Разработка проекта освоения авиадвигателей ПС-90А2 на предприятии ОАО 'Пермский моторный завод'
Оглавление
Введение
Часть
I. Стратегия предприятия и его инновационный потенциал
.1
Информация о предприятии ОАО «Пермский моторный завод».
.2
Анализ внутренней и внешней среды предприятия
.3
Расчет инновационного потенциала предприятия.
.4
Описание инновации
Часть
II. Технико-экономический анализ проектных решений.
.1
Экспертная оценка
.2
Выбор критерия эффективности
.3
Оценка технического уровня
.4
Прогнозирование себестоимости
.5
Расчет экономического показателя конкурентоспособности
.6
Анализ чувствительности.
Часть
III. Финансово-экономический анализ
.1
Расчет капитальных вложений в производство
.2
Определение экономических показателей проекта
.3
Оценка финансовых показателей проекта
.4
Выбор источника финансирования
.5
Анализ чувствительности
Список
использованной литературы:
Введение
Всем известно, что на сегодняшний день российская авиация переживает не
лучшие времена. Российские воздушные суда Ил96, Ту204, Ту154М не соответствуют
мировым стандартам по уровню эмиссии вредных веществ, по шуму и расходу
топлива. Все эти самолеты являются не конкурентоспособными по отношению к их
зарубежным аналогам. Отсутствие экономичных двигателей буквально парализуют
отечественный рынок самолетостроения.
В такой ситуации, отечественной гражданской авиации необходим новый
двигатель, который бы соответствовал всем вышеперечисленным критериям.
Предприятие ОАО «Пермские моторы» разработало две новые модификации
авиадвигателя ПС-90А: ПС-90А2 и ПС-90А-76. Данные модификации предназначены для
установки на такие российские воздушные суда, как новейший среднемагистральный
самолет ТУ204СМ (в том числе на различные модификации Ту204) ИЛ76 и Ил96-300.
Цель работы - выявить, на основе технико-экономического анализа, какой из
двигателей ПС-90А2 и ПС-76А является наиболее привлекательным на рынке и
соответственно будет освоен на предприятии ОАО «Пермский моторостроительный
завод».
Часть I. Стратегия предприятия и его
инновационный потенциал
.1 Информация
о предприятии ОАО «Пермский моторный завод»
ОАО «Пермский Моторный Завод» образовано в 1997 году в процессе
реструктуризации крупнейшего российского завода «Пермские Моторы» как его
дочернее предприятие, унаследовавшее газотурбинное производство, а с ним и
богатые традиции двигателестроителей Западного Урала.
История родоначальника пермских моторостроителей ОАО «Пермские Моторы»
ведет свой отсчет с 1 июня 1934 года, когда на строящемся заводе в Перми был
собран и испытан первый звездообразный мотор М-25. Уже через четыре года завод
№ 19, как он тогда назывался, стал крупнейшим производителем авиационных
моторов. В годы Великой Отечественной войны завод перекрыл свою проектную
мощность в 12 раз и выпустил более 32 тысяч моторов. Ими оснащались боевые
самолеты, в том числе знаменитые Ла-5, Су-2 и Ту-2. С переходом авиации в 50-х
годах с поршневых на реактивные двигатели завод упрочил свои позиции и стал
постоянным партнером и поставщиком продукции для всемирно известных фирм
Туполева, Ильюшина, Микояна, Миля, Мясищева.
«Пермский Моторный Завод» - единственное в России предприятие, производящее
авиадвигатель 4-го поколения ПС-90А, успешно конкурирующий с лучшими
двигателями своего класса - PW2000 (Пратт энд Уитни, США), RB211 (Роллс-Ройс,
Великобритания).
Быстро развивающееся направление работ - производство промышленных
газотурбинных установок. Пермские установки унаследовали от авиационных
двигателей технические и экологические характеристики мирового уровня, систему
технического обслуживания «по состоянию», требуют небольших штатов и площадей,
что дает высокий эксплуатационный эффект при минимальной стоимости жизненного
цикла.
Сегодня «Пермским моторным заводом» выпускается более 10 типов ГТУ мощностью от
2,5 до 25 МВт для привода компрессоров газоперекачивающих агрегатов и
генераторов газотурбинных электростанций.
«Пермский Моторный Завод» стремится в максимальной степени удовлетворить
запросы Заказчика, предлагая развитую сервисную поддержку:
· полное
техническое обслуживание ПС-90А
<#"604066.files/image001.gif">
Рис. 1 - Продажи
Положение Общества в отрасли:
Авиационные двигатели
Мировой рынок авиационных двигателей на период до 2024 года оценивается в
сумму более 500 млрд. долл., по словам генерального, директора Центрального
института авиационного моторостроения (ЦИАМ) Владимир Скибин.
Несмотря на высокий потенциал российского авиарынка, на сегодняшний день
более 70% всего объема авиаперевозок в России приходится на 10 - 15 крупнейших
авиакомпаний. Именно эти компании следует рассматривать как потенциальных
покупателей новых самолетов. Ожидаемый спрос на новые самолеты в течение
ближайшие годы можно оценить на основании информации авиакомпаний о
перспективных планах своего развития.
В сложившихся в настоящее время в России экономических условиях, основным
заказчиком двигателей ПС-90А для гражданской авиации является лизинговая
компания: ОАО «Ильюшин Финанс Ко», входящая в состав Объединённой
авиастроительной корпорации.
В свою очередь ОАК оценила потребность в самолетах на период до 2015 года:
Таблица 1 - Потребности в самолетах до 2015 года
|
|
ИТОГО
|
|
ИЛ-96
|
ВАСО
|
37
|
|
ТУ-204
|
АВИАСТАР
|
153
|
|
ИЛ-76/476
|
АВИАСТАР
|
49
|
|
ИЛ-76
|
ТАПО/ТАНТК
|
20
|
Кроме того, существует ряд потенциальных проектов, связанных с госзаказом
и самолетами Ил-76, которые ОАК не учитываются.
Основным заказчиком двигателей ПС-90А для государственных нужд без
лизинговых схем является КАПО им. Горбунова.
Зарубежные поставки осуществляются по контрактам с Рособоронэкспорт (для
Индии), с АК «SWA» (Азербайджан), с ВТФ «Чосонхангон» (КНДР), с АК "Cubana de Aviacion" (Куба, по контракту с ИФК);
планируются поставки двигателей в интересах Ирана, Венесуэлы, Иордании.
В общей сложности на сегодняшний день может быть заказано 1 005
модификаций двигателей ПС-90А в период 2010 - 2015 год.
Рынок поставок авиадвигателей гражданского назначения, тягой 10-20 тс для
узкофюзеляжных пассажирских и грузовых самолетов. Доля ПМЗ на рынке - 12%.
Основными конкурентами в сегменте авиационных двигателей являются
зарубежные разработчики - GE, Pratt & Whitney, Snecma, Rolls-Royce, ОАО
«Мотор Сич».
Таблица 2 - Доли рынка ПМЗ и конкурентов
Около 50% продаж ПМЗ в авиационном сегменте приходится на предприятия,
входящие в структуру Объединенной авиастроительной корпорации.
Рис 2 - Сегменты продаж ПМЗ
Промышленные двигатели
Анализ динамики рынка развития ГТУ для ГПА выполнен на основе данных,
приведенных в «Каталогах газотурбинного оборудования» за 2000-2010 г.г. («ЗАО
газотурбинные технологии»).
Для рассмотрения взят период начиная с 2003 года (года активного ввода в
эксплуатацию ГТУ производства ОАО «ПМЗ») по 2010 год.
В таблице 3 приведено общее количество ГПА в классе мощностей свыше 10
МВт, введенных в эксплуатацию на территории стран Содружества Независимых
Государств (СНГ).
Таблица 3 - ГПА, введенные в эксплуатацию на промышленных объектах СНГ с
2003 г. по 2010 г. в классах мощностей свыше 10 МВт.
|
Год
|
2003
|
2004
|
2005
|
2006
|
2007
|
2008
|
2009
|
2010
|
|
Капитальное строительство,
шт
|
19
|
19
|
6
|
24
|
78
|
49
|
68
|
60
|
|
Реконструкция, шт.
|
11
|
21
|
10
|
9
|
8
|
18
|
8
|
22
|
|
Всего ГПА, шт.
|
30
|
40
|
16
|
33
|
86
|
67
|
75
|
82
|
Как видно, наблюдается неравномерность изменения количества вводимых в
эксплуатацию ГПА. Это объясняется неравномерным характером закупок ГПА основным
заказчиком - ОАО «Газпром».
Таблица 4 - Распределение ГТУ для ГПА по основным производителям на рынке
СНГ в 2003-2010гг. в классе мощности 10, 12, 16, 25 МВт.
|
Производитель ГТУ
|
Количество ГТУ, шт.
|
|
ГП НПКГ
"Зоря"-"Машпроект"
|
152
|
|
ОАО "Пермский Моторный
Завод"
|
162
|
|
ОАО "КМПО"
|
68
|
|
ОАО
"Моторостроитель"
|
11
|
|
ОАО "Невский
завод"
|
1
|
|
ЗАО "Уральский
турбинный завод"
|
4
|
|
ОАО "УМПО"
|
18
|
|
ОАО "Мотор Сич"
|
1
|
|
General Electric
|
9
|
|
Siemens
|
3
|
Как видно из таблицы, основными конкурентами ОАО «Пермский Моторный
Завод» (доля 38%) являются:
ГП НПКГ «Зоря»-«Машпроект», г. Николаев 35%
ОАО «КМПО», г. Казань 16%
ОАО «УМПО», г. Уфа 4%
ОАО «Моторостроитель», г. Самара 3%
Кадровая политика и персонал общества:
Общая численность персонала в 2010 году увеличилась на 30 человек и
составила 7694 человека.
Текучесть кадров в 2010 году возросла с 7,8 % до 8,1%, среди основных
рабочих она составила 9,1%. Более одной третьей увольняется по причине низкой
заработной платы.
Состояние с дисциплиной труда ухудшилось. На 35 % возросло количество
прогулов, на 26 % - задержаний в проходной в нетрезвом виде.
В течение года принято на работу 86 молодых специалистов: 52 чел. в
качестве руководителей и специалистов, 34 чел. на наиболее ответственные
рабочие профессии.
Средний возраст работающих не изменился и составляет 43,5 года,
руководителей - увеличился с 47,6 до 47,8 года. Основная причина этого
недостаточный прием молодых специалистов.
В 2007 году повысили свою квалификацию 1 865 работников. По различным
видам обучения прошли подготовку 1 161 чел. рабочих и 704 чел. специалистов и
руководителей. В том числе 469 человек повысили свою квалификацию на семинарах
и конференциях. 45 работников предприятия без отрыва от производства получили
образование в ВУЗах и СУЗах.
Количество работающих
Таблицам5 - Количество работающих
|
Категория работающих
|
На начало года
|
На конец года
|
|
Численность
|
%
|
Численность
|
%
|
|
Основные рабочие
|
2726
|
35,6%
|
2779
|
36,1%
|
|
Вспомогательные рабочие
|
2351
|
30,7%
|
2315
|
30,1%
|
|
Руководители
|
836
|
10,9%
|
852
|
11,1%
|
|
Специалисты
|
1679
|
21,9%
|
1676
|
21,8%
|
|
Тех.исполнители
|
72
|
0,9%
|
72
|
0,9%
|
|
Итого:
|
7664
|
100,0%
|
7694
|
100,0%
|
Квалификация рабочих
Таблица 6 - Квалификация рабочих
|
Разряд
|
На начало года
|
На конец года
|
|
Численность
|
%
|
Численность
|
%
|
|
1
|
15
|
0,3%
|
30
|
0,6%
|
|
2
|
42
|
0,9%
|
49
|
1,1%
|
|
3
|
332
|
7,2%
|
329
|
7,1%
|
|
4
|
1478
|
32,2%
|
1483
|
32,1%
|
|
5
|
1711
|
37,3%
|
1692
|
36,6%
|
|
6
|
957
|
20,8%
|
979
|
21,2%
|
|
7
|
26
|
0,6%
|
25
|
0,5%
|
|
8
|
30
|
0,7%
|
30
|
0,6%
|
|
Итого:
|
4591
|
100,0%
|
4617
|
100,0%
|
Количество по образованию
Таблица 7 - Количество по образованию
|
Образование
|
На начало года
|
На конец года
|
|
Численность
|
%
|
Численность
|
%
|
|
Высшее профессиональное
|
1537
|
20,1%
|
1546
|
20,1%
|
|
Среднее профессиональное
|
1820
|
23,7%
|
1867
|
24,3%
|
|
Начальное профессиональное
|
1919
|
25,0%
|
1947
|
25,3%
|
|
Среднее
|
2388
|
31,2%
|
2334
|
30,3%
|
|
Итого:
|
7664
|
100,0%
|
7694
|
100,0%
|
Возраст работающих
Таблица 8 - Возраст работающих
|
Категория работающих
|
Средний возраст
|
|
На начало года
|
На конец года
|
|
Основные рабочие
|
41,5
|
41,5
|
|
Вспомогательные рабочие
|
44,2
|
44,6
|
|
Руководители
|
47,6
|
47,8
|
|
Специалисты
|
43,8
|
44,1
|
|
Тех.исполнители
|
46,6
|
46,5
|
|
Все работники
|
43,5
|
43,5
|
SWOT-анализ
|
Сильные стороны организации
|
Слабые стороны организации
|
|
Выдающаяся компетентность
Адекватные финансовые ресурсы Высокая квалификация персонала Подходящая
технология и оборудование Высокие инновационные способности и возможности их
реализации
|
Отсутствие некоторых типов
ключевой квалификации и компетентности Ухудшающаяся конкурентоспособность
Устаревшее оборудование, проблемы с производственными технологиями Слабые
маркетинговые способности Отставание в области исследований и разработок,
невозможность их реализации Недостаток управленческого таланта
|
|
Возможности внешней среды
|
Угрозы внешней среды
|
|
Выход на новые рынки или
сегменты рынка Возможность расширения производственных и технологических
инноваций Расширение разнообразия взаимосвязанных продуктов Добавление
сопутствующих продуктов Ускорение роста рынка
|
Возможность появления новых
конкурентов Возможность продаж замещающего продукта Возрастание конкурентного
давления Возрастающая сила торга у поставщиков Замедление или стагнация рынка
Неблагоприятная политика властей
|
Модель пяти сил Портера
Рыночная власть поставщиков: со времен распада СССР кооперация в
авиационной отрасли нарушена. Сейчас многие дотационные авиазаводы,
изготавливающие комплектующие, имеют малую долю на рынке, и на единичные заказы
устанавливают огромные цены, обусловленные убыточностью предприятий.
Угроза появления продуктов-заменителей: есть вероятность того, что Pratt&Whitney спроектирует авиадвигатель PW1400G поколения 6+ к
2015 году.
Угроза появления конкурентов: крайне низкая. Существующие на рынке
конкуренты не собираются выпускать двигатели для среднемагистральных
отечественных судов, а появление новых вовсе невозможно, по причине того, что
высоки входные затраты на данный наукоемкий рынок, а также традиции и
интеллектуальных потенциал работников целой отрасли.
Рыночная власть потребителей - крайне высока. Отечественные компании,
эксплуатирующие Ту204 и Ил96, требуют больших скидок на воздушные суда и не
дают определенности в опционах на заказы самолетов.
-анализ
|
Фактор
|
Описание
|
|
Социальный
|
Развитие коммуникации
|
|
Технологический
|
Инновационные технологии,
ОАО «ПМЗ» сотрудничает в зарубежными компаниями, такими как, P&W и
GE.
|
|
Экономический
|
Экономическая ситуация в
стране, рост доходов потребителей влияет на авиаотрасль, пассажиры формируют
спрос на самолеты
|
|
Экологический
|
Тенденция к ужесточению
эмиссии вредных веществ в атмосферу. На сегодняшний день ПС-90А2 и ПС-76-А
соответствуют международным нормам.
|
|
Политический
|
Сорваны поставки 9 Ту-204СМ
в Иран из-за санкций США, опасность прекращения субсидирования ОАО «ПМЗ»,
контракт на поставку 3 Ту-204СМ.
|
1.3 Расчет
инновационного потенциала предприятия
1. Ик - источники собственных средств
Ик = 1298291 тыс. руб.
2. Авнеоб - внеоборотные активы
Авнеоб = 2905754 тыс. руб.
3. Об1 - наличие оборотных средств при покрытии запасов и затрат
Об1 = Ик - Авнеоб
Об1 = -4204045 тыс. руб.
4. Доб - долгосрочные обязательства
Доб = 7094010 тыс. руб.
5. Об2 - наличие собственных средств, которыми можно воспользоваться
Об2 = Об1 + Доб
Об2 = 2889965 тыс. руб.
6. Коб - краткосрочные обязательства
Коб = 8010826 тыс. руб.
7. Об3 - общая сумма средств
Об3 = Об2 +Коб
Об3 = 10900791 тыс. руб.
8. Прz- производственные запасы
Прz = 7695111 тыс. руб.
9. К0,1,2 - недостатки/преимущества собственных средств за вычетом
запасов
К0 = Об1 - Прz = -11899156 тыс. руб.
К1 = Об2 - Прz = -4805146 тыс. руб.
К2 = Об3 - Прz = 3304680 тыс. руб.
10. Кфу - коэффициент финансовой устойчивости
Кфу (К0,К1,К2) = (0,0,1) => у предприятия неустойчивое финансовое
состояние
11. Зсум - суммарные затраты для проведения инновационной деятельности
Зсум = 844300 тыс. руб.
К0 - Зсум = -12743456 тыс. руб.
К1 - Зсум = -5649446 тыс. руб.
К2 - Зсум = 2460380 тыс. руб.
12. Кин.потенц. = (0,0,1).
1.4 Описание
инновации
вариант
Модернизация двигателей ПС-90А в ПС-90А2 посредством использования
комплектующих и агрегатов иностранного производства и лицензий американской
компании Pratt&Whitney.
Двигатель современного мирового уровня.
Конструктивно: турбореактивный (класс турбовентиляторных), двухконтурный,
двухвальный авиадвигатель со смешением потоков наружного и внутреннего
контуров, с реверсом в наружном контуре и системой шумоглушения.
Авиадвигатель предназначен для установки на дальнемагистральные самолеты
типа Ил-96-300 и среднемагистральные самолеты типа Ту-204, Ту-214, Ил-76ТД для
пассажирских и грузовых перевозок.
Расход топлива:
на самолете Ил-96-300 не превышает 7 000…8 000 кг на 1 час летного
времени;
на Ту-204 - 3 500 кг.
В таблице 9 приведем технические характеристики.
Таблица 9 - Технические характеристики
|
Тяга, кгс: - взлетный
режим, ТН < +30°C, PН > 730 мм рт.ст., H=0 - крейсерский режим, Н=11
км, М=0,8
|
16 000 3 500
|
|
Удельный расход топлива (с
реальным соплом), кг/кгс ч
|
0,595
|
|
Высота полета, м
|
до 13 100
|
|
Температура воздуха у земли
для запуска и работы,°С
|
-47…+45
|
До 3 500
|
|
Длина двигателя, мм
|
4 964
|
|
Диаметр вентилятора по
концам рабочих лопаток, мм
|
1 900
|
|
Сухая масса, кг
|
3 000
|
|
Поставочная масса, кг
|
4 230
|
Преимущества двигателя ПС-90А2 по сравнению с прототипом:
· Снижение стоимости жизненного цикла до 37%.
· Соответствие экологических параметров перспективным
требованиям: шум, эмиссия вредных веществ.
· Повышение надежности в 1,5…2 раза.
· Соответствие требованиям ETOPS для двухдвигательных самолетов
по обеспечению непрерывного 120-минутного полета по маршрутам большой дальности
и над океаном.
· Уменьшение трудоемкости обслуживания в эксплуатации в 2 раза.
· Сертификация по авиационным правилам АП-33 (аналог
американских норм FAR-33 и европейских - JAR-33).
· Локализация разрушений при обрыве рабочей лопатки вентилятора
под корень.
· Возможность форсирования по тяге до 18 000 кгс.
· Стабильность параметров в процессе эксплуатации.
· Повышение пожаробезопасности в связи с заменой части
топливных агрегатов на пневматические.
вариант
Модернизация двигателя ПС-90А в ПС-90А76, по средством, использования
новейших узлов и систем американской компании Pratt&Whitney.
Дал возможность продлить жизнь большому парку транспортных самолетов
Ил-76 (модернизированные Ил-76ТД-90, Ил-76ТФ гражданской авиации) и повысить их
экономичность путем установки двигателя ПС-90А-76 вместо Д-30КП.
Двигатель ПС-90А-76 позволил также создать новую модификацию самолета
Ил-76 - военно-транспортный самолет Ил-76МФ, соответствующий современным
требованиям.
Конструктивно: турбовентиляторный, двухконтурный, двухвальный двигатель
со смешением потоков наружного и внутреннего контуров, с реверсом в наружном
контуре и системой шумоглушения.
Авиадвигатель предназначен для установки на грузовые самолеты Ил-76
различных модификаций.
В таблице 10 приведем технические характеристики
Таблица 10 - Технические характеристики
|
Тяга, кгс: - взлетный режим
(tн< +30°C, Pн > 730 мм рт.ст., H=0) - крейсерский режим (Н=11 км,
М=0,8)
|
14 500 3 300
|
|
Удельный расход топлива (с
реальным соплом), кг/кгс ч
|
0,595
|
|
Высота полета, м
|
до 13 100
|
|
Температура воздуха у земли
для запуска и работы,оС
|
-47…+45
|
|
Высотность аэродромов, м
|
До 3 500
|
|
Длина двигателя, мм
|
4 964
|
|
Диаметр вентилятора по
концам рабочих лопаток, мм
|
1 900
|
|
Сухая масса, кг
|
2 950
|
|
Поставочная масса, кг
|
4 160
|
Преимущества газотурбинного турбовентиляторного двигателя ПС-90А-76 по
сравнению с Д-30КП:
· Соответствие экологических параметров по эмиссии и шуму
нормам ИКАО
· Повышение надежности и ресурсных показателей
· Улучшение экономичности
· Возможность форсирования по тяге до 16 000 кгс
Часть II. Технико-экономический анализ
проектных решений
.1 Экспертная
оценка
Экспертным методом были выявлены наиболее важные показатели и их весовые
коэффициенты. (табл.11)
Таблица 11 - Показатели и весовые коэффициенты
|
Показатель
|
Весовые коэффициенты
|
|
Тяга, кгс:
|
|
|
- взлетный режим, ТН <
+30°C, PН > 730 мм рт.ст., H=0
|
0,2
|
|
- крейсерский режим, Н=11
км, М=0,8
|
0,10
|
|
Удельный расход топлива (с
реальным соплом), кг/кгс ч
|
0,25
|
|
Высота полета, м
|
0,05
|
|
Длина двигателя, мм
|
0,05
|
|
Диаметр вентилятора по
концам рабочих лопаток, мм
|
0,05
|
|
Сухая масса, кг
|
0,05
|
|
Поставочная масса, кг
|
0,05
|
|
Наработка на отказ,
приводящая к отключению АД в полете, ч.
|
0,2
|
|
Сумма
|
1
|
2.2 Выбор
критерия эффективности
Составим сравнительную таблицу характеристик. Авиадвигатель Pratt&Whitney PW2337 возьмем в качестве аналога (табл. 12).
Таблица 12 - Показатели двигателей
|
Номер
|
Показатель
|
ПС-90А2
|
ПС-76-А
|
PW2337
|
|
Тяга, кгс:
|
|
|
|
|
1
|
- взлетный режим, ТН <
+30°C, PН > 730 мм рт.ст., H=0
|
16 000
|
14 500
|
13750
|
|
2
|
- крейсерский режим, Н=11
км, М=0,8
|
3 500
|
3 300
|
3200
|
|
3
|
Удельный расход топлива (с
реальным соплом), кг/кгс ч
|
0,4
|
0,65
|
0,81
|
|
4
|
Высота полета, м до
|
13100
|
13000
|
12100
|
|
5
|
Длина двигателя, мм
|
4 964
|
4 964
|
4964
|
|
6
|
Диаметр вентилятора по
концам рабочих лопаток, мм
|
1 900
|
1 900
|
1900
|
|
7
|
Сухая масса, кг
|
3 100
|
3 010
|
2950
|
|
8
|
Поставочная масса, кг
|
4 250
|
4 200
|
4160
|
|
9
|
Наработка на отказ,
приводящая к отключению АД в полете, ч.
|
129679
|
110675
|
94862
|
В качестве критерия эффективности будем использовать интегральный
показатель конкурентоспособности.
,
где
Uтехн. - интегральный показатель относительного технического уровня изделия
Где хотн.i - единичный
относительный показатель качества по i-ому параметру
хi - дифференциальный показатель
изделия
αi - весовые коэффициенты (важность
показателя)
K -
средневзвешенный арифметический комплексный показатель технического уровня
n -
количество показателей
2.3 Оценка
технического уровня
Для оценки технического уровня реализуемого проекта воспользуемся
интегральным относительным показателем технического уровня. Для этого
рассчитаем относительные показатели по параметрам. Расчеты представлены в
таблице 13.
Таблица 13 - Относительные показатели по параметрам
|
Номер
|
Показатель
|
ПС-90А2
|
ПС-76-А
|
PW2337
|
|
Тяга, кгс:
|
|
|
|
|
1
|
- взлетный режим, ТН <
+30°C, PН > 730 мм рт.ст., H=0
|
1,16
|
1,05
|
1
|
|
2
|
- крейсерский режим, Н=11
км, М=0,8
|
1,09
|
1,03
|
1
|
|
3
|
Удельный расход топлива (с
реальным соплом), кг/кгс ч
|
2,03
|
1,25
|
1
|
|
4
|
Высота полета, м до
|
1,08
|
1,07
|
1
|
|
5
|
Длина двигателя, мм
|
1,00
|
1,00
|
1
|
|
6
|
Диаметр вентилятора по
концам рабочих лопаток, мм
|
1,00
|
1,00
|
1
|
|
7
|
Сухая масса, кг
|
0,95
|
0,98
|
1
|
|
8
|
Поставочная масса, кг
|
0,98
|
0,99
|
1
|
|
9
|
Наработка на отказ,
приводящая к отключению АД в полете, ч.
|
1,37
|
1,17
|
1
|
Используя данные о весовых коэффициентах, полученные с помощью экспертной
оценки, можно рассчитать интегральный относительный показатель технического
уровня. Расчеты представлены в таблице 14.
Таблица 14 - Интегральный относительный показатель технического уровня
|
Номер
|
Показатель
|
ПС-90А2
|
ПС-76-А
|
PW2337
|
|
Тяга, кгс:
|
|
|
|
|
1
|
- взлетный режим, ТН <
+30°C, PН > 730 мм рт.ст., H=0
|
0,23
|
0,21
|
0,2
|
|
2
|
- крейсерский режим, Н=11
км, М=0,8
|
0,11
|
0,10
|
0,1
|
|
3
|
Удельный расход топлива (с
реальным соплом), кг/кгс ч
|
0,51
|
0,31
|
0,25
|
|
4
|
Высота полета, м до
|
0,05
|
0,05
|
0,05
|
|
5
|
Длина двигателя, мм
|
0,05
|
0,05
|
0,05
|
|
6
|
Диаметр вентилятора по
концам рабочих лопаток, мм
|
0,05
|
0,05
|
0,05
|
|
7
|
Сухая масса, кг
|
0,05
|
0,05
|
0,05
|
|
8
|
Поставочная масса, кг
|
0,05
|
0,05
|
0,05
|
|
9
|
Наработка на отказ,
приводящая к отключению АД в полете, ч.
|
0,27
|
0,23
|
0,2
|
|
U тех
|
1,37
|
1,11
|
1,00
|
Вывод: новейший двигатель ПС-90А2 обладает более высоким техническим, чем
его аналоги ПС-76-А и PW-2337.
.4
Прогнозирование себестоимости
Спрогнозируем себестоимость нового продукта балльным методом, так как
разработка инновации находится на стадии технического задания, и,
следовательно, отсутствует полная информация о конструкции устройства и
технологическом процессе производства.
Балльный метод предполагает комплексное использование статистической
информации и экспертных методов с помощью следующего алгоритма:
· эксперты согласовывают перечень параметров, оказывающих
наибольшее влияние на себестоимость, и ранжируют их;
· предельному значению каждого включенного в перечень
показателя в соответствии с итогами ранжирования присваивают определенный балл
и разрабатывают систему баллов (метод предполагает линейную зависимость между
себестоимостью и показателем);
· по разработанной системе определяют сумму баллов для
изделий-аналогов, уже находящихся в производстве, и рассчитывают ценностной
множитель - среднюю стоимость одного балла:
где:-
число изделий-аналогов,
-
производственная себестоимость j-го изделия,- число параметров, используемых
для прогнозирования,
- число
баллов для j-го изделия по i-му параметру.
По
этой же системе определяют сумму баллов разрабатываемого изделия и рассчитывают
его себестоимость:
Основные
характеристики, влияющие на себестоимость продукта, представлены в таблице 15.
Таблица
15 - Основные характеристики
|
Номер
|
Показатель
|
|
1
|
Тяга - взлетный режим, ТН
< +30°C, PН > 730 мм рт.ст., H=0
|
|
2
|
Тяга - крейсерский режим,
Н=11 км, М=0,8
|
|
3
|
Удельный расход топлива (с
реальным соплом), кг/кгс ч
|
|
4
|
Высота полета, м
|
|
5
|
Длина двигателя, мм
|
|
6
|
Диаметр вентилятора по
концам рабочих лопаток, мм
|
|
7
|
Сухая масса, кг
|
|
8
|
Поставочная масса, кг
|
|
9
|
Наработка на отказ,
приводящая к отключению АД в полете, ч.
|
Аналог - PW2337. После
отбора полученные показатели были проранжированы. Оценки выставлялись по
10-бальной шкале. Значения основных показателей, влияющих на себестоимость, и
баллы представлены в таблице 16.
Таблица 16 - Основные показатели и баллы
|
№
|
Показатель
|
Баллы
|
ПС-90А2
|
ПС-76-А
|
PW2337
|
|
1
|
Тяга - взлетный режим, ТН
< +30°C, PН > 730 мм рт.ст., H=0, кгс
|
10
|
16 000
|
14500
|
13750
|
|
2
|
Тяга - крейсерский режим,
Н=11 км, М=0,8, кгс
|
8
|
3500
|
3300
|
3200
|
|
3
|
Удельный расход топлива (с
реальным соплом), кг/кгс ч
|
10
|
0,40
|
0,65
|
0,81
|
|
4
|
Высота полета, м до
|
9
|
13100
|
13000
|
12100
|
|
5
|
Длина двигателя, мм
|
5
|
4964
|
4964
|
4964
|
|
6
|
Диаметр вентилятора по
концам рабочих лопаток, мм
|
4
|
1900
|
1900
|
1900
|
|
7
|
Сухая масса, кг
|
6
|
3100
|
3010
|
2950
|
|
8
|
Поставочная масса, кг
|
6
|
4250
|
4200
|
4160
|
|
9
|
Наработка на отказ,
приводящая к отключению АД в полете, ч.
|
8
|
129679
|
110675
|
94862
|
На основании данных из таблицы 16 была разработана система баллов,
информация о которой представлена в таблице 17.
Таблица 17 - Система баллов
|
№
|
Показатель
|
Баллы
|
ПС-90А2
|
PW2337
|
|
1
|
Тяга - взлетный режим, ТН
< +30°C, PН > 730 мм рт.ст., H=0, кгс
|
10
|
10,00
|
9,06
|
8,59
|
|
2
|
Тяга - крейсерский режим,
Н=11 км, М=0,8, кгс
|
8
|
8,00
|
7,54
|
7,31
|
|
3
|
Удельный расход топлива (с
реальным соплом), кг/кгс ч
|
10
|
10,00
|
6,15
|
4,94
|
|
4
|
Высота полета, м до
|
9
|
9,00
|
8,93
|
8,31
|
|
5
|
Длина двигателя, мм
|
5
|
5,00
|
5,00
|
5,00
|
|
6
|
Диаметр вентилятора по
концам рабочих лопаток, мм
|
4
|
4,00
|
4,00
|
4,00
|
|
7
|
Сухая масса, кг
|
6
|
5,71
|
5,88
|
6,00
|
|
8
|
Поставочная масса, кг
|
6
|
5,87
|
5,94
|
6,00
|
|
9
|
Наработка на отказ,
приводящая к отключению АД в полете, ч.
|
8
|
8,00
|
6,83
|
5,85
|
|
Сумма баллов
|
|
65,58
|
59,34
|
56,01
|
Так как PW2337 производился совместно с
материнской компанией ОАО «Объединенная двигателестроительная корпорация», то
его себестоимость известна.
Средняя
стоимость одного балла: 
Себестоимость
проектируемых авиадвигателей:
.5 Расчет
экономического показателя конкурентоспособности
Для расчёта экономического показателя конкурентоспособности будет
использоваться цена потребления, т.е. сумма цены покупки и цены эксплуатации.
Рассчитаем
покупную цену авиадвигателей, исходя из желаемой прибыли предприятия (30%), НДС
(18%) и себестоимости изделия. Расчеты представлены в таблице 18.
Таблица 18 - Покупная цена
|
Авиадвигатель
|
Желаемая прибыль
|
НДС
|
Себестоимость
|
Покупная цена, млн. руб.
|
|
PW2337
|
30%
|
18%
|
101,5
|
155,7
|
|
ПС-90А2
|
30%
|
18%
|
118,84
|
183
|
|
ПС-76-А
|
30%
|
18%
|
107,53
|
164,9
|
К эксплуатационным расходам относятся: расходы на авиакеросин,
техническое обслуживание и ремонт, и страховые расходы.
Расчет затрат на авиакеросин.
Определим срок службы авиадвигателей (табл. 19).
авиационный двигатель гражданский инновационный
Таблица 19 - Срок службы АД
|
АД
|
Срок службы, лет
|
|
PW2337
|
10
|
|
ПС-90А2
|
10
|
|
ПС-76-А
|
10
|
Средняя наработка двигателей за весь срок эксплуатации рассчитана в
таблице 20:
Таблица 20 - Наработка АД
|
Авиадвигатель
|
Наработка в месяц, ч.
|
В год, ч.
|
За срок службы, ч.
|
|
PW2337
|
300
|
3600
|
25200
|
|
ПС-90А2
|
390
|
4680
|
56160
|
|
ПС-76-А
|
507
|
6084
|
60840
|
Средний расход топлива двигателями за год:
Будем исходить из того, что данный вид авиадвигателей предназначен для
установки на суда типа ТУ-204. Характеристики данного самолета, необходимые для
расчета расхода топлива даны в таблице 21:
Таблица 21 - Характеристики ТУ204
|
Средний расход топлива одним
двигателей (при максимальной коммерческой нагрузке), кг/час
|
PW2337
|
1725
|
|
ПС-90А2
|
1600
|
|
ПС-76-А
|
1635
|
Рассчитаем расход двигателями топлива за один год:
Таблица 22 - Расход двигателями авиакеросина за весь срок эксплуатации
|
Авиадвигатель
|
Средний расход топлива,
кг/час
|
Наработка за год, ч
|
Расход за год, тонн
|
|
PW2337
|
3450
|
3600
|
62100
|
|
ПС-90А2
|
3200
|
4680
|
74880
|
|
ПС-76-А
|
3270
|
4500
|
73575
|
В таблице 23 рассчитана прогнозная стоимость авиакеросина ТС-1 за одну
тонну с учетом ставки дисконтирования 10% в год, руб. и расходы на потребление
топлива авиадвигателями по годам за весь срок эксплуатации:
Таблица 23.1 - Стоимость авиакеросина и расходы на его потребление
|
Года (сроки службы АД)
|
2011
|
2012
|
2013
|
2014
|
2015
|
|
Стоимость авиакеросина ТС-1
(r = 10%), руб./тонн
|
|
31650
|
39563
|
51431
|
64289
|
83576
|
|
АД
|
Расходы на потребление
авиакеросина, млн. руб./тонн
|
|
PW2337
|
1965
|
2457
|
3194
|
3992
|
5190
|
|
ПС-90А2
|
2370
|
2962
|
3851
|
4814
|
6258
|
|
ПС-76-А
|
2329
|
2911
|
3784
|
4730
|
6149
|
Таблица 23.2 - Стоимость авиакеросина и расходы на его потребление
|
Года (сроки службы АД)
|
2016
|
2017
|
2018
|
2019
|
2020
|
|
Стоимость авиакеросина ТС-1
(r = 10%), руб./тонн
|
|
104470
|
135811
|
169763
|
212204
|
275865
|
|
АД
|
Расходы на потребление
авиакеросина, млн. руб./тонн
|
|
PW2337
|
6488
|
8434
|
10542
|
13178
|
17131
|
|
ПС-90А2
|
7823
|
10170
|
12712
|
15890
|
20657
|
|
ПС-76-А
|
7686
|
9992
|
12490
|
15613
|
20297
|
Расходы на техническое обслуживание и ремонт (ТОиР), и страховку
составляют 40% от стоимости авиадвигателя по нормативам (табл. 23):
Таблица 24 - Расходы на ТОиР и страховку
|
ТОиР и страховка
|
Стоимость, млн.руб
|
|
PW2337
|
49,25
|
|
ПС-90А2
|
57,67
|
|
ПС-76-А
|
52,18
|
Итоговый расчет цены потребления представлен в таблице 25:
Таблица 25 -Расчет цены потребления
|
АД
|
Затраты на топливо, млн.
руб
|
ТОиР и Страховка за весь
срок эксплуатации, млн.руб.
|
Суммарные эксплуатационные
затраты, млн.руб.
|
Цена потребления, млн.руб.
|
|
PW2337
|
72571
|
49
|
72621
|
72741
|
|
ПС-90А2
|
87506
|
58
|
87564
|
87705
|
|
ПС-76-А
|
85981
|
52
|
86034
|
86161
|
Рассчитаем интегральный показатель конкурентоспособности. Расчет приведен
в таблице 26.
Таблица 26 - Интегральный показатель конкурентоспособности
|
Авиадвигатель
|
U тех
|
U экон
|
ИКС
|
|
PW2337
|
1,00
|
1
|
1
|
|
ПС-90А2
|
1,37
|
1,21
|
1,14
|
|
ПС-76-А
|
1,11
|
1,18
|
0,94
|
По результатам расчетов, приведенных в таблице 17, видно, что двигатель
ПС-90А более конкурентоспособен, чем базовый PW2337 на 14 %-ов. ПС-76-А уступает своему базовому аналогу PW2337 по уровню конкурентоспособности
на 6 %-ов.
.6 Анализ
чувствительности
Реальная техническая или экономическая эффективность разрабатываемой
сложной технической системы (СТС) может отличаться от проектной в результате:
· отклонений от заданного качества изготовления, сборки и
испытаний объекта,
· отклонений предусмотренных проектом условий производства и
эксплуатации,
· увеличения периода создания СТС,
· изменения продолжительности жизненного цикла СТС как товара,
реализуемого потребителю,
· неточности прогнозирования а также изменения динамики таких
экономических параметров, как себестоимость, цена, инвестиции и т.д.
Для оценки степени влияния перечисленных отклонений на величину
выбранного критерия применяют анализ чувствительности (устойчивости).
Его результаты, полученные на стадии принятия решения, позволяют
отслеживать в процессе проектирования и изготовления системы те параметры,
которые наиболее важны с точки зрения эффективности.
Зададим
отклонения показателя с наибольшим весовым коэффициентом
10%. В нашем случае, таким показателем является
удельный расход топлива. Берем интервал
10%, потому
что, изменение потребления топлива авиадвигателями на 10%, в авиации считается
это уже много.
Рассчитаем
интегральный показатель конкурентоспособности, учитывая отклонение показателя
на +10%.
В
таблице 27 приведены характеристики авиадвигателей, с увеличенным удельным
расходом топлива на 10%.
Таблица 27 - Характеристики авиадвигателей
|
Номер
|
Показатель
|
ПС-90А2
|
PW2337
|
|
1
|
Тяга - взлетный режим, ТН
< +30°C, PН > 730 мм рт.ст., H=0, кгс
|
16 000
|
13750
|
|
2
|
Тяга - крейсерский режим,
Н=11 км, М=0,8, кгс
|
3 500
|
3200
|
|
3
|
Удельный расход топлива (с
реальным соплом), кг/кгс ч
|
0,44
|
0,81
|
|
4
|
Высота полета, м до
|
13100
|
12100
|
|
5
|
Длина двигателя, мм
|
4 964
|
4964
|
|
6
|
Диаметр вентилятора по
концам рабочих лопаток, мм
|
1 900
|
1900
|
|
7
|
Сухая масса, кг
|
3 100
|
2950
|
|
8
|
Поставочная масса, кг
|
4 250
|
4160
|
|
9
|
Наработка на отказ,
приводящая к отключению АД в полете, ч.
|
129679
|
94862
|
Рассчитаем относительные показатели (табл.28):
Таблица 28 - Единичные относительные показатели
|
Номер
|
Показатель
|
ПС-90А2
|
PW2337
|
Весовые коэффициенты
|
|
1
|
Тяга- взлетный режим, ТН
< +30°C, PН > 730 мм рт.ст., H=0, кгс
|
1,16
|
1
|
0,2
|
|
2
|
Тяга - крейсерский режим,
Н=11 км, М=0,8, кгс
|
1,09
|
1
|
0,10
|
|
3
|
Удельный расход топлива (с
реальным соплом), кг/кгс ч
|
1,84
|
1
|
0,25
|
|
4
|
Высота полета, м до
|
1,08
|
1
|
0,05
|
|
5
|
Длина двигателя, мм
|
1,00
|
1
|
|
6
|
Диаметр вентилятора по
концам рабочих лопаток, мм
|
1,00
|
1
|
0,05
|
|
7
|
Сухая масса, кг
|
0,95
|
1
|
0,05
|
|
8
|
Поставочная масса, кг
|
0,98
|
1
|
0,05
|
|
9
|
Наработка на отказ,
приводящая к отключению АД в полете, ч.
|
1,37
|
1
|
0,2
|
В таблице 29 приведен расчет интегральных относительных показателей
технического уровня.
Таблица 29 - Интегральные относительные показатели технического уровня
|
Номер
|
Показатель
|
ПС-90А2
|
PW2337
|
|
1
|
Тяга- взлетный режим, ТН
< +30°C, PН > 730 мм рт.ст., H=0, кгс
|
0,23
|
0,2
|
|
2
|
Тяга - крейсерский режим,
Н=11 км, М=0,8, кгс
|
0,11
|
0,1
|
|
3
|
Удельный расход топлива (с
реальным соплом), кг/кгс ч
|
0,46
|
0,25
|
|
4
|
Высота полета, м до
|
0,05
|
0,05
|
|
5
|
Длина двигателя, мм
|
0,05
|
0,05
|
|
6
|
Диаметр вентилятора по
концам рабочих лопаток, мм
|
0,05
|
0,05
|
|
7
|
Сухая масса, кг
|
0,05
|
0,05
|
|
8
|
Поставочная масса, кг
|
0,05
|
0,05
|
|
9
|
Наработка на отказ,
приводящая к отключению АД в полете, ч.
|
0,27
|
0,2
|
|
U тех
|
1,33
|
1,00
|
Рассчитаем интегральные показатель конкурентоспособности (табл. 30):
Таблица 30 - Интегральный показатель конкурентоспособности
|
Авиадвигатель
|
U тех
|
U экон
|
ИКС
|
|
PW2337
|
1,00
|
1
|
1
|
|
ПС-90А2
|
1,33
|
1,21
|
1,10
|
Рассчитаем интегральный показатель конкурентоспособности, учитывая
отклонение показателя на -10%.
В таблице 31 приведены характеристики авиадвигателей, с уменьшенным
удельным расходом топлива на 10%.
Таблица 31 - Характеристики авиадвигателей
|
Номер
|
Показатель
|
ПС-90А2
|
PW2337
|
|
1
|
Тяга - взлетный режим, ТН
< +30°C, PН > 730 мм рт.ст., H=0, кгс
|
16 000
|
13750
|
|
2
|
Тяга - крейсерский режим,
Н=11 км, М=0,8, кгс
|
3 500
|
3200
|
|
3
|
Удельный расход топлива (с
реальным соплом), кг/кгс ч
|
0,36
|
0,81
|
|
4
|
Высота полета, м до
|
13100
|
12100
|
|
5
|
Длина двигателя, мм
|
4 964
|
4964
|
|
6
|
Диаметр вентилятора по
концам рабочих лопаток, мм
|
1 900
|
1900
|
|
7
|
Сухая масса, кг
|
3 100
|
2950
|
|
8
|
Поставочная масса, кг
|
4 250
|
4160
|
|
9
|
Наработка на отказ,
приводящая к отключению АД в полете, ч.
|
129679
|
94862
|
Рассчитаем относительные показатели (табл.32):
Таблица 32 - Единичные относительные показатели
|
Номер
|
Показатель
|
ПС-90А2
|
PW2337
|
Весовые коэффициенты
|
|
1
|
Тяга- взлетный режим, ТН
< +30°C, PН > 730 мм рт.ст., H=0, кгс
|
1,16
|
1
|
0,2
|
|
2
|
Тяга - крейсерский режим,
Н=11 км, М=0,8, кгс
|
1,09
|
1
|
0,10
|
|
3
|
Удельный расход топлива (с
реальным соплом), кг/кгс ч
|
2,25
|
1
|
0,25
|
|
4
|
Высота полета, м до
|
1,08
|
1
|
0,05
|
|
5
|
Длина двигателя, мм
|
1,00
|
1
|
0,05
|
|
6
|
Диаметр вентилятора по
концам рабочих лопаток, мм
|
1,00
|
1
|
0,05
|
|
7
|
Сухая масса, кг
|
0,95
|
1
|
0,05
|
|
8
|
Поставочная масса, кг
|
0,98
|
1
|
0,05
|
|
9
|
Наработка на отказ,
приводящая к отключению АД в полете, ч.
|
1,37
|
1
|
0,2
|
В таблице 33 приведен расчет интегральных относительных показателей
технического уровня.
Таблица 33 - Интегральные относительные показатели технического уровня
|
Номер
|
Показатель
|
ПС-90А2
|
PW2337
|
|
1
|
Тяга- взлетный режим, ТН
< +30°C, PН > 730 мм рт.ст., H=0, кгс
|
0,23
|
0,2
|
|
2
|
Тяга - крейсерский режим,
Н=11 км, М=0,8, кгс
|
0,11
|
0,1
|
|
3
|
Удельный расход топлива (с
реальным соплом), кг/кгс ч
|
0,56
|
0,25
|
|
4
|
Высота полета, м до
|
0,05
|
0,05
|
|
5
|
Длина двигателя, мм
|
0,05
|
0,05
|
|
6
|
Диаметр вентилятора по
концам рабочих лопаток, мм
|
0,05
|
0,05
|
|
7
|
Сухая масса, кг
|
0,05
|
0,05
|
|
8
|
Поставочная масса, кг
|
0,05
|
0,05
|
|
9
|
Наработка на отказ,
приводящая к отключению АД в полете, ч.
|
0,27
|
0,2
|
|
U тех
|
1,43
|
1,00
|
Рассчитаем интегральные показатель конкурентоспособности (табл. 34):
Таблица 34 - Интегральный показатель конкурентоспособности
|
Авиадвигатель
|
U тех
|
U экон
|
ИКС
|
|
PW2337
|
1,00
|
1
|
1
|
|
ПС-90А2
|
1,43
|
1,21
|
1,18
|
То есть, при изменении удельного расхода топлива на 1%, интегральный
показатель конкурентоспособности изменится на 0,35%.
Теперь
рассмотрим значения интегрального показателя конкурентоспособности при
изменении цены потребления на
10%.
Цена
потребления авиадвигателя с учетов отклонения приведения в таблице 35.
Таблица 35 - Цена потребления авиадвигателя ПС-90А2
|
АД
|
Цена пот., млн.руб.
|
|
ПС-90А2
|
+10%
|
96453
|
|
-10%
|
78916
|
Рассчитаем
экономический и интегральный показатели конкурентоспособности при изменении
цены потребления на
10% (табл. 36):
Таблица 36 - Экономический и интегральный показатель
конкурентоспособности
|
Авиадвигатель
|
Цена потребления
|
U тех
|
U экон
|
ИКС
|
|
PW2337
|
72741
|
1,00
|
1
|
1
|
|
ПС-90А2
|
+10%
|
96453
|
1,37
|
1,33
|
1,04
|
|
-10%
|
78916
|
1,37
|
1,08
|
1,27
|
То есть, при изменении цены потребления на 1%, интегральный показатель
конкурентоспособности изменится на 1%.
В результате проведенных расчётов можно сделать вывод, что возможное
изменение погрешности измерения в пределах
10% практически не изменяет значение
интегрального показателя конкурентоспособности и, следовательно, не влияет на
выбор варианта реализации проекта.
Изменение цены потребления в пределах 10%, сказывается сильнее на интегральном
показателе конкурентоспособности, чем изменение значения удельного расхода
топлива.
На основании выше изложенного можно заключить, что критерий является
устойчивым.
И так, предприятие ОАО «Пермский моторный завод» приняло решение
осваивать производство ПС-90А2.
Часть III. Финансово-экономический анализ
.1 Расчет
капитальных вложений в производство
Капитальные вложения - затраты, необходимые для подготовки и реализации
инновационного проекта.
Определим расходы на НИОКР по удельному весу калькуляционных статей и с
четом статистической информации следующим образом:
,
,
где: LНИОКР - фонд заработной платы исполнителей по данной теме,
γз.п. - удельный вес заработной платы
в общей сумме расходов для аналогичных исследований,об - стоимость специального
оборудования для выполнения темы,
Тд - директивная продолжительность разработки,- число исполнителей i-й
категории,- число категорий исполнителей,
Li - оклад исполнителя i-й категории
Предпосылка к использованию системы аналогов заключается в том, что
предприятие ОАО «ПМЗ» уже имело опыт модификации авиадвигателя ПС-90А в
авиационный двигатель ПС90-А1. Большинство элементов, которые составляют НИОКР,
повторяются в определенных количественных и качественных соотношениях.
Так из прошлого опыта известно, что доля затрат на заработную плату в
сметной стоимости инновационного проекта составляет 0,5.
γз.п. = 0,5
Для проведения НИОКР имеются следующие исполнители:
· технологи
· конструктора
· рабочие основные
· рабочие вспомогательные
Рассчитаем фонд оплаты труда. Расчет представлен в таблице 37.
Таблица 37. Расчет фонда оплаты труда участников
|
Категории исполнителей
|
Число исполнителей,
|
Оклад,
|
Доп з/п и проч. (10% от
годовой з/п)
|
Директивный срок выполнения
работ,
|
Суммарная величина оплаты
труда, тыс.руб.
|
|
Ri чел
|
Li руб./мес.
|
руб./год.
|
TДi, дней
|
|
|
Конструктор
|
185
|
50000
|
60000
|
249
|
164340
|
|
Технолог
|
217
|
42000
|
50400
|
249
|
138045,6
|
|
Рабочие (основные)
|
240
|
110000
|
132000
|
249
|
361548
|
|
Рабочие (вспомогате-льные)
|
68
|
65000
|
78000
|
249
|
213642
|
|
ИТОГО
|
710
|
|
|
|
877575,6
|
На основании указанной информации рассчитаем величину затрат, связанных с
проведением НИОКР:
Рассчитаем капиталовложения в приобретение технологического оборудования.
(табл.38)
Таблица 38 - Капиталовложения в приобретение технологического
оборудования
|
Оборудование
|
Количество, шт.
|
Срок полезного
использова-ния
|
Стоимость, млн.руб./шт.
|
Стоимость монтажа и проч.,
млн.руб./шт. (10%)
|
Стоимость всего
оборудова-ния, млн.руб.
|
|
Фрезерные станки
|
5
|
10
|
1,2
|
0,12
|
|
Токарные
|
7
|
10
|
1,1
|
0,11
|
8,47
|
|
Шлифовальные
|
5
|
10
|
1,1
|
0,11
|
6,05
|
|
Прессы
|
3
|
10
|
4,5
|
0,45
|
14,85
|
|
Термические печи
|
2
|
10
|
29,5
|
2,95
|
64,9
|
|
Установки лазерной сварки
|
4
|
10
|
5,8
|
0,58
|
25,52
|
|
Всего
|
26
|
|
|
4,32
|
126,39
|
На основании приведенных выше расчетов можно заключить, что общая
величина капиталовложений в реализацию инновационного проекта составит:
.2
Определение экономических показателей проекта
Плановые показатели представлены в таблице 39.
Таблица 39 - Плановые показатели
|
Срок действия проекта, год
|
6
|
|
Капитальные вложения,млн.
руб.
|
2767,99
|
|
Себестоимость изделия, млн.
руб./шт.
|
118,84
|
|
Цена продажи, млн. руб./шт.
|
183
|
|
Объем продаж, шт. за 6 лет
|
290
|
Рассчитаем чистую прибыль от реализации проекта по годам. Расчет
представлен в таблице 40.
Таблица 40. Расчет чистой прибыли от реализации проекта по годам
|
Показатели
|
Год
|
|
1
|
2
|
3
|
4
|
5
|
6
|
|
Объем производства,
шт./год.
|
20
|
40
|
60
|
80
|
50
|
40
|
|
Выручка (за вычетом НДС),
млн.руб.
|
3001,20
|
6002,40
|
9003,60
|
12004,80
|
7503,00
|
6002,40
|
|
Себестоимость, млн.руб.
|
2376,8
|
4753,6
|
7130,4
|
9507,2
|
5942
|
4753,6
|
|
Амортизация дополнительных
капитальных вложений, млн.руб.
|
305,19
|
305,19
|
305,19
|
305,19
|
305,19
|
305,19
|
|
Прибыль до налогообложения,
млн.руб.
|
319,21
|
943,61
|
1568,01
|
2192,41
|
1255,81
|
943,61
|
|
Налог на прибыль (20%),
млн.руб.
|
63,84
|
188,72
|
313,60
|
438,48
|
251,16
|
188,72
|
|
Чистая прибыль, млн.руб.
|
255,37
|
754,89
|
1254,41
|
1753,93
|
1004,65
|
754,89
|
Амортизация дополнительных капитальных вложений состоит из 2 частей:
амортизация результатов НИОКР (равными частями в течение 6 лет):
амортизация дополнительно приобретенного технологического оборудования
(равными частями в течение срока полезного использования):
Итого, амортизация капитальных вложения составит:

+ 
= 305,19
млн. руб.
Рассчитаем экономические показатели проекта.
Рассчитаем рентабельность инвестиций:
,
Из расчета видно, что на один рубль, вложенный инвестиций, приходится 51
копеек чистой прибыли. Рентабельность по России, в нынешнюю экономическую
конъюнктуру высокая.
Рассчитаем срок окупаемости проекта:
Срок окупаемости - период времени, в течение которого возвращается
инвестированный капитал, то есть тот период времени, когда дисконтированный
денежный поток покроет величину капитальных вложений.
Срок окупаемости рассчитывается по формуле:
.3 Оценка
финансовых показателей проекта
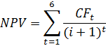
Чистый дисконтированный доход показывает всю массу дохода, полученную за
реализацию проекта, и отражает не только выгоду, но и масштаб проекта.
Он выражается в денежных единицах и показывает всю массу чистого дохода
(убытка) в современных деньгах:
где: CFt - денежный поток за t-й год,
i - ставка дисконтирования.
Ставка дисконтирования определяется по следующей формуле:
(3.5)
где
- ставка дисконтирования;
-
минимально гарантированная реальная норма доходности;
-
процент инфляции;
-
рисковая поправка.
- 13%
- 6%
- 4%
Данные
значения были спрогнозированы экспертами компании.
(1+i)=(1+0,13)(1+0,06)(1+0,04)=1,25
Таким образом, ставка дисконтирования равна 25%.
Оттоки денежных средств будут складываться из капитальных вложений,
текущих затрат и налога на прибыль.
По предварительной оценке, 3% себестоимости АД составляет амортизация уже
используемого на предприятии оборудования.
Расчет денежных потоков приведем в таблице 41.
Таблица 41. Оттоки денежных средств
|
Год t
|
Капитальные вложения
|
Текущие затраты
|
Налог на прибыль
|
Оттоки
|
|
0
|
1881,67
|
-
|
-
|
-1881,67
|
|
1
|
-
|
2681,99
|
63,84
|
-2745,83
|
|
2
|
-
|
5058,79
|
188,72
|
-5247,51
|
|
3
|
-
|
7435,59
|
313,60
|
-7749,19
|
|
4
|
-
|
9812,39
|
438,48
|
-10250,87
|
|
5
|
-
|
6247,19
|
251,16
|
-6498,35
|
|
6
|
|
5058,79
|
188,72
|
-5247,51
|
Рассчитаем и отразим в таблице 42 денежные потоки.
Таблица 42. Денежные потоки
|
Год t
|
Отток,
|
Приток,
|
Денежный поток CFt
|
Дисконтиро-ванный денежный
поток CFt
|
Кумулятивный денежный поток
|
|
млн. руб.
|
млн. руб.
|
млн. руб.
|
млн. руб.
|
млн. руб.
|
|
0
|
-1881,67
|
-
|
-1881,67
|
-1881,67
|
-1881,67
|
|
1
|
-2745,83
|
3001,20
|
255
|
205
|
-1 677
|
|
2
|
-5247,51
|
6002,40
|
755
|
486
|
-1 190
|
|
3
|
-7749,19
|
9003,60
|
1 254
|
649
|
-541
|
|
4
|
-10250,87
|
12004,80
|
1 754
|
728
|
187
|
|
5
|
-6498,35
|
7503,00
|
1 005
|
335
|
522
|
|
6
|
-5247,51
|
6002,40
|
755
|
202
|
724
|
На рис. 16 представлена диаграмма дисконтированных денежных потоков.
Рис. 16 - NPV
= 724 млн. руб.
Полученный NPV > 0, следовательно, проект прибыльный.
Рассчитаем рентабельность инвестиций:
Наш проект через 6 лет принесет 38 дисконтированных копеек притока
денежных средств на 1 рубль капитальных вложений.
Внутренняя ставка доходности проекта (IRR)
Экономический смысл внутренней ставки доходности заключается в том, что IRR являет собой такую норму доходности
инвестиций, при которой предприятию одинаково эффективно инвестировать свой
капитал под IRR процентов в банк или же произвести
реальные инвестиции, генерирующие денежные потоки.
(3.10)
Воспользуемся
табличным расчетом (из-за неоднородности финансовой ренты (амортизация +чистая
прибыль) IRR невозможно посчитать по формуле):
Таблица 43 - Внутренняя ставка доходности по годам
|
Года
|
0
|
1
|
2
|
3
|
4
|
5
|
6
|
|
Накопившиеся затраты
|
-1881,67
|
2376,80
|
4753,60
|
7130,40
|
9507,20
|
5942,00
|
4753,60
|
|
Накопившаяся рента
|
0
|
560,56
|
1060,08
|
1559,60
|
2059,12
|
1309,84
|
1060,08
|
|
IRR
|
0,00
|
0,24
|
0,22
|
0,22
|
0,22
|
0,22
|
0,22
|
Поскольку IRR меньше ставки
дисконтирования на 1%, то проект можно считать не слишком устойчивым.
.4 Выбор
источника финансирования
Рассмотрим два варианта финансирования проекта.
Первый вариант:
Предприятие берет кредит сроком на 6 лет под 18% годовых в размере
1881,67 тыс. руб. Проценты по кредиту будут погашаться равными частями в конце
каждого года. Основная сумма долга погашается единовременным платежом в конце 6
года.
Второй вариант:
Продажа доп. эмиссии акций в размере 25% от уставного капитала и
привлечении кредита под 12% годовых в размере 60% (781,67) от общих
капиталовложений.
Первый вариант
Представим расчет чистой прибыли от реализации проекта по годам при
использовании 1 варианта финансирования в таблице 44.
Таблиц 44 - Расчет чистой прибыли
|
Показатели
|
Год
|
|
|
1
|
2
|
3
|
4
|
5
|
6
|
|
Объем производства,
шт./год.
|
20
|
40
|
60
|
80
|
50
|
40
|
|
Выручка (за вычетом НДС),
млн.руб.
|
3001,20
|
6002,40
|
9003,60
|
12004,80
|
7503,00
|
6002,40
|
|
Себестоимость, млн.руб.
|
2376,8
|
4753,6
|
7130,4
|
9507,2
|
5942
|
4753,6
|
|
Амортизация дополнительных
капитальных вложений, млн.руб.
|
305,19
|
305,19
|
305,19
|
305,19
|
305,19
|
305,19
|
|
Прибыль до налогообложения,
млн.руб.
|
319,21
|
943,61
|
1568,01
|
2192,41
|
1255,81
|
943,61
|
|
Налог на прибыль (20%),
млн.руб.
|
63,84
|
188,72
|
313,60
|
438,48
|
251,16
|
188,72
|
|
Проценты по кредиту (18%)
|
338,70
|
338,70
|
338,70
|
338,70
|
338,70
|
338,70
|
|
|
|
|
|
1881,67
|
|
Чистая прибыль, млн.руб.
|
-83,33
|
416,19
|
915,71
|
1415,23
|
665,95
|
416,19
|
Рассчитаем экономические показатели проекта.
Рассчитаем рентабельность инвестиций:
,
Из
расчета видно, что на один рубль, вложенный инвестиций, приходится 33 копеек
чистой прибыли. Рентабельность выше, чем ставка по банковским вкладам.
Отразим
в таблице 45 расчет оттоков денежных средств.
Таблица 45 - Расчет оттоков денежных средств
|
Год t
|
Капитальные вложения
|
Текущие затраты
|
Налог на прибыль
|
Оттоки
|
|
0
|
1881,67
|
-
|
-
|
-1881,67
|
|
1
|
-
|
3020,69
|
63,84
|
-3084,53
|
|
2
|
-
|
5397,49
|
188,72
|
-5586,21
|
|
3
|
-
|
7774,29
|
313,60
|
-8087,89
|
|
4
|
-
|
10151,09
|
438,48
|
-10589,57
|
|
5
|
-
|
6585,89
|
251,16
|
-6837,05
|
|
6
|
|
7279,15
|
188,72
|
-7467,88
|
Рассчитаем денежные потоки. Расчет представлен в таблице 46.
Таблица 46. Денежные потоки (первый вариант)
|
Год t
|
Отток,
|
Приток,
|
Денежный поток CFt
|
Дисконтированный денежный
поток CFt
|
Кумулятивный денежный поток
|
|
млн. руб.
|
млн. руб.
|
млн. руб.
|
млн. руб.
|
млн. руб.
|
|
0
|
-1881,67
|
-
|
-1881,67
|
-1881,67
|
-1881,67
|
|
1
|
-3084,53
|
3001,20
|
-83,33
|
-66,89
|
-1948,56
|
|
2
|
-5586,21
|
6002,40
|
416,19
|
268,20
|
-1680,36
|
|
3
|
-8087,89
|
9003,60
|
915,71
|
473,70
|
-1206,66
|
|
4
|
-10589,57
|
12004,80
|
1415,23
|
587,70
|
-618,96
|
|
5
|
-6837,05
|
7503,00
|
665,95
|
222,00
|
-396,96
|
|
6
|
-7467,88
|
6002,40
|
-1465,48
|
-392,17
|
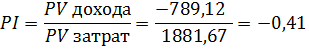
-789,12
|
На рис. 17 представлена диаграмма дисконтированных денежных потоков.
Рис. 17 - NPV
= -789,12 млн. руб.
Полученный NPV < 0, следовательно, данный вариант финансирования
проекта приводит к убыткам.
Рассчитаем рентабельность инвестиций:
Наш проект через 6 лет недополучит 41 дисконтированных копеек притока
денежных средств на 1 рубль капитальных вложений.
Внутренняя ставка доходности проекта (IRR)
Экономический смысл внутренней ставки доходности заключается в том, что IRR являет собой такую норму доходности
инвестиций, при которой предприятию одинаково эффективно инвестировать свой
капитал под IRR процентов в банк или же произвести
реальные инвестиции, генерирующие денежные потоки.
(3.10)
Воспользуемся
табличным расчетом (из-за неоднородности финансовой ренты (амортизация +чистая
прибыль) IRR невозможно посчитать по формуле):
Таблица 47 - Внутренняя ставка доходности по годам
|
Года
|
0
|
1
|
2
|
3
|
4
|
5
|
6
|
|
Накопившиеся затраты
|
1881,67
|
2715,50
|
5092,30
|
7469,10
|
9845,90
|
6280,70
|
5092,30
|
|
Накопившаяся рента
|
0
|
221,86
|
721,38
|
1220,90
|
1720,42
|
971,14
|
721,38
|
|
IRR
|
0,00
|
0,08
|
0,14
|
0,16
|
0,17
|
0,15
|
0,14
|
Из расчета видно, что проект не устойчив.
Второй вариант:
От продажи 25% пакета акций предприятие получает 1100 млн.руб. Оставшиеся
781,25 млн.руб. будут получены в кредит под 12% годовых на 6 лет. Проценты по
кредиту погашаться равными частями в конце каждого года. Основная сумма долга
погашается единовременным платежом в конце 6 года.
Представим расчет чистой прибыли от реализации проекта по годам при
использовании 2 варианта финансирования в таблице 48.
Таблица 48. Расчет чистой прибыли от реализации проекта по годам (второй
вариант)
|
Показатели
|
Год
|
|
|
1
|
2
|
3
|
4
|
5
|
6
|
|
Объем производства,
шт./год.
|
20
|
40
|
60
|
80
|
50
|
40
|
|
Выручка (за вычетом НДС),
млн.руб.
|
3001,20
|
6002,40
|
9003,60
|
12004,80
|
7503,00
|
6002,40
|
|
Себестоимость, млн.руб.
|
2376,8
|
4753,6
|
7130,4
|
9507,2
|
5942
|
4753,6
|
|
Амортизация дополнительных
капитальных вложений, млн.руб.
|
305,19
|
305,19
|
305,19
|
305,19
|
305,19
|
305,19
|
|
Прибыль до налогообложения,
млн.руб.
|
319,21
|
943,61
|
1568,01
|
2192,41
|
1255,81
|
943,61
|
|
Налог на прибыль (20%),
млн.руб.
|
63,84
|
188,72
|
313,60
|
438,48
|
251,16
|
188,72
|
|
Проценты по кредиту (20%)
|
117,25
|
117,25
|
117,25
|
117,25
|
117,25
|
117,25
|
|
Возврат кретита
|
|
|
|
|
|
781,67
|
|
Чистая прибыль, млн.руб.
|
138,12
|
637,64
|
1137,16
|
1636,68
|
887,40
|
637,64
|
Срок окупаемости рассчитывается по формуле:
Рассчитаем экономические показатели проекта.
Рассчитаем рентабельность инвестиций:
,
Из
расчета видно, что на один рубль, вложенный инвестиций, приходится 45 копеек
чистой прибыли. Рентабельность выше, чем ставка по банковским вкладам.
Отразим
в таблице 49 расчет оттоков денежных средств.
Таблица 49 - Расчет оттоков денежных средств
|
Год t
|
Капитальные вложения
|
Текущие затраты
|
Налог на прибыль
|
Оттоки
|
|
0
|
-1881,67
|
-
|
-
|
-1881,67
|
|
1
|
-
|
2799,24
|
63,84
|
-2863,08
|
|
2
|
-
|
5176,04
|
188,72
|
-5364,76
|
|
3
|
-
|
7552,84
|
313,60
|
-7866,44
|
|
4
|
-
|
9929,64
|
438,48
|
-10368,12
|
|
5
|
-
|
6364,44
|
251,16
|
-6615,60
|
|
6
|
|
5957,70
|
188,72
|
-6146,43
|
Рассчитаем денежные потоки. Расчет представлен в таблице 50.
Таблица 50. Денежные потоки (второй вариант)
|
Год t
|
Отток,
|
Приток,
|
Денежный поток CFt
|
Дисконтированный денежный
поток CFt
|
Кумулятивный денежный поток
|
|
млн. руб.
|
млн. руб.
|
млн. руб.
|
млн. руб.
|
млн. руб.
|
|
0
|
-1881,67
|
-
|
-1881,67
|
0,00
|
0,00
|
|
1
|
-2863,08
|
3001,20
|
138,12
|
110,88
|
110,88
|
|
2
|
-5364,76
|
6002,40
|
637,64
|
410,90
|
521,78
|
|
3
|
-7866,44
|
9003,60
|
1137,16
|
588,26
|
1110,04
|
|
4
|
-10368,12
|
12004,80
|
1636,68
|
679,66
|
1789,71
|
|
5
|
-6615,60
|
7503,00
|
887,40
|
295,82
|
2085,53
|
|
6
|
-6146,43
|
6002,40
|
-144,03
|
-38,54
|
2046,99
|
На рис. 18 представлена диаграмма дисконтированных денежных потоков.
Рис. 18 - NPV
= 2046,99 млн. руб.
Полученный NPV > 0, следовательно, данный вариант финансирования
прибыльный.
Рассчитаем рентабельность инвестиций:
Наш проект через 6 лет принесет 1 руб. 9 копеек дисконтированного притока
денежных средств на 1 рубль капитальных вложений.
Внутренняя ставка доходности проекта (IRR)
Экономический смысл внутренней ставки доходности заключается в том, что IRR являет собой такую норму доходности
инвестиций, при которой предприятию одинаково эффективно инвестировать свой
капитал под IRR процентов в банк или же произвести
реальные инвестиции, генерирующие денежные потоки.
(3.10)
Воспользуемся
табличным расчетом (из-за неоднородности финансовой ренты (амортизация +чистая
прибыль) IRR невозможно посчитать по формуле):
Таблица 51 - Внутренняя ставка доходности по годам
|
Года
|
0
|
1
|
2
|
3
|
4
|
5
|
6
|
1881,67
|
2494,05
|
4870,85
|
7247,65
|
9624,45
|
6059,25
|
4870,85
|
|
Накопившаяся рента
|
0
|
443,31
|
942,83
|
1442,35
|
1941,87
|
1192,59
|
942,83
|
|
IRR
|
0,00
|
0,18
|
0,19
|
0,20
|
0,20
|
0,20
|
0,19
|
Из расчета видно, что проект не устойчив, так как максимальный IRR на третьем году 20% меньше, чем
ставка дисконтирования (25%).
Рассчитаем срок окупаемости:
Срок окупаемости рассчитывается по формуле:
При втором варианте финансирования проект окупится через 5 лет 189 дней.
Сравним рассмотренные варианты финансирования проекта.
В таблице 52 приведем данные по основным показателям для обоих вариантов
финансирования.
Таблица 52. Сравнение вариантов финансирования проекта
|
Показатели
|
Варианты финансирования
|
|
1 вариант
|
2 вариант
|
|
Чистый дисконтированный
доход (убыток), млн. руб.
|
(789,12)
|
2046,99
|
|
Период окупаемости проекта,
лет
|
-
|
5 лет 189 дней
|
|
Рентабельность инвестиций
|
-0,42
|
1,09
|
|
Внутренняя норма доходности
(ставка дисконтирования r=25%), %
|
-17%
|
20% < r
|
Очевидно, что второй вариант наиболее выгоден на фоне убыточности
первого. Однако, при данном варианте предприятие ОАО «ПМЗ» становиться
зависимым. 25% уставного капитала уходят инвестору.
.5 Анализ
чувствительности
Проведем анализ чувствительности критерия эффективности NPV для
выбранного первого варианта финансирования инновационного проекта при
отклонении ставки дисконтирования в пределах ± 10%.
Сначала проведем расчет для случая отклонения ставки дисконтирования в
меньшую сторону на 10%. Тогда i = 25 · 0,9 = 22,5%.
Расчеты представим в таблице 53.
Таблица 53. Анализ чувствительности (r= 22,5%)
|
Год t
|
Отток,
|
Приток,
|
Денежный поток CFt
|
Дисконтированный денежный
поток CFt
|
Кумулятивный денежный поток
|
|
млн. руб.
|
млн. руб.
|
млн. руб.
|
млн. руб.
|
млн. руб.
|
|
0
|
-1881,67
|
-
|
-1881,67
|
0,00
|
0,00
|
|
1
|
-2863,08
|
3001,20
|
138,12
|
113,11
|
113,11
|
|
2
|
-5364,76
|
6002,40
|
637,64
|
427,61
|
540,72
|
|
3
|
-7866,44
|
9003,60
|
1137,16
|
624,49
|
1165,21
|
|
4
|
-10368,12
|
12004,80
|
1636,68
|
736,04
|
1901,25
|
|
5
|
-6615,60
|
7503,00
|
887,40
|
326,81
|
2228,05
|
|
6
|
-6146,43
|
6002,40
|
-144,03
|
-43,44
|
2184,62
|
NPVmax
= 2184,62 тыс. руб.
Теперь проведем расчет для случая отклонения ставки дисконтирования в
большую сторону на 10%. Тогда i = 25 · 1,1 = 27,5%.
Расчеты представим в таблице 54.
Таблица 54. Анализ чувствительности (i = 33%)
|
Год t
|
Отток,
|
Приток,
|
Денежный поток CFt
|
Дисконтированный денежный
поток CFt
|
Кумулятивный денежный поток
|
|
млн. руб.
|
млн. руб.
|
млн. руб.
|
млн. руб.
|
млн. руб.
|
|
0
|
-1881,67
|
-
|
-1881,67
|
0,00
|
0,00
|
|
1
|
-2863,08
|
3001,20
|
138,12
|
108,73
|
108,73
|
|
2
|
-5364,76
|
6002,40
|
637,64
|
395,16
|
503,90
|
|
3
|
-7866,44
|
9003,60
|
1137,16
|
554,78
|
1058,67
|
|
4
|
-10368,12
|
12004,80
|
1636,68
|
628,58
|
1687,26
|
|
5
|
-6615,60
|
7503,00
|
887,40
|
268,30
|
1955,56
|
|
6
|
-6146,43
|
6002,40
|
-144,03
|
-34,28
|
1921,28
|
NPVmin
= 1921,28 тыс. руб.
Рассчитаем коэффициент эластичности:
То есть при изменении ставки дисконтирования на 1% чистый
дисконтированный доход, изменится на 0,64%.
Поскольку для обоих случаев изменения ставки дисконтирования чистый
дисконтированный доход больше 0, то проект является эффективным, его можно
принимать, а критерий - устойчивым.
Вывод к разделу III
На основании проведенных в данном разделе расчетов были спрогнозированы
капиталовложения в реализацию инновационного проекта:
· проведение НИОКР составит 1755278 тыс. руб.;
· покупка и монтаж технологического оборудования составят
126390 тыс. руб.
Далее были рассчитаны экономические и финансовые показатели проекта. В
частности, в финансовой оценке были получены следующие значения основных
показателей проекта:
чистый дисконтированный доход NPV = 2046,99 млн. руб.;
период окупаемости проекта составляет 5 лет 189 дней;
рентабельность инвестиций PI = 1,09;
внутренняя норма доходности IRR = 20%.
Проведено сравнение эффективности двух вариантов финансирования проекта.
Анализ показал, что предприятию целесообразнее использовать второй вариант:
кредит сроком на 6 лет под15% годовых в размере 781,67 млн. руб. Кредит будет
погашен единовременным платежом в конце 6 года.
Затем был проведен анализ чувствительности, которые показал устойчивость
критерия эффективности, в качестве которого был выбран чистый дисконтированный
доход NPV, к отклонению ставки рефинансирования от планируемой (25%) в пределах
10%.
Список
использованной литературы
1) Конспект
семинаров по дисциплине «Экономика инновационной деятельности». Преподаватель:
Клементьева С.В. 2011 г.
) Савченко
Н.Н. Технико-экономический анализ проектных решений. Экзамен. 2002г.128 с.
Ресурсы сети
Интернет
1) <http://www.avid.ru/>
) <http://www.ato.ru/content/sostoyanie-i-perspektivy-razvitiya-grazhdanskoy-aviacii-rossii>
) <http://www.sdelanounas.ru/blogs/16158/>
) <http://www.tupolev.ru/russian/Show.asp?SectionID=339>