Определение материальных потребностей производства
Министерство образования и науки,
молодежи и спорта Украины
Национальный аэрокосмический
университет им. М.Е. Жуковского
"Харьковский авиационный
институт"
Кафедра менеджмента
КУРСОВАЯ РАБОТА
по "Операционному
менеджменту"
на тему: "Определение материальных
потребностей производства"
г. Харьков - 2012 год
Аннотация
Курсовая работа содержит прогнозирование спроса на готовую
продукцию, совокупное планирование и определение материальных потребностей
производства.
Работа может служить примером реальных расчётов материальных
потребностей и современного планирования на отечественных предприятиях и может
быть полезной студентам высших учебных заведений во время изучения дисциплин
«Операционный (производственный) менеджмент» и «Управление производством», а
также как пример планирования производства на действующих предприятиях.
Листов - ____; таблиц - 20; рисунков - 4; литература - 2
наименований.
Содержание
Аннотация
Введение
1. Прогнозирование независимого спроса
1.1 Определение параметров линейного тренда
1.2 Прогнозирование независимого спроса случайных потребителей
1.3 Расчёты общего объёма независимого спроса
Выводы по разделу 1
2. Совокупное планирование производства
2.1 Формулировка вариантов совокупного плана
1.4 Расчет затрат по вариантам совокупного плана
1.5 Выбор оптимальной стратегии совокупного планирования
1.6 Основной план производства
1.7 Графическое сравнение вариантов совокупных планов
Выводы по разделу 2
3. Планирование материальных потребностей (mrp) во времени
3.1 Планирование материальных потребностей (MRP) во времени по
методу L4L (Партия за партией)
3.2 Планирование материальных потребностей (MRP) во времени по
методу стандартных недельных партий
3.3 Сравнение объёмов производства элементов для разных MRP-методов
Выводы по разделу 3
Выводы
Список использованных источников
Введение
Основной целью данной курсовой работы является организация
оптимального и рационального производства по выпуску изделия. Эта цель
достигается с помощью прогнозирования независимого спроса, применения
совокупного планирования производства для получения оптимального варианта
производства и планирование материальных потребностей (MRP) для составления
календарного плана, который показывает, когда заказать или изготовить каждый из
необходимых материалов, компонентов, деталей.
Цель управления спросом состоит в координации и контроле всех
источников спроса для эффективного использования производственной системы и
своевременной поставки продукции. При создании новой продукции прогнозы
разрабатывают с помощью недорогих методов, используя простое скользящее
среднее, взвешенное скользящее среднее или экспоненциальное сглаживание.
Совокупное планирование (Aggregate Planning) предусматривает
преобразование годовых и квартальных бизнес-планов в подробные производственные
планы, определяющие объем продукции и использование трудовых ресурсов для
среднесрочного периода (от 6 до 18 месяцев). Задача совокупного планирования
заключается в минимизации издержек на необходимые ресурсы для удовлетворения
спроса на продукцию в планируемом периоде. Планирование материальных
потребностей (MRP) используется во многих отраслях на множестве предприятий,
работающих по заказам (что означает, что различная продукция изготавливается
партиями на одном и том же производственном оборудовании). Система планирования
материальных потребностей действует почти во всех производственных фирмах -
даже тех, которые считаются мелкими. Причина в том, что MRP представляет логичный,
весьма доступный для понимания подход к проблеме определения количества
деталей, компонентов и материалов, необходимых для производства каждого
конечного продукта. [2]
1.
Прогнозирование независимого спроса
1.1
Определение параметров линейного тренда
Прогнозы жизненно необходимы для каждой коммерческой
организации и для каждого значительного управленческого решения.
Прогнозирование служит базисом корпоративного долгосрочного планирования. В
сфере финансов и бухгалтерии прогнозы являются основой бюджетного планирования
и контроля затрат. Маркетинг опирается на прогнозирование продаж при
планировании новых видов продукции, поощрении персонала в сфере торговли, а
также при принятии других ключевых решений.
Производственный и операционный персонал использует прогнозы
как для принятия стратегических решений, таких как выбор технологического
процесса, планирование производственных мощностей и размещение оборудования,
так и для решения текущих вопросов планирования производства, составления
календарных планов и планирования материальных запасов.
Следует помнить, что идеальный прогноз обычно невозможен.
Слишком много факторов, влияющих на экономическую деятельность, нельзя
предвидеть со всей определенностью. Поэтому не следует искать идеальный
прогноз, важнее ввести в практику постоянную корректировку прогнозов и
научиться жить с неточными прогнозами. Это, однако, не означает, что надо
отказаться от совершенствования модели или методологии прогнозирования. В
разумных пределах следует стремиться к поиску и использованию наилучшего
доступного метода прогнозирования.
Цель управления спросом состоит в координации и контроле всех
источников спроса для эффективного использования производственной системы и
своевременной поставки продукции.
Независимый спрос - это спрос, который может быть прогнозом,
обычно это спрос на готовую продукцию и запчасти. Он в корне отличается от
зависимого спроса (спрос, который можно рассчитать, исходя из данных по составу
изделия). Источники независимого спроса: производственный план, прогнозируемый
объем отгрузки, заказы клиентов (при производстве или сборке под заказ), спрос
на запчасти, межзаводской спрос и страховой запас.
Объем независимого спроса состоит из твердых заказов
потребителей, которые уже поступили и известны на момент планирования, и
прогноза спроса случайных потребителей. Таким образом сначала необходимо
спрогнозировать спрос случайных потребителей, который выполняется в таком
порядке: сначала мы выбираем метод прогнозирования, потом определяем параметры;
потом с помощью линии тренда прокладываем прогноз в будущее на основе прошлого.
Мы выбираем метод учета сезонности (цикличности) и ее параметры. На основании
трендовых значений с учетом сезонных (циклических) колебаний мы уже можем
составить прогноз на весь горизонт прогнозирования. [1]
Линейный тренд представляет собой линейную функцию, восстановленную
по ее дискретным фактическим значениям с минимизацией отклонений фактических
значений (как правило, с использованием метода наименьших квадратов).
Линейный тренд (тенденция) призван дать ответ о направлении
движения предприятия в течение базового периода. В математическом смысле тренд
представляет собой линейную функцию, восстановленную по ее дискретным
фактическим значениям с минимизацией отклонений фактических значений (как
правило, с использованием метода наименьших квадратов). В приложении к функции
сбыта линейный тренд представляет собой тенденцию ее развития в наиболее общем,
абстрагированном от случайных колебаний виде. Ниже представлен линейный тренд,
вычисленный по стандартной процедуре для тех же фактических значений помесячных
объемов сбыта. Отчетливо видно, что в целом, в течение года, объемы сбыта
проявляют тенденцию к некоторому росту.
Естественно, линейная функция не является единственной,
пригодной для моделирования функции сбыта. Более того, выбор функции тренда,
определение характерного базового периода для ее построения, определение
весовых коэффициентов для отдельных временных отрезков, декомпозиция тренда на
составляющие и использование его для прогнозирования объемов сбыта представляют
собой объемный отдельный раздел маркетингового анализа. Тем не менее, линейный
тренд ввиду простоты и наглядности, используется наиболее часто и, как правило,
служит отправной точкой для дальнейшей детализации, особенно при рассуждениях
стратегического характера, когда необходима наглядная демонстрация наиболее
общей тенденции развития. [1]
В этой работе для прогнозирования спроса рекомендуется метод
линейного тренда, который для описания тренда предусматривает использование
линейной функции:
Т = а + bХ; (1)
где X - номер интервала (планового или прогнозного)
относительно базового.
За базовый интервал (Х=0) удобно выбрать текущий интервал,
последний перед первым прогнозным, (в этой работе самым удобным есть 12-й
месяц);
а и b - параметры тренда, которые определяются по
статистического ряда по формулам:
(2)
где Y - значение статистического ряда; N - количество
значений статистического ряда.
Подставив полученные значения а и b в уравнение тренда (1) и
соответствующие значения X, можно рассчитать прогнозные спроса на следующие
шесть месяцев. Определим параметры тренда b и a для изделия а и для элемента F и полученные данные
занесем в таблицу 1.1.
Таблица 1.1
Расчет сумм статистических рядов по изделию А и составному
элементу F
|
Месяц
|
Х
|
Х2
|
Изделие А
|
Элемент F
|
|
|
|
YA
|
XYA
|
YF
|
XYF
|
|
1
|
-11
|
121
|
140
|
-1 540
|
30
|
-330
|
|
2
|
-10
|
100
|
185
|
-1 850
|
45
|
-450
|
|
3
|
-9
|
81
|
175
|
-1 575
|
50
|
-450
|
|
4
|
-8
|
64
|
145
|
-1 160
|
70
|
-560
|
|
5
|
-7
|
49
|
140
|
-980
|
40
|
-280
|
|
6
|
-6
|
36
|
210
|
-1 260
|
65
|
-390
|
|
7
|
-5
|
25
|
175
|
-875
|
60
|
-300
|
|
8
|
-4
|
16
|
215
|
-860
|
50
|
-200
|
|
9
|
-3
|
9
|
250
|
-750
|
53
|
-159
|
|
10
|
-2
|
4
|
285
|
-570
|
64
|
-128
|
|
11
|
-1
|
1
|
260
|
-260
|
70
|
-70
|
|
12
|
0
|
0
|
225
|
0
|
87
|
0
|
|
Суммы
|
-66
|
506
|
2405
|
-11680
|
684
|
-3317
|
Исходя из таблицы определим параметры тренда bA и
aA для изделия А:
=
,
=
,
где N= 12 - количество значений статистического ряда (12 месяцев).
Таким образом, уравнение тренда для изделия А принимает вид:
(A) = 259.94+10.82X (3)
Если выполнить аналогичные расчеты для элемента F, то для его тренда получим уравнение:
=
=
(D) =
74.12-3.11X (4)
1.2
Прогнозирование независимого спроса случайных потребителей
При прогнозировании потребительского спроса во многих случаях
прогноз до 6 месяцев является краткосрочным, свыше 2 лет - долгосрочным. Для
определения прогноза спроса случайных потребителей вначале рассчитаем
показатели тренда в прошлом и будущем периоде. Для этого в уравнение соответствующего
тренда необходимо подставить значения X для соответствующего месяца.
Таким образом можно записать расчет прогноза спроса для
изделия А следующим образом:
ТA1 = аA + bAХ1=259.93+10.82* (-11) =
141 (шт.)
ТA2 = аA + bAХ2=259.93+10.82* (-10) =152 (шт.)
ТA3 = аA + bAХ3=259.93+10.82* (-9) =163 (шт.)
ТA4 = аA + bAХ4=259.93+10.82* (-8) =173 (шт.)
ТA5 = аA + bAХ5=259.93+10.82* (-7) =184 (шт.)
ТA6 = аA + bAХ6=259.93+10.82* (-6) =195 (шт.)
ТA7 = аA + bAХ7=259.93+10.82* (-5) =206 (шт.)
ТA8 = аA + bAХ8=259.93+10.82* (-4) =217 (шт.)
ТA9 = аA + bAХ9=259.93+10.82* (-3) =227 (шт.)
ТA10 = аA + bAХ10=259.93+10.82* (-2) =238 (шт.)
ТA11 = аA + bAХ11=259.93+10.82* (-1) =249 (шт.)
ТA12 = аA + bAХ12=259.93+10.82*0=260
(шт.)
Расчеты прогнозируемого спроса для элемента F:
ТF1 = аF + bFХ1=74.12+3.11* (-11) =207.3=40 (шт.)
ТF2 = аF + bFХ2=74.12+3.11* (-10) =43 (шт.)
ТF3= аF + bFХ3=74.12+3.11* (-9) =46 (шт.)
ТF4 = аF + bFХ4=74.12+3.11* (-8) =49 (шт.)
ТF5 = аF + bFХ5=74.12+3.11* (-7) =52 (шт.)
ТF6 = аF + bFХ6=74.12+3.11* (-6) =55 (шт.)
ТF7 = аF + bFХ7=74.12+3.11* (-5) =59 (шт.)
ТF8 = аF + bFХ8=74.12+3.11* (-4) =62 (шт.)
ТF9 = аF + bFХ9=74.12+3.11* (-3) =65 (шт.)
ТF10 = аF + bFХ10=74.12+3.11* (-2) =68 (шт.)
ТF11 = аF + bFХ11=74.12+3.11* (-1) =71 (шт.)
ТF12= аF + bFХ12=74.12+3.11* (-0) =74 (шт.)
Результаты выполненных таким образом расчетов для изделия А и
элемента F
сведены в таблицу 1.2 в колонки 4 и 7. Нижняя часть таблицы 1.2, отделенная
жирной линией, отвечает прогнозному интервалу.
Далее определим метод прогнозирования цикличности. В
соответствии с этим методом, сначала рассчитываются ежемесячные индексы
колебаний на статистическом интервале и, исходя из мультипликативной модели,
эти индексы переносятся на будущие месяцы, в которые определяются прогнозные
показатели.
На статистическом интервале индексы колебаний определяются по
формуле:
, (5)
где i - порядковый номер месяца на статистическом интервале.
Например, для первого месяца для изделия А индекс будет
составлять:
Ip1 = Yp1/Tp1 = 140/141 = 0,99.
Аналогично рассчитываются ежемесячные индексы колебаний для других
месяцев для изделия А и элемента F, которые
заносятся соответственно в колонки 5 и 8 таблицы 1.3 для первых 12 месяцев. В
соответствии с этим методом индексы статистического интервала переносятся в
соответствующие месяцы прогнозного интервала и по ним рассчитываются прогнозы
спроса в следующих месяцах.
Например, для первого месяца прогноз спроса на изделие А будет
равен:
Yp1 = Ip1*Tp1
= 141*0,99 = 140p2 = Ip2*Tp2 = 185*1,22 = 152p3
= Ip3*Tp3 = 175*1,08 = 163p4 = Ip4*Tp4
= 145*0,84 = 173p5 = Ip5*Tp5 = 140*0,76 = 184p6
= Ip6*Tp6 = 210*1,08 = 195.
Полученные таким образом прогнозные значения для изделия А и
заданного элемента F заносятся в нижние (прогнозные) части
колонок 3 и 6 таблицы 1.2 и по ним строятся графики движения спроса и
соответствующие тренды (рис.1.1, 1.2).
Таблица 1.2. Расчет прогнозируемого спроса
|
Месяц, i
|
X
|
Изделие А
|
Элемент F
|
|
|
Спрос, Y (A)
|
Тренд, T (A)
|
Сезонность, I
(A)
|
Спрос, Y (F)
|
Тренд, T (F)
|
Сезонность, I (F)
|
|
1
|
-11
|
140
|
141
|
0,99
|
30
|
40
|
0,75
|
|
2
|
-10
|
185
|
152
|
1,22
|
45
|
43
|
1,05
|
|
3
|
-9
|
175
|
163
|
1,08
|
50
|
46
|
1,08
|
|
4
|
-8
|
145
|
173
|
0,84
|
70
|
49
|
1,42
|
|
5
|
-7
|
140
|
184
|
0,76
|
40
|
52
|
0,76
|
|
6
|
-6
|
210
|
195
|
1,08
|
65
|
55
|
1,17
|
|
7
|
-5
|
175
|
206
|
0,85
|
60
|
59
|
1,02
|
|
8
|
-4
|
215
|
217
|
0,99
|
50
|
62
|
0,81
|
|
9
|
-3
|
250
|
227
|
1,10
|
53
|
65
|
0,82
|
|
10
|
-2
|
285
|
238
|
1, 20
|
64
|
68
|
0,94
|
|
11
|
-1
|
260
|
249
|
1,04
|
70
|
71
|
0,99
|
|
12
|
0
|
225
|
260
|
0,87
|
87
|
74
|
1,17
|
|
1
|
1
|
269
|
271
|
0,99
|
58
|
77
|
0,75
|
|
2
|
2
|
343
|
282
|
1,22
|
84
|
80
|
1,05
|
|
3
|
3
|
315
|
292
|
1,08
|
90
|
83
|
1,08
|
|
4
|
4
|
254
|
303
|
0,84
|
123
|
87
|
1,42
|
|
5
|
5
|
239
|
314
|
0,76
|
69
|
90
|
0,76
|
6
|
350
|
325
|
1,08
|
109
|
93
|
1,17
|
Рис.1.1 График движения спроса и соответствующие тренды для
изделия А
Рис. 1.2 График движения спроса и соответствующие тренды для
элемента F
В результате построения графиков динамики спроса и расчета
соответствующих трендов для изделия А и элемента F, можно сделать вывод о
том, что на протяжении рассматриваемого периода из 18 месяцев спрос на изделие
А и c
имеет тенденцию к постоянному росту.
Построение графиков и расчет некоторых показателей
осуществляется с помощью MS Excel. Конечно, в основном Excel используется
сотрудниками различных компаний для получения, обработки, учета и хранения
данных по бизнесу. Пожалуй, это самая широкая часть его аудитории. В бизнесе
Excel позволяет работать с таблицами, создавать и вести базы данных, управлять
информацией, составлять отчеты числовые, текстовые и графические, рассчитывать
различные показатели, автоматизировать значительную часть вычислений и печатать
документы с автоматически заполняемыми полями и графами. В курсовой работе
использовалось большое количество данных, создавались многочисленные рабочие
листы, эта возможность Excel очень удобна, поскольку избавляет от необходимости хранить избыточные данные на
многих рабочих листах. При связывании рабочих книг используется ряд терминов. Книга, содержащая формулу
связывания, называется зависимой рабочей книгой, а рабочая книга, содержащая
связываемые данные - исходной рабочей книгой.
В курсовой работе большинство расчетных значений оформлялись
в табличном виде. Построение таблицы в Excel выполняется в рабочем листе.
Рабочий лист разделен на строки и столбцы, при этом пересечения строк и
столбцов образуют ячейки, в которых, собственно, и содержится информация,
представленная в рабочем листе. На данный момент программный продукт Excel
является одним из самых мощных для персональных компьютеров.
1.3 Расчёты
общего объёма независимого спроса
Когда мы говорим о независимой потребности, речь идет о
потребностях в различных изделиях, которые не зависят один от другого. Когда же
мы говорим о зависимой потребности, потребность в каком-то одном изделии
выступает непосредственным следствием потребности в другом изделии - обычно
изделии более высокого уровня, частью которого оно является.
F концептуальной точки зрения, определение зависимой
потребности представляет собой относительно простую вычислительную задачу.
Необходимое количество изделий с зависимой потребностью можно вычислить
довольно просто, основываясь на количестве этих изделий в каждом изделии более
высокого уровня.
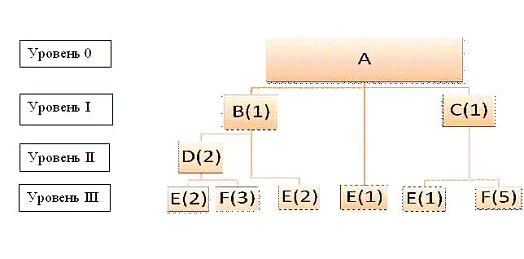
Для дальнейших расчетов приведем сборочную схему изделия,
развернутую по иерархическим уровням элементов.
Таблица 1.3
Перечень элементов изделия
|
Многоуровневый
формат
|
|
|
Уровень 0
|
Уровень I
|
Уровень II
|
Уровень III
|
|
|
A
|
B
(1)
|
D (2)
|
Е (2)
|
|
|
|
|
F (3)
|
|
|
|
Е (2)
|
|
|
С (1)
|
Е (1)
|
|
|
|
F (5)
|
|
|
Е (1)
|
|
|
|
Одноуровневый
формат
|
|
Родительский элемент
|
Элемент
|
Количество
элементов в родительском
|
|
A
|
B
|
1
|
|
A
|
C
|
1
|
|
A
|
E
|
1
|
|
В
|
D
|
2
|
|
B
|
E
|
2
|
|
C
|
E
|
1
|
|
C
|
F
|
5
|
|
D
|
E
|
2
|
|
D
|
F
|
3
|
Рис. 1.3 Сборочная схема изделия развернутая по низшим
иерархическим уровням элементов
Таблица 1.4
|
Расчет общей
потребности независимого спроса
|
|
Изделие А
|
Элемент F
|
|
Месяц
|
Месяц
|
|
V
|
VI
|
V
|
VI
|
|
Прогноз спроса
|
239
|
350
|
69
|
109
|
|
Твердые заказы
|
125
|
110
|
50
|
30
|
|
Общая
потребность (независимый спрос)
|
364
|
460
|
119
|
139
|
Для расчета потребности всех элементов в V и VI месяце мы
пользуемся сборочной схемой изделия (приложение 4), а также данными таблицы 1.3 и 1.4.
Для изделия А общая потребность за пятый и шестой месяцы
равна сумме твердых заказов и прогноза спроса.
В сборочной схеме изделия есть 1 элемент В, следовательно,
общая потребность за пятый и за шестой месяцы для него будет равна
соответственно 364*1=364 и 460*1=460.
Независимый спрос приходится на элемент F, следовательно, мы
рассчитываем общую потребность по элементу F как независимый спрос, и
как составная изделия. В итоге получаем, что для пятого и шестого месяцев общая
потребность по элементу F как независимый спрос равна 119 и 139 соответственно.
Аналогично рассчитываем общую потребность в целом по каждому
элементу который используется для изготовления изделия А, то есть по элементу B, C, D, E и F. Расчеты сведем в
таблицу 1.5.
Таблица 1.5
Расчет общей потребности всех элементов в V и VI месяце
|
Элемент
|
Родственный
признак
|
V
|
VI
|
В целом по
признаку
|
В целом по
элементу
|
|
А
|
Изделие
(независимый спрос)
|
364
|
460
|
824
|
824
|
|
B
|
Составная
изделия А
|
364
|
460
|
824
|
824
|
|
С
|
Составная
изделия А
|
364
|
460
|
824
|
824
|
|
D
|
Составная
элемента В в составе А
|
728
|
920
|
1648
|
1648
|
|
Е
|
Составная
изделия А
|
364
|
460
|
824
|
6592
|
|
Составная
элемента В в составе А
|
728
|
920
|
1648
|
|
|
Составная
элемента С в составе А
|
364
|
460
|
824
|
|
|
Составная
элемента D в составе В
|
1456
|
1840
|
3296
|
|
|
F
|
Составная
элемента C в составе А
|
1820
|
2300
|
4120
|
4378
|
|
Независимый
спрос
|
119
|
139
|
258
|
|
Проанализировав полученные расчеты, можно сделать вывод, что
общая потребность по изделию А, элементам В и С равна 824 ед., по элементам D и Е равна 1648 ед. и
6592 ед. соответственно, а по элементу F 4378, включая
независимый спрос на данный элемент.
Выводы по
разделу 1
В данном разделе был спрогнозирован независимый спрос;
определены параметры линейного тренда по данным статистического ряда для
изделия А и элемента F; сделан прогноз независимого спроса случайных потребителей
для месяцев в прошлом и на будущий период; рассчитаны ежемесячные индексы
колебаний на статистическом интервале; определен прогноз спроса на изделие А и
необходимые элементы на шесть месяцев; произведен расчет общей потребности независимого
спроса.
2. Совокупное
планирование производства
2.1
Формулировка вариантов совокупного плана
Совокупное планирование производства предусматривает
установление темпа производства группы или другой широкой категории товаров на
среднесрочный период (от 6 до 18 месяцев).
Главная цель совокупного плана состоит в установлении
оптимального сочетания темпа производства, численности рабочей силы и объема
наличных материальных запасов. Под темпом производства понимают количество
единиц продукции, изготавливаемых в единицу времени (в час, в день).
Численность рабочей силы - это количество рабочих, необходимое для выпуска
определенного объема продукции. Наличные материальные запасы представляют собой
остаток неиспользованной в предыдущем периоде продукции.
Форма совокупного плана в разных компаниях различная. В
некоторых фирмах он представляет собой формализованный отчет, содержащий
планируемые задания и предпосылки, на которых они базируются. В других, в
основном в небольших фирмах, владелец может выполнить простые расчеты
необходимой численности рабочих, которые будут отражены в штатном расписании,
что заменит ему совокупный план. [2]
Исходя из прогноза спроса определяем производственные
потребности в каждом месяце планового горизонта (таблица 2.2);
Сформулируем четыре варианта планов на основе чистых
стратегий совокупного планирования и предлагаем пятый вариант плана, который
построен на смешанной стратегии.
Совокупное планирование проводится только для изделия А на
все 6 месяцев планового горизонта.
Показатели для расчета совокупного планирования приведены в
таблице 2.1.
Таблица 2.1
|
Исходные данные
для примера совокупного планирования
|
|
Показатели
|
Месяцы
|
|
январь
|
февраль
|
март
|
апрель
|
май
|
июнь
|
Всего
|
|
Независимый
спрос
|
269
|
343
|
315
|
254
|
364
|
460
|
2005
|
|
Число рабочих
дней в месяце
|
23
|
18
|
19
|
22
|
24
|
20
|
126
|
|
Месячные
затраты на хранение единицы продукции, грн.
|
5 грн на
единицу продукции в месяц
|
|
Месячные
затраты, обусловленные дефицитом единицы продукции, грн.
|
15 грн на
единицу продукции в месяц
|
|
Стоимость
единицы продукции изготовленной по субподряду, грн. за ед. прод.
|
100 грн за
единицу продукции
|
|
Затраты на наем
и обучение одного рабочего, грн.
|
90 грн на
одного рабочего
|
|
Затраты на
увольнение одного рабочего, грн.
|
140 грн на
одного рабочего
|
|
Трудоемкость
единицы продукции, нормо-час.
|
8 нормо-часов
на единицу продукции
|
|
Почасовая
тарифная ставка (в основное рабочее время), грн.
|
10 грн за час
|
|
Почасовая
тарифная ставка с надбавкой за сверхурочную работу, грн.
|
15 грн за час
|
|
Запас на начало
первого (стартового) месяца (января), ед
|
140 единиц
|
|
Резервный
запас,%
|
30 % месячного
спроса
|
Перед составлением планов необходимо рассчитать чистые
месячные объемы производства, определяющие месячные производственные программы
(таблица 2.2). Для этого, исходя из прогноза независимого спроса, сначала
необходимо рассчитать резервные запасы. Создание резервных запасов необходимо
для уменьшения вероятности невыполнения заказов случайных потребителей,
поскольку на начало месяца детальной информации об их спросе всегда не хватает.
Резервный запас в данной работе равняется 30%. А так как запас на начало
первого месяца равняется 120 ед., то производственная программа на январь
рассчитывается так:
* (269*0,3) - 140=210 ед.
В последующие месяцы производственная программа равняется независимому
спросу в соответствующем месяце.
Следовательно, запас на конец текущего месяца, который
одновременно является запасом на начало следующего месяца также нулевые.
Таблица 2.2
|
Производственные
задания
|
|
Показатели9
|
январь
|
февраль
|
март
|
апрель
|
май
|
июнь
|
|
Запас на начало
месяца
|
140
|
81
|
103
|
95
|
77
|
110
|
|
Независимый
спрос
|
269
|
343
|
315
|
254
|
364
|
460
|
|
Резервный запас
|
81
|
103
|
95
|
77
|
110
|
138
|
|
Производственная
программа
|
210
|
365
|
307
|
236
|
397
|
488
|
|
Запас на конец
месяца
|
81
|
103
|
95
|
77
|
110
|
138
|
Сформулируем альтернативные производственные планы.
План 1 (чистая стратегия): Объемы производства отслеживают
месячные производственные программы, что достигается исключительно вариацией
численности рабочих полностью занятых только в основное рабочее время
8-часовогоирабочего дня. Реализация такой стратегии предвидит ежемесячный
дополнительный набор или увольнение, что возможно только по согласованию с
профсоюзной организацией.
План 2 (чистая стратегия): Неизменный темп производства
отвечает такому, который обеспечивает выполнение производственной программы
планового периода (т.е. за 6 месяцев). Варьируемый объем запасов готовой
продукции, возможен дефицит запаса. Численность рабочих, занятых в основное
рабочее время, - фиксированная и определяется выходя из средней потребности в
рабочих, обеспечивающих выполнение производственной программы планового
горизонта.
Фиксированная плановая численность рабочих =
(Производственная программа планового горизонта х Трудоемкость единицы
продукции) / (Общее количество рабочих дней планового горизонта х 8 рабочих
часов в день).
Фиксированная плановая численность рабочих = (
(210+365+307+236+397+488) *8) / (126*8) =16024/1008≈ 16 рабочих.
Следует заметить, что для удовлетворения ожидаемого спроса в
этом варианте плана используются месячные резервные запасы.
План 3 (чистая стратегия): Плановый темп производства
отвечает минимальной производственной программе на протяжении планового
горизонта при фиксированной численности рабочих, занятых в основное рабочее
время 8-часового рабочего дня.
В случае превышения спроса сверх минимальной производственной
программы используется субподряд. Численность рабочих определяют исходя из
минимальной месячной производственной программы таким образом:
Фиксированная плановая минимально необходимая численность
рабочих = (Наименьшая месячная производственная программа х Трудоемкость
единицы продукции) / (Месячное количество рабочих дней соответствующего месяца
х 8 рабочих часов в день).
В рассматриваемом примере минимальная месячная
производственная программа выпадает на май и количество рабочих составляет:
Фиксированная плановая минимально необходимая численность
рабочих = [210 (январь) * 8] / (23 х 8) =1680/184 ≈ 10 рабочих.
План 4: Темп производства должен соответствовать среднему для
всего планируемого периода ожидаемому спросу, которому как-то должна отвечать
численность постоянных рабочих, работающих с нормальным рабочим днем. Чтобы
удовлетворить возрастающий спрос, превышающий возможности этих рабочих, и
изготовить дополнительное количество продукции, необходимо использовать
сверхурочное время. В этом варианте плана рассчитать необходимое количество
рабочих намного сложнее. В таком расчете нужно исходить из условия плана,
состоящего в том, чтобы завершить июнь с конечными запасами, максимально
близкими к резервному запасу в июне. Методом проб и ошибок можно показать, что
постоянная численность в 16 рабочих подходит лучше всего [1].
1.4 Расчет
затрат по вариантам совокупного плана
Для расчета затрат по первому варианту совокупного
планирования производственного плана нам необходимо произвести следующие
расчеты, результаты которых будут занесены в табл.2.3 по каждому месяцу
соответственно (в качестве примера представлены расчеты на январь месяц):
Трудоемкость производственной программы: произведение
производственной программы на трудоемкость единицы продукции (см. таблицы 2.1 и
2.2) = 210*8 = 1680.
Месячный фонд рабочего времени одного рабочего: произведение
количества рабочих дней на 8 рабочих часов в день (см. таблицу 2.1) = 23*8
=184.
Плановая численность рабочих: берется как отношение
трудоемкости производственной программы к месячному фонду рабочего времени
одного рабочего: 1680/184 ≈ 10. Рассчитанное значение берется в
округленной форме.
Дополнительный наем рабочих: мы принимаем, что количество
рабочих в первом месяце равно необходимой численности в первом месяце, т.е. 10.
Следовательно, для января дополнительный наем будет нулевым.
Затраты на наем: произведение дополнительного наема на
затраты на наем одного рабочего (см. таблицу 2.1). Январь: 0 грн.
Увольнение рабочих: для уменьшения общих затрат мы уволили в
марте и апреле месяце 4 и 5 рабочих соответственно. В итоге, с учетом того, что
затраты на увольнение одного рабочего составляют 700 грн., затраты на
увольнение данных рабочих составили 560грн. и 700 грн. соответственно.
Плановое производство продукции: отношение произведения
необходимой численности рабочих на месячный фонд рабочего времени к
трудоемкости единицы продукции = (184*10) /8 = 230. Рассчитанное значение
берется в округленной форме.
Излишек изготовленной продукции: разница между плановым
производством продукции и производственной программой, если эта разница
положительная. Излишек изготовленной продукции в январе составляет 0 ед.
Недостаток изготовленной продукции: разница производственного
задания и планового производства продукции, если эта разница положительная
Недостаток изготовленной продукции в данном плане наблюдается в феврале, марте
и в июне в количестве 5, 3 и 28 ед.
Количество хранящейся продукции: разница между суммой
остатков продукции в предыдущие месяцы и недостатком изготовленной продукции. В
январе количество хранящейся продукции отсутствует.
Месячный фонд рабочего времени: произведение месячного фонда
рабочего времени одно рабочего и плановой численности рабочих = 184*10 = 1840.
Прямая оплата труда: произведение месячный фонда рабочего
времени на почасовую тарифную ставку (см. таблицу 2.1) = 1840*10 = 18400.
В итоге мы получаем общие затраты по первому плану, состоящие
из затрат на наем (1980 грн.) и увольнение рабочих (1260 грн.), месячных
затрат, обусловленных недостатком продукции и стоимости хранения излишка
продукции, равные 1425 грн.
Таблица 2.3
|
Расчет затрат
по первому варианту совокупного планирования производственного плана: Объем
производства отслеживает независимый спрос вариативностью численности рабочих
|
|
Показатели
|
январь
|
февраль
|
март
|
апрель
|
май
|
июнь
|
всего
|
|
Производственная
программа
|
210
|
365
|
307
|
236
|
397
|
488
|
|
|
Трудоемкость
производственной программы
|
1680
|
2920
|
2456
|
1888
|
3176
|
3904
|
|
|
Месячное
количество рабочих дней
|
23
|
18
|
19
|
22
|
24
|
20
|
|
|
Месячный фонд
рабочего времени одного рабочего
|
184
|
144
|
152
|
176
|
192
|
160
|
|
|
Плановая
численность рабочих
|
10
|
20
|
16
|
11
|
17
|
23
|
|
|
Дополнительный
наем рабочих
|
0
|
10
|
0
|
0
|
6
|
6
|
|
|
Затраты на наем
|
0
|
900
|
0
|
0
|
540
|
1980
|
|
Увольнение
рабочих
|
0
|
0
|
4
|
5
|
0
|
0
|
|
|
Затраты на
увольнение
|
0
|
0
|
560
|
700
|
0
|
0
|
1260
|
|
Плановое
производство продукции
|
230
|
360
|
304
|
242
|
408
|
460
|
|
|
Излишек
изготовленной продукции
|
20
|
0
|
0
|
6
|
11
|
0
|
|
|
Недостаток
изготовления продукции
|
0
|
5
|
3
|
0
|
0
|
28
|
|
|
Дефицит готовой
продукции
|
0
|
0
|
0
|
0
|
0
|
0
|
|
|
Месячные
затраты, обусловленные дефицитом продукции
|
0
|
0
|
0
|
0
|
0
|
0
|
0
|
|
Количество
хранящейся продукции
|
20
|
15
|
12
|
18
|
29
|
1
|
|
|
Стоимость
хранения излишка продукции
|
300
|
225
|
180
|
270
|
435
|
15
|
1425
|
|
Месячный фонд
рабочего времени
|
1 840
|
2 880
|
2 432
|
1 936
|
3 264
|
3 680
|
|
|
Прямая оплата
труда
|
18 400
|
28 800
|
24 320
|
19 360
|
32 640
|
36 800
|
160 320
|
|
Общие затраты,
грн.
|
164985
|
Во втором плане мы берем из таблицы 2.1
независимый спрос и из таблицы 2.2 резервный запас для 6 месяцев. Затем
определяем ряд показателей для расчета общих затрат (расчеты представленные
ниже приводятся для первого месяца. Для остальных 5 месяцев показатели
рассчитываются аналогично):
Запас на начало месяца: запас на начало
месяца составляет 140 ед. (см. таблицу 2.1). Для последующих месяцев он будет
равняться запасу на конец предыдущего месяца.
Месячный фонд рабочего времени одного
рабочего: произведение количества рабочих дней на 8 рабочих часов в день (см.
таблицу 2.1) = 23*8 =184.
Месячный фонд рабочего времени:
произведение месячного фонда рабочего времени одно рабочего и фиксированной
численности рабочих, рассчитанной ранее. Она составляет 16 человек. 184*16 =
2944.
Плановое производство продукции: отношение
месячного фонда рабочего времени к трудоемкости единицы продукции = 2944/8 =
368. Рассчитанное значение берется в округленной форме.
Запас на конец месяца: рассчитывается как
сумма между запасом на начало месяца и плановым производством продукции за
вычетом независимого спроса = 140+368-269 = 239.
Дефицит готовой продукции: произведение
запаса на конец месяца (если он отрицательны) и месячных затрат, обусловленных
дефицитом продукции (см. таблицу 2.1). В данном плане дефицит готовой продукции
имеет место в июне, в размере 30 ед. Следовательно, предприятие понесет убытки
в размере 6750 грн., связанные с дефицитом продукции.
Излишек изготовленной продукции: разница
между запасом на конец месяца и резервным запасом. Эта разница должна быть
положительной. В январе излишек равен 158 ед.
Стоимость хранения излишка продукции:
произведение месячных затрат на сохранение единицы продукции (см. таблицу 2.1)
и излишка изготовленной продукции. 158*5=790 грн.
Прямая оплата труда: произведение месячный
фонда рабочего времени на почасовую тарифную ставку (см. таблицу 2.1) = 2944*10
= 29440 грн.
В итоге мы получаем общие затраты по второму плану, состоящие
из месячных затрат, обусловленных дефицитом продукции, стоимости хранения
излишка продукции и прямой оплаты труда, равные 155900 грн.
Таблица 2.4
Расчет затрат по второму варианту совокупного
планирования производственного плана: Фиксированная плановая численность
рабочих (16), вариация запасами готовой продукции
|
Показатели
|
Январь
|
февраль
|
март
|
апрель
|
май
|
июнь
|
всего
|
|
Запас на начало
месяца
|
140
|
81
|
103
|
95
|
77
|
110
|
|
|
Месячный фонд
рабочего времени одного рабочего
|
184
|
144
|
152
|
176
|
192
|
160
|
|
|
Месячный фонд
рабочего времени
|
2944
|
2304
|
2432
|
2816
|
3072
|
2560
|
|
|
Плановое
производство продукции
|
368
|
288
|
304
|
352
|
384
|
320
|
|
|
Независимый
спрос
|
269
|
343
|
315
|
254
|
364
|
460
|
|
|
Запас на конец
месяца
|
239
|
26
|
92
|
193
|
97
|
-30
|
|
|
Дефицит готовой
продукции
|
0
|
0
|
0
|
0
|
0
|
450
|
|
|
Месячные
затраты, обусловленные дефицитом продукции
|
0
|
0
|
0
|
0
|
0
|
6750
|
6750
|
|
Резервный запас
|
81
|
103
|
95
|
77
|
110
|
138
|
|
|
Излишек
изготовленной продукции
|
158
|
0
|
0
|
116
|
0
|
0
|
|
|
Стоимость
хранения излишка продукции
|
790
|
0
|
0
|
580
|
0
|
0
|
1370
|
|
Прямая оплата
труда
|
29440
|
23040
|
24320
|
28160
|
30720
|
25600
|
161280
|
|
Общие затраты,
грн.
|
169400
|
В третьем плане мы берем из таблицы 7
производственную программу для 6 месяцев. Затем определяем ряд показателей для
расчета общих затрат (расчеты представленные ниже приводятся для первого месяца.
Для остальных 5 месяцев показатели рассчитываются аналогично):
Месячный фонд рабочего времени одного
рабочего: произведение количества рабочих дней на 8 рабочих часов в день (см.
таблицу 2.1) = 22*8 = 176.
Месячный фонд рабочего времени:
произведение месячного фонда рабочего времени одно рабочего и фиксированной
минимальной численности рабочих, рассчитанной ранее. Она составляет 1
человек.176*7 = 176.
Плановое производство продукции: отношение
месячного фонда рабочего времени к трудоемкости единицы продукции = 176/4= 44.
Рассчитанное значение берется в округленной форме.
Излишек изготовленной продукции: разница
между плановым производством продукции и производственным заданием. Эта разница
должна быть положительной. В данном плане излишек изготовленной продукции
составляет 36 ед. Нам не хватает людей, для обеспечения выполнения
производственной программы.
Субподрядное производство продукции:
разница между производственным заданием и плановым производством (эта разница
должна быть положительной) за вычетом излишка изготовленной продукции в
предыдущем месяце = 446-36-36 = 384 (февраль).
Стоимость продукции, изготовленной по
субподряду: произведение субподрядного производства продукции на стоимость
единицы продукции, изготовленной по субподряду (см. таблицу 2.1) = 384*30 =
11520 грн.
Прямая оплата труда: произведение месячный
фонда рабочего времени на почасовую тарифную ставку (см. таблицу 2.1) =176*5 =
880 грн.
В итоге мы получаем общие затраты по
третьему плану, состоящие из стоимости продукции, изготовленной по субподряду и
прямой оплаты труда, равные 65450 грн.
Таблица 2.5
Расчет затрат по третьему варианту совокупного планирования
производственного плана: Фиксированная минимально необходимая численность
рабочих (9) и субподряд
|
Показатели
|
январь
|
февраль
|
март
|
апрель
|
май
|
июнь
|
всего
|
|
Производственная
программа
|
210
|
365
|
307
|
236
|
397
|
488
|
|
|
Месячный фонд
рабочего времени одного рабочего
|
184
|
144
|
152
|
176
|
192
|
160
|
|
|
Месячный фонд
рабочего времени
|
1656
|
1296
|
1368
|
1584
|
1728
|
1440
|
|
|
Плановое
производство продукции
|
207
|
162
|
171
|
198
|
216
|
180
|
|
|
Излишек
изготовленной продукции
|
0
|
0
|
0
|
0
|
0
|
0
|
|
|
Субподрядное
производство продукции
|
3
|
203
|
136
|
38
|
181
|
308
|
|
|
Стоимость
продукции, изготовленной по субподряду
|
300
|
20300
|
13600
|
3800
|
18100
|
30800
|
86900
|
|
Прямая оплата
труда
|
16560
|
12960
|
13680
|
15840
|
17280
|
14400
|
90720
|
|
Общие затраты,
грн
|
|
|
|
|
|
|
177620
|
В четвертом плане мы берем из таблицы 7
запас на начало месяца, производственную программу и резервный запас; из
таблицы 6 число рабочих дней в месяце. Затем определяем рад показателей для расчета
общих затрат (расчеты представленные ниже приводятся для первого месяца. Для
остальных 5 месяцев показатели рассчитываются аналогично):
Доступное число рабочих часов:
произведение месячного числа рабочих дней на 8 рабочих часов в день и
постоянной численности рабочих, подобранным методом проб и ошибок для
минимизации общих затрат. Эта численность равна 8 рабочих.23*8*16 = 2944.
Объем производства за доступное число
рабочих часов: отношение доступного числа рабочих часов на 4 часа, которые
составляют сверхурочное время.2944/8 = 368. Данный показатель берется в
округленной форме.
Недостаток производства при отсутствии
сверхурочной работы: сумма запаса на начало месяца и объема производства за
доступное число рабочих часов за вычетом производственной программы. В июне
значение данного показателя отрицательное, следовательно в данный месяц нам
необходимо использовать сверхурочную работу.
Выпуск продукции в сверхурочное время:
берем в том случае, если недостаток производства при отсутствии сверхурочной
работы принимает отрицательное значение в размере данного недостатка. В июне
выпуск продукции составлял 30 ед.
Оплата сверхурочной работы: произведение
выпуска продукции в сверхурочное время на 8 ч/ед и на почасовую тарифную ставку
с надбавкой за сверхурочную работу: 30*8*15=3600.
Избыток продукции: разница между дефицитом
производства при отсутствии сверхурочных работ и резервным запасом. Эта разница
должна быть положительной. В январе он составляет 239-81 = 158.
Расходы на хранение запасов: произведение
избытка продукции на месячные затраты на хранение единицы продукции.158*5 =
790.
Прямая оплата труда: произведение
доступного числа рабочих часов на почасовую тарифную ставку (см. таблицу 2.1) =
2944*10= 29440 грн.
В итоге мы получаем общие затраты по третьему плану,
состоящие из оплаты сверхурочной работы, расходов на хранение запасов и прямой
оплаты труда, равные 166250 грн.
Таблица 2.6
Расчет затрат по четвертому варианту совокупного планирования
производственного плана: Фиксированная численность рабочих (14) и темп
производства соответствует среднему для всего планового горизонта используются
сверхурочные работы
|
Показатели
|
январь
|
февраль
|
март
|
апрель
|
май
|
июнь
|
всего
|
|
Начальный запас
|
140
|
170
|
79
|
30
|
84
|
56
|
|
|
Число рабочих
дней в месяце
|
184
|
144
|
152
|
176
|
192
|
160
|
|
|
Доступное число
рабочих часов
|
2576
|
2016
|
2128
|
2464
|
2688
|
2240
|
|
|
Объем
производства за доступное число рабочих часов
|
322
|
252
|
266
|
336
|
280
|
|
|
Прогнозируемый
спрос
|
269
|
343
|
315
|
254
|
364
|
460
|
|
|
Недостаток
производства при отсутствии сверхурочной работы
|
193
|
79
|
30
|
84
|
56
|
-124
|
|
|
Выпуск
продукции в сверхурочное время
|
0
|
0
|
0
|
0
|
0
|
124
|
|
|
Оплата
сверхурочной работы
|
0
|
0
|
0
|
0
|
0
|
14880
|
14880
|
|
Резервный запас
|
81
|
103
|
95
|
77
|
110
|
138
|
|
|
Избыток
продукции
|
112
|
0
|
0
|
7
|
0
|
0
|
|
|
Расходы на
хранение запасов
|
560
|
0
|
0
|
35
|
0
|
0
|
595
|
|
Прямая оплата
труда
|
25760
|
20160
|
21280
|
24640
|
26880
|
22400
|
141120
|
|
Общие затраты,
грн.
|
|
|
|
|
|
|
156595
|
1.5
Выбор оптимальной стратегии совокупного планирования
Представляем итоговую сравнительную таблицу (таблица 2.7), в
которой представлено сравнение планов.
Таблица 2.7
Сравнение вариантов совокупного плана и выбор оптимальной
стратегии совокупного планирования
|
Статья затрат
|
План 1:
|
План 2:
Фиксированная плановая численность рабочих (16), вариация запасами готовой
продукции
|
План 3:
Фиксированная минимально необходимая численность рабочих (9) и субподряд
|
План 4:
Фиксированная минимально необходимая численность рабочих (14) и сверхурочные
работы
|
|
Объем
производства отслеживает независимый спрос вариативностью численности рабочих
|
|
|
|
|
Затраты на наем
рабочих
|
1 980,00
|
0,00
|
0,00
|
0,00
|
|
Затраты на
увольнение рабочих
|
1 260,00
|
0,00
|
0,00
|
0,00
|
|
Стоимость
хранения излишка продукции
|
1 425,00
|
1 370,00
|
0,00
|
595,00
|
|
Месячные потери
от дефицита продукции
|
0,00
|
6 750,00
|
0,00
|
0,00
|
|
Стоимость
продукции, изготовленной по субподряду
|
0,00
|
0,00
|
86 900,00
|
0,00
|
|
Оплата
сверхурочной работы
|
0,00
|
0,00
|
0,00
|
14 880,00
|
|
Прямая оплата
труда
|
160 320,00
|
161 280,00
|
90 720,00
|
141 120,00
|
|
Общие затраты
|
164 985,00
|
169 400,00
|
177 620,00
|
156 595,00
|
Проанализировав первые четыре стратегии, можно прийти к
выводу, что самой оптимальной является четвертая стратегия, так как общие
затраты по данному плану являются самыми низкими:
План 1: 164 985 грн.
План 2: 169 400 грн.
План 3: 177 620 грн.
План 4: 156 595 грн.
Этот план хорош тем, что не нужно увольнять или нанимать
работников, а достаточно предложить существующим работникам сверхурочную
работу, при данном оптимальном количестве рабочих нужно применить сверхурочные
работы только в июне.
1.6 Основной
план производства
Основной план производства (Master Production Schedule - MPS)
необходим для планирования выпуска конечной продукции. Однако, если конечный
продукт довольно сложный или дорогостоящий, основной план производства может
содержать также календарный план создания его основных узлов и компонентов.
По выбранному варианту совокупного плана составляется
основной план производства (МРЗ). В нем отображены плановые объемы
производства, объемы производства за счет сверхурочных работ, расходы на
хранение запасов и прямая оплата труда. Основной план производства представлен
в виде таблицы.
Пятая смешанная стратегия должна быть наиболее оптимальной и
минимизировать общие затраты производства. В результате проведенного анализа
затрат в таблице 2.7, можно прийти к выводу, что пятая смешанная стратегия не
обязательно будет является оптимальной, так как она не способна уменьшить общие
затраты. Это объясняется тем, что стоимость единицы продукции, полученной по
субподряду превышает стоимость единицы изготовленной продукции. Сверхурочную
работу при данном оптимальном количестве рабочих нужно применить в июне. В
марте будет целесообразнее применить субподряд. Так же в пятом плане
учитывается стоимость хранения оставшейся продукции, которая остается в январе,
февраля, апреле и мае.
В итоге за основу пятого плана берется четвертый план, с
учетом независимого спроса как производственной программы. Варьируемый объем
запасов готовой продукции, возможен дефицит запаса. Численность рабочих,
занятых в основное рабочее время, - фиксированная и определяется, выходя из средней
потребности в рабочих, обеспечивающих выполнение производственной программы
планового горизонта.
Таблицы 2.8
Расчет затрат по пятому варианту совокупного планирования
производственного плана
|
Показатели
|
январь
|
февр.
|
март
|
апрель
|
май
|
июнь
|
Всего
|
|
Запас на начало
месяца
|
140
|
170
|
79
|
30
|
84
|
56
|
|
|
Месячный фонд
рабочего времени одного рабочего
|
184
|
144
|
152
|
176
|
192
|
160
|
|
|
Месячный фонд
рабочего времени
|
2576
|
2016
|
2128
|
2464
|
2688
|
2240
|
|
|
Плановое
производство продукции
|
322
|
252
|
266
|
308
|
336
|
280
|
|
|
Независимый
спрос
|
269
|
343
|
315
|
254
|
364
|
460
|
|
|
Запас на конец
месяца
|
193
|
79
|
30
|
84
|
56
|
-124
|
|
|
Выпуск
продукции с помощью субподряда
|
0
|
0
|
0
|
0
|
0
|
124
|
|
|
Месячные
затраты на оплату субподряду
|
0
|
0
|
0
|
0
|
0
|
12400
|
12400
|
|
Резервный запас
|
81
|
103
|
95
|
77
|
110
|
138
|
|
|
Излишек
изготовленной продукции
|
112
|
0
|
0
|
7
|
0
|
0
|
|
|
Стоимость
хранения излишка продукции
|
560
|
0
|
0
|
35
|
0
|
0
|
595
|
|
Прямая оплата
труда
|
25760
|
20160
|
21280
|
24640
|
26880
|
22400
|
141120
|
|
Общие затраты,
грн
|
154115
|
Основной план производство построен по четвертому плану
производства, так как тот является наиболее выгодным. Но в основном плане нам
удалось снизить общие затраты на производства до 154 115 грн., так как в данном
плане вместо привлечения к сверхурочной работе основных работников, мы
используем субподряд. Себестоимость единицы продукции выпущенной в сверхурочное
время основными рабочими выше чем продукции выпущенной субподрядом, внеся эти
изменения мы экономим 156 595 (затраты по 4-му плану) - 154 115 (затраты по
5-му плану) = 2 480 грн.
1.7
Графическое сравнение вариантов совокупных планов
Для графического сравнения вариантов пяти совокупных планов
данные занесем нарастающим способом в таблицу 2.8 и по этим данным постоим
рисунок 2.1.
Таблица 2.9
Данные по плановому производству каждого варианта совокупного
планирования
|
Показатели
|
январь
|
февр.
|
март
|
апрель
|
май
|
июнь
|
|
Месячное
количество рабочих дней
|
23
|
18
|
19
|
22
|
24
|
20
|
|
Рабочие дни
нарастающим итогом
|
23
|
41
|
60
|
82
|
106
|
126
|
|
Плановое
производство нарастающим итогом по плану 1
|
230
|
590
|
894
|
1136
|
1544
|
2004
|
|
Плановое
производство нарастающим итогом по плану 2
|
368
|
656
|
960
|
1312
|
1696
|
2016
|
|
Плановое
производство нарастающим итогом по плану 3
|
207
|
369
|
540
|
738
|
954
|
1134
|
|
Плановое
производство нарастающим итогом по плану 4
|
322
|
574
|
840
|
1148
|
1484
|
1764
|
|
Плановое
производство нарастающим итогом по плану 5
|
322
|
574
|
840
|
1148
|
1484
|
1764
|
Рис. 2.1 Графическое сравнение вариантов совокупных планов
График на рисунке 2.1 отображает рост планового производства
с течением рабочих дней нарастающим итогом.
Выводы по
разделу 2
Во втором разделе курсовой работы "Совокупное
планирование производства" были сформулированы варианты совокупного плана,
предусматривающие установление темпа производства товаров на период от 6 до 18
месяцев. Совокупный план был составлен для установления оптимального сочетания
темпа производства, численности рабочей силы и объема имеющихся материальных
запасов.
Для составления планов были рассчитаны чистые месячные объемы
производства, которые определяют месячные производственные программы и
резервные запасы.
Сформулировав альтернативные производственные планы и
рассчитав затраты по ним, был определен основной план производства, то есть
план производства отдельных конечных изделий. В нем осуществляется разбивка
производственного плана, отражающая количество конечных изделий каждого вида,
которое требуется произвести в каждый период времени. Основной план
производства был составлен по выбранному в процессе сравнения варианту
совокупного плана. В нем были отображены плановые объемы производства, объемы
производства за счет сверхурочных работ, субподряда и другие показатели.
3.
Планирование материальных потребностей (mrp) во времени
Системы планирования материальных потребностей (Material
Requirements Planning - MRP) действуют почти во всех производственных фирмах -
даже тех, которые считаются мелкими. Причина в том, что MRP предоставляет
логичный, весьма доступный для понимания подход к проблеме определения
количества деталей, компонентов и материалов, необходимых для производства
каждого конечного продукта.
С помощью MRP можно также составить календарный план, в
котором будет точно указано, когда заказать или изготовить каждый из
необходимых материалов, компонентов и деталей.
Основой MRP является зависимый спрос. Зависимый спрос - это
спрос, определяемый потребностью в элементе более высокого уровня. [1]
На основании прогнозов спроса на изделие и заданный элемент
изделия, а также твердых заказов (см. задание и таблицу 1.4) для мая и июня
месяцев составляем МРР - графики распределения материальных потребностей во
времени по всем элементам изделия по методу "Партия за партией" (L4L
- метод) и по методу стандартных партий с полным использованием недельной
мощности Mi. Принимаем, что твердые заказы на изделие А всегда
приходятся на первую неделю месяца.
За плановый интервал принимаем одну неделю. В любом месяце -
4 недели.2 первые недели января - замороженная зона. Для МRР имеющийся запас на
начало планового интервала отвечает самой ранней общей потребности
соответствующего элемента.
Представим данные по циклам упреждения (LT), недельной
мощности на изготовление продукции (Mi) и по имеющимся запасам на
момент планирования по каждому элементу в таблице 3.1.
3.1
Планирование материальных потребностей (MRP) во времени по методу L4L (Партия
за партией)
Этот метод основан на предположении, что производственная
мощность или пропускная способность соответствующего производственного или
поставляемого звена неограниченна и необходимо только время выполнения заказа -
цикл упреждения (LТ) независимо от объема заказа.
Построение МRР - графика по методу "Партия за
партией" начинается с ближайшей недели, на которую уже известен
независимый спрос.
Как уже было определено в таблице 4 независимый спрос на
изделие А на начало пятого месяца - 364 единицы. Это количество в этом случае и
будет общей потребностью для изделия А на начало 17-й недели.
По изделию А в целом и по каждой составляющей может
существовать имеющийся запас (согласно условию - это 180 единиц изделия А),
который необходимо использовать в первую очередь. Поэтому, "Чистая
потребность", которую необходимо обеспечить на начало 17-й недели,
составит разницу между "Общей потребностью" и "Имеющимся
запасом", т.е.364-180= 184 единицы. В свою очередь, это значит, что
производство 184 изделий А должно закончится на 16-ой неделе и в первый день 17-ой
недели будет осуществлена "Плановая поставка" 184 изделий, что даст
возможность отгрузить сразу все 364 изделия А внешнему заказчику. Принимая во
внимание то, что для изготовления изделий А необходимо время LТ = 2 недели (см.
таблица 1.4), заказ на изготовление необходимо разместить на начало 15-й
недели.
Аналогично заполняются строчки МRР - графика для изделия А на
начало шестого месяца (21-ая неделя - 460 изделие), с учетом того, что в этом
случае имеющийся запас исчерпан.
Далее составляется график заказов для
составляющих I и последующих уровней дерева изделия. На I уровне находится две
составляющих: В и C в количестве 1 единиц каждая на одно изделие.
Конечный календарный график MRP, построенный по методу L4L
(Партия за партией), приведен в таблице 3.1.
|
|
|
|
9
|
10
|
11
|
12
|
13
|
14
|
15
|
16
|
17
|
18
|
19
|
20
|
21
|
22
|
Остаток
|
Общее
производство
|
|
Общая
потребность
|
А
|
|
|
|
|
|
|
|
|
364
|
|
|
|
460
|
|
|
824
|
|
Имеющийся запас
|
180
|
LT= 1
|
|
|
|
|
|
|
|
180
|
|
|
|
0
|
|
|
|
|
Чистая
потребность
|
|
|
|
|
|
|
|
|
|
184
|
|
|
|
460
|
|
|
|
|
Плановая
поставка
|
|
|
|
|
|
|
|
|
|
184
|
|
|
|
460
|
|
|
|
|
Плановая выдача
заказа
|
|
|
|
|
|
|
|
|
184
|
|
|
|
460
|
|
|
|
644
|
|
Общая
потребность (составная изделия)
|
В
|
|
|
|
|
|
|
|
184
|
|
|
|
460
|
|
|
|
644
|
|
Имеющийся запас
|
50
|
LT= 1
|
|
|
|
|
|
|
|
50
|
|
|
|
0
|
|
|
|
|
|
Чистая
потребность
|
|
|
|
|
|
|
|
|
134
|
|
|
|
460
|
|
|
|
|
|
Плановая
поставка
|
|
|
|
|
|
|
|
|
134
|
|
|
|
460
|
|
|
|
|
|
Плановая выдача
заказа
|
|
|
|
|
|
|
|
134
|
|
|
|
460
|
|
|
|
|
594
|
|
Общая
потребность (составная изделия)
|
С
|
|
|
|
|
|
|
|
184
|
|
|
|
460
|
|
|
|
644
|
|
Имеющийся запас
|
100
|
LT= 2
|
|
|
|
|
|
|
|
100
|
|
|
|
0
|
|
|
|
|
|
Чистая
потребность
|
|
|
|
|
|
|
|
|
84
|
|
|
|
460
|
|
|
|
|
|
Плановая
поставка
|
|
|
|
|
|
|
|
|
84
|
|
|
|
460
|
|
|
|
|
|
Плановая выдача
заказа
|
|
|
|
|
|
|
84
|
|
|
|
460
|
|
|
|
|
|
544
|
|
Общая
потребность (составная В)
|
D
|
|
|
|
|
|
|
268
|
|
|
|
460
|
|
|
|
|
728
|
|
Имеющийся запас
|
0
|
LT= 2
|
|
|
|
|
|
|
0
|
|
|
|
0
|
|
|
|
|
|
|
Чистая
потребность
|
|
|
|
|
|
|
|
268
|
|
|
|
460
|
|
|
|
|
|
|
Плановая
поставка
|
|
|
|
|
|
|
|
268
|
|
|
|
460
|
|
|
|
|
|
|
Плановая выдача
заказа
|
|
|
|
|
|
268
|
|
|
|
460
|
|
|
|
|
|
|
728
|
|
Составная
изделия А
|
|
|
|
|
|
|
|
|
184
|
|
|
|
460
|
|
|
|
3782
|
|
Составная
элемента В
|
|
|
|
|
|
|
134
|
|
|
|
460
|
|
|
|
|
|
|
Составная
элемента С
|
|
|
|
|
|
|
168
|
|
|
|
920
|
|
|
|
|
|
|
|
Составная
элемента D
|
|
|
|
|
|
536
|
|
|
|
920
|
|
|
|
|
|
|
|
|
Общая
потребность
|
E
|
|
|
|
|
536
|
168
|
134
|
184
|
920
|
920
|
460
|
460
|
|
|
|
|
|
Имеющийся запас
|
200
|
LT= 1
|
|
|
|
|
200
|
0
|
0
|
0
|
0
|
0
|
0
|
0
|
|
|
|
|
|
Чистая
потребность
|
|
|
|
|
|
336
|
168
|
134
|
184
|
920
|
920
|
460
|
460
|
|
|
|
|
|
Плановая
поставка
|
|
|
|
|
|
336
|
168
|
134
|
184
|
920
|
920
|
460
|
460
|
|
|
|
|
|
Плановая выдача
заказа
|
|
|
|
|
336
|
168
|
134
|
184
|
920
|
920
|
460
|
460
|
|
|
|
|
3582
|
|
Независимый
спрос
|
|
|
|
|
|
|
|
|
|
|
|
50
|
|
|
30
|
|
4984
|
|
Составная
элемента С
|
|
|
|
|
|
|
420
|
|
|
|
2300
|
|
|
|
|
|
|
|
Составная
элемента D
|
|
|
|
|
|
804
|
|
|
|
1380
|
|
|
|
|
|
|
|
|
Общая
потребность
|
F
|
|
|
|
|
804
|
420
|
|
|
1380
|
2300
|
50
|
|
|
30
|
|
|
|
Имеющийся запас
|
150
|
LT= 2
|
|
|
|
|
150
|
0
|
|
|
0
|
0
|
0
|
|
|
0
|
|
|
|
Чистая
потребность
|
|
|
|
|
|
654
|
420
|
|
|
1380
|
2300
|
50
|
|
|
30
|
|
|
|
Плановая
поставка
|
|
|
|
|
|
654
|
420
|
|
|
1380
|
2300
|
50
|
|
|
30
|
|
|
|
Плановая выдача
заказа
|
|
|
|
654
|
420
|
|
|
1380
|
2300
|
50
|
|
|
30
|
|
|
|
4834
|
1.1. 3.2
Планирование материальных потребностей (MRP) во времени по методу стандартных
недельных партий
Этот метод основан на том, что на плановую поставку влияет
объем заказа, производственная мощность или пропускная способность
соответствующего производственного или поставляемого звена ограниченна и у
предприятия появляется остаток продукции, в результате удовлетворения общей
потребности. [1]
Построение МRР - графика по методу стандартных недельных
партий начинается с ближайшей недели, на которую уже известен независимый
спрос.
Как уже было определено в таблице 4 независимый спрос на
изделие А на начало пятого месяца - 478 единицы. Это количество в этом случае и
будет общей потребностью для изделия А на начало 17-й недели.
Конечный календарный график MRP, построенный по методу
стандартных недельных партий, приведен в таблице 3.2.
|
|
|
|
11
|
12
|
13
|
14
|
15
|
16
|
17
|
18
|
19
|
20
|
21
|
22
|
Остаток
|
Общее
производство
|
|
Общая потребность
|
А
|
|
|
|
|
|
|
364
|
|
|
|
460
|
|
356
|
1000
|
|
Имеющийся запас
|
180
|
М=1000
|
|
|
|
|
|
|
180
|
|
|
|
816
|
|
|
|
|
Чистая
потребность
|
|
|
|
|
|
|
|
184
|
|
|
|
0
|
|
|
|
|
Плановая
поставка
|
|
|
|
|
|
|
|
1000
|
|
|
|
0
|
|
|
|
|
|
|
|
1000
|
|
|
|
|
|
|
|
1180
|
|
Общая
потребность (составная изделия)
|
В
|
|
|
|
|
|
184
|
|
|
|
460
|
|
|
306
|
900
|
|
Имеющийся запас
|
50
|
М=900
|
|
|
|
|
|
50
|
|
|
|
766
|
|
|
|
|
|
Чистая
потребность
|
|
|
|
|
|
|
134
|
|
|
|
0
|
|
|
|
|
|
Плановая
поставка
|
|
|
|
|
|
|
900
|
|
|
|
0
|
|
|
|
|
|
Плановая выдача
заказа
|
|
|
|
|
|
900
|
|
|
|
|
|
|
|
|
950
|
|
Общая
потребность (составная изделия)
|
С
|
|
|
|
|
|
184
|
|
|
|
460
|
|
|
836
|
1380
|
|
Имеющийся запас
|
100
|
М=1380
|
|
|
|
|
|
100
|
|
|
|
1296
|
|
|
|
|
|
Чистая
потребность
|
|
|
|
|
|
|
84
|
|
|
|
0
|
|
|
|
|
|
Плановая
поставка
|
|
|
|
|
|
|
1380
|
|
|
|
0
|
|
|
|
|
|
Плановая выдача
заказа
|
|
|
|
|
1380
|
|
|
|
|
|
|
|
|
|
1480
|
|
Общая
потребность (составная В)
|
D
|
|
|
|
|
268
|
|
|
|
460
|
|
|
|
2022
|
2750
|
|
Имеющийся запас
|
0
|
М=2750
|
|
|
|
|
0
|
|
|
|
2482
|
|
|
|
|
|
|
Чистая
потребность
|
|
|
|
|
|
268
|
|
|
|
0
|
|
|
|
|
|
|
Плановая
поставка
|
|
|
|
|
|
2750
|
|
|
|
0
|
|
|
|
|
|
|
Плановая выдача
заказа
|
|
|
|
2750
|
|
|
|
|
|
|
|
|
|
|
2750
|
|
Составная
изделия А
|
|
|
|
|
|
|
184
|
|
|
|
460
|
|
|
3518
|
7100
|
|
Составная
элемента В
|
|
|
|
|
|
134
|
|
|
|
460
|
|
|
|
|
|
|
Составная
элемента С
|
|
|
|
|
168
|
|
|
|
920
|
|
|
|
|
|
|
|
Составная
элемента D
|
|
|
|
536
|
|
|
|
920
|
|
|
|
|
|
|
|
|
Общая
потребность
|
E
|
|
|
536
|
168
|
134
|
184
|
920
|
920
|
460
|
460
|
|
|
|
|
|
Имеющийся запас
|
200
|
М=3550
|
|
|
200
|
3214
|
3046
|
2912
|
2728
|
1808
|
888
|
428
|
|
|
|
|
|
Чистая
потребность
|
|
|
|
336
|
0
|
0
|
0
|
0
|
0
|
0
|
32
|
|
|
|
|
|
Плановая
поставка
|
|
|
|
3550
|
0
|
0
|
0
|
0
|
0
|
0
|
3550
|
|
|
|
|
Плановая выдача
заказа
|
|
|
3550
|
|
|
|
|
|
|
3550
|
|
|
|
|
7300
|
|
Независимый
спрос
|
|
|
|
|
|
|
|
|
|
50
|
|
|
30
|
1766
|
6600
|
|
Составная
элемента С
|
|
|
|
|
420
|
|
|
|
2300
|
|
|
|
|
|
|
|
Составная элемента
D
|
|
|
|
804
|
|
|
|
1380
|
|
|
|
|
|
|
|
|
Общая
потребность
|
F
|
|
|
804
|
420
|
|
|
1380
|
2300
|
50
|
|
|
30
|
|
|
|
Имеющийся запас
|
150
|
М=3300
|
|
|
150
|
2646
|
2226
|
2226
|
2226
|
846
|
1846
|
1796
|
1796
|
1796
|
|
|
|
Чистая
потребность
|
|
|
|
654
|
0
|
|
|
0
|
1454
|
0
|
|
|
0
|
|
|
|
Плановая
поставка
|
|
|
|
3300
|
0
|
|
|
0
|
3300
|
0
|
|
|
0
|
|
|
|
Плановая выдача
заказа
|
|
3300
|
|
|
|
|
3300
|
|
|
|
|
|
|
|
6750
|
1.1. 3.3 Сравнение
объёмов производства элементов для разных MRP-методов
На основании данных таблиц 1.5, 3.1 и 3.2 составляем итоговую
таблицу 3.3.
Таблица 3.3
Объемы заказов в 5-м и 6-м месяцах за счет имеющегося запаса
в MRP - системе.
|
Элемент
|
Чистая общая
потребность
|
Имеющийся запас
на начало планирования
|
Подлежит
производству по MRP по методу L4L
|
MRP по методу
стандартных партий
|
|
|
|
|
Подлежит
производ-ству
|
Остаток на
будущий период
|
|
A
|
824
|
180
|
644
|
1000
|
356
|
|
B
|
644
|
50
|
594
|
900
|
306
|
|
C
|
644
|
100
|
544
|
1380
|
836
|
|
D
|
728
|
0
|
728
|
2750
|
2022
|
|
E
|
3782
|
200
|
3582
|
7100
|
3518
|
|
F
|
4984
|
150
|
4834
|
6600
|
1766
|
Построив календарные MRP-графики 2 методами, можно сделать
вывод о том, что объем производства элементов, полученный используя метод
"партия за партией" меньше объема производства, полученного по методу
"стандартных недельных партий". В результате, используя второй метод
мы можем произвести больше продукции с сохранением остатка на будущие периоды.
Если же использовать первый метод, то объем производства элементов выходит
меньше и "имеющиеся запасы" используются полностью.
Выводы по
разделу 3
В данном разделе было проведено планирование материальных
потребностей во времени двумя способами: методом "Партия за партией"
(метод основан на предположении, что производственная мощность или пропускная
способность соответствующего производственного или поставляемого звена
неограниченна и необходимо только время выполнения заказа - цикл упреждения
(LT) независимо от объема заказа) и методом "стандартных недельных
партий" (метод основан на том, что на плановую поставку влияет объем
заказа, производственная мощность или пропускная способность соответствующего
производственного или поставляемого звена ограниченна и у предприятия
появляется остаток продукции, в результате удовлетворения общей потребности).
Оба метода имеют свои преимущества и недостатки. Перед нами
стояла цель найти оптимальный вариант, при котором производство будет иметь
непрерывный характер, и в то же время будет экономически целесообразным.
Поставленная цель была достигнута. Путем применения различных методов было
установлено, что наиболее выгодным является метод L4L, так как мы наблюдаем,
что пользуясь распределением материальных потребностей во времени по всем
элементам изделия по методу "Партия за партией" остатки на будущие
периоды гораздо ниже, чем остатки при использовании метода стандартных партий.
совокупное планирование материальная потребность
Выводы
Основной целью данной курсовой работы являлось
прогнозирование независимого спроса, совокупное планирование производства и
планирование материальных потребностей (MRP).
На протяжении рассматриваемого периода из 18 месяцев спрос на
изделие А и F
имеет тенденцию к попеременному росту и спаду. Это положение мы выдвигаем
основываясь на спрогнозированном нами независимом спросе для изделия А и
элемента F.
При совокупном планировании производства мы сформулировали 5
вариантов совокупного плана:
. Объем производств отслеживает независимый спрос
вариативностью численностью рабочих. В данном плане общие затраты составили 164
985 грн.
. Фиксированная плановая численность рабочих составляет 16
человек, вариация запасами готовой продукции. В данном плане общие затраты
составили 169 400 грн.
. Фиксированная минимально необходимая численность рабочих
составила 9 человек и применяется субподряд. В данном плане общие затраты
составили 177 620 грн.
. Фиксированная численность рабочих составила 14 человек и
применяются сверхурочные работы. В данном плане общие затраты составили 156 595
грн.
. Фиксированная численность рабочих составила 14 человек,
применение субподряда и сверхурочных работ. В данном плане общие затраты
составили 154115грн.
Проанализировав полученные результаты, можно сделать вывод
что, наиболее оптимальным по общим затратам вышел 5 план, основанный на
четвертом плане и субподряде. В этом плане применяется фиксированная
численность рабочих.
Последним этапом определения материальных потребностей
производства является планирование материальных потребностей (MRP), которое осуществлялось
с использованием 2 методов: метода "партия за партией" и метод
стандартных недельных партий. Построив календарные MRP - графики по каждому из
методов мы определили плановые поставки по каждому из элементов. В результате
мы пришли к выводу, что используя любой метод, плановые выдачи заказов начнутся
с 11 и закончатся на 22 неделе. Также необходимо отметит что, в случае
использования второго метода поставок у нас имеется остаток на будущие периоды
в значительном объеме. Следовательно, из вышесказанного можно подвести итог,
что второй метод выгоднее.
В данной курсовой работе мы определили цель управления
спросом, которая состоит в координации и контроле всех источников спроса для
эффективного использования производственной системы и своевременной поставки
продукции. При создании новой продукции прогнозы разрабатывают с помощью
недорогих методов, используя линии тренда для прогноза спроса и построение МRP графиков для
планирования материальных потребностей во времени.
Список
использованных источников
1. Козловский
В.А., Маркина Т.В., Макаров В.М. Производственный и операционный менеджмент/
Учебн. - СПб.: "Специальная литература", 1998. - 366 с.
2. Чейз
Р.Б., Джейкобз Ф.Р., Аквилано Н. Дж., Производственный и операционный
менеджмент, 10 - е изд.: Пер. с англ. Под редакцией Н.А. Коржа - М.: ООО
"И.Д. Вильямс", 2007. - 1184с.
. Голованов
В.Н., Федоренко Н. М, Кононенко А.В. Операционный менеджмент. Методические
рекомендации по выполнению курсовой работы.