Анализ рынка аренды Мариуполя
Анализ рынка аренды Мариуполя
Введение
Вопрос аренды жилья, его качества
достаточно актуален в наше время. Аренда квартир - услуга востребованная. Иметь
собственное жильё для некоторой части населения является настоящей роскошью.
Поэтому особенно часто арендуют квартиры молодые семьи, у которых нет
возможности взять кредит. Популярна аренда среди молодых людей, которые хотят
жить отдельно от родителей. Люди, приехавшие в Украину в командировку на
продолжительное время, также будут арендовать квартиру, т.к. жить в гостинице -
удовольствие не из дешёвых. В Украине семьи могут снимать квартиры
десятилетиями.
В данной работе ставиться цель
исследовать качество снимаемого жилья в городе Мариуполе
Задачи исследования: оценить
качество снимаемого жилья в зависимости от степени важности цены, района,
ремонта в квартире, инфраструктуры; статуса, дохода, времени аренды. Определить
какие квартиры пользуются спросом, срок сдачи в аренду
1. Маркетинговые
исследование. Определение. Этапы
Рыночные или маркетинговые
исследования (marketing research) - комплекс мероприятий, предполагающих сбор, регистрацию и
анализ информации с целью облегчения процесса принятия ответственных
управленческих решений. Степень важности этой информации определяется мерой
риска, связанного с принятием решения.
Маркетинговые исследования - это
экономически целесообразный способ определения того, в чем нуждаются
потребители, чего желают, о чем думают, во что верят или что делают. Это
информация, которая не может быть получена никаким иным способом. Результаты
маркетинговых исследований помогают производить товары, оказывать услуги или
проводить политику в соответствии с требованиями потребителей, общества.
Основной задачей маркетинговых
исследований является оказание помощи менеджерам в принятии более правильных
решений по текущим вопросам во всех сферах их многоплановой деятельности.
Основные направления маркетинговых
(рыночных) исследований:
· оценка объемов и
структуры спроса в регионе;
· оценка реального
предложения в изучаемом секторе рынка, информация об объеме и структуре
(ассортимент / цена) предложения;
· предпочтения
потребителей, определение факторов, существенно влияющих на их поведение;
· определение
«портрета» Потребителя, его информационных предпочтений;
· тестирование рекламных
идей, материалов и т.п.;
· анализ
эффективности рекламных мероприятий.
Информация, необходимая для решения
исследовательской задачи, может быть разделена на два вида - «первичную» и
«вторичную».
Основные методы сбора первичной
маркетинговой информации:
Глубинные интервью (неформальная
личная беседа
Фокус-группы
Телефонный опрос
Экспертный опрос
Холл-тесты
Этапы процесса
маркетинговых исследований
Любое маркетинговое исследование состоит
из 6 этапов.
. Определение проблемы (может изображаться в виде дерева проблем) состоит из 3-х фаз
(рис. 2.1).
Выбор проекта (плана) исследования
План исследования заключается в выборе проекта исследования, который обеспечивает
сбор необходимой информации, структура и содержание которой зависят от решаемой
проблемы.
В своей работе я буду использовать
разведочные исследования. А именно: работать с учетной информацией,
литературными источниками, результатами прошлых исследований и т.д.
Осуществлять опросы фокус-групп - личное собеседование с небольшим количеством
людей; интервью, рассчитанное на групповую дискуссию. Проводить экспертные
опросы - интервью со специалистами, хорошо разбирающихся в проблеме, в моем
случае - с риэлторами крупных агентств недвижимости.
Также в своей работе я буду
применять описательные (дескриптивные) исследования. Это исследования, в
которых основное внимание уделяется определению частоты возникновения того или
иного события или установлению взаимозависимостей между двумя или несколькими
переменными, в основе этого исследования лежит гипотеза.
. Определение метода сбора данных
. Разработка форм, заполняемых в
ходе наблюдения
. Проектировании выборки и сбора
данных
. Анализ и интерпретация данных
. Подготовка отчета о результатах
исследования
.1 Теоретические основы
аренды
Аре́нда (лат. arrendare - отдавать в наём) - форма имущественного
договора или соглашения, по которому собственник передаёт арендатору право
пользования и исключительного владения имуществом на определенное время при
условии уплаты арендной платы.
Стороны договора
Арендодатель (лессор) - физическое
или юридическое лицо, которое предоставляет имущество арендатору за плату во
временное пользование и владение или во временное пользование. Сдавать в аренду
имущество может только его собственник или лицо, уполномоченное на это
собственником либо законом.
Арендатор (лесси, посессор, рентер,
тенант) - физическое или юридическое лицо, заключившее договор аренды и
оплачивающее пользование и владение или пользование предоставленным имуществом
арендодателю. К арендатору гражданское законодательство не предусматривает
каких-либо требований и ограничений (за исключением гражданской дееспособности,
как и к иным субъектам гражданско-правовых отношений).
Сроки договора
По законам Украины срок договора
аренды устанавливается соглашением сторон и фиксируется в договоре. Если же
срок в договоре не определён, то такой договор считается заключённым на
неопределённый срок. Такой случай позволяет сторонам договора в любое время
отказаться от его исполнения, но заранее предупредив об этом другую сторону за
один месяц, а при аренде недвижимого имущества за три месяца.
Бессрочный: срок договора не
определён соглашением сторон
Долгосрочный: 5 - 20 лет
Среднесрочный: 1-5 лет
Краткосрочный: до 1 года
Нае́м жил́ых пом́ещений - один из видов арендных отношений. Он имеет место, когда
объектом арендных отношений является жилое помещение. При найме жилых
помещений, находящихся в частной собственности, одна из сторон в лице
собственника жилого помещения или его представителя (наймодатель) обязуется
предоставить другой стороне (нанимателю) жилое помещение по договору найма за
плату во владение и пользование для проживания в нем. В государственном и
частном жилищном фонде социального использования жилые помещения
предоставляются гражданам по договору социального найма жилого помещения.
Правовые аспекты, возникающие при найме жилых помещений, регламентируются
В главе 59 - Гражданского кодекса
Украины-Найм (аренда) жилья
2. Состояние мирового
рынка недвижимости
.1 Самая дорогая
недвижимость в мире
Аналитическое агентство Savills [6]
провело исследование мирового рынка недвижимости. При этом были изучены
различные показатели всего рынка в целом и отдельных его сегментом. Изучив
самые крупные города мира, было установлено, где находиться самая дорогая
недвижимость:
Ипотека, как вид кредитования
наиболее доступна в таких странах:
|
Страна
|
Ставки по ипотечному кредиту, в%
годовых
|
|
Франция
|
2,9%
|
|
Англия
|
3,2%
|
|
Германия
|
3,3%
|
|
Австрия
|
3,4%
|
Наиболее дорогие ставки для
промышленной недвижимости в странах Азии. Самыми экстремальными условиями
располагают такие страны как Сингапур, район Большой Джакарты, в Китае - Пекин.
В последнее время там наблюдался колоссально резкий рост арендных ставок.
Однако первенство, все равно, десятый год подряд занимает в этом сегменте
лондонский район Хитроу, где аренда стоит более 230 евро за 1 квадрат.
За период с 1 по 3 квартал 2011 года
цены снизились в 70% стран, входящих в Глобальный индекс цен на жилье Knight
Frank.
При этом Азиатско-Тихоокеанский регион
стал лидером роста - цены на недвижимость здесь в среднем выросли на 7,8%.
Наибольшее подорожание недвижимости
наблюдалось в Гонконге, Тайване, Сингапуре.
Высшие строчки рейтинга занимают
Ирландия, Греция, США где годовое падение цен на жилье составило около 10%.
Глобальный индекс цен на жилье
Knight Frank, 1 квартал 2010 года
Изменение цены на жилую недвижимость
в % по сравнению с прошлым годом
|
Страна
|
2010
|
2011
|
|
Ирландия
|
-11,83
|
-14,84
|
|
Греция
|
-2,3
|
-9,88
|
|
Япония(Токио)
|
-1,0
|
-9,52
|
|
США
|
-1,7
|
-9,05
|
|
Испания
|
-1,6
|
-8,43
|
|
Украина
|
-0,3
|
-8,42
|
|
Хорватия
|
-3,5
|
-6,55
|
|
Словакия
|
-1,6
|
-6,49
|
|
Португалия
|
0,3
|
-5,67
|
|
Великобритания
|
0,5
|
-5,33
|
|
Россия
|
-2,7
|
-5,25
|
|
Литва
|
-1,5
|
-4,29
|
|
Нидерланды
|
1,0
|
-4,07
|
|
Латвия
|
9,8
|
-3,8
|
|
Турция
|
0,2
|
-1,55
|
|
Швеция
|
1,9
|
-1,35
|
|
Германия
|
1,4
|
-0,65
|
|
Финляндия
|
10,24
|
0,18
|
|
Исландия
|
-9,04
|
0,6
|
|
Франция
|
0,5
|
4,65
|
|
Эстония
|
0,4
|
4,94
|
|
Сингапур
|
34
|
5,27
|
|
Израиль
|
-3,38
|
5,4
|
|
Норвегия
|
3,4
|
5,93
|
|
Тайвань
|
11,51
|
6,43
|
|
Гонконг
|
6,2
|
19,76
|
Рынок недвижимости развивается так
же, как и ситуация в экономиках. В странах, переживших тяжелый кризис и где
экономика медленно восстанавливается (это прежде всего развитые страны Запада),
стагнируют и рынки недвижимости. В странах, где банковский сектор и экономика
особо не пострадали в результате кризиса 2008-2009 гг. и где ВВП быстро растет
(в основном ведущие развивающиеся страны, а также крупные добытчики сырья среди
развитых экономик), рынок жилья также демонстрирует быстрые темпы роста.
Наиболее привлекательная
недвижимость для корпоративных инвесторов находиться в Великобритании. Это
объясняется тем, что там рынок жестко контролируется, юристы застрахованы
государством, нет понятия недостроя или долгостроя - Англия стоит на первом
месте по чистоте сделок.
Также большим вниманием пользуется
аренда в Норвегии, сопоставимая с Лондоном. И цены похожи. Скандинавские страны
- это хорошие рынки, особенно Норвегия со своим замечательным фондом - нефтью,
и, как следствие, большой потребительской способностью.
Есть страны, которые вообще не
вспоминают, когда говорят о покупке недвижимости - Молдавия, Румыния, Албания.
Рынок недвижимости там есть. Там реально можно заработать деньги, но нужно быть
профессионалом. Частному инвестору там делать нечего.»
Эти рынки никто не рассматривает,
т.к. вопрос идет о безопасности, цивилизованности страны, режиме управления,
политической стабильности, инфраструктуре
2.2 Особенности в
посуточной аренде разных стран
Посуточная аренда недвижимости
развита во многих странах мира, но не везде одинаковые условия пользования
данной услугой. В странах Европейского Союза выгоднее будет арендовать квартиру
или апартаменты, а не снимать дорогой номер в отеле.
В Германии весь процесс аренды
пропитан присущей этой нации щепетильностью и строгостью. Найти подходящий
вариант проживания можно по объявлениям в Интернете, через агентства
недвижимости и с помощью печатного издания «Дер Митшпигель», который
выпускается для каждого региона страны в отдельности. При заключении сделки
непосредственно с владельцем квартиры можно поторговаться и сэкономить. Однако
заключения официального договора все равно не избежать. Для подтверждения могут
потребовать наличия счета в банке. К особенностям аренды квартиры на сутки в
Германии также относится обязательное знакомство со всеми жителями дома или
постояльцами квартиры, въезжая в дом, нужно будет ознакомиться с правилами
поведения в нем и четко им следовать.
Во Франции можно самостоятельно
найти достаточно выгодные предложения по аренде квартир. Но при поиске
предложений в Интернете и плохом знании городов, можно стать жертвами путаницы.
Процедура аренды в этой стране очень схожа с заключением такого договора
вУкраине. Лучше не обращаться в информационные агентства, которые предоставляют
массу квартир на выбор, если не хотите оставить у них несколько сотен евро.
Лучше всего напрямую сотрудничать с управляющими компаниями или владельцами
недвижимости.
В Париже, куда чаще всего приезжают
туристы, аренда квартир посуточно доступна в каждом районе, а наличие более 300
станций метро делает передвижение по городу из любой его точки очень удобным.
В Великобритании арендовать квартиру
можно исключительно через специальные агентства. Эта практика очень удобна, а
высокий уровень конкуренции между многочисленными агентствами делает стоимость
аренды вполне доступной. В описаниях квартир нет указания ее площади, поскольку
в Англии ценность квартиры состоит в количестве спален в ней. Также большую
популярность имеют апартаменты с небольшими внутренними двориками или садиками.
Краткосрочная аренда в стране предполагает период до шести месяцев. За весь
этот период вас попросят внести полную предоплату, в том числе и налоги. В
некоторых случаях долгосрочная аренда может обойтись на 20-30% дешевле
краткосрочной.
|
Страна
|
Доходы арендодателя в % от среднегодового дохода человека
|
|
Кишинев
|
14,13
|
|
Варшава
|
13,28
|
|
София
|
10,56
|
|
Амстердам
|
8,25
|
|
Париж
|
8,25
|
|
Мюнхен
|
7,8
|
|
Брюссель
|
7,53
|
|
Лондон
|
7,13
|
|
Мадрид
|
3,15
|
|
Монако
|
2,43
|
Аналитики Global Property Guide
(GPG) отмечают, что в начале этого года доходы от аренды в большинстве
европейских городов были самыми низкими за последние 20 лет. [11] Они также
указывают на связь доходов от аренды с рисками: где высоки риски, там и доходы
высокие. Например, наиболее ощутимые доходы от аренды можно получить в странах
Восточной Европы. Кроме того, утверждают эксперты GPG, доходы высоки там, где
не развит рынок ипотеки и высоки процентные ставки по кредитам.
В GPG считают выгодной покупку жилья
в Москве с целью дальнейшей сдачи ее внаем. Правда, здесь вновь вступает тема
рисков. Это прежде всего практикуемый расчет наличными, что, с одной стороны,
создает почву для мошенничества, а с другой - может внезапно обернуться
недружелюбным отношением фискальных органов.
В ряде западноевропейских городов
доходы от сдачи жилья внаем тоже остаются по западным меркам довольно высокими.
Одна из ярких тенденций последнего
времени - снижение доли арендуемого жилья в общем объеме недвижимости.
|
Страна
|
Доля арендуемого жилья в общем объеме недвижимости В 1990
|
Доля арендуемого жилья в общем объеме недвижимости В 2010
|
|
Британия
|
42%
|
30%
|
|
Люксембург
|
39%
|
26%
|
|
Голландия
|
58%
|
46%
|
|
Испания
|
21%
|
11%
|
В Британии, как, в принципе,
и в других странах, рынок аренды разбит на три большие составляющие:
муниципальные дома, дома жилищных ассоциаций / благотворительных фондов и
частный сектор. Согласно исследованию ExpatExchange увеличивается доля частной
аренды. В 2007 г. на частный сектор приходилось 35% от всего рынка аренды, а в
2010 г. - уже 40% от всего объема жилой недвижимости.
Аналитики объясняют высокую долю
арендного жилья в некоторых странах наличием там мобильного рынка труда. В Германии,
к примеру, переезд рабочих с одного места на другое стал обычным явлением,
соответственно, и аренда там более популярна, чем, допустим, в Испании.
Кстати, в Германии согласно RSB
Relocation Service Deutschland для инвесторов наиболее привлекательны
Франкфурт, Мюнхен, Штутгарт, Дюссельдорф, Гамбург и Кельн. Большим спросом в
Германии у инвесторов пользуются реконструированные дома, построенные 80-120
лет назад, с красивыми фасадами, просторными комнатами и высокими потолками
(3,6-4 м). В таких домах годовой доход от сдачи жилья в аренду достигает 6-8%.
Специалисты не рекомендуют
инвесторам покупать квартиры в невзрачных типовых домах с низкими потолками,
которые начали строить в начале 50-х г. прошлого столетия и возводились в
последующие годы, - получить с них доход будет сложно.
Стоимость аренды
апартаментов на Новый год в разных странах
В основе рейтинга - арендная ставка
на однокомнатные апартаменты в центре того или иного города. [5]
2.3 Рынок аренды
Украины. Киев. Регионы
С начала 2011 года стоимость аренды
квартир выросла на 3-10% в зависимости от региона и класса жилья. А поскольку
сама недвижимость продолжает дешеветь, приобретение квартиры с целью сдачи
арендаторам становится все более выгодным.
В Киеве больше всего подорожали
однокомнатные квартиры в периферийных районах - на 10-16%. Снять «однушку» на
Левом берегу в первых числах ноября 2011 года стоило 3000-3500 грн.
Прошлогодние ставки на уровне 2200-2500 грн. Можно найти лишь в самых
отдаленных районах города, и то в гостинках. Жилье бизнес и премиум - класса в
2011 году подешевело на 12-25%
Прогнозируется рост арендных ставок
в эконом - сегменте на 3-6%, в основном из-за начала нового делового сезона и
притока в город студентов. Цена аренды более престижных квартир (на Оболони и в
Печерском районе) остается стабильной, т.е. для однокомнатных - 4000-5000 грн.,
а для «двушек» - 6000-9000 грн.
В регионах сами ставки ниже
столичных, но и они постепенно растут.
В Харькове с начала года арендные
ставки выросли на 10-15%, а в некоторых случаях и на 25%. В городе сейчас можно
отыскать маленькие гостинки на периферии по цене 700-800 грн. В месяц, однако
основное предложение однокомнатных квартир находиться в диапазоне 1100-1800 грн.,
«двушек» - 1600-2300. В 2012 году аренда в Харькове подорожает еще больше. Это
будет связано с проведением здесь этапов чемпионата Евро-2012. Ближе к началу
чемпионата многие владельцы квартир могут перейти от длительной аренды к
посуточной.
Во Львове, как и в начале 2011 года,
однокомнатные на окраинах сдаются по цене 1400-1600 грн. в месяц, в центре -
1600-2000 грн. Традиционно во Львове в центре жилье не сдается в долгосрочную
аренду - арендодатели предпочитают зарабатывать на посуточной сдаче квартир туристам.
В Одессе, Днепропетровске, Донецке
подорожание в 2011 году составило в среднем 3-7%. В итоге снять «однушку» в
этих городах можно за 1000-1400 грн. На периферии и за 1600-2500 в центральных
районах. [4]
2.4 Преимущества съемной
квартиры перед гостиницей
соотношение цены и качества;
Возможность платить меньше, чем за номер в гостинице, при этом качество
жилищных условий в съемной квартире ничуть не хуже многих элитных номеров
гостиниц.
возможность поселения в арендуемой
квартире большого количества жильцов, в том числе детей и домашних животных;
свобода от графиков гостиничных
номеров, возможность возвращаться домой в любое время суток;
проведение мероприятий в уютной,
домашней обстановке, где Вам никто не может помешать;
возможность приглашать к себе
гостей, а если потребуется, оставить их у себя на съемной квартире на ночь;
полное оснащение арендуемой квартиры
всей необходимой бытовой техникой;
наличие ванной комнаты и кухни; В
кухне можно приготовить вкусную и домашнюю пищу. Гостиницы в качестве
дополнительной услуги предлагают своим постояльцам обеды, но стоят они дорого и
подаются только в строго определенное время. Это неудобно, если у Вас
запланирована деловая поездка, которая предполагает ряд встреч.
высокий сервис по обслуживанию и
уборке помещения квартиры;
возможность выбора района для
посуточной аренды квартиры и проживания в нем; Гостиницы в основном
сосредоточены в центральной части города. Такое расположение может причинить
ряд неудобств туристам, целью которых не является пребывание в центральных
городских кварталах.
наличие автомобильной парковки.
Посуточная аренда квартир становится
повседневным явлением, а гостиницы с ухудшением сервиса по обслуживанию и
высокими ценами на предлагаемое жилье постепенно стали утрачивать свою былую актуальность.
3. Проектная часть
|
Характеристики исследования
|
Описание
|
|
Разведочное
|
Исследовать рынок арендованного жилья в Мариуполе
|
|
Цель
|
Исследовать качество снимаемого жилья в городе Мариуполе
|
|
Задачи
|
Оценить качество снимаемого жилья в зависимости от степени
важности параметров, статуса, дохода, времени аренды Какие квартиры
пользуются спросом Срок сдачи в аренду
|
|
Генеральная совокупность
|
Трудоспособное население 16-60 лет
|
|
Обоснование вида исследования
|
Выборочное, т.к. нет возможности исследовать всю генеральную
совокупность
|
|
Тип выборки
|
Случайная выборка. Методом тыка из наиболее доступных элементов
|
Структура предложения аренды квартир
в Мариуполе:
комнатные квартиры (50%).
комнатные квартиры (29%).
комнатные (17%).
комнатные (4%).
Средняя стоимость квартир для
долгосрочной аренды
|
Центр
|
Периферия
|
|
1 комнатная
|
1500
|
1000
|
|
2 комнатная
|
2500
|
2000
|
|
3 комнатная
|
3500
|
3000
|
В основном все квартиры сдаются с
мебелью, но те, в которых ее нет стоят значительно дешевле. Например, 2
комнатную квартиру на Кирова без мебели можно найти и за 900 грн. в месяц +
счетчики.
Что касается посуточной аренды в
Мариуполе, то ее стоимость близка к стоимости в столице. В центре 1 комнатные
квартиры сдаются от 150 грн. за сутки и от 70 грн. за несколько часов. Но в
таких квартира ремонт и общие условия на порядок выше, чем у квартир,
предназначенных для длительной сдачи. Стандартный набор таких комнат включает:
телевизор, кабельное телевидение, микроволновую печь, встроенную кухню,
столовые приборы, мягкая мебель, бронированная дверь. Особенностью аренды в
Мариуполе является выдача документов о жительстве. [3]
Исследование соответствия цены и
качества на рынке арендованного жилья в Мариуполе.
Анкета
1. Снимали ли вы когда-нибудь
квартиру(дом)?
Да
Нет
2. Последнее жилье, которое вы
снимали?
1 комнатную
комнатную
комнатную
Многокомнатную
Частный дом
3. На какой срок вы снимаете
квартиру?
Один или несколько
дней
До месяца
-3 месяца
На длительный срок
(больше 3 месяцев)
4. Выберите диапазон, который
соответствует вашим затратам на аренду в сравнении с доходом семьи
До 10%
% - 20%
% - 30%
% - 40%
Свыше 40%
5. На каком этаже находится съемная
квартира (напишите цифрой этаж квартиры)
Этаж
6. Укажите степень важности
параметров (1 - очень важно; 4-не важно)
|
Показатель
|
Рейтинг
|
|
1
|
2
|
3
|
4
|
|
Район нахождения
|
|
|
|
|
|
Наличие ремонта
|
|
|
|
|
|
Развитая инфраструктура (наличие магазинов, школ, транспортной
остановки
|
|
|
|
|
|
Цена квартиры
|
|
|
|
|
|
Качество квартиры
|
|
|
|
|
. Оцените качество того жилья,
которое вы снимали (1-отсутствует, не работает, плохое; 4-очень хорошее, новое,
прекрасно работает)
|
Показатель
|
Рейтинг
|
|
1
|
2
|
3
|
4
|
|
Сантехника
|
|
|
|
|
|
Мебель
|
|
|
|
|
|
Общее состояние
|
|
|
|
|
|
Телевизор
|
|
|
|
|
|
Горячая и холодная вода
|
|
|
|
|
|
Рабочий лифт
|
|
|
|
|
|
Доступ к интернету
|
|
|
|
|
. Укажите свой статус
Студент
Предприниматель
Рабочий
Служащий
Другое
9. Каковы причины того, что вы
снимаете квартиру
Я- иногородний
Не хочу жить вместе
с родственниками
Нет возможности
купить собственную квартиру
Появились
непредвиденные обстоятельства
Другое
10. Когда вы снимали квартиру
Более 1 года назад
год назад
Менее года
Снимаю квартиру
сейчас
Таблица обработки информации
маркетингового исследования
|
|
|
|
|
Степень важности для вас
|
|
№ анкеты
|
снимали ли вы
|
кол-во комнат
|
срок
|
этаж
|
район
|
ремонт
|
инфра
|
цена
|
соседи
|
|
1
|
да
|
дом
|
длит
|
1
|
1
|
3
|
2
|
5
|
|
2
|
да
|
1
|
1-3 мес
|
7
|
3
|
2
|
2
|
1
|
2
|
|
3
|
да
|
1
|
1 день
|
10
|
1
|
3
|
3
|
1
|
3
|
|
4
|
да
|
2
|
длит
|
5
|
2
|
3
|
4
|
1
|
5
|
|
5
|
да
|
1
|
1 день
|
1
|
2
|
3
|
4
|
1
|
5
|
|
6
|
да
|
3
|
1 день
|
3
|
2
|
1
|
3
|
4
|
5
|
|
7
|
да
|
1
|
1 день
|
5
|
4
|
3
|
2
|
1
|
5
|
|
8
|
да
|
2
|
длит
|
7
|
1
|
3
|
5
|
2
|
4
|
|
9
|
да
|
2
|
1-3 мес
|
3
|
3
|
2
|
2
|
1
|
2
|
|
10
|
да
|
1
|
1-3 мес
|
6
|
1
|
3
|
4
|
2
|
5
|
|
11
|
да
|
2
|
1 день
|
3
|
2
|
4
|
3
|
1
|
5
|
|
12
|
да
|
2
|
длит
|
7
|
1
|
4
|
3
|
2
|
5
|
|
13
|
да
|
дом
|
длит
|
1
|
3
|
1
|
5
|
2
|
4
|
|
14
|
да
|
2
|
1 день
|
6
|
4
|
3
|
1
|
2
|
5
|
|
15
|
да
|
2
|
1 день
|
4
|
1
|
4
|
2
|
3
|
5
|
|
16
|
да
|
2
|
1-3 мес
|
8
|
1
|
5
|
2
|
3
|
4
|
|
17
|
да
|
1
|
1 день
|
2
|
1
|
3
|
3
|
1
|
3
|
|
18
|
да
|
3
|
длит
|
2
|
3
|
2
|
2
|
1
|
2
|
|
19
|
да
|
дом
|
длит
|
1
|
3
|
2
|
2
|
1
|
2
|
|
20
|
да
|
3
|
1 день
|
3
|
1
|
3
|
3
|
1
|
3
|
|
21
|
да
|
2
|
длит
|
1
|
2
|
3
|
4
|
1
|
5
|
|
22
|
да
|
2
|
длит
|
9
|
1
|
3
|
1
|
2
|
5
|
|
23
|
да
|
1
|
1 день
|
6
|
2
|
1
|
3
|
4
|
5
|
|
24
|
да
|
дом
|
1 день
|
1
|
1
|
4
|
2
|
3
|
5
|
|
25
|
да
|
2
|
1-3 мес
|
8
|
2
|
3
|
4
|
1
|
5
|
|
26
|
да
|
1
|
длит
|
5
|
1
|
3
|
5
|
2
|
4
|
|
27
|
да
|
1
|
длит
|
6
|
2
|
3
|
4
|
1
|
5
|
|
28
|
да
|
1
|
1 день
|
4
|
2
|
3
|
4
|
1
|
5
|
|
29
|
да
|
2
|
длит
|
1
|
1
|
3
|
5
|
2
|
4
|
|
30
|
да
|
2
|
длит
|
2
|
3
|
2
|
2
|
1
|
2
|
|
Оценка качества
|
|
|
|
|
сантехника
|
мебель
|
общ. сост.
|
телевизор
|
вода
|
лифт
|
инет
|
|
1
|
2
|
2
|
3
|
4
|
1
|
1
|
|
4
|
4
|
3
|
1
|
4
|
3
|
2
|
|
2
|
3
|
3
|
2
|
3
|
2
|
2
|
|
2
|
2
|
2
|
1
|
2
|
4
|
1
|
|
2
|
2
|
2
|
3
|
4
|
4
|
1
|
|
4
|
4
|
4
|
4
|
4
|
3
|
4
|
|
3
|
2
|
3
|
4
|
3
|
3
|
1
|
|
1
|
2
|
3
|
4
|
1
|
1
|
|
3
|
2
|
3
|
4
|
3
|
3
|
1
|
|
4
|
4
|
3
|
1
|
4
|
3
|
2
|
|
1
|
2
|
2
|
3
|
4
|
1
|
1
|
|
3
|
3
|
3
|
2
|
3
|
3
|
1
|
|
4
|
4
|
3
|
1
|
4
|
1
|
2
|
|
4
|
4
|
4
|
4
|
4
|
3
|
3
|
|
3
|
4
|
4
|
3
|
3
|
4
|
2
|
|
1
|
2
|
2
|
3
|
4
|
1
|
1
|
|
4
|
4
|
3
|
1
|
4
|
3
|
2
|
|
2
|
3
|
2
|
1
|
2
|
1
|
1
|
|
1
|
2
|
2
|
3
|
4
|
1
|
1
|
|
4
|
4
|
3
|
1
|
4
|
2
|
2
|
|
3
|
4
|
4
|
3
|
3
|
4
|
2
|
|
1
|
2
|
2
|
3
|
4
|
4
|
1
|
|
2
|
2
|
2
|
3
|
4
|
4
|
1
|
|
3
|
3
|
3
|
2
|
4
|
3
|
1
|
|
4
|
4
|
3
|
1
|
4
|
3
|
2
|
|
1
|
2
|
2
|
3
|
4
|
1
|
1
|
|
2
|
2
|
2
|
3
|
4
|
4
|
1
|
|
3
|
4
|
4
|
3
|
3
|
4
|
2
|
|
4
|
4
|
3
|
1
|
4
|
3
|
2
|
|
1
|
2
|
2
|
3
|
4
|
3
|
1
|
|
статус
|
причина
|
когда
|
доход
|
|
служащ
|
нет возможн
|
более1г
|
10-20%
|
|
рабоч
|
нет возможн
|
более1г
|
20-30%
|
|
судент
|
иногородний
|
менее1г
|
20-30%
|
|
судент
|
иногородний
|
более1г
|
20-30%
|
|
судент
|
обстоятельст.
|
менее1г
|
10-20%
|
|
предпр.
|
обстоятельст.
|
менее1г
|
до 10%
|
|
студент
|
обстоятельст.
|
более 1 г
|
до 10%
|
|
рабочий
|
нет возможн
|
сейчас
|
до 10%
|
|
студент
|
обстоятельст.
|
менее1г
|
до 10%
|
|
служащ
|
иногородний
|
сейчас
|
10-20%
|
|
предпр.
|
нет возможн
|
менее1г
|
10-20%
|
|
рабочий
|
иногородний
|
сейчас
|
30-40%
|
|
служащ
|
нет возможн
|
более1г
|
10-20%
|
|
рабочий
|
нет возможн
|
сейчас
|
выше 40%
|
|
студент
|
родит.
|
менее1г
|
10-20%
|
|
служащ
|
нет возможн
|
более1г
|
10-20%
|
|
рабочий
|
обстоятельст.
|
более1г
|
до 10%
|
|
служащ
|
нет возможн
|
сейчас
|
выше 40%
|
|
предпр.
|
нет возможн
|
более1г
|
до 10%
|
|
студент
|
родит.
|
сейчас
|
до 10%
|
|
служащ
|
нет возможн
|
менее1г
|
выше 40%
|
|
предпр.
|
нет возможн
|
менее1г
|
выше 40%
|
|
рабочий
|
родит.
|
более1г
|
до 10%
|
|
служащ
|
родит.
|
сейчас
|
до 10%
|
|
студент
|
иногородний
|
более1г
|
10-20%
|
|
рабочий
|
родит.
|
сейчас
|
30-40%
|
|
предпр.
|
нет возможн
|
менее1г
|
30-40%
|
|
служащ
|
обстоятельст.
|
более1г
|
до 10%
|
|
студент
|
обстоятельст.
|
более1г
|
до 10%
|
|
предпр.
|
иногородний
|
сейчас
|
выше 40%
|
Из диаграммы видно, что основной
срок, на который снимают квартиру - это длительный период (46%).
Основная причина аренды жилья - это
отсутствие возможности приобрести свое. Этой причиной руководствуются люди при
длительной аренде. Посуточно арендуют квартиры при появлении непредвиденных
обстоятельств (приезд гостей, командировка и т.д.) При аренде на 1-3 месяца
причины могут быть разные: человек может быть иногородним или же хотеть жить
без родителей.
Оценка качества снимаемого жилья
разными категориями населения
|
статус
|
Характеристики квартиры
|
Итог
|
|
предприниматель
|
сантехника.
|
1,7
|
|
общ. сост.
|
2,3
|
|
телевизор.
|
3,2
|
|
мебель.
|
2,3
|
|
лифт
|
2,7
|
|
вода
|
4,0
|
|
инет
|
1,5
|
|
рабочий
|
сантехника.
|
2,7
|
|
общ. сост.
|
2,7
|
|
телевизор.
|
2,4
|
|
мебель.
|
3,0
|
|
лифт
|
2,6
|
|
вода
|
3,9
|
|
инет
|
1,6
|
|
служащий
|
сантехника.
|
2,6
|
|
общ. сост.
|
2,9
|
|
телевизор.
|
2,1
|
|
мебель.
|
3,3
|
|
лифт
|
2,3
|
|
вода
|
3,5
|
|
инет
|
1,5
|
|
студент
|
сантехника.
|
3,0
|
|
общ. сост.
|
2,9
|
|
телевизор.
|
2,2
|
|
мебель.
|
3,0
|
|
лифт
|
3,1
|
|
вода
|
3,3
|
|
инет
|
Из диаграммы видно, что наибольшую
оценку получила вода, т.е. график подачи воды, ее температура устраивал
арендаторов. Интернет, как показали исследования или отсутствовал или находился
в ненадлежащем состоянии по мнению большинства опрошенных. Остальные
характеристики (сантехника, мебель, лифт, общее состояние) находятся в среднем
состоянии и не всегда удовлетворяют арендаторов. Студенты оказались самыми
непритязательными, их в снимаемых квартирах устраивало практически все.
В этой диаграмме, чем ниже процент,
тем более важен параметр. При аренде квартир важное значение имеет цена (между
двумя похожими квартирами будет выбрана та, которая меньше стоит). На втором
месте с превышением на 1% идет район проживания (для арендаторов важно
расположение квартиры относительно центра города, репутация района проживания,
удобство добираться на работу). Арендаторы обращают внимание также и на ремонт в
квартире. Инфраструктура, т.е. наличие рядом магазинов, школы, развлекательных
заведений). Последнее место занимают соседи. Многих арендаторов не пугает
наличие шумных соседей, непроверенной ауры квартиры.
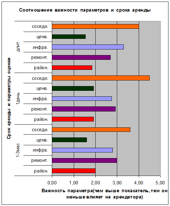
Если рассматривать важность
параметров жилья в контексте срока, на которое оно арендуется, то получится,
что меньше всего арендаторов волнуют соседи. Для посуточной аренды решающим
фактором является район проживания. При длительной аренде ремонт играет большую
роль, чем инфраструктура. В целом, независимо от срока аренды главным
приоритетом выборе является цена.
Те, у кого на данный момент нет
возможности купить собственное жилье тратят наибольшую часть своего дохода на
аренду (больше 40%). Меньше всего (до 10% дохода) тратят люди у которых
возникли непредвиденные обстоятельства, это объясняется тем, что чаще всего они
берут квартиру на несколько суток.
Чаще всего в Мариуполе снимают с 2
комнатные квартиры. Этажи на которых, чаще, чем на других снимают квартиры-3,
6.
Выводы
Рынок аренды жилой недвижимости, как
и сам рынок недвижимости не может постоянно находиться в одном положении,
изменения на нем - явление вполне естественное. Меняются цены на аренду жилья,
меняются количественные и качественные показатели спроса и предложения.
Аренда в Мариуполе представляет
собой очень важный сектор рынка недвижимости города. Главными процессами,
которые происходили на рынке аренды в Мариуполя за последнее время, были
значительный рост арендных ставок, увеличение емкости рынка - количества
сдаваемых квартир на открытом рынке, серьезные сдвиги в сторону
цивилизованности арендных отношений.
Рост цен на аренду квартир в городе
происходил по причине быстро возраставшего спроса, на рост которого влияли
многие факторы. Из них основными являлись невозможность купить жилье из-за
опережающего роста его стоимости при покупке, существенного увеличения спроса
на аренду жилых помещений в Мариуполе со стороны юридических лиц и
возраставшего потока людей, приезжающих в город на постоянное или временное
проживание.
В результате проведенного
маркетингового исследования было выявлено, что наибольшим спросом пользуются 2
комнатные квартиры, арендуемые на длительный срок.
Самым важным критерием выбора
квартиры респонденты назвали цену ее аренды. Следом уже идет район, ремонт и
инфраструктура.
Была произведена оценка
удовлетворенности мариупольцев качеством снимаемого жилья. В целом горожане
удовлетворены состоянием квартир, т.к. уровень удобства и комфорта напрямую
зависит от стоимости аренды. Больше всего нареканий вызвало отсутствие
Интернета, но с распространение модемов эта проблема перестала быть актуальной.
Лучше всего была оценено наличие холодной и горячей воды, работа лифтов.
Сантехника, мебель не вызывает одобрения у арендаторов.
В ходе исследования оказалось, что
чаще всего сдаются квартиры на 3 и 6 этажах.
Перечень ссылок
1. Деревянко Т.А. Конспект лекций по дисциплине «Маркетинговые
исследования»/ Деревянко Т.А.-ПГТУ, 2010.
. И.М. Ашихмин «Аренда недвижимости. Анализ арбитражной практики»/
И.М. Ашихмин. - М.: РАГС, 2006. - 268 с.
. Сайт города Мариуполя // [электронный ресурс - http://www.0629.com.ua/]
. Громов В. Ситуация на рынке недвижимости Украины/ В. Громов //
Журнал «Украинская Недвижимость» Житомир. - 2011. - 2 марта. - С. 8
. Стоимость аренды апартаментов на Новый год в разных странах //
[электронный ресурс - http://inostrannik.ru/];
. Аналитическое агентство Savills // [электронный ресурс-http://www.savills.com.sg/];
. Данные аналитической компании Global Property Guide (GPG) // [электронный
ресурс-http://flatcenter.ru/clauses/obzori/za_rubezom.html];
. Средняя стоимость аренды меблированных и немеблированных квартир
в разных городах мира // [электронный ресурс - http://www.zagranhouse.ru/];
. Преимущества съемной квартиры перед гостиницей // [электронный
ресурс-http://www.comrealty.biz/];
. Гражданский кодекс Украины // [электронный ресурс - http://zakon.rada.gov.ua/cgi-bin/laws/main.cgi?
nreg=435-15];
. Изменение цен на жилую недвижимость // [электронный ресурс -
http://flatcenter.ru/clauses/obzori/]
маркетинговый недвижимость аренда квартира