Особенности подбора менеджеров на российских предприятиях

  • Вид работы:
    Дипломная (ВКР)
  • Предмет:
    Менеджмент
  • Язык:
    Русский
    ,
    Формат файла:
    MS Word
    202,75 Кб
  • Опубликовано:
    2013-04-11
Вы можете узнать стоимость помощи в написании студенческой работы.
Помощь в написании работы, которую точно примут!

Особенности подбора менеджеров на российских предприятиях

1. Теоретическая часть


1.1    Суть и содержание компетенций


Учитывая многообразие различных определений и толкований, применяющихся в теории и практике, следует помнить, что приводимые определения являются не истиной в последней инстанции, а лишь вариантами, которые используются в излагаемом материале. В русском языке исторически прижилось несколько популярных и часто употребляемых выражений, включающих однокоренные слова со словами «компетенция». Это существенно сбивает с толку при попытке осмыслить суть понятия «компетенции» применительно к бизнесу и области управления персоналом. Например, мы любим говорить: «Он некомпетентен», «Это не входит в область моей компетенции». «Он некомпетентен» вовсе не означает, что человек не обладает никакими компетенциями. Как правило, за этим выражениями скрывается оценка уровня полномочий субъекта. И ровным счетом никакого отношения не имеет к терминологии, используемой в системе компетенций.

Прежде всего обозначим разницу между понятиями «компетенция» и «компетентность». В их основе латинский корень compete - добиваюсь, соответствую, подхожу.

Компетенция - это определенная характеристика личности, необходимая для выполнения определенных работ и позволяющая ее обладателю получать необходимые результаты работы.

Компетентность - это способность индивидуума, обладающего личной характеристикой для решения рабочих задач, получать необходимые результаты работы.

Иными словами, компетенция - это требуемый для определенной деятельности стандарт поведения, а компетентность - уровень владения этим стандартом поведения, то есть конечный результат его применения.

Профиль должности - структурированное подробное описание должностной позиции на основе профессиональных компетенций.

Ключевые компетенции - набор компетенций, позволяющий работнику выполнять свои профессиональные должностные обязанности максимально эффективно.

ЗУН - знания, умения, навыки.

ПВК - профессионально важные качества: индивидуальные качества субъекта деятельности, влияющие на эффективность деятельности и успешность ее освоения. «Профессионально важные качества» - это качества, важные для профессии, безотносительно к той или иной компании.

Модель компетенций - структурированный набор необходимых, идентифицируемых и измеряемых компетенций с индикаторами поведения.

Индикаторы поведения - это стандарты поведения, которые соответствуют эффективным действиям работника, обладающего конкретной компетенцией. При этом, как правило, объектом являются проявления высокого уровня компетенции.

Кластеры компетенций - это набор компетенций (от двух до пяти), связанных между собой в единый смысловой блок. Чаще всего в моделях выделяют такие кластеры, как: интеллектуальная (мыслительная) деятельность, достижение результата, работа с людьми (взаимодействие), работа с информацией [7, с. 4-5].

Говоря о видах компетенций, следует отметить два следующих момента:

видовое разнообразие компетенций в условиях отсутствия HR-стандартов;

существование нескольких классификаций, то есть видовое разнообразие (единой классификации видов компетенций не существует, есть много различных классификаций по разным основаниям. Сориентироваться в этом разнообразии видов весьма проблематично. Многие классификации чрезвычайно неудобны и малопонятны, что делает их применение в практике крайне сложным. Но, так или иначе, сложившаяся ситуация влияет на практику построения моделей компетенций).

В различных теоретических и практических материалах можно найти самые разнообразные типологии. Кроме того, компетенции - инструмент корпоративный, поэтому практически не возможно создать единый набор компетенций, которым сможет пользоваться любая компания с учетом всей специфики требований к должностям.

1.2 Основные виды компетенций


Мы рассмотрим виды компетенций, основанные на корпоративном масштабе (масштаб распространения какого-либо вида компетенций) и организационном уровне (уровень организационной структуры, на котором работает какой-либо вид компетенции): корпоративные, профессиональные и управленческие. Данная классификация выбрана как наиболее оптимальная для построения модели компетенций и использования ее в различных направлениях HR-деятельности. Кроме того, она позволяет подобрать технологичный инструментарий по оценке компетенций и, соответственно, сделать систему компетенций более доступной для использования.

Наиболее широкими по масштабу и высокими по организационному уровню (корпоративные компетенции как вид присущи всем должностям компании, находящимся на всех уровнях организационной структуры - в том числе, на самых высоких) являются корпоративные компетенции. К данному виду относятся корпоративные стандарты поведения - деловые и личностные качества, которым должны обладать все работники компании вне зависимости занимаемых ими должностей и выполняемых обязанностей. То есть это те компетенции, которыми должен обладать каждый работник данной конкретной компании. Корпоративные компетенции, как правило, наиболее понятны, лаконичны и легко опознаваемы; предназначены для идентификации работника с корпоративными ценностями и корпоративной культурой компании. Они способствуют формированию корпоративной культуры и реализации стратегических компаний.

Примером корпоративных компетенций могут быть такие как:

уважение личных прав и интересов сотрудников, требований клиентов и условий сотрудничества, выдвигаемых деловыми партнерами и обществом.

беспристрастность, предполагающую оплату труда в соответствии с достигнутыми результатами и предоставляющую равные права для профессионального роста.

честность в отношениях и в предоставлении любой информации, необходимой для работы.

эффективность как устойчивое достижение максимально возможных результатов во всем что делается.

мужество противостоять тому, что неприемлемо, и брать на себя ответственность за последствия своих решений.

заботу, проявляемую в старании защищать людей от любого вреда или угрозы их жизни и здоровью и охране окружающей среды.

доверие сотрудникам, которое позволяет делегировать полномочия и ответственность за решения и способы их исполнения.

Корпоративные компетенции тотальное распространение, то есть должны быть свойственны каждому работнику компании, отсюда надо понимать, что чем больше список этих компетенций, тем сложнее обеспечить наличие полного комплекта у каждого работника. Поэтому набор корпоративных компетенций рекомендуется делать оптимальным: кратким, емким, отражающим лишь то, без чего сотруднику будет крайне сложно эффективно работать в данной компании.

Профессиональные компетенции по масштабу менее широки и локализованы (менее широки - не охватывают большой спектр должностей, а привязаны к конкретным должностям, вплоть до компетенций, характерных для какой-нибудь одной конкретной должности). Но определенный набор профессиональных компетенций присущ любой должностной позиции. Данный вид компетенции представляет собой набор личностных характеристик, а также знаний, умений и навыков, необходимых для эффективной работы на конкретной должностной позиции. Профессиональные компетенции должности ограниченны рамками конкретной компании. Например, возьмем компетенции заместитель директора по управлению персоналом структурного подразделения ОАО «Газпром». Он должен обладать такими управленческими качествами как: самостоятельностью, требовательностью, честностью, принципиальностью, порядочностью, высоким уровнем культуры, хорошим состоянием здоровья и высокой работоспособностью, умением отстаивать свою точку зрения, организовывать, координировать и контролировать работу подчиненных, эффективно использовать рабочее время, взаимодействовать с другими людьми, ориентироваться в сложных ситуациях, объективно относиться к критике; и психологическими качествами: мотивацией, самоконтролем, интеллектом, эмоциональной устойчивостью, способностью к анализу и обобщению.

Управленческие компетенции - наиболее локализованный и сложный вид компетенций. Это компетенции, необходимые для выполнения руководящих обязанностей управляющим работником. Чаще всего в компаниях разрабатывают многоуровневые управленческие компетенции. На верхнем уровне - компетенции, которыми должны обладать все руководящие работники компании. Далее - управленческие компетенции, соответствующие управленческим уровням компании. Например, управленческие компетенции топ-менеджеров, менеджеров среднего звена и т.д. последними в этой иерархии стоят специфические управленческие компетенции, характерные для конкретной специфической управленческой позиции. В качестве примера таких компетенций возьмем топ-менеджера. Он должен обладать таким набором компетенций: транслировать высокие ожидания своим сотрудникам, помогать сотрудникам верить в успех и прикладывать максимум сил для достижения задуманного, упорен, устремлен к успеху, активен, задает в коллективе норму конструктивного отношения к разногласиям, умеет выявлять глубинные интересы своего собеседника, способен избежать возникновения конфликта и т.д.

Как ни странно, разработка управленческих компетенций наиболее сложна - слишком велик соблазн создания модели идеального суперменеджера, которую вряд ли удастся реализовать на практике. Поэтому при разработке рекомендуется включать в перечень управленческих компетенций оптимальный набор, основанный на принципе необходимых и достаточных компетенций [7, с. 6-8].

1.3 Диагностика и формирования профессиональной компетентности


Согласно доктрине научной организации труда, сформированной в первой половине XX века, от персонала требовалось умение работать строго в рамках заданной технологии и выполняемой роли. Соответствие (или несоответствие) работника определялось его умением вписаться в заданную должностную роль. Сегодня, с приходом доктрины человеческих отношений, работник должен уметь не только качественно выполнять стандартизированные действия, но и развивать свои творческие способности в условиях жесткой конкуренции. Поэтому так необходима оценка персонала и как работника, и как личности. Поэтому оценка проводиться постоянно с приема на работу и на протяжении всей деятельности [21, с. 297].

Особенностью управленческого труда является то, что его результаты трудно поддаются оценке. Результаты труда руководителей определяются, как правило, по показателям производственной деятельности возглавляемых ими коллективов.

Оценка эффективности системы управления может производиться по критериям, носящим качественный и количественный характер.

К качественным показателям относятся: научно-технический уровень управления (применение научных методов, организационной и вычислительной техники); уровень квалификации работников управленческого аппарата (образование, опыт работы и др.); обоснованность, результативность принимаемых решений работниками аппарата управления; достоверность и полнота информации, которой располагает управляющая система; уровень культуры управления (характеризуется практикуемым стилем руководства, количеством конфликтных ситуаций и т.д.); уровень культуры труда работников аппарата управления.

Количественными показателями является:

трудовые - соотношение численности руководителей, ИТР, служащих и рабочих; фактическая трудоемкость выполняемых управленческих работ по сравнению с нормативной; величина затрат управленческого труда на один рубль объема производства;

финансовые - величина затрат на содержание управленческого аппарата в общем фонде заработной платы персонала и т.д.

Критерии оценки должны быть объективными, должны быть связанны с работой или основываться на анализе работы, должны основываться на поведении, действиях, а не на чертах личности, должны быть в сфере контроля оцениваемого, должны быть связаны со специфическими функциями, а не глобальными оценками. Эффективность критериев оценки компетенций проверяется на практике [15, с. 53].

Сочетание теории и практики управления позволило разработать и внедрить в производство целый ряд оригинальных методик оценки эффективности управленческого труда. При оценке менеджеров традиционно используют три группы методов: количественные, качественные и комплексные.

Количественные - методы с числовой оценкой уровня качеств руководителя (метод стандартных оценок, экспертная оценка, метод свободной бальной оценки, сравнительные методы, метод рангового порядка, метод экспертного нормирования, система графического профиля и др.).

Качественные методы позволяют оценить личностные качества руководителя, это оценочные интервью (собеседование), биографический метод (автобиография, документы об образовании и повышении квалификации, характеристика), наблюдение, метод оценки на основе анализа труда, метод групповой дискуссии, психологическое тестирование.

Комплексная оценка позволяет объединить количественные и качественные характеристики персонала.

За рубежом фирмы пользуются услугами оценочных центров, представляющих собой группу арбитров, решающих вопрос о профессиональной пригодности кандидатов на руководящую должность [17, с. 37].

Оценка компетенций руководителя может осуществляться также на основе проведения деловых игр, анализа специальных ситуаций, оценки самопрезентации, а также анализа тематических эссе.

Методы оценки производительности менеджеров можно разделить на две общие категории: сравнительные методы и абсолютные методы [18, с. 104].

Сравнительные методы оценки производительности пытаются определить, какое место занимает тот или иной руководитель среди остальных менеджеров, подвергаемых оценке. Существует три сравнительных метода оценки производительности руководителей: 1) ранжирование; 2) парное сравнение и 3) вынужденное распределение.

Абсолютные методы оценки производительности указывают точные стандарты измерения. Существует четыре самых распространенных метода абсолютного рейтинга: 1) графические рейтинг-шкалы; 2) журнал критических замечаний; 3) рейтинг-шкалы поведения и 4) управление по целям.

Таким образом, атрибутом осознанно существующей системы компетенций является наличие методик оценки соответствия руководителя компетенциям. А также существование обратной связи, позволяющей оценить и внести необходимые изменения, т.е. анализируются результаты работы менеджера, назначенного на основе анализа его компетенций.

Процедуры оценки должны быть стандартизированы и одинаковы для всех работников, принадлежащих к данной профессиональной группе, должны быть официально разъяснены работникам. Процедуры оценки должны также предоставлять информацию о недостатках работы и о возможности их исправления, должны обеспечивать работникам доступ к результатам оценивания. Процедуры оценки должны включать множество разнообразных и непредвзятых оценщиков, обеспечивать письменные инструкции для обучения оценщиков, требовать составления оценщиками подробных и последовательных отчетов, включающих конкретные примеры работы, основанные на личных знаниях [32, с. 194].

Система оценивания менеджеров станет эффективной только тогда, когда компания сможет измерять степень проявления у руководителя каждой компетенции. Для этого необходимо создать шкалу оценки. Обычно средние баллы такой шкалы соответствуют уровню развития компетенции, достаточному для выполнения определенной задачи.

Е.А. Киселев представляет пять уровней развития компетенции, выделяя лидерский уровень.

Е - компетенция не развита (неудовлетворенный уровень, развитие обязательно, но затруднено). Работник не владеет необходимыми навыками и не старается их применять. Уровень Е является неудовлетворительным, поскольку сотрудник не только не проявляет навыки, но и не понимает их важность и не пытается их развивать.- компетенция не достаточно развита (нормальный уровень, требуется и возможно развитие). Работник частично проявляет навыки, входящие в состав компетенции, понимает их необходимость, но у него это не всегда получается. Если специалист соответствует уровню D - это нормально, предполагается, что он должен развиваться.- базовый уровень, необходимый и достаточный для специалиста. Он дает представление о том, какое именно поведение и какие именно способности предполагаются данной компетенцией. Базовый уровень является оптимальным для эффективной работы менеджера среднего звена.- сильный уровень развития компетенции (требуется только для руководящего звена). Предполагается проявлять соответствующие навыки в ситуациях повышенной сложности. Этот уровень предусматривает способность человека заранее предвидеть и предотвращать негативные события.- лидерский уровень развития компетенции (требуется для высшего менеджмента). Данный уровень развития компетенций необходим только для руководителей, которые по своим должностным обязанностям могут принимать стратегические решения. Достижение руководителем лидерского уровня развития компетенции означает, что он не только сам проявляет необходимые навыки, но и создает возможности для других сотрудников развивать данную компетенцию [15, с. 169].

На основе имеющегося международного опыта Б.И. Кузьминым, А.И. Беляевым, Л.Е. Воробьевой, О.В. Воробьевой была разработана система корпоративных компетенций руководителей и специалистов, основанная на актуальных компетенциях. Данная методика использована для диагностики фактических и целевых компетенций ОАО «Газпром». Их оценка осуществляется с помощью предложенных деловых и ролевых игр, ситуаций для анализа на основе системы сквозных критериев, отражающих определенные компетенции. Учитывается также мнение экспертов и анализируется мнение самих работников «Газпрома» [15, с. 16].

Сложно оспорить тот факт, что перечень личностных и деловых качеств, включенный во все должностные инструкции руководителей российских предприятий, в настоящее время является недостаточным «рабочим инструментом» оценки компетентности руководителей. Для этого требуется формализация процесса оценки, т.е. на основе использования лучших российских и зарубежных методик необходима разработка соответствующих конкретным компетенциям показателей, числовые значения которых помогут оценить руководителя в соответствии с предъявляемыми требованиями.

Для эффективной оценки профессиональной компетентности менеджеров важны суждения, выносимые коллегами или равными по рангу. Рассматриваются также самооценки. Подобные методы действительно помогают лучше понять, насколько хорошо менеджер выполняет свою работу [6, с. 573].

1.4 Основные проблемы оценки и отбора персонала в России


Подбор (отбор) персонала - это процесс изучения кандидатов [20, с. 213]. Организация отбирает из списка соискателей (заявителей) лицо или лиц, которые наилучшим образом подходят по критериям для занятия определенных вакантных мест (должностей). Критерии пригодности того или иного кандидата задаются степенью самостоятельности той должности, на которую он претендует. Философия отбора персонала основывается на том, что исходя из заранее сформулированных требований ищут подходящих людей на конкурсную должность, причём их соответствию должности придается очень важное значение. Таким образом, в процессе подбора, с одной стороны, организация решает вопрос, предоставлять ли работу кандидату, а с другой - сам кандидат решает, принимать ли ему предложение.

Сам процесс отбора может быть разбит на ряд этапов:

создание комиссии по отбору персонала;

формирование требований к рабочим местам;

объявление о конкурсе в средствах массовой информации;

медицинское обследование здоровья и работоспособности кандидатов;

оценка кандидатов на психологическую устойчивость;

анализ увлечения и вредных привычек кандидатов;

комплексная оценка кандидатов по рейтингу и формирование окончательного списка;

заключение кадровой комиссии по выбору кандидатуры на вакантную должность;

утверждение в должности, заключение контракта;

оформление и сдача в отдел кадров кадровых документов кандидата.

Перечень типовых документов, необходимых для приема в организацию:

листок по учету кадров;

личное заявление о приеме на работу;

трудовая книжка;

рекомендательное письмо (характеристика);

копия документа об образовании;

фотография сотрудника;

бизнес-план работы в должности (для руководителя).

После оформления перечисленных выше кадровых документов и сдачи их в организацию необходимо провести комплексную оценку потенциала и качеств кандидатов. Объем и степень детализации оценки зависят от категории работника и важности его рабочего места. Чем выше уровень управления, тем больше должна быть детализация и достоверность оценки.

Техника подбора кадров была детально отработана в научной литературе 50-80-х гг. В основе подбора лежат деловые качества кандидатов и требования должностей. Нет недостатка внимания к этой проблематике в исследованиях современного менеджмента. Практика менеджмента персонала выявила три основные трудности подбора независимо от его разновидностей и методов.

Во-первых, субъективная зависимость качества подбора от того, кто его делает: непосредственный шеф, вышестоящий руководитель, кадровая служба, посредник или специальная комиссия. Личное убеждение руководителя, как показывают опросы сотрудников, играет часто решающую роль.

Во-вторых, различия в требованиях к кандидатам на должности, которые отражены в профессиограммах (картах оценки качеств кандидатов на должность).

В-третьих, различия в методах подбора персонала, несистемное их использование.

Преодоление этих трудностей происходит с помощью системы подбора кадров.

В понятие подбора кадров входит, прежде всего, установление числа назначений, т.е. определение реального размера программы подбора. Это понятие опирается на назначение кадров на определенную должность и резерв кадров.

Число назначений определяется тремя последовательными шагами. На первом шаге анализируется штатное расписание и устанавливается число имеющихся управленческих должностей. Целесообразно опираться на развитие организационной структуры, её будущее состояние. Поэтому задача является комплексной и включает планирование персонала.

На втором шаге исследуется текучесть кадров, чтобы установить среднее ежегодное количество назначений на должности и тенденции этих значений. На этом этапе определяется спрос на новых сотрудников, а также составляются персональные графики их продвижения, планируется их карьера, классифицируются менеджеры по перспективе своего продвижения или уходу и отставку.

На третьем шаге определяется число сотрудников, из которых предстоит отобрать после обучения и тестирования тех, кто займет вакантные должности.

Соотношение между количеством отбираемых кандидатов и количеством вероятных вакансий в организациях неодинаково: от консервативного 1:1 до пессимистического 10:1. Отобранные кандидаты подвержены текучести не менее остальных.

Таким образом, сущность подбора состоит в том, что на основе общих и конкретных требований, предъявляемых к кандидату на занятие данной должности, и оценки всех имеющихся кандидатов по этой должности принимается решение по выбору наилучшего из кандидатов. Провести принципиальную границу между подбором и расстановкой кадров сложно - одно вытекает их другого и оба момента дополняют друг друга.

При этом подбор может осуществляться в трех разновидностях:

а) набор - назначение (или конкурс), которые связаны с вовлечением в сферу управления работников со стороны, ранее на предприятии не работавших;

б) выдвижение - назначение работника, работающего в данном коллективе, на новую, более высокую по вертикали, должность;

в) ротация - назначение, при котором место работы, должность могут меняться по горизонтали (в отличие от выдвижения, когда происходят вертикальные перемещения).

При выборе того или иного варианта приема исходят из того, что нанимают рабочую силу сегодня для будущих нужд. С этой целью необходимо, чтобы:

при наборе были отобраны самые подходящие для организации работники;

издержки, связанные с привлечением рабочей силы, были незначительными по отношению к результатам;

сохранялась структура кадров с одновременным притоком новых идей и организации.

не пострадал психологический климат организации;

личные надежды работников организации были воплощены в жизнь.

При отборе претендентов аксиомой в кадровых службах считается положение, при котором число рассматриваемых кандидатов на должности как минимум должно быть в 2 раза больше, чем количество имеющихся вакансий. Число же интервьюируемых для допуска в претенденты должно быть еще в 1,5 раза больше.

Если вы решили заняться замещением вакантной должности (и уже получено на это разрешение), следующим вашим шагом должна стать разработка списка претендентов.

2. Опытно-экспериментальная часть


2.1    Исследование деятельности ООО «Газпром межрегионгаз Волгоград»


Волгоградской области все вопросы поставки природного газа промышленным и бюджетным потребителям, а также населению решает ООО «Волгоград Межрегионгаз». Создание этой организации явилось следствием тех изменений, что происходили в нашей стране в постсоветском пространстве.

В сложной финансово-экономической ситуации ОАО «Газпром» был создан ООО «Межрегионгаз Волгоград» с главным офисом в Московской области и широкой сетью филиалов в регионах.

Создание 62 региональных филиалов во всех газифицированных регионах Российской Федерации представлялось необходимым для создания полноценной коммерческой инфраструктуры российской газовой отрасли, обеспечивающей повышение уровня расчетов за газ конечных потребителей.

В 1997 году в Волгоградской области при участии Администрации Волгоградской области и Администрации Волгограда был создан Волгоградский филиал ООО «Межрегионгаз», преобразованный в апреле 2000 года в ООО «Волгоградрегионгаз».

ООО «Волгоградрегионгаз» зарегистрировано 01.02.2000 г. Регистрационной палатой г. Волгограда в соответствии с Федеральным законом «О государственной регистрации юридических лиц» на основании представленных сведений в Единый государственный реестр юридических лиц внесена запись об ООО «Волгоградрегионгаз» за основным государственным номером 1023403844441 от 27 сентября 2002 г.

Общество входит в группу лиц ООО «Межрегионгаз», которая занимает важнейшее значение в системе газоснабжения Российской Федерации.

Межрегиональная компания по реализации газа (ООО «Межрегионгаз») - специализированное торговое предприятие со 100% уставным капиталом ОАО «Газпром» - была зарегистрирована в декабре 1996 года. С апреля 1997 года приступила к поставкам газа российским потребителям. Необходимость создания ООО «Межрегионгаз» возникла в связи со значительным падением уровня платежей за газ (оплата газа в 1996 году составляла 15%, деньгами - 2%) и рядом решений, принятых Президентом и Правительством РФ по обеспечению прозрачности видов деятельности в ОАО «Газпром». Ее главными задачами стали:

обеспечение надежной поставки газа потребителям;

улучшение структуры и дисциплины платежей;

эффективность расходования бюджетных средств, предназначенных для оплаты потребления газа организациями и льготными категориями населения;

формирование цивилизованных отношений на российском рынке газа;

централизация финансовых ресурсов ОАО «Газпром», поступающих с российского рынка.

Полное наименование: Общество с ограниченной ответственностью «Волгоградская региональная компания по реализации газа», далее именуемое Общество. Сокращенное наименование: ООО «Волгоград Межрегионгаз».

Месторасположение и юридический адрес ООО «Межрегионгаз Волгоград»: Российская Федерация, 400001, г. Волгоград, ул. Ковровская, 13, тел.: (8442) 96-91-69, факс: 93-07-39, ИНН: 3445045202, КПП: 34450100.

Общество создано на неограниченный срок деятельности.

Целью деятельности Общества является обеспечение бесперебойной поставки газа покупателям Волгоградской области в соответствии с заключенными договорами, оперативное управление режимами газоснабжения, а также извлечение прибыли.

Основные виды деятельности - оптовая торговля газом и газоснабжение. Деятельность Общества не подлежит лицензированию. Уставный капитал составляет 10000 руб. и разделен на доли. ООО «Межрегионгаз Волгоград» активно взаимодействует с остальными участниками рынка газа по вопросам его развития и либерализации, а также совершенствования его двухсекторной модели. В этой области группа ООО «Межрегионгаз Волгоград» работает с независимыми производителями газа и нефтяными компаниями. В 2002 году в целях дальнейшего развития свободного сектора рынка газа ООО «Межрегионгаз Волгоград» была создана Электронная торговая площадка (ЭТП) для продажи по свободным ценам добываемого независимыми организациями газа, потребителям России. Основная цель ЭТП - отработка технологии биржевых продаж, выявление ценовой конъюнктуры, а также реализация излишков газа независимых производителей. Основные участники торгов - региональные газовые компании и крупные промышленные потребители, испытывающие дефицит газа.

Стратегия, которой придерживается Общество является стратегия развития, направленная на реализацию целей обеспечения устойчивых темпов развития и функционирования фирмы. ООО «Межрегионгаз» определяет стратегию развития «Волгоградрегионгаз» по ключевым направлениям: разработке новых видов продукции, расширению вертикальной интеграции, повышению конкурентоспособности компании.

Стратегия ООО «Межрегионгаз Волгоград» направлена на рост промышленного производства, увеличение инвестиций в новые месторождения страны, разведка месторождений регионального уровня, развитие угольной промышленности, при условии сопоставимости цен на газ, газификация районов области в основном для нужд населения.

Общее руководство деятельностью Общества осуществляет Совет директоров. В своей деятельности Совет директоров руководствуется законодательством РФ, Уставом Общества, настоящим положением и другими внутренними документами Общества в части, относящиеся к деятельности Совета директоров, утвержденными общим собранием.

Общество является юридическим лицом, обладающим обособленным имуществом, имеет самостоятельный баланс, расчетные и другие счета кредитных учреждениях, может от своего имени приобретать и осуществлять имущественные и личные неимущественные права, нести обязанности, быть истцом и ответчиком в суде, арбитражном и третейском судах.

Общество является собственником имущества, переданного ему в качестве вклада в уставный капитал учредителями и другими участниками, а также имущества, полученного в результате своей коммерческой деятельности и по иным основаниям, предусмотренных законодательством.

Вклады участников в уставный капитал Общества могут осуществляться деньгами, ценными бумагами, другими вещами или имущественными правами либо иными правами, имеющими денежную оценку.

Имущество Общества, сформировано за счет вкладов участников, а также произведенное и приобретенное Обществом в процессе его деятельности принадлежит ему на праве собственности. Органами управления Общества являются: общее собрание участников, совет директоров, генеральный директор.

Организационная структура Общества включает в себя центральный офис и тридцать шесть абонентских отделов и участков, созданных практически во всех муниципальных образованиях Волгоградской области.

Общее руководство Обществом осуществляется генеральным директором, которому непосредственно подчинены четыре заместителя по направлениям, а также советники по экономической безопасности и связям с общественностью, помощник генерального директора и секретари.

Заместитель генерального директора по реализации газа осуществляет руководство Управлением по реализации газа юридическим лицам.

Управление по реализации газа юридическим лицам выполняет весь спектр работ с юридическими лицам и индивидуальными предпринимателями, начиная от договорной работы (в структуру Управления входит отдел договоров и лимитов) до контроля за поступлением платежей за газ, который осуществляется отделом по реализации газа промышленным покупателям.

Заместитель генерального директора по оперативной работе руководит работой технического отдела, Управлением по поставкам газа и метрологии и Управлением информационных технологий.

Технический отдел осуществляет контроль за ходом выполнения программы газификации Волгоградской области посредством организации взаимодействия между заказчиками и исполнителями работ.

Управление по поставкам газа и метрологии, включающее в себя оперативно-диспетчерский отдел, отдел по учету газа и метрологии, отдел АСКУГ обеспечивает важнейшую составляющую бизнес-процессов Общества - учет газа, т.е. учет объема реализации товаров и услуг. Помимо этого, на Управление возложена функция по реализации на территории Волгоградской области программы по совершенствованию системы коммерческого учета газа, как за счет средств, включаемых на эти цели в снабженческо-сбытовую надбавку, так и за счет средств ООО «Межрегионгаз».

В свою очередь на Управление информационных технологий, включающее в себя отдел программного сопровождения и отдел технического обеспечения, возложена задача по информационному обеспечению бизнес - процессов Общества. Сотрудниками Управления осуществляется сопровождение всех компонент программного комплекса «АИС Регионгаз» на технологической платформе «1C Бухгалтерия», техническое обслуживание компьютерной и оргтехники.

Заместитель генерального директора по экономике и финансам руководит планово-экономическим отделом, отделом труда, кадров и социального развития и финансовым отделом. Анализ деятельности указанных структурных подразделений приведен в соответствующих разделах отчета.

Заместитель генерального директора по инвестициям, работе с бюджетами и населением руководит Управлением по реализации газа населению и работе с бюджетом, Управлением по имуществу, инвестициям и административно-хозяйственной работе, а также юридическим отделом.

В структуру Управления по реализации газа населению и работе с бюджетом входят отдел по работе с администрациями всех уровней и бюджетными организациями, отдел по оперативной работе с населением и малым бизнесом, информационно-расчетный отдел и абонентские отделы (участки).

Управление по имуществу, инвестициям и административно - хозяйственной работе включает в себя отдел имущественных правоотношений и инвестиций, хозяйственный отдел и канцелярию.

Отдел имущественных правоотношений и инвестиций осуществляет взаимодействие с подрядными организациями по вопросам проведения текущего и капитального ремонта имущества Общества, находящегося на праве собственности или в аренде, проведению реконструкции зданий и помещений, обеспечение строительства зданий для нужд Общества силами подрядных организаций. Отдел также ответственен за реализацию инвестиционных проектов по строительству абонентских отделов (участков) за счет средств ООО «Межрегионгаз Волгоград».

Хозяйственный отдел занимается текущим обеспечением бизнес - процессов Общества: канцелярскими и хозяйственными принадлежностями, проводит работу по обеспечению структурных подразделений Общества коммунальными услугами надлежащего качества.

Канцелярия осуществляет документационное обеспечение деятельности Общества, своевременную обработку поступающей и отправляемой корреспонденции, доставку ее по назначению, контроль за сроками исполнения документации.

Общая численность Общества составляет 752 человека, из которых - 587 женщин.

Структура персонала по категориям работников:

Руководители - 76 чел.

Специалисты - 265 чел.

Служащие - 12 чел.

Рабочие - 408 чел.

Высшее образование из состава руководителей имеют 66 человек, из них 2 кандидата экономических наук.

Из числа специалистов с высшим образованием работают 196 человек, со средним профессиональным образованием - 50 чел.

Структура персонала по стажу работы в газовой отрасли:

Свыше 20 лет - 8 чел.

От 10 до 20 лет - 31 чел.

От 5 до 10 лет - 31 чел.

Менее 5 лет - 682 чел.

Структура персонала по возрасту работников Общества:

От 50 лет и старше - 117 чел.

От 40 до 50 лет - 240 чел.

От 30 до 40 лет - 211 чел.

До 30 лет - 184 чел.

Планирование и прогнозирование потребности в работниках осуществляется с использованием Нормативов численности работников абонентских служб и служб режимов газоснабжения региональных компаний по реализации газа, разработанные по заказу ООО «Межрегионгаз Волгоград» ОАО «Гипрониигаз» в 2005 году. Указанный документ определяет потребность Общества в контролерах газового хозяйства, операторах ЭВМ, специалистах метрологической службы.

Следует отметить, что кадровая работа Общества включает в себя:

разработку и внедрение локальных нормативных и методических документов по кадровой работе и работе с персоналом;

совершенствование кадрового документооборота Общества, обеспечение единого порядка документирования деятельности кадровой работы;

организацию проведения аттестации работников Общества, ее методическое и информационное обеспечение, участие в анализе результатов аттестации, разработке мероприятий по реализации решений аттестационных комиссий;

применение научных методов для изучения деловых и профессиональных качеств работников Общества при отборе, расстановке и планировании их профессионального роста;

обеспечение подготовки, переподготовки, повышение квалификации работников Общества, создание действенного кадрового резерва всех уровней управления;

подготовку документов для обучения работников, направляемых на семинары, курсы повышения квалификации в соответствии с договорами, заключаемыми Обществом с образовательными учреждениями;

организацию и проведение работы по воинскому учету в Обществе;

подготовку документов по пенсионному страхованию, а также для назначения пенсий и представление их в органы социального обеспечения;

организацию своевременного оформления приема, перевода и увольнения работников в соответствии с трудовым законодательством;

оформление трудовых договоров, ведение личных дел работников;

организацию табельного учета, составление графика отпусков, контроль за состоянием трудовой дисциплины и соблюдением работниками правил внутреннего трудового распорядка.

Существенное внимание в кадровой политике уделяется вопросам социального обеспечения работников Общества и членов их семей. На постоянной основе организуется работа по предоставлению льгот и компенсаций работникам и членам их семей, предусмотренных внутренними нормативными актами Общества, осуществляется оказание медицинских услуг посредством привлечения сторонних организаций в рамках программы по добровольному медицинскому страхованию.

Основные задачи кадровой политики:

оптимизация и стабилизация кадрового состава ключевых структур подразделений Общества;

создание эффективной системы организации и мотивации труда с учетом личного вклада и профессиональной компетенции работников;

обеспечение и расширение социальных гарантий и льгот, охраны труда и заботы о здоровье персонала;

создание и поддержание жесткого организационного порядка в Обществе, укрепление исполнительности, ответственности сотрудников за выполняемые обязанности, укрепление трудовой и производственной дисциплины;

создание и развитие системы обучения и повышения квалификации специалистов и управленцев;

формирование и укрепление деловой корпоративной культуры Общества.

Таким образом, поскольку Общество занимает доминирующую позицию на рынке газа Волгоградской области, показатели финансово-хозяйственной деятельности зависят от состояния промышленных потребителей газа и погодных условий.

2.2 Особенности организации службы управления персоналом в ООО «Газпром межрегионгаз Волгоград»


Современное состояние газовой отрасли предъявляет особые требования и новые подходы к совершенствованию системы управления персоналом в ООО «Газпром межрегионгаз Волгоград». В этом направлении главными задачами являются: повышение целенаправленности управления персоналом, укрепление производственной, технологической и трудовой дисциплины, внедрение современных методов стимулирования трудовой мотивации, контроль за результативностью и качеством труда, необходимость укрепления взаимодействия управления кадрами с управлением предприятием в целом.

Несмотря на все известные трудности предприятие бесперебойно и четко обеспечивает природным газом всех потребителей. Это дается напряженной работой всего коллектива, талантом и волей работающих в нем людей. В их числе и гордость рабочего человека за свое дело, и профессиональный патриотизм.

Эти качества не возникают сами по себе. Они передаются от традиции старших поколений, создавая, достойные и безопасные условия труда, постоянно совершенствуя оплату труда, проводя обучение и повышение квалификации персонала, организуя отдых, лечение работников и членов их семей.

Первоочередными задачами в работе с персоналом определены вопросы улучшения качественного состава кадров. Это одно из приоритетных направлений деятельности руководства общества для достижения наибольшей эффективности производственной деятельности.

В ООО «Газпром межрегионгаз Волгоград» регулярно проводится обучение руководителей и специалистов в соответствии с требованиями Федерального закона «Об образовании», каждый год отправляют на повышение квалификации рабочих. Система основывается на ответственности руководителей всех рангов за выполнение планов обучения, отбора сотрудников, направляемых на обучение. ООО «Газпром межрегионгаз Волгоград» полностью поддерживает стремление сотрудника получать новые знания. Профессиональная подготовка работников реализуется в отраслевых учебных заведениях, институтах и на факультетах повышения квалификации, в учебных центрах г. Волгограда и других городов России (по материалам кадровой политики ООО «Газпром межрегионгаз Волгоград»).

Определяющим фактором, обеспечивающим современного рабочего необходимыми знаниями и практическими навыками, является непрерывное обучение кадров с использованием современных прогрессивных форм и методик, компьютерных обучающих систем.

Общество состоит из высококвалифицированных специалистов, которые в своем развитии стремятся к совершенству. Они реально оценивают необходимость получения новых знаний и применения их в работе. И, что самое главное, они хотят развиваться и развиваются. Получая новые знания и навыки, сотрудник строит себе карьеру. ООО «Газпром межрегионгаз Волгоград» обеспечивает карьерный рост для сотрудника.

Современное производство должны обслуживать квалифицированные рабочие широкого профиля, основа профессиональной подготовки которых - глубокие специальные и научно-технические знания.

В ООО «Газпром межрегионгаз Волгоград» новые сотрудники проходят строгий отбор. Проводится собеседование, где генеральный директор лично общается с претендентом на вакантную должность. Одно из главных требований для персонала желающего устроится в Общество это наличие высшего образования для специалистов, и средне-специального образования для рабочих.

При приеме на работу сотрудника знакомят с коллективным договором предприятия, где четко указаны права и обязанности сотрудника и руководства Общества.

ООО «Газпром межрегионгаз Волгоград» стремится к созданию легкой рабочей атмосферы. Сотрудники этого предприятия - это инициативные, яркие, растущие профессионально, решающие сложные задачи. Для эффективного управления персоналом здесь ценится внимание к сотруднику, участие в его личных проблемах.

У каждого приходящего сотрудника есть наставник, который в течение месяца его опекает, вводит в курс дела, как работать в системе, кто есть кто (знакомит с персоналом), обучает профессиональным навыкам.

Задача Общества - сделать так чтобы люди испытывали удовольствие и удовлетворение от того, что они находятся на работе, и не только материальное. Это также взаимоотношения в коллективе.

В Обществе отмечают дни рождения, 8 марта, 23 февраля, дарят подарки. Все это наилучшим образом сказывается на работе персонала, улучшается дух коллектива.

Основными направлениями совершенствования системы управления персоналом ООО «Газпром межрегионгаз Волгоград» являются:

обеспечение достойной жизни работников;

повышение эффективности производства;

создание здоровых и безопасных условий труда;

совершенствование организации и оплаты труда;

обеспечение роста заработной платы;

реализацию в полном объеме программ социальной защиты работников и пенсионеров:

повышение профессионального уровня работников;

разработка и внедрение единых принципов управления персоналом;

непрерывное совершенствование действующей системы повышения квалификации сотрудников общества, профессиональной подготовки перспективных управленческих кадров, ориентированных на стратегию развития общества;

планомерная и целенаправленная работа с резервом кадров на выдвижение всех уровней управления (подготовка руководящих работников общества);

аттестация персонала в ее различных формах (ежегодное собеседование, экспертная оценка и др.);

развитие и совершенствование системы мотивации труда и повышения социальной защищенности сотрудников и пенсионеров;

совершенствование методического обеспечения работы с персоналом (по материалам коллективного договора).

Необходимо отметить, что значительную роль в систематизации работы по повышению эффективности деятельности ООО «Газпром межрегионгаз Волгоград» играет внедренная интегрированная система менеджмента качества (ИСМК), функционирующая в соответствии с требованиями международных стандартов ИСО 9001:2000 к системам менеджмента качества и ИСО 14001:2004 к системам экологического менеджмента. Развитие организации в рамках менеджмента качества входит в формулу стратегических задач обеспечивает эффективное управление всеми видами деятельности, позволяет совершенствовать и гибко управлять финансовыми и материальными потоками, управлением персонала. По основным направлениям деятельности работы с персоналом Департаментом по управлению персоналом разработаны методические инструкции в рамках ИСМК: «Организация и осуществление системы непрерывного профессионального образования руководителей и специалистов», «Порядок проведения аттестации руководителей и специалистов», «Порядок подбора, найма и расстановки персонала», «Порядок работы с резервом кадров для выдвижения на вышестоящие должности» и другие, посредством которых обеспечивается результативность и высокий уровень работы с персоналом.

Следует отметить, что немаловажным фактором совершенствования системы управления персоналом также является стимулирование работников на хороший труд. Стимулы эти состоят в следующем - работникам могут выплачиваться премии и вознаграждения

за создание и внедрение новой техники, содействие изобретательству и рационализации, активное участие в работе по патентованию и подготовке лицензий на изобретения и научно-технические достижения до трех тарифных ставок (должностных окладов) в год.

за ввод в действие производственных мощностей и объектов строительства - до трех тарифных ставок (должностных окладов) в год.

в связи с юбилейными датами работников (50-, 55-, 60-летием со дня рождения) - до одной месячной тарифной ставки (должностного оклада).

Также в Обществе полностью компенсируются расходы на лечение, протезирование и другие виды медицинской и социальной помощи работников, пострадавших при несчастных случаях на производстве или от профзаболеваний.

ООО «Газпром межрегионгаз Волгоград» предоставляет работникам дополнительный оплачиваемый отпуск и оказывать материальную помощь в следующих случаях:

при рождении ребенка, отцу - 1 рабочий день;

при бракосочетании (собственная свадьба, свадьба детей) - 3 рабочих дня;

серебряная свадьба - 1 рабочий день;

при переездах на новую квартиру -1 рабочий день;

1 сентября в День знаний матерям детей-школьников младших классов (1-4 класс) -1 рабочий день;

проводы в армию сынов -1 рабочий день;

Также следует отметить, что работникам за хороший труд предоставляют путевки в различные санатории, базы отдыха.

Но, не смотря на все эти положительные стороны, есть одна наиболее важная отрицательная сторона в системе управления персоналом в Обществе - это текучесть кадров.

Факторы, вызывающие текучесть кадров, разнообразны, имеют разные источники, сила их влияния различна, изменчива и зачастую трудно поддается количественной оценке. Условно все факторы можно разделить на три группы:

внешние по отношению к организации;

внутренние по отношению к организации;

личностные, характеризующие сотрудника.

Внутренние факторы:

. Низкая заработная плата. Неконкурентоспособные ставки оплаты труда не способствуют привлечению новых специалистов и вынуждают сотрудников искать более выгодные предложения. При этом на текучесть может влиять не только размер оплаты, но и ее постоянные задержки. В такой ситуации стоимость зарплаты фактически снижается, какой бы высокой и конкурентной она не была. Текучка в компаниях с маленькой, но стабильной зарплатой может быть даже меньше, чем в компаниях, где зарплату задерживают, ведь из-за задержек нарушается уверенность сотрудников в будущем, не удовлетворяется потребность в стабильности. Иногда низкая зарплата и, как следствие, увольнение специалистов бывают связаны с невозможностью заработать больше. Например, для менеджеров по продажам это завышенный план выработки, что означает неполучение процентов от сделок.

. Но зачастую работники недовольны не столько величиной, сколько несправедливостью зарплаты, то есть отсутствием ее связи с результатами труда, хаосом в соотношении зарплат специалистов разных подразделений, резкой разницей зарплат однородных специалистов на предприятиях одного региона. Достичь необходимого баланса в оплате труда можно. Для этого необходимо сбалансировать систему должностных окладов, выстроить должности по ступенькам в соответствии с их ценностью (и в компании, и на рынке труда), а также учитывать профессионализм работника. Наиболее объективный подход - оценка профессиональных компетенций работников и определение квалификационной надбавки к окладу. Должностной оклад и надбавка к окладу за квалификацию составляют постоянную часть оплаты труда. Переменная часть зарплаты должна уже зависеть от конкретных результатов работы сотрудника. Причем ориентироваться следует не только на сиюминутный финансовый результат, но и на факторы, влияющие на успешность компании в будущем. Это повышение профессионализма работников, оптимизация бизнес-процессов компании и продуктов, повышение удовлетворенности клиентов.

. Отсутствие карьерного роста, приобретения опыта, возможности обучения или повышения квалификации - одна из самых распространенных причин ухода сотрудников. Часто сотрудник, проработав в компании около года, уже ожидает повышения, в то время как работодатель не имеет реальной возможности продвинуть его по служебной лестнице, даже если по результатам аттестации сотрудник этого заслуживает. Простое повышение заработной платы в таком случае устроит его лишь ненадолго - не более чем на полгода.

В данной ситуации можно выстраивать горизонтальную карьеру: то есть вводить подразделения в рамках отдела, градации внутри должности (менеджер, старший менеджер, ведущий менеджер и т.д.), связывая каждый уровень с системой материальной и нематериальной мотивации. В некоторых компаниях, особенно связанных с творческим и интеллектуальным трудом, специально создают новые подразделения и направления, чтобы избежать «утечки мозгов». Разумеется, потребуется, во-первых, изменить штатное расписание, во-вторых, разработать новую систему окладов и бонусов в данной группе. Естественно, что руководителями новых направлений становятся самые достойные из «засидевшихся» сотрудников. При этом новое назначение должно сопровождаться не только повышением заработной платы, но и расширением должностных полномочий и обязанностей.

. Не складывающиеся отношения с коллективом и руководством, постоянный дискомфорт на работе - очень сильный и все более распространенный побудительный мотив, чтобы поменять ее, даже при весьма высоком уровне оплаты труда в престижной компании и на солидной должности.

. Однообразное содержание работы - частая причина высокой текучести персонала. Монотонность, скука, равно как и неопределенность, постоянный стресс приводят к быстрому профессиональному выгоранию, усталости, депрессии. Человек, работающий на одном и том же месте длительное время, постепенно теряет интерес к делу, его производительность падает, и, в конце концов, у него возникает желание сменить место деятельности.

Данная проблема может быть решена с помощью ротации персонала, обогащения труда, побуждения к творчеству. Так, кто-то из сотрудников может стать наставником для новичков, проводить занятия, семинары. Кто-то ощутит интерес к общественной деятельности и станет автором раздела на корпоративном сайте или редактором корпоративной газеты. При этом повышается результативность, однако в случае увольнения сотрудника увеличиваются и потери компании.

Если же компании нечего предложить сотруднику в качестве замены (например, это менеджер отдела продаж и его некуда переводить) и время его деятельности на текущем месте равно продолжительности его работы в компании в целом, следует сконцентрироваться на увеличении отдачи от «засидевшегося» сотрудника.

В любом случае, варианты решения проблемы зависят от самой организации, от ее возможностей и специфики.

Внешние и личностные факторы. Неудовлетворительная демографическая ситуация и качество трудовых ресурсов при экономическом росте приводят к дефициту как квалифицированных, так и неквалифицированных сотрудников. Дефицит персонала при высокой конкуренции ведет к текучести и борьбе работодателей за кадровые ресурсы и в результате к росту заработной платы. Рост стоимости трудовых ресурсов приводит к росту издержек компании и понижению конкурентоспособности. Компании, которые не могут платить требуемую зарплату, теряют свои кадры, что при превышении критического значения текучести кадров может привести к несостоятельности и дальнейшему банкротству.

К личностным факторам относятся возраст работников, уровень их образования и квалификации, опыт работы.

Известно, что стремление перейти из одной организации в другую обратно пропорционально возрасту. Пик переходов заканчивается в 25 - 30 лет. Чаще меняют работу сотрудники низшей квалификации, не имеющие семьи, перспектив, меньше зарабатывающие, далеко живущие.

Существенно отличается интенсивность текучести в группах работников с разным стажем на предприятии. После трех лет работы на предприятии происходит резкое снижение интенсивности текучести, что связано как с фактором возраста, так и с проблемами адаптации.

Кроме того, низкая информированность кандидата и то, что при приеме работодатель завысил положительные моменты и занизил или скрыл трудности работы в компании, могут спровоцировать возникновение необоснованных ожиданий у работника, что в дальнейшем приведет к росту неудовлетворенности компанией и, следовательно, к увольнению. Вот почему важно не скрывать от кандидата условия, обязанности и характер предстоящей работы.

Таким образом, причин, порождающих текучесть персонала, довольно много. Сами работники наиболее часто называют такие:

отсутствие возможности профессионального роста;

невостребованность работы высшим руководством;

отсутствие у компании средств на персонал;

снижение уровня заработной платы вследствие инфляции;

социальная незащищенность;

проблемы с корпоративной дисциплиной;

отсутствие перспектив карьерного роста;

оторванность руководства от рядовых работников;

отсутствие прозрачной, понятной, эффективной системы мотивации;

деление людей на «старых» и «новых», «своих» и «остальных»;

установление зарплат не по вкладу, а по приближенности к руководству;

отсутствие заинтересованности у руководства в сохранении персонала;

несоответствие профессионального уровня выполняемым должностным обязанностям;

не сложившиеся отношения в коллективе, с руководством;

увольнение «за компанию» с коллегами по работе.

Таким образом, менеджеру по персоналу следует анализировать истинные причины увольнения работников, выявлять общие тенденции и учитывать их при формировании кадровой политики - это позволит, снизит уровень текучести кадров до приемлемого уровня.

Социальная политика предприятия в настоящее время имеет положительный показатель в управлении персоналом, но для оценки совершенствования системы управления персоналом необходимо так же иметь положительный результат и в мотивационной политике.

Для определения мотивационной политики можно использовать методы оценки управления кадрами на ООО «Газпром межрегионгаз Волгоград», которые дадут полное представление о соответствии мотивационной политики в настоящее время.

2.3 Оценка деятельности службы управления персоналом на примере ООО «Газпром межрегионгаз Волгоград» абонентский отдел Калачевского района


2.3.1 Определения уровня текучести кадров на ООО «Газпром межрегионгаз Волгоград» абонентский отдел Калачевского района

Текучесть кадров - процесс незапланированного, неорганизованного перемещения рабочей силы, обусловленный неудовлетворенностью работника рабочим местом или неудовлетворенностью организации данным работником.

Основная причина текучести кадров в ООО «Газпром межрегионгаз Волгоград» абонентский отдел Калачевского района - это неудовлетворенность заработной платой рабочего персонала.

Высокий уровень текучести кадров указывает на серьезные недостатки в управлении персоналом и управлении организацией в целом, это своего рода индикатор неблагополучия.

Для того чтобы рассчитать текучесть кадров используем следующие данные ООО «Газпром межрегионгаз Волгоград» абонентский отдел Калачевского района: списочное число работников на начало года - 170 чел.; среднесписочная численность работников на предприятии - 163 чел.; всего уволено работников - 14 чел.; из них: по собственному желанию - 7 чел.; за нарушения трудовой дисциплины - 2 чел.

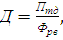
Показатель текучести кадров отражает уровень созданных на предприятии условий для наиболее эффективного использования и развития трудового потенциала работников. Уровень текучести кадров (Кт.), % определяется коэффициентом текучести по формуле:

 (1)

где Р - численность работников, уволенных по причинам текучести (по

собственному желанию, за прогулы и нарушение трудовой

дисциплины), чел.;

Рн - списочное число работников на начало периода, чел.

Произведем расчет на основании показателей ООО «Газпром межрегионгаз Волгоград» абонентский отдел Калачевского района:

 

На основании полученных результатов можно сделать вывод, что на предприятии текучесть кадров выше нормы на 0,3% (норма 3-5%), что характеризует значительные экономические потери.

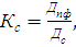
На основании высокой текучести кадров определяем причину данного положения на предприятии при помощи коэффициента выявления причин неудовлетворенности работников. Для данного определения применяется Ку, который показывает уровень удовлетворенности сотрудников своей работой:

(2)

где Рсж - число работников, выбывших с предприятия по собственному

желанию, чел.;

Рср - среднесписочная численность работников на предприятии, чел.

Произведем расчет на основании показателей ООО «Газпром межрегионгаз Волгоград» абонентский отдел Калачевского района:

 

На основании полученных результатов можно сделать вывод, что коэффициент удовлетворенности работников работой на предприятии 0,5, что говорит о том, что работники предприятия не удовлетворены своей работой.

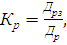
При полученных результатах, характеризующих высокий уровень текучести кадров и при не удовлетворенности своей работой. Определяем коэффициент интенсивности, так как он определяет текучесть кадров более конкретных подразделений предприятия, а в нашем случае по группам (специалисты и рабочие).

Коэффициент интенсивности текучести (Ки.т.):

 (3)

где Рвi - доля i-й категории работников в числе выбывших по причинам текучести, %;- доля этой же категории работников в структуре работающих на предприятии, %.

Произведем расчет на основании показателей ООО «Газпром межрегионгаз Волгоград» абонентский отдел Калачевского района:

Коэффициент интенсивности текучести (Кит) близкий к 1 свидетельствует о среднем (по отношению к организации или подразделению) уровне текучести в данной группе; Кит меньше 1 - о том, что интенсивность ниже ее среднего уровня, т.е. о стабильности группы; Кит больше 1 - о повышенной текучести.

По данным коэффициента интенсивности текучести кадров можно сказать что: у специалистов интенсивность ниже ее среднего уровня (0,52 меньше 1), т.е. это говорит о стабильности группы. А коэффициент интенсивности кадров рабочих говорит о повышенной текучести (1,35 больше 1).

2.3.2 Определение экономического ущерба, вызванного текучестью кадров на ООО «Газпром межрегионгаз Волгоград» абонентский отдел Калачевского района

Известно, что нормальный уровень текучести кадров - в пределах 3 - 5% от численности персонала, свыше 5% - вызывает значительные экономические потери. В последнем случае издержки становятся значительными и возрастают с увеличением оттока кадров.

Для определения величины экономического ущерба от текучести кадров используются следующие методы.

. Расчет потерь, вызванных перерывами в работе, - Ппр., за период одного календарного года:

 (4)

где Вср - среднедневная выработка на одного человека, млн. м³/чел.;

Сп - средняя продолжительность перерыва, вызванного текучестью, дн.;

Чв - число выбывших по причине текучести кадров, чел.

Произведем расчет на основании показателей ООО «Газпром межрегионгаз Волгоград» абонентский отдел Калачевского района:

 

На основании полученных результатов можно сделать вывод, что 97,2 рабочих дня составляют потери вызванные перерывами в работе (за период одного календарного года).

. Расчет потерь, обусловленных необходимостью обучения и переобучения новых работников, - По.

 (5)

где Зо - затраты на обучение и переобучение, руб.;

Дт - доля текучести кадров ч обтаем числе выбывших, %;

Кич - коэффициент изменения численности работником.

Произведем расчет на основании показателей ООО «Газпром межрегионгаз Волгоград» абонентский отдел Калачевского района:

 

На основании полученных результатов можно сделать вывод, что расчет потерь, обусловленный необходимостью обучения и переобучения новых сотрудников составил - 3900 руб. на одного сотрудника.

. Расчет потерь, вызванных снижением производительности труда у работников перед увольнением, - Пу.

 (6)

где Кпт - коэффициент снижения производительности труда перед увольнением;

Чу - число дней перед увольнением, когда наблюдается падение производительности труда, дн.

Произведем расчет на основании показателей ООО «Газпром межрегионгаз Волгоград» абонентский отдел Калачевского района:

 

На основании полученных результатов можно сделать вывод, что на

предприятии высокий уровень потерь (4,7%), вызванный снижением производительности труда у работников перед увольнением.

. Расчет потерь, вызванных недостаточным уровнем производительности труда вновь принятых работников, - Пвп.

 (7)

где Кп - помесячный коэффициент снижения производительности труда;

Чд - число дней в соответствующем месяце, дн.

Произведем расчет на основании показателей ООО «Газпром межрегионгаз Волгоград» абонентский отдел Калачевского района:

(%)

На основании полученных результатов можно сделать вывод, что расчет потерь, вызванный недостаточным уровнем производительности труда вновь принятых работников составил 48,2%.

. Расчет потерь, связанных с затратами на подбор персонала в результате текучести кадров, - Ппк

 (8)

где Зпк - затраты на подбор кадров, руб.

Произведем расчет на основании показателей ООО «Газпром межрегионгаз Волгоград» абонентский отдел Калачевского района:

 

На основании полученных результатов можно сделать вывод о том, что в ООО «Газпром межрегионгаз Волгоград» абонентский отдел Калачевского района потери связанные с затратами на подбор персонала в результате текучести кадров составили 16666 руб.

2.3.3 Определение эффективности работы руководителя с персоналом в ООО «Газпром межрегионгаз Волгоград» абонентский отдел Калачевского района

Эффективность руководителя определяется на основе данных которые учитываются кадровой службой предприятия и включает следующие общие показатели:

. Общая численность работающих в организации, в том числе:

общая численность рабочих;

численность рабочих по каждому тарифному разряду;

численность рабочих со средним специальным и высшим образованием (отдельно), с неполным средним, полным средним;

общая численность специалистов.

. Общее число должностей, требующих замещения специалистами, и из них - число должностей, замещенных специалистами требуемого профиля.

. Общее число должностей руководящего состава и из них должностей высшего руководства.

. Число руководителей, которые, по мнению высшего руководства, не справляются со своими обязанностями.

. Потери рабочего времени по причине нарушения трудовой дисциплины (чел./дн.).

. Общий фонд рабочего времени (чел./дн.).

. Число работников, обращавшихся к администрации с жалобами на плохие условия и организацию труда, недостаточную заработную плату, грубость непосредственных начальников и т.п.

. Число резервируемых должностей.

. Численность персонала, состоящего в резерве на замещение более высокой должности.

. Численность персонала, назначенного на более высокие должности из состава резерва.

. Численность персонала, назначенного и принятого на резервируемые должности.

. Нормативные значения показателей.

Необходимо проанализировать уровень работы с персоналом в организации на основе расчетов совокупности показателей, пользуясь исходными данными и формулами для расчета показателей.

На основе данных ООО «Газпром межрегионгаз Волгоград» абонентский отдел Калачевского района поэтапно выполняется данный расчет за 2010 и 2011 гг.

Для расчета показателей уровня работы с персоналом рассчитываются следующие группы показателей, отражающие:

структуру и состав персонала рабочих, специалистов и руководителей и их динамику;

стабильность трудового коллектива;

работу службы персонала по обеспечению перспектив профессионального и должностного роста (карьеры) персонала.

.1.     Квалификационный уровень рабочих кадров в целом (Кур):

 (9)

где Дрф - фактическое число рабочих должностей, замещенных рабочими необходимого разряда, чел.;

Дро - общее число рабочих, чел.

Произведем расчет на основании показателей ООО «Газпром межрегионгаз Волгоград» абонентский отдел Калачевского района:

 

 

Анализируя полученные результаты, приходим к выводу, что квалификационный уровень рабочих кадров за период 2010-2011 гг. повысился на 0,1%, это является положительной тенденцией в результатах эффективности управления.

.2. Квалифицированный уровень рабочих высших разрядов (Квр) на должностях, требующих среднего специального образования:

 (10)

где Рсо - фактическое число рабочих со средним специальным

образованием, чел.;

НРсоо - число должностей рабочих, требующих среднего специального

образования, чел.

Произведем расчет на основании показателей ООО «Газпром межрегионгаз Волгоград» абонентский отдел Калачевского района:

 

 

Анализируя полученные результаты, приходим к выводу, что квалифицированный уровень рабочих высшего разряда в 2011 году увеличился на 0,11 по сравнению с 2010 годом.

.3 Квалифицированный уровень специалистов (Кс):

 (11)

где Дс - общее число должностей, требующих замещение специалистами, чел.;

Дпф - число должностей, замещенных специалистами требуемого профиля, чел.

Произведем расчет на основании показателей ООО «Газпром межрегионгаз Волгоград» абонентский отдел Калачевского района:

 

 

Анализируя полученные результаты, приходим к выводу, что квалифицированный уровень специалистов в 2011 г. по сравнению с 2010 г. увеличился на 0,02.

.4 Квалифицированный уровень руководителей (Кр):

 (12)

где Дрз - число должностей руководителей, которые по мнению высшего руководства не справляются со своими обязанностями, чел.

Др - общее число должностей руководителей без руководителей высшего уровня, чел.

Произведем расчет на основании показателей ООО «Газпром межрегионгаз Волгоград» абонентский отдел Калачевского района:

 

 

Анализируя полученные данные, приходим к выводу, что квалифицированный уровень руководителей в 2011 г. по сравнению с 2010 г. увеличился на 0,07.

Рис. 1. Квалификационный уровень в ООО «Газпром межрегионгаз Волгоград» абонентский отдел Калачевского района

Показатели второй группы

.1 Состояние трудовой дисциплины (Д):

 (13)

где Птд - потери рабочего времени по причине нарушенной трудовой дисциплины, час.;

Фрв - общий фонд рабочего времени, час.

Произведем расчет на основании показателей ООО «Газпром межрегионгаз Волгоград» абонентский отдел Калачевского района:

 

 

Анализируя полученные результаты, приходим к выводу, что состояние трудовой дисциплины в 2010 г. по сравнению с 2011 г. ухудшилось в 2 раза, что говорит о не стабильном управлении на предприятии.

.2 Удовлетворенность работой (Ур):

 (14)

где Рж - число работников, обращавшихся с жалобами на плохие условия труда, недостаточную заработную плату, грубость непосредственных руководителей и т.п., чел.;

Чр - общее число работников, чел.

Произведем расчеты на основании показателей ООО Газпром межрегионгаз Волгоград» абонентский отдел Калачевского района:

 

 

Анализируя полученные результаты, приходим к выводу, что в 2011 г. по сравнению с 2010 г. удовлетворенность работой уменьшилась на 0,01.

Рис. 2. Состояние трудовой дисциплины и удовлетворенность работой в ООО «Газпром межрегионгаз Волгоград» абонентский отдел Калачевского района

Показатели третьей группы

.1. Изменение качественного состава персонала специалистов (Икс) за отчетный период:

(15)

где Кс1 - квалифицированный уровень специалистов в начале отчетного периода, чел.;

Кс2 - квалифицированный уровень специалистов в конце отчетного периода, чел.

Произведем расчет на основании показателей ООО «Газпром межрегионгаз Волгоград» абонентский отдел Калачевского района:

 

 

Анализируя полученные результаты, приходим к выводу, что качественный состав персонала специалистов в 2011 г. не изменился по сравнению с 2010 г., и находится в норме.

.2. Изменение качественного состава руководящего персонала (Икс) за отчетный период:

 (16)

где Кр1 - квалифицированный уровень руководителей в начале отчетного периода, чел.;

Кр2 - квалифицированный уровень руководителей в конце отчетного периода, чел.

Произведем расчет на основании показателей ООО «Газпром межрегионгаз Волгоград» абонентский отдел Калачевского района:

 

 

Анализируя полученные результаты, приходим к выводу, что качественный состав руководителей в 2011 г. не изменился по сравнению с 2010 г., и находится в норме.

.3. Укомплектованность резерва персонала для замещения вышестоящих должностей (Укр):

 (17)

где Р - фактическое число персонала, состоящего в резерве, чел.;

Рд - число резервируемых должностей, чел.

Произведем расчет на основании показателей ООО «Газпром межрегионгаз Волгоград» абонентский отдел Калачевского района:

 

 

Анализируя полученные результаты, приходим к выводу, что укомплектованность резерва персонала для замещения вышестоящих должностей в 2011 г. повысился на 0,15 по сравнению с 2010 г. и находится выше нормы.

.4. Действенность резерва персонала (Др) для замещения вышестоящих должностей:

 (18)

где Рр - численность персонала, назначенного на более высокие должности из состава резерва, чел.;

Рн - общая численность персонала, назначенного и принятого на резервируемые должности, чел.

Произведем расчет на основании показателей ООО «Газпром межрегионгаз Волгоград» абонентский отдел Калачевского района:

 

 

Анализируя полученные результаты, приходим к выводу, что действенность резерва персонала для замещения вышестоящих должностей в 2011 г. уменьшилась на 0,33 по сравнению с 2010 г.

Таким образом, на основании определения уровня текучести кадров, экономического ущерба от текучести кадров и эффективности работы руководителя с персоналом, можно сделать следующие выводы:

в ООО «Газпром межрегионгаз Волгоград» абонентский отдел Калачевского района наблюдается достаточно высокая текучесть кадров (5,3%). Основной причиной данной проблемы является недовольство рабочих своим положением в организации, что отражается в неудовлетворенности заработной платой (коэффициент неудовлетворенности работников своей работой = 0,5%). Коэффициент текучести рабочих превышает норму на 0,35, а у специалистов данный коэффициент находится на среднем уровне 0,52;

потери, вызванные перерывами в работе (за период одного календарного года) при текучести кадров составляют 92 дня, что говорит о высоких потерях, обусловленных необходимостью обучения и переобучения новых сотрудников - 3900 руб. (на одного сотрудника); также высокий уровень потерь (4,7%) вызванный снижением производительности труда у работников перед увольнением, который связан с низкими условиями и организацией труда, следовательно большие потери связанные с затратами на подбор персонала в результате текучести кадров - 16666 руб. Все эти факторы не благоприятно влияют на деятельность Общества;

по результатам двух лет (2010-2011 гг.) можно сказать, что в 2011 г. квалифицированный уровень рабочих увеличился на 0,1, рабочих высших разрядов на 0,11, специалистов на 0,02, а руководителей на 0,07 по сравнению с 2011 г., это связанно с тем, что администрация предприятия следит за квалифицированным уровнем своего персонала, поэтому работники предприятия ежегодно проходят обучение; состояние трудовой дисциплины уменьшилась в 2 раза, это говорит о том, что предприятие ведет не качественный контроль за дисциплиной труда.

3. Техника безопасности и защита окружающей среды


3.1    Экологическая политика ОАО «Газпром» и ООО «Газпром межрегионгаз Волгоград


Для всех принимаемых на работу лиц, а также для работников, переводимых на другую работу, работодатель (или уполномоченное им лицо) обязан проводить инструктаж по охране труда. Все принимаемых на работу лица, а также командированные в организацию работники и работники сторонних организаций, выполняющие работы на выделенном участке, обучающиеся образовательных учреждений соответствующих уровней, проходящие в организации производственную практику, и другие лица, участвующие в производственной деятельности организации, проходят в установленном порядке вводный инструктаж, который проводит специалист по охране труда или работник, на которого приказом работодателя возложены эти обязанности.

Вводный инструктаж по охране труда проводится по программе, разработанной на основании законодательных и иных нормативных правовых актов РФ с учетом специфики деятельности организации и утвержденной в установленном порядке работодателем.

Кроме вводного инструктажа по охране труда, проводятся первичный инструктаж на рабочем месте, повторный, внеплановый и целевой инструктажи.

Анализ производственного травматизма в ООО «Газпром межрегионгаз Волгоград» выявил следующие основные причины несчастных случаев:

) нарушение правил содержания животных (собак) на территории населенных пунктов;

) падение людей;

) нарушение правил дорожного движения;

) проведение ремонта механизмов и машин с нарушениями правил безопасности.

ООО «Газпром межрегионгаз Волгоград» разработал так называемые «сигнальные цвета и знаки безопасности».

Сигнальный цвет: цвет, предназначенных для привлечения внимания людей к непосредственной или возможной опасности, рабочим узлом оборудования, машин, механизмов и / или элементам конструкции, которые могут являться источниками опасных и вредных факторов. Пожарной технике, средствам противопожарной и иной защиты, знакам безопасности и сигнальной разметке.

Контрастный цвет - цвет для усиления зрительного восприятия и выделения на окружающем фоне знаков безопасности и сигнальной разметки, выполнения графических и поясняющих надписей.

Сигнальные цвета необходимо применять для:

обозначения поверхностей, конструкции (или элементов конструкций), приспособлений, узлов и элементов оборудования, машин, механизмов, и т.п., которые могут служить источниками опасности для людей, поверхности ограждений и других защитных устройств, систем блокировок и т.п.;

обозначение пожарной техники, средств противопожарной защиты, их элементов;

знаков безопасности, сигнальной разметки, планов эвакуации и других визуальных средств обеспечения безопасности;

обозначение пути эвакуации.

В ООО «Газпром межрегионгаз Волгоград» также действуют внутренние локальные нормативные акты.

Система управления природоохранной деятельностью, создаваемая в течение ряда лет и объединяющая усилия более 2 тыс. специалистов-экологов, действует сегодня во всех проектных, научных и производственных подразделениях Газпрома, а специалисты-экологи работают на всех производственных участках. Организация и ведение природоохранной деятельности осуществляются под руководством специализированного структурного подразделения Администрации ОАО «Газпром» - Управления энергосбережения и экологии Департамента по транспортировке, подземному хранению и использованию газа.

3.2 Техника безопасности и охрана труда в ООО «Газпром межрегионгаз Волгоград»


В целях снижения негативного воздействия на окружающую среду, а также обеспечения эффективного ресурсо- и энергосбережения в 2007 г. продолжались работы по модернизации и реконструкции производственных объектов Газпрома. Выполнен большой объем организационно-технических мероприятий по обеспечению рационального использования водных ресурсов, увеличению объемов оборотного водоснабжения. Продолжалось внедрение технологии врезки под давлением без стравливания газа в атмосферу при ремонтных работах, выполнен значительный объем работ по технической диагностике магистральных трубопроводов, предотвращению утечек и потерь природного газа.

Работы по охране окружающей среды в 2007 г. велись во всех дочерних обществах и организациях Газпрома.

Газпром уделяет большое внимание научному обеспечению работ по охране окружающей среды. В рамках проведения НИОКР осуществляется разработка новых, более экологичных и энергоэффективных технических средств и технологических процессов, идет поиск решений, способствующих повышению эффективности природоохранных работ.

Производственные объекты Газпрома в настоящее время расположены в большинстве регионов страны и способны оказывать влияние на экологическую обстановку на значительных территориях.

Газпром активно сотрудничает с органами власти регионов России по вопросам охраны окружающей среды, развивая и поддерживая систему мер по обеспечению экологической безопасности объектов газовой промышленности и проведение комплекса мероприятий по снижению техногенного воздействия на окружающую среду и население.

Правовой основой взаимодействия являются соглашения Газпрома о сотрудничестве с органами государственной власти субъектов Российской Федерации. В настоящее время такие соглашения заключены с 78 регионами России.

Важнейшим направлением региональной деятельности Газпрома, имеющим высокую экологическую значимость, является газификация. При использовании в энергетике природного газа в атмосферу попадает значительно меньше вредных веществ. Так, при сжигании тонны угля по традиционной технологии в воздух поступает в среднем около 40 г. оксида азота, тогда как выбросы этого вещества при применении эквивалентного количества мазута составляют 20 г., а природного газа - всего 3 г.

Немаловажно и то, что замещение угля голубым топливом на объектах энергетики сокращает эмиссию оксида углерода в 1,5-2 раза.

Газпромом было исследовано влияние газификации на изменение социально-экономической ситуации и разработана программа мер, направленных на повышение эффективности дальнейшей газификации. Подготовлены проекты законодательных, нормативных актов и процедурных документов, принятие которых может положительно повлиять на развитие региональных систем газоснабжения.

Охрана окружающей среды является приоритетным направлением в деятельности не только для «Газпрома», но и для ООО «Газпром межрегионгаз Волгоград», который осуществляет комплекс работ по сохранению и рациональному использованию природных ресурсов, стремится к уменьшению негативного воздействия на природную среду, применяя для этого различные технологические и технические решения, вкладывая значительные средства в природоохранные мероприятия.

Природоохранная деятельность в 2007 г. велась во всех дочерних обществах и организациях Газпрома. В результате выполненных работ удалось стабилизировать величину выбросов загрязняющих веществ в атмосферу, уменьшить водопотребление и водоотведение, снизить количество образовавшихся отходов.

В результате реализации Программы энергосбережения в 2004-2006 гг. сэкономлено 10,3 млрд. м³ газа; 1392 млн. к Вт «ч. электроэнергии; 916,2 тыс. Г кал тепловой энергии.

Газпром активно сотрудничает с органами власти регионов России по вопросам охраны окружающей среды, развивая и поддерживая систему мер по обеспечению экологической безопасности объектов газовой промышленности и проведение комплекса мероприятий по снижению техногенного воздействия на окружающую среду и население.

Для обеспечения эффективности природоохранной деятельности в современных условиях, учитывая возросшие требования к рациональному использованию природных ресурсов, Газпром в 2007 г. разработал новую Экологическую политику и «Перечень первоочередных природоохранных мероприятий на период до 2010 г.», положения которых уже реализуются на практике.

Выводы


Подбор кадров - многоэтажная, кропотливая и непрерывная работа, требующая специальных способностей, черт характера, знаний и умений.
Чем большее значение в успехе государственного учреждения приобретают личные качества сотрудников, тем больше потребность в психологических знаниях. Строгие требования к подбору кадров позволяют не только отобрать лучших специалистов, но и напомнить тем, кто уже работает, какие высокие требования предъявляются к персоналу.

В условиях формирования рыночных отношений при реализации реформ возникает проблема выработки такой хозяйственной политики и стратегии, которые позволяют предприятиям поддерживать конкурентоспособность, получать прибыль в обозримой перспективе.

Основные задачи и процесс набора персонала. Подбор персонала на работу является рядом действий, предпринимаемых для привлечения кандидатов, обладающих качествами, необходимыми для достижения целей, поставленных организацией.

Подбор персонала представляет собой процесс отбора подходящих кандидатур на вакантные рабочие места, исходя из имеющегося резерва кадров на бирже труда и на предприятии.

Анализ возрастной группы персонала помогает выявить проблемы, возникающие вследствие внезапного увеличения количества выходов на пенсию, блокирования перспектив продвижения или преобладания работников старших возрастов.

Анализ источников предложения внутри фирмы. Внутренние источники включают в себя: количество выпускников по установленным видам обучения, а также накопленные внутри организации навыки и потенциал. При подготовке планов развития существенным фактором является возможность привлечения людей извне предприятия. Очень часто стратегические планы основываются на предложениях о наличии людей в пределах определенной территории либо в стране вообще.

Расчет потребности в персонале на перспективу осуществляется исходя из прогноза ожидаемого спроса на рабочую силу в будущем на основании запланированной производственной программы и прогноза изменений в количественном составе кадров (к примеру, на основании показателей текучести кадров). При расчете будущего спроса на рабочую силу целесообразно также учитывать ожидаемые изменения рабочего времени. Естественно, в этих расчетах достаточно велик фактор неопределенности.

В целом производительность представляет собой тот объем выпуска товаров и услуг, который можно получить, используя данное количество работников.

В ООО «Газпром межрегионгаз Волгоград» абонентский отдел Калачевского района наблюдается достаточно высокая текучесть кадров (5,3%). Основной причиной данной проблемы является недовольство рабочих своим положением в организации, что отражается в неудовлетворенности заработной платой (коэффициент неудовлетворенности работников своей работой = 0,5%). Коэффициент текучести рабочих превышает норму на 0,35, а у специалистов данный коэффициент находится на среднем уровне 0,52.

Потери, вызванные перерывами в работе (за период одного календарного года) при текучести кадров составляют 92 дня, что говорит о высоких потерях, обусловленных необходимостью обучения и переобучения новых сотрудников - 3900 руб. (на одного сотрудника); также высокий уровень потерь (4,7%) вызванный снижением производительности труда у работников перед увольнением, который связан с низкими условиями и организацией труда, следовательно большие потери связанные с затратами на подбор персонала в результате текучести кадров - 16666 руб. Все эти факторы не благоприятно влияют на деятельность Общества.

По результатам двух лет (2010-2011 гг.) можно сказать, что в 2011 г. квалифицированный уровень рабочих увеличился на 0,1, рабочих высших разрядов на 0,11, специалистов на 0,02, а руководителей на 0,07 по сравнению с 2010 г., это связанно с тем, что администрация предприятия следит за квалифицированным уровнем своего персонала, поэтому работники предприятия ежегодно проходят обучение; состояние трудовой дисциплины уменьшилась в 2 раза, это говорит о том, что предприятие ведет не качественный контроль за дисциплиной труда.

Предприятию можно порекомендовать:

проводить на постоянной основе мониторинг качества оказываемых услуг;

ввести дополнительные формы поощрений (представление к званию «Лучший по профессии», представление к государственным наградам, публичное признание заслуг работника на проводимых собраниях, в том числе при подведении итогов годовой работы организации, опубликование статей о достижениях работника во внутренней прессе организации);

повысить образовательный уровень работников кадровой деятельности;

усилить работу с молодыми специалистами (активизировать работу совета молодых специалистов, сформулировать резерв кадров и молодых специалистов и т.д.).

Список литературы

1. Кибанов, А.Я. Управление персоналом организации. Актуальные технологии найма, адаптации и аттестации [Текст] / А.Я. Кибанов, И.Б. Дуракова. - М.: КноРус, 2011. - 368 с.

. Кибанова, А.Я. Управление персоналом организации. Стратегия, маркетинг, интернационализация [Текст] / А.Я. Кибанов, И.Б. Дуракова. - М.: Инфра, 2011. - 304 с.

. Базаров, Т.Ю. Управление персоналом [Текст] / Т.Ю. Базаров. - М.: Акакдемия, 2011. - 224 с.

. Кибанов, А.Я. Управление персоналом на предприятии [Текст] / А.Я. Кибанов. - М.: Инфра-М, 2011. - 365 с.

. Лукичева, Л.И. Управление персоналом [Текст] / Л.И. Лукичева. - М.: Омега-Л, 2011. - 263 с.

. Маслова, В.М. Управление персоналом [Текст] / В.М. Маслова. - М.: Изд-во Юрайт, 2011. - 488 с.

. Федорова, Н.В. Управление персоналом организации [Текст] / Н.В. Федорова, О.Ю. Минченкова. - М.: КроНус, 2011. - 512 с.

. Дейнека, А.В. Управление персоналом [Текст] / А.В. Дейнека. - М.: Дашков и К, 2010. - 292 с.

. Зайцев, Л.Г. Организационное поведение [Текст] / Л.Г. Зайцев, М.И. Соколова. - М.: Магистр, 2010. - 460 с.

. Карташова, Л.В. Организационное поведение [Текст] / Л.В. Карташова. - М.: Инфра-М, 2010. - 157 с.

. Мишурова, И.В. Управление мотивацией персонала [Текст] / И.В. Мишурова. - Р-н-Д.: Феникс, 2010. - 271 с.

. Зайцева, Т.В. Управление персоналом [Текст] / Т.В. Зайцева, А.Т. Зуб. - М.: Форум, 2009. - 366 с.

. Васильев, Г.А. Организационное поведение [Текст] / Г.А. Васильев. - М.: ЮНИТИ-ДАНА, 2009. - 255 с.

. Федорова, Н.В. Управление персоналом организации [Текст] / Н.В. Федорова, О.Ю. Минченкова. - М.: КроНус, 2009. - 512 с.

. Карташова, Л.В. Управление человеческими ресурсами [Текст] / Л.В. Карташова. - М.: Инфра-М, 2009. - 236 с.

. Бухалков, М.И. Управление персоналом [Текст] / М.И. Бухалков. - М.: Инфра-М, 2009. - 400 с.

. Байденко, В.И. Компетенции в профессиональном образовании [Текст]/ В.И. Байденко // Высшее образование в России. 2009. №11.

. Байденко, В.И. Базовые навыки как интегрирующий фактор образовательного процесса [Текст]/ В.И. Байденко // Профессиональное образование и формирование личности специалиста. Научн.-метод. сборник. 2009. - 425 с.

. Спенсер, Лайл М. Компетенции на работе. Модели максимальной эффективности работы [Текст] / Спенсер Лайл М. - мл. и Спенсер Сайн М. 2008. - 125 с.

. Дятлов, В.А. Управление персоналом [Текст] /В.А. Дятлов, А.Я. Кибанов, Ю.Г. Одегов, В.Т. Пихало. - М.: Дело, 2000. - с. 250.

. Мещеряков, Д.А. Теория компетентности субъектов предпринимательской деятельности [Текст] / Д.А. Мещеряков; Воронеж. 2008. - 264 с.

. Киселева, Е.А. Оценка деятельности топ-менеджеров по компетенциям. Справочник по управлению персоналом [Текст] / Е.А Киселева - Журнал российской HR-практики. 2008. №6

. История компетенций. По материалам Манчестерской и Лонкоширскойшкол бизнеса - Волгоград: ВолГУ, 2007. - 375 с.

. Виноградова, С. Мастер-класс для менеджера по обучению [Текст] / Управление персоналом 2007. №15.

. Киселева, Е.А. Оценка деятельности топ-менеджеров по компетенциям. Справочник по управлению персоналом [Текст] / Е.А. Кисилева/ Журнал российской HR-практики, 2006. №6.

. Колескин, Ф. Знак качества, не путать с компетентностью [Текст] / Кадровик. 2006. №8.

. Ломовцева, О.А. Ключевые компетенции российских менеджеров. Сборник материалов межрегиональных научно-практических конференций[Текст] / О.А Ломовцева. Волгоград: Волгоградское научное издательство, 2006. - 176 с.

. Виноградова, С. Мастер-класс для менеджера по обучению [Текст] / С. Виноградова // Управление персоналом, 2005. №15

. Старобинский, А.С. Основы менеджмента на коммерческой фирме [Текст] / А.С. Старобинский; М.: Перспектива, 2005. - 265 с.

. Базаров, Т.Ю. Управление персоналом развивающейся организации: Учебное пособие [Текст] / Т.Ю. Базаров; М.: ИПКГС. 2005. - 348 с.

. Бакулин, К.С. Провокационные методы работы с персоналом [Текст] / К.С. Бакулин // Управление персоналом, 2005. №20.

. Бударин, В.Б. Формы и методы работы с кадрами [Текст] / В.Б. Бударин // Газовая промышленность. 2005. - 461 с.

. Дятлов, В.А Современная концепция управления развитием человеческих ресурсов [Текст] / В.А. Дятлов, А.И. Беляев, Л.Е. Воробьева, О.В. Воробьева // Кадры газовой промышленности, 2004. - 461 с.

. Егоршин, А.П. Управление персоналом - 2-е изд. [Текст] / А.П. Егоршин // Н. Новгород: НИМ Б, 2004. - 342 с.

. Иванов, И.Н. Менеджмент корпорации [Текст] / И.Н. Иванов // М.: ИНФРА-М? 2004. - 234 с.

. Куличенко, В.А. Кадровое обеспечение государственной службы [Текст] / В.А. Куличенко // Ростов н/Д.: Литер

компетенция служба менеджер подбор

Похожие работы на - Особенности подбора менеджеров на российских предприятиях

 

Не нашли материал для своей работы?
Поможем написать уникальную работу
Без плагиата!
Без нейросетей!