Организация строительства железобетонной водопропускной трубы на территории Ростовской области
Введение
При разбивке работке от закрепленной на местности оси трубы откладывают
габариты траншеи и котлована. Полученные габариты рекомендуется обносить
досками.
Срезка растительного грунта производится бульдозером. При этом бульдозер
выполняем две операции, разработку грунта и его перемещение
Производительность бульдозера зависит от геометрических размеров отвала,
мощности двигателя, группы трудности грунта по разработке, дальности
перемещения.
К разработке котлована приступают сразу же после проведения
подготовительных работ, как правило, разработку выполняют экскаватором с
обратной лопатой.
Разработку грунта обрабатывают экскаватором в направлении выходного
оголовка к входному с недобором грунта 10-20 см до проектной отметки.
К строительству фундамента после сдачи котлована заказчику. Фундаменты из
песка, щебня, гравия могут являться самостоятельным фундаментом или
фундаментной подушкой под сборные монолитные, или железобетонные фундаменты.
После устройства бетонной подушки осуществляют монтаж труб.
Монтаж круглых железобетонных труб укладывая трубу на деревянную не
удаляемую подкладку.
После монтажа труб проводят гидроизоляционные работы. Затем засыпают
трубу грунтом.
Глава 1. Исходные данные
.1 Физико-географический очерк
Ростовская область - область в составе РСФСР. Образована 13 сентября
19737 года, в современных границах - 6 января 1954. Расположена на юге
Восточно-Европейской равнины и в Предкавказье. Территория области омывается
Таганрогским заливом Азовского моря. Граничит на западе и северо-западе с
Украиной, на севере - с Воронежской областью, на северо-востоке и востоке - с
Волгоградской областью, на юго-востоке и юге - со Ставропольским краем, на
юго-западе - с Краснодарским краем.
Область занимает выгодное экономико-географическое положение, связывает
центр России с Северным Кавказом и Закавказьем, имеет выход к Черному морю, на
западе граничит с Донбассом. Площадь территории составляет 100,8 тысяч кв.м.
Сегодня в состав Ростовской области входят 43 района, 23 города, 25 поселков
городского типа. Население области составляет 4,4 млн. человек. По численности
населения область занимает четвертое место в России. Крупные города -
Ростов-на-Дону, Таганрог, Шахты, Новочеркасск, Волгодонск и Новошахтинск.
Главные реки - Дон, Северный Донец. [7]
.2 Транспортная характеристика района строительства
На территории области проходят следующие автомобильные дороги:
· Федеральная трасса М4 «Дон»: Москва - Воронеж -
Ростов-на-Дону, далее переходящая в М29 «Кавказ»: Ростов-наДону - Павловская
-Невинномысск - Нальчик - Грозный - Баку;
· Федеральная трасса М23: Ростов-на-Дону - Таганрог - граница с
Украиной;
· Федеральная трасса М19: Киев - Полтава - Харьков - Изюм -
Ростов-на-Дону
· Федеральная автомобильная дорога М21: Волгоград -
Каменск-Шахтинский - граница с Украиной
· Е-40: Новошахтинск - Шахты - Харьков - Киев - Львов - Ужгород
- Будапешт
Федеральная автомобильная дорога М4 «Дон» - автомобильная дорога
федерального значения Москва - Воронеж - Ростов-на-Дону - Краснодар -
Новороссийск. Протяжённость автомагистрали составляет 1543 км. Основная часть
трассы от Москвы до Краснодара является составной частью европейского маршрута
E115. Участок от Краснодара до Джубги образует маршрут E592, от Джубги до
Новороссийска входит в состав E97. Кроме этого, по дороге М4 проходит участок
европейского маршрута E50 от пересечения с М19 у Новошахтинска до ответвления
М29 у станицы Павловской. [14]
.3 Рельеф местности
Рельеф области преимущественно равнинный. Северо-западная часть его
представляет собой низменность (преобладающие высоты 75-125м.), сложенными
известняками и доломитами, перекрытыми лессовидными суглинками. Поверхность
низменности расчленена долинами рек и имеет волнистый характер. На севере она
пересечена отрогами Донецкого кряжа (до 152м высоты). К югу от Дона поверхность
области прорезана с северо-востока на юго-восток западной частью Кумо-Манычской
впадины. Пространство, расположенное к северу от этой впадины, делится на 2
части. Восточная часть занята Сальско-Манычской грядой (свыше 200м. высотой), в
строении которой принимают участие главным образом песчано-глинистые отложения.
К Кумо-Манычской впадине она круто обрывается, образуя цепь высоких холмов, к
долине р.Сал спускается пологими склонами, изрезанными притоками р.Сал.
Западная часть - однообразная равнина с рассеянными по ней плоскими
впадинами, блюдцами и западинами. Южнее Кумо-Манычской впадины находится
Кубано-Приазовская низменность. Это широкая волнистая равнина, сложенная
песчаными и глинистыми отложениями, перекрытыми лессами и лессовидными
суглинками. Низменность постепенно понижается к Азовскому морю. Между реками
Маныч и Кагальник на ней имеются незначительные повышения. [7]
.4 Гидрография района
Главной водной артерией является Дон, протекающий на севере большей
частью по границе с Каменской областью. В пределах Ростовской области Дон течет
в широкой долине (до 20-30 км. ширины), имеющей крутой правый и низменный левый
берега и обширную пойму с многочисленными озерками, ериками и старицами. В 6км.
ниже Ростова-на-Дону начинается дельта Дона, изобилующая многочисленными
протоками и рукавами. Питание реки главным образом снеговое, отчасти дождевое.
Наиболее значительные притоки Дона: справа - Тузлов, слева - Сал и Маныч. Это
типичные степные реки с чрезвычайно извилистым руслом и медленным течением. Они
маловодны, летом частично пересыхают. Непосредственно в Азовское море впадают:
Миус, Кагальник и Мокрый Еланчик. Дон и Западный Маныч судоходны, воды их
используются для орошения. Из озер наиболее значительны: Маныч (Большой Лиман)
и Маныч-Гудило, расположенные в Кумо-Манычской впадине. Имеется более 2000
прудов и 3 крупных водохранилища (Цимлянское, Веселовское и Пролетарское).
Глубина залегания грунтовых вод в Ростовской области 2,2м.[7]
1.5 Полезные ископаемые
Область занимает 2-е место в России по добыче каменного угля высокого
качества. Имеются месторождения газа, нефти, строительных материалов:
известняка, глины, в том числе керамзитовой, щебня, строительного песка,
бильного камня. Регион имеет также месторождения нерудного сырья, используемого
металлургическими предприятиями (флюсовые и конвертерные известняки, кварциты
для ферросплавов). [7]
.6 Местные грунты и дорожно-строительные материалы
Грунт - горные породы, почвы, техногенные образования, представляющие
собой многокомпонентную и многообразную геологическую систему являющиеся
объектом инженерно-хозяйственной деятельности человека. Преобладают черноземные
почвы. Они распространены в западной части области. В долине р.Дона -
аллювиальные почвы, в низинах - полуболотные и торфянистые. На востоке, в
бассейне верхнего течения р.Сал, имеются темнокаштановые слабосолонцеватые
почвы в комплексе с солонцами. На восточной окраине области - светлокаштановые
слабосолонцеватые почвы. Также почвы в Ростовской области состоят из суглинка и
глины. [7]
.7 Климатические характеристики района строительства
.7.1 Климат
Климат области формируется под влиянием восточно-европейских воздушных
масс зимой, атлантических и сухих юго-восточных тропических воздушных масс
летом. Влияние Азовского моря ограничивается узкой полосой. Зима умеренно
холодная (средняя температура января -9 ºС (на севере) и -5 ºС (на юге)), лето жаркое (средняя
температура июля от +22 до +24). Количество осадков 400-650 мм в год. Максимум
осадков приходится на июнь-июль, летние дожди отличаются ливневым характером.
Весной и летом часто дуют жаркие и сухие юго-восточные ветры, вызывающие
засуху.[7]
.7.2 Температура воздуха
Температура воздуха - мера его теплового состояния, пропорциональная
энергии беспорядочных тепловых движений молекул воздуха. Температура воздуха
района строительства - центральный климатический, который оказывает
принципиальное влияние на организацию строительства, методы производства работ,
производительность машин и рабочих. Так, например, с понижением температуры
воздуха, а следовательно и материала, ухудшается его удобоукладываемость.
Некоторые методы производства работ становятся в этих условиях технически
невозможными или экономически нецелесообразными.
Средняя месячная температура воздуха (табл. 1.1) за 12 месяцев требуется
для построения дорожно-климатического графика (д.к.г) [Приложение А], а дата
перехода температуры по весне через 0º и количество дней в году с
положительной температурой учитывается при расчете даты весенней распутицы.
[13]
Таблица 1.1 Температура наружного воздуха (ºС)
|
Наименование показателя
|
Месяц
|
|
I
|
II
|
III
|
IV
|
V
|
VI
|
VII
|
VIII
|
IX
|
X
|
XI
|
XII
|
средняя
|
|
Температура воздуха
|
-5,7
|
-5,1
|
0,2
|
9,0
|
16,4
|
20,0
|
22,9
|
22,1
|
16,2
|
9,2
|
2,2
|
-3,1
|
8,7
|
1.7.3 Атмосферные осадки
Осадки выпадают в виде дождя, мороси, снега, снежной и ледяной крупы,
снежных зерен и града. Непосредственно из воздуха выделяется роса, иней,
жидкий налет, твердый налет, изморось. Оседание переохлажденного дождя,
мороси, тумана на дорожных покрытиях является причиной гололеда. Осадки
характеризуются их количеством, продолжительностью, интенсивностью, числом дней
с осадками различной величины, видом осадков. Для дорожного строительства
практический интерес представляют преобладающие формы осадков в виде снега,
дождя и смешанные.
Обильный снег затрудняет укладку бетона, т.к. тая на его поверхности
нарушает проектное водоцементное отношение. Снег же, являясь эффективным
теплоизолятором, уменьшает глубину промерзания грунта. [13]
Среднемесячное выпадение атмосферных осадков за 12 месяцев требуется для
построения Д.К.Г. Данные за год приведены в таблице 1.2.
Таблица 1.2 Среднемесячное количество осадков (мм)
|
Месяц
|
I
|
II
|
III
|
IV
|
V
|
VI
|
VII
|
VIII
|
IX
|
X
|
XI
|
XII
|
Ср. за год
|
|
Осадки, мм
|
35
|
36
|
33
|
34
|
43
|
62
|
56
|
31
|
31
|
33
|
38
|
39
|
470
|
.7.4 Высота снежного покрова
Для дорожного строительства практический интерес представляет высота
снежного покрова. Обильный снег затрудняет укладку бетона, тая на его
поверхности, нарушает проектное водоцементное отложение, являясь эффективным
теплоизолятором, снег уменьшает глубину промерзания грунта. Высота снежного
покрова определяется для выбора высоты насыпи которую бы не заносило зимой. [8]
Высоту насыпи на участках дорог, проходящих по открытой местности, по
условию снегонезаносимости во время метелей следует определять по формуле:
,
где
- высота незаносимой насыпи,
-
расчетная высота снежного покрова в месте прокладки насыпи,
-
возвышение бровки насыпи над расчетным уровнем снегового покрова (по СНиПу
2.05.02-85 «Автомобильные дороги» для II категории дороги принимаем 0.7).
Тогда
.
Данные
по среднемноголетней месячной высоте снежного покрова сведены в таблицу 1.3 и
нанесены на дорожно-климатический график [Приложение А].
Таблица
1.3 Средняя высота снежного покрова (см)
|
Наименование показателя
|
Месяц
|
|
I
|
II
|
III
|
IV
|
V
|
VI
|
VII
|
VIII
|
IX
|
X
|
XI
|
XII
|
|
Средняя высота снежного покрова
|
15
|
18
|
8
|
-
|
-
|
-
|
-
|
-
|
-
|
-
|
5
|
12
|
.7.5 Глубина промерзания грунта
Промерзание грунта - процесс превращения грунтовой влаги в лед,
наступающий при температуре несколько ниже 0°С. Глубина промерзания грунта
зависит от температуры воздуха, влажности грунта, толщины снежного покрова,
вида грунта. При промерзании грунта его сопротивление механическим воздействиям
возрастает иногда в 100 раз, что оказывается принципиальным моментом для
принятия конкретных организационных, технологических решений. Для построения
Д.К.Г. требуются данные по промерзанию грунта за 12 месяцев и глубина
промерзания учитывается при определении дат распутицы. Средняя глубина
промерзания 100 см. [13]
.7.6 Направление ветра
Ветер - движение воздуха относительно земной поверхности. В понятие
«ветер» включается числовая величина скорости ветра, выражаемая в м/с, и
направление, откуда дует ветер. Для обозначения направления ветра достаточно
использовать восемь румбов с секторами шириной 45°.
Роза ветров - диаграмма, показывающая повторяемость ветров различных
направлений в данной местности и их скоростей по румбам по многолетним средним
данным для месяца, сезона или года. Представляет собой кружок, от которого
расходятся лучи в направлении основных румбов горизонта. Длина каждого луча
пропорциональна повторяемости ветров данного направления.
Внутри кружка указывается повторяемость штилей. Центральными месяцами
зимы и лета являются январь и июль.[13]
Данные, требуемые для построения розы ветров, приведены в таблице 1.4
Таблица 1.4 Повторяемость / среднее значение скорости ветра в январе и
июле (м/с)
|
Направление ветра
|
С
|
СВ
|
В
|
ЮВ
|
Ю
|
ЮЗ
|
З
|
СЗ
|
|
январь
|
4/3,9
|
14/5,8
|
33/6,5
|
10/4,8
|
4/3,3
|
12/4,0
|
17/4,1
|
6/3,1
|
|
июль
|
13/3,4
|
13/4,0
|
20/4,4
|
5/3,2
|
3/2,3
|
12/3,5
|
23/3,6
|
11/3,3
|
.7.7 Распутица
Распутица - это период времени, в течение которого из-за сильного
переувлажнения грунтовых дорог резко снижается их несущая способность и
движение автомобильного транспорта становится затруднительным или практически
невозможным. Наиболее продолжительные периоды имеют место весной и осенью.
Осенняя распутица наступает в период, когда средняя суточная температура
воздуха снижается до +5°С, что способствует уменьшению испарения влаги, а
повторяемость обложных дождей, насыщающих влагой верхний слой грунта,
возрастает. Прекращается осенняя распутица с наступлением устойчивых
отрицательных температур воздуха, когда верхний слой грунта промерзает.
Промерзание грунта на глубину приблизительно 15 см обеспечивает нормальную
проводимость груженых автомобилей.
Весной распутица возникает вслед за сходом снежного покрова, когда начинается
оттаивание верхнего слоя грунта и достигает максимума в период оттаивания
грунта до 20-30 см. Прекращение распутицы совпадает с моментом просыхания
грунта на глубину порядка 20 см. [13]
Среднюю дату начала весенней распутицы можно рассчитать по формуле:
где
- дата перехода температуры воздуха через 0°С (из ДКГ
);
-
скорость оттаивания грунта, см/сутки (для III ДКЗ
).
Среднюю
дату конца весенней распутицы можно рассчитать по формуле:
где
- максимальная глубина промерзания грунта, см (из ДКГ
);
Средние
даты начала и конца осенней распутицы:
.
строительство железобетонный водопропускной труба
Глава 2. Технология и организация строительства
железобетонной водопропускной трубы
.1 Виды и объемы работ
В соответствии с полученными данными объемы работ можно представить в
виде таблицы 2.1:
|
Номер опер.
|
Наименование операции
|
Ед. изм.
|
Объем работ
|
|
|
|
|
|
1.
|
Предварительная планировка строит. площадки бульдозером
|
м2
|
260
|
|
2.
|
Окончат. Планировка стр. площадки бульдозером
|
м2
|
260
|
|
3.
|
Срезка растит. грунта бульдозером
|
м2
|
260
|
|
4.
|
Разработка грунта экскаватором под нагорную канаву
|
м2
|
34
|
|
5.
|
Доставка оборудования и врем. Инвентаря самосвалом
|
т
|
10
|
|
6.
|
Разгрузка и подвоз инвентаря на объекте
|
шт
|
7
|
|
7.
|
Подвоз щебня для устройства фундаментной подушки
|
т
|
47
|
|
8.
|
Подвоз ж.б. блоков фундамента звеньев трубы
|
рейс
|
4/2/4
|
|
9.
|
Подача и сортировка блоков фундамента звеньев трубы на
строит. площадке автом. краном
|
шт
|
16/6/8
|
|
10.
|
Рытье котлована под тело трубы и оголовки
|
м3
|
104
|
|
11.
|
Доработка дна котлована вручную
|
м3
|
2,45
|
|
12.
|
Уплотнение дна котлована вибрационной трамбовкой
|
м2
|
120
|
|
13.
|
Подача щебня на бровку котлована бульдозером на расст. 15м
|
м3
|
34
|
|
14.
|
Подача щебня в котлован при помощи бадьи и автом. крана
|
м2
|
135
|
|
15.
|
Разравнивание щебня вручную
|
|
|
|
16.
|
Трамбование щебня вибрационной трамбовкой
|
|
|
|
17.
|
Распределение цементно-песчаного раствора по щебеночной
подготовке
|
м3
|
3,4
|
|
18.
|
Монтаж ж.б. блоков фундамента
|
шт
|
16
|
|
19.
|
Заполнение вертик. швов, блоков фундамента цементно-песч.
раствором
|
м
|
15
|
|
20.
|
Разравнивание и уплотнение грунта в пазухах котлована
|
м3
|
4,2
|
|
21.
|
Монтаж выходного оголовка. Портальная стенка. Откосная
стенка
|
шт шт
|
1 2
|
|
22.
|
Монтаж звеньев труб
|
Эл.
|
8
|
|
23.
|
Монтаж входного оголовка. Портальная стенка. Откосная
стенка
|
Шт шт
|
1 2
|
|
24.
|
Гидроизоляция стыков между звеньями
|
м
|
25,12
|
|
25.
|
Обмазочная гидроизоляция звеньев трубы
|
м2
|
94,2
|
|
26.
|
Перемещение грунта бульдозером для засыпки трубы
|
м3
|
104
|
|
27.
|
Доставка недостающего грунта самосвалом из сосредоточенного
резерва
|
м3
|
88
|
|
28.
|
Разравнивание грунта бульдозером
|
м3
|
192
|
|
29.
|
Уплотнение грунта вручную
|
м3
|
8,8
|
|
30.
|
Уплотнение грунта катком
|
м3
|
183,2
|
|
31.
|
Планировка откосов под мощение плитами
|
м2
|
34
|
|
32.
|
Устройство упоров из монолитного бетона
|
м3
|
2,1
|
|
33.
|
Раскладка укрепительных плит автомоб. краном
|
м2
|
34
|
2.2 Подбор состава отряда и калькуляция трудовых затрат
. Предварительная планировка строительной площадки бульдозером.
В соответствии с Е2-1, суглинок легкий относится к I группе для бульдозеров и
одноковшовых экскаваторов. Растительный грунт относится к I группе трудности по разработке для
бульдозеров и одноковшовых экскаваторов. Для производства работ принимаем
бульдозер ДЗ-18 на базе трактора Т-100. Норма времени - 0,21 ч/1000 (в
соответствии с Е2-1-35) на предварительную планировку. Тогда производительность
бульдозера ДЗ-18 составит:
Требуемое количество смен:
2. Окончательная планировка строительной площадки бульдозером
Согласно Е2-1-36, норма времени составит 0,28ч/1000
. Срезка растительного грунта бульдозером.
. Разработка грунта экскаватором под нагорную канаву.
Экскаватор с «обратной лопатой» ЭО-3322А.
. Доставка оборудования и временного инвентаря самосвалом
Для производства транспортных работ принимаем КаМАЗ-65111А
грузоподъемностью 14 т, дальность перемещения 30 км. Скорость 20 км/ч.

-
производительность
.
Разгрузка и монтаж инвентаря на объекте
. Подвоз щебня для устройства фундаментной подушки.

. Подвоз железобетонных блоков фундамента
. Подача и сортировка блоков фундамента (элементов оголовков) звеньев
трубы на строительную площадку автомобильным краном.
. Рытье котлована под тело трубы и оголовки
. Доработка дна котлована вручную
. Уплотнение дна котлована вибрационной трамбовкой
. Подача щебня на бровку котлована бульдозером на расст. 15 м
. Подача щебня в котлован при помощи бадьи и автомобильного крана
В соответствии с Е4-3-172, норма времени на подачу, разравнивание и
уплотнение щебня составляет 8,5 ч/100
. Разравнивание щебня вручную
См. пункт 14
. Трамбование щебня вибрационной трамбовкой
См. пункт 14
. Распределение цементно-песчаного раствора по щебеночной подготовке
. Монтаж железобетонных блоков фундамента
. Заполнение вертикальных швов, блоков фундамента цементно-песчаным
раствором
. Разравнивание и уплотнение грунта в пазухах котлована
. Монтаж выходного оголовка
. Монтаж звеньев трубы
. Монтаж входного оголовка
См. пункт 21
. Гидроизоляция стыков между звеньями
. Обмазочная гидроизоляция звеньев трубы
. Перемещение грунта бульдозером для засыпки трубы
. Доставка недостающего грунта самосвалом из сосредоточенного резерва
. Разравнивание грунта бульдозером
. Уплотнение грунта вручную
. Уплотнение грунта катком
. Планировка откосов под мощение плитами
. Устройство упоров из монолитного бетона
. Раскладка укрепительных плит автомобильным краном
Данные сведены в таблицу 2.2 и представлены на графике производства работ
Таблица 2.2 Калькуляция трудовых затрат
|
Номер и наимен. операции
|
Наименование машин и оборудования
|
Специал. и квалификац. рабочих
|
Ед. изм.
|
Объем работ
|
Производительность
|
Потребность в сменах
|
|
|
|
|
|
|
Машины
|
Рабочие
|
|
1. Предварит. планировка стр. площадки бульдозером
|
Бульдозер ДЗ-18
|
Машинист бульдозера 6-го разряда
|
м2
|
260
|
38095
|
0,01
|
0,01
|
|
2. Окончат. Планировка стр. площадки бульдозером
|
Бульдозер ДЗ-18
|
Машинист бульдозера 6-го разряда
|
м2
|
260
|
28571
|
0,01
|
0,01
|
|
3.Срезка растит. грунта бульдозером
|
Бульдозер ДЗ-18
|
Машинист бульдозера 6-го разряда
|
м2
|
260
|
11594
|
0,02
|
0,02
|
|
4. Разработка грунта экскаватором под нагорную канаву
|
Экскаватор ЭО-3322А
|
Машинист экскаватора 6-го разр. Помощник машиниста 5-го
разр
|
м2
|
34
|
381
|
0,1
|
0,1
|
|
5. Доставка оборудования и врем. Инвентаря самосвалом
|
КаМАЗ 65111А
|
Машинист 6-го разряда
|
т
|
10
|
27,6
|
0,36
|
0,36
|
|
6. Разгрузка и подвоз инвентаря на объекте
|
-
|
Машинист 6-го разряда, монтажник 4-го разряда
|
шт
|
7
|
40
|
0,18
|
0,18
|
|
7. Подвоз щебня для устройства фундаментной подушки
|
Бадья
|
Машинист крана 6-го разряда, дорожные рабочие 4р-1, 3р-1,
2р-2
|
т
|
47
|
94,12
|
1,68
|
1,68
|
|
8. Подвоз ж.б. блоков фундамента звеньев трубы
|
КаМАЗ 65111А
|
Машинист 6-го разряда
|
рейс
|
4/2/4
|
23,8
|
0,17/0,08/0,17
|
0,17/0,08/0,17
|
|
9. Подача и сортировка блоков фундамента звеньев трубы на
строит. площадке автом. краном
|
Гусеничный кран
|
Монтажник конструкций 4р-1, 3р-3, машинист крана 6р-1
|
шт
|
16/6/8
|
72,73
|
0,22/0,08/0,11
|
0,22/0,08/0,11
|
|
10. Рытье котлована под тело трубы и оголовки
|
Экскаватор ЭО-3311
|
Машинист 6-го разряда
|
м3
|
104
|
275,86
|
0,38
|
0,38
|
|
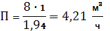
11. Доработка дна котлована вручную
|
Лопата
|
Землекоп второго разряда
|
м3
|
2,45
|
4,2
|
0,58
|
0,58
|
|
12. Уплотнение дна котлована вибрационной трамбовкой
|
Трактор ДТ-75
|
Тракторист 5-го разряда
|
м2
|
120
|
8888,89
|
0,01
|
0,01
|
|
13. Подача щебня на бровку котлована бульдозером на расст.
15м
|
Трактор Т100 ДЗ-17
|
Машинист 6-го разряда
|
м3
|
34
|
333,3
|
0,1
|
0,1
|
|
14. Подача щебня в котлован при помощи бадьи и автом. крана
|
Бадья, автомобильный кран
|
Машинист крана 6р, дорожный рабочий
|
м2
|
135
|
94,12
|
1,47
|
1,47
|
|
15. Разравнивание щебня вручную
|
Лопата
|
Дорожный рабочий
|
|
|
|
|
|
|
16. Трамбование щебня вибрационной трамбовкой
|
Ручная трамбовка
|
Дорожный рабочий
|
|
|
|
|
|
|
17.Распределение цементно-песчаного раствора по щебеночной
подготовке
|
Бадья
|
Монтажник конструкций 2-го разряда-1, 4 разр.-1
|
м3
|
3,4
|
12,5
|
0,27
|
0,27
|
|
18. Монтаж ж.б. блоков фундамента
|
Гусеничный кран
|
Монтажник конструкций 3-го разряда-1, 4-го -3.
|
шт
|
16
|
76,2
|
0,42
|
0,42
|
|
19. Заполнение вертик. швов, блоков фундамента
цементно-песч. раствором
|
Плоская воронка
|
Монтажники конструкций 4-го разряда-1, 3-го разряда-3
|
м
|
15
|
24,24
|
0,62
|
0,62
|
|
20. Разравнивание и уплотнение грунта в пазухах котлована
|
Лопата
|
Землекоп 2-го р. - 1, 1-го разр.- 1
|
м3
|
4,2
|
7,3
|
0,58
|
0,58
|
|
21.Монтаж выходного оголовка. Портальная стенка. Откосная
стенка
|
Автокран
|
Монтажники конструкций 4р-2, 3р-2, машинист крана 6-го
разряда - 1
|
шт. шт
|
1 2
|
16 21
|
0,06 0,095
|
0,15
|
|
22. Монтаж звеньев труб
|
Автокран
|
Машинист крана 6-го разр Монтажники конструкции 4р-2, 3р-2.
|
Эл..
|
8
|
20
|
0,41
|
0,41
|
|
23. Монтаж входного оголовка. Портальная стенка. Откосная
стенка
|
Автокран
|
Монтажники конструкций 4р-2, 3р-2, машинист крана 6-го
разряда -
|
Шт. шт
|
1 2
|
16 21
|
0,06 0,095
|
0,15
|
|
24. Гидроизоляция стыков между звеньями
|
-
|
Монтажники конструкций 4 разряда, 3 разряда
|
м
|
25,12
|
21,62
|
1,16
|
1,16
|
|
25. Обмазочная гидроизоляция звеньев трубы
|
-
|
Изолировщик 3 разряда-2
|
м2
|
94,2
|
29,63
|
3,18
|
3,18
|
|
26. Перемещение грунта бульдозером для засыпки трубы
|
Бульдозер ДЗ-18 (трактор Т100)
|
Машинист 6-го разряда
|
м3
|
104
|
620
|
0,17
|
0,17
|
|
27. Доставка недостающего грунта самосвалом из
сосредоточенного резерва
|
КаМАЗ 65111А
|
Машинист 6-го разряда
|
м3
|
88
|
29,75
|
5,32
|
5,32
|
|
28. Разравнивание грунта бульдозером
|
Бульдозер ДЗ-18 (трактор Т100)
|
Машинист 6-го разряда
|
м3
|
192
|
1739,13
|
0,11
|
0,11
|
|
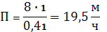
29.Уплотнение грунта вручную
|
Электротрамбовки ЭИ-4502
|
Землекоп 2-го разряда
|
м3
|
8,8
|
135,59
|
0,065
|
0,065
|
|
30. Уплотнение грунта катком
|
Самоход. каток ДУ-31А (Д-627А)
|
Машинист 6-го разряда
|
м3
|
183,2
|
1951,22
|
0,094
|
0,094
|
Лопата
|
Землекоп 2-го разряда
|
м2
|
34
|
80
|
0,425
|
0,425
|
|
32. Устройство упоров из монолитного бетона
|
-
|
Дорожный рабочий
|
м3
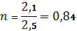
|
2,1
|
2,5
|
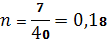
0,84
|
0,84
|
|
33. Раскладка укрепительных плит автомоб. краном
|
Автом. кран
|
Машинист крана 6-го разряда
|
м2
|
34
|
228
|
0,15
|
0,15
|