Разработка бизнес-плана фирмы, действующей в информационном бизнесе

  • Вид работы:
    Курсовая работа (т)
  • Предмет:
    Финансы, деньги, кредит
  • Язык:
    Русский
    ,
    Формат файла:
    MS Word
    647,08 Кб
  • Опубликовано:
    2013-02-19
Вы можете узнать стоимость помощи в написании студенческой работы.
Помощь в написании работы, которую точно примут!

Разработка бизнес-плана фирмы, действующей в информационном бизнесе

1. Резюме

Целью данной курсовой работы является создание бизнес плана предприятия в сфере IT услуг. Основной сферой нашей деятельности планируется разработка, реализация и сервис программного обеспечения, а также разработка и производство программно-технических средств на базе новых информационных технологий. Данная отрасль является достаточно молодой для российского рынка и поэтому большинство компаний испытывают нехватку в профессиональном программном обеспечении. Большинство фирм, используют некачественные диски и пиратские программы. Поэтому потребность в данном роде продукции весьма велика. ООО "Аркон" способно предоставить необходимые программы для плодотворного функционирования различного рода компаний.

Таблица 1 - Основные технико-экономические показатели бизнес-плана предприятия, работающего в информационном бизнесе

Наименование показателя

Значение

Годовой объем производства, шт.

1300

Себестоимость единицы продукции, р.

1009

Цена продукции, р.

35000

Доля рынка, %

20

Инвестиции, р.

410506

Годовые издержки производства, р.

1310554

Источники финансирования

Кредит

Срок окупаемости, лет

Менее 1 года

Уровень рентабельности, %

90


2. Краткое описание продукции

ООО "Аркон" производит программы и программно-технические средства. Эта продукция является необходимой как для фирм, так и для частных пользователей. Программное обеспечение включает различные программы в сфере разработки систем автоматизированного проектирования, управления инженерными данными и управления производством, планирования производства, комплексной автоматизации инженерной подготовки производства и управления производством в машиностроении. Все программы разработаны на основе потребностей российских клиентов с учетом своеобразия российского рынка. В то же время по качеству исполнения они ничуть не уступают западным аналогам. Материалы для производства нашей продукции отличаются высоким качеством, степенью надежности. Приобретая наши программы можно быть уверенным, что они удовлетворят требованиям даже самого предвзятого клиента. Информационная база обновляется по мере развития технологий и не отстает от технического прогресса.

Среди особенностей нашей продукции хотелось бы выделить следующее:

• высокое качество;

• соответствие стандартам;

• использование новейших достижений науки и техники.

Считаем, что может быть и не новинкой, но редкостью наша продукция еще долго будет на рынке, так как на сегодняшний момент в Воронеже нет фирм, которые используют технически программы, похожие на наши.

Рассматриваемое Программное Средство - программа "Проектир". ПС предназначено для разработки систем автоматизированного проектирования, управления инженерными данными и управления производством. Программа "Проектир" будет незаменимым помощником инженерам, которые работают в сферах автомобилестроения, машиностроения, строительства.

Рисунок 1 - Внешний вид программы "Проектир"

Программа имеет удобный WIN32 интерфейс, имеется файл справки, сохранение информации имеет много доступных и известных форматов.

Данная продукция запатентована, так как является видом интеллектуальной деятельности, и поэтому защищена от незаконного распространения.

Интерфейс проектируемой продукции является удобным, что позволяет работать с системой, не имея никаких дополнительных навыков, справка по использованию программного комплекса также включается в пакет программ и содержит все необходимые сведения о предлагаемой продукции.

Все исходные файлы, то есть данные, служащие для создания данного программного комплекса, остаются у разработчика для предотвращения возможных случаев модернизации системы другими фирмами.

3. Оценка рынка сбыта

В ходе исследований рынка было выявлено, что существует потребность в создании и производстве данного продукта. Значит, цель ООО "Аркон" - занять эту нишу. Для этого необходимо создать конкурентоспособное программное средство, которое необходимо обеспечить более понятным и доступным интерфейсом и высоким уровнем защиты данных. Данный продукт будет наиболее интересен крупным предприятиям, которые будут иметь возможность испытать рентабельность нашей программы. Эти испытания могут занять некоторое время, но они будут являться эффективным маркетинговым ходом.

Основная цель первого года производственной деятельности заключается в том, чтобы зарекомендовать себя надежным поставщиком. В итоге, мы ожидаем, что станем одним из основных поставщиков подобных программных средств для большинства основных потребителей на этом рынке.

Благодаря обширным связям в деловом мире наша фирма уже сейчас имеет значительную популярность. Наша продукция больше заинтересует покупателя, так как качественные и "свежие" программы не так легко найти на российском рынке.

Интерес покупателя к товару мы рассчитываем привлечь за счет:

• прямых связей с основными покупателями;

• рекламы через компьютерные сети;

• высшего качества нашей продукции, дружеской атмосферы обращения, открытости;

• личных контактов наших сотрудников.

Основными потребителями нашей продукции являются:

• крупные корпорации в производственных сферах;

• средние и мелкие фирмы;

• отдельные частные лица;

• любые клиенты, желающие приобрести нашу продукцию. За последние несколько лет доля рынка, принадлежащая программно-техническим средствам, постоянно увеличивалась. Однако в нашей стране производство еще не в состоянии охватить весь потребительский рынок.

Приблизительная цена программного средства составляет 35000 рублей за использование на одном рабочем месте. В неё включено: само ПС, описание, техническая документация и 6 месячное гарантийное обслуживание. Возможна покупка программы в кредит.

Прогноз объема продаж представлен в таблице 2.

Таблица 2 - Прогноз объемов продаж в количественном выражении

Наименование показателя

Год работы


1-й

2-й

3-й


квартал

полугодие



1

2

3

4

1

2


Объем продаж, шт.

120

150

175

200

550

600

1300


Рынок сбыта формируется созданием единой базы машиностроительных предприятий Российской Федерации и налаживанием контактов с ними, с целью продвижения программного средства.

. Конкуренция на рынке

Для анализа конкурентоспособности рассматриваемой продукции будем использовать следующие показатели:

) Универсальность использования - характеризует сферы возможного использования программного средства для выполнения поставленных задач.

·        если программа может использоваться в различных отраслях машиностроительного производства, а также в качестве обучающего средства - 3 балла;

·        если в отдельных отраслях машиностроительного производства, а также в качестве обучающего средства - 2 балла;

·        только в одной области машиностроительного производства (например, в автомобилестроении) -1 балл;

) Подготовка пользователя:

не требуется специальной подготовки - 3 балла;

требуется небольшой вводный курс - 2 балла;

требуется специальное обучение работе с программой - 1 балл;

) Удобство в использовании.

·        Степень удобства использования программы может определить опытный пользователь после ее тестирования, например, по трехбалльной шкале:

·        программа удобна в использовании (интерфейс, хорошо воспринимаемый пользователем; возможность настройки визуальных элементов управления (окон, кнопок, списков, гиперссылок) по желанию конкретного пользователя) - 3 балла;

·        средний уровень удобства использования (работа с отдельными элементами программы вызывает неудобства; нет возможности перенастройки) - 2 балла;

·        неудобное использование (плохо воспринимаемый пользователем интерфейс, отсутствие перенастройки) - 1 балл;

4) Наработка на отказ при отсутствии рестарта:

более 50 часов безотказной работы - 3 балла;

от 10 до 50 часов безотказной работы - 2 балла;

до 10 часов - 1 балл;

менее 10 часов - 0 баллов.

5)      пропускная способность - число типовых заданий, исполняемых в единицу времени (например, число в час) - шкала разрабатывается в зависимости от функциональных возможностей программного продукта;

)  Возможность защиты данных от несанкционированного доступа:

·           предусмотрена система защиты данных и функции распределения прав доступа к ним на уровне отдельных компонентов программы (т.е., можно разграничить доступ к определенным группам данных, а также определить вид доступа - просмотр, редактирование, удаление, копирование, полный доступ) - 3 балла;

·        существуют функции распределения прав доступа к информации на уровне отдельных компонентов программы (разграничение доступа к определенным группам данных существует, но виды доступа ограничены двумя вариантами: либо полный доступ, либо его запрещение) - 2 балла;

·        примитивные средства защиты (например, общий пароль входа), отсутствие разделенного доступа - 1 балл;

·        отсутствие каких-либо средств защиты от несанкционированного доступа - 0 баллов.

) Пригодность к развитию - отражает приспособленность к доработкам, направленным на повышение эффективности и наращивание функциональных возможностей программного продукта.

·        Пригодны к развитию все базовые функции программы (например, возможность самостоятельно создавать новые входные и выходные формы, реализовывать собственные методики анализа, описывая алгоритмы расчета используемых в них показателей) - 2 балла;

·        пользователь может совершенствовать только отдельные функции программы - 1 балл;

·        программное средство непригодно к развитию - 0 баллов.

Определив параметры, необходимо установить их иерархию, то есть определить те из них, которые имеют наибольшую значимость (вес) для потребителя. Так для данных параметров их вес будет следующим:

·        Универсальность использования - 0,3. Это очень важный показатель, так как чем более универсальна система, тем больше может быть потребителей;

·        Подготовка пользователя - 0,2. Достаточно важный показатель именно в условиях машиностроения нашего государства, так как большинство технологов не имеют навыков работы на компьютере в сложных системах;

·        Удобство в использовании - 0,2. Также достаточно важный показатель, так как определяет во многом скорость создания технологического процесса;

·        Наработка на отказ при отсутствии рестарта - 0,05. Важный показатель, но для всех современных систем практически одинаков, а, значит, в сравнении менее приоритетен;

·        Пропускная способность - 0,05. Программный продукт используется на стадии технологической подготовки производства, а, значит, не требуется большая скорость выполнения операций, которая в большей степени зависит от пользователя;

·        Возможность защиты данных от несанкционированного доступа - 0,1. Так как программный продукт ориентирован на машиностроительное предприятие, то особо секретных данных хранить не должен, да и доступ к нему предполагается только в отделе главного технолога;

·        Пригодность к развитию - 0,1. Важный показатель, но любое развитие предполагает внесение изменений, а, значит, и дополнительных средств.

Конкуренция в данном виде деятельности (систем автоматизированного проектирования) невелика, но, в основном используется лишь несколько крупных аналогов данной программы. Для сравнения с другими ПС возьмем "Чертеж-21", разработчик - ООО "Design С", и "Мастер" - научная-производственная группы "Триэр".

Оценка конкурентоспособности представлена в виде таблицы 3.

Таблица 3 - Оценка конкурентоспособности ПС

Параметр

Значи-мость

Оценка в баллах

Оценка с учетом значимости в баллах



Чертеж-21

Мастер

Наше ПС

Чертеж-21

Мастер

Наше ПС

1

0,3

2

2

3

0,6

0,6

0,9

2

0,2

2

3

2

0,4

0,6

0,4

3

0,2

2

2

2

0,4

0,4

0,4

4

0,05

3

3

2

0,15

0,15

0,1

5

0,05

2

3

2

0,1

0,15

0,1

6

0,1

2

1

2

0,2

0,1

0,2

7

0,1

1

1

2

0,1

0,1

0,2

Обобщающий показатель

1,0




1,95

2,1

2,3


Таким образом, можно сделать вывод, что наше программное средство является конкурентоспособным, так как имеет несколько явных преимуществ, таких как хорошая защита данных и понятный интерфейс.

5. Стратегия маркетинга

Предварительные продажи были важнейшей частью нашей подготовительной работы и помогли установлению довольно широких связей с основными покупателями в регионе.

Мы сможем обслуживать как крупных, так и мелких клиентов. Составление программ представляет собой большую проблему для многих пользователей, и наша поставка даст нам сравнительное преимущество в обслуживании мелких, но, несомненно, прибыльных клиентов.

Свою продукцию мы планируем распространять мелкими оптовыми партиями. Клиенты будут проходить в уютный современный офис и на месте заключать сделки. Предусматривается разработка специальных заказов от постоянных клиентов в соответствии с их потребностями.

В широкой рекламе наш товар не нуждается, но предполагается выслать несколько пробных вариантов крупным компаниям в качестве рекламного материала. Также необходимо дать анонс через сети и факсы некоторым фирмам. Этого будет достаточно для привлечения большого количества клиентов. Рынок сбыта в будущем предполагается расширить и вывести за рамки Воронежа, Москвы и Санкт-Петербурга. Для этого необходимо послать факсимильные сообщения в компании крупных городов и регионов страны.

Из существующих трех основных целей ценообразования, из которых может выбирать фирма (основанные на сбыте, на прибыли, на существующем положении), для нашего предприятия предпочтительнее цели, основанные на существующем положении, так как нас устраивает объем реализации, увеличение же относительной прибыли не оправдано эластичностью спроса на товар. Но мы заинтересованы в стабильности и сохранению благоприятного климата для своей деятельности.

Стратегия ценообразования ориентирована на избежание спада в производстве и минимизацию воздействия таких внешних сил, как конкуренты и участники каналов сбыта.

Из всевозможных методов мы предпочли установление цены на основе ощущаемой ценности товара, т.е. основной фактор ценообразования - не издержки, а покупательское восприятие. Предполагается также широкое использование неценовых приемов воздействия.

6. Организация и планирование процесса создания программного средства, расчет затрат на его разработку

Характеристика этапов разработки программного средства

Процесс создания ПС представляет собой совокупность упорядоченных во времени, взаимосвязанных, объединённых в стадии и этапы работ, выполнение которых необходимо и достаточно для создания ПС, соответствующего заданным требованиям.

Стадии и этапы создания ПС выделяются как части процесса создания по соображениям рационального планирования и организации работ, заканчивающихся заданным результатом, и регламентируются ГОСТ 34.601-90. Стадии и этапы создания ПС в общем виде приведены в таблице 4.

Таблица 4 - Стадии и этапы создания ПС

Стадии

Этапы работ

1. Формирование требований к ПС, разработка концепции ПС

1.1 Обследование объекта и обоснование необходимости создания ПО 1.2 Формирование требований пользователя к ПО 1.3 Оформление отчета о выполненной работе и заявки на разработку ПО 1.4 Изучение объекта 1.5 Разработка вариантов концепции ПО 1.6 Оформление отчета о выполненной работе

2. Техническое задание, эскизный проект

2.1 Выбор среды программирования 2.2 Разработка алгоритмов 2.3 Разработка структуры хранения данных 2.4 Разработка структурной схемы 2.5 Проведение итогового "стресс-теста" 2.6 Разработка предварительных проектных решений по системе и ее частям 2.7 Разработка документации на ПО и ее части 2.8 Разработка программных модулей 2.9 Разработка интерфейса 2.10 Разработка справочной базы данных

3. Технический проект

3.1  Разработка документации на ПО и ее части 3.2  Тестирование ПО 3.3  Отладка и исправление недочетов 3.4  Отладка аппаратной части 3.5  Исправление ошибок и недочетов

4. Рабочая документация

4.1  Разработка рабочей документации на систему и ее части

5. Ввод в действие

5.1  Адаптация системы к условиям использования в информационной среде пользователя 5.2  Стыковка с используемыми ПО пользователя 5.3  Настройка соответствующих форм 5.4  Проведение предварительных испытаний 5.5  Проведение приемочных испытаний и внедрение


Определение общей трудоемкости разработки программного средства

Для быстрой приближенной оценки трудоемкости разработки ПС воспользуемся формулой:

То=3,6 (n т.и.к.)1,2

где То - общая трудоемкость разработки ПС, чел.-мес.;

n т.и.к. - число тысяч исходных команд.

То=3,6*(2,85)1,2= 12,65 чел.-мес.

Продолжительность разработки ПС определяется по формуле:

0 = 2,5 Tо 0,32

где D0 - продолжительность разработки, мес.

0 = 2,5*(12,65)0,32= 5,6 мес.

Расчет трудоемкости стадий разработки программного средства

Для расчёта трудоёмкости разработки ПС воспользуемся следующей формулой:

Тi = (То × qi)/100

где Тi - трудоемкость i-й стадии, чел.-мес.;

qi - удельный вес трудоемкости i-й стадии в общей трудоемкости разработки программного средства, %.

Таблица 5 - Удельный вес трудоемкости стадий в общей трудоемкости

Наименование стадии

,%

 чел.-мес.

 чел.-ч.

1. Формирование требований к ПС, разработка концепции ПС

4

0,506

85

2. Техническое задание

4

0,506

85

3. Технический проект

14

1,771

298

4. Рабочая документация

70

8,855

1488

5. Ввод в действие

8

1,012

170

ИТОГО

100

12,65

2126


Т1=12,65*4/100= 0,506 чел.-мес. Т11=0,506*21*8=85 чел.-ч.

Т2=12,65*4/100= 0,506 чел.-мес. Т21=0,506*21*8=85 чел.-ч.

Т3=12,65*14/100= 1,771 чел.-мес. Т31=1,771*21*8=298 чел.-ч.

Т4=12,65*70/100= 8,855 чел.-мес. Т41=8,855*21*8=1488 чел.-ч.

Т5=12,65*8/100= 1,012 чел.-мес    Т51=1,012*21*8=170 чел.-ч.

Определение состава группы исполнителей

необходимое число исполнителей разработки программного продукта рассчитывается исходя из характеристик трудоемкости (То, чел.-мес.) и длительности (Dо, мес.) разработки:

и = То / Dо

где Rи - среднее число исполнителей, чел.

и =12,65/5,6=3 чел.

Таблица 6 - Состав группы разработчиков программного средства

Обозначение исполнителя

Должность исполнителя

Должностной оклад, р./мес.

А

Руководитель проекта

12000

Б

Ведущий программист

10000

В

Программист

8000

Итого:


30000


Расчет и построение сетевого графика разработки программного средства

Длительность работы (tij) зависит от ее трудоемкости и количества исполнителей:


где Tij - трудоемкость работы i-j, чел-ч;

tp - продолжительность рабочего дня (полезное время), ч;

Rиij - численность исполнителей, одновременно выполняющих работу i-j, чел.;

kкд - коэффициент перевода рабочих дней в календарные (kкд = 1,4);

i-j - код работы в сетевом графике.

Таблица 7 - Перечень и длительность работ сетевого графика разработки программного средства

Код работы

Содержание работы

Трудоемкость работы, чел.-дн.

Исполнители

Длительность работы, календ. дни




Количество

Категории


1. Формирование требований к ПС, разработка концепции ПС

1 - 2

Обследование объекта и обоснование необходимости создания ПО

10

3

А, Б, В

1

0,66

2 - 3

Формирование требований пользователя к ПО

10

3

А, Б, В

1

0,66

3 - 4

Оформление отчета о выполненной работе и заявки на разработку ПО

10

3

А, Б, В

1

0,66

4 - 5

Изучение объекта

20

3

А, Б, В

1

1,16

5 - 6

Разработка вариантов концепции ПО

25

3

А, Б, В

2

1,46

6 - 7

Оформление отчета о выполненной работе

10

3

А, Б, В

1

0,66

Итого:

-

85

-

-

7

5,26

2. Техническое задание, эскизный проект

Выбор среды программирования

5

1

А

1

0,88

8 - 9

Разработка алгоритмов

10

2

Б, В

1

0,88

9 - 10

Разработка структуры хранения данных

10

2

Б, В

1

0,88

8 - 11

Разработка структурной схемы

10

1

А

2

1,75

10 - 11

Проведение итогового "стресс-теста"

10

3

А, Б, В

1

0,66

11 - 12

Разработка предварительных проектных решений по системе и ее частям

10

3

А, Б, В

1

0,66

12 - 15

Разработка документации на ПО и ее части

5

1

А

1

0,88

12 - 13

Разработка программных модулей

10

2

Б, В

1

0,88

13 - 14

Разработка интерфейса

5

1

А

1

0,88

14 - 15

Разработка справочной базы данных

10

3

А, Б, В

1

0,66

Итого:

-

85

-

-

11

9,01

3. Технический проект


15 - 16

Разработка документации на ПО и ее части

50

1

А, Б, В

9

8,75

15 - 19

Тестирование ПО

100

2

Б, В

9

8,75

16 - 17

Отладка и исправление недочетов

50

3

А, Б, В

3

2,92

17 - 18

Отладка аппаратной части

50

3

А, Б, В

3

2,92

18 - 19

Исправление ошибок и недочетов

48

3

А, Б, В

3

2,8

Итого:

-

298

-

-

27

26,14

4. Рабочая документация

19 - 20

Разработка рабочей документации на систему и ее части

1488

3

А, Б, В

91

86,8

Итого:

-

1488

-

-

91

86,8

5. Ввод в действие

20 - 22

Адаптация системы к условиям использования в информационной среде пользователя

30

1

А

3

5,25

20 - 21

Стыковка с используемыми ПО пользователя

30

2

Б, В

5

2,63

21 - 22

Настройка соответствующих форм

30

2

Б, В

3

2,63

22 - 23

Проведение предварительных испытаний

40

3

А, Б, В

2

2,33

23 - 24

Проведение приемочных испытаний и внедрение

40

3

А, Б, В

2

2,33

Итого:

-

170

-

-

15

15,17

Всего:

-

2126

-

-

148

142,38


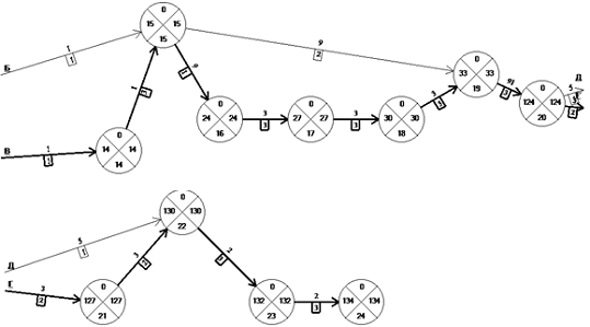
Сетевой график представлен в приложении А. Данное распределение работ является наилучшим и не нуждается в оптимизации.

Расчёт параметров сетевого графика представлен в приложении Б.

Ленточный график (календарно-сетевой график, диаграмма Гантта) представлен в приложении В.

Эпюра загрузки представлена в приложении Г.

Расчет затрат на создание ПС

Расчет затрат на разработку ПС производится по статьям расходов. На статью "Материалы" относится стоимость всех материальных ресурсов, с учетом транспортно-заготовительных расходов (ТЗР) - 5-10% от общей стоимости. Результаты расчетов заносятся в таблицу 8.

Таблица 8 - Расчет стоимости материалов

Наименование материала

Ед. изм.

Кол-во

Цена за ед. изм.

Сумма, р.

Бумага для принтера

пачки

5

135

675

DVD-RW диски

штуки

15

15

225

Канцелярские принадлежности и катриджи

-

-

-

1000

Итого:

1900

ТЗР (10 %)

190

Всего:

2090


На статью "Специальное оборудование и затраты на ЭВМ" относятся затраты на специальное оборудование (таблица 9) для автоматизации разработки программного обеспечения (с учетом транспортно-заготовительных расходов), а также затраты на электроэнергию.

Таблица 9 - Расчет стоимости специального оборудования

Наименование оборудования

Первоначальная стоимость, р.

Кол-во

Сумма, р.

1

Ноутбук Acer Aspire 5560G (A4 3305M 1900Mhz/15.6"/1366x768/4096Mb/500Gb/DVD-RW/Wi-Fi/Win 7 HB)

20000

3

60000

2

Лазерное МФУ HP LaserJet Pro M1132s MFP

6000

1

6000

3

Локальная сеть, в т.ч. Интернет

3500

1

3500

4

Комплектующие (мышь, сетевой фильтр)

1000

3

3000

5

Офисная мебель

10000

3

30000

6

UPS сетевойPowerCom

5000

1

5000

7

МиниАТС

15000

1

15000

8

Лицензионное ПО (комплект: Windows 7, MS Office 2010, Microsoft Visual Studio 2010)

30000

3

90000

9

Электроэнергия (кВт/ч)

2,24

500 в мес.

1120

Итого:



213620


Транспортные расходы по данной статье составят 10% от первоначальной стоимости оборудования (21362). Основная заработная плата производственного персонала определятся исходя из трудоемкости разработки программного средства и средней стоимости человеко-дня. Расчёт основной заработной платы выполняется на основе трудоёмкости выполнения каждого этапа в человеко-днях и величины месячного должностного оклада исполнителя. Среднее количество рабочих дней в месяце равно 21. Дневная заработная плата определяется делением размера оклада на количество рабочих дней в месяце. Результаты расчета основной заработной платы с разбивкой по стадиям разработки ПС представлены в таблице 10. Расходы на производственные командировки (на семинары, выставки, конференции и т.д.) представлены в таблице 11 (с учётом поездки на 100 км). Затраты на электроэнергию определяется в соответствии с установленной мощностью приемников, фондов рабочего времени в плановом периоде, и тарифом за 1 кВт/ч (на 2012 год стоимость 1 кВт/ч. составляет 2,24 р.).

Таблица 10 - Основная заработная плата исполнителей

Наименование стадии

Трудоемкость чел.-дн.

Часовая ставка, р

Основная заработная плата, р

Итого по стадии, р


Исполнители

Исполнители

Исполнители



А

Б

В

А

Б

В

А

Б

В


1.Формирование требований к ПС

7

7

7

71,4

59,5

47,6

499,8

416,5

333,2

1249,5

2.Техническое задание, эскизный проект

8

6

6

71,4

59,5

47,6

571,2

357

285,6

1213,8

 3.Технический проект

18

27

27

71,4

59,5

47,6

1285,2

1606,5

1285,2

4176,9

4. Рабочая документация

91

91

91

71,4

59,5

47,6

6497,4

5414,5

4331,6

16243,5

5.Ввод в действие

7

12

12

71,4

59,5

47,6

499,8

714

571,2

1785

Всего 24668,7


Таблица 11 - Расчет затрат на производственные командировки

Пункты и назначение командировок

Количество участников, чел.

Продолжитель-ность, дней

Суточные, р

Проживание, р

Прочие расходы, р.

Сумма

Работа с крупными организациями, постоянными клиентами

1

1-5

700/ 100 км

700

1000

400

2800


Дополнительная заработная плата составляет 10% от основной заработной платы. Страховые взносы принимаются в установленном законодательством размере 30% от суммы основной и дополнительной заработной платы. Накладные расходы - это затраты на управление и хозяйственное обслуживание организации-разработчика в размере 30% от основной заработной платы персонала. К статье "Прочие прямые расходы" относят оплату консультаций и экспертиз, непредвиденных расходов. На статью "Контрагентские расходы" относится стоимость работ и услуг, выполняемых сторонними организациями для данной разработки. Прочие прямые расходы равны 10 % от общей суммы затрат на разработку программного средства. Расчет затрат, связанных с организацией рабочих мест для работников предприятия (затраты на приобретение или аренду помещений) проведём, ориентируясь на требования СНИПа. В соответствии с санитарными нормами расстояние между рабочими столами с видеомониторами должно быть не менее 2 метров, а площадь на одно рабочее место с терминалом или ПК должна составлять не менее 6 кв.м. Помещения должны быть оборудованы системами отопления, кондиционирования воздуха или эффективной приточно-вытяжной вентиляцией. Помещение для работы предприятия может быть приобретено в собственность или подобрано на правах аренды. Укрупненные затраты рассчитываются исходя из условий рыночной стоимости 1м2 приобретения или аренды здания (помещения). Результаты расчетов по статьям затрат сведены в таблицу 12.

Таблица 12 - Калькуляция затрат на разработку ПС

№ п/п

Наименование статьи затрат

Сумма, р.

1

Материалы

2090

2

Специальное оборудование и затраты на ЭВМ

213620

3

Основная заработная плата производственного персонала

24668,7

4

Дополнительная заработная плата

2466,9

5

Страховые взносы

8140,7

6

Накладные расходы

7400,6

7

Расходы на производственные командировки

2800

8

Контрагентские расходы

0

9

Расходы на помещения

112000

10

Прочие прямые расходы

37318,7

Итого сметная стоимость:

410505,6


7. План производства продукции

Офис будет располагаться в центре города, иметь доступные подъездные пути. Комфортные рабочие условия обеспечиваются сотрудникам благодаря хорошей вентиляции помещения и достаточном солнечном освещении. Производственный и обслуживающий персонал высококвалифицированный. Программное средство будет распространяться методом прямых заказов и непосредственно в офисе. Закупка расходных материалов и техники будет производиться в фирме "Полюс". Для создания предприятия был использован кредит в Сбербанке под 17% годовых (на 3 года) таким образом, надо будет вернуть 619865 рублей (взято 410505,6 рублей). Затраты на материалы устанавливаются в соответствии с потребностью (программа выпуска) в них и ценой приобретения. Оценка возможных издержек производства и их динамики на перспективу приведены в таблице 13.

Таблица 13 - Затраты на производство и реализацию программных средств, р.

Наименование показателя

Год работы


1-й

2-й

3-й


квартал

полугодие



1

2

3

4

1

2


Электроэнергия за 1кВт/ч (500 кВт/ч в месяц)

1120

1120

1120

1120

2240

2240

4480

Материалы

15600

19500

22750

26000

71500

78000

169000

Транспортные расходы (5% от стоимости материала)

780

975

1137

1300

3575

3900

8450

Оплата труда

108000

108000

108000

108000

216000

216000

432000

Страховые взносы

32400

32400

32400

32400

64800

64800

129600

Амортизация основных фондов

10000

10000

10000

10000

20000

20000

40000

 Страхование имущества

2500

2500

2500

2500

5000

5000

10000

Ремонтный фонд

2000

2000

2000

2000

4000

4000

8000

Платежи по кредитам

51656

51656

51656

51656

103312

103312

206624

Затраты на командировки

5600

5600

5600

5600

11200

11200

22400

Плата за аренду

42000

42000

42000

42000

84000

84000

168000

Затраты на рекламу

18000

18000

18000

18000

36000

36000

72000

Прочие затраты

10000

10000

10000

10000

20000

20000

40000

Итого затраты на производство и реализацию ПС

298648

303751

307163

310576

641627

648452

1310554


Расходы на оплату труда определяются с учетом численности работников и их должностных окладов. Сюда же включается дополнительная заработная плата в размере 20% от фонда заработной платы. Страховые взносы определяются по установленным законодательством нормами от затрат на оплату труда (30% на 2012г.). В элементе затрат "Амортизация основных фондов" отражается годовая сумма амортизационных отчислений на полное восстановление основных производственных фондов, базой расчета является их балансовая стоимость и утвержденных в установленном порядке норм, включая и ускоренную амортизацию их активной части, арендованным основным фондам. Расходы на страхование имущества определяются в соответствии с нормами, установленными законодательством, от стоимости имущества. Отчисления в ремонтный фонд определяются исходя из балансовой стоимости основных производственных фондов и нормативов отчислений 12%. Платежи по кредитам включаются в себестоимость в пределах ставок, установленных законодательством (на 2012 г. - 17%). Затраты на командировки устанавливаются в соответствии с длительностью командировок и установленными законодательством затрат. Плата за аренду устанавливается в соответствии с договором, а затраты на рекламу - в сумме, составляющей не более 2% выручки от реализации продукции за год. Прочие затраты включают все виды расходов, не включенных в другие статьи.

8. Организационный план

Для начала работы предприятия достаточно будет минимальное число сотрудников, к которым будут предъявляться следующие требования:

Директор - высшее образование (в/о), возраст - от 32 лет, опыт работы (о/п) - не менее 8 лет, заработная плата (з/п) - 12 тыс. руб., ненормированный рабочий день.

Отдел программистов (2 человека) - в/о техническое, о/п - не менее 2 лет, з/п главного программиста - 10 тыс. руб., программиста - 8 тыс. руб.

Отдел маркетинга и менеджмента (2 человека) - в/о экономическое, о/п - не менее 2 лет, з/п - 8 тыс. руб.

Бухгалтерско-экономический отдел (2 человека) - в/о экономическое, о/п - не менее 3 лет, з/п - 9 тыс. руб.

Уборщица - з/п 6 тыс. руб.

Охранник - з/п 7 тыс. руб.

Для неуказанных сотрудников 8 часовой рабочий день.

Контроль деятельности сотрудников осуществляет директор. Отделы маркетинга, менеджмента и бухгалтерско-экономический, помимо директора, взаимодействует друг с другом. Отдел программистов подчиняется директору, взаимодействуя с отделом маркетинга и менеджмента.

9. Юридический план

Правовой статус фирмы - Общество с ограниченной ответственностью (ООО).

Причины выбора этой организационно правовой формы следующие:

• при небольшой прибыли возможно использовать упрощенную систему налогообложения.

• возможность самостоятельно принимать решения в рамках своей деятельности.

• нет постоянного налога, в отличие от ИП, все налоги платятся только с доходов.

Главные минусы при данной ОПФ - это размер уставного капитала, вносимый на расчетный счет организации, а так же более сложная процедура регистрации по сравнению с регистрацией ИП:

требуется большее количество предоставляемых при регистрации документов:

) подписанное заявителем заявление о государственной регистрации юридического лица при создании по форме № Р11001;

) решение о создании юридического лица виде протокола, договора или иного документа;

) учредительные документы юридического лица (подлинники или засвидетельствованные в нотариальном порядке копии);

) документ об оплате государственной пошлины, в размере 4000 руб.

Государственная регистрация юридических лиц при их создании осуществляется регистрирующими органами по месту нахождения постоянно действующего исполнительного органа, в случае отсутствия постоянно действующего исполнительного органа - по месту нахождения иного органа или лица, имеющих право действовать от имени юридического лица без доверенности, то есть ООО нужен адрес местонахождения (юридический адрес).

10. Оценка рисков и страхование

Благодаря многочисленности нашего целевого рынка, ООО "Современные технологии" считает, что риски, связанные с экономическим спадом, почти сведены на нет разнообразием нашей потребительской базы.

Риски от пожаров, ураганов, хищений и других подобных обстоятельств, включая землетрясение, будут покрыты обычными страховыми полисами.

Возможны, однако, риски, связанные с различными источниками их возникновения.

Коммерческие риски:

• риск, связанный с реализацией товара;

• риск, связанный с перевозкой или транспортный риск;

• риск, связанный с приемкой товара покупателем. Политические риски:

• риск, связанный с забастовками во время перевозки товара покупателю.

Источники возникновения рисков:

• недостаточная информация о спросе на данный товар;

• недостаточный анализ рынка;

• недооценка своих конкурентов;

• падение спроса на данный товар.

Действие перечисленных рисков можно ограничить путем строгой проверки финансового положения и репутации будущего оптового клиента. Можно также хотя бы частично перекладывать риски на других партнеров (например, риск потери или повреждения товара - на страховое общество). Мы также застрахуем наше оборудование на 3 года, уплатив 10% от его балансовой стоимости.

11. Финансовый план и стратегия финансирования

Рассмотрим источники инвестиций для осуществления данного проекта (собственные и заемные), которые отражаются в таблице 14. Оформим заявку на кредит и его получение по форме, представленной в таблице 15.

Таблица 14 - Средства финансирования проекта

Наименование показателя

Сумма, р.

1. Собственные средства предприятия (акционерный капитал)

0

2. Привлеченные средства (кредиты банков, заемные средства других организаций, бюджетные средства)

410505,6


Таблица 15 - Заявка на получение кредита

Показатель

Величина (цифры условные)

1. Сумма кредита

410505,6 рублей

2. Ставка по кредиту

17% годовых

3. Срок погашения кредита

3 года

4. Условия погашения кредита

ежемесячные выплаты

5. Форма обеспечения кредита (залог, заклад, поручительство, гарантия)

поручительство третьих лиц

6. Источники погашения

доход от продаж


Ниже представлены два стандартных документа: отчет о чистых доходах (таблица 16).

Таблица 16 - Отчет о чистых доходах

Наименование показателя

Год работы


1-й

2-й

3-й


квартал

полугодие



1

2

3

4

1

2


Выручка от реализации продукции (без НДС)

4200000

5250000

6125000

7000000

19250000

21000000

45500000

Себестоимость реализованной продукции

298648

303751

307163

310576

641627

648452

1310554

Прибыль от реализации

3901352

4946249

5817837

6689424

18608373

20351548

44189446

Налог на прибыль 20%

780271

989250

1163568

1337885

3721675

4070310

8837890

Чистая прибыль

3121081

3956999

4654269

5351539

14886698

16281238

35351556


Заключение

В результате выполнения курсового проекта по дисциплине "Организация и планирование производства" на тему "Разработка бизнес-плана фирмы, действующей в информационном бизнесе" были рассчитаны технико-экономические показатели предприятия. В курсовом проекте были рассчитаны показатели принимаемых решений по созданию нового производства и оценке эффективности инвестиций, затраты на материальные затраты, на оборудование предприятия, потребность в основных средствах, трудовые ресурсы и так далее. Что позволит увидеть положение производства. Данный курсовой проект является примером составления бизнес-плана, так как содержит и рассматривает в себе основные пункты планирования и показывает подробный численный и теоретический анализ каждого. В результате можно сделать вывод о рентабельности создания предприятия в сфере IT услуг и его успешного функционировании и развитии.

Список используемой литературы

ГОСТ 34.601-90 Информационная технология. Комплекс стандартов на автоматизированные системы. Автоматизированные системы. Стадии создания.

Липаев В. В. Методы обеспечения качества крупно-масштабных программных средств. - М.: Синтег, 2003. 520с.

Методические указания (№169-2000) по выполнению курсовой работы по курсу: "Организация управления производством" для студентов специальности 220300 "Системы автоматизированного проектирования" дневной формы обучения/ Воронеж. гос. техн. ун-т; Сост. И.П. Кондратьева. Воронеж, 2000. 17 с.

Рощупкина И.В., Огарков М.Ю., Стасюк И.А Выбор параметров для оценки конкурентоспособности программных средств // Проблемы экономики и менеджмента в машиностроении: межвуз. сб. науч. тр. Воронеж.: ВГТУ, 2002

Воронин С.И. Маркетинг: Учеб. пособие. Воронеж: Изд-во ВГТУ, 2000. 110 с.

Голубков Е.П. Маркетинговые исследования: теория, методология и практика; 2-е изд., перераб. и доп. - М.: Финпресс, 2000. 464с.

Завьялов П.С. Маркетинг в схемах, рисунках, таблицах: Учеб. пособие. М.: ИНФРА-М, 2000. 496 с.

Инвестиционное проектирование: Практическое руководство по экономическому обоснованию инвестиционных проектов / Под ред. С.И. Шумилина. - М.: Финстатинформ, 1995. 240с.

Котлер Ф. Основы маркетинга: Пер. с англ. / Под общ. ред. Е.М. Пеньковой. М.: Прогресс, 1990. 736 с.

рынок конкурентоспособность программный риск

Приложение А

Сетевой график


Приложение Б

Расчет резервов времени работ


Расчет критического пути и его общей продолжительности


Приложение В

График Гантта


Приложение Д

Эпюра загрузки

Похожие работы на - Разработка бизнес-плана фирмы, действующей в информационном бизнесе

 

Не нашли материал для своей работы?
Поможем написать уникальную работу
Без плагиата!
Без нейросетей!