Определение содержания аммиака, фенола, формальдегида и твердых частиц в воздухе исследуемых постов г. Гомеля
Содержание
1.
Обзор литературы
.1 Воздух
как объект анализа
.2 Загрязнение
атмосферного воздуха
.3 Основные
источники загрязнения атмосферы
.4 Классификация
загрязнителей атмосферного воздуха
.5 Биологическое
воздействие загрязнителей воздуха на организмы
.6 Контроль
за состоянием воздушного бассейна в Республике
Беларусь
.
Объект, программа и методы исследований
.1 Объект
и программа исследования
.2 Методика
исследования
.2.1 Методика
определения твердых частиц
.2.2 Методика
определения аммиака
.2.3 Методика
определения фенола
.2.4 Методика
определения формальдегида
.
Результаты и их обсуждение
Заключение
Список
использованных источников
Приложение
А
Введение
Актуальность работы. В настоящее время
актуальной проблемой является загрязнение воздушной среды органическими и
неорганическими веществами, такими как аммиак, фенол, формальдегид, твердые
частицы. Также важной проблемой является изучение состава воздушных масс и
нахождение путей очистки атмосферного воздуха от токсикантов. В результате
накопления во внешней среде эти вещества представляют серьезную опасность с
точки зрения их биологической активности и токсических свойств[1].
Чистый воздух имеет огромное значение в жизни и
хозяйственной деятельности людей.
Воздух загрязняется разнообразными твёрдыми
частицами промышленного происхождения. Помимо пыли в окружающую среду попадают
различные газы. Также своеобразная форма загрязнения окружающей среды - это
разного рода шумы, что является неизбежным следствием развития техники [2].
Концентрация загрязняющих веществ в атмосфере в
значительной мере определяется географическими условиями конкретного района.
Она зависит не только от количества и мощности источников загрязнения, но также
и от местных особенностей природных условий. Поэтому при планировании и проектировании
размещения предприятий необходимо учитывать господствующие направления ветров,
характер рельефа, местные особенности климата[3].
В настоящее время необходим серьёзный контроль
(мониторинг) за состоянием окружающей среды и охраной её компонентов.
Сохранение здоровья человека и поддержка чистого
воздуха в рабочей зоне работающего - основная задача промышленно-санитарной
лаборатории и органов здравоохранения.
Охрана окружающей среды - важнейшая научная и
практическая проблема современности. Задача заключается в разработке комплекса
надёжных антикризисных мер, позволяющих активно противодействовать дальнейшей
деградации природной среды и выйти на устойчивое развитие общества [4,5].
Цель работы. Определение содержания аммиака,
фенола, формальдегида и твердых частиц в воздухе исследуемых постов г. Гомеля.
1. Обзор литературы
.1 Воздух как объект анализа
Атмосфера (от греч.бфмьт
- пар и уцбῖсб
- шар) - газовая (воздушная) оболочка Земли, вращающаяся вместе с ней. Жизнь на
Земле возможна, пока существует атмосфера. Все живые организмы используют
воздух атмосферы для дыхания, атмосфера защищает от вредного воздействия
космических лучей и губительной для живых организмов температуры, холодного
«дыхания» космоса.
Атмосферный воздух - это смесь газов, из которых
состоит атмосфера Земли. Воздух не имеет запаха, прозрачен, его плотность
1,2928 г/л, растворимость в воде 29,18 см3/л, в жидком состоянии
приобретает голубоватую окраску. Жизнь людей невозможна без воздуха, без воды и
пищи, но если без пищи человек может прожить несколько недель, без воды -
несколько дней, то смерть от удушья наступает через 4 - 5 минут [6].
Атмосфера Земли подразделяется на нижнюю (до 100
км) - гомосферу с однородным составом приземного воздуха и верхнюю -
гетеросферу с неоднородным химическим составом. Одним из важных свойств
атмосферы является наличие кислорода. В первичной атмосфере Земли кислород
отсутствовал. Появление и накопление его связано с распространением зелёных
растений и процессом фотосинтеза. В результате химического взаимодействия
веществ с кислородом живые организмы получают энергию, необходимую для их
жизнедеятельности.
Через атмосферу осуществляется обмен веществ
между Землёй и Космосом, при этом Земля получает космическую пыль и метеориты и
теряет самые лёгкие газы - водород и гелий. Атмосфера пронизана мощной
солнечной радиацией, которая определяет тепловой режим планеты, вызывает
диссоциацию молекул атмосферных газов и ионизацию атомов. Обширная разрежённая
часть атмосферы состоит преимущественно из ионов [7].
Физические свойства и состояние атмосферы
меняются во времени: в течение суток, сезонов, лет - и в пространстве в
зависимости от высоты над уровнем моря, широты местности, удалённости от
океана.
Более 99,9% сухого атмосферного воздуха состоит
из азота, кислорода и аргона и лишь около 0,1% приходится на долю диоксида
углерода, криптона, неона, гелия, водорода и ксенона. Однако даже в чистом
воздухе содержатся следовые количества (от 0,003 до 0,25 мг/м3)
оксида углерода, озона, оксидов азота, аммиака, а также 0,5 - 1,5 мг/м3
метана и водорода. Присутствие небольших количеств этих газов в воздухе
объясняется существованием свободного озона в верхних слоях атмосферы, а также
процессами гниения и разложения (аммиак, метан, оксиды углерода и азота) или
атмосферными явлениями (диоксид азота). Все другие соединения (твёрдые, жидкие
и газообразные вещества, изменяющий естественный состав атмосферы), попадающие
в воздух из различных источников (в основном антропогенного происхождения),
классифицируются как загрязнители. К ним относят оксиды углерода, серы и азота,
углеводороды, различные оксиданты, аэрозоли металлов, твёрдые частицы (пыль,
сажа, органические аэрозоли) и радиоактивные вещества [6,8].
Главный вклад в загрязнение воздушного бассейна
вносит промышленность, особенно в местах её концентрации. Основными источниками
индустриальных загрязнений воздуха являются тепловые электростанции (ТЭС),
работающие на каменном угле и выбрасывающие в атмосферу сажу, золу и диоксид
серы; металлургические заводы, выбросы которых содержат сажу, пыль, оксид
железа и диоксид серы, а иногда и фториды; цементные заводы - источники
огромного количества пыли. Крупные предприятия по производству продукции
неорганической химии загрязняют атмосферу в зависимости от технологического
процесса. Самыми различными по составу газами (диоксид серы, тетрафторид
кремния, фтороводород, оксиды азота, хлор, озон), заводы по производству
целлюлозы, очистке нефти отличаются выбросами в атмосферу дурно пахнущих
газообразных отходов (одорантов). Предприятия нефтехимии (органический синтез,
нефтеперегонные заводы, переработка нефти) служат источником поступления в
воздух углеводородов и органических соединений других классов (амины, сульфиды,
меркаптаны, кетоны, альдегиды, кислоты, хлоруглеводороды и др.). Кроме того,
все промышленные предприятия располагают собственными отопительными и
энергетическими системами, отходящие газы которых также загрязняют воздух
[9,10].
Загрязнение атмосферного воздуха предприятиями
химической промышленности обусловлено следующими причинами:
а) неполный выход продукции (неполнота
протекания реакции, потери конечного продукта и др.).
б) выброс в атмосферу примесей и
загрязнений при переработке сырья (диоксида серы и сероводорода из природного
газа, сырой нефти и каменного угля; фтористых соединений из органических
растворителей; селена и мышьяка из серного колчедана при производстве серной
кислоты и т. д.).
в) попадание в воздух пахучих веществ и
продуктов окисления и деструкции в результате процессов термоокислительной
деструкции, нагревания или сушки (производство продуктов питания, мыла, клея и
изделий из дерева, окраска автомобилей, синтез и переработка полимерных
материалов, производство растворителей и др.).
г) потери веществ, используемых в
производственных процессах, например летучих органических растворителей,
сероуглерода и сероводорода при изготовлении искусственного шёлка и вискозы;
оксидов азота при камерном и башенном способах производства серной кислоты;
соединений фтора при производстве алюминия и др.
д) стационарные источники промышленного
происхождения (дымовые газы, отходящие газы плавильных печей металлургического
производства, установок каталитического крекинга, отходящие газы ТЭС и других
энергетических комплексов) и извержение вулканов загрязняют атмосферу углеводородами.
Значительно большое количество углеводородов и оксидов углерода выделяется в
воздух в результате лесных пожаров [11,12].
.2 Загрязнение атмосферного воздуха
Под загрязнением атмосферного воздуха следует
понимать любое изменение его состава и свойств, которое оказывает негативное
воздействие на здоровье человека и животных, состояние растений и экосистем.
Загрязнение атмосферы может быть естественным
(природным) и антропогенным (техногенным).
Естественное загрязнение воздуха вызвано
природными процессами. К ним относятся вулканическая деятельность, выветривание
горных пород, ветровая эрозия, массовое цветение растений, дым от лесных и
степных пожаров. Антропогенное загрязнение связано с выбросом различных
загрязняющих веществ в процессе деятельности человека. По своим масштабам оно
значительно превосходит природное загрязнение атмосферного воздуха [1].
В зависимости от масштабов распространения
выделяют различные типы загрязнения атмосферы: местное, региональное и
глобальное. Местное загрязнение характеризуется повышенным содержанием
загрязняющих веществ на небольших территориях (город, промышленный район). При
региональном загрязнении в сферу негативного воздействия вовлекается
значительные пространства, но не вся планета. Глобальное загрязнение связано с
изменением состояния атмосферы в целом.
По агрегатному состоянию выбросы вредных веществ
в атмосферу классифицируются на:
1) газообразные (диоксид серы, оксид азота,
углеводороды и др.);
2) жидкие (кислоты, щёлочи, растворы
солей);
) твёрдые (канцерогенные вещества, свинец
и его соединения, пыль, сажа, смолистые вещества и прочие).
Главные загрязнители (поллютанты) атмосферного
воздуха, образующиеся в процессе производственной и иной деятельности человека
- диоксид серы, оксид углерода и твёрдые частицы. На их долю приходится около
98% в общем объёме выбросов вредных веществ. Помимо главных загрязнителей, в
атмосфере городов и посёлков наблюдается ещё более 70 наименований вредных
веществ, среди которых - аммиак, формальдегид, фтористый водород, соединения
свинца, фенол, бензол и др. Однако именно концентрации главных загрязнителей
наиболее часто превышают допустимые уровни во многих городах Беларуси [13,14].
Наиболее опасное загрязнение атмосферы -
радиоактивное. В настоящее время оно обусловлено в основном глобально
распределёнными долгоживущими радиоактивными изотопами - продуктами испытания
ядерного оружия, проводившихся в атмосфере и под землёй.
Ещё одной формой загрязнения атмосферы считается
локальное избыточное поступление тепла от антропогенных источников тепла.
Признаком теплового (термического) загрязнения атмосферы служат так называемые
термические зоны, например, «остров тепла» в городах, потепление водоёмов и
т.п.[15].
Загрязнение воздуха оказывает вредное
воздействие на организм человека, животных и растительность, наносит ущерб
народному хозяйству, вызывает глубокие изменения в биосфере.
Влияние загрязнённого воздуха может быть как
прямым, так и косвенным. Прямое влияние выражается в том, что загрязнители в
виде газов и пыли попадают вместе с вдыхаемым воздухом в организм и оказывают
на него непосредственное действие, вызывая различного рода заболевания.
Загрязнение воздуха может оказывать и вредное
косвенное влияние. С увеличением запыленности атмосферы над городами снижается
прямая солнечная радиация, а в их центрах солнечная суммарная радиация на 20 -
50% ниже, чем в пригородах. Существенно уменьшается поступление
ультрафиолетовых лучей, поэтому в воздухе увеличивается количество
болезнетворных бактерий. В запыленном воздухе резко возрастает число ядер
конденсации воды. В результате туманных и облачных дней в крупных городах
бывает в несколько раз больше, чем за их пределами [13,16].
В целом, если судить по официальным данным на
2009 - 2010 гг., уровень загрязнения атмосферного воздуха в нашей стране,
особенно в городах Беларуси, остаётся высоким, несмотря на значительный спад
производства, что связывают прежде всего с увеличением количества автомобилей,
в том числе - неисправных [15].
.3 Основные источники загрязнения атмосферы
Степень загрязнения атмосферы зависит от
количества выбросов вредных веществ и их химического состава, от высоты, на
которой осуществляются выбросы, и от климатических условий, определяющих
перенос, рассеивание и превращение выбрасываемых веществ.
Источники загрязнения атмосферы различаются по
мощности выброса (мощные, крупные, мелкие), высоте выброса (низкие, средней
высоты и высокие), температуре выходящих газов (нагретые и холодные). К мощным
источникам загрязнения относятся производства типа металлургических и химических
заводов, заводов строительных материалов, тепловые электростанции и др. К
мелким источникам загрязнения - небольшие котельные и предприятия местной и
пищевой промышленности, трубы печного отопления и т.п. Большое количество
мелких источников может значительно загрязнять воздух. Под низкими источниками
понимают такие, в которых выброс осуществляется ниже 50 м, под высокими -
выброс выше 50 м. Нагретыми условно называют источники, у которых температура
выбрасываемой газовоздушной смеси выше 50 °С; при более низкой температуре
выбросы считаются холодными [13].
В выбросах предприятий различных отраслей
промышленности и транспорта содержится большое число различных вредных
примесей. Почти из всех источников в атмосферу поступают диоксид серы (SO2),
пыль, оксид углерода II(CO),
оксиды азота II, IV(NO,
NO2).
Много вредных веществ образуется при сжигании топлива. Только тепловые
электростанции являются источником почти половины (45 %) общего количества
сернистых соединений, поступающих в воздушный бассейн. При сжигании топлива в
атмосферу выбрасываются также в большом количестве оксид углерода, оксиды азота
и несгоревшие твердые вещества в виде золы и сажи. В меньших количествах при
сжигании как твердого, так и жидкого топлива могут выбрасываться хлористый натрий
и магний, оксиды железа, ванадий, оксиды никеля и кальция, ртуть и ряд других
веществ. При сжигании газообразного топлива в основном выбрасываются оксиды
азота. При нарушении режима горения, т.е. при сжигании газа в условиях
недостаточного количества воздуха или при охлаждении пламени горелки, в
атмосферу выбрасываются углеводороды. При этом могут выделяться и ароматические
углеводороды, часть которых относится к канцерогенным веществам[11].
Значительное количество топлива сжигается
автомобильным, железнодорожным, морским, речным и авиационным транспортом.
Основными вредными примесями, содержащимися в выхлопных газах двигателей
внутреннего сгорания, являются: оксид углерода, оксиды азота, углеводороды (в
том числе канцерогенные), альдегиды и другие вещества. При работе двигателей,
использующих бензин, выбрасываются также свинец, хлор, бром, иногда фосфор, при
работе дизельных двигателей - значительное количество сажи. Авиационные
двигатели выбрасывают в атмосферу оксид углерода, оксиды азота, альдегиды,
углеводороды, оксиды серы и сажу.
Большой вклад в загрязнение атмосферы вносят
предприятия черной металлургии. Выбросы предприятий этой отрасли составляют 10
- 15 % общих выбросов промышленности в целом по стране. В выбросах предприятий
черной металлургии содержатся пыль, диоксид серы, оксид углерода, оксиды азота,
сероводород, фенол, сероуглерод, бензапирен и др. Наибольшее количество
диоксида серы содержится в выбросах агломерационных фабрик, энергетических
установок и предприятий по производству чугуна.
При производстве цветных металлов в атмосферу
выбрасываются диоксид серы, оксид углерода и пыль, оксиды различных металлов
(особенно, свинец, медь, никель). Производство алюминия электролизным методом
сопровождается выбросами в атмосферу фтористых соединений и оксида
углерода[18].
От предприятий химической промышленности в
атмосферу поступают разнообразные вредные вещества, главным образом в виде
газов. При производстве серной кислоты с отходящими газами выбрасываются в
атмосферу сернистые соединения, оксиды азота, соединения мышьяка и токсичная
пыль. При производстве азотной кислоты - оксиды азота, аммиак и оксид углерода,
при производстве хлора - хлор и соляная кислота, при производстве суперфосфата
- фтористоводородная и кремнефтористоводородная кислота, при производстве
целлюлозы и бумаги - диоксид серы, дисульфид, сероводород, сероуглерод, хлор,
формальдегид и меркаптаны, при производстве искусственного волокна -
сероводород и сероуглерод[19].
Большое количество вредных веществ выбрасывается
в атмосферу предприятиями нефтяной промышленности, в том числе оксиды серы и
азота, оксид углерода, углеводороды, сероводород, меркаптаны и несгоревшие
твердые частицы, содержащие бензапирен. Производство цемента связано с
выбросами из печей обжига пыли и диоксида серы. Предприятия по производству
белковых концентратов выбрасывают в атмосферу пыль белково-витаминных
концентратов, фурфурол. Далеко не полный перечень поступающих в атмосферу
вредных веществ, который установлен на основании ежегодной статистической отчетности
предприятий, включает свыше 300 различных наименований. Органами Минздрава для
воздуха населенных мест разработаны и утверждены предельно допустимые
концентрации (ПДК) 411 веществ, оказывающих отрицательное воздействие на
здоровье человека. Концентрация примеси существенно зависит от периода времени,
за который она определяется. Поэтому установлены раздельные ПДК для разовых и
суточных концентраций примеси (перечень этих веществ дан в таблице 3 п.1.7).
В последние годы широко развернуты работы по
установлению норм предельно допустимых выбросов (ПДВ) для каждого предприятия и
каждого источника выбросов. Для отдельного источника выбросов ПДВ - это выброс,
при котором в районе расположения данного источника с учетом влияния соседних
источников концентрации примесей в атмосфере не превысят ПДК. На основе
экспериментальных и теоретических исследований разработаны нормативные
документы по расчету рассеивания примесей и установлению предельно допустимых
выбросов вредных веществ, в том числе Временная методика нормирования [20] и
Методика расчета концентраций в атмосферном воздухе вредных веществ,
содержащихся в выбросах предприятий (ОНД-86) [21]. Эти документы носят
универсальный характер и применимы для всех видов источников. Нормирование
выбросов загрязняющих веществ осуществляется на основе расчетов полей
максимальных концентраций вредных веществ на территории города. Если согласно
расчету максимальная концентрация примеси в атмосфере превышает ПДК, то должны
применяться технологические и организационные мероприятия для снижения выбросов
до допустимого уровня.
При постоянных параметрах выбросов уровень
загрязнения атмосферы существенно зависит от климатических условий:
направления, условий переноса и распространения примесей в атмосфере,
интенсивности солнечной радиации, определяющей фотохимические превращения
примесей и возникновение вторичных продуктов загрязнения воздуха, количества и
продолжительности атмосферных осадков, приводящих к вымыванию примесей из
атмосферы [22,4]. Поэтому снижение загрязнения атмосферы должно осуществляться
технологическими средствами с учетом характерных особенностей климатических
условий в рассматриваемом районе[23].
Влияние метеорологических условий проявляется
по-разному при холодных и нагретых выбросах из высоких и низких труб.
Концентрации примеси в приземном слое атмосферы под факелом дымовых и
вентиляционных труб на разных расстояниях от источника выбросов распределяются
следующим образом. Вблизи источника при отсутствии низких и особенно
неорганизованных выбросов концентрация примеси мала. Она увеличивается и
достигает максимума на некотором расстоянии от трубы. Максимум и характер
изменения концентрации с расстоянием зависят от мощности выброса, высоты трубы,
температуры и скорости выбрасываемых газов, а также, от метеорологических
условий. Чем выше источник выбросов, тем больше рассеивается примесь в
атмосфере, прежде чем достигнет подстилающей поверхности. Наибольшего значения
концентрация обычно достигает на расстоянии от 10 до 40 высот труб. На
промышленной площадке загрязнение приземного слоя воздуха может быть повышенным
за счет неорганизованных выбросов.
Рассеивающая способность атмосферы зависит от
вертикального распределения температуры и скорости ветра. Если температура с
высотой падает, то создаются условия интенсивного турбулентного обмена. Чаще
всего неустойчивое состояние атмосферы наблюдается летом в дневное время. При
таких условиях у земной поверхности отмечаются большие концентрации и возможны
значительные колебания их со временем. Если в приземном слое воздуха
температура с высотой растет (инверсия температуры), то рассеивание примесей
ослабевает. В случае мощных и длительных приземных инверсий при низких, в
частности, неорганизованных выбросах концентрации примесей могут существенно
возрастать[24].
В случае приподнятых инверсий приземные
концентрации зависят от высоты расположения источника загрязнения по отношению
к их нижней границе. Если источник расположен выше слоя приподнятой инверсии,
то примесь к земной поверхности поступает в небольших количествах. Если
источник располагается ниже слоя приподнятой инверсии, то основная часть
примеси концентрируется вблизи поверхности земли.
Скорость ветра способствует переносу и
рассеиванию примесей, так как с усилением ветра возрастает интенсивность
перемешивания воздушных слоев. При слабом ветре в районе высоких источников
выброса концентрации у земли уменьшаются за счет увеличения подъема факела и
уноса примеси вверх. Подъем примеси особенно значителен при нагретых выбросах.
При сильном ветре начальный подъем примеси уменьшается, но происходит
возрастание скорости переноса примеси на значительные расстояния. Максимальные
концентрации примеси обычно наблюдаются при некоторой скорости, которая
называется опасной [21]. Опасная скорость ветра зависит от параметров выброса.
Для мощных источников выброса с большим перегревом дымовых газов относительно
окружающего воздуха, например для тепловых электростанций, она составляет 5 - 7
м/с. Для источников со сравнительно малым объемом выбросов и низкой
температурой газов, например, для предприятий химической промышленности, она
близка к 1 - 2 м/с [4].
Неустойчивость направления ветра способствует
усилению рассеивания по горизонтали, и концентрации у земли уменьшаются.
Солнечная радиация обусловливает фотохимические
реакции в атмосфере и сформирование различных вторичных продуктов, обладающих
часто более токсичными свойствами, чем вещества, поступающие от источников
выбросов. Так, в процессе фотохимических реакций в атмосфере происходит
окисление сернистого газа с образованием сульфатных аэрозолей. В результате
фотохимического эффекта в ясные солнечные дни в загрязненном воздухе
формируется фотохимический смог.
При туманах концентрация примесей может сильно
увеличиться. С туманами связаны смоги, при которых в течение продолжительного времени
удерживаются высокие концентрации вредных примесей.
Подробные сведения о климатических условиях
распространения примесей в атмосфере и их влиянии на формирование уровня
загрязнения воздушного бассейна можно найти в справочном пособии [25], а также в
других работах [22,26].
На распространение примеси влияют также
упорядоченные вертикальные движения, обусловленные неоднородностью подстилающей
поверхности. В условиях пересеченной местности на наветренных склонах возникают
восходящие, а на подветренных - нисходящие движения, над водоемами летом -
нисходящие, а в прибрежных районах - восходящие движения.При нисходящих потоках
приземные концентрации увеличиваются, при восходящих - уменьшаются. В некоторых
формах рельефа, например в котловинах, воздух застаивается, что приводит к
накоплению вредных веществ вблизи подстилающей поверхности, особенно от низких
источников выбросов. В холмистой местности максимумы приземной концентрации
примеси обычно больше, чем при отсутствии неровностей рельефа.
На рассеивание примесей в условиях города
существенно влияют планировка улиц, их ширина, направление, высота зданий,
зеленых массивов и водные объекты, образующие как бы разные формы наземных
препятствий воздушному потоку и приводящие к возникновению особых метеорологических
условий в городе.
Наблюдения показывают, что даже при постоянных
объемах и составах промышленных и транспортных выбросов в результате влияния
метеорологических условий уровни загрязнения воздуха могут различаться в
несколько раз. Учет этого влияния важен при подготовке документов о качестве
атмосферного воздуха, разработке воздухоохранных мероприятий, планировании
размещения городов и промышленных объектов, прогнозирования уровня загрязнения
[26].
В связи с этим при оценке эффективности
выполнения мероприятий по охране атмосферы недостаточно иметь только сведения о
сокращении выбросов. Требуется надежная информация за длительный период о
содержании примесей в атмосфере и климатических условиях распространения
примесей в атмосфере.
Создана и осуществляется в системе организаций
Белгидромета сеть мониторинга качества атмосферного воздуха. Регулярные
наблюдения за качеством атмосферного воздуха проводятся на более чем 70
станциях. В составе государственной службы наблюдения за состоянием
атмосферного воздуха действуют также специализированные подсистемы мониторинга,
в частности станции в биосферных заповедниках, в том числе за трансграничным
переносом загрязняющих воздух веществ.
Некоторые наблюдательные станции, действующие в
составе подсистем мониторинга, включены в состав международных систем
мониторинга фонового загрязнения атмосферы.
На «фоновых» станциях и в биосферных
заповедниках обязательным является определение следующих химических веществ в
воздухе: взвешенные частицы (аэрозоли), диоксид серы, озон, оксиды углерода,
азота, углеводороды, бензапирен, тяжёлые металлы (свинец, ртуть, кадмий,
мышьяк), фреоны. В атмосферных осадках дополнительно определяют биогенные
элементы (азот, фосфор), радионуклиды [13,27].
.4 Классификация загрязнителей атмосферного
воздуха
По условиям образования все вещества,
загрязняющие атмосферный воздух, делятся на примеси естественного и
искусственного происхождения. Примеси естественного происхождения поступают в
атмосферу в результате естественных явлений, происходящих в природе (пыльные
бури, извержение вулканов, лесные и торфяные пожары и т.д.). Эти факторы не
угрожают отрицательными последствиями природным экосистемам (за исключением
некоторых катастрофических природных явлений).
В эпоху научно-технического прогресса, характеризующегося
высокими темпами роста промышленного производства, выработки и потребления
электроэнергии, увеличения парка автомобилей, антропогенные источники
загрязнения превысили по масштабам естественные, приобрели глобальный характер
[28].
Главными по интенсивности и эффектам
антропогенными воздействиями на атмосферный воздух являются:
- выброс огромного количества антропогенных
веществ в атмосферу (что ведёт к изменению её состояния, изменению физических и
химических свойств);
- прямой нагрев и изменение
радиационных характеристик атмосферы за счёт антропогенного изменения
подстилающей поверхности.
Антропогенные загрязнения атмосферного воздуха
отличаются многообразием видов и многочисленностью источников. Если в начале 20
века в промышленности применялось 19 химических элементов, то в середине века
промышленное производство стало использовать 50 элементов, а в 70-х годах -
практически все элементы таблицы Менделеева. Это существенно отразилось на
составе промышленных выбросов и привело к качественно новому загрязнению
атмосферы, в частности, аэрозолями тяжёлых и редких металлов, синтетическими
соединениями, не существующими в природе, радиоактивными, канцерогенными,
бактериологическими и другими веществами [29].
Антропогенные загрязнения подразделяют
налокальные и глобальные. Локальные загрязнения представляют собой важнейшую
практическую проблему для городов, промышленных районов и некоторых
сельскохозяйственных зон, где загрязнения от отдельных источников могут
достигать заметных величин. Глобальные загрязнения влияют на биосферные
процессы в целом на Земле и распространяются на огромные расстояния[16].
Выделяют следующие виды загрязнения атмосферного
воздуха: механические, физические и биологические.
Механические загрязнения - пыль, фосфаты,
свинец, ртуть. Они образуются при сжигании органического топлива и в процессе
производства строительных материалов.
К физическим загрязнениям относятся
тепловые(поступление в атмосферу нагретых газов), световые (ухудшение
естественной освещённости местности под воздействием искусственных источников
света), шумовые(как следствие антропогенных шумов), электромагнитные(от линий
электропередач, радио и телевидения, работы промышленных установок),
радиоактивные.
Биологические загрязнения, в основном, являются
следствием размножения микроорганизмов и антропогенной деятельности
(теплоэнергетика, промышленность, транспорт).
Самыми распространёнными токсичными веществами,
загрязняющими атмосферный воздух, являются: оксид углерода (СО), диоксид серы
(SО2), оксид азота (NОх),
углеводороды и пыль [24].
В зависимости от источника и механизма
образования различают первичные и вторичные загрязнители воздуха. Первые
представляют собой химические вещества, попадающие непосредственно в воздух из
стационарных или подвижных источников. Вторые образуются в результате
взаимодействия в атмосфере первичных загрязнителей между собой и с
присутствующими в воздухе веществами (кислород, озон, аммиак, вода) под
действием ультрафиолетового излучения. Часто вторичные загрязнители, например
вещества группы пероксиацетилнитратов (ПАН), гораздо токсичнее первичных
загрязнителей воздуха. Большая часть присутствующих в воздухе твёрдых частиц и
аэрозолей является вторичными загрязнителями [30].
С учётом токсичности и потенциальной опасности
загрязнителей, их распространённости и источников эмиссии они были разделены
условно на несколько групп:
1) Основные (критериальные) загрязнители
атмосферы - оксид углерода, диоксид серы, оксиды азота, углеводороды, твёрдые
частицы и фото-химические оксиданты;
2) Полициклические ароматические углеводороды
(ПАУ);
3) Следы элементов (в основном металлы);
) Постоянные газы (диоксид углерода,
фторхлорметаны и т.д.);
) Пестициды;
) Абразивные твёрдые вещества (кварц,
асбест и др.);
) Разнообразные загрязнители, оказывающие
многостороннее действие на организм (нитрозамины, озон, нитраты, сульфаты,
кетоны, альдегиды и др.).
Все критериальные загрязнители
относятся к первичным загрязнителям атмосферы. Оксиды азота образуются при
высокотемпературной фиксации азота и кислорода в силовых установках и
двигателях внутреннего сгорания. Оксид азота образуется при электрических
разрядах в атмосфере и присутствует в отработавших газах автомобилей. Ежегодно
в атмосферу поступает около 5
104 т оксидов азота, из
них 54% из антропогенных источников. В конечном итоге оксиды азота превращаются
в атмосфере в нитраты.
Диоксид серы образуется при сгорании
топлива с высоким содержанием серы (каменный уголь, нефть). Источниками эмиссии
этого токсичного газа являются стационарные источники горения, промышленные
объекты (производство удобрений, серной кислоты), двигатели внутреннего
сгорания. Диоксид серы относят к главным и наиболее важным загрязнителям
воздуха, опасным для животных и растений и участвующим в образовании
фотохимического смога. Общая эмиссия диоксида серы в атмосферу серы составляет
8·107 т в год, т.е. значительно превосходит поступление в атмосферу
большинства других токсичных химических веществ, и постоянно возрастает
пропорционально росту потребления энергии.
Оксид углерода - наиболее опасный и
чрезвычайно распространённый из газообразных загрязнителей воздуха, токсичность
которого обусловлена реакцией с гемоглобином крови. Образование СО происходит
при неполном сгорании различного топлива. Естественным источником СО являются
лесные пожары и фотохимическое превращение органических соединений в атмосфере.
Около 25% СО имеет антропогенное происхождение. Средняя концентрация СО в
атмосфере (около 10 - 15%) значительно увеличивается (до 3·103%) в
районах автострад и в городах в часы пик[31].
Предполагается, что в будущем
снизится загрязнение воздуха от стационарных источников такими токсичными
веществами, как пыль и оксиды серы, углерода и азота. Однако большую опасность
будут представлять газы и пары органических веществ и тяжёлые металлы (кадмий,
свинец, бериллий и др.).
Концентрация углеводородов,
выделяющихся в воздух из природных источников, немногим более 1 мг/м3.
Ежегодная эмиссия углеводородов составляет 3·108 т в год, причём 50%
этого количества обусловлено работой транспорта, около 15% составляет выделение
углеводородов при сгорании жидкого топлива в жилых районах и ТЭС, а 26%
приходится на сгорание угля, мусора и испарение топлива и растворителей. В
«усреднённом» автомобильном выбросе содержится около 400 мг/м3
парафиновых, 120 мг/м3 ацетиленовых, 200 мг/м3
ароматических, 300 мг/м3олефиновых углеводородов.
При этом максимальное количество
загрязнителей попадает в атмосферу при сжигании угля. На долю этого источника
приходится более 95% твёрдых частиц, 85% оксидов серы, 70% оксидов азота и
более 90% следов элементов от общего количества выбросов для всех ТЭС,
работающих на угле, газе и нефти[4].
Скапливаясь в атмосфере,
загрязнители взаимодействуют друг с другом, гидролизуются и окисляются под
действием влаги и кислорода воздуха, а также изменяют свой состав под
воздействием радиации. Вследствие этого продолжительность пребывания токсичных
примесей в атмосфере тесно связана с их химическими свойствами. Для диоксида серы
этот период составляет 4 дня, сероводорода - два, оксида азота - пять, аммиака
- семь дней, а СО в силу своей инертности сохраняется неизменным в течение трёх
лет [9].
1.5 Биологическое воздействие загрязнителей
воздуха на организмы
На растительные организмы. В растение токсичные
вещества поступают различными способами. Установлено, что выбросы вредных
веществ действуют как непосредственно на зелёные части растения, попадая через
устьица в ткани, разрушая хлорофилл и структуру клеток, так и через почву на
корневую систему. Так, например, загрязнение почвы пылью токсичных металлов,
особенно в соединении с серной кислотой, губительно действует на корневую
систему, а через неё и на всё растение[32].
Загрязняющие газообразные вещества по-разному
влияют на состояние растительности. Одни лишь слабо повреждают листья, хвоинки,
побеги (окись углерода, этилен), другие действуют на растения губительно
(диоксид серы, хлор, аммиак, цианистый водород и др.) (см. таблицу 1).
Особенно опасен для растений диоксид серы (SO2),
под воздействием которого гибнут многие деревья, и в первую очередь хвойные -
сосны, ели.
Таблица 1 - Токсичность загрязнителей воздуха
для растений
|
Вредные
вещества
|
Характеристика
|
|
|
|
Аммиак
|
Повреждает
растения на близком расстоянии
|
|
Диоксид
серы
|
Основной
загрязнитель, яд для ассимиляционных органов растений, действует на
расстоянии до 30 км
|
|
Фтористый
водород и четырёхфтористый кремний
|
Токсичны
даже в небольших количествах, склонны к образованию аэрозолей, действуют на
расстоянии до 5 км
|
|
Соединения
свинца, углеводороды, оксид углерода, оксиды азота
|
Заражают
растительность в районах высокой концентрации промышленности и транспорта
|
|
Сероводород
|
Клеточный
и ферментный яд
|
|
Хлор,
хлористый водород
|
Повреждают
в основном на близком расстоянии
|
В результате воздействия высокотоксичных
загрязнителей на растения отмечается замедление их роста, образование некроза
на концах их листьев и хвоинок, выход из строя органов ассимиляции. Увеличение
поверхности повреждённых листьев может привести к снижению расхода влаги из
почвы, общей её переувлажнённости, что неизбежно скажется на среде её обитания.
Способна ли растительность восстановиться после
снижения воздействия вредных загрязняющих веществ? Во многом это будет зависеть
от восстанавливающей способности оставшейся зелёной массы и общего состояния
природных экосистем. Однако следует заметить, что невысокие концентрации
отдельных загрязнителей не только не вредят растениям, но и, как, например,
кадмиевая соль, стимулируют прорастание семян, прирост древесины, рост
некоторых органов растений [28,31].
На животные организмы. Антропогенные выбросы
загрязняющих веществ в больших концентрациях и в течение длительного времени
наносят большой вред не только человеку, но и отрицательно влияют на животных
[7].
В экологической литературе описаны случаи
массового отравления диких животных, птиц, насекомых при выбросах вредных
загрязняющих веществ большой концентрации. Так, например, установлено, что при
оседании на медоносных растениях некоторых токсичных видов пыли наблюдается
заметное повышение смертности пчёл. Что касается крупных животных, то
находящаяся в атмосфере ядовитая пыль поражает их в основном через органы
дыхания, а также поступая в организм вместе со съеденными запыленными
растениями.
В окрестностях химических заводов исчезают
многие виды животных, а концентрация ядовитых веществ в теле животного
превышает их концентрацию в окружающем воздухе в десятки раз [13].
На организм человека. Химическое загрязнение
атмосферы непосредственно влияет на состояние здоровья человека. Установлена
чёткая корреляционная связь между загрязнением атмосферного воздуха и
заболеваниями органов дыхания: бронхитами, трахеитами, астмой, пневмониями,
раком лёгких. Смертность от рака лёгких в последние 10 лет удвоилась. Наиболее
чувствительны к воздействию загрязнённого воздуха люди пожилого возраста, дети
и люди, страдающие хроническими заболеваниями органов дыхания.
Запыленность воздуха кремнием вызывает силикозы.
При этом заболевании ткань лёгкого заменяется соединительной тканью и перестаёт
функционировать. У людей, постоянно находившихся в сильно запыленном воздухе,
возникают бронхиты, астма, аллергические реакции. Ряд легочных заболеваний, в
том числе рак, связан с запыленностью атмосферы асбестом, что особенно чётко
проявляется в районах расположения предприятий по производству цемента.
Травмы глаз золой на улицах промышленных центров
достигают 30-60 % всех глазных заболеваний [33].
Воздействие сернистого газа и его производных на
организм человека и животных поражает верхние дыхательные пути. Сернистый
ангидрид в концентрации до 20 мг/м3 вызывает раздражение слизистых
оболочек носа, горла, глаз. Воздействие больших доз диоксида серы может
приводить к отёку лёгких и смерти [15].
В крупных городах и промышленных центрах, где в
воздушной среде содержится большое количество канцерогенных полициклических
углеводородов, люди чаще страдают раковыми, психическими заболеваниями.
Среди «городских» загрязнителей бензол вызывает
рак крови, кадмий - рак предстательной железы, мышьяк - рак кожи и печени,
асбест - рак лёгких. Весьма токсичен бензапирен - его источником являются
выхлопы транспорта, промышленные отходы при переработке и сжигании топлива.
Концентрация этого вещества в местах интенсивного движения транспорта может
достигнуть в воздухе 6 мкг/100 м3.
Опыты, проведённые учёными, показали, что даже
ничтожные количества бензапирена могут вызывать появление злокачественных
опухолей.
У детей загрязнение среды может вызывать
заболевание рахитом, приводить к отклонениям в массе и росте, изменениям формулы
крови. У детей, проживающих в загрязнённых районах, наблюдается стойкое
повышение артериального давления, многие из них страдают разными формами
анемий. Число аллергических заболеваний может возрастать в 5-6 раз.
Свинец вызывает хроническое отравление организма
с различными проявлениями. Он может поражать кровеносную, нервную, мочеполовую
системы, нарушать синтез белка. При его концентрации в крови 0,85 мг/л
возникают головные боли, усталость, депрессии, психические расстройства.
Однократное вдыхание свинца в концентрации 271-795 мг/м3 вызывает
смерть.
Восприимчивость организма к вирусам повышают
оксиды азота. Раздражая лёгкие, они могут вызывать бронхиты и пневмонии. Оксид
азота является кровяным ядом. Он переводит оксигемоглобин в метгемоглобин,
оказывает прямое действие на центральную нервную систему. Хроническое
отравление оксидом азота нарушает функции дыхания и кровообращения. Диоксид
азота вызывает отёк лёгких, стимулирует анаэробное окисление в легочной ткани
[13].
Озон приводит к обострению хронических
заболеваний сердца, снижению сопротивляемости простудным заболеваниям, может
вызывать бронхиты и астму [34].
Аммиак сильно раздражает глаза, верхние
дыхательные пути, вызывает головную боль. Летальный исход может наступить при
вдыхании его паров в концентрации 1500-2700 мг/м3 в течение 0,5-1 ч.
Весьма токсичны пары ртути. Их воздействие на
организм человека проявляется разнообразно, что зависит от путей поступления в
организм и дозы.
Шумовое загрязнение среды отрицательно влияет на
нервную систему человека. Оно ведёт к потере слуха. Опасность шумового
воздействия углубляется свойством человеческого организма накапливать
акустические раздражения. Под воздействием шума определённой интенсивности
возникают изменения в циркуляции крови, работе сердца и желез внутренней
секреции, снижается мышечная выносливость.
Статистические данные свидетельствуют о том, что
процент нервно-психических заболеваний выше среди лиц, работающих в условиях
повышенного уровня шума. Реакция на шум зачастую выражается в повышенной
возбудимости и раздражимости. Люди, подвергающиеся постоянному воздействию
шума, часто становятся трудными в общении.
Шум вредно влияет на зрительный и вестибулярный
аппарат, снижает устойчивость ясного видения и рефлекторную деятельность
человеческого организма. Чувствительность сумеречного зрения ослабевает,
снижается чувствительность дневного зрения к оранжево - красным лучам.
Канцерогенные углеводороды на фоне выше
сказанного могут изменять наследственные изменения в организме человека и
животных, которые будут проявляться у будущих поколений [7,35].
Так, антропогенное воздействие на окружающую
среду в Республике Беларусь (за 2010) представлено в таблице 2.
Таблица 2 - Антропогенное воздействие на
окружающую среду в областях Республики Беларусь (за 2010 год)
|
Регионы
|
Республика
Беларусь
|
Брестская
область
|
Витебская
область
|
Гомельская
область
|
Гродненская
область
|
Минская
область
|
Могилёвская
область
|
Минск
|
|
Площадь,
тыс. кв. км.
|
207,6
|
32,8
|
40,1
|
40,4
|
25
|
40
|
29,1
|
0,2
|
|
Население,
тыс. чел.
|
10019,5
|
1484,1
|
1369,1
|
1540,3
|
1179,8
|
1549,5
|
1208,
6
|
1688,1
|
|
Объём
производства, %
|
100
|
9,8
|
17,2
|
18,2
|
9,9
|
12,6
|
12
|
20,3
|
|
Выбросы
в атмпром-cти
|
374,2
|
36,4
|
99,88
|
78
|
31,6
|
48,8
|
44,1
|
35,5
|
|
Транспорта
|
1373,7
|
213,4
|
216,2
|
214,3
|
180,7
|
258,8
|
176,7
|
113,6
|
|
Наличие
отходов на предпр.
|
1315
|
161
|
195
|
222
|
131
|
174
|
154
|
278
|
.6 Контроль за состоянием воздушного
бассейна в Республике Беларусь
В условиях неуклонного роста антропогенных
воздействий на окружающую среду необходимо иметь разнообразную и детальную
информацию о ее фактическом состоянии. Эту задачу выполняет мониторинг -
система наблюдения, оценки и прогноза изменений состояния окружающей среды.
Различают довольно много видов мониторинга как
по характеру, так и по методам или целям наблюдения. В соответствии с тремя
типами загрязнения различают мониторинг глобальный, региональный, локальный; по
способам - авиационный, космический, дистанционный [36,37].
Важнейшим направлением в борьбе с загрязнением
атмосферного воздуха является система контроля промышленных выбросов в
атмосферу. Качество атмосферного воздуха регулируется нормативами
предельно-допустимых концентраций (ПДК) вредных веществ в населенных пунктах.
ПДК - максимальная концентрация примеси в атмосфере, отнесенная к определенному
времени осреднения, которая при периодическом воздействии или на протяжении
всей жизни человека не оказывает ни на него, ни на окружающую среду в целом
вредного воздействия (включая отдаленные последствия). Для каждого вещества,
загрязняющего атмосферный воздух, установлены два норматива ПДК: максимально
разовый (ПДКмр) и среднесуточный (ПДКсс). ПДКмр
- это концентрация (в мг/м3), которая в течение 30 минут не должна
вызывать рефлекторных реакций у человека (ощущения запаха, изменения световой
чувствительности глаз, аллергических реакций и др.). ПДКсс - это
концентрация (в мг/м3), которая не должна оказывать на человека
вредного воздействия (общетоксичного; канцерогенного, мутагенного) при дыхании
в течение 24 часов.
Для веществ, по которым ПДК еще не определены,
руководствуются утвержденными на 3 года (с возможностью продления)
ориентировочно безопасными уровнями воздействия (ОБУВ) загрязняющих веществ в
атмосферном воздухе населенных мест[38,39,40].
По степени опасности различают четыре класса
веществ:
) чрезвычайно опасные;
) опасные;
) умеренно опасные;
) относительно безвредные.
Значения ПДК наиболее часто встречающихся
загрязнителей атмосферного воздуха указаны в таблице 3.
Таблица 3 - ПДК вредных веществ в атмосферном
воздухе населенных пунктов
В микрограммах на метр кубический
|
Код
|
Вещество
|
Класс
опасности
|
ПДК
|
|
|
|
максимальная
разовая
|
максимальная
среднесуточная
|
|
1
|
2
|
3
|
4
|
5
|
|
|
|
|
|
|
330
|
Диоксид
серы
|
3
|
500
|
50
|
|
333
|
Сероводород
|
2
|
8
|
-
|
|
334
|
Сероуглерод
|
2
|
30
|
5
|
|
301
|
Диоксид
азота
|
2
|
85
|
40
|
|
303
|
Аммиак
|
4
|
200
|
40
|
|
1401
|
Ацетон
|
4
|
350
|
350
|
|
602
|
Бензол
|
2
|
1500
|
100
|
|
856
|
Дихлорэтан
|
2
|
3000
|
1000
|
|
612
|
Изопропилбензол
(кумол)
|
4
|
14
|
14
|
|
521
|
Пропилен
|
3
|
3000
|
3000
|
|
1071
|
Фенол
|
2
|
10
|
3
|
|
337
|
Оксид
углерода
|
4
|
5000
|
3000
|
|
616
|
Ксилол
|
3
|
200
|
200
|
|
703
|
Бенз(а)пирен
|
1
|
-
|
106
|
|
1530
|
Капролактам
(пары, аэрозоль)
|
3
|
200
|
200
|
|
1213
|
Винилацетат
|
3
|
150
|
150
|
|
328
|
Сажа
|
3
|
150
|
50
|
|
621
|
Толуол
|
3
|
600
|
600
|
|
620
|
Стирол
|
2
|
40
|
0,2
|
В атмосфере чаще всего присутствует не одно, а
несколько вредных веществ, которые вступают в реакцию друг с другом и образуют
новое, иногда еще более вредное вещество. Это так называемый эффект суммации -
одновременное сходное воздействие на организм человека нескольких вредных
веществ, суммарная концентрация которых в воздухе может превышать допустимую,
установленную для каждого вещества в отдельности. При совместном присутствии в
воздухе нескольких веществ со своими значениями ПДКi,
с концентрацией Ci
(i = 1, 2, З … n) их
суммарная концентрация должна удовлетворять следующему условию:
К настоящему времени установлены группы веществ,
обладающих эффектом суммации: диоксид азота и оксид углерода; диоксид серы и
диоксид азота: диоксид серы и сероводород; оксид углерода, диоксид серы и
диоксид азота, аэрозоль пентоксида ванадия и диоксид серы; аммиак и оксид
азота; диоксид азота, оксид азота и другие.
Для каждого проектируемого и действующего
промышленного предприятия устанавливается предельно-допустимый выброс (ПДВ)
вредных веществ в атмосферу при условии, что выбросы вредных веществ от данного
источника в совокупности с другими источниками (с учетом перспективы их развития)
не создадут приземную концентрацию, превышающую ПДК.
При определении ПДВ примеси от расчетного
источника необходимо учитывать ее концентрацию в атмосфере, обусловленную
выбросами от других источников, соблюдая для приземного слоя следующее условие:
где С - концентрация вещества в приземном слое,
создаваемая расчетным источником выброса;
Сф - фоновая концентрация вещества.
В практических целях пользуются также таким
индикатором экологической ситуации, как индекс загрязнения атмосферы (ИЗА),
определяемым по сумме пяти наибольших для рассматриваемого поселения
среднегодовых концентраций поллютантов, выраженных в ПДК [7,41,42].
2. Объект, программа и методы исследований
Объект исследования
Объектом исследования являются пробы воздуха,
где определяются такие токсиканты, как аммиак, фенол, формальдегид, пыль. Отбор
проб воздуха осуществляется в воздухе некоторых улиц г. Гомеля.
Программа исследований
- изучение литературы по теме дипломной
работы;
- отбор проб (отбор проводился на 4-х
постах:ул.Карбышева, ул.Курчатова, ул.Огоренко и ул.Пионерской)
- подготовка проб к анализу;
- определение концентрации
химическоготоксиканта;
- обсуждение результатов анализа;
- математическая обработка результатов
2.2 Методика исследования
Режим отбора проб
Определение концентраций многих вредных примесей
в атмосфере производится лабораторными методами. Отбор проб осуществляется
путем аспирации определенного объема атмосферного воздуха через поглотительный
прибор, заполненный жидким или твердым сорбентом для улавливания вещества, или
через аэрозольный фильтр, задерживающий содержащиеся в воздухе частицы.
Определяемая примесь из большого объема воздуха концентрируется в небольшом
объеме сорбента или на фильтре. Параметры отбора проб, такие как расход воздуха
и продолжительность его аспирации через поглотительный прибор, тип
поглотительного прибора или фильтра, устанавливаются в зависимости от
определяемого вещества.
При наблюдениях за уровнем загрязнения атмосферы
используются следующие режимы отбора проб: разовый, продолжающийся 20 - 30 мин;
дискретный, при котором в один поглотительный прибор или на фильтр через равные
промежутки времени в течение суток отбирают несколько (от 3 до 8) разовых проб,
и суточный, при котором отбор в один поглотительный прибор или на фильтр
производится непрерывно в течение суток.
Отбор проб атмосферного воздуха осуществляется
на стационарных или передвижных постах, укомплектованных оборудованием для
проведения отбора проб воздуха и автоматическими газоанализаторами для
непрерывного определения концентраций вредных примесей. Одновременно с
проведением отбора проб непрерывно измеряются скорость и направление ветра,
температура воздуха, атмосферное давление, фиксируется состояние погоды и
подстилающей поверхности почвы[12].
Средства измерения
Используемые на стационарных постах средства
измерения размещаются в комплектных лабораториях «Пост-1» и «Пост-2», на
маршрутных и подфакельных постах - в автолаборатории «Атмосфера-II». Для отбора
проб воздуха используются электроаспираторы или воздухоотборники.
Электроаспираторы модели ЭА-1 предназначены для
отбора разовых (20 - 30 мин) проб воздуха в поглотительные приборы с целью
дальнейшего определения концентраций газообразных примесей и сажи. Используются
в стационарных лабораториях. Электроаспиратор ЭА-1 состоит из побудителя
расхода (ротационного насоса), четырех ротаметров, регулирующих вентилей и реле
времени, штатива, на котором укреплены коллектор, поглотительные приборы и патроны-переходники,
предотвращающие попадание поглотительных растворов в ротаметры[43].
.2.1
Методика определения твердых частиц
Общая часть
Методика предназначена для определения массовой
концентрации пыли в атмосферном воздухе. Используется для измерения разовых и
среднесуточных концентраций пыли при удельном расходе воздуха 5 дм3/(мин·см3)
в диапазонах: 0,26 - 50 мг/м3 (разовая); 0,007 - 0,69 мг/м3
(суточная).
Метод основан на определении массы взвешенных
частиц пыли, задержанных фильтром из ткани ФПП при прохождении через него
определенного объема воздуха.
Выполнение измерений
Отбор пробы для определения разовой концентрации
отбор производится в течение 20 мин. Предельная пылеемкость фильтра из ткани
ФПП составляет 5 мг/см2.
Перед взвешиванием фильтры не менее часа
выдерживают в помещении, где производится взвешивание. Если отбор пробы
проводился при относительной влажности воздуха, близкой к 100%, то фильтр
доводят до постоянной массы. Для этого его необходимо поместить в стеклянной
чашке в эксикатор с плавленым хлористым кальцием на 2 ч или в сушильный шкаф с
температурой 40 - 50 °С на 30 - 50 мин, а затем выдержать 40 - 50 мин в
помещении, где производится взвешивание.
Взвешенные фильтры с накопленной на них пылью
вкладывают в те же пакеты из кальки и полиэтилена, на которые шариковой ручкой
наносят значение конечной массы фильтра с пылью. Если после взвешивания и
занесения всех данных о пробе в рабочий журнал фильтры не направляются на
анализ элементного состава, то они тщательно запаковываются в кальку и сдаются
на бессрочное хранение. Номер поста, дата и срок отбора записываются на
конвертах.
Вычисление результатов измерений
Массовую концентрацию (с, мг/м3)
взвешенных частиц в воздухе вычисляют по формуле
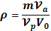
где: с - массовая концентрация (мг/м3) твердых
частиц в воздухе
Va
- объём раствора, взятого на анализ, см3
Vp
- общий объём раствора пробы, см3
Vо
- объём пробы воздуха, приведенный к н. у., дм3[44].
.2.2 Методика определения аммиака
Общая часть
Метод предназначен для определения в атмосферном
воздухе концентрации аммиака в диапазоне 0,01 - 2,5 мг/м3 при объёме
пробы 40 дм3. Используется для измерения разовых среднесуточных
концентраций.
Приготовление растворов
1 Вода дистиллированная, деионизированная.
При измерении концентраций аммиака в атмосферном воздухе используется только
свежеприготовленная деионизированная вода.
2 Поглотительный раствор. 0,5 см3
серной кислоты (р = 1,87 г/см3) растворяют в 1 дм3деионизированной
воды. Раствор хранят в склянке с тубусом. Склянка закрыта пробкой со стеклянной
трубкой, заполненной кристаллами щавелевой кислоты.
Калия йодид, 10%-ный раствор. 10 г
йодида калия растворяют в деионизированной воде. Объём доводят до 100 см3
водой.
Кислота серная, раствор 1:9. К 90 см
деионизированной воды осторожно добавляют 10 см3 концентрированной
серной кислоты.
Тиосульфат натрия, раствор (0,1
моль/л). Готовят из стандарт-титра.
Фенольный реактив. 5 г
свежеперегнанного фенола, 0,025 г нитропруссида натрия, 0,1 г салициловой
кислоты растворяют в 100 см3 воды. Реактив пригоден к употреблению в
течение 6 мес. при хранении в холодильнике (температура 4 - 6 °С) в герметичной
упаковке.
Примечание: Температура кипения фенола 181,4 °С,
поэтому при перегонке необходима теплоизоляция верхней части колбы. Первую и
последнюю трети отогнанного фенола отбрасывают, а среднюю фракцию собирают в
пробирку с притёртой пробкой.
Крахмал, 0,5%-ный раствор. 0,25 г крахмала
перемешивают с 10см3 воды до получения равномерной взвеси. К 40 см
воды, нагретой до 60-70 °С, прибавляют при непрерывном помешивании взвесь
крахмала, кипятят 1мин и охлаждают.
8 Раствор гипохлорита. 100 г
порошкообразной хлорной извести размешивают в течение 15 мин со 170 см
деионизированной воды, прибавляют 70 г карбоната натрия, растворённого в 170 см3
воды. При этом масса вначале загустевает, затем разжижается. Её фильтруют под
вакуумом на воронке Бюхнера через фильтр «синяя лента» и в фильтрате определяют
массовую долю «активного» хлора. Для этого 20 см3 раствора переносят
в колбу для титрования с притёртой пробкой, прибавляют 10 см3
раствора серной кислоты 1:9 и 10 см3 10%-ного раствора йодида калия.
Колбу закрывают и оставляют на 10 мин в тёмном месте. Выделившийся йод титруют
раствором тиосульфата натрия концентрацией 0,1 моль/дм3 до получения
слабо-жёлтой окраски. Прибавив несколько капель раствора крахмала, продолжают
титрование до обесцвечивания раствора. 1 см3 раствора тиосульфата
натрия концентрацией 0,1 моль/дм3 соответствует массе хлора 0,00354
г. Раствор гипохлорита должен иметь массовую долю «активного» хлора 0,6 - 0,8 %
(т.е. 0,006 - 0,008r/cм3). Применьшей доле хлора для приготовления
раствора следует взять большую массу хлорной извести, при большей - разбавить
полученный раствор деионизированной водой.
Гипохлоритный реактив. К 100 см3
раствора гипохлорита ( см. перечисление 8) добавляют 4 г гидроксида натрия. В
случае выпадения осадка раствор фильтруют под вакуумом.
9а Гипохлоритный реактив можно приготовить также
следующим образом: 10 г гидроксида натрия и 11,7 г хлорида натрия растворяют в
100 см3 деионизированной воды, насыщенной хлором с массовой долей
0,6-0,8 %. Реактив пригоден к употреблению в течение 6 мес.
Исходный раствор для градуировки (р=100
мкг/см3). 0,31 - 41 г хлорида аммония, высушенного при температуре
100 °С, помещают в мерную колбу вместимостью 1000 см3, доводят объём
до метки деионизированной водой и тщательно перемешивают. Полученный раствор
хлорида аммония соответствует раствору с массовой концентрацией аммиака 100
мкг/см3. Он пригоден в течение 2 мес.
11 Рабочий раствор для градуировки (р = 1
мкг/см3). 10cm3исходного
раствора (см. перечисление 10) разбавляют в мерной колбе до 1000 см3
водой. Раствор готовят перед использованием.
Установление градуировочной характеристики
Градуировочную характеристику, выражающую зависимость
оптической плотности раствора от массы аммиака в пробе устанавливают по пяти
сериям растворов для градуировки. Каждую серию, состоящую из шести растворов,
готовят из свежеприготовленного раствора хлорида аммония (см. перечисление 11).
Растворы для установления градуировочной
характеристики готовят в мерных колбах вместимостью 50 см3. Для
этого в каждую колбу вливают рабочий раствор для градуировки в соответствии с
таблицей 4, доводят объём деионизированной водой до метки и тщательно
перемешивают.
Для установления градуировочной характеристики
отбирают в пробирки по 5 см3 каждого раствора для градуировки, 1 см3
фенольного реактива, перемешивают, вносят 0,5 см3гипохлоритного
реактива и опять перемешивают.
Одновременно готовят нулевой раствор: 5 см3деионизированной
воды, к которой прибавляют эти же реактивы, за исключением растворов для
градуировки. Через 2 ч измеряют оптическую плотность по отношению к воде при
625 нм в кюветах с расстоянием между рабочими гранями 5 мм.
Таблица 4 - Растворы для установления
градуировочной характеристики приопределении концентрации аммиака
|
№ раствора для градуировки
|
1
|
2
|
3
|
4
|
5
|
6
|
|
Объём
рабочего раствора (р=мкг/см3), см3
|
1
|
2
|
4
|
6
|
10
|
20
|
|
Соответствует
массе аммиака в 5 см3 раствора, мкг
|
0,1
|
0,2
|
0,4
|
0,6
|
1,0
|
2,0
|
Отбор проб
Для определения разовой концентрации аммиака
исследуемый воздух аспирируют с расходом 2,0 дм3/мин в течение 20
мин через поглотительный прибор, содержащий 10 см3 поглотительного
раствора.
Выполнение измерений
Уровень раствора доводят в поглотительном приборе
до 10 см3деионизированной водой, раствор переливают в пробирку.
Часть пробы объёмом 0,2 - 5 см3 (обычно 2 см3) переводят
в пробирку с притёртой пробкой, доводят объём до 5 см3
поглотительным раствором и добавляют 1 см3
фенольного реактива. Всё перемешивают, вносят 0,5 см3гипохлоритного
реактива и опять перемешивают. Через 2 ч измеряют оптическую плотность в
кюветах с расстоянием между гранями 5 мм при длине волны 625 нм относительно
воды. Одновременно готовят три нулевые пробы. Для этого к 5 см3
поглотительного раствора добавляют последовательно все реактивы, что при
анализе проб. Среднее значение оптической плотности нулевой пробы не должно
превышать 0,2. При проведении анализа необходимо тщательно следить за чистотой
посуды, заглушек и измерительных кювет, качеством воды и реактивов. Массу
аммиака в пробе определяют с помощью установленной градуировочной
характеристики по разности оптической плотности растворов пробы и средней
оптической плотности нулевых проб [45].
.2.3 Методика определения фенола
Общая часть
Методика предназначена для определения
концентрации фенола в атмосферном воздухе в диапазоне 0,004 - 0,2 мг/м3
при проведении разовых отборов (объем пробы 60 дм3).
Метод основан на улавливании фенола из воздуха
раствором карбоната натрия и фотометрическом определении по азокрасителю,
образующемуся при взаимодействии фенола с диазотированнымпаранитроанилином.
Все работы с фенолом необходимо проводить в
вытяжном шкафу.
Приготовление растворов
1 Поглотительный раствор. 8 г карбоната натрия
растворяют в 1000 см3 воды. Срок хранения раствора 6 мес.
2 Соляная кислота, 4 %-ный раствор. 9,1 см3
концентрированной соляной кислоты (с = 1,19) добавляют к 89,2 см3
воды.
Нитрит натрия, 25 %-ный раствор. 10 г
нитрита натрия растворяют в 30 см3 воды. Раствор хранить в
холодильнике.
Паранитроанилин, 0,1 %-ный раствор. 0,1
г паранитроанилина, предварительно высушенного при температуре 60 °С в течение
2 ч растворяют в 4 %-ном растворе соляной кислоты в мерной колбе вместимостью
100 см3. Перед употреблением раствор охлаждают до 0 -
5 °С.
5 Диазотированныйпаранитроанилин. 12,5 см3
охлажденного раствора паранитроанилина приливают в мерную колбу вместимостью 50
см3, прибавляют постепенно 2,5 см3 раствора нитрита
натрия и через несколько минут доводят объем до 50 см3 водой.
Диазотированиепаранитроанилина следует проводить в вытяжном шкафу. Раствор
может храниться в холодильнике не более 3 сут.
Фенол свежеперегнанный. Для перегонки
фенола собирают установку, состоящую из колбы Вюрца, на конце отростка которой
в качестве приемника устанавливают пробирку. Для обогрева колбы используют
колбонагреватель или плитку с закрытой спиралью. Собирают фракцию,
перегоняющуюся при температуре 182 °С. Все операции по перегонке фенола
необходимо производить в вытяжном шкафу.
Исходный раствор для градуировочной
характеристики. В мерную колбу вместимостью 50 см3 помещают 20 - 30
см3 поглотительного раствора, точную навеску свежеперегнанного
фенола (в пределах 20 - 50 мг) и доводят объем до 50 см3
поглотительным раствором. Рассчитывают концентрацию фенола в полученном
растворе. Используют свежеприготовленный раствор.
Рабочий раствор для установления
градуировочной характеристики с содержанием фенола 10 мкг/см3.
Готовят перед установлением градуировочной характеристики из исходного раствора
путем разбавления поглотительным раствором. Используют свежеприготовленный
раствор.
Установление градуировочной характеристики
Градуировочную характеристику, выражающую
зависимость оптической плотности от массы фенола в пробе, устанавливают по трем
сериям растворов для градуировки. Каждую серию, состоящую из восьми растворов
для градуировки, готовят из свежеприготовленного рабочего раствора фенола.
Растворы для градуировки готовят в мерных колбах вместимостью 100 см3.
Для этого в каждую колбу приливают по 40 - 50 см3 поглотительного
раствора, рабочий раствор в соответствии с табл. 5, доводят объем до метки
поглотительным раствором и тщательно перемешивают.
Для установления градуировочной характеристики
отбирают в пробирки по 5 см3 каждого раствора и добавляют 0,4 см3диазотированногопаранитроанилина.
Содержимое пробирок энергично встряхивают и через 20 мин измеряют оптическую
плотность растворов относительно воды при 494 нм в кюветах с расстоянием между
рабочими гранями 10 мм. Одновременно измеряют оптическую плотность нулевых
проб, в качестве которых используется 5 см3 поглотительного
раствора.
Таблица 5 - Растворы для установления
градуировочной характеристики при определении концентрации фенола
|
Номер
раствора для градуировки
|
Объем
рабочего раствора (с = 10 мкг/см3), см3
|
Масса
фенола в 5 см3 раствора, мкг
|
|
1
|
0,4
|
0,2
|
|
2
|
0,8
|
0,4
|
|
3
|
1,6
|
0,8
|
|
4
|
2,0
|
1,0
|
|
5
|
4,0
|
2,0
|
|
6
|
8,0
|
4,0
|
|
7
|
1,0
|
8,0
|
|
8
|
20,0
|
10,0
|
Отбор проб
Для определения разовой концентрации фенола
исследуемый воздух аспирируют с расходом 3 дм3/мин в течение 20 мин
через поглотительный прибор Рихтера, заполненный 6 см3
поглотительного раствора. Срок хранения отобранных проб 12 ч.
Выполнение измерений
Уровень раствора в поглотительном приборе
доводят дистиллированной водой до метки 6 см3. Переносят в пробирку 5
см3 этого раствора, добавляют 0,4 см3 раствора
диазотированногопаранитроанилина. Содержимое энергично встряхивают и через 15
мин определяют оптическую плотность. Измерение производят в кюветах с
расстоянием между рабочими гранями 10 мм при 494 нм относительно воды.
Аналогично анализируют три нулевые пробы - 5 см3 поглотительного
раствора. Время от добавления последнего реактива до измерения оптической
плотности всех проб должно быть одинаковым. Среднее значение оптической
плотности нулевого раствора не должно превышать 0,01.
Массу фенола в пробе определяют с помощью
градуировочной характеристики по разности оптической плотности растворов пробы
и средней оптической плотности нулевых проб.
Вычисление результата измерений проводятся по
формуле:
где: с - массовая концентрация (мг/м3)
взвешенных частиц в воздухе
Va
- объём раствора, взятого на анализ, см3
Vp
- общий объём раствора пробы, см3
Vо
- объём пробы воздуха, приведенный к н. у., дм3[38].
.2.4 Методика определения формальдегида
Общая часть
Методика предназначена для определения
концентрации формальдегида в атмосферном воздухе населенных пунктов в диапазоне
0,01 - 0,3 мг/м3 при объеме пробы 20 дм3. Используется
для измерения разовых концентраций.
Метод основан на улавливании формальдегида из
воздуха раствором серной кислоты и его фотометрическом определении по
образовавшемуся в результате взаимодействия в кислой среде формальдегида с
фенилгидразингидрохлоридом и хлорамином Б окрашенному соединению.
Приготовление растворов
1 Вода дистиллированная. При измерении
концентраций формальдегида в атмосферном воздухе используется
свежеприготовленная дистиллированная вода.
2 Иод, раствор 0,05 моль/дм3
(0,1 н.). Готовят из стандарт-титра.
Крахмал, 0,5 %-ный раствор. 0,25 г
крахмала смешивают с 10 см3 воды до получения равномерной взвеси. К
40 см3 воды, нагретой до 60 - 70 °С, прибавляют при непрерывном
перемешивании взвесь крахмала, кипятят 1 мин и охлаждают.
Кислота серная, 20 %-ный раствор. К 80
см3 дистиллированной воды осторожно прибавляют 11 см3
концентрированной серной кислоты.
Кислота соляная, 10 %-ный раствор. К
78,1 см3 дистиллированной воды осторожно прибавляют 21,9 см3
концентрированной соляной кислоты.
Натрия гидроксид, 20 %-ный раствор. 20
г гидроксида натрия растворяют в дистиллированной воде. Объем доводят до 100 см3.
Тиосульфат натрия, раствор 0,1 моль/дм3
(0,1 н.). Готовят из стандарт-титра.
Фенилгидразин солянокислый, 5 %-ный
раствор. 5 г фенилгидразина солянокислого растворяют в дистиллированной воде.
Объем доводят до 100 см3. Раствор готовят в день анализа. При
наличии мути фильтруют через фильтр «синяя лента».
Смесь этанола с фенилгидразином. К 10
см3 этанола приливают 2 см3 5 %-ного раствора
фенилгидразина и перемешивают.
Хлорамин Б, 0,5 %-ный раствор. 0,25 г
хлорамина Б растворяют в дистиллированной воде. Объем доводят до 50 см3.
Раствор готовят в день анализа.
Исходный раствор формальдегида (с = 10
мкг/см3). Готовят приблизительно 1 %-ный раствор формальдегида, для
чего 2,5 см3 формалина растворяют в воде в мерной колбе вместимостью
100 см3 и затем точно определяют его концентрацию йодометрическим
титрованием. Определив концентрацию формальдегида в растворе, соответствующим
разбавлением готовят раствор, содержащий 10 мкг/см3 вещества.
Рабочий раствор формальдегида (с = 1
мкг/см3). 10 см3 исходного раствора (см. перечисление 11)
разбавляют в мерной колбе до 100 см3 водой. Раствор готовят перед
использованием.
Поглотительный раствор - серная
кислота, раствор 0,005 моль/дм3. Готовят добавлением 0,27 см3
концентрированной серной кислоты к 1000 см3 дистиллированной воды.
Таблица 6 - Растворы для установления
градуировочной характеристики при определении концентрации формальдегида
|
Номер
раствора для градуировки
|
Объем
рабочего раствора (с = 1 мкг/см3), см3
|
Объем
исходного раствора (с = 10 мкг/см3), см3
|
Масса
формальдегида в 5 см3 раствора, мкг
|
|
|
|
|
|
1
|
4
|
-
|
0,2
|
|
2
|
10
|
-
|
0,5
|
|
3
|
-
|
2
|
1,0
|
|
4
|
-
|
4
|
2,0
|
|
5
|
-
|
6
|
3,0
|
|
6
|
-
|
10
|
5,0
|
Установление градуировочной характеристики
Градуировочную характеристику, выражающую
зависимость оптической плотности раствора от концентрации формальдегида,
устанавливают по пяти сериям растворов для градуировки. Каждую серию, состоящую
из шести растворов, готовят из свежеприготовленного раствора формальдегида.
Растворы для установления градуировочной
характеристики готовят в мерных колбах вместимостью 100 см3. Для
этого в каждую колбу вливают рабочий раствор формальдегида в соответствии с
табл. 6, доводят объем поглотительным раствором до метки и тщательно
перемешивают.
Для установления градуировочной характеристики
отбирают в пробирки по 5 см3 каждого раствора для градуировки,
добавляют по 1,2 см3 свежеприготовленной смеси этанола с
фенилгидразином, перемешивают. Через 15 мин добавляют 1 см3 0,5
%-ного раствора хлорамина Б и опять перемешивают. Через 10 мин к каждой пробе
добавляют по 2 см3 20 %-ного раствора серной кислоты, перемешивают.
Через 10 мин измеряют оптическую плотность при 520 нмпо отношению к воде в
кюветах с расстоянием между рабочими гранями 20 мм. Одновременно проводят
измерение оптической плотности нулевого раствора: 5 см3
поглотительного раствора, к которому добавлены те же реактивы. Действительные
значения оптической плотности находят по разности оптических плотностей
растворов для градуировки и нулевого раствора.
Отбор проб
Для определения разовой концентрации
формальдегида исследуемый воздух аспирируют через поглотительный прибор
Рихтера, заполненный 6 см3 поглотительного раствора с расходом 1 дм3/мин
в течение 20 мин. Пробу анализируют в день отбора.
Выполнение измерений
В пробирку переносят 5 см3 раствора
пробы, добавляют 1,2 см3 свежеприготовленной смеси этанола с
фенилгидразином, перемешивают. Через 15 мин добавляют 1 см3 0,5
%-ного раствора хлорамина и перемешивают. Через 10 мин к пробе добавляют 2 см3
20 %-ного раствора серной кислоты и опять перемешивают. Через 10 мин измеряют
оптическую плотность при 520 нмпо отношению к воде в кюветах с расстоянием
между рабочими гранями 20 мм. Аналогично анализируют три нулевые пробы, в
качестве которых используют по 5 см3 поглотительного раствора. Время
от добавления последнего реактива до измерения оптической плотности всех проб
должно быть одинаковым. Среднее значение оптической плотности нулевой пробы не
должно превышать 0,04.
Массу формальдегида в пробе определяют с помощью
установленной градуировочной характеристики по разности оптических плотностей
растворов пробы и средней оптической плотности нулевых проб.
Вычисление результата измерений проводят по
формуле:
где: с - массовая концентрация (мг/м3)
взвешенных частиц в воздухе
Va
- объём раствора, взятого на анализ, см3
Vp
- общий объём раствора пробы, см3
Vо
- объём пробы воздуха, приведенный к н.у., дм3[46].
загрязнение атмосферный аммиак фенол
3. Результаты и их обсуждение
Результаты исследований представлены в таблицах
7 и 8, диаграммах 1 - 3 и графике.
Таблица 7 («Сезонное содержание в воздухе
некоторых токсикантов в местах отбора проб в 2010 году», мг/м3)
показывает содержание твёрдых частиц, аммиака, фенола и формальдегида на
четырёх постах.
Таблица 7 - Сезонное содержание в воздухе
некоторых токсикантов в местах отбора проб в 2010 году
В миллиграммах на метр в кубе
|
Время
отбора
|
Загрязняющие
вещества
|
|
твёрдые
частицы
|
аммиак
|
фенол
|
формальдегид
|
|
Пост
№
|
|
2
|
13
|
16
|
17
|
2
|
13
|
16
|
17
|
2
|
13
|
16
|
17
|
2
|
13
|
16
|
17
|
|
|
|
|
|
|
|
|
|
|
|
|
|
|
|
|
|
|
Зима
|
35,0
|
34,7
|
34,7
|
34,4
|
16,4
|
16,9
|
16,0
|
16,5
|
0,8
|
1,0
|
0,7
|
0,9
|
5,1
|
5,0
|
5,0
|
5,0
|
|
Весна
|
64,2
|
63,9
|
64,6
|
64,3
|
20,0
|
20,1
|
19,3
|
19,9
|
0,8
|
0,9
|
0,7
|
0,7
|
4,9
|
5,2
|
5,9
|
5,4
|
|
Лето
|
85,1
|
77,2
|
76,6
|
70,6
|
34,1
|
34,2
|
33,5
|
33,0
|
1,1
|
1,2
|
0,7
|
1,0
|
11,6
|
12,1
|
12,6
|
12,3
|
|
Осень
|
41,0
|
40,9
|
41,2
|
40,5
|
26,5
|
26,2
|
25,3
|
25,7
|
1,5
|
1,7
|
1,1
|
1,4
|
8,7
|
8,6
|
8,5
|
8,9
|
|
ПДК
|
50,0
|
40,0
|
3,0
|
8,0
|
Как видно из таблицы, содержание твёрдых частиц
в зимний период колебалось от 34,4 мг/м3 на 17-м посту до 35,0 мг/м3
на 2-м посту. Превышения ПДК не наблюдалось.
В весенний период минимальное содержание
наблюдалось на 13-м посту 63,9 (мг/м3). Максимальное было
зафиксировано на 16-м посту и составляло 64,6 мг/м3. На всех постах
в это время было отмечено превышение ПДК твёрдых частиц минимум на 13,9 мг/м3.
Летом 2010 года на всех постах было
зафиксировано превышение ПДК твёрдых частиц. Исходя из данных наблюдения
исследуемого токсиканта, минимальное его содержание в воздухе было отмечено на
17-м посту (34,4 мг/м3), а максимальное - на 2-м (85,1 мг/м3).
В осенний период 2010 года минимальное
содержание твёрдых частиц было отмечено на 17-м посту (40,5 мг/м3),
максимальное было зафиксировано на 16-м посту (41,2 мг/м3).
Превышения ПДК твёрдых частиц в это время года не было.
Таким образом, можно сделать вывод о том, что
наибольшее содержание твёрдых частиц наблюдалось на постах №2 (ул. Карбышева,
10) и №16 (ул. Огоренко, 9).
Из всего вышеперечисленного можно сделать
заключение о том, что за 2010-й год твёрдыми частицами в меньшей степени
оказался загрязнённым пост №17, расположенный по адресу Пионерская, 5, а в
больше степени - пост №2 по адресу Карбышева, 10. Максимально содержание
твёрдых частиц на 2-м посту отмечалось дважды, в зимний и летний периоды,
причём в летний период оно превысило ПДК по твёрдым чатицам на 35,1 мг/м3.
По содержанию аммиака из таблицы видно, что в
зимний период 2010 года минимальная его концентрация наблюдалась на 13-м посту
(ул. Курчатова, 9), максимальная была отмечена на 16-м посту и составила 16,9
мг/м3.
Весной минимальное содержание аммиака было
отмечено на 16-м посту, максимальное - на 13-м посту (20,1 мг/м3).
Летом 2010 года содержание аммиака колебалось в
пределах от 33,0 мг/м3 на 17-м посту до 34,2 мг/м3 на
13-м посту.
В осенний период минимальная концентрация
токсиканта была отмечена 16-м посту (25,3 мг/м3), а максимальная -
на 2-м посту и составила 26,5 мг/м3.
Таким образом, можно сделать вывод о том, что за
2010-й год аммиаком минимально был загрязнён пост №16, максимально - пост №13.
Как видно из таблицы 1 в 2010-м году
концентрация фенола минимально значение имела на 16-м посту, максимальное - на
13-м. При этом содержание фенола колебалось от 0,7 мг/м3 до 1,7 мг/м3,
что ни разу не превысило ПДК.
Содержание формальдегида в зимний период имело
максимальное значение на 2-м посту (5,1 мг/м3).
Весной 2010 года максимум был зафиксирован на
посту №16, минимум - на посту №2.
Летом минимальная концентрация формальдегида
была отмечена на 2-м посту (11,6 мг/м3), максимальная - на 16-м
посту (12,6 мг/м3).
Следует отметить тот факт, что в летний период
2010-го года превышение ПДК формальдегида было отмечено на всех постах.
Осенью также было зафиксировано превышение ПДК
формальдегида на каждом из постов, однако, в меньшей степени, чем летом. При
этом минимальное содержание токсиканта наблюдалось на 16-м посту, максимальное
- на 17-м.
Таким образом, в 2010-м году из исследуемых
постов наименее загрязнённым формальдегидом являлся пост №2, наиболее
загрязнённым - пост №16, где дважды (в весенний и летний периоды) была отмечена
наибольшая концентрация токсиканта. При всём этом необходимо отметить, что
превышение ПДК формальдегида имело место на всех постах в летний и осенний
периоды 2010-го года.
Таблица 8 аналогична таблице 7, но содержит
данные по уровню исследуемых токсикантов за 2011 календарный год.
Таблица 8 - Сезонное содержание в воздухе
некоторых токсикантов в местах отбора проб в 2011 году. В миллиграммах на метр
в кубе
|
Время
отбора
|
Загрязняющие
вещества
|
|
твёрдые
частицы
|
аммиак
|
фенол
|
формальдегид
|
|
Посты
№
|
|
2
|
13
|
16
|
17
|
2
|
13
|
16
|
17
|
2
|
13
|
16
|
17
|
2
|
13
|
16
|
17
|
|
|
|
|
|
|
|
|
|
|
|
|
|
|
|
|
|
|
Зима
|
38,0
|
36,0
|
34,4
|
34,6
|
23,2
|
23,3
|
23,0
|
2,0
|
2,2
|
1,9
|
1,9
|
6,7
|
6,0
|
6,5
|
6,9
|
|
Весна
|
51,3
|
51,9
|
49,5
|
51,0
|
29,0
|
29,2
|
27,3
|
28,4
|
1,7
|
2,3
|
1,8
|
1,8
|
8,3
|
8,5
|
8,0
|
9,0
|
|
Лето
|
40,9
|
40,2
|
39,3
|
38,1
|
54,1
|
53,6
|
52,5
|
53,3
|
2,7
|
2,8
|
2,7
|
2,5
|
13,4
|
14,1
|
13,5
|
14,6
|
|
Осень
|
37,6
|
37,9
|
37,6
|
37,6
|
38,4
|
36,9
|
35,2
|
36,4
|
3,4
|
3,5
|
3,2
|
3,1
|
10,1
|
10,5
|
10,3
|
11,1
|
|
ПДК
|
50,0
|
40,0
|
3,0
|
8,0
|
Зимой 2011-го года минимальное содержание
твёрдых частиц имело место на 16-м посту, максимальное - на 2-м посту и составляло
38,0 мг/м3.
В весенний период концентрация исследуемого
токсиканта находилась в пределах от 49,5 мг/м3 до 51,9 мг/м3.
При этом отмечалось превышение ПДК на всех постах, кроме 16-го.
Летом минимальное значение содержания твёрдых
частиц наблюдалось на 17-м посту, максимальное - на 2-м. Превышения ПДК
отмечено не было.
Осенью 2011-го года максимальная концентрация
токсиканта была зафиксирована на 13-м посту и составляла 37,9 мг/м3
.
Таким образом, минимально загрязнен твёрдыми
частицами оказался пост №16, а максимально - пост №2.
Содержание аммиака в зимний период 2011-го года
колебалось в пределах от 22,8 мг/м3 до 23,3 мг/м3.
Весной минимальная концентрация токсиканта была
отмечена на 16-м посту (22,8 мг/м3), а максимальная на 13-м посту и
составляла 29,2 мг/м3.
Минимальная концентрация аммиака в летний период
2011-го года имела место на 16-м посту, максимальная была зафиксирована на 2-м
посту. При этом, необходимо отметить, что в летний период 2011-го года
превышение ПДК аммиака было зафиксировано на всех постах минимум на 12,5 мг/м3.
Таким образом, минимально загрязнённым аммиаком
в 2011-м году являлся пост №16. Наибольше содержание токсиканта за весь год
наблюдалось на посту №2.
Минимальное содержание фенола зимой 2011-го года
имело место на посту №17, максимальное - на 13-м посту и составило 2,2 мг/м3.
В весенний период превышение ПДК фенола не было
отмечено ни на одном из постов. Максимальна концентрация токсиканта имела
значение 2,3 мг/м3.
Летом также не наблюдалось превышение ПДК
фенола. Содержание колебалось в пределах от 2,5 мг/м3 до 2,8 мг/м3.
В отличие от летних месяцев 2011-го года, в
осенний период на всех постах имело место превышение ПДК фенола как минимум на
0,1 мг/м3. Максимальное значение содержания токсиканта было отмечено
на посту №13. Отсюда следует, что максимально загрязнённым постом по фенолу в
2011-м году, как и в 2010-м году, является пост №13.
Что касается формальдегида, то его содержание
колебалось в пределах от 6,0 мг/м3 до 6,9 мг/м3 в зимний
период, от 8,0 мг/м3 до 9,0 мг/м3 весной. При этом на
всех постах в весенний период отмечалось превышение ПДК исследуемоготоксиканта.
Летом и осенью аналогичным образом было
зафиксировано превышение ПДК формальдегида на всех постах. При этом
концентрация токсиканта колебалась в пределах от 13,4 мг/м3 до 14,6
мг/м3 и от 10,1 мг/м3 до 11,1 мг/м3 летом и
осенью соответственно.
Таким образом, самым загрязнённым постом по
содержанию формальдегида является пост №17.
Диаграмма на рисунке 1 («Содержание аммиака в
воздухе на местах отбора проб в 2010 - 2011 гг», мг/м3.) показывает
содержание исследуемого токсиканта.
Как видно из диаграммы, содержание аммиака в
зимний период 2010 года находилось примерно на одном уровне и имело минимальное
значение на 16-м посту (16,0 мг/м3) и максимальное на посту №13
(16,9 мг/м3).
В тот же период 2011 года имело место увеличение
содержания исследуемого токсиканта на всех четырёх постах. При этом среднее
значение величины загрязнения составило 23,0 мг/м3.
В обоих случаях превышение ПДК содержания
аммиака в воздухе исследуемых постов не наблюдалось.
Весной 2010 г. аналогичным образом минимальная
концентрация аммиака была зафиксирована на 16-м посту (ул. Огоренко, 9),
максимальная была отмечена на посту №13 и составила 20,1 мг/м3.
Весной 2011 года наблюдалось увеличение
концентрации аммиака на всех постах, однако, превышения ПДК зафиксировано не
было.
При этом максимальное содержание токсиканта было
отмечено на втором посту (ул. Карбышева, 9 - 29,0 мг/м3).
Из диаграммы видно, что содержание аммиака в
летний период 2010 года увеличилось по сравнению с весенним периодом того же
года. Максимальное его значение было отмечено на посту №13 (Курчатова, 9),
минимальное - на 17-м посту.
Превышения ПДК отмечено не было. Чего нельзя
сказать об этом же сезоне 2011 года, когда превышение ПДК содержания аммиака
было зафиксировано на всех исследуемых постах. При этом значение ПДК было
превышено как минимум на 12,5 мг/м3.
В осенний период наблюдается уменьшение
содержания аммиака в воздухе на исследуемых постах по сравнению с летним периодом.
Так в 2010 году минимальное содержание
токсиканта было зафиксировано на 16-м посту (ул. Огоренко, 9), максимальное -
на посту №2 - 26,5 мг/м3.
Осенью 2011 года наблюдается та же тенденция к
увеличению содержания аммиака на постах. При этом среднее значение концентрации
аммиака составило 36,7 мг/м3.
Превышения ПДК осенью в 2010 и 2011 годах не
наблюдалось.
Рисунок 1 - Содержание аммиака в воздухе на
местах отбора проб в 2010 - 2011 гг.
Рассмотрев всю диаграмму целиком, можно сделать
заключение о том, что самым загрязнённым постом в 2010 г. являлся пост №2,
расположенный по адресу ул. Карбышева,10. Самым «чистым» в 2010 году оказался
пост №16 (ул. Огоренко, 9).
В 2011 году наблюдалась та же тенденция.
Из диаграммы на рисунке 2 («Содержание фенола в
воздухе на местах отбора проб в 2010 - 2011 гг», мг/м3.) видно, что
в зимний период 2010 года сожеражние исследуемого токсиканта колебалось от 0,7
мг/м3на 16-м посту до 1,0 мг/м3на посту №13 (ул.
Курчатова, 9). В тот же период 2011 года наблюдалось резкое увеличение
содержания фенола на всех постах. При этом максимальное значение его имело
место на посту №2 и составило 2,2 мг/м3. Превышения ПДК
зафиксировано не было.
Весной 2010 года общая картина содержания фенола
в воздухе на исследуемых постах имела такой же вид как и в 2010 году. В 2011
году максимальное значение содержания токсиканта было зафиксировано на 13-м
посту (ул. Курчатова, 9) и составило 2,3 мг/м3.
Летом концентрация фенола в воздухе имела
тенденцию к значительному увеличению.
Так в 2010 году она колебалась от 0,7 до 1,2
мг/м3, а уже в 2011 году - от 2,5 мг/м3 на 17-м посту до
2,8 мг/м3 на посту №13 (ул. Курчатова, 9).
В осенний период также наблюдалось увеличение
содержания исследуемого токсиканта по сравнению с предыдущим сезоном года.
Так в 2010 году максимальное содержание фенола
было зафиксировано на 13-м посту, как и в 2011 году.
При этом осенью 2011 года было зафиксировано
превышение ПДК содержания фенола в 2011 году значительно выше по сравнению с
предшествующим ему годом.
Таким образом, самым загрязнённым от фенола
постом можно считать пост №13, антиподом его является пост №16 (ул. Огоренко,
9).
Диаграмма 3 («Содержание формальдегида в воздухе
на местах отбора проб в 2010 - 2011 гг», мг/м3.) показывает, что в
зимний период 2010 года концентрация токсиканта имела в среднем значение
5,0мг/м3, в 2011 же году оно колебалось от 6,0 мг/м3 до
6,9 мг/м3 на 17-м посту. Превышения ПДК не наблюдалось.
Рисунок 2 - Содержание фенола в воздухе на
местах отбора проб в 2010 - 2011 гг.
Рисунок 3 - Содержание формальдегида в воздухе
на местах отбора проб в 2010 - 2011 гг.
Весной наблюдалась тенденция к увеличению
содержания токсиканта на исследуемых постах. Так в 2010 году минимальная
концентрация формальдегида имела место на втором посту (ул. Карбышева, 10),
максимальное значение было зафиксировано на 16-м посту и составило 5,9 мг/м3.
В 2011 же году на всех исследовательских постах
наблюдалось превышение ПДК содержания формальдегида в воздухе. Максимальное
значение при этом было зафиксировано на 17-м посту.
В летний период 2010-2011 гг наблюдается резкий
скачок в сторону увеличения концентрации формальдегида. Так в 2010 году его
содержание колебалось в пределах от 11,6 мг/м3 до 12,6 мг/м3,
а в 2011 году от 13,4 мг/м3 на втором посту до 14,6 мг/м3
на посту №17 (ул. Пионерская, 5).
При этом и в 2010 и в 2011 гг в летний период
было зафиксировано превышение ПДК содержания формальдегида в воздухе на исследуемых
постах.
В осенний период наблюдалась тенденция к
уменьшению содержания данного токсиканта, однако превышение ПДК всё же имело
место на всех постах.
В целом можно сделать вывод о том, что самым
«чистым» от формальдегида оказался пост №2, расположенный по ул. Карбышева, 10,
а самым загрязнённым - пост №17 (ул. Пионерская, 5).
Таким образом, исходя из рассмотренных диаграмм,
можно сделать заключение о том, что содержание аммиака, фенола и формальдегида
в 2011 году на всех постах в любое время года имело большее значение по
сравнению с предшествующим ему годом.
Из графика на рисунке 4 («Сезонные колебания
содержания твердых частиц в воздухе на исследуемых постах в 2010-2011гг»)
видно, что в 2010 году концентрация данного токсиканта была минимальной в зимний
период.
Весной наблюдалась тенденция к увеличению
значения содержания твердых частиц в воздухе, далее плавное уменьшение их
концентрации.
График показывает, что наиболее загрязненным
твердыми частицами является пост №13(ул.Курчатова,9).
Необходимо также отметить, что в весенний период
2010 года на каждом из исследуемых постов было зафиксировано превышение ПДК
твердых частиц в воздухе.
В 2011 году наблюдается резкий скачек в сторону
увеличения содержания токсиканта в воздухе. Так, в зимний период средний
показатель составил 34,6мг/м3, в летний - от 70,6 мг/м3на
17-м посту до 85,1 мг/м3на посту №2(ул.Карбышева, 10).
Осенью содержание твердых частиц в воздухе стало
значительно меньше по сравнению с весенним и летним периодами.
Рисунок 4 - Сезонные колебания содержания
твердых частиц в воздухе на исследуемых постах в 2010 - 2011гг.
Т.о., в целом исходя из графика можно сделать
вывод о том, что в 2011 году содержание в воздухе исследуемых постов твердых
частиц имело намного большее числовое значение, чем их содержание на тех же
постах в 2010 году. При этом в 2011 году превышение ПДК твердых частиц имело
место и в весенний и в летний периоды.
Отсюда можно сделать заключение о том, что с
каждым годом происходит все большее загрязнение атмосферного воздуха.
Остальные результаты исследований приведены в
приложении.
Превышения концентрации всех выше указанных
токсикантов по сравнению с их предельно допустимыми концентрациями приходится в
основном на летний период. Это связано, прежде всего, с высокой загруженностью
улиц транспортными средствами в этот период и с погодными условиями - высокой
температурой. В этих условиях мелкие частицы этих веществ задерживаются в
воздухе городских улиц.Ведь, как известно, концентрация загрязняющих веществ в
атмосфере в значительной мере определяется географическими условиями
конкретного района. Она зависит не только от количества и мощности источников
загрязнения, но также и от местных особенностей природных условий. Поэтому для
исследования было выбрано по одному посту из каждого района г. Гомеля.
Для разрешения данной проблемы необходимо
разрабатывать и внедрять очистные фильтры, применять экологически безопасные
источники энергии, безотходные технологии производства, бороться с выхлопными
газами и осуществлять озеленение городских улиц[15].
Заключение
В ходе выполнения дипломной работы было изучено
46 источников литературы по промышленной экологии, медицинским энциклопедиям,
проблемам окружающей среды и др.
Освоены методы определения токсикантов в воздухе
городских улиц.
Были исследованы загрязнители: аммиак, фенол,
формальдегид и твёрдые частицы, являющиеся одним из параметров, требующих
санитарного контроля, проводимого в воздухе улиц города. Контроль проводится
ежемесячно, т.к. эти вещества оказывают токсическое воздействие на организм
человека.
Исследования, проводимые с определением
вышеуказанных токсикантов на некоторых постах г. Гомеля (ул.Карбышева,
ул.Курчатова, ул.Огоренко, ул.Пионерская), позволили проконтролировать их
содержание в воздухе и сравнить их с предельно допустимыми концентрациями.
Результат показал, что концентрация твёрдых
частиц и аммиака в воздухе исследуемых постов превышает ПДК в летний период,
фенола в осенью, а формальдегида - в летне-осенний период.Это может быть
связано с усиленной работой заводов и климатическими условиями в это время
года. Т.о. самыми загрязнёнными исследуемыми токсикантами, исходя из полученных
результатов исследования, можно считать улицыКарбышева и Курчатова.
Результаты проведенных исследований могут быть
использованы для определения степени загрязнения воздуха и при разработке
мероприятий по его очистке, для характеристики экологического состояния воздуха
при комплексной оценке качества городской среды. Они могут быть полезны
специалистам различных экологических служб для характеристики воздушной среды.
Список использованных источников
1. Розанов, Б.Г. Основы
учения об окружающей среде. М.: изд-во МГУ, 1984. - 370с.
. Ананичев К.В.
Проблемы окружающей среды, энергии и природных ре¬сурсов. - М.: Международный
аспект, 1974. - 84с.
. Тищенко Н.Ф. Охрана
атмосферного воздуха: Справочник. М.: Химия, 1991. - 368 с.
. Берлянд, М.Е.
Современные проблемы атмосферной диффузии и загрязнения атмосферы. Л.:
Гидрометеоиздат, 1975. 448 с.
. Справочник по пыле- и
золоулавливанию. /Под ред. Русанова А.А. - М.: Энергоатомнздат, 1983. - 312 с.
. Андруз, Дж. Введение
в химию окружающей среды / Андруз Дж. и др; под общ. ред. АндрузЖд. - М.: Мир,
1999. - 271 с.
. Голубева, Т.А. Основы
экологии и экономика природопользования. Практикум. - Гомель, 2004. - 224 с.
. Пузанова, Т.А.
Экология : учеб.пособие для студ. вузов /
Т.А. Пузанова. - М.: Экономика,
2010. - 288 с. : ил.
. Охрана природы.
Атмосфера. Общие требования к воздуху рабочей зоны: ГОСТ 17.2.3.04-03. - Введ.
01.09.03. - Минск: Межгос. совет по стандартизации, метрологии и сертификации:
Белорус.гос. ин-т стандартизации и сертификации, 2003. - 47 с.
. Справочник по
пыле-золоулавливанию / Под ред. А.А. Русанова. - М.: Энергия, 1975. - 312 с.
. Уорк, К. Загрязнение
воздуха. Источники и контроль: пер. с англ. / К. Уорк, С. М. Уорнер; под
общ.ред. Е. Н. Теверского. - М.: Мир, 1980. - 486 с.
. Перечень методик
выполнения измерений, допущенных к применению в деятельности лабораторий
экологического контроля предприятий и организаций Республики Беларусь: утв.
Министром природных ресурсов и охраны окружающей среды Республики Беларусь от
26 декабря 1995 г., // 1-й том. - 348 с.
. Константинов, В.М.
Охрана природы: Учеб. Пособие для студ. высш. пед. учеб.заведений. - М.:
Издательский центр «Академия», 2000. - 240с.
. Коробкин В.И.
Экология в вопросах и ответах: учебное пособие / В.И. Коробкин, Л.В.
Передельский. - 4-е изд., доп. и перераб. - Ростов н/Д.: Феникс, 2009. - 378 с.
: ил.
. Галай, Е.И.
Использование природных ресурсов и охрана природы / Е.И. Галай. - 2-е изд. -
Минск: Амалфея, 2008. - 252 с.
. Челноков, А.А. Основы
промышленной экологии: Учеб.пособие / А.А. Челноков, Л.Ф. Ющенко. - Мн.: Выш.
шк., 2001. - 343 с.
. Актуальные проблемы
экологии и охраны труда. К II международной научно-практической конференции:
библиографический список / КурскГТУ, Научная библиотека; Е.И. Колесникова. -
Курск, 2010.
. Экология и
природопользование : учеб.пособие для студ. бакалавриата / Кириллов, Сергей
Николаевич [и др.] ; под ред. С. Н. Кириллова ; ВолГУ. - Волгоград: Изд-во
ВолГУ, 2010. - 264 с.
. Коробкин В.И.
Экология. - Ростов-на-Дону: изд-во «Феникс», 2001. - 576с.
. Временная методика
нормирования промышленных выбросов в атмосферу. Л., ГГО. 1981. 58 с.
. Методика расчета концентраций
в атмосферном воздухе вредных веществ, содержащихся в выбросах предприятий.
ОНД-86. Л.: Гидрометеоиздат, 1987. 93 с.
. Безуглая, Э.Ю.
Метеорологический потенциал и климатические особенности загрязнения воздуха
городов. Л.: Гидрометеоиздат, 1980. 184 с.
. Руководящий документ.
Руководство по контролю загрязнения атмосферы РД 52.04.186-89. - М.: Минздрав,
1991. - 603 с.
. Чумаков, Л.С. Охрана
природы: пособие для учителя / Л.С.Чумаков. - Мн: Современная школа, 2008. -
495 с.
. Климатические характеристики
условий распространения примесей в атмосфере. Справочное пособие. Л.:
Гидрометеоиздат, 1983. 328 с.
. Берлянд М.Е. Прогноз
и регулирование загрязнения атмосферы. Л.: Гидрометеоиздат. 1985. 272 с.
. Яблоков, А.В. Охрана
живой природы. Проблемы и перспективы. М., 1983. - 387с.
. Коробкин, В.И.
Экология : [учебник для студ. вузов] / В. И. Коробкин, Л. В. Передельский. -
Изд. 17-е, доп. и перераб. - Ростов-на-Дону : Феникс, 2011. - 602 с. : ил.
. Мамонтов, С.Г.
Экология : учебник для студ. вузов / С. Г. Мамонтов, В.Б. Захаров, Т.А. Козлова
; под ред. С.Г. Мамонтова. - 4-е изд., испр. и доп. - М. : Академия, 2011. -
506 с. : ил.
. Бесков, В.С. Общая
химическая технология и основы промышленной экологии: учеб.пособие для
технических специальностей / В.С.Бесков, В.С.Сафронов; под общ. ред. В.С.
Бесков. - М. : Химия, 1999. - 472 с. (4)
. Лаурман Дж.
Стратегические направления действий и проблема влияния СО2 на
окружающую среду // Углекислый газ в атмосфере / В. Бах, А. Крейн, А. Берже, А.
Лонгетто (ред.). - М.: Мир, 1987. - 472 с.
. Родионов А.И., Клушин
В.П., Торочешников Н.С. Техника защиты окружающей среды. - М.: Химия, 1989. -
512 с.
. Окружающая среда:
учет и контроль факторов риска здоровью населения / Ю.А. Рахманин [и др.] //
Методы оценки соответствия. - 2009. - № 11. - С.8-10.
. Лингарт Ю. Парниковый
эффект / Ю. Лингарт // Экология и жизнь. - 2009. - № 1 .- С. 55-57.
. Штокман Е.А. Очистка
воздуха. - М.: Изд-во АСВ, 1999. -319 с.
. Алыкова, Т.В.
Химический мониторинг объектов окружающей среды: науч. изд. / Т.В. Алыкова. -
М. Химия, 2002. - 287 с.
. Кузнецов И.Е.,
Троицкая Т.М. Защита воздушного бассейна от загрязнений вредными веществами
химических предприятий. - М.: Химия, 1979.-344 с.
. Современные
методические указания по определению содержания примесей в атмосфере / Под ред.
М.Е. Берлянда, Н.Ш. Вольберга. Л.: Гидрометеоиздат, 1971. 79 с.
. Ветошкин А.Г.
Теоретические основы защиты окружающей среды: учебное пособие / А.Г. Ветошкин.
- М.: Высшая школа, 2008. - 397 с. : ил.
. Колбасов, О.С.
Международно-правовая охрана окружающей среды. - М., 2002. - 348с.
. Подобедов, Н.С.
Природные ресурсы земли и охрана окружающей среды. М.: 1985. - 357с.
. Рахилин В. К.
Общество и живая природа. - М.: Наука, 1989. -215 с.
. Дополнение к перечню
методик выполнения измерений, допущенных к применению в деятельности
лабораторий экологического контроля предприятий и организаций Республики
Беларусь: утв. Министром природных ресурсов и охраны окружающей среды
Республики Беларусь от 9 декабря 1996 г., // 1-й том. - 198 с.
. ГОСТ 17.2.4.05-83 (СТ
СЭВ 3846-82). Атмосфера. Гравиметрический метод определения взвешенных частиц
пыли. М.: Изд-во стандартов, 1983. 2 с.
. ГОСТ 17.2.4.03-81 (СТ
СЭВ 2599-80). Индофенольный метод определения аммиака. М.: Изд-во стандартов,
1981. 9 с.
. Определение
формальдегида в воздухе производственных помещений // Информационный листок №
1456-78. 1978. 3 с.
Приложение A
Графики содержания токсикантов на каждом из
ииследуемых постов в 2010 - 2011 гг.
Рисунок 5 - Содержание твёрдых частиц на посту
№2 в 2010 - 2011 гг.
Рисунок 6 - Содержание твёрдых частиц на посту
№13 в 2010 - 2011 гг.
Рисунок 7 - Содержание твёрдых частиц на посту
№16 в 2010 - 2011 гг.
Рисунок 8 - Содержание твёрдых частиц на посту
№17 в 2010 - 2011 гг.
Рисунок 9 - Содержание аммиака на посту №2 в
2010 - 2011 гг.
Рисунок 10 - Содержание аммиака на посту №13 в
2010 - 2011 гг
Рисунок 11 - Содержание аммиака на посту №16 в
2010 - 2011 гг.
Рисунок 12 - Содержание аммиака на посту №17 в
2010 - 2011 гг.
Рисунок 13 - Содержание фенола на посту №2 в
2010 - 2011 гг.
Рисунок 14 - Содержание фенола на посту №13 в
2010 - 2011 гг.
Рисунок 15 - Содержание фенола на посту №16 в
2010 - 2011 гг.
Рисунок 16 - Содержание фенола на посту №17 в
2010 - 2011 гг.
Рисунок 17 - Содержание формальдегида на посту
№2 в 2010 - 2011 гг.
Рисунок 18 - Содержание формальдегида на посту
№13 в 2010 - 2011 гг.
Рисунок 19 - Содержание формальдегида на посту
№16 в 2010 - 2011 гг.
Рисунок 20 - Содержание формальдегида на посту
№17 в 2010 - 2011 гг.