Нераспределенный капитал. Курс акций

  • Вид работы:
    Контрольная работа
  • Предмет:
    Менеджмент
  • Язык:
    Русский
    ,
    Формат файла:
    MS Word
    37,12 Кб
  • Опубликовано:
    2013-04-23
Вы можете узнать стоимость помощи в написании студенческой работы.
Помощь в написании работы, которую точно примут!

Нераспределенный капитал. Курс акций

Задача 1

Определить сумму нераспределенной прибыли на основании следующих данных:

Показатель

Сумма

1

Выручка за реализованную продукцию

400 000

2

Себестоимость

200 000

3

Выручка за реализованное имущество

250 000

4

Себестоимость

50 000

5

Внереализационные доходы

100 000

6

Внереализационные расходы

25 000

7

Балансовая прибыль


8

Ставка налога на прибыль

24 %

9

Сумма налога на прибыль


10

Чистая прибыль


11

Фонд накопления

15 %

12

Фонд потребления

25 %

13

Нераспределенная прибыль



Решение:

Показатель

Сумма

1

Выручка за реализованную продукцию

400 000

2

Себестоимость

200 000

3

Выручка за реализованное имущество

250 000

4

Себестоимость

50 000

5

Внереализационные доходы

100 000

6

Внереализационные расходы

25 000

7

Балансовая прибыль

475 000

8

Ставка налога на прибыль

24%

9

Сумма налога на прибыль

10

Чистая прибыль

361 000

11

Фонд накопления

54 150

12

Фонд потребления

90 250

13

Нераспределенная прибыль

216 600


Задача 2

Рассчитать средний курс акции, если величина дивиденда по акциям 25000, банки выплачивают по вкладам 60% годовых.

Решение:

Определим средний курс акции:

СКак = Дак / СТпр * 100%;

Дак - величина дивиденда по акциям;

СТпр - средняя банковская процентная ставка;

СКкак = 25 000 / 60 * 100% = 41 666, 67

Задача 3

Страхование коммерческой сделки.

Покупатель хочет купить у продавца товар на сумму 80 000 рублей. Им нужны гарантии для заключения сделки, и они обращаются в страховое общество, которое страхует сделку продавца и покупателя на 80 000 рублей. Страховой тариф для покупателя и продавца составляет 12 %.

Определить общую сумму страховой премии, полученной обществом.

Решение:

Страховая премия (страховой взнос) - это плата за страхование, выражающая эквивалентность страхового отношения и возмездность договора страхования.

Определим общую сумму страховой премии:

П=80000*0,12+80000*0,12=19200 руб.

Задача 4

Определить сумму поступления средств в фонд накопления балансовым методом, если остаток фонда накопления на плановый год - 100 000 рублей. В течение года за счет фонда накопления планируется приобрести новое оборудование на сумму 500000 рублей. На конец года предполагается остаток фонда накопления 30000 руб.

Решение:

Сумма поступлений средств в фонд накопления определяется по формуле:

П=В+ Ок-Он,

где В - расход средств фонда;

Он - остаток средств фонда на начало планового периода;

Ок - остаток средств фонда на конец планового периода.

Таким образом, план поступлений средств в фонд накопления составляет:

П=500+30-100=430 тыс. руб.

Задача 5

Определить план оборота товаров по покупным ценам и плановый объем товарных запасов, если план товарооборота по продажным (розничным) ценам магазина на квартал - 9 000 рублей. Уровень торговой надбавки - 25% к покупной цене. Количество дней в квартале - 90. Норма товарного запаса - 12 дней.

Решение:

) Реализация покупных товаров в стоимостном выражении составляет оборот по покупным товарам.

Определим план оборота товаров по покупным (оптовым) ценам:

О= 9000:(1+ 0,25) = 7200 руб.

) Норма запаса - это расчетное минимальное количество сырьевых, комплектующих материалов или готовой продукции, которое должно находиться у производственных или торговых предприятий для обеспечения бесперебойного снабжения производства или покупателей товаров.

Определим плановый объем товарных запасов по формуле:


где О - оборота товаров по покупным (оптовым) ценам;

Т - продолжительность периода;

Нтз - норма товарного запаса.

ТЗ= 7200:90*12 = 960 руб.

Задача 6

По двум вариантам вложения капитала определить более рентабельный способ, по следующим данным:вариант: при капиталовложениях на сумму 500 000 рублей, прибыль составляет - 200 000 рублей.вариант: при капиталовложениях на сумму 700 000 рублей, прибыль равна 250 000 рублей.

Решение:

Рентабельность капитала определяется по формуле:

Рк = П/Квлож * 100%

Рассчитаем рентабельность по каждому варианту:

вариант: Рк1 = (200000 / 500000) * 100% = 40%вариант: Рк2 = (250000 / 700000) * 100% = 35,7%

Ответ: I вариант вложений более рентабельный.

Задача 7

Определить потребность в денежных средствах в кассе по следующим данным:

а) товарооборот на квартал составляет 2 700 000 рублей;

б) однодневный товарооборот равен (рассчитать самим);

в) норма запаса денежных средств в днях - 1.

Решение:

) Определим однодневный товарооборот как отношение товарооборота за период к длительности периода:

То=2700:90=30 тыс. руб.

) Потребность в денежных средствах равна:

Пден = ТО * N ден. = 30* 1 = 30 тыс. руб.

Задача 8


Показатели

На начало года

На конец года

Собственные средства

390 800

392 100

Общая сумма заемных источников

392 300

393 210


Решение:

Коэффициент автономии характеризует долю собственности владельцев предприятия в общей сумме авансированных средств и рассчитывается по формуле:


где СС - собственные средства;

ЗС - заемные средства.


Таким образом, результаты проведенных расчетов показывают, что как на начало, так и на конец рассматриваемого периода расчетное значение коэффициента автономии не соответствовало нормативному (0,449<0,6 и 0,499<0,6). Коэффициент автономии свидетельствует, что предприятие зависит от внешних источников финансирования, т.е. стабильность деятельности предприятия находится под воздействием факторов внешней среды. С точки зрения инвестиционной привлекательности инвестирование средств в данное предприятие является рискованным. Однако за отчетный период наблюдается положительная тенденция роста коэффициента автономии - с 44,9% до 49,9%, т.е. увеличение данного показателя составило 5%.

Задача 9

Определить среднеквартальную величину финансовых ресурсов за предплановый (базисный) период и объем финансовых ресурсов на плановый квартал, если объем использования финансовых ресурсов по кварталам базисного периода составлял - 14 000 рублей, 11 000 рублей, 15 000 рублей, 16 000 рублей. Оценка перспектив изменения объема использования этих ресурсов показала, что в плановом квартале потребность в них должна возрасти на 20 %.

Решение:

) Определим среднеквартальную величину финансовых ресурсов за предплановый (базисный) период по формуле средней арифметической:


) Объем финансовых ресурсов на плановый квартал планируется в размере:

ФРпл=14*(1+0,2)=16,8 тыс. руб.

Задача 10

Определить потребность в оборотных средствах по запасам товаров по следующим данным:

а) оборот товаров по покупным ценам на квартал 184 500;

б) однодневный оборот (рассчитать самим);

в) норма запасов в днях 2.

Решение:

) Рассчитаем однодневный оборот товаров как отношение оборота товаров за период к длительности периода:

То=184,5:90=2,05 тыс. руб.

) Потребность в оборотных средствах по запасам товаров составит:

Пден = ТО * N ден. = 2,05*2 = 4,1 тыс. руб.

Задача 11

Экономическая рентабельность - 18%, процент по кредиту - 15%, заемные средства - 1,3 млн.руб., собственные средства - 2,0 млн.руб. На сколько можно увеличить заемные средства при повышении процента за кредит до 16%, чтобы удержать эффект финансового рычага на прежнем уровне ?

Решение:

Показатель, отражающий уровень дополнительной прибыли при использования заемного капитала называется эффектом финансового рычага. Он рассчитывается по следующей формуле:

ЭФР = (1 - Сн) × (КР - Ск) × ЗК/СК,

где:

ЭФР - эффект финансового рычага, %.

Сн - ставка налога на прибыль, в десятичном выражении.

КР - коэффициент рентабельности активов (отношение валовой прибыли к средней стоимости активов), %.

Ск - средний размер ставки процентов за кредит, %. Для более точного расчета можно брать средневзвешенную ставку за кредит.

ЗК - средняя сумма используемого заемного капитала.

СК - средняя сумма собственного капитала.

В нашем случае влияние налогообложения не учитывается:

ЭФР = (КР - Ск) × ЗК/СК,

ЭФР = (18 - 15) * 1,3/2 = 1,95

Найдем из этой формулы ЗК:

ЗК = ЭФР / (КР - Ск) × СК,

При повышении процента за кредит до 16%:

ЗК = 1,95 / (18 - 16) * 2 = 1,95 млн.руб.

Ответ: чтобы удержать эффект финансового рычага на прежнем уровне нужно увеличить заемные средства до 1,95 млн.руб.

Задача 12

Стоимость объекта 150 000 рублей. Страховая сумма 50 000 рублей. Убыток страхователя 30 000 рублей. Определить страховое возмещение.

Решение:

При неполном страховании страховая компания возмещает ущерб пропорционально отношению страховой суммы к страховой стоимости в момент наступления страхового случая (считаем, что страховая стоимость объекта равна стоимости объекта по условию задачи).

Страховое возмещение = 30 000 * (50 000 / 150 000) = 10 000 рублей

рентабельность капитал репорт сделка

Задача 13

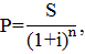
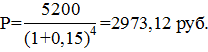
Клиент через 4 года получил со счета в банке 5 200 рублей. Годовая ставка - 15%. Определить первоначальный вклад.

Решение:

Определим сумму первоначального вклада по формуле сложных процентов:


где S - наращенная сумма вклада;- ставка процента;- число лет.


Таким образом, первоначальная сумма вклада равна 2973,12 руб.

Задача 14

Решение:

Репорт представляет собой срочную сделку, при которой владелец валюты продаёт ее банку с обязательством последующего выкупа через определенный срок по новому, более высокому курсу, так как он предполагает, что в это время курс валюты на рынке будет выше курса выкупа валюты в банке, и он получит прибыль за счет экономии денежных средств. Вычислим однодневный репорт по формуле:


где P - первоначальная сумма долга; - число дней ссуды,

К - число дней в году, или временная база начисления процентов.- ставка наращения процентов в виде десятичной дроби;


Задача 15

Если в США товар стоит 100 долларов, а в России 26 тысяч рублей, то сколько можно купить рублей за 1 доллар?

Решение:

Согласно условию задачи:

дол.=26 000 руб.

Тогда курс доллара по отношению к рублю равен:

:100=26000:100

долл.=260 руб.

Таким образом, за 1 доллар можно купить 260 руб.

Список литературы

1. Бухвалов А., Бухвалова В., Идельсон А. Финансовые вычисления для профессионалов. СПб.: БХВ-Петербург, 2001. - 320 с.

. Ершов Ю.С. Финансовая математика, ООО «Бизнес ПРАКТИКА», Новосибирск, 2002 - 212 с.

. Малюгин В.И. Рынок ценных бумаг: Количественные методы анализа. Мн.: БГУ, 2001. - 318 с.

. Малыхин В.И. Финансовая математика. М.: ЮНИТИ-ДАНА, 2002. - 247 с.

. Просветов Г.И. Финансовый менеджмент: задачи и решения. М.: Альфа-Пресс, 2007 - 340 с.

Похожие работы на - Нераспределенный капитал. Курс акций

 

Не нашли материал для своей работы?
Поможем написать уникальную работу
Без плагиата!
Без нейросетей!