Опалення та вентиляція житлової будівлі

  • Вид работы:
    Курсовая работа (т)
  • Предмет:
    Строительство
  • Язык:
    Украинский
    ,
    Формат файла:
    MS Word
    31,94 Кб
  • Опубликовано:
    2013-03-25
Вы можете узнать стоимость помощи в написании студенческой работы.
Помощь в написании работы, которую точно примут!

Опалення та вентиляція житлової будівлі

Міністерство освіти та науки, молоді та спорту України

Харківський національній університет будівництва та архітектури


Факультет: будівельний

Кафедра теплогазопостачання, вентиляція

та теплових вторинних енергоресурсів




Розрахунково-пояснювальна записка

до курсового проекту

«Опалення та вентиляція житлової будівлі»


Керівник проекту:

Бугай В.С.

Розробила студентка

Дворецька О.В.

Група: П-31



Харків 2012

Зміст


Вступ

.        Вихідні дані для проектування

.        Опалення

.1      Теплотехнічний розрахунок огороджувальних контрукцій

.1.1   Теплотехнічний розрахунок зовнішньої стіни будівлі

.1.2   Теплотехнічний розрахунок безгорищного покриття будівлі

.1.3 Теплотехнічний розрахунок перекриття над неопалюваним підвалом

.1.4 Теплотехнічний розрахунок вікон будівлі

.1.5 Теплотехнічний розрахунок вхідних дверей до будинку

.2 Визначення втрат теплоти приміщеннями

.3 Опис прийнятої системи опалення

.4 Гідравлічний розрахунок системи опалення

.5 Розрахунок опалювальних приладі

. Проектування вентиляції

.1 Визначення повітрообміну у будівлі

.2 Визначення числа вентиляційних каналів у будівлі

Список літератури

Вступ


У курсовій роботі для житлової будівлі запроектована система центрального опалення з нижньою розводкою з теплопостачанням від ТЕЦ та природною витяжною вентиляцією.

Теплотехнічний розрахунок виконано згідно з будівельними вимогами, які викладені у ДБН В.2.6-31:2006. Теплова ізоляція будівель.

У курсовому проекті за допомогою гідравлічного розрахунку системи опалення визначено діаметри трубопроводів при відомих теплових навантаженнях (витратах теплоносія) та наявному перепаді тиску на вводі. Виконана ув’язка тисків, які витрачаються у стояках та магістральних трубопроводах.

За розрахунками опалювальних приладів визначено типорозміри та марка опалювальних приладів, необхідних для компенсації втрат теплоти приміщень.

У курсовому проекті визначено необхідний повітрообмін (тобто об’єм витяжного повітря) та кількість витяжних каналів для квартир одного типу, які розташовані на одній вертикалі будівлі.

1.      Вихідні дані для проектування


Пункт будівництва - м. Харків;

Температурна зона - перша;

Вологісний режим приміщення - нормальний;

Розрахункова температура внутрішнього повітря : tв= +20°C;

Температура зовнішнього повітря:

         абсолютна мінімальна температура : tа=-36°С;

         середня найбільш холодних діб: tх.д.=-28°С;

         середня найбільш холодних п’яти діб: tх.п.=-23°С;

Кількість градусо-діб опалювального періоду - 3799;

Умови експлуатації огороджувальних конструкцій - Б.

2. Опалення


2.1 Теплотехнічний розрахунок огороджувальних конструкцій

Теплотехнічний розрахунок огороджувальних конструкцій виконується для холодного періоду року.

Мета теплотехнічного розрахунку - визначення опору теплопередачі та коефіцієнта теплопередачі зовнішніх огороджувальних конструкцій будівлі.

 

2.1.1 Теплотехнічний розрахунок зовнішньої стіни будівлі

Конструкція стіни:

         зовнішня штукатурка з цементно-піщаного розчину λ1=0,81 Вт/(м·К), S1=9,76 Вт/(м2·К), δ1=0,02 м;

         цегла силікатна λ2=0,87Вт/(м·К), S2=10,90 Вт/( м2·К), δ2=0,12 м;

         шар утеплювача з пінополіуретану λ3=0,041 Вт/(м·К), S3=0,55 Вт/( м2·К), δ3 = ?;

         цегла силікатна λ4=0,87 Вт/(м·К), S4=10,90 Вт/( м2·К), δ4=0,38 м.;

         внутрішня штукатурка з вапняно-піщаного розчину λ5=0,93 Вт/(м·К), S5=11,09 Вт/(м2·К), δ5=0,01 м.

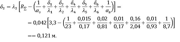
Виписується мінімально допустиме значення опору теплопередачі для зовнішньої стіни за додатком Б для першої температурної зони для м. Харків Rq min = 2,8 (м2 ·К)/Вт. Розрахунок проводиться за умовою:

 

пр Rq min.

Величина опору теплопередачі термічно однорідної багатошарової огороджувальної конструкції зовнішньої стіни R∑, (м2·К)/Вт визначається:

= 1/aв + R1+ R2+R3+R4+R5+ 1/aз.

При умові Rqmin = R∑ = 1/aв + R1 + R2+R3+R4+R5 + 1/aз , з цього рівняння визначається товщина невідомого шару утеплювача в зовнішній стіні dХ =d 3 :

Приймаємо за уніфікованими розмірами δ3=0,1 м.

Тепер підраховується опір теплопередачі зовнішньої стіни:


Умова пр Rq min витримана =3,2 Rq min =2,8.

Підраховується коефіцієнт теплопередачі зовнішньої стіни:

 

 

2.1.2 Теплотехнічний розрахунок безгорищного покриття будівлі

Конструкція безгорищного покриття:

         водоізоляційни килим (3 шари руберойду на бітумній мастиці) λ1=0,17Вт/(м·К), S1=3,53 Вт/(м2·К), δ1=0,015 м;

         вирівнюючий шар з цементно-піщаного розчину λ2=0,81 Вт/(м·К), S2=9,76Вт/( м2·К), δ2=0,02 м.;

         шар утеплювача з плит з мінеральної вати на синтетичному зв’язуючому λ3=0,042 Вт/(м·К), S3=0,37Вт/( м2·К), δ3 = ?;

         пароізоляція з руберойду λ4=0,17 Вт/(м·К), S4=3,53 Вт/( м2·К), δ4=0,01 м;

         збірна залізобетонна плита λ5=2,04 Вт/(м·К), S5=18,95 Вт/(м2·К), δ5=0,16 м;

         внутрішня штукатурка вапняно-піщана λ6=0,93 Вт/(м·К), S6=11,09 Вт/(м2·К), δ6=0,01 м;

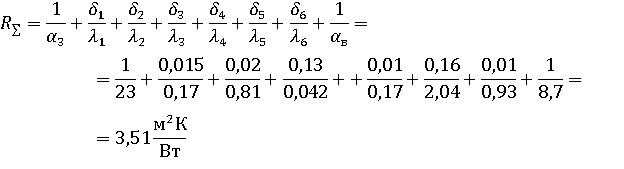
Виписується мінімально допустиме значення опору теплопередачі для безгорищного покриття за додатком Б для першої температурної зони для міста Харків: Rq min = 3,3 (м2 ·К)/Вт. Розрахунок проводиться за умовою:

пр Rq min.

Величина опору теплопередачі горищного перекриття, R∑, (м2·К)/Вт, визначається:

 

R∑ = 1/aв + R1+ R2+R3+R4+R5+ R6 +1/aз.

При умові Rqmin = 1/aв + R1+ R2+R3+R4+R5+ R6 +1/aз, з цього рівняння визначається товщина невідомого шару утеплювача в конструкції безгорищного покриття dХ =d 1, м:


За уніфікованими розмірами приймається товщина утеплювача з двох плит: 60 мм та 70 мм.

Тепер підраховується опір теплопередачі без горищного покриття:


Умова пр Rq min витримана =3,51> Rq min =3,3. Підраховується коефіцієнт теплопередачі горищного перекриття:

 

К=1: =1:3,51=0,28Вт/(м2К).

 

2.1.3 Теплотехнічний розрахунок перекриття над неопалюваним підвалом

Мінімально допустиме значення опору теплопередачі визначається за додатком Б для першої температурної зони міста Донецьк для п’ятиповерхової житлової будівлі Rqmin =2,5 (м2К)/Вт.

Вибираємо за додатком Ж тип перекриття за умовою пр Rq min. Конструкція перекриття буде наступною:

         дубовий паркет - 0,02м;

         бетонна стяжка - 0,04м;

         утеплювач - плита STROPROCK 𝛿=100мм;

         залізобетонна плита - 0,12м;

         штукатурка вапняно-піщана - 0,015м.

Опір теплопередачі конструкції перекриття над неопалювальним підвалом =2,64> Rq min =2,5.

Коефіціент теплопередачі також виписується за додатком Ж для підібраної конструкції: К=0,38(м2К)/Вт.

 

 

2.1.4 Теплотехнічний розрахунок вікон будівлі

Мінімально допустиме значення опору теплопередачі вікон визначаємо за додатком Б для першої температурної зони м. Харків: Rqmin =0,5(м2 ·К)/Вт.

Вибираємо за додатком К тип заповнення світлових перерізів, орієнтуючись за умовоюпр Rq min. Приймаються для проекту вікна з склопакетів двокамерних з СПО з алюмінієвою рамкою (“Bars Co LTD м.Київ) з опіром теплопередачі = 0,54 (м2 ·К)/Вт > Rq min = 0,5.

Коефіцієнт теплопередачі виписуємо також з додатка К для підібраного типу вікна К=1,85Вт/(м2К).

 

2.1.5 Теплотехнічний розрахунок вхідних дверей до будинку

Мінімально допустиме значення опору теплопередачі вхідних дверей до будинку визначаємо за додатком Б для першої температурної зони м. Харків: Rqmin = 0,44 (м2 ·К)/Вт.

Вибираємо за додатком К двері, орієнтуючись за умовою пр Rq min. Приймаються зовнішні дерев’яні подвійні двері з опіром теплопередачі = =0,58(м2 ·К)/Вт > Rq min = 0,44. Коефіцієнт теплопередачі також виписуємо з додатка К для підібраного типу дверей К=1,72 Вт/(м2К).

.2 Визначення втрат теплоти приміщеннями

Втрати теплоти опалюваними приміщеннями складаються з основних та додаткових. Втрати теплоти приміщеннями визначаються крізь окремі огороджувальні конструкції.

Тепловий потік крізь огородження Qа, Вт, визначаємо за формулою:


де A - площа огороджувальної конструкції, яка розглядається, м2;

К - коефіцієнт теплопередачі огороджувальної конструкції, (м2·К)/Вт;

- температура внутрішнього повітря приміщення, °С, що приймається за додатком Л;

- розрахункова температура зовнішнього повітря для розрахунку систем опалення (середня п’яти найхолодніших діб) за додатком А.4 для курсового проекту приймається = tх.п. = - 23 оС;

n - коефіцієнт врахування положення зовнішньої поверхні огороджувальної конструкції по відношенню до зовнішнього повітря (за додатком Д);

S b - додаткові втрати теплоти в частках від основних втрат.

Додаткові втрати на нагрівання повітря, що надходить через зовнішні двері сходових клітин при їхньому відчиненні, розраховуються за формулою (при висоті будівлі H, м):


де В - коефіцієнт, який враховує кількість тамбурів: один тамбур (дві двері) В=1,0;

р - кількість людей, що знаходяться в будівлі (для житлових будинків р = 0).

Додаткові втрати теплоти, Qв ,Вт, на нагрівання вентиляційного повітря розраховуються для кожного опалювального приміщення, яке має одне або більшу кількість вікон або балконних дверей в зовнішніх стінах, враховуючи потребу забезпечення підігрівання опалювальним приладом зовнішнього повітря в об’ємі однократного повітрообміну за годину за формулою:


де Ап - площа підлоги, м2;

h - висота приміщення від підлоги до стелі, м, але не більше 3,5м.

Порядок виконання розрахунку втрат теплоти наступний:

Пронумеруємо усі приміщення тризначними цифрами (на першому поверсі - 101, 102, 103 і т.д.; на другому поверсі - 201, 202, 203 і т.д.).

Визначаємо орієнтацію зовнішніх огороджень за сторонами світу.

Визначаємо лінійні розміри та площу огороджувальних конструкцій з точністю до 0,1 м, площу - до 0,1 м2.

Приймаємо розрахункові температури внутрішнього та зовнішнього повітря, та .

Знаходимо значення коефіцієнта n для кожного огородження.

Виписуємо значення К, знайдені при виконанні теплотехнічного розрахунку.

Розраховуючи втрати теплоти через стіни, площу вікон не віднімаємо від площі стіни, але при розрахунку втрат теплоти через вікна в графі 10 таблиці розрахунків записується різниця (Кпз -Кзс).

Результати розрахунку втрат теплоти зводимо до таблиці 1.

Система опалення будівлі повинна задовольняти санітарно-гігієнічним, економічним та естетичним вимогам. Вид системи опалення і теплоносія, тип опалювальних приладів приймають згідно до завдання на проектування.

При проектуванні системи водяного опалення з місцевими опалювальними приладами передбачається однотрубна система опалення з нижньою розводкою магістралей.

Для приєднання системи опалення будівлі до зовнішніх теплових мереж передбачений пристрій теплового вводу. Тепловий ввід у будівлю розміщується у підвалі будинку.

Опалювальні прилади розміщуємо здебільшого під вікнами та біля зовнішніх стін. У сходових клітинах опалювальні прилади розміщуємо біля вхідних дверей до сходової клітини.

Прокладку трубопроводів системи опалення передбачаємо відкритим. У кутових кімнатах стояки розміщуємо в кутах, що утворяться зовнішніми огороджувальними конструкціями.

При нижній розводці для виведення повітря з системи опалення встановлюємо крани в верхніх пробках радіаторів верхніх поверхів.

В опалювальних приладах передбачається установка арматури, що забезпечує монтажне та експлуатаційне регулювання.

Для регулювання подавання теплоносія та відключення окремих кілець, гілок і стояків системи опалення передбачаємо запірно-регулюючу арматуру (засувки, вентилі, шарові).

2.4 Гідравлічний розрахунок системи опалення

Гідравлічний розрахунок системи опалення виконується для визначення діаметрів трубопроводів при відомих теплових навантаженнях (витратах теплоносія) та наявному перепаді тисків теплоносія на вводі, Рр, який витрачається у стояках та магістральних трубопроводах.

У курсовій роботі гідравлічний розрахунок системи опалення виконуємо за методом питомих втрат тиску на 1пм розрахункового кільця при постійному перепаді температур води в стояках.

Для розрахунку необхідно накреслити аксонометричну схему системи опалення. На схемі визначаємо розрахункове циркуляційне кільце (найбільш протяжне і навантажене) та мале ( через найближчий стояк цього напрямку). Всі розрахункові напрямки розбиваються на ділянки.

Розрахунок виконуємо у розрахунковій таблиці 2. У таблиці проставляємо номери ділянок, теплові навантаження та довжини ділянок.

Витрати теплоносія (води) на ділянці, Gд, кг/год, за формулою:

де Qд - теплове навантаження розрахункової ділянки, Вт;

b1 і b2 - поправочні коефіцієнти на крок номенклатурного ряду опалювальних приладів прийнятого типу, на спосіб їх установки, що вибираються за додатками Т і Ф для радіаторів М-140 АО, що встановлюються біля вікон ( b1 = 1.04, b2 =1.02);

cв - теплоємкість води, cв=4,19 кДж/(кг×°С);

tг, - температура води на вході і виході системи опалення, ( tг = 95°С, =70°С ).

Знаходимо середню величину питомої втрати тиску на тертя для розрахункового циркуляційного кільця, Rср, Па/м, за формулою:

опалення теплотехнічний будівля вентиляція


де - наявний перепад тиску в системі опалення, Па; в курсовій ро­боті Рр не розраховуємо, а приймаємо за таблицею додатка А.1;

Sl - сума довжин ділянок розрахункового циркуляційного кільця, м;

В - коефіцієнт, що враховує частку втрат тиску на подолання опору тертя

від загального наявного перепаду тисків Рр , в курсовому проекті прийнята насосна система (В = 0, 65).

За додатком Н залежно від відомих величин р і Gд знаходимо дійсні питомі втрати тиску R, Па; діаметри трубопроводів , мм, і швидкість води u, м/с, намагаючись, щоб значення R було як можна ближче до Rср (більше або менше).

Діаметри труб вибираються так, щоб швидкість зростала без різких стрибків при збільшенні теплових навантажень та не перевищувала гранично допустимих величин за умовою безшумної роботи системи (не більше 1,5 м/с).

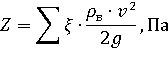
За додатком П визначаються суми коефіцієнтів місцевих опорів Sx на розрахунковій ділянці.

Розраховуються втрати тиску на тертя по довжині ділянки Rl, Па. Потім підраховуються втрати тиску в місцевих опорах за формулою:


Потім знаходяться повні втрати тиску на кожній ділянці (Rl +Z), Па.

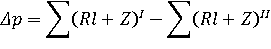
Складаючи їх по всьому розрахунковому циркуляційному кільцю, визначаємо повну втрату тиску в кільці S(Rl + Z) і порівнюємо її з наявним перепадом тиску на вводі, при цьому повинна дотримуватися умова

S(Rl + Z) £ 0,9 Рр .

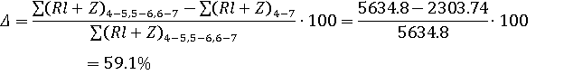
Визначаємо величину запасу або нев′язки тиску, що використовується в відсотках:


Ув’язка витрат тиску в вузлових точках виробляється без урахування витрат на спільних ділянках. Втрати тиску в циркуляційних кільцях однотрубних систем опалення, розрахованих з постійним перепадом температур теплоносія в стояках, не повинні розрізнюватись більш ніж на 15%.

З метою забезпечення гідравлічної стійкості системи необхідно прагнути, щоб втрати тиску в розрахунковому стояку становили якомога більшу частку від втрат тиску в розрахунковому циркуляційному кільці.

Величина запасу тиску для великого кільця складає:


Ув’язка втрат тиску виконується без урахування спільних ділянок в сумах втрат тиску для малого та великого кілець та складає:


Втрати тиску в циркуляційних кільцях однотрубних систем опалення розрізняються більш ніж на 15%, тому після останнього опалювального приладу в стояку на ділянці 4-7 потрібно встановити діафрагму, діаметр якої розраховується за формулою:


де: Gст - витрата води через стояк (кг/с),

𝛥p - тиск, який необхідно «погасити»

2.5 Розрахунок опалювальних приладів

Мета розрахунку - визначення типорозмірів опалювальних приладів необхідних для відшкодування втрат теплоти приміщення. У курсовій роботі розрахунку підлягають опалювальні прилади, що приєднані до розрахункового стояка (великого циркуляційного кільця).

Розрахунок опалювальних приладів стояка № 6 починаємо з першого за рухом теплоносія опалювального приладу.

Розраховуються витрати води через стояк:

Gст=(3,6∙7852∙1,04∙1,02) : [4,19∙(95-70)]=286,26 кг/год.

Приймається для розрахунку: ΣQn=7852 Вт, св = 4,19кДж/(кг·°С), tг =95°С, tо=70°С, чавунні радіатори М -140 АО (Qну =178 Вт), які встановлені відкрито, b1 =1,04, b2 =1,02, α=1(одностороннє приєднання зі триходовими кранами).

1)      tвх=95ºС;

tвих=95-(3,6∙864∙1,04∙1,02) : (4,19∙1∙286,26) =92,2 ºС;

Gпр= Gст = 286,26 кг/год;

Δtср=[(95+ 92,2):2]-20 =73,6ºС;

Ψ=1- 0,006∙(95- 92,2) = 0,83;

n= 0,25; p = 0,04; c = 0,97;

φк=(73,6:70)1,25∙(286,26:360)0,04∙1∙0,83∙0,97=0,99.

Температурний напір для трубопроводів до опалювального приладу:

 

tг-tв= tвх - = 95-20 =75ºС.

Тепловіддача та довжина трубопроводів до опалювального приладу: =81 Вт/м; =102 Вт/м; = 0,15м;=0,485м.

Температурний напір трубопроводів після опалювального приладу:

 

tг-tв=92,2 -20=72,2ºС.

Тепловіддача та довжина трубопроводів після опалювального приладу: =77,2 Вт/м; =96,2 Вт/м; =2,15; =0,485м.

Qпр= 864- 0,9∙274,2=617,2 Вт;

Qн.т.= 617,2: 0,85=726,1 Вт;

Nmin=726,1 : 178 ≈ 4,1 → 5 шт.;

2)      tвх=92,2ºС;

tвих=92,2-(3,6∙732∙1,04∙1,02) : (4,19∙1∙286,26) =89,9 ºС;

Gпр= Gст = 286,26 кг/год;

Δtср=[(92,2+ 89,9):2]-20 =71,1ºС;

Ψ=1- 0,006∙(92,2- 89,9) = 0,86;

n= 0,25; p = 0,04; c = 0,97;

φк=(71,1:70)1,25∙(286,26:360)0,04∙1∙0,86∙0,97=0,84.

Температурний напір для трубопроводів до опалювального приладу:

tг-tв= tвх - = 92,2-20 =72,2ºС.

Тепловіддача та довжина трубопроводів до опалювального приладу: =72,2 Вт/м; =96,2 Вт/м; = 0,15м;=0,485м.

Температурний напір трубопроводів після опалювального приладу:

 

tг-tв=89,9 -20=69,9ºС.

Тепловіддача та довжина трубопроводів після опалювального приладу: =73,8 Вт/м; =92,9 Вт/м; =2,15м; =0,485м.

Qтр=77,2∙0,15+96,2∙0,15+73,8∙2,15+92,9∙0,485=256,9Вт;

Qпр= 732-0,9∙265,9=496,3 Вт;

Qн.т.= 496,3: 0,84=590,8Вт;

Nmin=590,8:178≈3,3 → 4 шт.;

3)      tвх=89,9ºС;

tвих=89,9 - (3,6∙732∙1,04∙1,02): (4,19∙1∙286,26)=87,6 ºС;

Gпр= Gст = 286,26 кг/год;

Δtср=(89,9+87,6): 2 - 20=68,8ºС;

Ψ=1 - 0,006∙(89,9-87,6) = 0,86;

n= 0,25; p= 0,04; c = 0,97;

φк=(68,8:70)1,25∙(286,26:360)0,04∙1∙0,81∙0,97= 0,81.

Температурний напір трубопроводів до опалювального приладу:

 

tг- tв= 89,9 - 20 =69,9ºС.

Тепловіддача трубопроводами до опалювального приладу: =73,8 Вт/м; = 92,9 Вт/м;= 0,15м; = 0,485м.

Температурний напір трубопроводів після опалювального приладу:

tг-tв=87,6 - 20 = 67,6ºС.

Тепловіддача трубопроводами після опалювального приладу:=69,2 Вт/м; =88,6 Вт/м;=2,15м; =0,485м.

Qтр=73,8∙0,15+92,9∙0,485+69,2∙2,15+88,6∙0,485=247,9 Вт;

Qпр=732 - 0,9∙247,9 =508,9 Вт;

Qн.т.= 508,9: 0,81= 628,3 Вт;

Nmin= 628,3:178=1,09 шт ≈ 3,52 → 4 шт.;

4)      tвх=87,6ºС;

tвих=87,6 - (3,6∙732∙1,04∙1,02): (4,19∙1∙286,26)=85,3ºС;

Gпр= Gст = 286,26 кг/год;

Δtср=(87,6+85,3): 2 - 20 = 66,4ºС;

Ψ=1- 0,006∙(87,6-85,3) = 0,86;

n= 0,25; p= 0,04; c = 0,97;

φк=(66,4:70)1,25∙(286,26 :360)0,04∙1∙0,86∙0,97= 0,77.

Температурний напір трубопроводів до опалювального приладу:

 

tг- tв= 87,6- 20 =67,6ºС.


Тепловіддача трубопроводами до опалювального приладу: =69,2 Вт/м; = 88,6 Вт/м;= 0,15м; = 0,485м.

Температурний напір трубопроводів після опалювального приладу:

 

tг-tв=85,3 - 20 = 65,3ºС.

Тепловіддача трубопроводами після опалювального приладу:=66,3 Вт/м; =85,3 Вт/м;=2,15м; =0,485м.

Qтр=69,2∙0,15+88,6∙0,485+66,3∙2,15+85,3∙0,485=249,2 Вт;

Qпр=732- 0,9∙249,2 =507,7 Вт;

Qн.т.= 507,7: 0,77=659,4 Вт;

Nmin= 659,4:178 ≈ 3,7 →4 шт.;

5)      tвх=85,3ºС;

tвих=85,3-(3,6∙866∙1,04∙1,02): (4,19∙1∙286,26) =82,5ºС;

Gпр= Gст = 286,26 кг/год;

Δtср=(85,3+82,5): 2- 20 = 63,9ºС;

Ψ =1- 0,006∙(85,3- 82,5)= 0,83;

n= 0,25; p = 0,04; c = 0,97;

φк=(63,9:70)1,25∙(286,26:360)0,04∙1∙0,83∙0,97= 0,72.

Температурний напір трубопроводів до опалювального приладу:

 

tг-tв= 85,3-20=65,3ºС.

Тепловіддача трубопроводами до опалювального приладу: =66,3Вт/м; = 85,3 Вт/м;= 0,15м; = 0,485м.

Температурний напір трубопроводів після опалювального приладу:

tг-tв= 82,5- 20 = 62,5ºС.

Тепловіддача трубопроводами після опалювального приладу:=63,5 Вт/м; = 80,5 Вт/м; =0м; =0,65м.

Qтр= 66,3∙0,15 + 85,3∙0,485 + 63,5∙0 + 80,5∙0,65 =114,8 Вт;

Qпр=565- 0,9∙114,8=772,8 Вт;

Qн.т.= 772,8:0,72 = 1073,3 Вт;

Nmin= 1073,3:178≈6,03 →7 шт.;

6)      tвх=82,5ºС;

tвих=82,5-(3,6∙866∙1,04∙1,02): (4,19∙1∙286,26) =79,7 ºС;

Gпр= Gст = 286,26 кг/год;

Δtср=(82,5+79,7): 2- 20 = 61,1ºС;

Ψ =1;

n= 0,25; p = 0,04; c = 0,97;

φк=(61,1:70)1,25∙(286,26:360)0,04∙1∙1∙0,97= 0,84.

Температурний напір трубопроводів до опалювального приладу:

 

tг-tв=82,5-20=62,5ºС.

Тепловіддача трубопроводами до опалювального приладу: =63,5 Вт/м; = 80,5 Вт/м;= 0м; = 0,65м.

Температурний напір трубопроводів після опалювального приладу:

tг-tв= 79,7- 20 = 59,7ºС.

Тепловіддача трубопроводами після опалювального приладу:=58,7 Вт/м; = 76,1 Вт/м; = 0,15м; = 0,485м.

Qтр= 63,5∙0+ 80,5∙0,65 + 58,7∙0,15 + 76,1∙0,485 =98 Вт;

Qпр=866 - 0,9∙98=777,8 Вт;

Qн.т.= 777,8: 0,84 = 925,9 Вт;

Nmin= 925,9:178≈5,2→6 шт.;

7)      tвх=79,7;

tвих=79,7-(3,6∙732∙1,04∙1,02): (4,19∙1∙286,26) = 77,4ºС;

Gпр= Gст= 286,26 кг/год ;

Δtср=(79,7+77,4):2-20 = 58,6ºС;

Ψ=1;

n= 0,25; p= 0,04; c= 0,97;

φк=(58,6:70)1,25∙(286,26:360)0,04∙1∙1∙0,97= 0,79.

Температурний напір трубопроводів до опалювального приладу:

 

tг-tв=79,7-20=59,7ºС.

Тепловіддача трубопроводами до опалювального приладу: =58,7 Вт/м; =76,1 Вт/м;=2,15м; =0,485м.

Температурний напір трубопроводів після опалювального приладу:

 

tг-tв=77,4 - 20=57,44ºС.

Тепловіддача трубопроводами після опалювального приладу:=81 Вт/м; =0м; =1,7м.

Qтр=58,7∙2,15+76,1∙0,485+56,4∙0,15+71,8∙0,485=206,4Вт;

Qпр= 732- 0,9∙206,4 = 641,4 Вт;

Qн.т.= 641,4: 0,79 = 811,9 Вт;

Nmin= 811,3:178 ≈ 4,6 → 5 шт.;

8)      tвх=77,4;

tвих=77,4-(3,6∙732∙1,04∙1,02): (4,19∙1∙286,26) = 75,1ºС;

Gпр= Gст= 286,26 кг/год ;

Δtср=(77,4+75,1):2-20 = 56,2ºС;

Ψ=1;

n= 0,25; p= 0,04; c= 0,97;

φк=(56,2:70)1,25∙(286,26:360)0,04∙1∙1∙0,97= 0,75.

Температурний напір трубопроводів до опалювального приладу:

 

tг-tв=77,4-20=57,4ºС.

Тепловіддача трубопроводами до опалювального приладу: =56,4 Вт/м; =71,8 Вт/м;=2,15м; =0,485м.

Температурний напір трубопроводів після опалювального приладу:

 

tг-tв=75,1-20=55,1ºС.

Тепловіддача трубопроводами після опалювального приладу:=53,1 Вт/м; =68,2 Вт/м; =0,15м; =0,485м.

Qтр=56,4∙2,15+71,8∙0,485+53,1∙0,15+68,2∙0,485=191,8 Вт;

Qпр= 565- 0,9∙191,8 = 559,4 Вт;

Qн.т.= 559,4: 0,75 = 745,9 Вт;

Nmin= 745,9:178 ≈ 4, 2 → 5 шт.;

9)      tвх= 75,1ºС;

tвих=75,1-(3,6∙732∙1,04∙1,02): (4,19∙1∙286,26) =72,8 ºС;

Gпр= Gст = 286,26 кг/год;

Δtср=(75,1+72,8):2- 20 = 53,9ºС;

Ψ =1;

n = 0,25; p = 0,04; c = 0,97;

φк=(65,3:70)1,25∙(247:360)0,04∙1∙1∙0,97= 0,71.

Температурний напір трубопроводів до опалювального приладу:

tг-tв= 75,1-20 = 55,1ºС.

Тепловіддача трубопроводами до опалювального приладу: =53,1 Вт/м; =68,2 Вт/м; =2,15м =0,485м.

Температурний напір трубопроводів після опалювального приладу:

 

tг-tв=72,8 -20 = 52,8ºС.


Тепловіддача трубопроводами після опалювального приладу:=50,8 Вт/м; =64,8 Вт/м; =0,15м;=0,485м.

Qтр= 53,1∙2,15 + 68,2∙0,485 + 50,8∙0,15 + 64,8∙0,485 = 186,2 Вт;

Qпр= 565 - 0,9∙186,2 = 649,4 Вт;

Qн.т.= 649,4: 0,71 = 914,6 Вт;

Nmin= 914,6:178 ≈ 5,1→ 6 шт.;

10)    tвх= 72,8ºС;

tвих=72,8-(3,6∙864∙1,04∙1,02): (4,19∙1∙286,26) =70 ºС;

Gпр= Gст = 286,26 кг/год;

Δtср=(72,8+70):2- 20 = 51,4ºС;

Ψ =1;

n = 0,25; p = 0,04; c = 0,97;

φк=(51,4:70)1,25∙(286,26:360)0,04∙1∙1∙0,97= 0,67.

Температурний напір трубопроводів до опалювального приладу:

 

tг-tв= 72,8-20 = 52,8ºС.

Тепловіддача трубопроводами до опалювального приладу: =50,8 Вт/м; =64,8 Вт/м; =2,15м;=0,485м.

Температурний напір трубопроводів після опалювального приладу:

 

tг-tв=70 -20 = 50.

Тепловіддача трубопроводами після опалювального приладу:=47 Вт/м; =60 Вт/м; =0,15м;=0,485м.

Qтр= 50,8∙2,15 + 64,8∙0,485 + 47∙0,15 + 60∙0,485= 177 Вт;

Qпр= 864 - 0,9∙177 = 704,7 Вт;

Qн.т.= 704,7: 0,67 = 1051,8 Вт;

Nmin= 1051,8:178 ≈ 5,9 → 6шт.

3. Проектування вентиляції


Житлові будівлі обладнуються витяжною природною канальною системою вентиляції з улаштуванням каналів у внутрішніх стінах. Витяжна вентиляція улаштовується в кожній квартирі з кухонь, ванних кімнат, убиралень або суміщених санвузлів. Припливне повітря надходить неорганізовано через кватирки, фрамуги, двері, крізь пори і нещільності огороджувальних конструкцій.

У курсовій роботі визначається потрібний повітрообмін (об’єм витяжного повітря) і кількість витяжних каналів для квартир одного типу (розташованих по одній вертикалі будівлі).

.1 Визначення повітрообміну у будівлі

Кількість повітря, що усувається з трикімнатної квартири (житлові кімнати 101, 102 та 117) Lкв, знаходять виходячи з норми вилучення повітря 3 м3/год на 1 м2 площі підлоги житлових кімнат:

кв = 3×Fп =3·(21,1+11,18+18,95)=153,69 м3/год,

де Fп - сумарна площа житлових кімнат квартири, м2.

Отриманий повітрообмін повинен бути не меншим за потрібний для вентиляції індивідуального туалету Lт. та ванни квартири Lв. і кухні , який визначають за додатком Л:

 

Lкв = Lт + + Lк =50+ 25 +90=165 м3/год .

Так як обмін повітря, який ми отримали в результаті розрахунку за площею квартири менший, ніж той, що вимагається для вентиляції індивідуального туалету та ванни і кухні приймаємо розрахункове значення повітрообміну квартири 165 м3/год.

Повітря таусувають крізь витяжний канал у індивідуальному туалеті. Залишок витяжного повітря видаляють через канал кухні:

 

Lв=Lкв - (Lт.+ Lв )=165-(50+25)=90 м3/год.

3.2 Визначення числа вентиляційних каналів у будівлі

Після розрахунку повітрообміну визначаємо переріз витяжних каналів, їхню кількість і розміщення на планах. Вентиляційні канали розміщуємо у внутрішніх стінах. На виході витяжного каналу встановлюються жалюзійні решітки.

Виходячи з отриманого повітрообміну та рекомендованих швидкостей руху повітря у витяжних каналах квартир ( 0,6 м/с - для 5-го поверху, 0,7 м/с - для 4-го поверху, 0,8 м/с - для 3-го поверху, 0,9 м/с - для 2-го поверху, 1,0 м/с - для 1-го поверху) розраховуються площі витяжних каналів для кухонь та санвузлів на кожному поверсі :

кухня на 5-му поверсі -

кухня на 4-му поверсі - ;

кухня на 3-му поверсі -

кухня на 2-му поверсі -

кухня на 1-му поверсі -

роздільний санвузол на 5-му поверсі -

роздільний санвузол на 4-му поверсі -

роздільний санвузол на 3-му поверсі -

роздільний санвузол на 2-му поверсі -

роздільний санвузол на 1-му поверсі - .

Приймаємо розміри каналів для кухні 140х270 ( f = 0,038 м2 ).

Число каналів на кожному поверсі n, шт., обчислюється за формулою:

n = Fв : f .

Підраховується кількість каналів для кухонь:

n = 0,042: 0,038 = 1,1 ≈ 2 для 5-го поверху;

n = 0,036: 0,038 = 0,94 ≈ 1 для 4-го поверху;

n = 0,031: 0,038 = 0,82 ≈ 1 для 3-го поверху;

n = 0,028: 0,038 = 0,73 ≈ 1 для 2-го поверху;

n = 0,025: 0,03 8= 0,65 ≈ 1 для 1-го поверху.

Для роздільних санвузлів приймаємо витяжні канали розмірами 140х270 ( f = 0,038м2 ).

Підраховується кількість каналів для суміщених санвузлів:

n = 0,035: 0,038 = 0,92 ≈ 1 для 5-го поверху;

n = 0,030: 0,038 = 0,79 ≈ 1 для 4-го поверху;

n = 0,026: 0,038 = 0,72 ≈ 1 для 3-го поверху;

n = 0,023: 0,038 = 0,6 ≈ 1 для 2-го поверху;


Список літератури


1. ГОСТ 21.602-79. Отопление, вентиляция и кондиционирование воздуха. Рабочие чертежи. Введено 01.01.81. - М.: 1982.

. Единая система конструкторской документации.

ГОСТ 2.301-68. Форматы.

ГОСТ 2.302-68. Масштабы.

ГОСТ 2.303-68. Линии.

ГОСТ 2.304-68. Шрифты чертежные.

ГОСТ 2.305-68. Изображения - виды, разрезы, сечения.

ГОСТ 2.306-68. Обозначения графических материалов и правила нанесения их на чертежах.

ГОСТ 2.316-68. Правила нанесения на чертежах надписей, технических требований и таблиц.

ГОСТ 2.317-69. Аксонометрические проекции.

. ДСТУ Б А.2.4-8-95 ( ГОСТ 21.205-93 ). Умовні позначення елементів санітарно-технічних систем.

. СНиП 2.01.01-82. Строительная климатология и геофизика. - М.: Стройиздат, 1983.

. ДБН В.2.6-31: 2006.Теплова ізоляція будівель. - К.: Мінбуд України, 2006.

. СНиП 2.04.05-91*У. Отопление, вентиляция и кондиционирование воздуха.- К., 1996.

. Внутренние санитарно-технические устройства: Справочник проектировщика. Ч.1. Отопление /В.Н.Богословский, Б.А. Крупнов, А.Н. Сканави и др.; Под ред. Н.Г.Староверова и Ю.Н.Шиллера. - 4-е изд., перераб. и доп. - М.: Стройиздат, 1990. - 344 с.

. Тихомиров К.В., Сергеенко Э.С. Теплотехника, теплогазоснабжение и вентиляция: Учеб. для вузов. - 4-е изд., перераб. и доп. - М.: Стройиздат, 1991. - 480 с.

. Щекин Р.В. и др. Справочник по теплоснабжению и вентиляции: В 2-х кн. - Кн.1. Отопление и теплоснабжение. К.: Будівельник, 1976.

. ДБН В.2.2-15-2005. Будинки і споруди. Житлові будинки. Основні положення. - К., 2005.

. Харлампіді А.Д. Центральні системи водяного опалення житлових будинків (Проектування і експлуатація) : Навчальний посібник. - Київ: ІСДО, 1993.

Похожие работы на - Опалення та вентиляція житлової будівлі

 

Не нашли материал для своей работы?
Поможем написать уникальную работу
Без плагиата!
Без нейросетей!