены на недостижимую цель или нерациональным образом.
Соответственно, рассматривая применение консультирования для экспертизы как
дополнительную страховку от ошибок, можно определить целесообразность
приглашения консультанта на основании отношения предполагаемых затрат по плану
к затратам на оплату услуг консультанта.
.2 Предмет экспертизы
В зависимости от задачи, консультантом могут быть исследованы:
· Качество продукции.
· Цена.
· Потребности конечных потребителей.
· Каналы распределения продукции.
· Методы продвижения продукции и стимулирования сбыта.
Качество.
Исследование качества применяется, в основном, для проектов,
предполагающих организацию нового производства. Некоторые аспекты качества
могут быть важны для сферы услуг (для разработки нового продукта). Исследование
качества для торговли, как правило, нецелесообразно.
В вопросах качества могут быть исследованы два аспекта: качество готовой
продукции и качество оборудования, закупаемого по бизнес-плану. Для готовой
продукции рассматривается два “качества”: одно - объективное,
“производственное”, и другое - воспринимаемое потребителями. Причиной многих
ошибок и провалов новых проектов стала постановка предприятиями знака равенства
между двумя качествами: прогноз сбыта строился на основании объективного
качества изделий, тогда как реальный сбыт определяло воспринимаемое
потребителями качество.
При равном соотношении цена/качество для различных марок одного товара
график потребительских предпочтений никогда не является линейным. Потребитель
относит все многообразие продукции к ограниченному количеству классов, чаще
всего к трем классам: “ширпотреб” (низший), “любительский” (средний),
“профессиональный” (престижный). При возникновении потребности покупка
совершается в определенном классе товаров. Например, фотоаппарат для
сына-второклассника может быть куплен в классе “ширпотреба”; для нужд семьи - в
“любительском”; для работы или хобби - в “профессиональном”.
Границы классов обозначены нечетко, представления разных групп потребителей
различаются между собой, но для конкретной целевой группы может быть определен
график потребительских предпочтений. Обычно он имеет форму синусоиды:
Точки B и C характеризуются пониженным спросом, т.к. данный товар не
может быть отнесен потребителем к определенному классу с достаточной долей
уверенности. “Типичные” представители классов расположены в середине
промежутков A-B, B-C и C-D, на них и приходится основной объем сбыта.
Если планируемая к выпуску и реализации продукция будет иметь
воспринимаемое потребителями качество точки C, то сбыт будет на уровне 1 при
выдерживании соотношения цена/качество на общем уровне, и еще упадет при
увеличении цены. Тогда как реальное “производственное” качество может быть в
середине отрезка C-D, и требовать установления адекватной для него наценки.
Если воспринимаемое качество товара выше объективного (например,
объективное находится в середине отрезка B-C), то уровень сбыта 1 может
устраивать предприятие, т.к. при этом установлена цена для качества C, т.е.
применяется высокая наценка. Если цена будет снижена до установления
“нормальной” наценки, то сбыт перешагнет уровень 2.
Определение воспринимаемого качества продукции проводится опросом. В
рамках экспертизы консультантом проводится ограниченное количество интервью в
целевых группах (предполагается, что соответствующий опрос был проведен
предприятием на этапе разработки бизнес-проекта; целью интервью на данном этапе
является проверка полученных ранее выводов). В зависимости от выбора каналов
распределения, опрашиваться могут конечные потребители или торговые посредники.
В некоторых важных случаях могут быть проведены фокус-группы для целевых
сегментов рынка.
“Производственное” качество также является предметом рассмотрения. На практике
реально достигнутое качество может значительно отличаться от запланированного.
Иногда достижение запланированного качества требует непредвиденных
дополнительных затрат. Это происходит, в основном, из-за недостаточной
предварительной проработки технологий, которые могут включать неучтенные
элементы.
Методом проверки является исследование технологий на работающем
производстве: у поставщика или у конкурентов. Отслеживание всей цепочки от
подготовки производственных материалов до складирования и отгрузки готовой
продукции позволяет свести к минимуму вероятность появления непредвиденных
обстоятельств на этапе реализации бизнес-проекта. Это же исследование получает
часть данных для определения качества закупаемого оборудования.
Еще одним направлением исследований, осуществляемых для долгосрочных
производственных проектов, может являться определение тенденций
совершенствования технологий. Этот специфический вид исследований требует
проработки массы литературы, интервью с ведущими разработчиками технологического
оборудования. Исследование проводится с целью прогнозирования сроков морального
устаревания закупаемого оборудования.
Цена.
В вопросах цены исследуются два аспекта: отпускная цена и себестоимость.
Наиболее грубая и, тем не менее, часто допускаемая предприятиями ошибка -
построение бизнес-плана на основе прогнозирования розничной цены с последующим
выбором канала распределения - оптовых посредников. Цена, по которой товар
действительно будет отпускаться предприятием, ограничивается с нижней стороны
себестоимостью и минимальным уровнем наценки, а с верхней - представлениями
потребителей о качестве товара, реально сложившимися ценами на аналогичные
товары в данном сегменте, выбором каналов распределения, методов
стимулирования.
Одним из способов экспертизы планируемой цены является исследование цен
конкурентов. Обычно предприятие само прорабатывает этот вопрос, собирая
предложения и прайс-листы конкурирующих предприятий. При этом опубликованные
цены конкурентов ложатся в основу расчета собственной цены. На практике для
целого ряда предприятий и отраслей характерно использование индивидуальных
соглашений о ценах, значительно отличающихся от опубликованных. Например, в
рекламе некоторые газеты, журналы и радиостанции публикуют строгую систему
расценок на свои услуги и активно продвигают ее через агентов. Однако,
покупатель, который готов платить, при опубликованной скидке 10%, может
получить, например, 50%. В основном, такая практика характерна для сферы услуг,
но встречается и в торговле, и в производстве.
Возможность установления планируемой цены проверяется консультантом через
интервью с опытными торговыми посредниками. Наиболее просто необходимую
информацию можно получить, обратившись к торговым посредникам одновременно с
предложением собственной продукции предприятия и просьбой о консультации. Хотя
информация об эксклюзивных ценах поставщика является конфиденциальной,
посредник часто привлекает ее в обоснование своего отказа приобрести продукцию
предприятия. Необходимым условием успешного интервью является обращение за
консультацией на достаточно высокий уровень иерархии предприятия-посредника.
Планируемая себестоимость продукции также подлежит обязательной проверке
консультантом. В ее определении предприятием наиболее типичны ошибки отнесения
на себестоимость только части затрат по бизнес-проекту. (Обычно учитываются
расходы на материалы, аренду, производственный процесс; не учитываются -
складские, транспортные расходы, затраты на сбыт. Также не учитывается
возрастающая нагрузка на управленческую структуру предприятия, которая требует
привлечения дополнительных специалистов). На себестоимость (в финансовом
обосновании бизнес-проекта) должны быть отнесены и неизбежные потери, которые
включают брак в производстве, порчу продукции при хранении и транспортировке, неплатежи,
которые в той или иной мере характерны для любого вида бизнеса.
Консультантом проверяется, какие именно затраты, и каким образом были
учтены при разработке бизнес-проекта; в некоторых случаях предпринимается
независимое исследование затрат, сложившихся в отрасли, через интервью с
экспертами - производителями и сбытовиками.
Еще одним фактором, влияющим на себестоимость, является
производительность производства. Постоянная часть затрат - аренда, амортизация
оборудования, и т.п. - компенсируется за счет реализации произведенного объема
продукции, соответственно, себестоимость рассчитывается для конкретного объема
выпуска. Если реально достижимая производительность оказывается меньше
запланированной (а это часто случается при планировании предприятием
производительности исключительно на основе паспортных данных оборудования),
постоянная часть затрат распределяется на меньший объем продукции,
себестоимость возрастает.
Ожидаемая производительность может быть спрогнозирована консультантом на
основе исследования производительности аналогичных производств с учетом
оптимальности оргструктуры предприятия и методов стимулирования персонала.
Отдельным аспектом экспертизы цен является прогнозирование их изменения.
Данный вид работ проводится консультантом для предприятий, планирующих
долгосрочные или объемные вложения. (Прогнозирование предусматривает
значительный объем работ, требует времени и дополнительных затрат). “В первом
приближении” прогноз изменения цен может быть без затрат получен предприятием
на основании косвенных данных: если в отрасли существует высокая наценка,
вероятность скорого падения цен из-за растущей конкуренции очень велика; если
наценка мала, изменение цен зависит, в основном, от совершенствования
технологий.
Потребности конечных потребителей.
В рамках экспертизы бизнес-проекта консультантом проверяется степень
удовлетворения продукцией конечных потребителей и очерченность поля
конкуренции.
Долгосрочные инвестиции имеет смысл осуществлять при максимальном
удовлетворении продукцией потребностей потребителей. В случае, когда
потребности удовлетворяются в незначительной степени, и товар приобретается “за
неимением лучшего”, следует ожидать появления на рынке новинок, способных
вытеснить существующую продукцию.
Для адекватного выявления поля конкуренции необходимо определить, какие
именно потребности удовлетворяет предлагаемый товар. Иногда поле конкуренции
самоочевидно и не требует специальных исследований: например, потребность в
перемещениях людей и грузов обеспечивается разными видами транспорта, которые
конкурируют между собой; планирование сбыта услуг маршрутного такси и его цен
учитывает стоимость и распределение маршрутов автобусов, метро, и т.д. В других
случаях поле конкуренции трудно определить “навскидку”.
Проверка указанных факторов производится консультантом анализом методик,
примененных предприятием для аналогичных исследований, или самостоятельным
исследованием. В последнем случае исследования проводятся посредством интервью
с потребителями или стандартизованным опросом потребителей в местах продажи.
Каналы распределения продукции.
Исследование каналов распределения продукции проводится консультантом для
оценки реализуемости сбытового плана и вероятности получения планируемой нормы
прибыли.
В значительной степени на выбор каналов распределения влияет планируемый
объем производства. Значительные объемы реализуются, как правило, через
торговых посредников. Сегодня между торговыми посредниками и производителями в
большинстве отраслей уже сложились определенные отношения, которые необходимо
учитывать при планировании: для некоторых видов продукции практикуется поставка
только на условиях товарного кредита; некоторые торговые посредники (например,
розничные магазины) готовы брать товар только на реализацию; в большинстве
случаев для каждого канала распределения продукции существуют определенные
условия поставки и оплаты.
Не менее важны такие характеристики каналов распределения, как пропускная
способность и стоимость в эксплуатации. Пропускная способность определяет
возможность реализации необходимых объемов продукции через выбранные каналы, а
стоимость в эксплуатации - реализационные затраты.
Исследование характеристик выбранных предприятием каналов распределения
проводится консультантом с помощью интервью с “пользователями” этих каналов.
Опрашиваются поставщики аналогичной продукции и торговые посредники. Как и в
других подобных исследованиях, проводимых в рамках экспертизы бизнес-проекта,
консультантом не ставится задача получения исчерпывающих данных по исследуемому
вопросу, но проводится проверка данных, лежащих в основе бизнес-проекта
предприятия.
Для некоторых проектов, предусматривающих выпуск продукции, аналогичной
существующей на рынке, наиболее эффективна проверка каналов распределения через
эксперимент. Эксперимент осуществляется в максимально приближенных к
планируемым условиях: закупается продукция, выпуск которой планируется
предприятием, назначается планируемая цена, распределение производится через
выбранные для проекта каналы. С некоторой долей погрешности результат
эксперимента можно считать репрезентативным: сбыт, запланированный для
эксперимента тем же способом, каким планируется для проекта, будет показателен
для проекта в целом. Эксперимент вскроет все проблемы и “узкие места” каналов
распределения, цен, а также стимулирования сбыта.
Методы продвижения продукции и стимулирования сбыта.
Методы продвижения продукции и стимулирования сбыта в рамках экспертизы
бизнес-проекта исследуются по 4-м основным позициям: сервис, ассортимент,
скидки, объем рекламы.
Для выбранных каналов распределения выясняется предоставляемый
поставщиками сервис, с помощью опроса покупателей (торговых посредников)
ранжируются его отдельные элементы. Сервис, планируемый предприятием,
анализируется на предмет его конкурентоспособности.
Для ассортимента определяется его необходимый минимум, стимулирующий
закупку у предприятия. Исследование проводится опросом покупателей.
Скидки сравниваются на предмет конкурентоспособности со сложившимися в
отрасли.
Оценка планируемых объемов рекламы проводится приблизительная, сравнением
с объемами рекламы конкурентов и производителей аналогичной продукции.
Спецификой экспертизы бизнес-проектов и бизнес-планов предприятия
является обычно низкий объем исследований, проводимых консультантом. Из
перечисленных выше предметов исследования для конкретной задачи могут быть
выбраны два-три, для которых проводятся интервью, выходящие за рамки
предприятия. Обуславливается это тем, что наличие бизнес-проекта или
бизнес-плана предполагает предварительную проработку его предприятием, и задачей
консультанта является перепроверка основных моментов со своей точки зрения. В
отличие от проекта поиска рыночных возможностей, основные гипотезы здесь уже
сформулированы, в разной степени подтверждены данными. Консультант действует в
рамках принятых гипотез.
Проект, подготовленный предприятием, в силу определенных психологических
причин всегда оптимистичен. Самостоятельная проверка, если таковая могла быть
организована предприятием, склонялась бы в сторону поиска подтверждающих проект
фактов, а не опровергающих его.
Подход консультанта противоположный. Подтверждающие проект факты ему не
нужны, т.к. предполагается наличие достаточного их количества. Целью экспертизы
является обнаружение ошибок и слабых мест в проекте.
Процесс экспертизы бизнес планов включает следующие основные стадии:
Изучение бизнес-плана предприятия: анализируется вся документация по
плану и проводится интервью с ключевыми работниками.
Формулирование ключевых вопросов. Построение собственных гипотез
консультантом о существовании “узких мест”.
Определение требуемых источников информации. Выбор методов проверки
гипотез.
Опрос экспертов (покупателей, поставщиков, потребителей, конкурентов - в
зависимости от выбранного метода). Изучение литературы.
Анализ информации. (Определение, насколько полученная информация
подтверждает или опровергает гипотезы).
Подготовка отчета. Письменное изложение основных посылок и выводов.
Представление отчета заказчику. (Передача письменного отчета, устные
комментарии после прочтения заказчиком).
В отличие от бизнес-проекта, в данном случае уже существует
статистическая информация, которая может быть изучена. К предметам исследования
добавляется оргструктура предприятия (или его отделения, реализующего
бизнес-план), система управления, система стимулирования персонала. Фактически,
консультантом выполняется диагностика ситуации, включающая исследование рынка,
предприятия, и иногда макросреды.
Бизнес-план далеко не всегда связан с производством. Бизнес-проект может
предусматривать, например, реализацию схемы сложной бартерной операции. В
каждом конкретном случае для экспертизы выбирается свой метод исследования, в
соответствие с правилом - первоочередному рассмотрению подлежат вопросы: кто,
когда, сколько и почему будет платить предприятию в процессе реализации проекта.
Если на эти вопросы получен обстоятельный ответ - проработку бизнес-проекта
можно считать на 80% выполненной.
.3 Анализ условий сравнений существующих ПК и ценовые характеристики
Мониторы.
У аналоговых мониторов с электронно-лучевой трубкой видимая область
экрана меньше заявленной примерно на дюйм или полтора, а у жидкокристаллических
мониторов видимая диагональ соответствует заявленной. Из-за этого 19 дюймовый
TFT монитор обладает видимой диагональю почти как 21” монитор с
электронно-лучевой трубкой. Это становится наглядным, если поставить их рядом.
Эволюция жидкокристаллических мониторов для стационарных компьютеров началась
уже довольно давно, но только сейчас их качество начало приближаться к старым
аналоговым ЭЛТ мониторам. TFT мониторы стали обладать сносной цветопередачей
при большом угле обзора, хорошей контрастностью и яркостью изображения, а так
же немалыми размерами диагонали. Подтверждением тому является 19 дюймовый TFT
монитор от известной для многих пользователей компании. Речь пойдёт о 19”
дюймовом TFT мониторе Prology Elite 1900SM. Серия Elite позиционируется как
самая дорогая и, соответственно, самая качественная - отсюда следует, что
предъявляемые к ней требования будут довольно высокими. Стоимость монитора на
сегодняшний день колеблется в районе 700 долларов, а это весьма недёшево, с
другой стороны, пару лет тому назад подобный монитор мог стоить куда дороже.
Плата.
Несмотря на существенное различие в производственных мощностях фирма AMD
всегда оставалась сильнейшим конкурентом фирмы Intel. Великое соперничество
между Intel и AMD в области процессоров для массовых персональных компьютеров
длится чуть ли не со времени появления первых компьютеров стандарта PC.
Преимуществом Intel всегда был мощнейший исследовательский и
технологический потенциал. Он не только обусловливал первенство в переходах на
более плотное размещение компонентов на кристалле, но и позволял предоставлять
производителям системных плат не только процессоры, но и чипсеты, и даже
образцовые конструкции самих плат.
Располагая заметно меньшими возможностями AMD, тем не менее, создает
процессоры, которые, обладая меньшей стоимостью, при меньшей тактовой частоте
ничуть не уступают в производительности самым лучшим изделиям своего более
сильного конкурента. Именно поэтому процессоры AMD имеют огромное количество
поклонников по всему миру. Как и процессоры Intel, процессоры AMD
сертифицированы Microsoft для самой современной своей операционной системы
Windows XP.
Хорошо известно, что реализация параметров процессора в виде качеств
персонального компьютера зависит от того, насколько удачно сконструирована
системная плата и установленный на ней чипсет - набор микросхем, обеспечивающий
связь процессора с памятью и всеми остальными элементами системы. Именно
системные платы по части конструкции, стабильности и производительности всегда
оставались не самой сильной стороной компьютеров на основе процессоров AMD.
Похоже, что в последнее время эта ситуация начала заметно изменяться.
Фирма VIA - давний и известный партнер AMD по разработке и выпуску чипсетов к
процессорам разработала самый современный и очень удачный набор микросхем KT333
и VT8235. Ведущие производители взялись за разработку и производство системных
плат на его основе.
Исследование производительности платы производилось несколькими
популярными тестами. Нами не ставилась задача сопоставления рассматриваемой
платы с системами на основе процессора Intel. Уже хорошо известно, что такие
сравнения дают очень близкие и часто противоречивые результаты, которые никого
ни в чем не убеждают. Более интересным представлялось.
В состав тестовой системы входили:
Процессор AMD Athlon XP 2100+ (1666/133 MHz)
Память Kingston ValueRam DDR333 ( понятно что на плате с чипсетом KT266A
она тактируется как 2100 на частоте 133)
Жесткий диск ATA 133 Maxtor 60Гб ( на матплате с чипсетом 266A он на
интерфейсе АТА100).
Видеокарта MSI GeForce 4 Ti 4600 Memory: 128 MB DDR-SDRAM, Memory clock:
300 MHz, Chip clock: 650 MHz
Операционная система Windows XP Pro.
Для сравнения была выбрана основанная на чипсете предыдущего поколения
КТ266А плата от MSI K7T266 Pro2.
Результаты тестов вполне закономерны:
Заметно более высокая производительность новинки в тесте подсистемы
памяти из пакета Sisoft Sandra обусловлена более высокой тактовой частотой
шины. (рис. 3)
Рис. 3.
Столь же заметен рост результатов в тестах на 3D производительность. AGP
шина часть 3D подсистемы, данные она берет из подсистемы памяти, и чем быстрее
память тем быстрее графика.
Глава 3. Практический раздел
.1 Постановка задачи
Для экспертизы был представлены бизнес-план фирмы ООО «УРУШТЫН».
Содержание будущего проекта - построение учебного компьютерного центра. Цель
экспертизы - подбор ПК для оборудования учебного центра. Все данные приведены в
таблицах для удобства анализа и восприятия.
Задачи экспертизы:
. экспертная оценка критериев;
. выбор оптимальных критериев в условиях неопределенности оценок;
. подбор оптимальных параметров наиважнейших критериев, максимизируя
целевую функцию при заданных ограничениях.
После проведения первоначального интервьюирования высших управленцев была
составлена система целей, подобраны показатели и их конкретные значения. В
дальнейшем было принято решение об исключении ряда показателей из системы из-за
невозможности их квантификации и измерения ряда из них.
Все показатели диапазонов приведены к абсолютной единой 10-бальной шкале.
В результате система показателей приобрела следующий вид (табл. 1).
Таблица 1.
|
Показатель
|
Диапазон
|
|
монитор
|
диагональ
|
1-5
|
|
видимая область
|
1-5
|
|
цена
|
1-10
|
|
яркость
|
1-5
|
|
контрастность
|
1-7
|
|
звуковые устройства
|
разрядность звуковой карты
|
1-3
|
|
размер колонок
|
1-5
|
|
цена колонок
|
1-10
|
|
цена звуковой карты
|
1-10
|
|
|
|
|
плата
|
диапазон тактовых частот
процессора
|
1-8
|
|
число 184-контактных
разъема DDR DIMM
|
1-5
|
|
цена
|
1-10
|
|
оперативная память
|
1-10
|
|
Жесткий диск , объем
|
1-10
|
|
Память Kingston ValueRam
DDR333
|
1-8
|
|
мышь и клавиатура
|
размер мыши
|
1-8
|
|
цена мыши
|
1-10
|
|
размер клавиатуры
|
1-6
|
|
цена клавиатуры
|
1-10
|
|
|
|
|
cd-rom
|
скорость чтения
|
1-7
|
|
размер
|
1-8
|
|
цена
|
1-10
|
.2 Экспертная оценка альтернативы выбора бизнес-плана
Опишем алгоритм экспертной оценки.
. Построение пространства критериев.
Для каждой группы объектов строится пространство критериев, т.е.
отбираются критерии из имеющихся в системе (при необходимости создаются новые
критерии) и определяется их вес (важность). Эксперты определяют значения
каждого критерия для каждого объекта группы. На основании этих значений
критериев и с учетом веса критериев рассчитывается многокритериальная оценка для
каждого эксперта и единая по результатам всех экспертов.
. Создание критериев.
Для каждого критерия определяется шкала для оценки: числовая или
вербальная. Для критериев с числовой шкалой определяются единица измерения и
максимальное и минимальное значения.
В вербальной шкале также определены минимальное и максимальное значения.
Каждый эксперт для всех критериев одной группы оцениваемых объектов,
отобранных для него, определяет относительный вес (важность). Система
нормализует вес таким образом, что сумма весов всех критериев у каждого
эксперта становится равной единице:
nj,j = xi,j / (S xi,j) , где
i=1
,j - нормализованный вес i-того критерия у j-того эксперта;,j - введенной
j-тым экспертом значение для веса для i-того критерия;- число критериев, по
которым оценивает объекты j-тый эксперт.
. Определение значений критериев.
Эксперт для каждого оцениваемого объекта определяет значения всех
критериев, отобранных в этой группе объектов для данного эксперта. Эти значения
определяются в единицах измерения соответствующей шкалы.
Рассчитывается нормализованное значение i-того критерия для k-того
объекта у j-того эксперта по формуле:
,j,k = (Xi,j,k - MINi) / (MAXi - MINi),
где Ni,j, k - нормализованное значение i-того критерия для k-того
объекта у j-того эксперта ,,j, k - абсолютное значение i-того критерия для
k-того объекта у j-того эксперта по шкале критерия, - минимальное значение
для i-того критерия, - максимальное значение для i-того критерия.
Если критерию дано максимальное значение по шкале, то нормализованное
значение получается равным 1, а для минимального - 0.
Если эксперт дал значение критерию выше его максимального, то
нормализованное значение следует считать равным 1, а если меньше минимального,
то - 0.
. Расчет многокритериальной оценки.
На основании нормализованных значений критериев и с учетом
нормализованного веса критериев рассчитывается многокритериальная оценка k-того
объекта оценки для j-того эксперта по формуле:
ni,k = (SNi,j,k *Vi,j)/ nj ,
j=1
где Ni,j,k - нормализованное значение i-того критерия для k-того
объекта у j-того эксперта ,,j - нормализованный вес i-того критерия у j-того
эксперта, - число критериев, по которым оценивает объекты j-тый эксперт.
5. Расчет обобщенной многокритериальной оценки.
Обобщенная многокритериальная оценка рассчитывается системой на основе
значений многокритериальных оценок всех экспертов следующим образом:
) Рассчитывается обобщенный вес каждого критерия как медиана
нормализованных весов этого критерия, установленных экспертами:
все нормализованные веса располагаются по возрастанию;
значение среднего члена этой последовательности принимается за обобщенный
вес критерия.
Например, если у 7 экспертов один из критериев имеет следующие значения
нормализованного веса:
,1; 0,2; 0,2; 0,4; 0,4; 0,4; 0,5
) Рассчитывается обобщенное значение каждого критерия для каждого объекта
как медиана этих значений, определенных экспертами:
для каждого объекта все значения каждого критерия, определенные
экспертами, располагаются по возрастанию;
обобщенное значение критерия для выбранного объекта принимается равным
среднему члену этой последовательности.
) Обобщенная многокритериальная оценка объектов рассчитывается как
произведение обобщенного веса критерия на обобщенное значение этого критерия
для выбранного объекта.
Теперь рассчитаем по этому алгоритму весовую оценку объектов.
По данным критериям бизнес-плана (приведенного выше) осуществляется
анализ и выбор оптимальных критериев бизнес-плана 3-мя экспертами, путем
ранжирования показателей и формирования весов критериев.
1) Проводится голосование 3 экспертов за показатели, приведенные в
таблице.
|
Номер и название критерия
|
1 эксперт
|
2 эксперт
|
3 эксперт
|
|
1.1 диагональ
|
-
|
+
|
+
|
|
1.2 видимая область
|
+
|
-
|
-
|
|
1.3 цена
|
-
|
+
|
+
|
|
1.4 яркость
|
-
|
+
|
-
|
|
1.5 контрастность
|
+
|
+
|
+
|
|
2.1 разрядность звуковой
карты
|
-
|
+
|
-
|
|
2.2 размер колонок
|
+
|
-
|
+
|
|
2.3 цена колонок
|
+
|
+
|
-
|
|
2.4 цена звуковой карты
|
+
|
-
|
-
|
|
|
|
|
|
3.1 диапазон тактовых
частот процессора
|
+
|
+
|
+
|
|
3.2 число 184-контактных
разъема DDR DIMM
|
-
|
-
|
-
|
|
3.3 цена
|
+
|
+
|
-
|
|
3.4 оперативная память
|
+
|
+
|
+
|
|
3.5 жесткий диск , объем
|
+
|
+
|
+
|
|
3.6 память Kingston
ValueRam DDR333
|
+
|
-
|
-
|
|
4.1 размер мыши
|
-
|
-
|
-
|
|
4.2 цена мыши
|
-
|
-
|
+
|
|
4.3 размер клавиатуры
|
+
|
+
|
+
|
|
4.4 цена клавиатуры
|
-
|
+
|
+
|
|
+
|
+
|
+
|
|
5.1 скорость чтения
|
+
|
+
|
+
|
|
5.2 размер
|
-
|
+
|
-
|
|
5.3 цена
|
+
|
+
|
-
|
2) Составляется список показателей, за которые проголосовало не
менее 2 экспертов:
|
Номер и название критерия
|
1 эксперт
|
2 эксперт
|
3 эксперт
|
|
1.1 диагональ
|
-
|
+
|
+
|
|
1.3 цена
|
-
|
+
|
+
|
|
1.4 яркость
|
-
|
+
|
+
|
|
1.5 контрастность
|
+
|
+
|
+
|
|
2.2 размер колонок
|
+
|
-
|
+
|
|
2.3 цена колонок
|
+
|
+
|
-
|
|
3.1 диапазон тактовых
частот процессора
|
+
|
+
|
+
|
|
3.4 оперативная память
|
+
|
+
|
+
|
|
3.5 Жесткий диск , объем
|
+
|
+
|
+
|
|
3.3 цена
|
+
|
+
|
-
|
|
4.3размер клавиатуры
|
+
|
+
|
+
|
|
4.4 цена клавиатуры
|
-
|
+
|
+
|
|
5.1 скорость чтения
|
+
|
+
|
+
|
|
5.2 размер
|
-
|
+
|
-
|
|
5.3 цена
|
+
|
+
|
-
|
) Каждому показателю присваивается свой вес, при условии, что сумма весов
критерия должна быть равна 1:
|
Номер и название критерия
|
Присвоенный вес
|
Средний вес
|
|
1 эксперт
|
2 эксперт
|
3 эксперт
|
|
|
1.1 диагональ
|
0,11
|
0,03
|
0,1
|
0,08
|
|
1.3 цена
|
0,34
|
0,43
|
0,23
|
0,333333
|
|
1.4 яркость
|
0,43
|
0,44
|
0,12
|
0,33
|
|
1.5 контрастность
|
0,12
|
0,1
|
0,55
|
0,256667
|
|
2.2 размер колонок
|
0,43
|
0,44
|
0,43
|
0,433333
|
|
2.3 цена колонок
|
0,57
|
0,56
|
0,57
|
0,566667
|
|
3.1 диапазон тактовых
частот процессора
|
0,24
|
0,13
|
0,24
|
0,203333
|
|
3.4 оперативная память
|
0,25
|
0,36
|
0,13
|
0,246667
|
|
3.5 жесткий диск, объем
|
0,43
|
0,44
|
0,43
|
0,433333
|
|
3.3 цена
|
0,08
|
0,07
|
0,2
|
0,116667
|
|
4.3 размер клавиатуры
|
0,23
|
0,54
|
0,13
|
0,3
|
|
4.4 цена клавиатуры
|
0,77
|
0,46
|
0,87
|
0,7
|
|
5.1 скорость чтения
|
0,34
|
0,27
|
0,38
|
0,33
|
|
5.2 размер
|
0,23
|
0,54
|
0,13
|
0,3
|
|
5.3 цена
|
0,43
|
0,19
|
0,49
|
0,37
|
) Каждому критерию 3-мя экспертами присваивается численное значение по
шкале Харингтона:
управленческий решение стратегический сбыт
Шкала Харрингтона.
|
Наименование градации шкалы
|
Численное значение шкалы
|
Ранг
|
Вес
|
|
1) Высокий уровень важности
|
10,0 - 8,0
|
1
|
9
|
|
2) Уровень выше среднего
|
8,0 - 6,0
|
2
|
7
|
|
3) Средний уровень
|
6,0 - 4,0
|
3
|
5
|
|
4) Уровень ниже среднего
|
4,0 - 2,0
|
4
|
3
|
|
5) Низкий уровень
|
2,0 - 0
|
5
|
1
|
ООО «УРУШТЫН»
|
Номер и название критерия
|
вес
|
Присвоенный вес
|
Среднее значение
|
|
|
1 эксперт
|
2 эксперт
|
3 эксперт
|
|
|
1.1 диагональ
|
0,11
|
9
|
9
|
7,9
|
8,633333
|
|
1.3 цена
|
0,34
|
8,5
|
8,2
|
8,7
|
8,466667
|
|
1.4 яркость
|
0,43
|
8
|
7,9
|
8,3
|
8,066667
|
|
1.5 контрастность
|
0,12
|
8,2
|
8,7
|
8,47
|
8,5
|
|
2.2 размер колонок
|
0,43
|
9,0
|
8,5
|
8,5
|
8,1
|
|
2.3 цена колонок
|
0,57
|
8,1
|
8,1
|
8,1
|
8,2
|
|
3.1 диапазон тактовых
частот процессора
|
0,24
|
7,9
|
8,5
|
8,2
|
8,2
|
|
3.4 оперативная память
|
0,25
|
7,8
|
8,5
|
8,5
|
8,3
|
|
3.5 жесткий диск , объем
|
0,43
|
8,1
|
8,6
|
8,3
|
8,3
|
|
3.3 цена
|
0,08
|
7,9
|
8,5
|
8,2
|
8,2
|
|
4.3 размер клавиатуры
|
0,23
|
8,6
|
8,0
|
9,2
|
8,6
|
0,77
|
8,6
|
8,6
|
8,0
|
8,4
|
|
5.1 скорость чтения
|
0,34
|
8,2
|
8,1
|
8,1
|
8,1
|
|
5.2 размер
|
0,23
|
8,1
|
8,6
|
8,3
|
8,3
|
|
5.3 цена
|
0,43
|
9,1
|
8,6
|
8,7
|
8,8
|
. Выбор оптимальных критериев в условиях неопределенности оценок.
Производится оценка каждого критерия:
= å Vj ´ xijср, где
- оценка i-го критерия;- вес показателя;ср - среднее значение i-й
альтернативы по j-му показателю.
Каждому критерию 3 эксперта присваивают свой вес по шкале Харингтона:
|
Номер и название критерия
|
Присвоенный вес
|
Средний вес
|
|
1 эксперт
|
2 эксперт
|
3 эксперт
|
|
|
1. монитор
|
8,183
|
7,64
|
8,4124
|
8,078467
|
|
2. звуковые устройства
|
8,487
|
8,272
|
8,272
|
8,343667
|
|
3.плата
|
7,961
|
7,96
|
7,49
|
7,803667
|
|
4. мышь и клавиатура
|
8,6
|
8,462
|
8,446
|
8,502667
|
|
5. cd-rom
|
7,37
|
6,38
|
6,43
|
6,726667
|
Оценим полученные обобщенные значения по каждому бизнес-плану в
соответствии с наименованием градации шкалы Харингтона:
|
Наименование градации шкалы
|
Численное значение шкалы
|
|
1) Высокий уровень важности
|
10,0 - 8,0
|
|
2) Уровень выше среднего
|
8,0 - 6,0
|
|
3) Средний уровень
|
6,0 - 4,0
|
|
4) Уровень ниже среднего
|
4,0 - 2,0
|
|
5) Низкий уровень
|
2,0 - 0
|
Вывод.
В соответствии с наименованием градации шкалы, полученные обобщенные
оценки по бизнес-плану компании ООО «УРУШТЫН» позволили выяснить критерии,
соответствующие высокому уровню важности, а именно,
. монитор,
. звуковые устройства,
. мышь и клавиатура.
Определим энтропийный коэффициент согласия:
Построим табл 10.1 значений Рir - оценок вероятности r-го ранга,
присваемого i-му элементу.
Оценки вероятностей Рir вычисляются как отношение числа экспертов mir,
присвоивших i-му элементу r-й ранг, к общему числу экспертов m:
Рir = mir/m
Таблица 10.1.
|
Рi1
|
Рi2
|
Рi3
|
Рi4
|
Рi5
|
|
Х1
|
0
|
0
|
0
|
0
|
0
|
|
Х2
|
0
|
0
|
0,2
|
0,6
|
0,2
|
|
Х3
|
0,8
|
0,2
|
0
|
0
|
0
|
|
Х4
|
0
|
0
|
0
|
0,2
|
0,8
|
|
Х5
|
0
|
0,2
|
0,6
|
0,2
|
0
|
Коэффициент согласия определяется по формуле:
,
где
Таким
образом,=5,557= 1 - H/(6*log26) = 0,64
Данная согласованность считается хорошей, поэтому повторного проведения
экспертизы не требуется.
Приведем полные данные по этим критериям в таблице.
|
Ранг
|
Показатель
|
Диапазон
|
|
8,633333
|
монитор
|
1.1 диагональ
|
1-5
|
|
8,466667
|
|
1.2 видимая область
|
1-5
|
|
8,066667
|
|
1.3 цена
|
1-10
|
|
8,5
|
|
1.4 яркость
|
1-5
|
|
8,1
|
звуковые устройства
|
2.2 размер колонок
|
1-5
|
|
8,45
|
|
2.3 цена колонок
|
1-10
|
|
7,94
|
мышь и клавиатура
|
4.3 размер клавиатуры
|
1-6
|
|
8,31
|
|
4.4 цена клавиатуры
|
1-10
|
Ранжирование проведено по важности фактора для ЛПР.
.3 Подбор оптимальных параметров критериев
Целевая функция полезности по финансовому разделу будет строиться на
основании бальной оценки характеристик.
хi - это в наших обозначениях величина показателя соответствующей
характеристики.
Польза характеристики - это величина показателя, умноженная на
соответствующий балл.
. Монитор.
|
8,633333
|
монитор
|
1.1диагональ
|
1-5
|
|
8,466667
|
|
1.2видимая область
|
1-5
|
|
8,066667
|
|
1.3цена
|
1-10
|
|
8,5
|
|
1.4яркость
|
1-5
|
Тогда целевая функция принимает вид
8,6х1 + 8,4х2 +8,0х3 +8,5х4 ® max
При этом ограничения на диапазоны примут следующий вид:<= 5<=
5<=10<=5
Существуют также дополнительные ограничения, связывающие диапазоны
различных характеристик:
x1+x2<=x4
x2<=х3
Решение задачи.
Введем фиктивные переменные, которые неравенства превращают в равенства,
делая задачу канонической.
Решение задачи сводится к нахождению решения системы
ограничений
8,6х1 + 8,4х2 +8,0х3 +8,5х4 ® max+Y1= 5+y2= 5+y3=10+y4=5
x1+x2+y5-x4=0
x2+y6-х3=0
. Звуковые устройства.
|
8,1
|
звуковые устройства
|
2.2 размер колонок
|
1-5
|
|
8,45
|
|
2.3 цена колонок
|
1-10
|
Целевая функция полезности будет строиться на основании бальной оценки
характеристик.
хi - это в наших обозначениях величина показателя соответствующей
характеристики.
Польза характеристики - это величина показателя, умноженная на
соответствующий балл.
Тогда целевая функция принимает вид
8,1х1 + 8,45х2 ®
max
При этом ограничения на диапазоны примут следующий вид:<= 5<= 10
Здесь не требуется дополнительных ограничений, поэтому решение данной
задачи не требует привлечения методов линейного программирования, оно
тривиально: при выборе звуковых устройств мы руководствуемся максимальным
возможным размером и минимально возможной.
. Мышь и клавиатура.
|
7,94
|
мышь и клавиатура
|
4.3 размер клавиатуры
|
1-6
|
|
8,31
|
|
4.4 цена клавиатуры
|
1-10
|
Целевая функция полезности будет строиться на основании бальной оценки
характеристик.
хi - это в наших обозначениях величина показателя соответствующей
характеристики.
Польза характеристики - это величина показателя, умноженная на
соответствующий балл.
Тогда целевая функция принимает вид
7, 94 х1 +8, 31 х2 ®
max.
При этом ограничения на диапазоны примут следующий вид:<= 6<= 10.
Здесь не требуется дополнительных ограничений, поэтому решение данной
задачи не требует привлечения методов линейного программирования, и оно
тривиально: при выборе клавиатуры мы руководствуемся максимальным возможным
размером и минимально возможной ценой
3.3 Симплекс-метод решения задачи линейного
программирования
Приведем прежде всего постановку задачи линейного
программирования. Под задачей линейного программирования (задачей ЛП) будем
понимать следующую задачу.
Даны система т линейных ограничений с п неизвестными
(система может содержать как уравнения, так и (или) неравенства того или иного
знака),
условие неотрицательности неизвестных
(2)
и целевая линейная функция, зависящая от n
неизвестных,
(3)
где
- вектор неизвестных.
Требуется
найти такой план системы линейных ограничений (1), при котором целевая функция
(3) примет наибольшее или наименьшее значение, то есть найти оптимальный план
задачи.
При
решении задачи ЛП возможны следующие случаи.
.
Существует оптимальный план (единственный или бесконечное множество оптимальных
планов).
.
Оптимального плана не существует, так как планы в задаче есть, но на непустом
множестве планов целевая функция не ограничена (сверху - в задаче максимизации
или снизу - в задаче минимизации).
.
Оптимального плана не существует, так как в задаче вообще нет ни одного плана.
Будем
рассматривать три формы задачи линейного программирования, а именно:
)
общая задача;
)
основная задача;
)
каноническая задача.
Задачу
ЛП будем называть общей задачей, если система линейных ограничений (1) содержит
хотя бы одно неравенств, основной задачей, если все ограничения системы (1)
являются уравнениями.
Задачу
ЛП будем называть канонической задачей, если она является частным случаем
основной задачи в том смысле, что система линейных уравнений - каноническая, а
целевая функция выражена только через свободные неизвестные.
Система
линейных уравнений называется канонической системой, если она удовлетворяет
двум условиям:
)
в каждом уравнении содержится неизвестное с коэффициентов равным единице,
отсутствующее во всех остальных уравнениях и называемое базисным неизвестным;
)
свободные члены всех уравнений неотрицательны.
Теорема.
(Основная теорема симплекс-метода). Каноническая задача всегда имеет и причем
единственное решение, то есть оптимальный план.
Неизвестные,
не являющиеся базисными, называются свободными неизвестными. При т = 2, п = 4,
если предполагать базисными неизвестные х3 и х4, каноническую задачу можно
записать в виде
Если в канонической системе положить все свободные
неизвестные равными нулю, то базисные неизвестные будут равны неотрицательным
свободным членам уравнений. Полученный таким способом план называется базисным
планом канонической задачи. При х1 = x2 = 0 из системы (4) получим, что х3 = b1 ³ 0, х4 = b2 ³ 0, и базисный план задачи (4) - (6)
будет иметь вид
Xbas=(0, 0, b1, b2),
причем, как видно из выражения (6), значение целевой
функции для этого плана f(Xbas) = C0.
Из трех форм задачи ЛП главная роль отводится
канонической, так как алгоритм симплекс-метода непосредственно применяется к
канонической задаче, а общая и основная задачи в конечном счете сводятся к
канонической.
Симплекс-метод решения канонической задачи линейного
программирования называют еще методом последовательного улучшения базисного
плана. Любую каноническую задачу можно поместить в так называемую симплексную
таблицу. Рассмотрим, как заполняется симплексная таблица задачи (4)-(6). В эту
таблицу записывается расширенная матрица канонической системы (4), слева
выписываются названия базисных неизвестных, содержащихся в соответствующих
уравнениях. Последняя строка симплексной таблицы называется индексной строкой и
заполняется коэффициентами целевой функции (6) по следующему правилу: свободный
член С0 вносится со своим знаком, коэффициенты при неизвестных - с
противоположными знаками.
Симплексная таблица канонической задачи
|
Баз.
|
x0
|
x1
|
x2
|
x3
|
x4
|
|
x3 x4
|
b1 b2
|
a11 a21
|
a12 a22
|
1 0
|
0 1
|
|
f
|
C0
|
C1
|
C2
|
0
|
0
|
Если в задаче ЛП система уравнений каноническая, а
целевая функция выражена не только через свободные неизвестные, то такую задачу
будем называть "почти канонической". При внесении такой задачи в
симплексную таблицу индексная строка подсчитывается по правилу цен. Это правило
будет рассмотрено ниже.
Для решения канонической ("почти
канонической") задачи, записанной в симплексную таблицу, применяется
алгоритм симплекс-метода. Существуют две разновидности этого алгоритма: для
задачи максимизации и для задачи минимизации. Можно использовать только одну из
них, сводя Каждый раз, например, задачу минимизации целевой функции f(X) к задаче максимизации функции -f(X), умножив все
коэффициенты функции f(X) на -1. Это возможно в силу
линейности целевой функции. Приведем алгоритм симплекс-метода для случая задачи
максимизации.
Алгоритм симплекс-метода
. Запишем каноническую задачу максимизации (4)-(б) в
исходную симплексную таблицу и проанализируем знаки элементов индексной строки,
не считая элемента С0. При этом возможны три случая.
.1. Все элементы индексной строки неотрицательны.
Следовательно, базисный план Xbas=(0,
0, b1, b2), является оптимальным, a f(Xbas) = C0 есть максимальное значение целевой
функции. Вычисления прекращаем.
.2. Среди элементов индексной строки есть хотя бы один
отрицательный, а над ним в таблице нет ни одного положительного. В этом случае
целевая функция не ограничена сверху на множестве планов задачи и, значит,
оптимального плана не существует. Вычисления прекращаем.
.3. Над каждым отрицательным элементом индексной
строки есть хотя бы один положительный. Это значит, что исходный базисный план
можно улучшить, построив новую симплексную таблицу, содержащую новый базисный
план с неменьшим значением целевой функции. Переходим к п. 2.
. Среди отрицательных элементов индексной строки, над
каждым из которых есть хотя бы один положительный, выбираем наибольший по
абсолютной величине и выделяем ключевой столбец, в основании которого оказался
выбранный элемент. Ключевой столбец указывает на неизвестное, вводимое в базис.
. Подсчитываем ключевое отношение - наименьшее из
отношений свободных членов уравнений только к соответствующим положительным
элементам ключевого столбца.
. В ключевом столбце выбираем и выделяем ключевой
элемент -знаменатель ключевого отношения. Если ключевых отношений несколько, то
выбираем знаменатель любого из них. Ключевой элемент указывает на неизвестное,
выводимое из базиса.
. В новой таблице прежде всего выписываем слева новые
базисные неизвестные.
. Далее в новой таблице заполняем и выделяем ключевую
строку. Она получается делением всех элементов соответствующей строки исходной
таблицы на ключевой элемент.
. Остальные элементы новой таблицы подсчитываем по
правилу двух перпендикуляров: каждый элемент новой таблицы, за исключением
элементов ключевой строки, равен разности между соответствующим элементом
исходной таблицы и произведением элементов, оказавшихся в основаниях
перпендикуляров, опущенных из "старого" элемента на ключевой столбец
и ключевую строку.
Заметим, что при выборе ключевого столбца не
обязательно среди отрицательных элементов индексной строки выбирать наибольший
по абсолютной величине, можно брать любой из них. Это связано с тем, что
существуют лишь вероятностные оценки минимального количества симплексных
таблиц, необходимых для решения задачи. Заметим также, что ключевой элемент
всегда положителен.
Симплекс-метод относится к числу конечных и монотонных
методов, а именно: через конечное число шагов либо мы получим оптимальный план,
либо убедимся в неограниченности целевой функции на множестве планов задачи,
причем последовательность симплексных таблиц строится так, что значения целевой
функции монотонно возрастают (в задаче максимизации) или монотонно убывают (в
задаче минимизации).
Пример 1. Решить симплекс-методом следующую задачу ЛП:
Задача - основная, но не каноническая, так как система
уравнений не является канонической (свободный член первого уравнения
отрицателен и ни в одном из уравнений нет базисного неизвестного).
Применим метод искусственного базиса. С этой целью
составим вспомогательную задачу, так чтобы система уравнений оказалась
канонической. Умножив обе части первого уравнения на -1, и прибавив к левым
частям обоих уравнений искусственные неизвестные z1 и z2, получим так называемую расширенную систему. Составим
вспомогательную функцию, равную сумме искусственных неизвестных, и поставим
своей целью минимизировать вспомогательную функцию на множестве планов расширенной
системы.
Первый этап. Вспомогательная задача.
Вспомогательная задача является "почти
канонической", поэтому решим ее при помощи стандартного алгоритма
симплекс-метода. В результате получим последовательность симплексных таблиц
вида
Все элементы индексной строки табл. 3 неположительны,
следовательно, вспомогательная задача решена и получен ее оптимальный план,
причем минимальное значение вспомогательной функции jmin=0. Отсюда следует, что существует
каноническая система, равносильная исходной системе, которая содержится в
завершающей симплексной таблице вспомогательной задачи. Выписав ее из табл. 3,
и присоединив к ней заданную целевую функцию, получим задачу, равносильную исходной
основной задаче, которая, как и вспомогательная задача, будет "почти
канонической".
Второй этап. Задача, равносильная основной.
Решим эту задачу симплекс-методом.
В индексной строке табл. 1 есть отрицательный элемент
- 15/4, а над ним в таблице нет ни одного положительного. Следовательно, в
данной задаче целевая функция не ограничена сверху на множестве планов задачи и
оптимального плана не существует. Значит, не существует оптимального плана и в
исходной задаче.
Пример 2. Решить симплекс-методом следующую задачу ЛП:
Основная задача не является канонической, так как во
втором уравнении системы нет базисного неизвестного и, значит, система не
является канонической. Составим вспомогательную задачу, введя искусственное
базисное неизвестное z1 только во второе уравнение системы (19), так как в
первом уравнении уже есть базисное неизвестное х1.
Первый этап. Вспомогательная задача.
Применив к задаче алгоритм симплекс-метода получим
последовательность симплексных таблиц вида
Из индексной строки табл. 2 видим, что вспомогательная
задача решена, причём минимальное значение вспомогательной функции jmin = 8 > 0. Так как jmin > 0, то можно сделать вывод, что
исходная основная задача вообще не имеет ни одного плана, и для неё не
существует равносильной канонической задачи. В таком случае исходная задача не
имеет оптимального плана.
Парой симметричных двойственных задач называются две,
тесно связанные между собой задачи ЛП, которые удобно записать схематически
(см. ниже).
Задача ЛП, в которой целевая функция максимизируется,
а все неравенства "типа £", называется стандартной задачей максимизации; если
целевая функция минимизируется, а все неравенства "типа ³" - стандартной задачей
минимизации. Пара симметричных двойственных задач состоит из стандартной задачи
максимизации и стандартной задачи минимизации, причем эти задачи обладают рядом
особенностей, которые хорошо видны в схеме и позволяют сформулировать правила
составления двойственных задач.
Правила составления пары симметричных двойственных
задач.
1. Одна из задач является стандартной
задачей максимизации, другая - стандартной задачей минимизации.
2. Количество неизвестных в одной из задач
равно количеству
основных ограничений в другой задаче.
3. Матрица коэффициентов при неизвестных
в неравенствах одной задачи получается транспонированием матрицы коэффициентов
другой задачи.
4. Свободные члены неравенств одной
задачи совпадают с коэффициентами целевой функции другой задачи.
Если решить одну из двойственных задач, то на
основании теорем двойственности можно сделать вывод о существовании или
отсутствии решения другой задачи. При этом возможны три случая.
Три случая при решении пары двойственных задач
|
Результат решения задачи 1
|
Выводы для задачи 2
|
|
1. Задача 1 имеет
оптимальный план.
|
1. Задача 2 также имеет
оптимальный план.
|
|
2. В задаче 1 планы есть,
но целевая функция не ограничена сверху на множестве планов, значит,
оптимального плана не существует.
|
2. В задаче 2 вообще нет
планов, а значит, нет и оптимального плана.
|
|
3. В задаче 1 вообще нет
планов, а значит, нет и оптимального плана.
|
3. В задаче 2 или нет
планов, или целевая функция не ограничена снизу на множестве планов, но в
обоих случаях оптимального плана не существует.
|
Если же решена задача 2, то аналогичные выводы можно
сделать для двойственной ей задачи 1.
При решении одной из двойственных задач
симплекс-методом в тех же симплексных таблицах одновременно преобразовывается и
другая задача. Если решенная задача имеет оптимальный план, который содержится
в столбце свободных членов последней симплексной таблицы, то и двойственная
задача имеет оптимальный план, и он содержится в индексной строке последней
симплексной таблицы решенной задачи.
Справедливы следующие теоремы.
Теорема 1. Для того, чтобы план X* одной из
двойственных задач был оптимальным, необходимо и достаточно, чтобы существовал
план Y* другой задачи, такой что значения целевых функций для этих планов
равны, то есть f(X*) = g(Y*).
Назовем парой сопряженных неравенств любые два
неравенства, оказавшиеся в одной строке, при условии, что двойственные задачи
записаны по вышеуказанной схеме, например,
Теорема 2. Для того, чтобы план X* одной из
двойственных задач был оптимальным, необходимо и достаточно, чтобы существовал
план Y* другой задачи, такой что в каждой паре сопряженных неравенств строгому
неравенству соответствовало бы равенство, то есть хотя бы одно из пары
сопряженных неравенств должно выполняться как равенство.
.4 Решение
поставленной задачи симплекс-методом
Выпор монитора.
Напомним условие задачи.
,6х1 + 8,4х2 +8,0х3 +8,5х4 ® max
x1+Y1= 5+y2= 5+y3=10+y4=5
x1+x2+y5-x4=0
3x2+y6-х3=0
|
1
|
2
|
3
|
4
|
5
|
6
|
7
|
8
|
9
|
10
|
11
|
12
|
|
14
|
|
|
|
|
|
|
|
|
|
|
|
|
|
|
|
|
исходная таблица
|
|
|
|
|
|
|
|
|
|
|
|
|
|
|
|
|
|
|
|
|
|
|
|
|
|
|
|
ci
|
8,6
|
8,4
|
8
|
0
|
0
|
0
|
0
|
0
|
|
|
N
|
C
|
Б
|
A0
|
A1
|
A2
|
A3
|
A4
|
A5
|
A6
|
A7
|
A8
|
A9
|
тета
|
|
1
|
0
|
X 5=
|
5
|
1
|
0
|
0
|
0
|
1
|
0
|
0
|
0
|
0
|
5
|
|
2
|
0
|
X 6=
|
5
|
0
|
1
|
0
|
0
|
0
|
1
|
0
|
0
|
0
|
---
|
|
3
|
0
|
X 7=
|
10
|
0
|
0
|
1
|
0
|
0
|
0
|
1
|
0
|
0
|
---
|
|
4
|
0
|
X 8=
|
5
|
0
|
|
0
|
1
|
0
|
0
|
0
|
1
|
0
|
---
|
|
5
|
0
|
X 9=
|
0
|
2
|
1
|
0
|
-1
|
0
|
0
|
0
|
0
|
1
|
0
|
|
6
|
|
X 10=
|
0
|
0
|
3
|
-1
|
0
|
0
|
0
|
0
|
0
|
0
|
---
|
|
7
|
0
|
X -=
|
|
|
|
|
|
|
|
|
|
|
---
|
|
8
|
0
|
X -=
|
|
|
|
|
|
|
|
|
|
|
---
|
|
9
|
0
|
X -=
|
|
|
|
|
|
|
|
|
|
|
|
|
10
|
0
|
X -=
|
0
|
|
|
|
|
|
|
|
|
|
---
|
|
11
|
0
|
X -=
|
|
|
|
|
|
|
|
|
|
|
---
|
|
|
|
0
|
-8,6
|
-8,4
|
-8
|
-8,5
|
0
|
0
|
0
|
0
|
0
|
|
|
|
|
|
|
|
|
|
|
|
|
|
|
|
|
|
|
|
|
|
|
|
|
|
|
|
|
|
|
|
|
|
|
|
|
|
|
|
|
|
|
|
|
|
|
|
|
|
|
|
|
|
|
|
|
|
|
|
|
ci
|
8,6
|
8,4
|
8
|
8,5
|
0
|
0
|
0
|
0
|
0
|
|
|
N
|
C
|
Б
|
A0
|
A1
|
A2
|
A3
|
A4
|
A5
|
A6
|
A7
|
A8
|
A9
|
тета
|
|
1
|
8,6
|
X 1=
|
5
|
1
|
0
|
0
|
0
|
1
|
0
|
0
|
0
|
0
|
---
|
|
2
|
0
|
X 6=
|
5
|
0
|
1
|
0
|
0
|
0
|
1
|
0
|
0
|
0
|
---
|
|
3
|
0
|
X 7=
|
10
|
0
|
0
|
1
|
0
|
0
|
0
|
1
|
0
|
0
|
---
|
|
4
|
0
|
X 8=
|
5
|
0
|
0
|
0
|
1
|
0
|
0
|
0
|
1
|
0
|
5
|
|
5
|
0
|
X 9=
|
-10
|
0
|
1
|
0
|
-1
|
-2
|
0
|
0
|
0
|
1
|
10
|
|
6
|
0
|
X -=
|
0
|
0
|
3
|
-1
|
0
|
0
|
0
|
0
|
0
|
0
|
---
|
|
7
|
0
|
X -=
|
0
|
0
|
0
|
0
|
0
|
0
|
0
|
0
|
0
|
0
|
---
|
|
8
|
0
|
X -=
|
0
|
0
|
0
|
0
|
0
|
0
|
0
|
0
|
0
|
0
|
---
|
|
9
|
0
|
X -=
|
0
|
0
|
0
|
0
|
0
|
0
|
0
|
0
|
0
|
0
|
|
|
10
|
0
|
X -=
|
0
|
0
|
0
|
0
|
0
|
0
|
0
|
0
|
0
|
0
|
---
|
|
11
|
0
|
X -=
|
|
|
|
|
|
|
|
|
|
|
---
|
|
|
|
43
|
0
|
-8,4
|
-8
|
-8,5
|
8,6
|
0
|
0
|
0
|
0
|
|
|
|
|
|
|
|
|
|
|
|
|
|
|
|
|
|
|
|
|
|
|
|
|
|
|
|
|
|
|
|
|
|
|
|
|
|
|
|
|
|
|
|
|
|
|
|
|
|
|
|
|
|
|
|
|
|
|
|
|
|
|
|
|
|
|
|
|
|
|
|
|
|
|
|
|
|
|
|
|
|
|
|
|
|
|
|
|
|
|
|
|
|
|
|
|
|
|
|
|
|
|
|
|
|
|
|
|
|
|
|
|
|
|
|
|
|
|
|
|
|
|
|
|
|
|
|
|
|
|
|
|
|
|
|
|
|
|
|
|
|
|
|
|
|
|
|
|
|
|
|
|
|
|
|
|
|
|
|
|
|
|
|
|
|
|
|
|
|
|
|
|
|
|
|
|
|
|
|
|
|
|
|
|
|
|
|
|
|
|
|
|
|
|
|
|
|
|
|
|
|
|
|
|
|
|
|
|
|
|
|
|
|
|
|
|
|
|
|
|
|
|
|
|
|
|
|
|
ci
|
8,6
|
8,4
|
8
|
8,5
|
0
|
0
|
0
|
0
|
0
|
|
|
N
|
C
|
Б
|
A0
|
A1
|
A2
|
A3
|
A4
|
A5
|
A6
|
A7
|
A8
|
A9
|
тета
|
|
1
|
8,6
|
X 1=
|
5
|
1
|
0
|
0
|
0
|
1
|
0
|
0
|
0
|
0
|
---
|
|
2
|
0
|
X 6=
|
5
|
1
|
0
|
0
|
0
|
1
|
0
|
0
|
0
|
5
|
|
3
|
0
|
X 7=
|
10
|
0
|
0
|
1
|
0
|
0
|
0
|
1
|
0
|
0
|
---
|
|
4
|
8,5
|
X 4=
|
5
|
0
|
0
|
0
|
1
|
0
|
0
|
0
|
1
|
0
|
---
|
|
5
|
0
|
X 9=
|
-5
|
0
|
1
|
0
|
0
|
-2
|
0
|
0
|
1
|
1
|
-5
|
|
6
|
0
|
X -=
|
0
|
0
|
3
|
-1
|
0
|
0
|
0
|
0
|
0
|
0
|
0
|
|
7
|
0
|
X -=
|
0
|
0
|
0
|
0
|
0
|
0
|
0
|
0
|
0
|
0
|
---
|
|
8
|
0
|
X -=
|
0
|
0
|
0
|
0
|
0
|
0
|
0
|
0
|
0
|
0
|
---
|
|
9
|
0
|
X -=
|
0
|
0
|
0
|
0
|
0
|
0
|
0
|
0
|
0
|
0
|
|
|
10
|
0
|
X -=
|
0
|
0
|
0
|
0
|
0
|
0
|
0
|
0
|
0
|
0
|
---
|
|
11
|
0
|
X -=
|
|
|
|
|
|
|
|
|
|
|
---
|
|
|
|
85,5
|
0
|
-8,4
|
-8
|
0
|
8,6
|
0
|
0
|
8,5
|
0
|
|
|
|
|
|
|
|
|
|
|
|
|
|
|
|
|
|
|
|
|
|
|
|
|
|
|
|
|
|
|
|
|
|
|
|
|
|
|
|
|
|
|
|
|
|
|
|
|
|
|
|
|
|
|
|
|
|
|
|
|
|
|
|
|
|
|
|
|
|
|
|
|
|
|
|
|
|
|
|
|
|
|
|
|
|
|
|
|
|
|
|
|
|
|
|
|
|
|
|
|
|
|
|
|
|
|
|
|
|
|
|
|
|
|
|
|
|
|
|
|
|
|
|
|
|
|
|
|
|
|
|
|
|
|
|
|
|
|
|
|
|
|
|
|
|
|
|
|
|
|
|
|
|
|
|
|
|
|
|
|
|
|
|
|
|
|
|
|
|
|
|
|
|
|
|
|
|
|
|
|
|
|
|
|
|
|
|
|
|
|
|
|
|
|
|
|
|
|
|
|
|
|
|
|
|
|
|
|
|
|
|
|
|
|
|
|
|
|
|
|
|
|
|
|
|
|
|
|
ci
|
8,6
|
8,4
|
8
|
8,5
|
0
|
0
|
0
|
0
|
0
|
|
|
N
|
C
|
Б
|
A0
|
A1
|
A2
|
A3
|
A4
|
A5
|
A6
|
A7
|
A8
|
A9
|
тета
|
|
1
|
8,6
|
X 1=
|
5
|
1
|
0
|
0
|
0
|
1
|
0
|
0
|
0
|
0
|
---
|
|
2
|
8,4
|
X 2=
|
5
|
0
|
1
|
0
|
0
|
0
|
1
|
0
|
0
|
0
|
---
|
|
3
|
0
|
X 7=
|
10
|
0
|
0
|
1
|
0
|
0
|
0
|
1
|
0
|
0
|
10
|
|
4
|
8,5
|
X 4=
|
5
|
0
|
0
|
0
|
1
|
0
|
0
|
0
|
1
|
0
|
---
|
|
5
|
0
|
X 9=
|
-10
|
0
|
0
|
0
|
0
|
-2
|
-1
|
0
|
1
|
1
|
---
|
|
6
|
0
|
X -=
|
-15
|
0
|
0
|
-1
|
0
|
0
|
-3
|
0
|
0
|
0
|
15
|
|
7
|
0
|
X -=
|
0
|
0
|
0
|
0
|
0
|
0
|
0
|
0
|
0
|
0
|
---
|
|
8
|
0
|
X -=
|
0
|
0
|
0
|
0
|
0
|
0
|
0
|
0
|
0
|
0
|
---
|
|
9
|
0
|
X -=
|
0
|
0
|
0
|
0
|
0
|
0
|
0
|
0
|
0
|
0
|
|
|
10
|
0
|
X -=
|
0
|
0
|
0
|
0
|
0
|
0
|
0
|
0
|
0
|
0
|
---
|
|
11
|
0
|
X -=
|
|
|
|
|
|
|
|
|
|
|
---
|
|
|
|
127,5
|
0
|
0
|
-8
|
0
|
8,6
|
8,4
|
0
|
8,5
|
0
|
|
|
|
|
|
|
|
|
|
|
|
|
|
|
|
|
|
|
|
|
|
|
|
|
|
|
|
|
|
|
|
|
|
|
|
|
|
|
|
|
|
|
|
|
|
|
|
|
|
|
|
|
|
|
|
|
|
|
|
|
|
|
|
|
|
|
|
|
|
|
|
|
|
|
|
|
|
|
|
|
|
|
|
|
|
|
|
|
|
|
|
|
|
|
|
|
|
|
|
|
|
|
|
|
|
|
|
|
|
|
|
|
|
|
|
|
|
|
|
|
|
|
|
|
|
|
|
|
|
|
|
|
|
|
|
|
|
|
|
|
|
|
|
|
|
|
|
|
|
|
|
|
|
|
|
|
|
|
|
|
|
|
|
|
|
|
|
|
|
|
|
|
|
|
|
|
|
|
|
|
|
|
|
|
|
|
|
|
|
|
|
|
|
|
|
|
|
|
|
|
|
|
|
|
|
|
|
|
|
|
|
|
|
|
|
|
|
|
|
|
|
|
|
|
|
|
|
|
ci
|
8,6
|
8,4
|
8
|
8,5
|
0
|
0
|
0
|
0
|
0
|
|
|
N
|
C
|
Б
|
A0
|
A1
|
A2
|
A3
|
A4
|
A5
|
A6
|
A7
|
A8
|
A9
|
тета
|
|
1
|
8,6
|
X 1=
|
5
|
1
|
0
|
0
|
0
|
1
|
0
|
0
|
0
|
0
|
5
|
|
2
|
X 2=
|
4
|
0
|
1
|
0
|
0
|
0
|
1
|
0
|
0
|
0
|
---
|
|
3
|
8
|
X 3=
|
8
|
0
|
0
|
1
|
0
|
0
|
0
|
1
|
0
|
0
|
---
|
|
4
|
8,5
|
X 4=
|
5
|
0
|
0
|
0
|
1
|
0
|
0
|
0
|
1
|
0
|
---
|
|
5
|
0
|
X 9=
|
0
|
0
|
0
|
0
|
0
|
-2
|
-1
|
0
|
1
|
1
|
---
|
|
6
|
0
|
X -=
|
2
|
0
|
0
|
0
|
0
|
0
|
-3
|
1
|
0
|
0
|
---
|
|
7
|
0
|
X -=
|
0
|
0
|
0
|
0
|
0
|
0
|
0
|
0
|
0
|
0
|
---
|
|
8
|
0
|
X -=
|
0
|
0
|
0
|
0
|
0
|
0
|
0
|
0
|
0
|
0
|
---
|
|
9
|
0
|
X -=
|
0
|
0
|
0
|
0
|
0
|
0
|
0
|
0
|
0
|
0
|
|
|
10
|
0
|
X -=
|
0
|
0
|
0
|
0
|
0
|
0
|
0
|
0
|
0
|
0
|
---
|
|
11
|
0
|
X -=
|
|
|
|
|
|
|
|
|
|
|
---
|
|
|
|
207,5
|
0
|
0
|
0
|
0
|
8,6
|
8,4
|
8
|
8,5
|
0
|
|
|
|
|
|
|
|
|
|
|
|
|
|
|
|
|
|
|
|
|
|
|
|
|
|
|
|
|
|
|
|
|
|
|
|
|
|
|
|
|
|
|
|
Индексная строка неотрицательна, значит план оптимальный.
Максимальное значение (207,5) функция полезности этого фактора достигает
при значениях показателей:
|
8,633333
|
монитор
|
1.1 диагональ
|
1-5
|
|
8,466667
|
|
1.2 видимая область
|
1-5
|
|
8,066667
|
|
1.3 цена
|
1-10
|
|
8,5
|
|
1.4 яркость
|
1-5
|
|
X 1=
|
5
|
|
X 2=
|
4
|
|
X 3=
|
8
|
|
X 4=
|
5
|
.5 Выводы
На основании экспертных оценок при оценивании тремя инженерами-экспертами
пришли к следующим выводам.
При выборе ПК для установке в офисе учебного центра необходимо
руководствоваться следующими критериями:
. при выборе монитора: нужна максимальная яркость и диагональ, при том,
что цена - чуть ниже средней, а видимая область - немногим выше обычной;
. при выборе клавиатуры и колонок нужно руководствоваться максимальным
размером и минимальной ценой.
На основании этих показателей и нужно закупать компьютеры для
оборудования “УРУШТЫНА”
Глава 4.
Экология и охрана труда. Разработка оптимальных условий труда инженера-эксперта
4.1 Общие положения. Выбор оборудования
Все стадии экспертного оценивания проходят на ПЭВМ.
Рабочее место инженера-эксперта представляет собой
выделенное помещение размером 3,5 х 7 м и высотой стен 3 м.
Освещение рабочего пространства организовано при
помощи 6-ти люминесцентных ламп дневного света мощностью по 30 Вт каждая.
Рабочее место инженера-эксперта оборудовано персональным компьютером и
принтером. Постоянно на рабочем месте находится один человек.
Наиболее значительным фактором производительности и
безопасности труда является производственный микроклимат, который
характеризуется температурой и влажностью воздуха, скоростью его движения, а
также интенсивностью радиации, и должен соответствовать ГОСТ 12.1.005-88 и СНиП
2.04.05-91.
Эргономика работы за компьютером
1. Общие положения
2. Выбор помещения
. Выбор и установка стола
. Выбор и установка кресла (стула)
. Выбор и установка монитора и правила работы с ним
. Выбор мыши
. Выбор клавиатуры
Общие положения
Основными повреждающими здоровье при работе за компьютером, как и при
любой сидячей работе, являются следующие неспецифичные (т.е. не связанные
именно с работой за компьютером) факторы:
1. Длительная гиподинамия. Любая поза при длительной фиксации вредна
для опорно-двигательного аппарата, кроме того, ведет к застою крови во
внутренних органах и капиллярах.
2. Нефизиологическое положение различных частей тела.
3. Длительно повторяющиеся однообразные движения. Здесь вредна не
только усталость тех групп мышц, которые эти движения выполняют, но и
психологическая фиксация на них (образование устойчивых очагов возбуждения ЦНС
с компенсаторным торможением других ее участков). Хотя наиболее вредны именно
повторяющиеся однообразные нагрузки. Через усталость они могут вести к
физическому повреждению суставов и сухожилий. Наиболее известен в среде
пользователей РС тендовагинит запястных сухожилий, связанный с вводом
информации посредством мыши и клавиатуры.
4. Долгое пребывание в замкнутом, а еще хуже - душном помещении.
. Световое, электромагнитное и прочее излучение в основном
монитора - а вот это специфический повреждающий фактор при работе с
компьютером.
Для борьбы с 1,3 и 4 повреждающими факторами рекомендации просты - надо
хотя бы раз в час устраивать перерывы, походить. Еще лучше выполнять физические
упражнения.
Глазам так же необходим отдых и разминка. Можно помассировать глазные
яблоки пальцами, от внешнего угла к внутреннему, затем круговыми движениями
внутрь-наружу. Веки при этом должны быть закрыты. Также полезно вращать глазами
при закрытых веках.
Разминка для мышц аккомодации (наведения на резкость хрусталика)
следующая: встать перед окном, из которого видна даль, и поочередно
фокусировать взгляд то на раме, то на горизонте.
Выбор помещения
Помещение должно быть просторным, хорошо проветриваемым и в меру светлым.
Яркий солнечный свет порождает блики на мониторе, поэтому лучше
предусмотреть жалюзи. Вообще по всем гигиеническим нормам помещение в целом и
рабочее место должны быть освещены достаточно и равномерно. Недопустимо в
темной комнате освещать только рабочее пространство, однако если для какой-либо
работы необходим очень яркий свет, то лучше дополнительно осветить рабочее
место при достаточном, но не излишнем фоновом освещении.
Пыль и жара - враг не только здоровья, но и техники, поэтому лучше
установить кондиционер.
Синтетические ткани при соприкосновении с натуральными и с телом
накапливают статическое электричество, которое вредно для техники и вызывает
неприятные ощущения при прикосновении к заземленным деталям - поэтому постелите
палас из натуральной шерсти и ходите в одежде из натуральных волокон.
Энергоснабжение и заземление в тему этой статьи не входят.
Выбор и установка стола
Стол должен быть по возможности большим. Это главное условие, т.к. когда
места еле хватает для размещения всей периферии, то про эргономику можно просто
забыть. Высота его должна быть где-то на уровне середины живота при прямой
посадке, когда пятка и носок стоят на полу, а бедро параллельно полу и спина
прямая. Далее, если не оговорено особо, будет подразумеваться именно такая
поза.
Глубина - так чтобы расстояние до экрана монитора было достаточным
(обсудим позже), но не менее 50 см. Ширина зависит от количества периферийных
устройств и прочего, что должно на нем находиться. Ну и, конечно же, чем
массивнее - тем лучше, устойчивость враг вибрации, а вибрация - враг техники.
Очень неплохо поставить 2 стола под прямым углом друг к другу, второй
справа, чтобы рабочая рука с мышкой спокойно лежала на нем. Здесь есть 2
подхода: поставить 2-й стол под правую руку или сесть лицом к вершине угла, ими
образованного, особенно второй подход актуален, когда мало места и столы узкие,
или при работе в основном с клавиатурой.
Между столом и стеной за ним должно быть свободное пространство.
Во-первых, даже полутораметровой глубины стол предполагает, что задняя часть
монитора с ЭЛТ будет свешиваться за него, а во-вторых (это уже не эргономика, а
просто удобство) будет обеспечен свободный подход к задней стенке системного
блока, от которой отходят все кабели.
Оптимально сидеть лицом к дверям (в офисе), чтобы за спиной было закрытое
жалюзи окно. Второй вариант - окно слева, системный блок прикрывает монитор от
бликов.
Оптимальным является изготовление рабочего стола на заказ, с учетом не
только габаритов, но и личных предпочтений работающего за ним, примерного
набора всего, что необходимо расставить и т.д.
Выбор и установка кресла (стула)
Если от стола зависит удобство расположения компонентов и своих рук, то
от того, на чем и как мы сидим, зависит положение и удобство ног, а, главное,
позвоночника. Пренебрегать позвоночником нельзя - он очень быстро и заметно на
это реагирует. Не даром производится огромное количество офисных стульев и
кресел, чья цена вполне может быть в районе $1000 только за счет удобства, а не
эксклюзивных материалов. Впрочем, вполне можно выбрать подходящее кресло в
районе $200. Тогда все достаточно просто: эти изделия уже оснащены колесиками,
физиологической спинкой и устройством для настройки их высоты.
Единственная рекомендация в таком случае - чаще менять положение. То есть
посидев какое-то время наклонившись к клавиатуре, надо откинуться на спинку и
т.д. Долго сидеть в одном положении вредно! Это вызывает застой крови не только
в конечностях, но и во внутренних органах.
В продолжение темы, это относится и к столу, и к стулу, и к клавиатуре с
мышью. Нога должна стоять большую часть времени на полу полной ступней. Для нее
это наиболее здоровое положение. Рука почти всегда должна и локтем, и запястьем
и всем, что между ними лежать на чем-нибудь. В том случае, если Вы сидите за
двумя столами, составленными углом, положение рук при печати на клавиатуре
наиболее хорошее. Когда работаете мышью, рука всегда должна касаться стола и
локтем, и запястьем, и предплечьем. Это положение, когда мышцы плечевого пояса
наименее нагружены, это профилактика шейного остеохондроза, т.к. напряженные
мышцы плеч все время немного перекашивают шейный отдел позвоночника, что очень
быстро дает о себе знать.
Если кресло не анатомическое, то очень желательно подкладывать под
поясницу подушечку - это профилактика остеохондроза поясничного. Хорошо, если
есть подголовник - это снимает напряжение с мышц шеи.
Выбор и установка монитора и правила работы с ним
Хотя в деле сохранения здоровья мелочей не бывает, монитор, пожалуй,
более всего воздействует на него. Экономия на мониторе недопустима. Зрение
испортить легко, но крайне сложно восстановить.
С выбором сейчас стало гораздо легче, чем пару-тройку лет назад. Большая
часть мониторов плоские и поддерживают высокие частоты регенерации. Кроме того,
мониторы, соответствующие ТСО99, имеют электропроводящее покрытие на экране и
металлический кожух с дырочками под декоративным пластмассовым корпусом, что
при правильном заземлении устраняет статику и сильно снижает паразитные
излучения, а также препятствует налипанию пыли. При отсутствии такого кожуха
излучение от тыльной стороны монитора превышает излучение от экрана, т.е. на
мониторы соседей по помещению тоже надо обратить внимание.
Можно отметить, что соответствие монитора последним стандартам
безопасности вовсе не значит, что он полностью безвреден. Доказательством тому
служит тот простой факт, что стандарты постоянно пересматриваются в сторону
ужесточения требований к оборудованию.
Плоский монитор вовсе не роскошь и нужен не только дизайнерам для
максимальной реалистичности картинки. Для глаза очень вредно все время
выполнять настройку на резкость в пределах небольшого диапазона. Поэтому,
например, также вредно читать в транспорте, удерживая в фокусе постоянно
вибрирующую книжку. При выпуклом мониторе при перемещении глаза от центра
экрана к периферии мышцы хрусталика выполняют примерно такую же работу. Их
усталость приводит в итоге к спазму, и можно потерять до 3х единиц зрения
только за счет этого спазма аккомодации, без каких-либо органических изменений.
К счастью, такая потеря зрения может компенсироваться вышеприведенной
гимнастикой для глаз, иногда помогает ношение очков +1…2.
Про частоту регенерации понять проще. Мышцы зрачка настраиваются на
изменение яркости освещения, и если оно ощутимо меняется 60 раз в секунду, то
нетрудно представить себе, какую работу им приходится проделывать для
подстройки. Эта работа обычно не воспринимается сознанием, но это не значит,
что ее нет. Проверить, воспринимаете ли именно Вы мерцание экрана именно на
этой частоте можно так: посмотреть в сторону от экрана, так чтобы увидеть его
под углом около 45 градусов. Боковое зрение больше чувствительно к мерцанию. И
когда перестанете воспринимать его, накиньте еще Герц 20. 72 Герца воспринимают
все, 85 - большая часть, 100 - достаточный минимум, когда мерцание для большей
части людей неразличимо.
Заметим еще здесь о таком часто забываемом параметре монитора, как время
послесвечения люминофора. На мониторе обычно стоит наиболее предпочтительный
режим, например 1024*768@75. Обычно это означает, что люминофор подобран именно
для этой частоты, и при развертке в 85 Герц все будет, скорее всего, нормально,
а вот при 60 мерцание будет гораздо более заметно, чем у старого монитора, в
основном на такую частоту и рассчитанного.
Время послесвечения более длительно у аналоговых и старых LCD мониторов,
поэтому они плохо подходят для игр, например, где картинка часто меняется. У
современных LCD мониторов несколько другой принцип передачи картинки, там это
не актуально, инертность изображения делает практически неощутимым мерцание его
уже при 60 Гц развертки. Небольшая инертность совсем не вредна, просто
несколько неудобна. Проверить степень мерцания изображения можно просто: помахать
растопыренными пальцами между экраном и глазами. В этом случае монитор играет
роль стробоскопа. Чем больше заметен стробоскопический эффект - тем больше
мерцание.
Гораздо легче сейчас стал и выбор видеокарты - если еще пару лет назад
хорошее качество в 2D обеспечивали лишь Matrox и ATi из изделий массового
рынка, то сейчас плохое качество изображения по вине адаптера встречается все
реже и реже.
Итак, выбираем плоскоэкранный монитор с частотой развертки не менее 100
Гц (либо TFT панель) и хорошую видеокарту.
Небольшое отступление. Сейчас цены на видеокарты Asus серии Deluxe уже
вполне доступны. В комплекте с ними идут "очки виртуальной
реальности". Суть их работы проста: жидкокристаллические
"стекла" поочередно затемняются, и на экран выводится синхронно
изображение, сформированное для каждого глаза в отдельности. При этом создается
стереоэффект, как в стереокинотеатре.
На 15-20 сантиметров верхний край активной области монитора должен быть
ниже уровня глаз. А теперь надо повернуть его в вертикальной плоскости так,
чтобы от верхнего и нижнего края до глаз было примерно одинаковое расстояние.
Когда за спиной окно - источник бликов - иногда монитор опускают "лицом
вниз", чтобы от них избавиться. Это вредно: глазам постоянно приходится
наводить резкость и они быстрее устают.
Данное утверждение оказалось достаточно спорно, т.к. кто-то привык к
тому, что верхний край монитора на уровне глаз, или даже выше. Здесь могу
сказать, что единого подхода нет, и если сложились определенные привычки, то
лучше им и следовать. Одно точно - от глаз до любой точки монитора должно быть
примерно равное расстояние.
Расстояние до монитора должно быть достаточно большим. Если это
14-15", то от 50 см до метра, если 17" - от 80 см до полутора метров,
и так далее. Использовать высокие разрешения и очень близко наклоняться к
монитору вредно, и вот почему: при этом постоянно двигается шея, об обеспечении
более-менее одинакового расстояния от глаз до монитора не идет даже речи, и,
кроме того, чем ближе к монитору, тем более мощный поток электромагнитного
излучения воздействует на глаза и вообще голову.
Все вышесказанное относится к мониторам с ЭЛТ трубкой. LCD монитор
воспринимается как книга, и комфортное расстояние до него, как до книги при
чтении - от 24 до 50 см в зависимости от остроты зрения при диагонали
15-18". При больших размерах - в зависимости от специфики работы, сейчас
такие мониторы еще мало распространены. И еще - пока не доказано наличие
вредных излучений от TFT панелей.
Рекомендуют обеспечить достаточное расстояние от нас до наших мониторов и
не выставлять сверхвысоких разрешений. Для 15" оптимально разрешение
800*600, для 17" - 1024*768 при указанных выше расстояниях. Не слишком
большое разрешение обеспечивает к тому же и более высокую частоту регенерации
обычно. Вышесказанное относится к работе с текстом, при работе с изображениями
иногда полезны высокие разрешения.
Достаточно большое значение имеет цветовая гамма. С точки зрения
минимализации излучения оптимален интерфейс командной строки - контрастные
белые буквы на черном фоне, ведь черные точки на мониторе почти ничего не
излучают. Однако многих такой расклад давит психологически. С психологической
точки зрения цветовые предпочтения различаются весьма сильно не только у разных
людей, но и у одного и того же человека в зависимости от настроения, текущей
жизненной позиции и прочего. Настолько, что даже есть специальный
психологический тест, по этим предпочтениям определяющий достаточно много
параметров. Общие же рекомендации простые: фоновые цвета должны быть неяркими и
в приятной для Вас цветовой гамме, шрифты контрастными и достаточного размера.
Стоит потратить немного времени и настроить интерфейс под себя, это ведет к
повышению комфортности работы.
Итак, необходимо обеспечить себе достаточное и равномерное расстояние от
глаз до любой точки монитора, комфортные настройки. Немного надо времени, чтобы
привыкнуть к вышеописанным оптимальным условиям, и потом другие условия станут
просто раздражать.
Не рекомендуется устанавливать вплотную к монитору аудиоколонки и
источники бесперебойного питания, т.к. эти устройства являются источником
наводок и портят качество изображения. В запущенных случаях это проявляется
заметным на глаз дрожанием картинки. Даже если оно не различимо в случае
экранирования монитора и источников наводок, не исключено, что на
подсознательном уровне дрожание всё же воспринимается. Поэтому лучше всё же
разнести указанную периферию с монитором где-то на полметра. Особенно актуален
этот совет в свете применения современной акустики с колонкой центрального канала,
которую многие ставят на монитор. Ранее самыми провокационными были в этом
плане источники бесперебойного питания, выполненные в виде подставки под
монитор.
Выбор мыши
Мышь должна соответствовать размеру руки. Сейчас многие новые мыши
оснащены колесиком, и это удобно в работе. Держать такую мышь стоит за края
большим пальцем и мизинцем, чтобы указательный лежал на левой кнопке, средний
на колесике, а безымянный на правой кнопке. При этом запястье должно лежать на
столе постоянно, а катать мышь по столу надо только движениями пальцев. Здесь
многие могут не согласиться, особенно те, кто привык держать мышь большим и
безымянным пальцем и двигать ее всем предплечьем. Когда предплечье спокойно
лежит на столе, рука устает значительно меньше, и меньше вероятность развития
тоннельного синдрома. Когда мышь держишь большим пальцем и мизинцем, то
амплитуда движения ее больше, и при современной чувствительности мышей этого
вполне хватает. При этом пропадает необходимость в валике под запястье.
Распространенные коврики и подставки с валиком, кстати, никакого толку не
имеют. Смысл есть их использовать только тогда, когда под правой рукой стоит
стол несколько (на высоту валика) выше рабочего, а коврик лежит на рабочем
столе и представляет из себя продолжение приставного. В противном случае
предплечье зависает в воздухе, двигается, устает и т.д. К тому же и на локоть
нагрузка больше.
Оптические мыши как правило более удобны по форме и продуманы по дизайну,
однако точность позиционирования и удобство в сложной и ответственной работе
вроде битвы по сети или редактирования изображений остаются за старой и более
разработанной шариковой технологией и портом PS/2. Порт этот допускает частоту
опроса мыши до 200 Гц, а USB только 125, и пока это непреодолимое различие,
отлично ощущаемое при переходе "сверху вниз".
Выбор клавиатуры
Клавиатуру желательно выбирать полностью эргономичную. То есть и с
разворотом 2х блоков относительно друг друга, и с "горбом". Проще
говоря, наиболее хороша клавиатура MS Natural Pro и ее имитации. Да, и на
расположение клавиш тоже стоит обратить внимание. Оно должно быть привычным и
удобным.
Если имеется возможность поменять «классическую» клавиатуру на
эргономичную - лучше это сделать. Лучше одновременно с мышью. 2 недели
неудобств - и будет гораздо удобнее. И запястья перестанут уставать.
.2 Условия труда инженера-эксперта
Факторы, окружающие инженера-эксперта, на рабочем
месте:
· напряжение зрения;
· опасности и вредности, источником
которых является ПЭВМ;
· напряжение внимания;
· нервно-эмоциональное напряжение;
· интеллектуальное напряжение;
· рабочее место, рабочая поза;
· сменность;
· продолжительность работы;
· температура воздуха на рабочем месте.
Проведем расчет интегрального показателя условий труда
по методу арифметического усреднения баллов биологически значимых показателей.
На основании краткой характеристики технологического процесса или вида трудовой
деятельности составим карту условий труда на рабочем месте (табл. 0.1.), где
каждый из факторов получит оценку в баллах.
Таблица 0.1. Карта условий труда на рабочем месте
|
№
|
Показатели условий труда,
единицы измерения.
|
Оценка показателей
|
Длительность воздействия
|
Балл с учетом экспози ции
|
|
|
|
Абс.
|
Балл
|
мин
|
Доля смены
|
|
|
|
А. Психофизиологические
нагрузки
|
|
|
|
|
|
|
1
|
Напряжение зрения:
|
|
|
|
|
|
|
|
освещенность РМ, лк
|
400
|
2
|
480
|
1
|
2
|
|
|
размеры объекта, мм
|
1
|
1
|
480
|
1
|
1
|
|
|
разряд зрительной
|
3-4
|
2
|
480
|
1
|
2
|
|
|
работы
|
|
|
|
|
|
|
|
энтропия зрительной
|
8
|
1
|
480
|
1
|
1
|
|
|
информации,
|
|
|
|
|
|
|
|
бит/сигнал
|
|
|
|
|
|
|
|
число информационных
|
<75
|
1
|
480
|
1
|
1
|
|
|
сигналов в час
|
|
|
|
|
|
|
|
2
|
Напряжение слуха:
|
|
|
|
|
|
|
|
уровень шума, дБ
|
<ПДУ
|
1
|
480
|
1
|
1
|
|
|
Отношение
|
80
|
1
|
480
|
1
|
1
|
|
|
сигнал/шум, %
|
|
|
|
|
|
|
|
энтропия слуховой
|
8
|
1
|
480
|
1
|
1
|
|
|
информации,
|
|
|
|
|
|
|
|
бит/сигнал
|
|
|
|
|
|
|
|
3
|
Напряжение внимания:
|
|
|
|
|
|
|
|
длительность
|
<25
|
1
|
480
|
1
|
1
|
|
|
сосредоточения
|
|
|
|
|
|
|
|
внимания, % времени
|
|
|
|
|
|
|
|
смены
|
|
|
|
|
|
|
|
Число важных объектов
наблюдения
|
<5
|
1
|
480
|
1
|
1
|
|
|
- число движений
|
<360
|
1
|
480
|
1
|
1
|
|
|
пальцев в час
|
|
|
|
|
|
|
|
4
|
Напряжение памяти :
|
|
|
|
|
|
|
|
необходимость помнить
|
1
|
2
|
480
|
1
|
2
|
|
|
об элементах работы
|
|
|
|
|
|
|
|
свыше 2-х ч., число эл.
|
|
|
|
|
|
|
|
поиск рассогласований
|
10
|
1
|
1
|
1
|
|
|
в % от числа
|
|
|
|
|
|
|
|
регулируемых
|
|
|
|
|
|
|
|
параметров
|
|
|
|
|
|
|
|
5
|
Нервно-эмоциональное
|
1
|
1
|
480
|
1
|
1
|
|
|
напряжение
|
|
|
|
|
|
|
|
6
|
Интеллектуальное
|
1
|
1
|
480
|
1
|
1
|
|
|
напряжение
|
|
|
|
|
|
|
|
7
|
Статическая нагрузка в
|
|
|
|
|
|
|
|
течение смены, кгс*сек:
|
|
|
|
|
|
|
|
на одну руку
|
<
|
1
|
480
|
1
|
1
|
|
|
|
18000
|
|
|
|
|
|
|
- на обе руки
|
<
|
1
|
480
|
1
|
1
|
|
|
|
43000
|
|
|
|
|
|
|
- на весь корпус
|
<
|
1
|
480
|
1
|
1
|
|
|
|
61000
|
|
|
|
|
|
|
8
|
Рабочее место, поза,
|
Поза
|
1
|
480
|
1
|
1
|
|
|
пере-мещение в
|
свобо
|
|
|
|
|
|
|
пространстве.
|
д-ная
|
|
|
|
|
|
|
Экспертная оценка.
|
|
|
|
|
|
|
|
9
|
Сменность
|
одна
|
1
|
480
|
1
|
1
|
|
|
10
|
Продолжительность
|
8
|
2
|
480
|
1
|
2
|
|
|
работы в течение суток, ч
|
|
|
|
|
|
|
|
11
|
Монотонность:
|
|
|
|
|
|
|
|
число приемов в
|
5-3
|
3
|
480
|
1
|
3
|
|
|
операции
|
|
|
|
|
|
|
|
длительность повтора
|
20-30
|
3
|
480
|
1
|
3
|
|
операции, с
|
|
|
|
|
|
|
12
|
Режим труда и отдыха
|
Обосн
|
1
|
480
|
1
|
1
|
|
|
ованн
|
|
|
|
|
|
|
ый,
|
|
|
|
|
|
|
гимна
|
|
|
|
|
|
|
стика
|
|
|
|
|
|
Б. Санитарно-гигиенические
условия
|
|
13
|
Температура воздуха
|
|
|
|
|
|
|
на рабочем месте, С :
|
|
|
|
|
|
|
теплый период
|
23-28
|
3
|
480
|
1
|
3
|
|
- холодный период
|
17-19
|
2
|
480
|
1
|
2
|
|
14
|
Промышленная пыль,
|
-
|
1
|
480
|
1
|
1
|
|
кратность превышения
|
|
|
|
|
|
|
ПДК
|
|
|
|
|
|
|
15
|
Ультразвук в воздухе
|
<ПДУ
|
1
|
480
|
1
|
1
|
|
ПДУ + превышение, дБ,
|
|
|
|
|
|
|
16
|
Тепловое излучение,
|
0
|
0
|
480
|
1
|
0
|
|
Вт/см
|
|
|
|
|
|
|
17
|
Ионизирующие
|
<ПДУ
|
1
|
480
|
1
|
1
|
|
излучения, мр/ч
|
|
|
|
|
|
|
В. Оценка условий труда
|
|
|
|
|
|
|
18
|
Число факторов,
|
|
|
|
|
3
|
|
формирующих тяжесть
|
|
|
|
|
|
|
труда, п
|
|
|
|
|
|
|
Сумма баллов
|
|
|
|
|
9
|
|
Усредненный балл
|
|
|
|
|
3
|
|
|
|
|
|
|
|
|
|
|
|
|
|
|
|
|
|
|
Рассчитаем интегральную оценку категории тяжести труда
инженера-эксперта по формуле:
kΣ = 19.7 * kсp - 1.6 * kcp 2 , (0.1)
где kср -
усредненный коэффициент, вычисляемый по формуле: kcp = (k1+k2+...+kn)/n,(0.2)
где k1 k2 , ... , kn - баллы факторов, формирующих тяжесть труда, n - число факторов, формирующих
тяжесть труда.
Поскольку факторы монотонности и температура воздуха в
теплый период имеют значение 3, то они рассматриваются как формирующие тяжесть
труда, а остальные факторы не принимаются во внимание при расчете kср.
kcp = (3+3+3)/3 = 3
kΣ - 14,7*3-1,6*9 = 29,7 (балл * 10)
Зная величину kΣ, находим категорию тяжести труда.
Таким образом, работу инженера-эксперта можно отнести к категории тяжести II. Для этой категории тяжести труда
характерны: допустимые условия труда, высокая работоспособность, отсутствуют
функциональные сдвиги по медицинским показателям.
.3 Расчет кондиционирования
Из результатов, полученных в предыдущем пункте видно,
что одним из трех значимых факторов, формирующих тяжесть труда, является
повышенная температура воздуха в теплый период. Проведем расчет
кондиционирования для принятия мер по улучшению условий труда
инженера-эксперта.
В помещениях различного назначения действуют две
основные категории тепловых нагрузок:
· тепловые нагрузки, возникающие
снаружи помещения (наружные);
· тепловые нагрузки, возникающие внутри
зданий (внутренние).
Наружные тепловые нагрузки представлены следующими
составляющими: теплопоступления или теплопотери в результате разности
температур снаружи и внутри здания через стены, потолки, полы, окна и двери.
Разность температур снаружи здания и внутри него летом является положительной,
в результате чего имеет место приток тепла снаружи во внутрь помещения и
наоборот - зимой эта разность является отрицательной и направление потока тепла
меняется от солнечного излучения через застекленные площади. Данная нагрузка
проявляется в форме ощущаемого тепла. Солнечное излучение всегда создает
положительную нагрузку, как летом, так и зимой. Летом эта нагрузка должна быть
компенсирована, а зимой она незначительная и интегрируется с теплом,
вырабатываемым установкой искусственного климата наружный вентиляционный воздух
и проникающий в помещения воздух (за счет инфильтрации) может иметь также
различные свойства, которые, однако, почти всегда контрастируют с
метеорологическими требованиями помещений: летом горячий и влажный (в некоторых
широтах наоборот - сухой) наружный воздух существенно влияет на работу
установки, охлаждающей и осушающей воздух; зимой холодный и сухой (или наоборот
- влажный) наружный воздух должен быть подогрет и увлажнен. И только в
промежуточный период между двумя этими временами года наружный воздух может в
какой-то мере быть использован в форме бесплатного охлаждения помещений.
Внутренние тепловые нагрузки в жилых, офисных или
относящихся к сфере
обслуживания помещениях слагаются в основном из:
· тепла, выделяемого людьми;
· тепла, выделяемого лампами и
осветительными приборами, электробытовыми приборами: холодильниками, плитами и
т.д. (в жилых помещениях);
· тепла, выделяемого работающими
приборами и оборудованием: компьютерами, печатающими устройствами,
фотокопировальными машинами и пр. (в офисных и других помещениях);
Кроме температуры воздуха в помещении, важным
параметром микроклимата является влажность. Для определения нужной
производительности системы кондиционирования или вентиляции нужен расчет
влажностного баланса в помещении. Расчетное количество влаги, на которое должен
быть рассчитан воздухообмен в помещении, равен разности выделения и поглощения
влаги, с учетом всех источников.
4.4 Рабочее место инженера-эксперта
В комнате инженера-эксперта находится АРМ
инженера-эксперта (системный блок с монитором) (см. рис. 1).
Рис. 1. Рабочее место инженера-эксперта.
Основные параметры комнаты:
· ширина - 3,9 метра;
· длина - 2,7 метров;
· высота потолков - 3,5 метра;
· количество постоянно находящихся
людей - 1 человек;
· источник освещения - 12
люминесцентных ламп мощностью 18 Вт каждая (3 светильника по 4 лампы Philips TLD 18W/54);
· оконный проем на юго-восточную
сторону (двойное остекление в одной раме) - 2 х 2,5 метра.
4.5 Расчет
воздухообмена
Влага выделяется в результате испарения со свободной
поверхности воды и влажных поверхностей материалов и кожи, в результате дыхания
людей и т.д. В данном случае влага выделяется только одним человеком.
Количество влаги, г/ч, определяется по формуле:
=N*w, (0.1)
где N - число людей, N = 1 человек;
w - количество влаги, выделяемое одним человеком, г/ч,
w = 50 г/ч при t = 22C.
По формуле (0.1) получаем:
W=1 *50 = 50(г/ч)
Необходимый воздухообмен для влажного воздуха
рассчитывается по формуле:
(0.2)
где W -
количество водяного пара, выделяющегося в помещении, г/ч, W = 50 г/ч;
D, d -
влагосодержание вытяжного и приточного воздуха, г/кг, определяется по
температуре и относительной влажности воздуха;
р - плотность приточного воздуха, р = 1.2 кг/ м3;
d = 10 г/кг при температуре рабочей зоны 22 °С;
D = 16 г/кг - принимается равным предельно допустимому, т.е.
при tpз=26 0С , =75 %.
Таким образом расход воздуха (по формуле 0.2) равен:
G = 50/ (16-10)*1,2= 6.9 м3/ч
.6 Расчет выделений тепла
Тепловыделения от людей:
= n*q , (0.3)
где п - количество людей в помещении, 1 мужчина; q - удельная теплота, выделяемая
человеком (тепло при t = 22
°С), Вт; q = 110 Вт;
По формуле (0.3) получаем: QЛ=1 * 110 =110 Вт.
Расчет тепла, поступающего в помещение от солнечной
радиации Q0CT через остекленный проем производится по формуле:
ост = Fост *qост * Аост (0,4)
где F0CT - площадь поверхности остекления,
м2,
F0CT=5м2
q0CT -
тепловыделения от солнечной радиации, Вт/м, через 1 м2 поверхности остекления
(с учетом ориентации по сторонам света), q0CT =160 Вт/м2,
т.е. окна с двойным остеклением с ориентацией на юго-восток;
Аост - коэффициент учета характера остекления, Аост =
1,15 (двойное остекление в одной раме).
Подставив все полученные значения в формулу (0.4),
получим:
Q0CT = 5* 160* 1,15=
920 Вт.
Расчет тепла, поступающего в помещение от солнечной
радиации Qп через покрытие производится по
формуле:
п = Fп * qп, (0.5)
где Fп -
площадь поверхности покрытия, м2,
Fп= 10,5 м2
qп - тепловыделения от солнечной радиации, Вт/м2, через 1 м2
поверхности покрытия,
qп = 6 Вт/м
Подставив все полученные значения в формулу (0.5),
получим:
Qп= 6* 10,5 = 63 Вт.
Расчет тепловыделений от источников искусственного
освещения Qocb, Вт, производится по формуле:
= N* λ , (0.6)
где N - суммарная мощность источников освещения, Вт,
N= 12 * 18 = 216 Вт, где 18 Вт - мощность одной люминесцентной
лампы, а всего в помещении 12 ламп;
λ - коэффициент тепловых потерь, = 0,55
для люминесцентных ламп.
По формуле (0.6) имеем:
Q0CB = 216* 0,55 =
118,8 Вт.
Для расчета тепловыделений от устройств вычислительной
техники используется формула (0.6) с коэффициентом тепловых потерь примерно
равным 0,5. В помещении стоит компьютер типа IBM PC AT мощностью 400Вт (системный блок и монитор). Тогда: QBT = 400 * 0,5 = 200 Вт. Таким образом,
в помещении выделяется всего избыточного тепла:
изб = Qл + Qoct + Qocb + QBT = 1 Ю + 920+ 118,8 + 200 = 1348,8 ВТ.
По формуле (0.7) посчитаем объем вентилируемого
воздуха для теплого времени года:
где
Qизб - теплоизбытки, Qизб= 1348,8 Вт;
Ср
- массовая удельная теплоемкость воздуха, Ср = 103 Дж/кг*°С;
р
- плотность приточного воздуха, р = 1,2 кг/м3;
tyд, tnp -
температуры удаляемого и приточного воздуха, °С.
Температура
удаляемого воздуха определяется по формуле:
уд
= tpз + а * (Н - 2), где tpз - 22 °С
(рабочей зоны);
а
- нарастание температуры воздуха на каждый 1 м высоты, °С/м,
а
=0,5 °С/м;
Н
- высота помещения, Н = 3,5 м. Следовательно,
tуд = 22 + 0,5 *
(3,5 - 2) = 22,75 °С.
Температура
приточного воздуха tnp при наличии избытков тепла должна быть на 5 ОС ниже
температуры воздуха в рабочей зоне, поэтому tnp = 17 0С.
Подставив полученные значения в формулу (0.7) найдем:
*1348,8
*
1,2* (22,75-17)
При
одновременном выделении тепла и влаги сравниваются соответствующие
воздухообмены, необходимые для их удаления, и выбирается наибольший. Поскольку GT =
703,7 м3/ч, a G = 6,9 м3/ч, то система
кондиционирования должна обеспечивать воздухообмен Gвент = 703,7
м3/ч с минимальной мощностью кондиционера 1400 Вт.
.7
Выбор типа и модели кондиционера
Очевидно,
что высокие мощностные требования к системе кондиционирования не предъявляются
(1400 Вт, 703,7 м3/ч). Кроме того, избыточный шум на рабочем месте
инженера-эксперта не желателен. В данных условиях оптимальным будет выбор
сплит-системы с выносным блоком системы теплообмена. В качестве конкретной
модели можно порекомендовать Panasonic CS-A18BKP
или General Electric AS1АН18GWO.
.8
Организация режима труда и отдыха
Для
обеспечения оптимальной работоспособности и сохранения здоровья
инженера-эксперта, на протяжении рабочей смены должны устанавливаться
регламентированные перерывы. Кроме того, необходимо делать. При работе с ПЭВМ
количество и продолжительность перерывов зависят от продолжительности рабочего
дня и категории сложности работы. Исходя из текущего количества пользователей
УЦ, по сложности работа была отнесена к II категории.
Следовательно, минимальная суммарная продолжительность регламентированных
перерывов составляет 30 минут при продолжительности рабочего дня в 8 часов.
Регламентированные перерывы следует установить через 2 часа от начала рабочей
смены и через 2 часа после обеденного перерыва продолжительностью 15 минут
каждый. Принимая во внимание повышенную монотонность работы в течение рабочего
дня необходимо помимо регламентированных перерывов делать паузы в работе. В
течение паузы инженеру-исследователю рекомендуется принимать стоячее положение
для изменения характера нагрузки на мышцы спины и при этом совершать упражнения
по снятию усталости с пальцев рук и глаз рекомендованные соответственно в
приложениях 17 и 16 СанПиН 2.2.2.542-96
Таблица
0.1. График труда и отдыха
|
Время
|
Событие
|
Длительность
|
Интенсивность работы
|
|
|
|
9:00
|
Работа
|
15
|
высокая
|
|
|
|
9:15
|
Пауза
|
1
|
-
|
|
|
|
9:16
|
Работа
|
14
|
высокая
|
|
|
|
9:30
|
Пауза
|
1
|
-
|
|
|
|
9:31
|
Работа
|
14
|
высокая
|
|
|
|
9:45
|
Пауза
|
1
|
-
|
|
|
|
9:46
|
Работа
|
14
|
высокая
|
|
|
|
10:00
|
Пауза
|
1
|
-
|
|
|
|
10:01
|
Работа
|
14
|
высокая
|
|
|
|
10:30
|
Пауза
|
1
|
-
|
|
|
|
10:31
|
Работа
|
14
|
средняя
|
|
|
|
10:45
|
Пауза
|
1
|
- -
|
|
|
|
10:46
|
Работа
|
14
|
средняя
|
|
|
|
11:00
|
Перерыв
|
15
|
-
|
|
|
|
11:15
|
Работа
|
15
|
высокая
|
|
|
|
11:30
|
Пауза
|
1
|
-
|
|
|
|
11:31
|
Работа
|
14
|
высокая
|
|
|
|
11:45
|
Пауза
|
1
|
-
|
|
|
|
11:46
|
Работа
|
14
|
средняя
|
|
|
12:00
|
Пауза
|
1
|
-
|
|
|
12:01
|
Работа
|
14
|
средняя
|
|
|
12:15
|
Пауза
|
1
|
-
|
|
|
12:16
|
Работа
|
средняя
|
|
|
12:30
|
Пауза
|
1
|
-
|
|
|
12:31
|
Работа
|
14
|
низкая
|
|
|
12:45
|
Пауза
|
1
|
|
|
|
12:46
|
Работа
|
14
|
низкая
|
|
|
13:00
|
Обеденный
|
60
|
|
|
|
перерыв
|
|
|
|
|
14:00
|
Работа
|
15
|
высокая
|
|
|
14:15
|
Пауза
|
1
|
-
|
|
|
14:16
|
Работа
|
14
|
высокая
|
|
|
14:30
|
Пауза
|
1
|
-
|
|
|
14:31
|
Работа
|
14
|
высокая
|
|
|
14:45
|
Пауза
|
1
|
-
|
|
|
14:46
|
Работа
|
14
|
высокая
|
|
|
15:00
|
Пауза
|
1
|
-
|
|
|
15:01
|
Работа
|
14
|
средняя
|
|
|
15:30
|
Пауза
|
1
|
-
|
|
|
15:31
|
Работа
|
14
|
средняя
|
|
|
15:45
|
Пауза
|
1
|
-
|
|
|
15:46
|
Работа
|
14
|
средняя
|
|
|
16:00
|
Перерыв
|
15
|
-
|
|
|
16:15
|
Работа
|
15
|
высокая
|
|
|
16:30
|
Пауза
|
1
|
-
|
|
|
16:31
|
Работа
|
14
|
высокая
|
|
|
16:45
|
Пауза
|
1
|
-
|
|
|
16:46
|
Работа
|
14
|
средняя
|
|
|
17:00
|
Пауза
|
1
|
-
|
|
|
17:01
|
Работа
|
14
|
средняя
|
|
|
17:15
|
Пауза
|
1
|
-
|
|
|
17:16
|
Работа
|
14
|
низкая
|
|
|
17:30
|
Пауза
|
1
|
-
|
|
|
17:31
|
Работа
|
14
|
низкая
|
|
|
17:45
|
Пауза
|
1
|
|
|
|
17:46
|
Работа
|
14
|
низкая
|
|
|
|
|
|
|
|
|
|
.9 Расчет информационной нагрузки
Инженер-эксперт, в зависимости от подготовки и опыта,
решает задачи разной сложности, но в общем случае его работа строится по
следующему алгоритму:
Алгоритм (кратко)
|
Этап
|
Содержание
|
Затрата времени, %
|
|
I II
|
Постановка задачи Изучение
материала по поставленной задаче
|
6.25
|
|
III
|
Определение метода решения
задачи
|
6.25
|
|
IV
|
Составление алгоритма
решения задачи
|
12.5
|
|
V
|
Построение модели в САПР
|
25
|
|
VI
|
Отладка модели, составление
отчета
|
50
|
Данный алгоритм отражает общие действия
инженера-эксперта при решении поставленной задачи независимо от ее сложности.
Алгоритм (подробно)
|
Этап
|
Член алгоритма
|
Содержание работы
|
Буквенное обозначение
|
|
I
|
1
|
Получение первого варианта
технического задания
|
А1
|
|
2
|
Составление и уточнение
технического задания
|
В1
|
|
3
|
Получение окончательного
варианта технического задания
|
С1j1↑2
|
|
4
|
Составление перечня
материалов, существующих по тематике задачи
|
H1j2
|
|
5
|
Изучение материалов по
тематике задачи
|
А2
|
|
6
|
Выбор метода решения
|
C2J3
|
|
7
|
Уточнение и согласование
выбранного метода
|
В2↑2
|
|
8
|
Окончательный выбор метода
решения
|
C3j4
|
|
9
|
Анализ входной и выходной
информации, обрабатываемой задачи
|
H2
|
|
10
|
Выбор метода построения
модели
|
C4J5
|
|
11
|
Определение структуры
модели
|
H3C5q1
|
|
12
|
Составление блок-схемы
модели
|
C6q2
|
|
13
|
Составление описания модели
|
C7w1
|
|
14
|
Логический анализ модели и
корректирование ее
|
F1H4w2
|
|
15
|
Компиляция модели
|
F2 ↓18
|
|
16
|
Исправление ошибок
|
D1w3
|
|
17
|
Сбор всех частей модели в
единую систему
|
F2H5B3w4
|
|
18
|
Моделирование
|
F3
|
|
19
|
Анализ результатов
моделирование
|
H6w5 ↑15
|
|
20
|
Тестирование
|
C8w6 ↑15
|
|
21
|
Подготовка отчета о
проделанной работе
|
F4
|
|
|
|
|
|
Подсчитаем количество членов алгоритма и их частоту
(вероятность) относительно общего числа, принятого за единицу. Вероятность
повторения i-ой ситуации определяется по формуле:
= k/n,
где k -
количество повторений каждого элемента одного типа.
n - суммарное количество повторений от источника информации,
одного типа. Результаты расчета сведем в таблицу 4:
|
Источник информации
|
Члены алгоритма
|
Символ
|
Количество членов
|
Частота повторений Pi
|
|
|
1
|
Афферентные - всего (п), в
том числе (к):
|
|
6
|
1,00
|
|
|
Изучение технической
документации и литературы
|
А
|
2
|
0,33
|
|
|
Наблюдение полученных
результатов
|
F
|
4
|
0,67
|
|
|
2
|
Эфферентные - всего, В том
числе:
|
|
18
|
1,00
|
|
|
Уточнение и согласование
полученных материалов
|
В
|
3
|
0,17
|
|
|
Выбор наилучшего варианта
из нескольких
|
С
|
8
|
0,44
|
|
Исправление ошибок
|
D
|
1
|
0,06
|
|
Анализ полученных
результатов
|
Н
|
6
|
0,33
|
|
Выполнение механических
действий
|
К
|
0
|
0
|
|
3
|
Логические условия - всего
в том числе
|
|
13
|
1,00
|
|
Принятие решений на основе
изучения технической литературы
|
j
|
5
|
0,39
|
|
Графического материала
|
q
|
2
|
0,15
|
|
Получение действующей модели
|
w
|
6
|
0,46
|
|
Всего:
|
|
37
|
|
|
|
|
|
|
|
|
Количественные характеристики алгоритма (Табл.4)
позволяют рассчитать информационную нагрузку инженера-эксперта. Энтропия
информации элементов каждого источника информации рассчитывается по формуле,
бит/сигн:
где m -
число однотипных членов алгоритма рассматриваемого источника информации.
H1 =2*2 + 2*4= 10
Н2 = 3 * 1,585 + 8*3 + 0 + 6* 2,585 = 44, 265
Н3 = 5 * 2,323 + 2*1+6 + 2,585 = 29,125
Затем определяется общая энтропия информации,
бит/сигн:
HΣ = Н1 + Н2 + Н3,
где H1, H2, H3 - энтропия афферентных, эфферентных элементов и логических
условий соответственно.
HΣ = 10 + 44,265 + 29,125 = 83,39
Далее определяется поток информационной нагрузки
бит/мин,
где N - суммарное число всех членов алгоритма;
t - длительность выполнения всей работы, мин.
От каждого источника в информации (члена алгоритма) в
среднем поступает 3 информационных сигнала в час, время работы - 225 часов,
,39*37*3*225
Ф = 13500 = 2,7 бит/с
Рассчитанная информационная нагрузка сравнивается с
допустимой. При необходимости принимается решение об изменениях в трудовом
процессе. Условия нормальной работы выполняются при соблюдении соотношения:
фдоп. мин <ф оасч. <Ф доп.макс.
где Фдоп.мин. и Фдоп.макс. - минимальный и
максимальный допустимые уровни информационных нагрузок (0,8 и 3,2 бит/с
соответственно); Фрасч. - расчетная информационная нагрузка 0,8 < 2,7
<3,2
4.10 Выводы по охране труда
Комфортные условия труда на рабочем месте играют
важную роль в обеспечении высокой производительности труда. Кроме того,
требования современных законодательных и нормативно-правовых актов обязывают к
их обеспечению. В данных условиях (рабочее место инженера-эксперта), наиболее
важной составляющей комфортности труда является эффективное кондиционирование
помещения, расчет которого с последующим выбором типа кондиционера был
произведен в данной части дипломного проекта.
Чрезвычайно важно, чтобы в кондиционируемых помещениях
не было шума, который оказывает вредное воздействие на организм человека,
особенно на его нервную систему. Главными источниками шума являются неправильно
спрофилированные лопатки перемещающих воздух вентиляторов, контактирующие с
воздушным потоком поверхности незвукоизолированных воздуховодов и другие
элементы систем кондиционирования воздуха. Использование выносного блока тепло-,
воздухообмена в выбранной сплит-системе обеспечивает отсутствие шума от
лопастей вентилятора, а размещение настенного блока кондиционера выше
человеческого роста, обеспечивает отсутствие сквозняков в теплое время года.
Для эффективной и безвредной работы за ПЭВМ инженеру-программисту
необходимо делать частые перерывы в работе, соблюдая рекомендации приложений 17
и 16 СанПиН 2.2.2.542-96.
Заключение
Появление экспертной и консультативной деятельности является закономеpным
pезультатом pазвития экономики. Объективная необходимость использования
экспертов, консультантов и аналитиков в администpативном аппарате непpеpывно
возpастает. Hаpяду с пpочими фактоpами эта необходимость связана с быстpыми
изменениями в окружающем нас миpе. Успешно пpименявшиеся pанее пpоцедуpы
планиpования и упpавления становятся малоэффективными. Отсуствие pациональной,
целенапpавленной политики пpиводит к экономическим потеpям, к снижению темпов
научно-технического пpогpесса.
Существуют две пpичины, пpепятствующие использованию более совеpшенных
методов и пpоцедуp пpинятия pешений. Пеpвая из них связана с тpадиционными
пpедpассудками сотpудников администpативного аппаpата, пpивязанностью к
пpивычным фоpмам подготовки pешений. Втоpая - с несовеpшенством стиля и методов
pаботы консультантов, с недостаточным учетом ими человеческих фактоpов.
Применение экспертизы при принятии управленческого решения, в том числе и
бизнес-плана для компании, позволяет не только провести независимую оценку
бизнес-планов экспертами, но уменьшить риски и потери компании при выборе
неоптимального проекта потому, как затраты на использование экспертов
несоизмеримы с потерями компании при реализации непродуманного проекта или
бизнес-плана.
Целью дипломной работы являлось проведение экспертизы бизнес- плана фирмы
«Уруштын» по оборудованию учебного центра.
Для достижения этой цели были решены следующие задачи:
· анализ технологии подготовки, принятия и реализации решений;
· исследован предмет экспертизы;
· экспертная оценка бизнес-плана;
· исследованы вопросы экологии и охраны труда
инженера-эксперта.
Для проведения экспертной оценки была разработана математическая модель
задачи, для решения которой был использован симплекс-метод.
Получены следующие результаты экспертизы.
При выборе ПК для установке в офисе учебного центра необходимо
руководствоваться следующими критериями:
. при выборе монитора: нужна максимальная яркость и диагональ, при том,
что цена - чуть ниже средней, а видимая область - немногим выше обычной;
. при выборе клавиатуры и колонок нужно руководствоваться максимальным
размером и минимальной ценой.
На основании этих показателей и нужно закупать компьютеры для
оборудования “Уруштына”.
Результаты работы могут быть использованы как для решения частной задачи
экспертизы бизнес-плана фирмы «Уруштын», так и для экспертной оценки других
проектов.
Список
использованных источников
1. Jensen
M. Value Maximization, Stakeholder Theory, and the Corporate Objective
Function//Journal of Applied Corporate Finance, V. 14, N 3, Fall 2001, Р. 8-21.
2. Kaplan
R. S., Norton D. P. The Balanced Scorecard: Translating Strategy into Action.
Cambridge Mass.: HBS Press, 1996.
3. Автоматизированное
рабочее место в системе управления предприятием. Сборник научных трудов. - Л.:
СЗПИ, 1997 г.
4. Бекляшов
В.К. Технико-экономические расчеты в дипломных проектах. Л.: СЗПИ, 1989 г.
. Брук
В., Копейкин М. Большие системы управления: критерии оценки и моделирование.
Уч. пособие. - Л.: СЗПИ, 1994.
6. Кини
Р. Л., Райфа Х. Принятие решений при многих критериях: предпочтения и
замещения. М.: Радио и связь, 1991 г.
7. Коупленд
Т., Коллер Т., Муррин Дж. Стоимость компаний: оценка и управление.
М.:Олимп-Бизнес, 1999.
. Методические
рекомендации по оценке инвестиционных проектов. (Вторая редакция). М.: ОАО
"НПО "Изд-во "Экономика", 2000.
. Портер
М. Конкуренция. М.: Издательский дом "Вильямс", 2000 г.
. Томпсон
А. А., Стрикленд А. Дж. Стратегический менеджмент. М.: Финансы и статистика,
2004.
. Хорват
П. Сбалансированная система показателей как средство управления предприятием.
// Проблемы теории и практики управления. 2000. №4.
12. Шураков
В.В. Автоматизированное рабочее место для статической обработки данных. - М.:
Финансы и статистика, 2002 г.