Оптимальне планування основних засобів
Практичне
заняття
Оптимальне планування
основних засобів
Задача 1
Є такі показники діяльності підприємства за 6 періодів:
кількість виробленої та реалізованої продукції (К) (тис. од.), ціна одиниці
продукції (Ці) (тис. гр. од.), витрати (Ві) виробництва
за повною собівартістю (млн. гр. од.).
Необхідно знайти:
· кореляційну залежність ціни (Ц), витрат (В) від
кількості реалізованої продукції (К);
;
;
· Оцінити щільність зв‘язку між відповідними ознаками та
обчислити коефіцієнт детермінації, тобто перевірити адекватність моделі;
· Здійснити аналіз на оптимальність
обсягу реалізації продукції за критерієм максимізації прибутку;
· Зробити висновки.
Таблиця
1
Дані задачі 1
|
Період
|
1
|
2
|
3
|
4
|
5
|
6
|
|
К
|
68
|
31
|
26
|
25
|
14
|
12
|
|
Ц
|
6
|
17
|
19
|
19
|
24
|
25
|
|
В
|
401
|
420
|
520
|
484
|
280
|
255
|
Розв‘язок:
1. Знайдемо тип залежності функції
=Ц(К):
Виходячи з графіка рис.1, залежність
=Ц(К)
- є лінійною. Вигляд лінійної однофакторної моделі такий:
=
b0
+ b1×К
Рис. 1. Апроксимація даних Ц(К) лінійною залежністю
Розрахуємо
значення параметрів лінійної однофакторної моделі за такими залежностями:
;
Для пошуку необхідних сум складемо відповідну кореляційну таблицю:
|
№
|
     
|
|
|
|
|
|
|
|
1
|
68
|
6
|
4626
|
408
|
5,465
|
165,587
|
152,111
|
|
2
|
31
|
17
|
961
|
527
|
17,779
|
0,308
|
1,778
|
|
3
|
26
|
19
|
676
|
19,443
|
1,231
|
0,444
|
|
4
|
25
|
19
|
625
|
475
|
19,775
|
2,08
|
0,444
|
|
5
|
14
|
24
|
196
|
336
|
23,436
|
26,039
|
32,111
|
|
6
|
12
|
25
|
144
|
300
|
24,102
|
33,275
|
44,444
|
|
17611072262540110228,519231,333
|
|
|
|
|
|
|
|
|
29,3318,33
|
|
|
|
|
|
|
|
Тоді:
Таким чином, оцінене рівняння для залежності
=Ц(К) має вигляд:
. Розрахуємо коефіцієнт кореляції та детермінації для цієї залежності:
Виходячи із значення коефіцієнта кореляції (r =
0,994), існує щільний негативний зв‘язок між Ц та К.
Виходячи із значення коефіцієнта детермінації (D=0,988),
модель є адекватною і зміна результативної ознаки (ціни - Ц) відбувається на
98,9% за рахунок зміни факторної ознаки (кількості реалізованої продукції - К),
а на 1,1% - за рахунок не врахованих в моделі факторів.
3. Визначимо тип залежності В(К) за допомогою графіка, що апроксимує дані
кореляційної таблиці до функції, зображеної на рис. 2:
Рис. 2. Апроксимація даних В(К) параболічною залежністю
Виходячи
з графіка рис.2, залежність
=В(К) - є
лінійною. Вигляд параболічної однофакторної моделі такий:
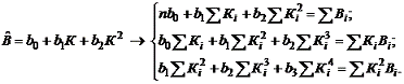
= b0 + b1×К+ b2×К2.
Для пошуку
параметрів параболічної залежності скористаємося такою системою нормальних
рівнянь:

Для
розрахунку значень параметрів параболічної однофакторної моделі необхідно
скласти відповідну кореляційну таблицю:
|
№
|
В
|
К
|
К2
|
К3
|
К4
|
КВ
|
ВК2
|
 
|
|
|
|
1
|
401
|
68
|
4624
|
314432
|
21381376
|
27268
|
1854224
|
397.718247
|
19.22747
|
58.77778
|
|
2
|
420
|
31
|
961
|
29791
|
923521
|
13020
|
500.250094
|
11431.19
|
711.1111
|
|
3
|
520
|
26
|
676
|
17576
|
456976
|
13520
|
351520
|
456.744459
|
4020.971
|
16044.44
|
|
4
|
484
|
25
|
625
|
15625
|
390625
|
12100
|
302500
|
446.404438
|
2816.542
|
8220.444
|
|
5
|
280
|
14
|
196
|
2744
|
38416
|
3920
|
54880
|
296.608539
|
9355.686
|
12844.44
|
|
6
|
255
|
12
|
144
|
1728
|
20736
|
3060
|
36720
|
262.271047
|
17177.32
|
19136.11
|
|
S
|
2360
|
176
|
7226
|
381896
|
23211650
|
72888
|
3003464
|
2360
|
44820.94
|
57015.33
|
|
S/n
|
393.33
|
29.33
|
|
|
|
|
|
|
SSR
|
SST
|
Складемо систему нормальних рівнянь та розв‘яжемо її:
Таким чином, рівняння
=
В(К) має вигляд:

Коефіцієнт кореляції:
Коефіцієнт детермінації: D=0,7861.
Виходячи із значення коефіцієнта детермінації, зміна
результативної ознаки (В) відбувається за рахунок зміни факторної ознаки (К) на
78,7%, а на 3.3% - за рахунок інших не врахованих в моделі факторів.
5. Знайдемо оптимальний прибуток.
Так як
, то гілки параболи направлені донизу, що свідчить про
те, що дана крива має максимум.
Для того, щоб знайти максимум функції знайдемо її похідну і
дорівняємо до нуля:
П’ = 3,8294695 - 0,119702К = 0
Копт = 31,99169
Перевіримо функцію на наявність максимуму. Для цього візьмемо
похідну в точках (К-1) та (К+1):
=
0,1197 >0;
=
-0,1197 < 0.
Таким чином, К =31,99169 дійсно є точкою оптимуму (максимуму).
Для порівняння показників діяльності підприємства за останній
період (31.12.2000) із запропонованими оптимальними значеннями цих характеристик
складемо таку таблицю:
Таблиця
Порівняльна характеристика показників діяльності підприємства
в останній період із запропонованими оптимальними значеннями
|
Показники
|
К
|
Ц
|
В
|
П
|
|
6-й період
|
12
|
25
|
255
|
45
|
|
Оптимальне
|
31,99169
|
17,442
|
507,25589
|
50,74316698
|
|
Відхилення
|
-19,99169
|
7,558
|
-252,25589
|
-5,7416698
|
Висновок: лінійна залежність
та
квадратична
є гарними наближеннями для вихідних даних, що
засвідчується отриманими значеннями кореляційних відношень, це дозволяє
прогнозувати значення кількості виробленого та реалізованого продукту при
наявності значень щодо ціни одиниці продукції або витрат на цей обсяг продукції
за повною собівартістю. І навпаки, маючи, заплановану оптимальну кількість
продукту, що виробляється, можна визначити, виходячи з оцінених рівнянь оптимальну
ціну, яку необхідно встановити та витрати, що може собі дозволити виробник. кореляційний
детермінація ціна витрата
Порівнюючи дані роботи підприємства за 6-й період із
запропонованими оптимальними даними щодо кількості, ціни та витрат отримаємо:
для того, щоб прибуток збільшився на 5.74116698 млн. грн., необхідно збільшити
виробництво на 19.99169 тис. од., за рахунок цього можна зменшити ціну одиниці
продукції на 7,558 тис. гр. од., а витрати - збільшити на 252,25589 гр. од.
Задача 2
Є такі показники діяльності підприємства за 6 періодів:
кількість виробленої та реалізованої продукції (К) (тис. од.), ціна одиниці
продукції (Ці) (тис. гр. од.), витрати (Ві) виробництва
за повною собівартістю (млн. гр. од.).
Необхідно знайти:
· кореляційну залежність ціни (Ц), витрат (В) від
кількості реалізованої продукції (К);
;
;
· Оцінити щільність зв‘язку між відповідними ознаками та
обчислити коефіцієнт детермінації, тобто перевірити адекватність моделі;
· Здійснити аналіз на оптимальність
обсягу реалізації продукції за критерієм максимізації прибутку; Зробити
висновки.
Таблиця
1
Дані задачі 2
|
Період
|
1
|
2
|
3
|
4
|
5
|
6
|
|
К
|
55
|
49
|
48
|
44
|
37
|
18
|
|
Ц
|
1,048
|
3,044
|
3,583
|
4,463
|
6,079
|
7,743
|
|
В
|
30
|
148
|
206
|
158
|
132
|
Розв‘язок:
Ц
К
Рис. 1. Апроксимація даних Ц(К) лінійною залежністю
1. Знайдемо тип залежності функції
=Ц(К):
Виходячи
з графіка рис.1, залежність
=Ц(К) - є
лінійною. Вигляд лінійної однофакторної моделі такий:
= b0 + b1×К.
Розрахуємо
значення параметрів лінійної однофакторної моделі за такими залежностями:
Для пошуку необхідних сум складемо відповідну кореляційну таблицю:
|
№
|
     
|
|
|
|
|
|
|
|
1
|
55
|
1,048
|
3025
|
57,64
|
2,09
|
5,0549
|
10,7604
|
|
2
|
49
|
3,044
|
2401
|
149,156
|
3,11
|
1,4989
|
1,6494
|
|
3
|
48
|
3,583
|
2304
|
171,984
|
3,28
|
1,1082
|
0,5555
|
|
4
|
44
|
4,469
|
1936
|
196,636
|
3,96
|
0,1365
|
0,0198
|
|
5
|
37
|
6,079
|
1369
|
224,923
|
5,15
|
0,6824
|
3,0649
|
|
6
|
18
|
7,743
|
324
|
139,374
|
8,38
|
16,5755
|
11,6602
|
|
25125,9711359939,71325,9725,056427,7102
|
|
|
|
|
|
|
|
|
41,834,3283
|
|
|
|
|
|
|
|
Тоді:
Таким чином, оцінене рівняння для залежності
=Ц(К) має вигляд:
. Розрахуємо коефіцієнт кореляції та детермінації для цієї залежності:

Виходячи із значення коефіцієнта кореляції (r =
0,95), існує щільний негативний зв‘язок між Ц та К.
Виходячи із значення коефіцієнта детермінації (D=0,9),
модель є адекватною і зміна результативної ознаки (ціни - Ц) відбувається на
90% за рахунок зміни факторної ознаки (кількості реалізованої продукції - К), а
на 10% - за рахунок не врахованих в моделі факторів.
3. Визначимо тип залежності В(К) за допомогою графіка, що апроксимує дані
кореляційної таблиці до функції, зображеної на рис. 2:
В
К
Рис. 2. Апроксимація даних В(К) параболічною залежністю
Виходячи
з графіка рис. 2, залежність
=В(К) - є
лінійною. Вигляд параболічної однофакторної моделі такий:
= b0 + b1×К+ b2×К2.
Для
пошуку параметрів параболічної залежності скористаємося такою системою
нормальних рівнянь:
Для
розрахунку значень параметрів параболічної однофакторної моделі необхідно
скласти відповідну кореляційну таблицю:
|
№
|
        
|
|
|
|
|
|
|
|
|
|
|
1
|
55
|
30
|
3025
|
166375
|
9150625
|
1650
|
90750
|
35
|
16753,7
|
11811,34
|
|
2
|
49
|
118
|
2401
|
117649
|
5764801
|
5782
|
283318
|
127
|
136,9
|
428,5
|
|
3
|
48
|
148
|
2304
|
110592
|
5308416
|
7104
|
340992
|
139
|
0,09
|
86,49
|
|
4
|
44
|
206
|
1936
|
85184
|
3748096
|
9064
|
398816
|
181
|
1789,29
|
4529,29
|
|
5
|
37
|
198
|
1369
|
50653
|
1874161
|
7326
|
270270
|
222
|
6938,9
|
3516,5
|
|
6
|
18
|
132
|
5832
|
104976
|
2376
|
42768
|
128
|
114,5
|
44,89
|
|
S
|
251
|
832
|
11359
|
536285
|
25951075
|
33302
|
1426914
|
832
|
19733,4
|
20417,01
|
|
S/n
|
41,8
|
138,7
|
|
|
|
|
|
|
|
|
Складемо систему нормальних рівнянь та розв‘яжемо методом Крамера:
;
;
Таким чином, рівняння
=
В(К) має вигляд:
4. Розрахуємо коефіцієнт кореляції та детермінації для цієї
залежності:
Коефіцієнт кореляції:
Коефіцієнт детермінації: D=0,9665.
Виходячи із значення коефіцієнта детермінації зміна
результативної ознаки (В) відбувається за рахунок зміни факторної ознаки (К) на
96,7%, а на 3.3% - за рахунок інших не врахованих в моделі факторів.
5. Знайдемо оптимальний прибуток.
Так як
, то гілки параболи направлені догори, що свідчить про
те, що дана крива не має максимуму.
(Таким чином, дослідити таку функцію за критерієм максимуму
прибутку неможливо).
ВИСНОВОК:
Лінійна залежність
та
квадратична
є гарними наближеннями для вихідних даних, що
засвідчується отриманими значеннями кореляційних відношень, це дозволяє
прогнозувати значення кількості виробленого та реалізованого продукту при
наявності значень щодо ціни одиниці продукції або витрат на цей обсяг продукції
за повною собівартістю. І навпаки, маючи, заплановану оптимальну кількість
продукту, що виробляється, можна визначити, виходячи з оцінених рівнянь
оптимальну ціну, яку необхідно встановити та витрати, що може собі дозволити
виробник.