Параметрическая оптимизация следящей системы электронной дроссельной заслонки автомобиля

  • Вид работы:
    Курсовая работа (т)
  • Предмет:
    Транспорт, грузоперевозки
  • Язык:
    Русский
    ,
    Формат файла:
    MS Word
    687,79 Кб
  • Опубликовано:
    2013-01-21
Вы можете узнать стоимость помощи в написании студенческой работы.
Помощь в написании работы, которую точно примут!

Параметрическая оптимизация следящей системы электронной дроссельной заслонки автомобиля

Задание

1. Выбрать реальную систему и описать ее работу, приведя функциональную схему (ФС).

. Получить модель выбранной системы (не ниже 3-го порядка) в виде структурной схемы и описать ее связь с ФС.

. Получить переходную функцию (ПФ) исходной системы.

. В качестве выходных параметров использовать:

перерегулирование,

время регулирования.

. Обоснованно выбрать варьируемые параметры.

. Определить область работоспособности системы.

. Использовать в качестве критериев оптимальности:

среднеквадратическую ошибку,

выходные параметры,

аддитивный суперкритерий.

. Оптимизировать исходную систему поочередно по разным критериям, обоснованно используя в качестве инструмента методы параметрической оптимизации.

. Получить для каждого из найденных оптимальных значений варьируемых параметров переходные функции.

. Привести графики переходных функций, сравнить их между собой по внешним параметрам в зависимости от исследуемых критериев и сделать выводы.

Построить в пространстве критериев множество Парето.

. Изобразить внешний вид системы или ее части с помощью пакета AutoCAD в 3D.

. Привести список использованной литературы и web-адреса источников информации.

1. Моделирование исходной системы

Выбрать систему не ниже 3-го порядка и исследовать ее (построить передаточную функцию и исследовать параметры: перерегулирование и время регулирования). Затем, используя метод параметрической оптимизации, исследовать исходную систему, описанную ниже, по трем критериям. Выбранная система управления должна обладать быстродействием и высокой точностью. В соответствии с этим параметры системы (время регулирования, среднеквадратичная ошибка и коэффициент перерегулирования) должны быть минимальными.

1.1 Описание принципа работы дроссельной заслонки ДВС

Система электронного управления дроссельной заслонкой заменяет механический тросик, соединяющий педаль газа с дроссельными заслонками. Вместо обычного привода газа на педали газа находится датчик положения педали (Рис. 1.), который передает блоку управления двигателем информацию о положении педали. На основе полученной информации блок управления через электродвигатель управляет положением дроссельной заслонки.

Рис. 1 - Датчик педали акселератора: 1 - Педаль газа 2 - Дорожка резистивная 3 - Датчик 1+2

В корпусе датчика положения находятся два контактных потенциометра, которые закреплены на общем валу. При каждом изменении положения педали изменяется сопротивление потенциометров и напряжения, передаваемые блоку управления двигателем.

При выходе из строя какого-либо датчика загорается лампа неисправности привода газа и в памяти неисправностей блока управления регистрируется повреждение. Если из строя выходят оба датчика, то двигатель работает с повышенным числом оборотов и больше не реагирует на педаль газа.

Блок привода дроссельной заслонки (Рис. 2.) включает в свой состав электродвигатель, два потенциометра и систему зубчатых колёс с возвратной пружиной. Он регулирует положение дроссельной заслонки.

Рис. 2 - Блок привода дроссельной заслонки: 1 - Корпус дроссельной заслонки 2 - Привод дроссельной заслонки 3 - Крышка корпуса со встроенной электроникой 4 - Дроссельная заслонка 5 - Потенциометр дроссельной заслонки (датчик угла 1+2 привода дроссельной заслонки) 6 - Шестерня с пружинным возвратом

Потенциометр дроссельной заслонки находится у вала дроссельной заслонки и передает блоку управления текущую информацию об угле положения заслонки. Второй потенциометр передает блоку управления информацию об опорном значении и обеспечивает запасной сигнал при выходе из строя потенциометра.

Системе управления двигателем направляется электросигнал, регистрирующий каждое движение акселератора. На полное открытие дроссельных заслонок требуется около 120 милисекунд. Примерно столько же времени уходит у опытного водителя на нажатие педали акселератора. В результате водитель получает возможность точнее использовать мощность двигателя, наслаждаясь гладким, свободным от вибраций вождением даже на низких скоростях. Благодаря улучшенному зажиганию, работе клапанов, идеальному расположению дроссельной заслонки и объему впрыскиваемого топлива значительно оптимизируется расход топлива и уровень выброса. Кроме того, система электронного управления дроссельной заслонкой повышает безопасность вождения, автоматически реагируя на опасные механические неисправности, например, в ситуации, когда дроссельные заслонки по небрежности поставлены в положение полной нагрузки.

Функциональная схема системы управления положение электронной дроссельной заслонки

Рис. 3 - Функциональная схема системы управления объектом: 1 - педаль газа; 2 - потенциометр задатчика; 3 - движок потенциометра задатчика; 4 - дроссельная заслонка; 5 - корпус дроссельной заслонки; 6 - двигатель постоянного тока; 7 - редуктор; 8 - потенциометр обратной связи; 9 - движок потенциометра обратной связи; 10 - усилитель.

Двигатель постоянного тока

Рассмотрим схему включения двигателя ДПТ и нагрузку на его валу, т.к. они жестко связаны между собой на рис. 4.

Рис.4 - Схема включения двигателя

Для якорной цепи справедливо уравнение:

U=Rz Iz + Lя dIя /dt + E

Если принять, что

=C dQ /dt

где Q - угол поворота вала двигателя, то

я dIя /dt +Iя + C dQ /dt = 1 /Rя U

то есть

Tя s Iя +Iя + K1 s Q = (Tя s + 1) Iя + K1 s Q = K2 U

где Tэ = Lя /Rz - электромагнитная постоянная времени якорной цепи; K1 = C /Rz , K2 = 1 /Rz - коэффициенты пропорциональности.

Если учесть, что

J d2Q /dt2 = M - Mc, M = C Iя

где J - момент инерции якоря, M - электромагнитный момент, Мс - момент сторонних сил (в условиях невесомости его можно не учитывать), то получим

Iя =(J /C) s2Q

Следовательно

(Tэ s + 1) (J /C) s2Q + K1 s Q = K2 U

(J· Tэ /C) s3Q +(J /C) s2Q + K1 s Q = K2 U

((J· Tэ /C) s2 +(J /C) s + K1) s Q = K2 U

(Tм · Tэ s2 +Tм s + K1) s Q = K2 U

где Tм = J /C - электромеханическая постоянная времени;

Q = K2 ·U / (Tм · Tэ s2 +Tм s + K1) s= WU U

Выразим передаточную функцию по напряжению

W(Q /U) = K2 /(Tм · Tэ s2 +Tм s + K1)s

С точки зрения теории автоматического управления и с учетом некоторых допущений двигатель постоянного тока приближенно описывается: двумя апериодическими звеньями с электромагнитной постоянной времени Tэ и электромеханической постоянной времени Тм с общим коэффициентом усиления двигателя KД :

W(Q /U) = KД /(Tм s2 +1)(Tэ s +1)s

Где:Д = 4 рад/В*с - коэффициент передачи двигателя,э = 0,008 с - электромагнитная постоянная двигателя,м = 0,03 с -электромеханическая постоянная двигателя.

Потенциометр

Рис. 5 - Схема включения потенциометра

Нажатие на педаль акселератора влечет за собой изменение выходного напряжения Uвых, которое преобразуется электромеханическим преобразователем (резистивный ИП) из перемещения. Связь между напряжением, снимаемым с подвижного контакта ИП (Uвых) и углом поворота вала линейным алгебраическим уравнением:

Uвых = KП·бвх

Выразим передаточную функцию потенциометра:


Где:П = 1 В/рад - коэффициент передачи потенциометра.

Редуктор

Рис. 6- Схема преобразования редуктора

Угол поворота вала двигателя через систему зубчатых колес передается на вал объекта управления, повышая крутящий момент за счет снижения угловой скорости от ИД. Угол поворота входного бвх и выходного бвых валов и их угловые скорости ωвх и ωвых связаны пропорциональной зависимостью:

бвых = Kр·бвх

щвых = Kр·щвх

Выразим передаточную функцию редуктора:

р(αвых/ бвх) = Wр(ωвых/ щвх) = Kр

Где:

Кр = 1 - коэффициент передачи редуктора.

Усилитель

Рис. 7 - Схема включения усилителя

Связь между входом и выходом для операционного усилителя описывается дифференциальным уравнением первого порядка относительно выходной переменной:

T·dx(t)/dt + x(t) = g(t)

Переходя к операторной форме получим:

вых(s) = Uвх(s)·Rос/Rвх(RосCосs + 1)

Вводя обозначения:

ос/Rвх = КуосCос = Ту

Получим передаточную функцию усилителя:

у(s) = Uвых(s)/Uвх(s) = Ку/(Тs + 1)

Ку = 11,2 - коэффициент передачи усиления,

Ту = 0,007 с - постоянная времени усиления.

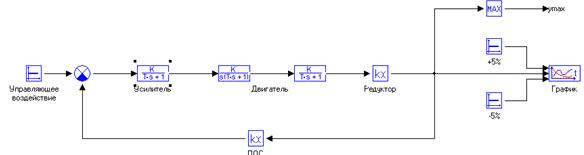
По полученным передаточным функциям составим структурную схему работы электронной дроссельной заслонки

Рис. 8 - Схема системы управления электронной дроссельной заслонкой в зависимости от положения электронной педали акселератора

1.2 Выбор варьируемых параметров

В процессе проведения оптимизации данной системы изменениям следует подвергнуть только коэффициент усиления Ky.

Другие параметры будут оставаться неизменными, т.к. их варьирование связано с практическим неудобством их реального изменения в системе, которое может повлечь значительные конструктивные изменения.

Например, выбрав в качестве варьируемого параметра постоянную времени TЭ, мы должны иметь в виду, что это может потребовать изменений в конструкции или даже замены двигателя и т.п., что нецелесообразно.

Изменение таких параметров как ТЭ - электрическая постоянная двигателя, TМ - механическая постоянная двигателя, КДв - коэффициент передачи двигателя, KР - коэффициент передачи редуктора могут потребовать значительных изменений в конструкции дроссельной заслонки, а изменение таких параметров как Ky - коэффициент передачи усиления, Ту - постоянная времени усиления, КП - коэффициент передачи потенциометра не повлечет за собой больших конструкторских затрат.

Оптимизируем систему по параметру Ky, от этого параметра зависит, рассогласование текущего положения электронной дроссельной заслонки с положением педали акселератора.

1.3 Описание модели системы управления электронной дроссельной заслонкой

Передаточная функция разомкнутой системы управления электронной дроссельной заслонкой с учетом передаточных функций всех входящих в нее устройств будет иметь вид:


Передаточная функция замкнутой системы с учетом отрицательной обратной связи с коэффициентом КОС= КПОС =1 будет иметь вид:


где

1.4 Моделирование исходной системы

Модель системы управления электронной дроссельной заслонкой представлена на рис.8. Переходная характеристика системы отражена на рис. 9.

Рис. 9 - Переходная функция исходной системы

По графику переходного процесса определяем:

Время регулирования, при котором кривая переходного процесса входит в 5%-ю трубку, определяя завершение переходного процесса (это время характеризует быстродействие системы):рег= 0.3c.

Коэффициент перерегулирования, который может служить мерой колебательности процесса:

s =  = ·100% = 32%.

Коэффициент КУ, выбранный в качестве оптимизируемого параметра, в исходной системе = 6.7.

1.5 Определение области работоспособности

Поскольку условия работоспособности в задании не оговорены, то будем исходить из самых слабых возможных ограничений. Таковыми, как известно, являются требования устойчивости: если система становится неустойчивой - значит, она перестает быть работоспособной. Поэтому если из условия нахождения системы на границе устойчивости мы получим ограничения на варьируемые параметры, то это и позволит, по существу, определить одну из границ максимально возможной области работоспособности.

Другие границы этой области можно определить из других разумных условий: например, обеспечения передачи информационных сигналов между устройствами системы и т.п.

Итак, в рассматриваемой системе выбран один варьируемый параметр: коэффициент усиления Ку, - который входит как сомножитель в общий коэффициент передачи разомкнутой системы К.

Для того чтобы составить характеристическое уравнение, необходимо приравнять знаменатель передаточной функции замкнутой системы к нулю:

=0

Раскрывая скобки и подставляя числовые значения всех параметров, кроме К, получаем:

=0

Введем обозначения:


По коэффициентам этого уравнения составим определитель Гурвица и приравняем его к нулю, так как это соответствует границе устойчивости:

Подставляя значения всех параметров, получим:

.68×10-6×s4+ 5.06×10-4×s3+0.045×s2+s+К = 0

Составляем матрицу коэффициентов характеристического уравнения исходной системы.


Для устойчивости системы необходимо, чтобы выполнялись условия:

∆1 > 0; ∆2 > 0; ∆3 > 0; ∆4 > 0;

Составим определители Гурвица и приравняем нулю, так как это соответствует границе устойчивости.

∆1 = а1 > 0 (> 0);

= а1×а2 - а3×а0 > 0

= а3×(а1×а2 - а3×а0) - а4×а12 > 0

= а4×∆3 > 0

Для нахождения К достаточно вычислить определитель 3-го порядка:

К=82.37

Теперь найдем Ку:

Ку=

Ку==20.59

Поскольку варьируемый параметр всего один, то область работоспособности в этом частном случае представляет собой отрезок значений на действительной прямой, т.е. диапазон значений.

Верхнее значение диапазона изменения параметра Ку=20.59.

Нижнее значение диапазона определим из условия обеспечения передачи информации от устройства к устройству: неразрывности (прямой) цепи. Из этого условия следует, что коэффициенты передачи всех устройств, в том числе и усилителя, должны быть больше нуля. Если хотя бы один из них будет равен нулю, произойдет разрыв цепи, и информация не пройдет на выход системы.

Зададим минимальное значение Ку при исследовании системы. Возьмем Ку равным 0.1, т.к. при Ку =0 происходит разрыв системы.

Тем самым Ку[0.1…20.4].

2. Параметрическая оптимизация СУ

.1 Выбор критериев оптимальности

Параметрическая оптимизация - это процедура нахождения значений внутренних параметров проектируемого или исследуемого объекта заданной структуры, при которых достигается наилучшее сочетание свойств этого объекта, отображаемое в критерии.

Оптимальными называются те параметры, при сочетании которых вероятность выполнения условий работоспособности максимальна.

Для нахождения оптимальных параметров системы требуется обеспечить экстремум критерия оптимальности (ЦФ), связанный с показателями динамического качества, за счет варьируемых параметров, допустимые значения которых лежат в заданной области.

В качестве варьируемого параметра выбираем коэффициент усиления КУ, с диапазоном изменения от 0.001 до 41.18.

2.2 Оптимизация по критерию “среднеквадратической ошибки”

Оптимизация проводилась по следующей схеме:

Рис. 10 - Схема моделирования по критерию “среднеквадратическая ошибка“

Целевая функция сформирована на выходе блока .

Целью оптимизации явилось нахождение минимального значения среднеквадратической ошибки.

Коэффициент усиления Kу изменяем в пределах от 0. 1 до 20.4.

Оптимизация велась с интервалом неопределенных параметров = 0.1

Рис. 11 - Переходная характеристика для оптимизации по среднеквадратичной ошибке

При выполнении оптимизации были получены следующие результаты:

Рис. 12

В результате оптимизации параметра Kу получили Kу = 4.47.

Характеристики переходного процесса имеют следующие значения:

Время регулирования: Tрег= 0.25c;

Коэффициент перерегулирования: s = 17%.

2.3 Оптимизация по коэффициенту “перерегулирования”

Оптимизация проводилась по следующей схеме:

Рис. 13 - Схема моделирования для оптимизации по критерию «перерегулирование»

Цель оптимизации нахождение минимального значения коэффициента перерегулирования.

Коэффициент усиления Ky изменяем в пределах от 0.1 до 20.4.

Оптимизация велась с интервалом неопределенных параметров = 0.01.

Рис. 14 - Переходная характеристика для оптимизации по коэффициенту перерегулирования

При выполнении оптимизации были получены следующие результаты:

Рис. 15 - Результаты оптимизации по коэффициенту перерегулирование

Коэффициент усиления: Kу = 1.14;

Время регулирования: Tрег= 0.55c;

Коэффициент перерегулирования: s = 0%.

электронный дроссельный заслонка автомобиль

2.4 Оптимизация по критерию “минимум времени регулирования”

Цель оптимизации нахождение минимального значения времени регулирования.

Оптимизация проводилась по следующей схеме:

Рис. 16 - Схема моделирования для оптимизации по времени регулирования

Принцип действия схемы субмодели:

На средний (логический) входной порт (величина «трубки») подается модуль сигнала рассогласования. Если этот сигнал больше уставки (5%), то на выход подается сигнал с 3-его (нижнего) входного порта, т.е. текущее модельное время.

Если управляющий сигнал (на среднем входном порту) меньше уставки, то на выход передается сигнал с первого (верхнего) входного порта, т.е. тот же сигнал, но задержанный на один шаг интегрирования.

Задержку на один шаг интегрирования осуществляет типовой блок с подписью «Время переходного процесса» (типовой блок «Задержка на шаг интегрирования» из библиотеки «Дискретные звенья»).

Рис. 17 - Схема субмодели

Рис. 18 - Переходная характеристика для оптимизации по времени регулирования

При выполнении оптимизации были получены следующие результаты:

Рис. 19 - Результаты оптимизации по критерию «минимум времени регулирования»

Коэффициент усиления: Kу = 5.09;

Время регулирования: Tрег= 0.23c;

Оптимизация по суперкритерию.

Задача оптимизации - многофункциональная задача, т.к. имеет более одного параметра, претендующего на роль критерия оптимальности. Используем аддитивный суперкритерий, объединяющий все выходные параметры (частные критерии) в одну целевую функцию, представляющую собой сумму частных критериев:

 где

 - относительный вклад частных критериев в суперкритерий;

 - число выходных параметров.

Для нашего случая аддитивный критерий будет выглядеть следующим образом:


где α, - весовой коэффициент.

Оптимизация проводилась по следующей схеме:

Рис. 20 - Схема моделирования системы для оптимизации по “суперкритерию”

Рис. 21 - Переходная функция системы после оптимизации по “суперкритерию”

При выполнении оптимизации были получены следующие результаты:

Время регулирования: Tрег= 0.24c;

Коэффициент перерегулирования: s = 8%.

При оптимизации по суперкритерию проводятся те же вычисления, что и для других методов, при каждом значении α (от 0 до 1, шаг 0.2).

Построение множества Парето.

Строим график зависимости коэффициента перерегулирования (s, %) от времени регулирования (tрег, с):

исходной системы;

по среднеквадратической ошибке;

по перерегулированию;

по времени регулирования;

по суперкритерию (подставляя в уравнение 1 разные значения a от 0 до 1 с интервалом 0.2).

Получаем точки, по которым строим кривую:



α=1

α=0.8

α=0.6

α=0.4

α=0.2

α=0

Tрег, с

0.23

0.31

0.38

0.44

0.50

0.55

σ, %

22.0

7.6

4.1

1.4

0.2

0

Ку

5.09

3.42

2.85

2.21

1.86

1.14


Область, которая образуется под кривой, называется областью компромиссов или областью (множеством) Парето.

Рис. 22 - Множество Парето

3. Трехмерное моделирование СУ в AutoCAD 2004

Рис. 23

Рис. 24

Рис. 25

Рис. 26 - Трехмерная модель электронной дроссельной заслонки

Рис. 27

Рис. 28 - Трехмерная модель педали акселератора

Выводы

В процессе проделанной работы по исследованию следящей системы за положением манипулятора с элементами космических станций, проведена многокритериальная параметрическая оптимизация. Для исследования использовались критерии:

перерегулирование;

время регулирования;

суперкритерий.

 

Исходная система

По критерию СКО

По критерию «перерегулирование»

По критерию «Минимум времени регулирования»

По суперкритерию






α=1

α=0.8

α=0.6

α=0.4

α=0.2

α=0

Tрег, с

0.30

0.25

0.55

0.23

0.23

0.31

0.38

0.44

0.50

0.55

σ, %

32

17

0

22

22.0

7.6

4.1

1.4

0.2

0

Ку

6.7

4.47

1.14

5.09

5.09

3.42

2.89

2.21

1.86

1.14


Не выделив наилучшую альтернативу, то есть обладающую наименьшими значениями параметров, прибегли к методу нахождения множества Парето.

Таким образом, не меняя исходной системы, можно добиться разных результатов, в зависимости от того, какая цель преследуется при параметрической оптимизации.

Список использованной литературы

1.     Проектирование автоматизированных систем: Курс лекций по дисциплине. Б.В. Кириличев. - М.: МГИУ, 2008.

2.      Теория автоматического управления: Курс лекций по дисциплине. А.И Мартяков.- М.: МГИУ, 2006.

.        Основы теории автоматического регулирования и управления А.А. Воронов, В.К.Титов. - М.: Высшая школа, 1977.

.        Автоматическое регулирование. Теория и элементы систем: Учебник. Иващенко Н.Н. - М.: 1963.

.        Современные системы управления: Учебник. Р. Бишоп, Р. Дорф. - М.: «Лаборатория базовых знаний», 2002.

.        <http://parkoffka.ru/instr/audi/html/4_2_2-2.htm>

.        <http://www.eurodetail.ru/category_2_offset_13900.html>

Похожие работы на - Параметрическая оптимизация следящей системы электронной дроссельной заслонки автомобиля

 

Не нашли материал для своей работы?
Поможем написать уникальную работу
Без плагиата!
Без нейросетей!