Организация как объект управления для получения максимальной прибыли на примере общества с ограниченной ответственностью 'АвтоКнязь'
ДИПЛОМНАЯ
РАБОТА
ПО
ДИСЦИПЛИНЕ: ТЕОРИЯ ОРГАНИЗАЦИИ
ТЕМА:
«ОРГАНИЗАЦИЯ КАК ОБЪЕКТ УПРАВЛЕНИЯ ДЛЯ ПОЛУЧЕНИЯ МАКСИМАЛЬНОЙ ПРИБЫЛИ НА
ПРИМЕРЕ ОБЩЕСТВА С ОГРАНИЧЕННОЙ ОТВЕТСТВЕННОСТЬЮ «АВТОКНЯЗЬ»»
Выполнила:
студентка
специальности 080501 «менеджмент»
группы МК-810
В.А. Капустина
Проверил:
преподаватель экономических дисциплин
Ю.М. Герасимова
РЕФЕРАТ
Дипломная работа выполнена на 66 листах,
содержит 29 таблиц, 4 рисунка, 18 приложений и 31 источник литературы.
Объект исследования: Общество с ограниченной
ответственностью «АвтоКнязь».
Предмет исследования: получение максимальной
прибыли при эффективном управлении организацией.
Цель исследования: выявление и определение
влияния факторов, воздействующих на прибыль Общества с ограниченной
ответственностью «АвтоКнязь».
Содержание
Введение
Глава 1. Роль и значение организации
в рыночной экономики РФ
1.1 Организация как объект
управления на примере Общества с ограниченной ответственностью «АвтоКнязь»
.2 Конкуренция и её влияние на
деятельность организации
1.3 Регулирование деятельностью
организации в целях получения максимальной прибыли
Глава 2. Особенности организации
финансовой деятельности в целях получения максимальной прибыли
.1 Экономико-финансовая деятельность
организации
.2 Анализ финансовых результатов
деятельность ООО «АвтоКнязь»
.3 Проблемы и перспективы развития
деятельности организации
Заключение
Список используемой литературы
Приложение
Введение
Актуальность исследования: Прибыль, как конечный
финансовый результат на всех этапах развития, всегда имела огромное значение
для эффективной работы предприятий и организаций. В условиях перехода к
рыночным отношениям значение прибыли для хозяйствующих субъектов существенно
возросло, так как от этого зависело дальнейшее повышение эффективности их деятельности,
конкурентоспособность и кредитоспособность. Прибыль является показателем,
наиболее полно отражающим эффективность производства, объем и качество
произведённой продукции, состояние производительности труда, уровень
себестоимости.
В условиях рыночных отношений предприятие должно
стремиться к получению максимальной прибыли, то есть к такому её объёму,
который позволял бы предприятию не только прочно удерживать позиции сбыта на
рынке своей продукции, но и обеспечивать динамичное развитие его производства в
условиях конкуренции.
Поэтому каждое предприятие, прежде чем начать
производство продукции, определяет какую прибыль, какой доход оно сможет
получить. Отсюда прибыль является основной целью предпринимательской
деятельности, её конечным результатом.
Основная проблема, с которой пришлось
столкнуться при создании организации - это несвоевременный сбыт товара.
Но, если провести интенсивную рекламную компанию
по продвижению товара на рынок, это поможет проинформировать большее количество
людей и подтолкнуть к действию тот сегмент рынка, на который направлена
реклама. Тем самым сбыт будет продолжаться.
Объект исследования: Общество с ограниченной
ответственностью «АвтоКнязь».
Предмет исследования: получение максимальной
прибыли при эффективном управлении организацией.
Цель исследования: выявление и определение
влияния факторов, воздействующих на прибыль Общества с ограниченной
ответственностью «АвтоКнязь».
Для реализации поставленной цели был решён
комплекс следующих задач:
. Оценить конкурентоспособность Общества с
ограниченной ответственностью «АвтоКнязь»;
. Рассчитать прибыль и затраты на нематериальные
активы, основные и оборотные фонды;
. Проанализировать финансовые результаты
деятельности ООО «АвтоКнязь».
Теоритическими вопросами по получению максимальной
прибыли при эффективном управлении занимались такие учёные, как Ф. Найт, Р.
Коуз, В.А. Ядов.
Материальную базу исследования составили:
опросы, маркетинговые исследования, первичные документы организации такие, как
Устав, Учредительный договор, трудовой договор, приказы о приёме на работу,
свидетельство о государственной регистрации, свидетельство о поставки на учёт в
налоговый орган.
Данная дипломная работа состоит из введения,
двух глав, заключен6ия, списка литературы и приложения.
Во введении поставлена цель и выявлены основные
задачи для рассмотрения.
В Главе 1 рассмотрены роль и значение
организации в рыночной экономики РФ на примере Общества с ограниченной
ответственностью «АвтоКнязь».
В Главе 2 рассмотрены особенности организации
финансовой деятельности в целях получения максимальной прибыли на примере
Общества с ограниченной ответственностью «АвтоКнязь».
В заключении сделаны выводы по содержанию
дипломной работы.
Глава 1. Роль и
значение организации в рыночной экономики РФ
.1 Организация как объект
управления на примере Общества с ограниченной ответственностью «АвтоКнязь»
Общество с ограниченной ответственностью
«АвтоКнязь».
В соответствии с Учредительным договором от 22
февраля 2010 года (Приложение 1), Уставом организации (Приложение 2) создано
Общество с ограниченной ответственностью «АвтоКнязь».
Организация зарегистрирована в регистрационной
палате и осуществляет свою деятельность на основании Федерального Закона от 30
декабря 2008 г. № 312-ФЗ «Об обществах с ограниченной ответственностью».
Общество с ограниченной ответственностью
«АвтоКнязь» зарегистрировано по адресу: 644010, Россия, г. Омск, ул.
Масленникова, д. 10.
Учредителями созданного Общества с ограниченной
ответственностью являются:
1. генеральный директор - Княгиня Вероника
Александровна;
. коммерческий директор -Маклэйн Эндрюс
Тэйлор;
. финансовый директор - Тихомирова Елена
Владиславовна.
ООО «АвтоКнязь» зарегистрировано в
государственных органах 24 февраля 2010 года. Государственными органами выдано
свидетельство о регистрации юридического лица и присвоен регистрационный №
5508996678600 (Приложение 3). А также выдан номер налогоплательщика от 26
февраля 2010года (Приложение 4).
Миссия организации: «Пусть образ действий нашей
компании всегда вызывает доверие, уважение и симпатию общества. Мы создаём
более комфортабельные условия для полноценной жизни потребителей».
Цели организации:
1. получать максимальную прибыль при
минимальных затратах;
2. занять высокую позицию на рынке.
Задачи для решения поставленных целей:
. провести глобальные маркетинговые
исследования для изучения конкурентов в данной области;
2. предоставлять потребителям только тот
товар, в котором они заинтересованы;
. предоставлять новинки, проверенные на
зарубежных рынках.
Для дальнейшего существования и эффективной работы
в организации принята стратегия роста. Это стратегия, предполагающая постоянное
повышение уровня показателей предыдущего периода. Рост может быть внутренним
или внешним. Внутренний рост происходит путем расширения ассортимента товаров
или услуг; внешний рост заключается в слиянии компаний.
Размер уставного капитала ООО «АвтоКнязь»
определен в соответствии с действующим законодательством Российской Федерации,
Федеральным Законом «Об обществах с ограниченной ответственностью» от 30
декабря 2008 г. № 312-ФЗ и составил 4 577 465 рублей.
Для формирования первоначального Уставного
капитала учредители организации внесли денежные средства, в процентном
соотношении доли вкладов учредителей составили:
. генеральный директор - Княгиня Вероника
Александровна обладает имущественным правом на помещение - 71%;
. коммерческий директор -Маклэйн Эндрюс
Тэйлор - 22%;
. финансовый директор - Тихомирова Елена
Владиславовна - 7%. (Рисунок 1.)
Рисунок 1 - Доля вкладов учредителей
в создание организации
Накопительный счёт Общества с
ограниченной ответственностью «АвтоКнязь» открыт в ОАО «ОТП Банке». После
государственной регистрации накопительный счет переходит в расчетный счет, с
присвоенным номером 00045735800639420210.
В организации установлена солидарная
ответственность. Это разновидность гражданско-правовой ответственности по
обязательству, в котором имеется несколько должников. В соответствии со ст. 322
ГК РФ солидарная обязанность (ответственность) или солидарное требование
возникает, если солидарность обязанности или требования предусмотрена договором
или установлена законом, в частности при неделимости предмета обязательства.
Обязанности нескольких должников по обязательству, связанному с
предпринимательской деятельностью, равно как и требования нескольких кредиторов
в таком обязательстве, являются солидарными, если законом, иными правовыми
актами или условиями обязательства не предусмотрено иное.
Задолженность по Уставному капиталу
была погашена учредителями организации. В счет Уставного капитала внесены
денежные средства и имущественные права. Данные представлены в Таблице 1.
Таблица 1 - Погашение Уставного
капитала
|
№
п/п
|
Учредители ООО
«АвтоКнязь»
|
Денежные
средства
|
Имущественные
права
|
|
1.
|
Княгиня
В.А.
|
|
3250000
|
|
2.
|
Тэйлор
М.Э.
|
1007042
|
|
|
3.
|
Тихомирова
Е.В.
|
320423
|
|
|
Итого:
|
4577465
|
Объем денежных средств в организации сформирован
из заёмных и собственных средств. (Рисунок 2.) Доля заёмных средств организации
составила 1 250 000 рублей, а также вложены собственные средства в размере 4
577 465 рублей, которые были внесены в размер Уставного капитала.
Рисунок 2 - Доля заёмных и
собственных средств организации
Долгосрочный кредит в сумме1 250 000 рублей был взят в ОТП-Банке сроком на 4 лет
под 18% годовых. Кредит рассчитан на приобретение паркетной доски
"TARKETT" и плитки напольной «Рим» для ремонта торгового помещения.
Погашение кредита должно проводиться равными ежегодными выплатами в конце
каждого года.
J = D
,
где D - сумма
кредита, j -
процентная ставка по кредиту, n - срок кредита.
J = 1 250000
=1 250000
=1 250000
рублей.
График погашения кредита
представлена в Таблице 2.
Таблица 2 - График погашения кредита
|
Период
|
Сумма
основного долга
|
Сумма
погашенного процента
|
Общая
сумма
|
Месячная
сумма
|
|
1
год
|
239
625
|
|
|
38
718.75
|
|
2
год
|
282
757.5
|
|
|
38
718.75
|
|
3
год
|
333
653.85
|
|
|
38
718.75
|
|
4
год
|
393
711.54
|
70 913.46
|
|
38
718.75
|
Общество с ограниченной ответственностью
«АвтоКнязь» использует стратегию «цена-количество», где можно применить
категорию цены как одну из составляющих успеха в конкурентной борьбе.
Принципиальное значение при этом имеет потенциал и уровень развития
соответствующих отраслей, а также активное влияние на издержки производства.
Стратегия «цена-количество» является типичной для операций типа «коммодити»,
т.е. для сбыта многих продуктов, производимых с помощью хорошо отработанных и
апробированных технологий и уже издавна продающихся на рынках.
Основной вид деятельности организации - продажа
автомобилей зарубежного производства.
Данная организация строится на линейной
структуре управления.
Линейная организационная структура управления -
это наиболее распространённый тип иерархической (бюрократической) структуры.
Многоуровневая иерархическая система управления,
в которой вышестоящий руководитель осуществляет единоличное руководство
подчинёнными ему, нижестоящими руководителями, а нижестоящие руководители
подчиняются только одному лицу - своему непосредственному вышестоящему
руководителю.
По такому принципу формируется иерархия служб,
пронизывающая всю организацию до самого низа (Рисунок 3).
Рисунок 3 - Организационная структура управления
Линейная структура управления проста, ее легко
понять. Ясно очерченные права и обязанности всех ее участников создают условия
для оперативного принятия решений.
Возглавляет каждое управленческое подразделение
руководитель, сосредоточивающий в своих руках все функции управления и
полномочия по принятию решений. Чётко выражен принцип единоначалия; высокая
степень централизации в управлении; полномочия функциональных специалистов
незначительны, носят рекомендательный характер.
Вывод: ООО «АвтоКнязь» создано легально по всем
правилам и законам. Имеет регистрационный номер, налоговый номер, свой Устав,
Учредительный договор, трудовой договор (Приложение 5), приказы о приёме на
работу (Приложение 6), штатное расписание(Приложение 7). Уставный капитал
предприятия составляет 4 577 465 рублей и заёмные средства - 1 250 000 рублей,
что является оптимальной суммой для осуществления деятельности. Следующим
этапом для достижения цели является анализ конкурентоспособности.
1.2 Конкуренция и её
влияние на деятельность организации
конкуренция прибыль финансовый
организация
Современная рыночная экономика представляет
собой сложнейший организм, состоящий из огромного количества разнообразных
производственных, коммерческих, финансовых и информационных структур,
взаимодействующих на фоне разветвлённой системы правовых норм бизнеса, и
объединяемых единым понятием - рынок.
Ключевым понятием, выражающим сущность рыночных
отношений, является понятие конкуренции. Конкуренция - это центр тяжести всей системы
рыночного хозяйства, тип взаимоотношений между производителями по поводу
установления цен и объёмов предложения товаров на рынке. Это конкуренция между
производителями. Аналогично определяется конкуренция между потребителями как
взаимоотношения по поводу формирования цен и объёма спроса на рынке. Стимулом,
побуждающим человека к конкурентной борьбе, является стремление превзойти
других.
Для эффективной работы ООО «АвтоКнязь»
необходимо исследовать фирмы-конкуренты.
Конкурентами автосалона «АвтоКнязь» в Омске
являются:
. ООО «Феникс-Авто», 644031, г. Омск, ул. 10 лет
Октября, 203/в, тел.: (3812) 534-422;
. ООО «Сибирь-Моторс», 644073, г. Омск, ул.
Волгоградская 34а к.1, тел.: (3812) 433-888;
. ООО «Аларм-Авто», 644046, г. Омск, ул. Маршала
Жукова 111,
тел.: (3812) 483-428.
Оценка конкурентоспособности ООО «АвтоКнязь» с
вышеперечисленными фирмами проведена в Таблице 3.
Таблица 3 - Оценка конкурентоспособности ООО
«АвтоКнязь»
|
балл
|
4
|
4
|
6
|
5
|
5
|
6
|
|
ООО
«Князь-Моторс» показатель
|
Америка,
Япония
|
HUMMER, LEXUS, TOYOTA
|
1
000 000
|
3
года
|
Есть,
интернет и телевидение
|
Есть
|
|
балл
|
6
|
6
|
2
|
5
|
5
|
6
|
|
ООО
«Аларм-Авто» показатель
|
Америка,
Германия, Япония
|
LEXUS, BMW, AUDI
|
2
000 000
|
3
года
|
Есть
|
Есть
|
|
балл
|
3
|
5
|
5
|
3
|
1
|
6
|
|
ООО
«Сибирь-Моторс» показатель
|
Америка,
Германия
|
HUMMER, CHEVROLET,
OPEL, LEXUS
|
1
200 000
|
2
года
|
Есть
|
Есть
|
|
балл
|
5
|
4
|
4
|
6
|
4
|
6
|
|
ООО
«Феникс-Авто» показатель
|
Япония
|
TOYOTA,
AUDI, SUZUKI, YAMAHA
|
1
500 000
|
3
года или 100000 км. пробега
|
Есть,
интернет
|
Есть
|
|
Факторы
|
Производитель
|
Ассортимент
товаров
|
Средняя
цена, руб.
|
Гарантия
|
Реклама
|
Предоставление
кредита
|
|
0
|
0
|
30
|
|
|
Нет
|
|
|
|
|
0
|
3
|
33
|
|
|
Нет
|
|
|
|
|
6
|
6
|
35
|
|
|
Есть
|
|
|
|
|
0
|
2
|
31
|
|
|
Нет
|
|
|
|
|
Предоставление
лизинга
|
Рейтинг
|
Количество
баллов
|
|
|
|
|
|
|
|
|
|
|
|
Вывод: ООО «АвтоКнязь» по конкурентоспособности
стоит на последнем месте с количеством баллов равным 30. При этом ООО
«Феникс-Авто» не намного опередило ООО «АвтоКнязь», всего лишь на 1 балл.
Лидирующую позицию занимает ООО «Сибирь-Моторс» с 35 баллами.
Оценка конкурентоспособности ООО «АвтоКнязь»
отражена в Приложении 8.
ООО «АвтоКнязь» получило максимальный балл за
такие факторы, как средняя цена и предоставление кредитов.
Чтобы повысить конкурентоспособность нужно
зарекомендовать себя на рынке, а так же расширить сферу услуг и ассортимент.
Всё это в дальнейшем будет способствовать росту
продаж, устойчивой конкурентоспособности и увеличению прибыли.
Производится реклама ООО «АвтоКнязь» на
телевидении и в интернете. Стоимость рекламной услуги на телевидении за 15
секунд составляет 500 000 рублей, а в интернете - 50 000 рублей.
Так же необходимо знать способы стимулирования
продаж. Такие данные находятся в Таблице 4.
Таблица 4 - Способы стимулирования продаж по
основным конкурентам
|
Способы
|
ООО
«Феникс-Авто»
|
ООО
«Сибирь-Моторс»
|
ООО
«Аларм-Авто»
|
ООО
«Авто Князь»
|
|
Оплата
|
100%
или кредит
|
100%
или кредит
|
100%
или кредит
|
100%
|
|
Доставка
заказа
|
Нет
|
Нет
|
Нет
|
Есть,
только по городу
|
|
Стандартный
срок (дни)
|
14
|
12
|
10-15
|
12
|
|
Срок
гарантии
|
3
года или 100000 км. пробега
|
2
года
|
3
года
|
3
года
|
|
Страхование
|
Нет
|
Есть
|
Есть
|
Нет
|
|
Дополнительные
скидки и бонусы
|
Специальные
предложения, скидки на запчасти и аксессуары
|
Различные
акции в предпраздничное время
|
При
покупке дарится пластиковая карта, позволяющая покупать дополнительное
оборудование с 10% скидкой и пользоваться услугами автомойки с 30% скидкой.
|
Постоянные
скидки
|
Вывод: Наиболее стимулирующая потребителей фирма
- это ООО «Аларм-Авто». А так же следующие в порядке убывания - ООО
«Феникс-Авто», ООО «АвтоКнязь», ООО «Сибирь-Моторс».
Для большего стимулирования потребителей, ООО
«АвтоКнязь» планирует добавить услугу страхования.
Доля каждого конкурента на рынке представлена на
диаграмме (Рисунок 4).
Рисунок 4 - Доля конкурентов на
рынке
Чтобы начать деятельность, ООО
«АвтоКнязь» должно определить, на какую группу потребителей ему нужно
ориентироваться и какое количество товаров предоставить на продажу.
Центральным ориентиром ООО «
АвтоКнязь» является 5% «молодёжи» и 10% «трудоспособного населения». Это
значит, что для получения максимальной прибыли, сервису и товарам организации
необходимо удовлетворять потребностям именно этих групп. А также реклама должна
быть разработана таким образом, чтобы могла оказывать наибольшее влияние на
«молодёжь» и «трудоспособное население».
Далее нужно просчитать, сколько
товаров необходимо поставить на продажу. Рассчитываем по следующей формуле:
ПТ = ВНУТР. П +
ВНЕШН. П - ПК, где
ПТ - число товаров,
которые нужно выпускать ООО «АвтоКнязь»;
ВНУТР. П - число товаров,
которые могут приобрести омичи;
ВНЕШН. П - число товаров,
которые могут приобрести приезжие граждане;
ПК - число товаров,
выпускаемых конкурентами.
Итого: 89+5-26-20-24=24 автомобиля в
год.
24/12=2 автомобиля в месяц.
Вывод: Для того чтобы эффективно действовать на
рынке, ООО «АвтоКнязь» должно поставлять на продажу 2 автомобиля «Lexus»
в месяц, то есть 24 автомобиля в год.
Вывод: Исходя из Таблицы 3 - Оценка
конкурентоспособности ООО «АвтоКнязь» видно, что, хотя и есть низкие баллы за
факторы и совсем нулевой рейтинг, место фирма занимает не последнее. Так же
конкурировать, созданной организации, помогают различные способы стимулирования
продаж, что можно увидеть в Таблице 4. В общем, у ООО «АвтоКнязь» достаточно
благоприятная почва для начала осуществления деятельности.
1.3 Регулирование
деятельностью организации в целях получения максимальной прибыли
Имея ясное представление о каждом элементе
основных фондов в производственном процессе, об их физическом и моральном
износе, о факторах, которые влияют на использование основных фондов, можно
выявить методы, при помощи которых повышается эффективность использования
основных фондов и производственных мощностей предприятия, обеспечивающая
снижение издержек производства и, конечно, рост производительности труда.
Основные фонды предприятия представляют собой
совокупность материально-вещественных ценностей, созданных общественным трудом,
длительно участвующих в процессе производства в неизменной натуральной форме и
переносящие свою стоимость на изготовленную продукцию по частям по мере износа.
Существует несколько классификаций основных
фондов.
В зависимости от характера участие основных
фондов в сфере материального производства они подразделяются на:
· производственные основные фонды,
функционирующие в процессе производства, постоянно участвующие в нем,
постепенно изнашивающиеся, переносящие свою стоимость на готовый продукт,
пополняющиеся за счёт капитальных вложений;
· непроизводственные основные фонды,
предназначенные для обслуживания процесса производства, не участвующие в нём и
не переносящие своей стоимости на продукт, воспроизводящиеся за счёт национального
дохода.
Несмотря на то, что непроизводственные основные
фонды не оказывают какого - либо непосредственного влияния на объем
производства, рост производительности труда, постоянное увеличение этих фондов
связано с улучшением благосостояния работников предприятия, повышением
материального и культурного уровня их жизни, что, в конечном счёте, сказывается
на результате деятельности предприятия.
Согласно существующей классификации основные
фонды промышленности по своему составу в зависимости от целевого назначения и
выполняемых функций подразделяются на следующие виды:
· здания,
· сооружения,
· передаточные устройства,
· машины и оборудование, в том числе:
· силовые предметы
· рабочие предметы
· измерительные и регулирующие
предметы
· вычислительная техника
· транспортные средства,
· инструменты,
· производственный инвентарь и
принадлежности,
· прочие основные фонды (рабочий скот,
многолетние насаждения).
Сроком полезного использования является период,
в течение которого использование объекта основных средств приносит
экономические выгоды (доход) организации. Срок полезного использования
организация устанавливает самостоятельно при принятии объекта основных средств
к учёту. В случаях проведения или технического перевооружения срок полезного
использования пересматривается.
Основные фонды, в которых нуждается ООО
«АвтоКнязь» представлены в Приложении 9.
Фирма «АвтоКнязь» взяла стойку-ресепшен Point
и эвакуатор в лизинг.
Лизинг - вид инвестиционной деятельности по
приобретению имущества и передаче его на основании договора лизинга физическим
или юридическим лицам за определенную плату, на определенный срок и на
определенных условиях, обусловленных договором, с правом выкупа имущества
лизингополучателем.
Основными участниками лизинговых отношений
являются:
Лизингодатель - лизинговая компания, которая за
свой счет приобретает, в ходе реализации лизинговой сделки, у продавца
имущество в собственность (оборудование, автотранспорт, недвижимость) и
предоставляет его в качестве предмета лизинга лизингополучателю за указанную в
договоре плату, на определенный срок и на определенных условиях во временное
владение и пользование.
Лизингополучатель - частный предприниматель или
предприятие, кто в соответствии с договором лизинга получает от лизинговой
компании предмет лизинга за определенную плату, на определенный срок и на
определенных условиях во временное владение и пользование для использования в
предпринимательских целях.
Продавец - это поставщик оборудования, автодилер
или риэлтерская компания, которые в соответствии с договором купли-продажи с
лизингодателем поставляют последнему в обусловленный срок и на определенных
условиях имущество, выбранное Вами и являющееся предметом лизинга. Поставка и
передача предмета лизинга лизингодателю или лизингополучателю производится
продавцом в соответствии с условиями договора купли-продажи, заключаемого между
поставщиком и лизингодателем.
Страховщик - это страховая компания, которая,
как правило, является партнером лизингодателя или лизингополучателя. Она
участвует в сделке лизинга, осуществляя страхование имущественных, транспортных
и прочих видов рисков, связанных с предметом лизинга и/или сделкой лизинга.
Лизинг стойки-ресепшен.
Стоимость сдаваемой в лизинг стойки-ресепшен 189
175 рублей. Срок лизинга 2 года. Ставка на полное восстановление оборудования
13% годовых. Процентная ставка по привлекаемому для совершения лизинговой
сделки по кредиту 11% годовых. Согласованный процент комиссии по лизингу 5%.
Капитальный ремонт оборудования, его техническое обслуживание осуществляет лизингополучатель.
Лизингодатель оказывает лизингополучателю некоторые дополнительные услуги,
расходы по которым составляют:
командировочные расходы - 2 850 руб.,
расходы по оказанию юридической консультации по
вопросам заключения лизинга - 2 500 руб.,
расходы на консультации по эксплуатации
оборудования - 5 900 руб.
Выплаты лизинговых взносов производятся ежегодно
равными долями. В соглашении предусмотрено, что после окончания сделки
лизингополучатель приобретает объект лизинга в собственность, исходя из его остаточной
стоимости. Контракт заключён с 26.02.2010 года по 26.02.2014 года.
. Расчёт среднегодовой стоимости оборудования:
|
Период
|
Стоимость
на начало года,руб.
|
Амортизация,
руб.
|
Стоимость
на конец года, руб
|
Среднегодовая
стоимость оборудования, руб.
|
|
1
год
|
189
175
|
24
592.8
|
164
582.3
|
176
878.6
|
|
2
год
|
164
582.3
|
21
395.7
|
143
186.5
|
153
884.5
|
|
Итого:
|
45
988.5
|
|
. Размер лизингового платежа:
Амортизационные отчисления:
А = С
а
Т,
год А=189 175
0.13
=
24 592.8 руб.,
год А=164 582.3
0.1
=21
395.7 руб.
Величина платежей за кредиты:
Пк = К
Sк,
где К - величина кредитных ресурсов,
привлекаемых для проведения лизинга, Sк
- ставка за пользование кредитами.
год Пк=176 878.6
0.11=19
456.6 руб.,
год Пк=153 884.5
=16
927.3 руб.
Размер комиссионных выплат:
Пком = К
Sком,
где Sком
- ставка комиссионного вознаграждения.
год Пком=176 878.6
0.05=8
843.9 руб.,
год Пком=153 884.5
0.05=7
694.2 руб.
Размер платежей за дополнительные услуги
лизингодателя:
Пу = Рк + Ру +
Рр + Рд,
где Рк - командировочные расходы
фирмы-лизингодателя, Ру - расходы за услуги юридический
консультаций, Рр - расходы на рекламу, Рд - другие виды
расходов на услуги лизингодателя.
, 2, 3, 4 год Пу=
=2
812.5 руб.
Размер выручки по лизинговой сделке:
В = Пк + Пком + Пу
год В=19 456.6 +8 843.9 +2 812.5 =31 113 руб.,
год В=16 927.3 +7 694.2 +2 812.5 =27 434 руб.
Расчёт НДС, уплачиваемого лизингодателем в
бюджет:
Нд = В
N,
где В - выручка от лизинговой сделки, N
- ставка НДС.
год Нд=31 113
0.18=5
600.3 руб.,
год Нд=27 434
=4
938.1 руб.
Сумма лизинговых платежей:
Лп = А + Пк + Пком
+ Пу + Нд.
год Лп=24 592.8 +31 113 +5 600.3 =61
306.1 руб.,
2 год Лп=21 395.7 +27 434+4 938.1 =53
767.8 руб.
3. Общая сумма лизинговых платежей:
306.1 +53 767.8=115 073.9 руб.,
073.9 /2=57 536.95 руб., - в год
536.95 /12=4 794.75 руб. - в месяц
. Стоимость оборудования после лизинга:
Балансовая стоимость - амортизация = 189 175-45
988.5=235 163.5 руб.
Вывод: Итого лизинговая уплата за месяц стойке-ресепшен
составляет 4 794.75 рублей. Что является вполне оптимальной суммой для фирмы,
начинающей свою деятельность.
Для всех объектов основных средств необходимо
начислить амортизацию.
Амортизация - процесс постепенного переноса
стоимости основных средств на производимую продукцию (работы, услуги).
Существует несколько точек зрения на
экономический смысл амортизации. Некоторые специалисты считают, что при помощи
механизма амортизации создаются потоки денежных средств, который в дальнейшем
будут направлены на воспроизводство основных фондов, другие - рассматривают
амортизацию как способ распределения крупномасштабных расходов по периодам,
согласно принципу начисления.
Сумма амортизации определяется
ежемесячно, отдельно по каждому объекту амортизируемого имущества
<#"603695.files/image023.gif">,
где n - срок
полезного использования, выраженный в месяцах.
К =
= 0.6%;
2. на персональный компьютер и
кассовый терминал:
К =
= 2.1%;
. на стойку-ресепшен и мини-кухню:
К =
= 1.4%;
4. на транспортное средство:
К =
= 1.2%;
коэффициент ускорения равен 2
(1.1-3), поэтому
К = 1.2%
2 = 2.4%.
Таблица 6 - Начисление амортизации
способом ускоренной амортизации
|
Показатель
|
Дата
|
Балансовая
стоимость, руб.
|
Норма
амортизации, %
|
Сумма
амортизации, руб.
|
Накопленная
амортизация, руб.
|
Остаточная
стоимость, руб.
|
|
Эвакуатор
|
01.03.2010
|
550
000
|
2.4
|
13
200
|
13
200
|
536
800
|
|
01.04.2010
|
536
800
|
2.4
|
12
883.2
|
26
083.2
|
523
916.8
|
Примечание: Норма амортизации взята из
вышеизложенных вычислений.
Организационные расходы - расходы, связанные с
образованием юридического лица, признанные в соответствии с учредительными
документами частью вклада участников (учредителей) в уставный (складочный)
капитал организации.
Нематериальные активы - ценности, имеющие
стоимостное выражение и не являющиеся физическими объектами, но включаемые в
активы предприятия и обычно требующие постепенной амортизации в течение срока
их использования (арендные права, лицензии, патенты, товарные знаки, ноу-хау и
другие объекты интеллектуальной и промышленной собственности).
К нематериальным активам относят активы, которые
удовлетворяют следующим условиям:
1. отсутствие материально-вещественной
структуры;
2. возможность идентификации от другого
имущества;
. использование в производстве продукции,
при выполнении работ или оказании услуг либо для управленческих нужд
организации;
. использование в течение длительного
времени, т.е. срока полезного использования, продолжительностью свыше 12
месяцев или обычного операционного цикла, если он превышает 12 месяцев;
. организация не предполагает последующую
перепродажу данного имущества;
. способность приносить организации
экономические выгоды (доход) в будущем;
. наличие надлежаще оформленных
документов, подтверждающих существование самого актива и исключительного права
у организации на результаты интеллектуальной деятельности (патенты,
свидетельства, другие охранные документы, договор уступки (приобретения)
патента, товарного знака и т.п.).
К нематериальным активам могут быть отнесены
следующие объекты:
· объекты интеллектуальной собственности
<#"603695.files/image028.gif"> +
,
где К - разница между инвестициями
капитала (Уставный капитал + заёмные средства) и общими затратами, П - прибыль,
Е - ставка рефинансирования.
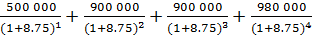
Чтобы рассчитать чистый
дисконтированный доход нужно определить его составляющие:
К = (4 577 465+1 250 000) - 5 798
394.56 = 29 070.44 рублей.
Денежные потоки по годам составили,
данные отражены в Таблице 8.
Таблица 8 - Денежные потоки по годам
|
1
год, руб.
|
2
год, руб.
|
3
год, руб.
|
4
год, руб.
|
|
500
000
|
900
000
|
900
000
|
980
000
|
ЧДД = - 29 070.44 +
=
= - 29 070.44+51 282+9 468+971+108 = 32 758.56 рублей.
ЧДД определился в размере 32 758.56 рублей, в
этом случае, когда ЧДД>0, проект следует принять. В целях реализации
проекта, а также, чтобы определить средние издержки производства и установить
себестоимость продукции составляется калькуляция.
Калькуляция
<#"603695.files/image017.gif"> 15%) + 440
988 = 507 136 рублей.
Ни одна организация не обходиться
без включения в стоимость товара суммы НДС. Налог на добавленную стоимость
(НДС)- налог, которым облагается вклад предприятия (фирмы) в рыночную ценность
производимого ею товара или услуги. Вследствие такого способа обложения суммарный
налог на каждое потребляемое благо или услугу собирается на всех стадиях
производства. В этом смысле НДС является не столько особым видом налога,
сколько способом сбора налоговых платежей.
НДС:
(507 136
18%) + 507 136
= 598 421 рублей.
Из вышеприведённых расчётов следует,
что стоимость товара равна 598 421 рублей.
Каждая организация, в том числе и
ООО «АвтоКнязь», для эффективной работы составляет подробный план распределения
финансовых ресурсов, выраженный в денежной форме, называемый финансовой сметой.
С финансовой сметой сравниваются фактические результаты деятельности
предприятия. Финансовая смета составляется на определённый период времени. В
пределах планового периода производится регулярный пересмотр и корректировка
плана из-за возможных непредвиденных событий. Процесс сметного планирования
соответствует структуре предприятия. Существует два противоположных подхода к
составлению сметы:
· снизу вверх;
· сверху вниз.
На ООО «АвтоКнязь» смета составляется снизу вверх.
При составлении сметы снизу вверх руководство
среднего звена предприятия определяет сметы для своих индивидуальных
участников. В дальнейшем эти сметы сводятся в общую финансовую смету.
При составлении сметы сверху вниз определяется
общая финансовая смета и на основании её разрабатываются финансовые сметы для
каждого подразделения предприятия. Но наилучший результат достигается при
использовании обоих подходов.
Программно целевое управление - составление
такой общей финансовой сметы, которая разбивается на подробные планы действий
для каждого подразделения предприятия. Первый шаг на пути составления сметы -
это точный прогноз объёма продаж. На основании объёма продаж составляются
подробные сметы продаж и закупок.
Для расчёта кассовой консолидированной сметы,
как описывалось выше,
необходимо определить объём продаж (Таблица 9) и объём закупок (Таблица 10).
Так как деятельность организации началась с февраля месяца, то все расчёты
будут с февраля. Февраль и март образуют I
квартал, апрель, май, июнь - II
квартал.
Таблица 9 - Предполагаемый объём продаж
|
февраль
|
март
|
апрель
|
май
|
июнь
|
|
Объём
продаж, шт.
|
0
|
1
|
2
|
2
|
3
|
Таблица 10 - Предполагаемый объём закупок
|
февраль
|
март
|
апрель
|
май
|
июнь
|
|
Объём
закупок, шт.
|
1
|
2
|
2
|
2
|
3
|
Всё это объединяется в общую финансовую смету,
которая состоит из кассовой консолидированной сметы (Таблица 11), сметного
отчёта о прибылях и убытках и сметного баланса.
Таблица 11- Кассовая консолидированная смета
|
Показатели
|
февраль
|
март
|
апрель
|
май
|
июнь
|
|
Баланс
на начало периода, руб.
|
0
|
(47
846)
|
(1
166 765)
|
(1
137 264)
|
(1
107 763)
|
|
Инвестиции
капитала, руб.
|
5
827 465
|
-
|
-
|
-
|
-
|
|
Выручка
от продаж, руб.
|
0
|
598
421
|
1
196 842
|
1
196 842
|
1
795 263
|
|
Оплата
кредиторской задолженности, руб.
|
0
|
881
976
|
881
976
|
881
976
|
881
976
|
|
Заработная
плата, руб.
|
33
403
|
233817.5
|
233817.5
|
233817.5
|
233817.5
|
|
Реклама,
руб.
|
|
550
000
|
|
|
|
|
Лизинг,
руб.
|
4
795
|
12
828
|
12
828
|
12
828
|
12
828
|
|
Оборудование,
руб.
|
4
033 399
|
-
|
-
|
-
|
-
|
|
Кредит,
руб.
|
387
19
|
387
188
|
387
188
|
387
188
|
387
188
|
|
Оборотные
фонды
|
1
427 954
|
-
|
-
|
-
|
-
|
|
Нематериальные
активы
|
337
041
|
-
|
-
|
-
|
-
|
|
Баланс
на конец периода, руб.
|
(47
846)
|
(1
166 765)
|
(1
137 264)
|
(1
107 763)
|
(920
829)
|
Примечание: Данные взяты из Таблиц:
Предполагаемый объём продаж, Предполагаемый объём закупок, Оборотные фонды,
Нематериальные активы, штатное расписание, Погашение кредита, Основные
производственные фонды.
Кассовая консолидированная смета отражает всю
будущую деятельность предприятия в виде входящих и исходящих потоков денежной
наличности. Техника составления кассовой консолидированной сметы аналогична
техники составления отчёта о движении денежных средств. Только при составлении
отчёта о движении денежных средств используются фактические данные прошлых
периодов, а при составлении кассовой консолидированной сметы исходят из
прогноза деятельности предприятия в будущем.
С помощью смет продаж, закупок и данных прошлых
лет планируются текущие расходы и кредиторская задолженность.
Прежде, чем составить сметный отчёт
о прибылях и убытках и сметный баланс необходимо составить смету текущих
расходов, чтобы запланировать управление запасами и кредиторской задолженностью
(Таблица 12). Суммарная смета запасов представляет собой общую сумму расходов с
распределением
<#"603695.files/image017.gif">2.2%
= 86 499 рублей.
Таким образом, налог на имущество составляет 86
499 рублей в месяц.
Также ООО «АвтоКнязь» уплачивает налог в фонд
социального страхования.
Отчисления на социальное страхование - платежи
предприятий в бюджет социального страхования для выплаты пособий по временной
нетрудоспособности и другое. Размер платежей определяется законодательными
актами. Начисленные суммы отчислений на социальное страхование ежемесячно
включаются в затраты производства. Данные отчисления, как и НДФЛ, производятся
на каждого сотрудника фирмы.
Фонд социального страхования
Российской Федерации (ФСС РФ) - один из государственных внебюджетных фондов
<#"603695.files/image017.gif">С)
1.5%,
где К - площадь занимаемого земельного участка,
С - кадастровая стоимость 1 кв.м.
На землю под торговым помещением:
З.н. = (
)
1.5%
= 6 900 рублей за год.
З.н. = 6 900/12 = 575 рублей за месяц.
Значит за I
квартал: 1 150 рублей, а за II
квартал: 1 725 рублей.
На землю под парковку:
З.н. = (
)
1.5%
= 14 175 рублей за год.
З.н. = 14 175/12 = 1 181 рублей за месяц.
Значит за I
квартал: 2 363 рублей, а за II
квартал: 3 544 рублей.
Также в собственности организации имеется
эвакуатор, с которого взымается транспортный налог.
Транспортный налог должны уплатить лица (как
физические, так и юридические), на которых в соответствии с законодательством
Российской Федерации зарегистрировано транспортное средство (ст. 357 НК РФ).
Налоговый периодом является календарный год.
Юридические лица (предприятия и организации)
рассчитывают транспортный налог самостоятельно и уплачивают его не позднее 1
февраля года, следующего за истекшим налоговым периодом.
Транспортный налог рассчитывается по формуле:
Т.н. = С
М,
где С - стоимость 1 лошадиной силы, М - мощность
двигателя транспортного средства.
Т.н. = 8
135
= 1 080 рублей за год.
Т.н. = 1 080/12 = 90 рублей за месяц.
Значит за I
квартал: 180 рублей, а за II
квартал: 270 рублей.
По результатам расчётов можно сделать вывод, что
общая сумма налогов составила 68 957 рублей за месяц. Такая сумма налогов
обременительна для предприятия только начинающее свою деятельность. Это поведёт
к убыткам. Для уменьшения общей суммы налогов необходимо провести следующие
мероприятия:
· сократить штат;
· уменьшить площадь земли под
парковку.
За счёт проведения таких мероприятий можно
добиться уменьшения суммы налогов.
2.3 Проблемы и
перспективы развития деятельности организации
Автомобили - это всегда привлекательные вещи,
особенно иномарки, наверное, каждому человеку когда-нибудь да хотелось иметь
машину.
Но перед тем как решить заняться предпринимательской деятельностью, нужно было
убедиться в этом. Поэтому был проведён опрос населения Омска по вопросу: «Зачем
вам нужен автомобиль?». Ответы были следующие:
…выезды в другие города или на пикник; в магазин
по выходным, чтобы купить всего на месяц и больше не тратить время на поездку;
если нужно куда-то попасть очень поздно или очень рано…
2…возить бабушку и дедушку на дачу или вообще в
какие-либо места, забирать родителей из театра…
… возможность поездить по ночному городу по
интересному маршруту…
…чтобы ездить в деревню, привозить овощи, фрукты
в город…
…чтобы ездить на работу и с работы, а также на
обед, ведь в Омске нет метро и он не такой большой, как Москва…
…для развлечений…
Число опрошенных составило 100 человек.
Статистика ответов представлена в Таблице 25.
Таблица 25 - Статистика опрошенных людей
|
Варианты
ответов
|
Процент,
%
|
|
1
|
39
|
|
2
|
20
|
|
3
|
4
|
|
4
|
17
|
|
5
|
11
|
|
6
|
9
|
|
Итого:
|
100
|
Также был проведён опрос на тему: «Нужен ли вам
автомобиль?». Число опрошенных 100 человек. Ответы представлены в Таблице 26.
Таблица 26 - Опрос «Нужен ли вам автомобиль?»
|
Варианты
ответа
|
Процент,
%
|
|
Да
|
63
|
|
Нет
|
9
|
|
Не
особенно, можно и без неё обойтись
|
28
|
|
Итого:
|
100
|
Из этого следует вывод, что автомобиль - это не
роскошь, а средство передвижения. Он нужен всем людям также как и дача, т.е.
автомобиль помогает в жизни, в какой-то степени облегчает её, делает привычные
вещи в более удобными и менее затратными, хотя и без него можно обойтись.
Аналогично и с дачей, на которой можно вырастить натуральные овощи, фрукты и
зелень более полезные, чем продукты из магазина, но потребность в неё не так
велика, как и в автомобиле.
Деятельность в этой сфере интересна и
вдохновляет на работу.
Люди нуждаются в машинах. Рынок автомобилей в Омске не перенасыщен,
следовательно, относительно Омска, конкуренция не большая. Поэтому
было принято решение создать именно автосалон.
Сейчас автосалоны активно привлекают клиентов
новыми, все более выгодными схемами покупки автомобилей. ООО «АвтоКнязь»
предлагает исключительную услугу, которую не имеют другие автосалоны: при
покупке автомобиля - предоставление личного водителя на неделю в подарок.
Предприятие в процессе деятельности постоянно
сталкивается с различными проблемами. Основные причины возможных неудач
отражены в Таблице 27.
Таблица 27 - Причины возможных неудач
|
№
п/п
|
Виды
риска
|
Процент,
%
|
Отклонение
при возникновении риска, %
|
|
1
|
Не
востребованность данной марки автомобилей
|
25
|
-
1.2
|
|
2
|
Конкуренция
может оказаться больше, чем ожидалось
|
12
|
-
0.9
|
|
3
|
Несвоевременная
доставка
|
11
|
-
0.6
|
|
4
|
Недостаток
знаний и опыта
|
6
|
-
0.7
|
|
5
|
Сложность
подбора профессионального персонала
|
8
|
-
0.5
|
|
6
|
Невозможность
выплатить кредит и лизинг
|
15
|
-
1.1
|
|
7
|
Несвоевременный
сбыт товара
|
13
|
-
0.8
|
|
8
|
Непредвиденные
расходы
|
10
|
-
0.3
|
|
Итого:
|
100
|
|
Чтобы фирма не разорилась, необходимо
предпринять конкретные мероприятия для их устранения. Такие мероприятия
представлены в Таблице 28.
Таблица 28 - Мероприятия для устранения рисков
|
№
п/п
|
Виды
риска
|
Мероприятия
для устранения рисков
|
|
1.
|
Не
востребованность данной марки автомобилей
|
1.
Интенсивная рекламная компания по продвижению товара на рынок. 2.
Постепенно перейти на продажу другой марки автомобилей. 3.
Продавать по низкой цене.
|
|
2.
|
Конкуренция
может оказаться больше, чем ожидалось
|
1.
Сначала подробно изучить конкурентов и адаптироваться к ним. 2.
Копирование продукции, атрибутов, бренда 3. Блокирование каналов сбыта.
|
|
3.
|
Несвоевременная
доставка товаров
|
1.
Поменять поставщика. 2.
Специализироваться на другом виде товара. 3. Увеличить штраф за
несвоевременную доставку.
|
|
4
|
Недостаток
знаний и опыта
|
1.
Постоянно совершенствовать свои знания. 2. Учиться на чужих ошибках. 3. Пройти
дополнительные курсы.
|
|
5.
|
Сложность
подбора профессионального персонала
|
1.
Обучать персонал самим.
2.
Перенимать персонал. 3.
Делать ставку на тех, кто может адаптироваться к непрерывным изменениям.
|
|
6.
|
Невозможность
выплатить кредит и лизинг
|
1.
Сокращать персонал. 2.
Минимизировать затраты.
3.
Взять ещё один кредит.
|
|
7.
|
Несвоевременный
сбыт товара
|
|
8.
|
Непредвиденные
расходы
|
1.
Иметь резервный фонд. 2.
Взять заёмные средства.
3.
Страхование.
|
Если наступит какой-либо из вышеизложенных
рисков, то уровень выручки уменьшится.
В апреле произошла сложность подбора
профессионального персонала. Определить, насколько уменьшится выручка от
данного вида риска, можно по следующей формуле:
УВ = (Н
П)
- О,
где Н - себестоимость с торговой наценкой и НДС,
П - объём продаж в месяц, О - отклонение при возникновении риска.
УВ =
2)
- 0.5% = 1 196 842 - 5 984 = 1 190 858 рублей.
Значит, выручка уменьшится до 1 190 858 рублей.
Остальные расчёты влияние рисков на выручку за
апрель показаны в Таблице 29.
Таблица 29 - Влияние рисков на выручку
|
Виды
риска
|
План,
руб.
|
Факт,
руб.
|
Отклонение,
руб.
|
|
Не
востребованность данной марки автомобилей
|
1
196 842
|
1
182480
|
14
362
|
|
Конкуренция
может оказаться больше, чем ожидалось
|
1
196 842
|
1
186 070
|
10
772
|
|
Несвоевременная
доставка
|
1
196 842
|
1
189 661
|
7
181
|
|
Недостаток
знаний и опыта
|
1
196 842
|
1
188 464
|
8
378
|
|
Сложность
подбора профессионального персонала
|
1
196 842
|
1
190 858
|
5
984
|
|
Невозможность
выплатить кредит и лизинг
|
1
196 842
|
1
183 677
|
13
165
|
|
Несвоевременный
сбыт товара
|
1
196 842
|
1
187 267
|
9
575
|
|
Непредвиденные
расходы
|
1
196 842
|
1
193 252
|
3
591
|
Из последней таблицы видно, что при влиянии
какого-либо из рисков выручка уменьшается на 3 591 - 14 362 рублей.
Вывод: Выручка - это самое главное к чему
стремится любая фирма. И любой риск, влияющий на организацию, влияет и на
выручку в сторону её уменьшения. Поэтому необходимо проводить конкретные
мероприятия для сохранения полученной прибыли.
Заключение
В ходе работы были рассмотрены актуальные
вопросы методологии и методики учёта и анализа финансово-хозяйственных результатов,
особенности отражения в бухгалтерской (финансовой) отчётности информации о
формировании финансовых результатов. Особое внимание уделено
экономико-финансовой деятельности организации, а именно расчёту чистого
дисконтированного дохода, калькуляции, кассовой консолидированной сметы,
суммарной сметы запасов, суммарной сметы кредиторской задолженности, сметного
отчёта о прибылях и убытках, сметного баланса, налогов.
Так же представлена характеристика предприятия:
история его создания, рассчитаны основные экономические показатели и
представлен анализ предприятия.
При достижении цели и решения задач по теме
дипломного проекта были выявлены достоинства предприятия и недостатки ООО
«АвтоКнязь».
Достоинства:
· ООО «АвтоКнязь» осуществляет свою
деятельность согласно Уставу;
· уплачивает налоги согласно
налоговому кодексу РФ.
Недостатки:
· предприятие имеет неустойчивое
финансовое состояние, связанное с нарушением платёжеспособности;
· завышенные операционные финансовые
потребности;
· недостаточная конкурентоспособность.
В ходе работы было выявлено, что в течение
первых пяти месяцев ООО «АвтоКнязь» не может оплачивать налоги, кредиты и
лизинг, а также другие мелкие расходы, так как понесёт одни убытки. Но, судя по
расчёту кассовой консолидированной сметы, можно сказать, что через 9 месяцев
организацию ожидает получение прибыли от своей деятельности, так как в течение
пяти месяцев убыток уменьшается.
Подводя общие итоги, можно отметить, что в целом
финансовое состояние предприятия неустойчиво и финансовый риск стать банкротом
для него реален. Существует необходимость совершенствования финансового
управления, ужесточения системы контроля и анализа использования финансовых
ресурсов предприятия.
В целях повышения эффективности использования
финансовых ресурсов и инструментов в ООО «АвтоКнязь» необходимо:
· формирование видов и размера
финансовых ресурсов и инструментов в соответствии с изменениями хозяйственной
деятельности предприятия;
· обеспечение экономически
обоснованной структуры источников финансирования;
· мониторинг сезонных отклонений в
хозяйственной деятельности предприятия при формировании объёма закупок.
Выполнение предложенных в работе мероприятий
позволит значительно повысить эффективность использования финансовых ресурсов
предприятия и улучшить, в конечном счёте, его финансовое состояние.
Список использованной
литературы
1.
Налоговый кодекс РФ.
.
Федеральный закон от 11.11.2003 № 139-ФЗ «Налог на имущество организаций».
3.
Федеральный закон от 16.07.1999 N 165-ФЗ (ред. от 05.03.2004)
<#"603695.files/image034.gif">2
|
2.
|
Калькулятор
|
150
|
150
|
|
|
3.
|
Бензин
|
570
|
6
840
|
19 30
|
|
4.
|
Кресло
Germes EXTRA
|
28
800
|
28
800
|
9
600 3
|
|
5.
|
Кресло
оператора
|
9
114
|
9
114
|
3
038 3
|
|
6.
|
Стол
|
25
236
|
25
236
|
8
412 3
|
|
7.
|
Стол
2
|
4
000
|
4
000
|
|
|
8.
|
Приставка
к столу
|
6
690
|
6
690
|
|
|
9.
|
Телефон
|
530
|
530
|
|
|
10.
|
Цветок
|
16
000
|
16
000
|
8
000 2
|
|
11.
|
Жалюзи
|
1
200
|
1
200
|
|
|
12.
|
Кресла
для посетителей
|
15
000
|
15
000
|
5
000 3
|
|
13.
|
Лампы
настольные
|
60
000
|
60
000
|
1
500 4
|
|
14.
|
Лампы
точечные
|
17
850
|
17
850
|
714 25
|
|
15.
|
Лампы
маленькие
|
40
|
480
|
10 4
|
|
16.
|
Зеркало
|
4
500
|
4
500
|
750 6
|
|
17.
|
Раковина
|
3
500
|
3
500
|
|
|
18.
|
Унитаз
|
5
000
|
5
000
|
|
|
19.
|
Швабра
|
500
|
2
000
|
|
|
20.
|
Моющие
средства
|
200
|
2
400
|
|
|
21.
|
Фирменные
платочки и галстуки
|
6
400
|
12
800
|
200 32
|
|
22.
|
Огнетушитель
|
1
593
|
1
593
|
3
|
|
23.
|
Обои
|
3
000
|
3
000
|
1000 3
|
|
24.
|
Форма
для охранника
|
3
600
|
7
200
|
1
200 3
|
|
25.
|
Форма
для уборщицы
|
2
400
|
4
800
|
1
200 2
|
|
26.
|
Веник
и савок
|
1
000
|
3
000
|
500+500
|
|
27.
|
Лопата
|
1500
|
1
500
|
|
|
27.
|
Метла
|
1500
|
1
500
|
|
|
28.
|
Канцелярия
|
300
|
3
600
|
|
|
29.
|
Ведро
на колёсиках с отжимом
|
1
000
|
2
000
|
|
|
30.
|
Краска
|
3
900
|
3
900
|
1
300 3
|
|
31.
|
Услуги
мастеров
|
19
000
|
19
000
|
|
|
32.
|
Принтер/сканер/копир
|
4
780
|
4
780
|
|
|
33.
|
Плитка
напольная «Рим»
|
225
600
|
225
600
|
|
|
34.
|
Паркетная
доска "TARKETT"
|
49
500
|
49
500
|
|
|
Вывеска
с названием
|
19
800
|
19
800
|
|
|
Мыло
туалетное
|
50
|
600
|
|
|
Бумага
туалетная
|
30
|
360
|
10 3
|
|
Сушка
для рук
|
2
000
|
2
000
|
|
|
Бумага
писчая
|
145
|
870
|
|
|
Итого:
|
1
427 954.22
|
11
160 407.64
|
|
Примечание: Все данные рассчитаны исходя из
стоимости товаров на 2010 год.
Приложение 7
Калькуляция
|
№
п/п
|
Наименование
показателя
|
Единица
измерения
|
Кол-во
шт.
|
Стои
мость за шт., руб.
|
Стоимость
за единицу, руб.
|
Примечание
|
|
1.
|
Электроэнергия
|
кВт
|
1
012
|
2.287
|
2
314.44
|
2.287 1
012
|
|
2.
|
Холодное
водоснабжение
|
руб./м3
|
26.6
|
11.28
|
300.05
|
11.28 26.6
|
|
Холодное
водоотведение
|
руб./м3
|
26.6
|
9.93
|
264.14
|
9.93 26.6
|
|
3.
|
Горячее
водоснабжение
|
руб./м3
|
17.1
|
11.28
|
192.89
|
11.28 17.1
|
|
Горячее
водоотведение
|
руб./м3
|
17.1
|
9.93
|
169.8
|
9.93 17.1
|
|
4.
|
Амортизация
|
руб.
|
|
|
55090.7
|
110
181.4/ (24/12)
|
|
5.
|
З/п
работников основного производства
|
руб.
|
|
|
78
872.5
|
157
745/ (24/12)
|
|
6.
|
Отчисления
на з/п
|
руб.
|
|
|
20
506.85
|
78
872.5 26%
|
|
7.
|
Накладные
расходы
|
руб.
|
|
|
103
501.35
|
((76072.5
26%)+76072.5+7 650)/(24/12)
|
|
8.
|
Стоимость
доставки авто по Японии с аукциона до порта отправки
|
руб.
|
|
|
99
225
|
|
|
9.
|
Стоимость
доставки авто по России
|
руб.
|
|
|
34
000
|
|
|
10
|
Таможенная
пошлина
|
руб.
|
|
|
16
550.39
|
|
|
11
|
Прочие
расходы
|
руб.
|
|
|
30
000
|
|
|
Итого:
|
440
988
|
|
Приложение 8
Сметный баланс
I квартал:
|
Показатели
|
Себестоимость,
руб.
|
Амортизация,
руб.
|
Остаточная
стоимость, руб.
|
|
Внеоборотные
активы:
|
|
|
|
|
Здание
|
3
250 000
|
39
000
|
3
211 000
|
|
Оборудование
|
783
399
|
17
616
|
765
783
|
|
Итого:
|
|
|
3
976 783
|
|
Оборотные
активы:
|
|
|
|
|
Запасы
|
|
|
881
976
|
|
Касса
и счёт в банке
|
|
|
598
421
|
|
Итого:
|
|
|
1
480 397
|
|
Краткосрочная
кредиторская задолженность
|
|
Чистые
оборотные активы
|
|
|
1
039 409
|
|
Суммарные
чисты активы
|
|
|
5
016 192
|
|
Долгосрочная
банковская ссуда
|
|
|
77
438
|
|
Собственный
капитал владельцев
|
|
|
5
827 465
|
|
Нераспределённая
прибыль
|
|
|
(888
711)
|
II квартал:
|
Показатели
|
Себестоимость,
руб.
|
Амортизация,
руб.
|
Остаточная
стоимость, руб.
|
|
Внеоборотные
активы:
|
|
|
|
|
Здание
|
3
250 000
|
19
500
|
3
230 500
|
|
Оборудование
|
783
399
|
17
300
|
766
099
|
|
Итого:
|
|
|
3
996 599
|
|
Оборотные
активы:
|
|
|
|
|
Запасы
|
|
|
1
322 964
|
|
Касса
и счёт в банке
|
|
|
4
188 947
|
|
Итого:
|
|
|
5
511 911
|
|
Краткосрочная
кредиторская задолженность
|
|
|
440
988
|
|
Чистые
оборотные активы
|
|
|
5
070 923
|
|
Суммарные
чисты активы
|
|
|
9
067 522
|
|
Долгосрочная
банковская ссуда
|
|
|
116
156
|
|
Собственный
капитал владельцев
|
|
|
5
827 465
|
|
Нераспределённая
прибыль
|
|
|
3
123 901
|
Приложение 9
Справка 2НДФЛ менеджера Мюнцх Б.Б.
Менеджер Мюнцх Б.Б., 1980г рождения, имеет троих
детей до 18 лет.
Таблица - Расчёт НДФЛ менеджера Мюнцх Б.Б.
|
Месяц
|
Сумма
оплаты труда с нарастающим итогом, руб.
|
Вычет
на себя, руб.
|
Вычет
на ребёнка, руб.
|
Налоговая
база, руб.
|
Ставка
налога, %
|
Сумма
оплаты труда с нарастающим итогом, руб.
|
Сумма
налога за месяц, руб.
|
|
Февраль
|
14
950
|
400
|
3
000
|
11
550
|
13
|
1
502
|
1
502
|
|
Март
|
29
900
|
800
|
6
000
|
23
100
|
13
|
1
501
|
3
094
|
|
Апрель
|
44
850
|
800
|
9
000
|
35
050
|
13
|
4
557
|
1
554
|
|
Итого:
|
9
062
|
4
557
|
Справка 2НДФЛ менеджера Берчер К.М.
Менеджер Берчер К.М.,1979г рождения, имеет двоих
детей до 18 лет.
Таблица - Расчёт НДФЛ менеджера Берчер К.М.
|
Месяц
|
Сумма
оплаты труда с нарастающим итогом, руб.
|
Вычет
на себя, руб.
|
Вычет
на ребёнка, руб.
|
Налоговая
база, руб.
|
Ставка
налога, %
|
Сумма
оплаты труда с нарастающим итогом, руб.
|
Сумма
налога за месяц, руб.
|
|
Февраль
|
14
950
|
400
|
1
000
|
13
950
|
13
|
1
814
|
1
814
|
|
Март
|
29
900
|
800
|
2
000
|
27
900
|
13
|
3
627
|
1
814
|
|
Апрель
|
44
850
|
800
|
3
000
|
41
850
|
13
|
5
441
|
1
814
|
|
Итого:
|
10
882
|
5
442
|
Справка 2НДФЛ менеджера Зенгер Б.С.
Менеджер Зенгер Б.С.,1990г рождения, не имеет
детей.
Таблица - Расчёт НДФЛ менеджера Зенгер Б.С.
|
Месяц
|
Сумма
оплаты труда с нарастающим итогом, руб.
|
Вычет
на себя, руб.
|
Вычет
на ребёнка, руб.
|
Налоговая
база, руб.
|
Ставка
налога, %
|
Сумма
оплаты труда с нарастающим итогом, руб.
|
Сумма
налога за месяц, руб.
|
|
Февраль
|
14
950
|
400
|
|
14
550
|
13
|
1
892
|
1
892
|
|
Март
|
29
900
|
800
|
|
29
100
|
13
|
3
783
|
1
891
|
|
Апрель
|
44
850
|
800
|
|
44
050
|
13
|
5
727
|
1
944
|
|
Итого:
|
11
402
|
5
727
|
Справка 2НДФЛ бухгалтера Милославская В.А.
Бухгалтер Милославская В.А.,1986г рождения, не
имеет детей.
Таблица - Расчёт НДФЛ бухгалтера Милославской
В.А.
|
Месяц
|
Сумма
оплаты труда с нарастающим итогом, руб.
|
Вычет
на себя, руб.
|
Вычет
на ребёнка, руб.
|
Налоговая
база, руб.
|
Ставка
налога, %
|
Сумма
оплаты труда с нарастающим итогом, руб.
|
Сумма
налога за месяц, руб.
|
|
Февраль
|
14
548
|
400
|
|
14
148
|
13
|
1
839
|
1
839
|
|
Март
|
29
095
|
800
|
|
28
295
|
13
|
3
678
|
1
839
|
|
Апрель
|
43
643
|
800
|
|
42
843
|
13
|
5
570
|
1
892
|
|
Итого:
|
11
087
|
5
570
|
Справка 2НДФЛ бухгалтера Шварц Я.А.
Бухгалтер Шварц Я.А.,1968г рождения, имеет
одного ребёнка в возрасте 21год, который учится в университете на очной форме
обучения.
Таблица - Расчёт НДФЛ бухгалтера Шварц Я.А.
|
Месяц
|
Сумма
оплаты труда с нарастающим итогом, руб.
|
Вычет
на себя, руб.
|
Вычет
на ребёнка, руб.
|
Налоговая
база, руб.
|
Ставка
налога, %
|
Сумма
оплаты труда с нарастающим итогом, руб.
|
Сумма
налога за месяц, руб.
|
|
Февраль
|
14
548
|
400
|
1
000
|
13
148
|
13
|
1
709
|
1
709
|
|
Март
|
29
095
|
800
|
2
000
|
26
295
|
13
|
3
418
|
1
709
|
|
Апрель
|
43
643
|
800
|
3
000
|
39
843
|
13
|
5
180
|
1
762
|
|
Итого:
|
10
307
|
5
180
|
Справка 2НДФЛ продавца-консультанта Ферджи К.Л.
Продавец-консультант Ферджи К.Л.,1984г рождения,
детей не имеет.
Таблица - Расчёт НДФЛ продавца-консультанта
Ферджи К.Л.
|
Месяц
|
Сумма
оплаты труда с нарастающим итогом, руб.
|
Вычет
на себя, руб.
|
Вычет
на ребёнка, руб.
|
Налоговая
база, руб.
|
Ставка
налога, %
|
Сумма
оплаты труда с нарастающим итогом, руб.
|
Сумма
налога за месяц, руб.
|
|
Февраль
|
6
900
|
400
|
|
6
500
|
13
|
845
|
845
|
|
Март
|
13
800
|
800
|
|
13
000
|
13
|
1
690
|
845
|
|
Апрель
|
20
700
|
1200
|
|
19
500
|
13
|
2
535
|
845
|
|
Итого:
|
5
070
|
2
535
|
Справка 2НДФЛ продавца-консультанта Кряк Н.Я.
Продавец-консультант Кряк Н.Я.,1984г рождения,
имеет одного ребёнка до 18 лет.
Таблица - Расчёт НДФЛ продавца-консультанта Кряк
Н.Я.
|
Месяц
|
Сумма
оплаты труда с нарастающим итогом, руб.
|
Вычет
на себя, руб.
|
Вычет
на ребёнка, руб.
|
Налоговая
база, руб.
|
Ставка
налога, %
|
Сумма
оплаты труда с нарастающим итогом, руб.
|
Сумма
налога за месяц, руб.
|
|
Февраль
|
6
900
|
400
|
1
000
|
5
500
|
13
|
715
|
715
|
|
Март
|
13
800
|
800
|
2
000
|
11
000
|
13
|
1
430
|
715
|
|
Апрель
|
20
700
|
1200
|
3
000
|
16
500
|
13
|
2
145
|
715
|
|
Итого:
|
4
290
|
2
145
|
Справка 2НДФЛ продавца-консультанта Баронессы
Ф.Э.
Продавец-консультант Баронесса Ф.Э.,1967г
рождения, имеет двоих детей до 18 лет одного 23-летнего, учащегося на очной
форме обучения.
Таблица - Расчёт НДФЛ продавца-консультанта
Баронессы Ф.Э.
|
Месяц
|
Сумма
оплаты труда с нарастающим итогом, руб.
|
Вычет
на себя, руб.
|
Вычет
на ребёнка, руб.
|
Налоговая
база, руб.
|
Ставка
налога, %
|
Сумма
оплаты труда с нарастающим итогом, руб.
|
Сумма
налога за месяц, руб.
|
|
Февраль
|
6
900
|
400
|
3
000
|
3
500
|
13
|
455
|
715
|
|
Март
|
13
800
|
800
|
6
000
|
7
000
|
13
|
1
430
|
715
|
|
Апрель
|
20
700
|
1200
|
9
000
|
10
500
|
13
|
2
145
|
715
|
|
Итого:
|
4
290
|
2
145
|
Справка 2НДФЛ продавца-консультанта Вильсон
Дж.Д.
Продавец-консультант Вильсон Дж.Д.,1985г рождения,
детей не имеет.
Таблица - Расчёт НДФЛ продавца-консультанта
Вильсон Дж.Д.
|
Месяц
|
Сумма
оплаты труда с нарастающим итогом, руб.
|
Вычет
на себя, руб.
|
Вычет
на ребёнка, руб.
|
Налоговая
база, руб.
|
Ставка
налога, %
|
Сумма
налога за месяц, руб.
|
|
Февраль
|
6
900
|
400
|
|
6
500
|
13
|
845
|
845
|
|
Март
|
13
800
|
800
|
|
13
000
|
13
|
1
690
|
845
|
|
Апрель
|
20
700
|
1200
|
|
19
500
|
13
|
2
535
|
845
|
|
Итого:
|
5
070
|
2
535
|
Справка 2НДФЛ продавца-консультанта Оролд Д.П.
Продавец-консультант Оролд Д.П.,1989г рождения,
детей не имеет.
Таблица - Расчёт НДФЛ продавца-консультанта
Оролд Д.П.
|
Месяц
|
Сумма
оплаты труда с нарастающим итогом, руб.
|
Вычет
на себя, руб.
|
Вычет
на ребёнка, руб.
|
Налоговая
база, руб.
|
Ставка
налога, %
|
Сумма
оплаты труда с нарастающим итогом, руб.
|
Сумма
налога за месяц, руб.
|
|
Февраль
|
6
900
|
400
|
|
6
500
|
13
|
845
|
845
|
|
Март
|
13
800
|
800
|
|
13
000
|
13
|
1
690
|
845
|
|
Апрель
|
20
700
|
1200
|
|
19
500
|
13
|
2
535
|
845
|
|
Итого:
|
5
070
|
2
535
|
Справка 2НДФЛ продавца-консультанта Лихбергштейн
Я.Я.
Продавец-консультант Лихбергштейн Я.Я.,1989г
рождения, детей не имеет.
Таблица - Расчёт НДФЛ продавца-консультанта
Лихбергштейн Я.Я.
|
Месяц
|
Сумма
оплаты труда с нарастающим итогом, руб.
|
Вычет
на себя, руб.
|
Вычет
на ребёнка, руб.
|
Налоговая
база, руб.
|
Ставка
налога, %
|
Сумма
оплаты труда с нарастающим итогом, руб.
|
Сумма
налога за месяц, руб.
|
|
Февраль
|
6
900
|
400
|
|
6
500
|
13
|
845
|
845
|
|
Март
|
13
800
|
800
|
|
13
000
|
13
|
1
690
|
845
|
|
Апрель
|
20
700
|
1200
|
|
19
500
|
13
|
2
535
|
845
|
|
Итого:
|
5
070
|
2
535
|
Справка 2НДФЛ уборщицы Беркер Л.К.
Уборщица Беркер Л.К.,1989г рождения, детей нет.
Таблица - Расчёт НДФЛ уборщицы Беркер Л.К.
|
Месяц
|
Сумма
оплаты труда с нарастающим итогом, руб.
|
Вычет
на себя, руб.
|
Вычет
на ребёнка, руб.
|
Налоговая
база, руб.
|
Ставка
налога, %
|
Сумма
оплаты труда с нарастающим итогом, руб.
|
Сумма
налога за месяц, руб.
|
|
Февраль
|
7
400
|
400
|
|
7
000
|
13
|
910
|
910
|
|
Март
|
14
800
|
800
|
|
14
000
|
13
|
1
820
|
910
|
|
Апрель
|
22
200
|
1200
|
|
21
000
|
13
|
2
730
|
910
|
|
Итого:
|
5
460
|
2
730
|
Справка 2НДФЛ уборщицы Робертс Л.К.
Уборщица Робертс Л.К.,1975г рождения, имеет
троих детей до 18 лет.
Таблица - Расчёт НДФЛ уборщицы Робертс Л.К.
|
Месяц
|
Сумма
оплаты труда с нарастающим итогом, руб.
|
Вычет
на себя, руб.
|
Вычет
на ребёнка, руб.
|
Налоговая
база, руб.
|
Ставка
налога, %
|
Сумма
оплаты труда с нарастающим итогом, руб.
|
Сумма
налога за месяц, руб.
|
|
Февраль
|
7
400
|
400
|
3
000
|
4
000
|
13
|
520
|
520
|
|
Март
|
14
800
|
800
|
6
000
|
8
000
|
13
|
1
040
|
520
|
|
Апрель
|
22
200
|
1200
|
9
000
|
20 100
|
13
|
2
613
|
1
573
|
|
Итого:
|
5
460
|
2
613
|
Справка 2НДФЛ охранника Николсан Е.Е.
Охранник Николсан Е.Е.,1967г рождения, не имеет
детей.
Таблица - Расчёт НДФЛ охранника Николсан Е.Е.
|
Месяц
|
Сумма
оплаты труда с нарастающим итогом, руб.
|
Вычет
на себя, руб.
|
Вычет
на ребёнка, руб.
|
Налоговая
база, руб.
|
Ставка
налога, %
|
Сумма
оплаты труда с нарастающим итогом, руб.
|
Сумма
налога за месяц, руб.
|
|
Февраль
|
7
200
|
400
|
|
6
800
|
13
|
884
|
884
|
|
Март
|
14
400
|
800
|
|
13
600
|
13
|
1
768
|
884
|
|
Апрель
|
21
600
|
1200
|
|
20
400
|
13
|
2
652
|
884
|
|
Итого:
|
5
460
|
2
652
|
Справка 2НДФЛ охранника Нельсон Ж.И.
Охранник Нельсон Ж.И.,1967г рождения, имеет
троих детей до 18 лет и троих, учащихся на очной форме обучения.
Таблица - Расчёт НДФЛ охранника Нельсон Ж.И.
|
Месяц
|
Сумма
оплаты труда с нарастающим итогом, руб.
|
Вычет
на себя, руб.
|
Вычет
на ребёнка, руб.
|
Налоговая
база, руб.
|
Ставка
налога, %
|
Сумма
оплаты труда с нарастающим итогом, руб.
|
Сумма
налога за месяц, руб.
|
|
Февраль
|
7
200
|
400
|
6
000
|
800
|
13
|
104
|
104
|
|
Март
|
14
400
|
800
|
12
000
|
1
600
|
13
|
208
|
104
|
|
Апрель
|
21
600
|
1200
|
18
000
|
2
400
|
13
|
312
|
104
|
|
Итого:
|
624
|
312
|
Справка 2НДФЛ охранника Бред П.Э.
Охранник Бред П.Э.,1967г рождения, не имеет
детей.
Таблица - Расчёт НДФЛ охранника Бред П.Э.
|
Месяц
|
Сумма
оплаты труда с нарастающим итогом, руб.
|
Вычет
на себя, руб.
|
Вычет
на ребёнка, руб.
|
Налоговая
база, руб.
|
Ставка
налога, %
|
Сумма
оплаты труда с нарастающим итогом, руб.
|
Сумма
налога за месяц, руб.
|
|
Февраль
|
7
200
|
400
|
|
6
800
|
13
|
884
|
884
|
|
Март
|
14
400
|
800
|
|
13
600
|
13
|
1
768
|
884
|
|
Апрель
|
21
600
|
1200
|
|
20
400
|
13
|
2
652
|
884
|
|
Итого:
|
5
460
|
2
652
|
Приложение 10
Таблица - Отчисления на социальное страхование
менеджеров
|
Сумма
за месяц, руб.
|
897
|
897
|
897
|
2
691
|
|
Сумма
с нарастающим итогом, руб.
|
897
|
1
794
|
2
691
|
|
|
Ставка
в пенсионный фонд, %
|
6
|
6
|
6
|
|
|
Сумма
за месяц, руб.
|
897
|
897
|
897
|
2
691
|
|
Сумма
с нарастающим итогом, руб.
|
897
|
1
794
|
2
691
|
|
|
Ставка
на страховую часть пенсии,%
|
6
|
6
|
6
|
|
|
Сумма
за месяц, руб.
|
1
196
|
1
196
|
1
196
|
3
588
|
|
Сумма
с нарастающим итогом, руб.
|
1
196
|
2
392
|
3
588
|
|
|
Ставка
на накопительную часть пенсии,%
|
8
|
8
|
8
|
|
|
Сумма
з/п с нарастающим итогом, руб.
|
14
950
|
29
900
|
44
850
|
|
|
Период
|
Фев.
|
Март
|
Апр.
|
Итог:
|
Таблица - Отчисления на социальное страхование
бухгалтеров
|
Сумма
за месяц, руб.
|
873
|
873
|
873
|
2
619
|
|
Сумма
с нарастающим итогом, руб.
|
873
|
1
746
|
2
619
|
|
|
Ставка
в пенсионный фонд, %
|
6
|
6
|
6
|
|
|
Сумма
за месяц, руб.
|
873
|
873
|
873
|
2
619
|
|
Сумма
с нарастающим итогом, руб.
|
873
|
1
746
|
2
619
|
|
|
Ставка
на страховую часть пенсии,%
|
6
|
6
|
|
|
Сумма
за месяц, руб.
|
1
164
|
1
164
|
1
164
|
3
492
|
|
Сумма
с нарастающим итогом, руб.
|
1
164
|
2
328
|
3
492
|
|
|
Ставка
на накопительную часть пенсии,%
|
8
|
8
|
8
|
|
|
Сумма
з/п с нарастающим итогом, руб.
|
14
548
|
29
096
|
43
644
|
|
|
Период
|
Фев.
|
Март
|
Апр.
|
Итог:
|
Таблица - Отчисления на социальное страхование
продавцов-консультантов
|
Сумма
за месяц, руб.
|
414
|
414
|
414
|
1
242
|
|
Сумма
с нарастающим итогом, руб.
|
414
|
828
|
1
242
|
|
|
Ставка
в пенсионный фонд, %
|
6
|
6
|
6
|
|
|
Сумма
за месяц, руб.
|
414
|
414
|
414
|
1
242
|
|
Сумма
с нарастающим итогом, руб.
|
414
|
828
|
1
242
|
|
|
Ставка
на страховую часть пенсии,%
|
6
|
6
|
6
|
|
|
Сумма
за месяц, руб.
|
552
|
552
|
552
|
1
656
|
|
Сумма
с нарастающим итогом, руб.
|
552
|
1
104
|
1
656
|
|
|
Ставка
на накопительную часть пенсии,%
|
8
|
8
|
8
|
|
|
Сумма
з/п с нарастающим итогом, руб.
|
6
900
|
13
800
|
20
700
|
|
|
Период
|
Фев.
|
Март
|
Апр.
|
Итог:
|
Таблица - Отчисления на социальное страхование
уборщиц
|
Сумма
за месяц, руб.
|
444
|
444
|
444
|
1
332
|
|
Сумма
с нарастающим итогом, руб.
|
444
|
888
|
1
332
|
|
|
Ставка
в пенсионный фонд, %
|
6
|
6
|
6
|
|
|
Сумма
за месяц, руб.
|
444
|
444
|
444
|
1
332
|
|
Сумма
с нарастающим итогом, руб.
|
444
|
888
|
1
332
|
|
|
Ставка
на страховую часть пенсии,%
|
6
|
6
|
6
|
|
|
Сумма
за месяц, руб.
|
592
|
592
|
592
|
1
776
|
|
Сумма
с нарастающим итогом, руб.
|
592
|
1
184
|
1
776
|
|
|
Ставка
на накопительную часть пенсии,%
|
8
|
8
|
8
|
|
|
Сумма
з/п с нарастающим итогом, руб.
|
7
400
|
14
800
|
22
200
|
|
|
Период
|
Фев.
|
Март
|
Апр.
|
Итог:
|
Таблица - Отчисления на социальное страхование
охранников
|
Сумма
за месяц, руб.
|
552
|
552
|
552
|
1
656
|
|
Сумма
с нарастающим итогом, руб.
|
552
|
1
104
|
1
656
|
|
|
Ставка
в пенсионный фонд, %
|
6
|
6
|
6
|
|
|
Сумма
за месяц, руб.
|
552
|
552
|
552
|
1
656
|
|
Сумма
с нарастающим итогом, руб.
|
552
|
1
104
|
1
656
|
|
|
Ставка
на страховую часть пенсии,%
|
6
|
6
|
6
|
|
|
Сумма
за месяц, руб.
|
736
|
736
|
736
|
2
208
|
|
Сумма
с нарастающим итогом, руб.
|
736
|
1
472
|
2
208
|
|
|
Ставка
на накопительную часть пенсии,%
|
8
|
8
|
8
|
|
|
Сумма
з/п с нарастающим итогом, руб.
|
9
200
|
18
400
|
27
600
|
|
|
Период
|
Фев.
|
Март
|
Апр.
|
Итог:
|
Приложение 11
Таблица - Расчёт суммы налогов в фонды,
менеджеров
|
Сумма
за месяц, руб.
|
299
|
299
|
299
|
897
|
|
Сумма
с нарастающим итогом, руб.
|
299
|
598
|
897
|
|
|
Ставка
в ТФСС, %
|
2
|
2
|
2
|
|
|
Сумма
за месяц, руб.
|
165
|
165
|
165
|
495
|
|
Сумма
с нарастающим итогом, руб.
|
165
|
329
|
493
|
|
|
Ставка
в ФФСС,%
|
1.1
|
1.1
|
1.1
|
|
|
Сумма
за месяц, руб.
|
434
|
434
|
434
|
1
302
|
|
Сумма
с нарастающим итогом, руб.
|
434
|
867
|
1
301
|
|
|
Ставка
в ФСС,%
|
2.9
|
2.9
|
2.9
|
|
|
Сумма
з/п с нарастающим итогом, руб.
|
14
950
|
29
900
|
44
850
|
|
|
Период
|
Фев.
|
Март
|
Апр.
|
Итог:
|
Таблица - Расчёт суммы налогов в фонды,
бухгалтеров
|
Сумма
за месяц, руб.
|
291
|
291
|
291
|
873
|
|
Сумма
с нарастающим итогом, руб.
|
291
|
582
|
873
|
|
|
Ставка
в ТФСС, %
|
2
|
2
|
2
|
|
|
Сумма
за месяц, руб.
|
160
|
160
|
160
|
480
|
|
Сумма
с нарастающим итогом, руб.
|
160
|
320
|
480
|
|
|
Ставка
в ФФСС,%
|
1.1
|
1.1
|
1.1
|
|
|
Сумма
за месяц, руб.
|
422
|
422
|
422
|
1
266
|
|
Сумма
с нарастающим итогом, руб.
|
422
|
844
|
1
266
|
|
|
Ставка
в ФСС,%
|
2.9
|
2.9
|
2.9
|
|
|
Сумма
з/п с нарастающим итогом, руб.
|
14
548
|
29
096
|
43
644
|
|
|
Период
|
Фев.
|
Март
|
Апр.
|
Итог:
|
Таблица - Расчёт суммы налогов в фонды,
продавцов-консультантов
|
Сумма
за месяц, руб.
|
138
|
138
|
138
|
414
|
|
Сумма
с нарастающим итогом, руб.
|
138
|
276
|
414
|
|
|
Ставка
в ТФСС, %
|
2
|
2
|
2
|
|
|
Сумма
за месяц, руб.
|
76
|
76
|
76
|
228
|
|
Сумма
с нарастающим итогом, руб.
|
76
|
152
|
228
|
|
|
Ставка
в ФФСС,%
|
1.1
|
1.1
|
1.1
|
|
|
Сумма
за месяц, руб.
|
200
|
200
|
200
|
600
|
|
Сумма
с нарастающим итогом, руб.
|
200
|
400
|
600
|
|
|
Ставка
в ФСС,%
|
2.9
|
2.9
|
2.9
|
|
|
Сумма
з/п с нарастающим итогом, руб.
|
6
900
|
13
800
|
20
700
|
|
|
Период
|
Фев.
|
Март
|
Апр.
|
Итог:
|
Таблица - Расчёт суммы налогов в фонды, уборщиц
|
Сумма
за месяц, руб.
|
148
|
148
|
148
|
444
|
|
Сумма
с нарастающим итогом, руб.
|
148
|
296
|
444
|
|
|
Ставка
в ТФСС, %
|
2
|
2
|
2
|
|
|
Сумма
за месяц, руб.
|
81
|
81
|
81
|
243
|
|
Сумма
с нарастающим итогом, руб.
|
81
|
163
|
243
|
|
|
Ставка
в ФФСС,%
|
1.1
|
1.1
|
1.1
|
|
|
Сумма
за месяц, руб.
|
215
|
215
|
215
|
|
Сумма
с нарастающим итогом, руб.
|
215
|
429
|
644
|
|
|
Ставка
в ФСС,%
|
2.9
|
2.9
|
2.9
|
|
|
Сумма
з/п с нарастающим итогом, руб.
|
7
400
|
14
800
|
22
200
|
|
|
Период
|
Фев.
|
Март
|
Апр.
|
Итог:
|
Таблица - Расчёт суммы налогов в фонды,
охранников
|
Сумма
за месяц, руб.
|
184
|
184
|
184
|
552
|
|
Сумма
с нарастающим итогом, руб.
|
184
|
368
|
552
|
|
|
Ставка
в ТФСС, %
|
2
|
2
|
2
|
|
|
Сумма
за месяц, руб.
|
101
|
101
|
101
|
303
|
|
Сумма
с нарастающим итогом, руб.
|
101
|
202
|
303
|
|
|
Ставка
в ФФСС,%
|
1.1
|
1.1
|
1.1
|
|
|
Сумма
за месяц, руб.
|
267
|
267
|
267
|
801
|
|
Сумма
с нарастающим итогом, руб.
|
267
|
534
|
801
|
|
|
Ставка
в ФСС,%
|
2.9
|
2.9
|
2.9
|
|
|
Сумма
з/п с нарастающим итогом, руб.
|
9
200
|
18
400
|
27
600
|
|
|
Период
|
Фев.
|
Март
|
Апр.
|
Итог:
|