Моделирование рабочих процессов дорожных машин
Министерство
по образованию и науки РФ
Иркутский
государственный технический университет
МОДЕЛИРОВАНИЕ
РАБОЧИХ ПРОЦЕССОВ
Лабораторный
практикум
(электронный
вариант)
2012
Лабораторная работа №1
Математическая модель взаимодействия скребкового
рабочего органа цепного траншейного экскаватора с грунтом
Цель работы - исследовать процесс взаимодействия
скребкового рабочего органа цепного траншейного экскаватора с грунтом.
Задачи:
. Используя теоретические предпосылки, составить
математическую модель взаимодействия скребкового рабочего органа траншейного
экскаватора с грунтом.
. Построить графики зависимости усилия копания и
его составляющих от скорости цепи, скорости подачи и угла установки рабочего
органа.
. Оценить влияние отдельных параметров процесса
на усилие копания и его составляющие.
Теоретические предпосылки.
Цепные траншейные экскаваторы представляют собой
высокопроизводительные землеройные машины, которые по сравнению с
универсальными одноковшовыми экскаваторами имеют более высокую
производительность и качество выполняемых работ, возможность автоматизации
рабочего процесса, менее опасны в природоохранном отношении.
Изучением взаимодействия рабочих органов цепных
траншейных экскаваторов с грунтом занимались многие исследователи, среди
которых наиболее известны имена Руднева В.К, Гарбузова З.Е., Родина И.И.,
Джангуляна Э.А. и др.
Практически все авторы сходятся в мнении о том,
что процесс взаимодействия скребкового рабочего органа с грунтом складывается
из процессов резания и заполнения межскребкового пространства, транспортировки
срезанного грунта на дневную поверхность, формирования грунтового отвала.
Расчетная схема взаимодействия скребкового
рабочего органа с грунтом, учитывающая указанные положения, представлена на
рис. 1.
Представленная расчетная схема может быть
описана следующими уравнениями:
где: А - длина рабочего органа, м;
а - расстояние от точки крепления рабочего
органа до поверхности грунта, м;
β - угол наклона
траектории движения скребков к горизонту, рад;
Vl - скорость цепи,
м/с;- скорость подачи, м/с;
Н - глубина копания, м;
В - ширина траншеи, м;расстояние между
скребками, м;
ρ - плотность грунта,
кг/м3;
γ - угол между
поверхностью забоя и направлением силы резания, рад;
μ2 - коэффициент трения
грунта о грунт;
μ1 - коэффициент трения
скребка о грунт;- длина забоя, м;
а - угол наклона рабочего органа к вертикали,
рад;- толщина стружки, м;
К - коэффициент разрыхления;коэффициент
сопротивления грунта транспортированию;- ускорение свободного падения, м\с2;-
коэффициент удельного сопротивления резанию, Па;
е - длина транспортирования, м;
Р01 - касательная составляющая силы резания, Н;
Р02 - нормальная составляющая силы резания, Н;
Р0З - сила сопротивления резанию грунта, Н;
Р0 - собственное сопротивление рабочего органа,
Н;
Р1 - проекция силы резания грунта и заполнения
межскребкового пространства на траекторию движения цепи рабочего органа, Н;
Р2- сила сопротивления транспортированию
срезанного грунта на дневную поверхность, Н;
Р3 - сила трения рабочего органа о забой, Н;
Р4 - сила сопротивления формированию грунтового
отвала, Н;
Р - общее усилие копания, Н.
При составлении математической модели были
приняты следующие допущения:
собственное сопротивление рабочего органа не
зависит от скорости движения цепи;
рассматривается установившийся режим работы
агрегата.
При заданной ширине отрываемой траншеи входными
параметрами модели являются: скорость цепи (V1),
скорость подачи (V2) и угол
установки рабочего органа (α). Выходом
служит усилие копания (Р) и его отдельные составляющие.
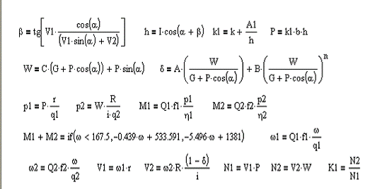
Порядок выполнения работы.
. Используя техническую характеристику
прототипа, подготовить исходные данные для моделирования.
. Построить график зависимости усилия копания и
его составляющих от скорости цепи.
.1. На заставке компьютера установить курсор на
значке «Mahtcad-2001», щелкнув мышью, открыть программу.
.2. При помощи клавиатуры на рабочем поле
программы нанести исходные данные, математическую модель взаимодействия
скребкового рабочего органа с грунтом и пределы изменения скорости цепи (см.
рис. 2). В пределах изменения скорости цепи первая цифра означает начало
интервала изменения, вторая - шаг, третья - конец интервала. Между второй и
третьей цифрой - знак «троеточие» (на латинской транскрипции клавиатуры - ;).
.3. При помощи палетки «Палитра графиков»
вывести на экран «Декартов график» с двумя маркерами.
.4. На месте маркера по оси абсцисс записать
независимую переменную «V1»,
по оси ординат - функции Р(V1),
Р0(V1), Р1(V1),
Р2(V1), Р3(V1),
Р4(V1) через запятую.
.5. Вывести курсор из поля графика и щелкнуть
мышью. Программа ведет обработку и строит графики.
Аналогично построить другие графические
зависимости, предварительно заменив в модели независимую переменную.
. Выполнить анализ полученных зависимостей.
Контрольные вопросы
1. Какие зависимости изображены на 3-х
графиках? Назовите каждую из них.
2. Почему с увеличением скорости цепи (V1)
все составляющие (кроме Р0) и суммарное усилие копания уменьшаются?
. От чего зависит собственное
сопротивление рабочего органа (Р0)?
. Почему с увеличением скорости подачи (V2)
все составляющие (кроме Р0) и суммарное усилие копания увеличиваются?
. Почему с увеличением угла установки
рабочего органа (α) все
составляющие (кроме Р0) и суммарное усилие копания уменьшаются нелинейно?
Лабораторная работа №2
Цель работы - изучить основные параметры и
характеристики гидрообъемной трансмиссии.
Задачи:
. Используя теоретические предпосылки, составить
математическую модель гидрообъемной трансмиссии.
. Построить графики:
зависимости давления в напорной магистрали (р)
от рабочего объема гидромотора (q);
крутящего момента гидронасоса (M2)
от параметра регулирования (f);
угловой скорости гидромотора (w2)
от рабочего объема гидромотора (q).
. Оценить влияние отдельных параметров элементов
на выходные характеристики трансмиссии.
Теоретические предпосылки
На строительно-дорожных машинах применяются
различные типы трансмиссий: механические, гидравлические, электрические.
Гидравлические, в частности, гидрообъемные
трансмиссии по сравнению с другими типами имеют следующие преимущества:
бесступенчатое регулирование скорости в широких
пределах и ее реверсирование;
возможность получения больших передаточных
отношений при сравнительно небольших весе и габаритах оборудования;
независимая компоновка агрегатов трансмиссии;
надежное предохранение системы от перегрузок;
возможность автоматизации рабочего процесса.
Основными агрегатами гидрообъемной трансмиссии
являются насос, двигатель, регулирующая и предохранительная аппаратура. В виду
того, что у траншейных экскаваторов преобладающим является установившийся режим
работы, в расчетной схеме регулирующая и предохранительная аппаратура не
показана.
На рис. 1 представлена расчетная схема
гидрообъемной трансмиссии.
Представленная расчетная схема может быть
описана следующими уравнениями:
где р - давление в напорной
магистрали, Па;
М1 - крутящий момент на гидромоторе,
Нм;- рабочий объем гидромотора, м3\рад;
М2 - крутящий момент на гидронасосе,
Нм;- рабочий объем гидронасоса, м3\рад;- параметр регулирования;
w2 - угловая
скорость гидромотора, p/c;
w1- угловая
скорость гидронасоса, p/c.
Порядок выполнения работы
. По наибольшему усилию копания
(лабораторная работа №1) при скорости цепи V1=0,5 м/с
определить максимальный крутящий момент на валу гидромотора, предварительно
задавшись диаметром приводной звездочки рабочего органа.
. По максимальному крутящему моменту
подобрать высокомоментный гидромотор типа МР. Зная рабочий объем (q),
номинальные угловую скорость (w2) и давление (р), определить мощность
гидромотора:
. По мощности гидромотора выбрать
гидронасос типа 207, указав его рабочий объем (Q), номинальные угловую скорость
(wl) и давление (р).
. Подготовить математическую модель
гидрообъемной трансмиссии.
. Построить графики зависимости:
давления в напорной магистрали (р) от рабочего
объема гидромотора (q);
крутящего момента гидронасоса (М2) от параметра
регулирования (f);
угловой скорости гидромотора (w2)
от рабочего объема гидромотора (q).
. Оценить влияние отдельных параметров элементов
на выходные характеристики гидрообъемной трансмиссии.
Контрольные вопросы
1. Какие зависимости представлены на
графиках? Назовите их.
2. Что называется рабочим объемом
гидромотора (гидронасоса)? В каких единицах измеряется?
. Почему при постоянной нагрузке с
увеличением рабочего объема гидромотора давление в напорной магистрали
уменьшается?
. При каком давлении будет работать
выбранный гидромотор?
. Что такое «параметр регулирования f»?
Каким образом происходит регулирование подачи в аксиально-поршневых машинах?
. Почему между параметром регулирования и
крутящим моментом на гидронасосе существует прямопропорциональная зависимость?
. Почему при постоянной нагрузке с
увеличением рабочего объема гидромотора его угловая скорость уменьшается по
гиперболической зависимости?
. С какой угловой скоростью будет
вращаться выбранный гидромотор?
Лабораторная работа №3
Математическая модель двигателя внутреннего сгорания
Цель работы - изучить основные характеристики
двигателя внутреннего сгорания.
Задачи:
. Используя теоретические предпосылки, составить
математическую модель дизельного двигателя.
. Построить график зависимости крутящего момента
от угловой скорости коленчатого вала.
Теоретические предпосылки
В настоящее время на строительных и дорожных
машинах широкое распространение получили дизельные двигатели, отличающиеся
высокой экономичностью и приспособленностью к длительной работе в режиме
номинальной мощности.
Основной характеристикой дизеля является
зависимость крутящего момента от угловой скорости коленчатого вала (внешняя
скоростная характеристика).
Приведенная зависимость существенно нелинейна,
однако, с достаточной
степенью точности может быть описана
кусочно-линейной функцией:
где: M(w) - крутящий момент на
коленчатом валу, Нм;
w - текущее
значение угловой скорости коленчатого вала, р/с;
а1 и а2 - угловые коэффициенты линий
1 и 2 соответственно;
b1 и b2 -
свободные члены.
Порядок выполнения работы
. По прототипу определить мощность
двигателя базовой машины и выбрать наиболее близкий отечественный (табл. 1).
. По табл. 1 определить значения
номинальной угловой скорости коленчатого вала (w2) и
номинального крутящего момента (М2) внешней скоростной характеристики
выбранного двигателя.
3. Построить внешнюю скоростную
характеристику, учитывая, что:
р/с
Продолжение табл. 1
4. Аппроксимировать внешнюю скоростную
характеристику двумя прямыми линиями 1 и 2, составив уравнения:
для линии 1
для линии 2
5. Решая системы двух уравнений с двумя
неизвестными, найти численные значения коэффициентов а1 и b1,
а2 и b2.
6. Построить зависимость крутящего момента
от угловой скорости коленчатого вала в среде «Mahtcad-2001» (рис. 2).
Контрольные вопросы
1. Покажите характерные участки внешней
скоростной характеристики и назовите их.
2. Какой точке внешней скоростной
характеристики соответствуют номинальное значение угловой скорости коленчатого
вала?
. Найдите мощность, которую развивает ДВС
в точке «перелома» характеристики?
. Докажите, что это точка максимальной
мощности двигателя.
Лабораторная работа №4
траншейный экскаватор трансмиссия
двигатель
Математическая модель движителя СДМ
Цель работы - изучить процесс взаимодействия
движителей СДМ с опорной поверхностью.
Задачи:
1. Используя теоретические предпосылки,
составить математическую модель взаимодействия движителей СДМ с опорной
поверхностью.
2. Построить графики зависимости коэффициента
буксования от силы для пневиоколесного и гусеничного движителей.
Теоретические предпосылки.
Строительные и дорожные машины, как правило,
снабжаются движителями 2-х типов: гусеничным или пневмоколесным.
Гусеничные движители обладают сравнительно
небольшим удельным давлением на грунт и высоким коэффициентом сцепления.
Поэтому машины на гусеничном ходу обладают хорошими тягово-сцепными свойствами
и высокой проходимостью. Гусеничным движителем снабжаются тяжелые
специализированные машины, предназначенные для работы в условиях бездорожья.
Машины на пневмоходу, по сравнению с
гусеничными, гораздо легче и могут перемещаться по дорогам с твердым покрытием.
Поэтому пневмоколесный движитель применяют на мобильных универсальных машинах,
предназначенных для выполнения небольшого объема рассредоточенных работ.
Для оценки тягово-сцепных свойств движителя
используется кривая буксования, которая показывает зависимость буксования
движителя от силы тяги:
%
где: А, В, n - эмпирические
коэффициенты, зависящие от типа движителя и свойств опорной поверхности;
Т - текущее значение силы тяги, Н;-
сцепной вес машины, Н.
Значения эмпирических коэффициентов
приведены в табл. 1.
Таблица 1
Значения эмпирических коэффициентов
|
Тип
движителя
|
А
|
В
|
n
|
|
пневмоколесный
|
0,12
|
7,76
|
5
|
|
гусеничный
|
0,05
|
1,76
|
12
|
Порядок выполнения работы
. По прототипу определить сцепной вес траншейного
экскаватора.
. Используя данные табл. 1, построить
зависимость коэффициента буксования от силы тяги для 2-х типов движителей
(рис.1).
. Проанализировать полученный график.
Контрольные вопросы
1. Какие зависимости представлены на
графике? Назовите их.
2. Используя функцию «трассировка»,
определите значение максимальной силы тяги по сцеплению для обоих типов
движителя и сравните их.
. Определите номинальную силу тяги для
обоих типов движителя.
. Почему гусеничный движитель имеет
большую силу тяги?
. Что называется коэффициентом сцепления
движителя с грунтом?
. Определите значения коэффициента
сцепления для гусеничного и пневмоколесного движителей.
Лабораторная работа №5
Математическая модель цепного траншейного
экскаватора со скребковым рабочим органом
Цель работы:
используя результаты предыдущих лабораторных
работ, составить математическую модель цепного траншейного экскаватора;
получить зависимость производительности
экскаватора от коэффициента распределения мощности в различных грунтовых условиях;
определить диапазон изменения оптимального
коэффициента распределения мощности в зависимости от прочностных свойств
разрабатываемых грунтов.
Теоретические предпосылки
Цепные траншейные экскаваторы относятся к
землеройным машинами с активным рабочим органом. Эго значит, что часть мощности
двигателя базовой машины передается рабочему органу, минуя движитель.
Разветвление силового потока приводит к проблеме выбора рационального
нагружения траншейного экскаватора. Мощность на рабочем органе определяет возможность
разработки более прочных грунтов или работу экскаватора с максимальной толщиной
стружки. Мощность на движителе характеризует силу тяги и поступательную
скорость, а, следовательно, производительность экскаватора. Поэтому в
зависимости от прочностных свойств грунта существует оптимальное распределение
мощности двигателя базовой машины между приводом рабочего органа и движителем,
при котором производительность экскаватора будет максимальной.
На рис. 1 приведена расчетная схема цепного
траншейного экскаватора.
Представленная расчетная схема может быть
описана следующей системой уравнений:

Vl и V2
- скорость цепи и скорость подачи соответственно, м/с;- толщина стружки, м;
а - угол наклона рабочего органа к вертикали,
рад;и N2 - мощность привода рабочего органа и движителя соответственно, Вт;
К - коэффициент распределения мощности двигателя
базовой машины между приводом рабочего органа и движителем.
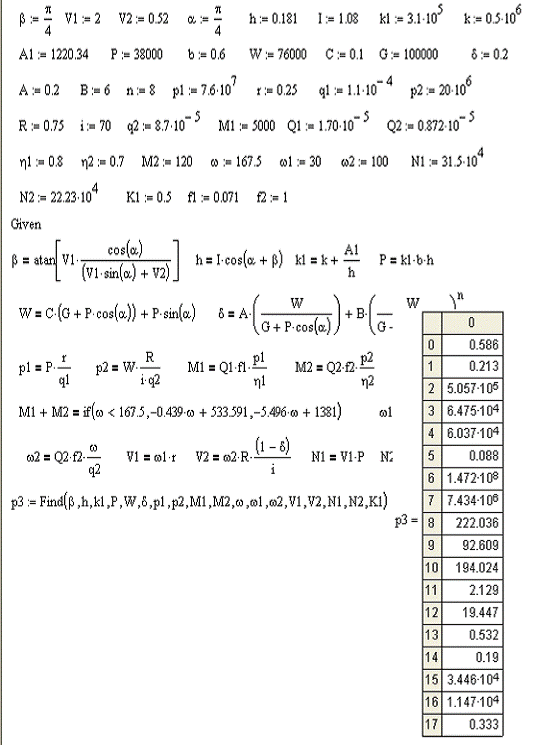
Порядок выполнения работы
.Составить математическую модель цепного
траншейного экскаватора, включающую в себя модели взаимодействия скребкового
рабочего органа с грунтом, движителя, гидрообъемной трансмиссии и двигателя
внутреннего сгорания (рис. 2).
.1. Всем постоянным присвоить исходные значения,
а переменным ожидаемые средние значения.
.2. Ниже исходных данных записать слово «given»,
после которого - непосредственно математическую модель (систему уравнений),
воспользовавшись вместо знака «присвоить» знаком «генеральное равняется».
.3. Ниже модели записать любую переменную из
модели, знак «присвоить» и слово «find», после которого в скобках перечислить
все переменные, входящие в систему уравнений.
.4. Ниже или правее строчки со словом «find»
записать эту же переменную и знак «равняется». Если модель составлена верно,
появится таблица с результатами вычислений переменных, указанных в скобках
после слова «find».
. В исходных данных модели присвоить fl=l, меняя
f2 от 0 до 1 и контролируя W,
фиксировать значения К и V2.
. Используя полученные значения, построить
зависимость производительности траншейного экскаватора от коэффициента
распределения мощности для первой категории грунта.
. Изменив грунтовые условия (коэффициент
сопротивления грунта копанию), повторить операцию и построить указанный график
для второй и третьей категории грунта.
. Построить график зависимости максимальной
производительности экскаватора от категории грунта.
. Выполнить анализ полученных зависимостей.
Контрольные вопросы
1. Чем определяется рациональный режим
работы экскаватора?
2. Как изменяется коэффициент распределения
мощности с увеличением прочности грунта и почему?
. Как изменяется производительность
экскаватора с увеличением прочности грунта?