Проектування рульового пристрою
Вступ
Проектування рульового пристрою
складається з декількох послідовних етапів, головні з яких - вибір конструкції
і міцнісних розмірів пера руля і його деталей, необхідних для забезпечення
судну заданої поворотливості і усталеності на курсі, і розрахунок
гідродинамічних характеристик, необхідних для вибору рульової машини. Для
різних типів суден і їх розмірів в практиці проектування застосовуються різні
типи рулів, визначення геометричних і міцнісних характеристик яких виконується
по-різному. Сьогодні на суднах застосовуються наступні типи рулів: небалансирні
за рудерпостом; балансирні, що спираються на п’ятку ахтерштевня; балансирні
напівпідвісні рулі. При цьому в курсовому проекті вважаємо, що судна
одногвинтові, а рулі розташовані в струмені гребного гвинта в ДП судна.
1.Визначення головних розмірів за
вихідними даними
=0,642;=150 м;/B=6,69, B=150/6,69=22,42м;/D=1,66
, D=13,5м;/D=0,69, d=9,32м.
2.Вибір типу, кількості і положення
рулів
Тип руля - не балансирний, кількість - 1,
відстань від диску гвинта 0,3 м.
3. Вибір способу з’єднання пера руля
з баллером
Обираємо горизонтально-фланцеве з’єднання в
комплекті з вигнутим в нижній частині баллером.
4.
Визначення геометричних характеристик пера руля. Розробка його контуру
Загальна площа пера руля
Загальна площа пера руля:
,
де
- довжина
судна між перпендикулярами, м; d - осадка судна, м; А - емпіричний коефіцієнт,
що визначається по правилам Норвезького бюро Верітас, А=64,2.
Площа рудерпоста
;
Площа руля
.
Вибір розмірів небалансирного
руля за рудерпостом
Руль, що опирається на п’ятку
ахтерштевня, при довжині судна 150 м, має значення h1=0,2 - 0,6. Приймаємо
h1=0,4.
Висота пера руля:
,
де
- висота
пера руля,
-
піднесення нижньої кромки пера руля над основною площиною судна.
Визначаємо ширину рулевого
комплексу:
Ширина пера руля:
Відносне поздовження
комплекса:
;
Відносне поздовження
поворотної частини руля:
;
Для визначення розмірів пера
руля у другому наближенні необхідно знати товщину профілю пера руля:
,
де
- відносна
товщина профілю пера руля, яка приймається в курсовому проекті
=0,2.
Тоді в другому наближенні,
прийнявши
, маємо
м.
м;
;
;
.
5. Розрахунок гідродинамічних
характеристик руля
Вихідні дані:
1. Висота пера руля
. Площа комплексу
. Середня ширина
комплексу
. Середня ширина
поворотної частини
. Ширина рудерпосту
. Максимальна товщина
поворотної частини
. Відносне подовження
комплексу
. Відносне подовження
поворотної частини
. Відносна ширина
рудерпосту
10. Відносна товщина профіля
поворотної частини руля
11. Діаметр гребного
гвинта
. Відстань від
передньої кромки комплексу до диску гвинта
. Відстань від
передньої кромки комплексу до диску гвинта
. Відстань від осі
гребного гвинта до середини розмаху комплексу
. Відстань від
нижньої кромки комплексу до осі гвинта
16. Відстань від верхньої кромки
комплексу до осі гвинта
17. Відстань від осі балера до
передньої кромки комплексу
18. Відносні величини:

19. Швидкість ходу судна:
· Передній хід
· Задній хід
20.Коефіцієнт попутного потоку в
диску гвинта при передньому ході
. Швидкість потоку:
. Буксировочна потужність
η- пропульсивний
коефіцієнт
. Коефіцієнт засасування
. Упір гребного гвинта:
. Коефіцієнт навантаження
гребного гвинта за упором:
· Передній хід
· Задній хід
26. Коефіцієнт попутного потоку в
районі руля
де
H=h1+hp+h2=2h1+hp=0,8+6,92=7,72м;
ΔΨр=0
для суден з транцевою кормою
27. Коефіцієнт:
Передній
хід:
В загальному вигляді
залежність для визначення А1, А2, А3, В1,
В2, В3 для небалансирних рулів:
, b, c -проміжні коефіцієнти,
що визначаються за таблицею.
Умовний коефіцієнт
навантаження гребного гвинта:
Для переднього ходу:
Розрахунок допоміжних
величин:
Задній хід:
Умовний коефіцієнт
навантаження гребного гвинта:
Для заднього ходу:

Розрахунок допоміжних
величин:

- для рулів, розташованих за
рудерпостом

- для рулів, розташованих в ДП судна

- для рулів, що працюють
безпосередньо за гребним гвинтом
. Конструкційний крок
гвинта:
м
. Крок гвинта при
нульовому упорі:
𝜃-
дискове відношення гребного гвинта
3. Номінальна потужність СЕУ:
КВт
4. Упір гребного гвинта:
КН
КН
5.
Площа руля, що потрапляє в струмінь гвинта:
м2
КН
КН
КН
Оскільки
, приймаємо
КН.
де А1- частина
площі пера руля, розташована в ніс від осі обертання

=2,18 м2
Для суден категорії УЛ
крутний момент приймається не менше визначеного за формулою:
Приймаємо
Умовний крутний момент для
заднього ходу:
Умовне розрахункове
навантаження для заднього ходу
Порівняльний аналіз отриманих
значень:
=1282*1,1=1410.
За отриманими значеннями крутного
моменту проводимо вибір рульового приводу в 1-ому наближенні за «Альбомом
рульових машин РН-75». Обираємо рульову машину Р21М1-1. Характеристики
обраної машини:
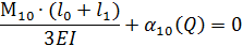
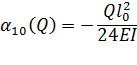
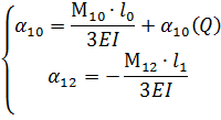
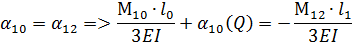
Визначення згинальних
моментів і опорних реакцій в поперечному перерізі пера руля.
Розрахункова схема:
=> 
=>
кНм

кНм

кНм

кНм

кНм(Q)= Ql/24=187,7
7,42/24=58,03.=
131,56 кНм.
6. Визначення основних розмірів
деталей рульового пристрою
Діаметр голови балера приймається не
менше визначеного за формулою (значення крутних моментів беруться збільшеними на
10%):
k10- коефіцієнт,
що приймається 26,1 і 23,3 відповідно для переднього і заднього ходу судна
У обраного рульового приводу
діаметр балера більше розрахованого, тому приймаємо діаметр балера
.
Для перевірки балера на
міцність визначаємо нормальні і дотичні напруження, що діють в поперечному
перерізі:
Ми- розрахунковий
згинальний момент, що діє в розглядуваному перерізі балера.
Приведені напруження:
Висновок: міцність балера за
обраного діаметра забезпечена.
Товщина обшивки пера руля
повинна бути не менше визначеної за формулою:
,
в якій F1=1393
КН - розрахункове навантаження, а F2=0.
рульовий пристрій
транспортне судно
Коефіцієнт
Коефіцієнт
для ділянки
обшивки, розташованої в межах 0,35 довжини пера руля від його передньої крайки,
і
для обшивки
ділянки обшивки, розташованої в межах 0,65 довжини пера руля від його задньої
крайки.
Коефіцієнт
для ділянки
обшивки в струмені гребного гвинта, поза струменем гвинта
.
Згідно з коефіцієнтами
обшивка пера руля ділиться на чотири ділянки:
Оскільки судно має льодову
категорію УЛ, необхідно перевірити потрапляння обшивки пера руля в льодовий
пояс судна. Відстань від ГВЛ до верхньої межі льодового поясу визначаємо за
Регістром:
Коефіцієнти для визначення
товщини льодового поясу для судна категорії УЛ водотоннажністю
Товщина льодового поясу:
Відстань від ОП до нижньої границі
льодового поясу:
Відстань від ОП до початку
пера руля:
З розрахунків випливає, що
перо руля не потрапляє в льодовий пояс.
Для суден довжиною біьше 80 м
товщина обшивки пера руля повинна бути не менше:
Розрахункова схема для
визначення моменту інерції поперечного перерізу пера руля:
Розрахунок момента інерції
поперечного перерізу пера руля виконується в системі AutoCAD з допомогою
функції MASSPROP, яка розраховує площу, координати центру і моменти інерції
заданої області. Область створюється з допомогою команди REGION. В резуль таті
розрахунку отримуємо значення моменту інерції перерізу:
.
В районі осі обертання пера
руля встановлюється одна вертикальна діафрагма, що забезпечує міцність пера
руля (рудерпіс). Для перевірки рудерпіса на міцність визначаємо його момент
інерції в табличній формі:
Ескіз № Розміри,
см Площа
Відстань від
осі порівняння
Власний момент інерції
|
|
|
|
|
|
|
1 9036,05124761,8-
|
|
|
|
|
|
|
|
2
|
112,80043800,3
|
|
|
|
|
|
3
|
9036,05124761,8-
|
|
|
|
|
|
Сумма:
|
|
|
|
293323,9
|
Момент опору поперечного перерізу
рудерпіса:
Нормальне напруження в
перерізі:
Перевірка міцності (матеріал
- сталь 09Г2С):
. Умова
виконується, міцність рудерпіса забезпечена.
Балер з’єднується з пером
руля горизонтальним фланцем. Діаметр з’єднувальних болтів приймається не менше
визначеного за формулою:
2-діаметр балера у з’єднувального фланця, см;1-кількість
з’єднувальних болтів (6);2-середня відстань від центрів болтів до
центру системи отворів фланця, см;
ReH1, ReH2- верхні границі
текучості матеріалів балера і болтів, МПа.
Приведений розрахунковий момент:
Коефіцієнт
Відстань між центрами крайніх отворів:
Діаметр отворів у фланці:
Ширина фланця:
Довжина фланця:
Перо руля спирається на два штирі. Нижній штир
встановлюється в п’ятці ахтерштевня. В даному перерізі пера руля діє сила
реакції опори
Діаметр
штиря (без врахування облицювання):
Діаметр штиря з облицюванням:
Приймаю довжину циліндричної частини штиря
, довжину
конічної частини штиря
Найменший діаметр конічної частини:
Зовнішній діаметр нарізної частини:
Висота гайки:
Зовнішній діаметр гайки:
Оскільки виконується співвідношення:
,
то допускається мінімальне значення товщини
матеріалу петель
Перевіряємо розміри штиря за питомим тиском:
Допустимий питомий опір нержавіючої сталі по
бронзі або навпаки (при смазці водою)
Питомий опір не перевищує допустиме значення.
Середній штир встановлюється посередині висоти
пера руля. В даному перерізі пера руля діє сила реакції опори
Діаметр
штиря (без врахування облицювання):
Діаметр штиря з облицьовкою:
Приймаю довжину циліндричної частини штиря
, довжину
конічної частини штиря
Найменший діаметр конічної частини:
Зовнішній діаметр нарізної частини:
Висота гайки:
Зовнішній діаметр гайки::
Оскільки виконується співвідношення:
,
то допускається мінімальне значення товщини
матеріалу петель
Перевіряємо розміри штиря за питомим тиском:
Допустимий питомий опір нержавіючої сталі по
бронзі або навпаки (при смазці водою)
Питомий опір не перевищує допустиме
значення.
Верхній штир встановлюється в петлі рудерпоста.
В даному перерізі пера руля діє сила реакції опори
Діаметр штиря (без врахування облицювання):
Діаметр штиря з облицьовкою:
Приймаю довжину циліндричної частини штиря
, довжину
конічної частини штиря
Найменший діаметр конічної частини:
Зовнішній діаметр нарізної частини:
Висота гайки:
Зовнішній діаметр гайки:: 
,
то допускається мінімальне значення товщини
матеріалу петель
Перевіряємо розміри штиря за питомим тиском:
Допустимий питомий опір нержавіючої сталі по
бронзі або навпаки (при смазці водою)
Питомий опір не перевищує допустиме
значення.
Рульовий пристрій має систему обмеження обертань
руля (суднові упори),які розраховуються на зусилля, що відповідають граничному
моменту:
Зусилля, що викликає змяття упору:
Напруження зм’яття:
у, hуп-ширина і висота площадки
дотикання упору з ахтерштевнем, см.
Міцність упорів можна вважати задовільною.
7. Вибір и розташування рульових
приводів і підшипників балера
Основний рульовий привід
підбирається за величиною розрахункового моменту М з допомогою альбома рульових
електрогідравлічних машин РН-75. Електрогідравлічні плунжерні рульові машини з
номінальним крутним моментом 100 кНм і більше звичайно мають два незалежно
діючих агрегата насоса, що забезпечують більш високі вимоги для рульових
приводів і здатних за необхідності виконати функції запасних рульових приводів.
В курсовому проекті приймаємо в якості основного привід РМ21М1-1.
Рульова машина встановлюється на
фундаменті в румпельному відділенні на висоті, що забезпечує можливість огдяду
знизу и обслуговування як самої машини, так і підшипника балера (600-900 мм.).
Над рульовою машиною повинно бути достатньо місця для монтажу і демонтажу. По
бортам потрібно передбачити проходи шириною не менше 800 мм.
Для того, щоб сприйняти масу руля і
балера, встановлюємо опорний підшипник. Палуба в місці його установки
підкріплена набором. Також прийняті міри проти аксіального зміщення пера руля і
балера вгору не більше, ніж це допустимо конструкцією рульового приводу. В
місці проходу балера через верхню частину гельмпортової труби встановлено
сальник, що попереджує потрапляння води в корпус судна. Сальник розташований
таким чином, щоб був доступний для огляду і обслуговування.
. Визначення ефективності руля
Ефективність руля типа Х
визначається за формулою:
, де
.
Для визначення норми
ефективності Е1 визначаємо коефіцієнт повноти погруженої кормової
частини ДП:
Використовуючи графіки Правил
Регістру знаходимо, що Е1=0,027.
Визначаємо площу парусності
судна за осадки по верхню кромку пера руля:
|
Fi
|
1845,6
|
82,5
|
65,0
|
55,0
|
47,5
|
37,5
|
27,5
|
2160,6
|
|
Zi
|
-0,97
|
-53,1
|
-49,6
|
-47,6
|
-46,1
|
-44,1
|
-42,1
|
|
|
FiZi
|
-1790,2
|
-4380,8
|
-3224,0
|
-2618,0
|
-2189,8
|
-1653,8
|
-1157,8
|
-17014,4
|
|
|
|
|
|
|
|
|
X0=
|
-7,87
|
Норма ефективності Е2 визначається
за формулою:
Визначаємо площу парусності
судна при осадці по ЛГВЛ:
|
Fi
|
1254,4
|
82,5
|
55,0
|
47,5
|
37,5
|
27,5
|
1569,4
|
|
Zi
|
-0,97
|
-53,1
|
-49,6
|
-47,6
|
-46,1
|
-44,1
|
-42,1
|
|
|
FiZi
|
-1216,8
|
-4380,8
|
-3224,0
|
-2618,0
|
-2189,8
|
-1653,8
|
-1157,8
|
-16441
|
|
|
|
|
|
|
|
|
X0=
|
-10,48
|
Для суден довжиною більше 70 м норма
ефективності Е3 визначається за формулою:
.
Порівнюючи отримані значення
норм ефективностей зі значенням ефективності руля, можна зробити висновок, що
ефективність рульового пристрою для даного судна забезпечена:
|
Е1=0,027
|
< Epp=1,884
|
|
Е2=0,024
|
|
|
Е3=0,031
|
|
Висновок
В курсовому проекті було
спроектовано рульовий пристрій для льодокольно-транспортного судна (категорія
УЛ). Тип руля - небалансирний за рудерпостом, з двома штирями. Перо руля
з’єднується з балером з допомогою горизонтального фланцевого з’єднання. Перекладка
руля здійснюється з допомогою електрогідравлічної плунжерної машини Р21М1-1.
Рульовий пристрій відповідає вимогам Регістру за конструкцією, міцністю і
ефективністю.
Перелік використаної літератури
1. Зайцев В. В, Еганов А.Е.
«Проектирование общесудовых устройств»- Николаев: «Іліон», 2004 г.
2. Зайцев В. В.,
Коробанов Ю. Н. «Проектирование рулевых устройств» Ч. 1. - Николаев: НКИ,
1992г.
. Гурович А. Н. и др.
«Справочник по судовым устройствам» том 1 - Ленинград: Судостроение, 1975 г.
. Регистр СССР. Правила
постройки и классификации морских судов. том 1 - Ленинград: Судостроение, 1990
г.