Системи лінійних алгебраїчних рівнянь та основні методи їх розв’язування
Міністерство
освіти та науки України
Харківський
національний педагогічний університет імені
Г.С. Сковороди
Кафедра
математики
Курсова
робота з теми:
Системи
лінійних алгебраїчних рівнянь та основні методи їх розв’язування
Харків
- 2010 р.
Вступ
Так звана лінійна алгебра виросла з
розв’язування систем двох та трьох лінійних рівнянь з двома та трьома
невідомими. Такі системи вміли розв’язувати ще стародавні вавилоняни. У зв’язку
з пошуком найбільш раціональних прийомів розв’язування n лінійних рівнянь з n
невідомими виникла та почала розвиватися у XVII ст. теорія визначників.
Механічне правило розв’язування
систем двох лінійних рівнянь за їх коефіцієнтами описав у своїй книзі «Про
велике мистецтво» (1545) італійський математик Дж. Кардано.
Основи теорії визначників заклав
швейцарський математик Габріель Крамер. Відома під назвою «правило Крамера»
теорема була ним сформульована та доведена у 1750 р. у його роботі «Вступ до
аналізу кривих ліній».
Апарат теорії визначників недостатній
для вивчення таких систем лінійних рівнянь, у яких кількість невідомих не
співпадає з кількістю рівнянь. Тому була розроблена теорія матриць, яка досягла
найвищого розвитку у XIX ст.
Тема даної курсової роботи: системи
лінійних алгебраїчних рівнянь та основні методи їх розв’язування.
Мета: систематизувати теоретичні
знання про системи лінійних алгебраїчних рівнянь та основні методи їх
розв’язування, а також показати практичне застосування цих методів.
Згідно мети поставлено наступні
завдання: проаналізувати літературу та інші джерела з даної теми; сформулювати
основні означення щодо систем лінійних алгебраїчних рівнянь; розкрити зміст
основних методів розв’язування систем лінійних алгебраїчних рівнянь; показати
практичне застосування цих методів.
Розділ 1. Системи лінійних рівнянь
1.1 Основні означення
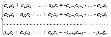
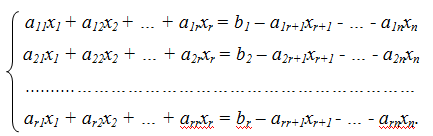
Розглянемо систему m лінійних
рівнянь з n невідомими
аij - коефіцієнти системи (1),-
вільні члени системи (1), аij, bi є R,, x2 , … , xn - невідомі.
Розв’язком системи (1) називається
така сукупність значень невідомих x1= γ1, x2=
γ2, …, xn= γn, яка при підстановці
у рівняння системи перетворює їх на тотожності.
Зауваження 1.
Будемо вважати, що в системі (1) в
кожному рівнянні є хоча б один коефіцієнт, відмінний від нуля.
В системі (1) при кожній зміні є
хоча б один коефіцієнт, відмінний від нуля.
Означення 1.
Матриця
складена з коефіцієнтів аij при
невідомих x1, x2, … , xn , називається основною, а матриця
розширеною матрицею системи (1).
Зауваження 2.
Система (1) та матриця А однозначно
визначають одна одну.
Означення 2.
Система (1) називається сумісною,
якщо вона має хоча б один розв’язок і несумісною, якщо розв’язків немає.
Означення 3.
Система (1) називається визначеною,
якщо вона має лише один розв’язок і невизначеною, якщо вона має більше, ніж
один розв’язок.
Означення 4.
Система (1) називається однорідною,
якщо праві частини її містять лише нулі, тобто b1 = b2 = … = bm = 0.
Означення 5.
Рангом довільної прямокутної матриці
А називається кількість ненульових рядків еквівалентної ступінчастої матриці.
Позначимо ранг А = r, ранг А′
= r1 .
r ≤ r1 ≤ r + 1
Випадок 1. r = r1 = n. Система (1)
сумісна і визначена.
Із (*) з останнього рівняння
знайдемо xn. = bn / ann. Підставимо його у попереднє рівняння і знайдемо
x(n-1). Продовжуючи цей процес, знайдемо весь розв’зок системи (1).
Випадок 2. r1 = r + 1.
br+1 ≠ 0 0∙x1 + 0∙x2
+ … + 0∙xn = br+1 ≠ 0 .
Система (1) несумісна.
Випадок 3. r = r1 < n.
Після відповідної перенумерації
змінних можна вважати, що система (1) еквівалентна системі :
Змінні yr+1, yr+2, … , yn -
вільні невідомі. Надаючи їм
довільних значень, будемо отримувати сумісну і визначену систему відносно
змінних y1, y2, …, yr, розв’язки якої знаходяться як у випадку 1.
Таким чином, система (1) має безліч
розв’язків, а одже є сумісною і невизначеною.
Нехай поряд з системою (1) маємо
іншу систему рівнянь з тими самими невідомими x1, x2, …, xn :
Означення 6. Система (2) називається
наслідком системи (1), якщо будь-який розв’язок системи (1) є одночасно і
розв’зком системи (2).
Надалі символічно таке відношення
систем записуватимемо у вигляді (1) (2).
Означення 7. Системи (1) і (2)
називаються рівносильними, якщо будь-який розв’зок однієї з них є одночасно
розв’зком іншої, або якщо обидві системи несумісні.
Символічно таке відношення
записуватимемо у вигляді (1) (2).
Зрозуміло, що перетворення системи
(1) шляхом застосування дій почленного додавання і віднімання, а також множення
рівнянь на скаляри дає змогу одержати нову систему лінійних рівнянь, яка буде
наслідком заданої, але необов’язково рівносильною їй.
Означення 8. Елементарними
перетвореннями системи лінійних рівнянь (1) називаються перетворення таких
трьох типів :
Множення правої та лівої частин
будь-якого рівняння системи на елемент λ ≠
0.
Додавання до правої та лівої частин
будь-якого рівняння системи відповідно правої та лівої частин другого рівняння
цієї системи, помножених на елемент λ.
Перестановка місцями двох будь-яких
рівнянь системи.
Будь-яке елементарне перетворення
системи рівнянь (1) відтворюється на матрицях А і А' у вигляді їх аналогічного
елементарного перетворення. Пряме й обернене твердження : будь-яке елементарне
перетворення розширеної матриці А' знаходить відображення у вигляді аналогічних
дій з рівняннями системи. Зокрема, якщо (1) - система однорідних рівнянь, тоді
така відповідність перетворень вірна для неї та основної матриці А.
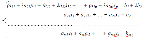
Теорема 1. Нехай з системи лінійних
рівнянь (1) за допомогою послідовних елементарних перетворень одержали систему
(2). Тоді системи (1) і (2) - рівносильні.
Доведення. Доведемо теорему для
випадку, коли система (2) одержується із системи (1) за допомогою одного
елементарного перетворення. Припустимо, що таким елементарним перетворенням є
перетворення типу 2. Нехай, наприклад, до лівої та правої частин першого
рівняння додали відповідно ліву та праву частини другого, помножені на λ.
Тоді
система (2) набуде вигляду:
Зрозуміло, що (1) (2) . Але із
системи (2) отримана система одержується за допомогою подібного перетворення:
потрібно до першого рівняння із системи (2) додати друге рівняння, помножене на
-λ.
Отже, (1) (2).
Якщо система (1) перетворена шляхом
декількох елементарних перетворень, в результаті яких одержали нову систему
(2), то практично таку трансформацію простіше здійснити, якщо відразу залучити
для цієї мети розширену матрицю А'. Припустимо, що за допомогою декількох
послідовних елементарних перетворень вона трансформована в нову матрицю:
Позначимо зв’зок між цими матрицями
знаком еквівалентності, тобто А' ~ С'. Тоді система (1) рівносильна системі:
з розширеною матрицею С'.
1.2 Класифікація методів
розв’язування СЛАР
Методи розв’язування СЛАР можна
досить чітко поділити на три групи: точні, ітераційні та ймовірнісні. За
Бахваловим (1987 р.), точні методи застосовні до систем з числом змінних до
порядку 104, ітераційні - 107.
Точні методи.
До таких відносяться методи, що
дають точний результат у припущенні ідеальної арифметики.
Матричний метод
<#"602377.files/image010.gif">
Її можна записати у матричному
вигляді. Для цього позначимо:
Систему (3) з урахуванням (4) можна
записати як
AX = B. (5)
Якщо існує А-1 (тобто якщо det A ≠
0), то домноживши обидві частини рівності (5) на А-1 одержуємо:
(А-1А)X = А-1B.
Враховуючи властивості добутку,
маємо:
EX = А-1B.
Оскільки EX = X, то остаточно
одержуємо:
X = А-1B. (6)
(6) - це розв’язок системи (3) у
матричній формі.
1.4 Метод Гаусса
Серед різних лінійних перетворень
системи лінійних рівнянь важливо знайти рівносильні перетворення. Один з типів
рівносильних перетворень можна будувати за схемою Гаусса, послідовно виключаючи
з системи рівнянь невідомі величини.
Метод Гаусса є одним з найбільш
ефективних методів розв’язування систем лінійних рівнянь. Схема обчислень за
цим методом досить проста.
Важливо також і те, що в ході самих
обчислень без додаткового дослідження встановлюється та або інша особливість
заданої системи: сумісна вона чи несумісна, визначена чи невизначена.
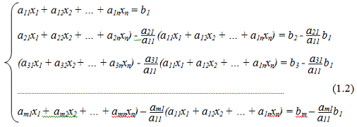
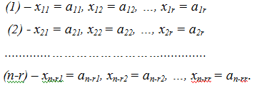
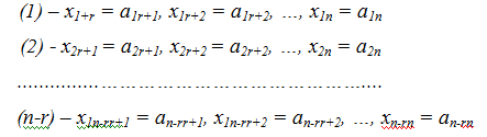
Розглянемо систему (1).
Серед коефіцієнтів ai1 при
невідомому x1 хоч один повинен не дорівнювати нулю. Якщо всі вони дорівнюють
нулю, то система просто не містить невідомого x1 і, отже, не є системою з n
невідомими. Припустимо для спрощення запису, що саме a11 ≠ 0. Тоді в усіх
рівняннях системи (1), починаючи з другого, можна виключити невідоме x1. Для
того, щоб виключити його з другого рівняння, треба помножити перше рівняння на
множник
і
відняти результат від другого рівняння. Аналогічно виключається x1 і з усіх
інших рівнянь системи. В результаті дістанемо таку систему m вивідних рівнянь:
am1x1 + am2x2 + … + amnxn) -
(a11x1
+ a12x2 + … + a1nxn) = bm -
b1
або після скорочень і зведення
подібних членів
де символом a′ik (i = 2, 3, …,
m; k = 2, 3, …, n) позначені нові коефіцієнти a′ik = aik -
a1k.
Встановимо, що системи (1) і (1.2)
рівносильні. Справді, система (1.2) за побудовою є вивідною з системи (1). Але
легко побачити, що й навпаки - система (1) є вивідною з системи (1.2). Якщо,
наприклад, до другого рівняння системи (1.2) додати перше рівняння, помножене
на число
,
то дістанемо друге рівняння системи (1). Аналогічно дістанемо й інші рівняння
ситеми (1). Оскільки ситеми (1) і (1.2) взаємно вивідні, то вони рівносильні.
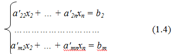
Система (1.3), одержана внаслідок
рівносильного перетворення, має таку будову: перше рівняння системи (1.3)
збігається з першим рівнянням системи (1), а всі інші рівняння утворюють
підсистему m-1 рівнянь з n1 невідомими, де n1 ≤ n-1:
Ця підсистема не містить невідомого
x1; вона може не мати і якихось інших невідомих. Проте для спрощення викладок
вважатимемо, що вона містить x2 і що саме a′22 ≠ 0. Застосовуючи до
системи (1.4) міркування, викладені при перетворенні системи (1), дістанемо
систему лінійних рівнянь виду
a′22x2 + a′23x3 + … + a′2nxn
= b′2
рівносильну підсистемі (1.4).
Приєднуючи до системи (1.5) ще й перше рівняння a11x1 + a12x2 + … + a1nxn = b1,
дістанемо систему лінійних рівнянь
рівносильну системі (1.3). Оскільки
системи (1.3) і (1) рівносильні, то система лінійних рівнянь (1.6) рівносильна
первісній системі (1). Цей процес рівносильних перетворень можна продовжити
доти, поки виключенні чергового r-го невідомого з останніх m-r рівнянь в
одержуваних рівняннях усі коефіцієнти при невідомих виявляться рівними нулю.
Отже, ми дістанемо нарешті систему лінійних рівнянь, яку в загальному вигляді
можна записати так:
Для спрощення запису всі коефіцієнти
при невідомих тут позначені буквою с з двома індексами. При цьому перші
коефіцієнти сkk ≠ 0 (1 ≤ k ≤ r) за самою побудовою системи
(1.7) і відповідно до зроблених припущень a11 ≠ 0, a′22 ≠ 0,
a′′33 ≠ 0, … . Якщо не робити цих припущень і не
перенумеровувати в разі потреби невідомі, ми дістанемо систему лінійних рівнянь
більш загального вигляду, але обов’язково з ступінчастою матрицею.
1.5 Метод Жордано-Гаусса
Метод Жордано-Гаусса (повного
виключення невідомих) - метод, який використовується для вирішення квадратних
систем лінійних алгебраїчних рівнянь, знаходження оберненої матриці,
знаходження координат вектора у заданому базисі або відшукання рангу матриці.
Він є модифікацією методу Гаусса.
Алгоритм.
. Обирають перший зліва стовпчик
матриці, у якому є хоча б одне відмінне від нуля значення.
. Якщо перше число у цьому стовпчику
є нулем, то весь перший рядок матриці міняють місцями з іншим рядком, де у
цьому стовпчику немає нуля. 3. Усі елементи першого рядка ділять на верхній
елемент обраного стовпчика.
. Від рядків, що залишились
віднімають перший рядок, помножений на перший елемент відповідного рядка, з
метою отримати першим елементом кожного рядка (крім першого) нуль.
. Далі виконують ті ж самі дії з
матрицею, отриманою з вихідної матриці після викреслювання першого рядка та
першого стовпця.
. Після повторення цих дій (n-1)
разів отримують верхню трикутну матрицю.
. Віднімаємо з передостанньго рядка
останній, помножений на відповідний коефіцієнт, для того, щоб у передостанньому
рядку залишилась тільки одиниця на головній диагоналі.
. Повторюють попередній шаг для
наступних рядків. У кінці отримують одиничну матрицю і розв’язок на місці
вільного вектора.
. Щоб отримати обернену матрицю,
потрібно застосувати всі дії у тому ж порядку до одиничної матриці.
1.6
Формули Крамера
Розглянемо систему n лінійних
рівнянь з n невідомими
Означення 9. Визначник
називається визначником системи.
Розглянемо визначники :
які утворилися із визначника системи
шляхом заміни коефіцієнтів при k-му невідомому вільними членами системи.
Теорема 2 (Крамера). Якщо визначник Δ
системи
(7) не дорівнює нулю, то система сумісна й має єдиний розв’зок, який
визначається за формулами:
x1 = Δ1/ Δ , x2 = Δ2/
Δ, … , xn = Δn/ Δ (8)
Доведення.
Помножимо перше рівняння системи на
А11, друге - на А21, ... , n-е на Аn1 і всі отримані рівняння додамо. Тоді
дістанемо рівняння
x1(a11A11 + a21A21 + … + an1An1) +
x2(a12A12 + a22A22 + … + an2An2) + … + xn(a1nA1n + a2nA2n + … + annAnn) = b1A11
+ b2A21 + … + bnAn1. (9)
В рівнянні (9) коефіцієнти при всіх
невідомих, крім коефіцієнта при x1, який дорівнює визначнику системи Δ,
дорівнюють
нулю. Права частина рівняння становить розкладання визначника Δ
за
елементами першого стовпця, тобто дорівнює визначнику Δ1.
Отже,
рівняння (9) можна записати у вигляді :
Δ∙x1
= Δ1. (10)
Δ∙x2
= Δ2, Δ∙x3
= Δ3, … , Δ∙xn
= Δn. (11)
Система рівнянь (10), (11) добута з
системи (7) і є її наслідком.
З системи рівнянь (10), (11)
випливають рівняння (7), оскільки за умовою Δ
≠
0. Справді, помноживши рівняння (10) на a11, перше рівняння (11) - на a12, … ,
n-е - на а1n і додавши всі утворені рівняння, дістанемо
Δ(a11x1 + a12x2 + … + a1nxn) =
b1(a11A11 + a12A12 + … + a1nA1n) + b2(a11A21 + a12A22 + + … + a1nA2n) + … +
bn(a11An1 + a12An2 + … + a1nAnn).
У цьому рівнянні дорівнюють нулю
коефіцієнти при всіх вільних членах системи (7), крім коефіцієнта при b1, який
дорівнює Δ. Після
скорочення на Δ, отримаємо
перше рівняння системи (7). Аналогічно можна дістати й всі інші рівняння цієї
системи.
Отже, система рівнянь (7) тотожна
системі рівнянь (10), (11). Оскільки остання має єдиний розв’язок (8), то він є
також єдиним розв’язком системи (7).
Теорему доведено.
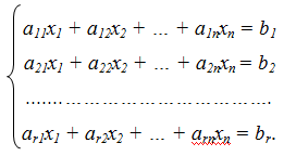
1.7 Теорема Кронекера-Капеллі
Теорема 3 (Кронекера - Капеллі). Для
того, щоб система (1) була сумісною, необхідно й достатньо, щоб ранг матриці А
(r) дорівнював рангу розширеної матриці А' (r1).
Доведення. Доведемо спочатку
достатність умови теореми.
Нехай r = r1. Припустимо, що
базисний мінор матриці А розміщений у лівому верхньому куті:
Згідно з теоремою про базисний
мінор, перші r рядків матриці А' лінійно незалежні, а інші її рядки - лінійні
комбінації перших r рядків. Це означає, що в системі (1) перші r рівнянь
незалежні, а інші (m - r) її рівнянь - їх наслідки. Тому досить розв’язати
систему, яка складається з r перших рівнянь:
Зрозуміло, що r ≤ n.
Розглянемо два випадки.
Нехай r = n. Тоді маємо систему, в
якої число рівнянь дорівнює числу невідомих, причому визначник цієї системи Δ
≠
0. Така система має єдиний розв’язок, який можна знайти за формулами Крамера,
або за методом Гаусса.
Нехай r < n. Тоді рівнянь менше,
ніж невідомих. Перепишемо систему у вигляді:
Оскільки визначник Δ
≠
0, то з цієї системи можна знайти (або за формулами Крамера, або за методом
Гаусса) невідомі x1, x2, … , xr, виражені через xr+1, xr+2, … , xn. Перші
називаються головними (базисними), другі - вільними (параметричними).
Надаючи вільним невідомим довільних
значень, отримуємо відповідні значення головних невідомих. Отже, у
розглядуваному випадку система має нескінченну множину розв’язків, чим і
закінчується доведення достатності теореми.
Доведемо необхідність умови теореми.
Нехай система (1) сумісна і x1 = ε1,
x2 = ε2, … , xn = εn - її розв’язок. Тоді
звідки випливає, що стовпець вільних
членів розширеної матриці є лінійною комбінацією інших її стовпців, тобто
стовпців матриці А. Тому r1 ≤ r. Але з іншого боку, оскільки r ≤
r1, то r = r1, що й треба було довести.
1.8 Однорідні системи лінійних
рівнянь
Розглянемо систему m лінійних
рівнянь з n невідомими
Така система завжди сумісна,оскільки
її розв’язком буде x1= … =xn=0, що називається тривіальним.
Нехай ранг А = r і базисний мінор
цієї матриці для певності розміщений у її лівому верхньому кутку. Тоді можна
залишити в системі перші r рівнянь:
Розглянемо два випадки:
Нехай r = n. Тоді маємо систему, в
якої число рівнянь дорівнює числу невідомих, причому визначник цієї системи Δ
≠
0. З теореми Крамера у цьому разі випливає, що система має тільки тривіальний
розв’язок.
Нехай r < n. Запишемо систему у
вигляді:
Оскільки визначник Δ
≠
0, то
де γik
= (i = 1, …, r; k = 1, …, n-r) - деякі визначені
коефіцієнти, конкретні значення яких зараз не цікавлять. Надаючи вільним
невідомим xr+1, xr+2, …, xn довільних значень, дістанемо відповідні значення
головних невідомих x1, x2, …, xr.
Із наведених міркувань випливає
Теорема 4. Система лінійних
однорідних рівнянь (12) має ненульові розв’язки тоді і тільки тоді, коли ранг
матриці А системи менший ніж n.
З цієї теореми безпосередньо
випливає
Теорема 5. Однорідна система n
лінійних рівнянь з n невідомими має ненульові розв’зки тоді і тільки тоді, коли
її визначник дорівнює нулю.
Покладемо послідовно
лінійний алгебраїчний
рівняння крамер
так, щоб матриця, складена з величин
aik (i = 1, …, n-r; k = r+1, …, n), мала ранг n-r. Тоді за допомогою рівностей
(13) знайдемо
Отже ми отримали n-r зв’язків
лінійної однорідної системи, які запишемо у вигляді матриць-рядків:
Очевидно, що ці n-r розв’язків
лінійно незалежні, оскільки ранг матриці, складеної з них, дорівнює n-r.
Покажемо, що будь-який розв’язок
системи (12) у розглядуваному випадку є лінійною комбінацією добутих
розв’язків.
Справді, нехай x0 = (a01, a02, …,
a0r, a0r+1, …, a0n) - який-небудь розв’язок системи (12). Ранг системи стовпців
матриці:
дорівнює n-r, оскільки її перші r
стовпців є лінійними комбінаціями решти (n-r) стовпців у силу способу їх
отримання із рівностей (13). За наслідком з теореми про базисний мінор можна
зробити висновок, що ранг системи рядків написаної матриці також дорівнює n-r.
Проте перші n-r рядків цієї матриці лінійно залежні, а тому, за теоремою про
базисний мінор, останній її рядок є їх лінійною комбінацією, що й треба було
довести.
Означення 10. Сукупність лінійно
незалежних розв’язків системи (12) називається фундаментальною, якщо кожний
розв’язок її є лінійною комбінацією цих розв’язків.
Зрозуміло, що коли система (12) має
хоча б одну фундаментальну систему, то вона має їх нескінченну множину. При
цьому кожна фундаментальна система складається точно з (n-r) лінійно незалежних
розв’язків системи (12).
З наведених міркувань випливає, що
при r < n довільний розв’язок лінійної однорідної системи є лінійною
комбінацією розв’язків фундаментальної системи, тобто його можна отримати за
формулою
x = λ1x1 + λ2x2 + … +
λn-rxn-r (14)
при деяких значеннях сталих λ1,
λ2, ..., λn-r. Ця формула називається
формулою загального розв’язку системи (12).
Як видно, для відшукання загального
розв’язку лінійної однорідної системи досить знайти одну з її фундаментальних
систем. Найчастіше при визначенні фундаментальної системи розв’язків роль
лінійно незалежних наборів вільних невідомих відіграють рядки квадратної (n-r)
* (n-r) - матриці
Відповідна фундаментальна система
розв’язків називається нормальною фундаментальною системою розв’язків.
Звернемося до неоднорідної системи
рівнянь (1). Якщо в цій системі замінити вільні члени нулями, то дістанемо
однорідну систему, яка відповідає неоднорідній і називається зведеною.
Нехай x1, x2, …, xn-r -
фундаментальна система розв’язків зведеної системи і x0 = (a01, a02, …, a0n) -
який-небудь розв’язок системи (1). Безпосередньою перевіркою легко
переконатися, що рядок
x = x0 + λ1x1 + λ2x2 + … +
λn-rxn-r (15)
є розв’язком системи (1). Більш
того, можна довести, що кожний розв’язок цієї системи можна зобразити саме у
такому вигляді, тобто формула (15) визначає загальний розв’язок системи (1).
Отже, загальний розв’язок
неоднорідної системи лінійних рівнянь - це сума загального розв’язку зведеної
системи і якого-небудь окремого розв’язку даної неоднорідної системи.
Розділ 2. Практичне застосування
методів розв’язування СЛАР
2.1 Приклад розв’язання СЛАР
матричним способом
Дано систему

Виконаємо наступні дії:
До рядка 2 додамо рядок 1,
помножений на -4.
До рядка 3 додамо рядок 1, помножений
на -9.
Отримаємо:
До рядка 3 додамо рядок 2,
помножений на -3.
Рядок 2 поділимо на -2.
До рядка 1 додамо рядок 3,
помножений на -1.К строке 1 добавим: −1
× Строку 3.
До рядка 2 додамо рядок3, помножений
на -3/2.
До рядка 1 додамо рядок 2,
помножений на -1.
У правому стовпчику отримуємо
розв’язок:
2.2 Приклад розв’язання СЛАР методом
Гаусса
Дано систему
Виписуємо розширену матрицю:
Виконуємо такі дії:
До 2 рядка додаємо 4,
помножений на -1.
До 1 рядка додаємо 2,
помножений на -3.
До 3 рядка додаємо 2,
помножений на -2.
До 4 рядка додаємо 2,
помножений на -4.
До 2 рядка додаємо 3,
помножений на -1.
До 2 рядка додаємо 3,
помножений на -2.
До 4 рядка додаємо 3, помножений на
-5.
3 рядок додаємо до 4.
Отримуємо:
Розв’язок системи:
2.3
Приклад розв’язання однорідної системи
Дано систему
Виписуємо розширену матрицю:
Виконуємо наступні дії:
Додаємо до 2 рядка 1, помножений на
-2.
Додаємо до 3 рядка 1, помножений на
-1.
Додаємо до 4 рядка 1, помножений на
-4.
Додаємо до 4 рядка 2, помножений на
-1.
3 рядок ділимо на 3.
рядок помножимо на 3.
рядок помножимо на -5.
Додаємо 2 рядок до 3.
Виписуємо систему.
Розв’язок:
2.4
Приклад розв’язання СЛАР за формулами Крамера
Дано систему:
Визначник системи:
тому система має єдиний розв’язок.
Знаходимо Δ1, Δ2, Δ3.
За формулами Крамера
x1 = -16/(-8) = 2; x2 = 0/(-8) = 0;
x3 = 8/(-8) = -1.
Проаналізувавши літературу та інші
джерела з даної теми, були сформульовані основні означення щодо систем лінійних
алгебраїчних рівнянь. Було зроблено доведення визначальних теорем, розкритий
зміст основних методів розв’язування СЛАР.
Показавши їх практичне застосування,
було доведено, що всі розглядувані методи є ефективними для знаходження
розв’язків систем лінійних алгебраїчних рівнянь.
Найбільш зручним виявився метод
виключення невідомих Гаусса, так як він має досить просту схему та дозволяє без
додаткових досліджень в ході самих обчислень визначити особливості заданої
системи: сумісна вона чи несумісна, визначена чи невизначена.
На відміну від метода Гаусса,
метод Крамера є непридатним до практичного використання через обчислювальну
складність і малу точність, оскільки вимагає обчислення визначників
<http://uk.wikipedia.org/wiki/%D0%92%D0%B8%D0%B7%D0%BD%D0%B0%D1%87%D0%BD%D0%B8%D0%BA>,
а тільки в одному визначнику n! доданків. Метод Крамера може застосовуватися
лише для матриць 2×2, або, щонайбільше, 3×3.
В результаті виконання
курсової роботи були систематизовані знання щодо систем лінійних алгебраїчних
рівнянь та основних методів їх розв’язування.
Список використаної літератури
1. Александров
П.С. Курс аналитической геометрии и линейной алгебры. - М.: Наука, 1979. - 512
с.
2. Бакельман
И.Я. Аналитическая геометрия и линейная алгебра. - М.: Просвещение, 1976. - 288
с.
. Глейзер
Г.И. История математики в школе. - М., 1983. - 352 с.
. Глухов
М.М, Солодовников А.С. Задачник - практикум по высшей алгебре. - М.:
Просвещение, 1969. - 276 с.
. Демидович
Б.П., Кудрявцев В.А. Краткий курс высшей математики. - М.: Астрель, 2001. - 640
с.
. Завало
С.Т., Костарчук В.М., Хацет Б.І. Алгебра і теорія чисел, ч.1. - К.: Вища шк.,
1974. - 464 с.
. Курош
А.Г. Курс высшей алгебры. - М.: Наука, 1975. - 432 с.
. Назієв
Е.Х. та ін. Лінійна алгебра та аналітична геометрія: Навч. посібник / Е.Х.
Назієв, В.М. Владіміров, О.А. Миронець. - К.: Либідь, 1997. - 152 с.
. Пискунов
Н.С. Дифференциальное и интегральное исчисления, т.2. - М.: Наука, 1976. - 576
с.
. Чарін
В.С. Лінійна алгебра. - 2-е вид., стер. - К.: Техніка, 2005. - 416 с.