Решение гидродинамических задач методом конформных отображений
Решение
гидродинамических задач методом конформных отображений
гидродинамический
задача отображение переменный
Введение
Широкий круг проблем гидромеханики приводит к
постановке задач об отыскании потенциального движения идеальной жидкости в
области, ограниченной частично твердыми стенками, а частично - свободной
поверхностью. Форма свободной поверхности заранее неизвестна, ее нужно
определять в процессе решения задачи с помощью дополнительных условий на этой
поверхности. В тех случаях, когда влиянием силы тяжести и поверхностного
напряжения на движение можно пренебречь, в установившихся движениях, как
следует из интеграла Бернулли, на свободной поверхности, вдоль которой жидкость
соприкасается с областью постоянного давления, скорость жидкости постоянна.
Типичными задачами с условиями такого типа являются задачи об истечении струй
из отверстия в сосуде и о соударении струй, натекании на тело струи жидкости
конечной толщины, глиссировании с большой скоростью тела по поверхности
жидкости. К таким же задачам относятся задачи об обтекании тел неограниченным
потоком со срывом струй и с образованием за телом застойных зон или
кавитационных полостей с постоянным давлением. В случае плоских течений при
решении всех этих задач используются техника конформных отображений,
вариационный метод и метод интегральных уравнений. Решение пространственных
задач значительно труднее и опирается на численные методы.
Вывод уравнения гидродинамики
Пусть в пространстве имеется стационарный поток
жидкости. Будем считать жидкость несжимаемой (ρ=const).
Такой поток характеризуется скоростью υ,
причем если течение жидкости не вихревое, то скорость является потенциальным
вектором, т.е.
(1) где
-потенциал
скорости.
Рассмотрим элементарный объем в форме
параллелепипеда и подсчитаем поток через поверхность этого объема за единицу
времени
(2)
Условие стационарности потока (сколько жидкости
втекает в объем, столько же и вытекает из него) дает
(3)
Учитывая соотношение (1) получим из (3)
(4)
то есть потенциал скорости удовлетворяет
уравнению Лапласа.
Рассмотрим задачу об обтекании твердого тела
потоком жидкости. Пусть некоторое тело, ограниченное поверхностью S, помещено в поток
жидкости, движущейся с заданной скоростью
. Поток жидкости
предполагается однородным. Наша задача определить поле скоростей в этом потоке.
Представим потенциал скоростей в любой точке
потока как сумму
, где
- потенциал
однородного невозмущенного потока (когда тело отсутствует)
,
а
- возмущение из-за
отсутствия тела в потоке. Здесь, очевидно,
,
,
-
углы, которые составляет вектор скорости
с
координатными осями.
Потенциал
удовлетворяет
уравнению (4) во всем пространстве, то есть
Условия на границе S
имеет вид
(5)
где f(P)
- заданная функция точки P
S.
Граничное условие вытекает из требования, что
нормальная составляющая скорости на границе тела равна нулю. Кроме того, должно
выполняться условия затухания возмущений на бесконечности, то есть
(6)
Таким образом, задача об обтекании твердого тела
потоком жидкости сводится к интегрированию уравнения Лапласа при условиях (5) и
(6).
Понятие конформного отображения
Геометрические преобразования, при которых
величины углов между любыми двумя линиями, содержащимися в преобразуемой
фигуре, не изменяются, называются конформными преобразованиями или
отображениями. Широкое применение конформные отображения находят в
гидромеханике. Обсудим лишь общую идею метода.
Рассмотрим две координатные сетки на
плоскостях комплексных переменных
и
(рис. 6.14).
В плоскости z имеется
какая-то фигура (A), которую необходимо отобразить на
плоскость
. Эта
операция может быть выполнена при одном непременном условии: должно быть
известно соотношение, устанавливающее связь
и z, т.е.
. Эта
зависимость носит название отображающей функции. Предположим, что она нам
известна. Тогда, задавшись какой-то произвольной точкой на контуре A, например
1, можно вычислить
, и
подставив это значение в отображающую функцию, найти значение
и
соответствующую точку на плоскости
(1'). Повторив эти операции для
точек 2, 3 и т.д., найдем 2', 3', ... . В результате этих действий получим
контур B на
плоскости
, т.е.
контур A отобразился
в контур B. Такое
преобразование получило название конформного. В теории функций комплексного
переменного доказывается, что модуль производной
характеризует изменение линейных
размеров области при преобразовании, а аргумент ее определяет угол поворота
радиуса-вектора. При этом преобразование, осуществляемое аналитической
функцией, сохраняет эти углы во всех точках, где производная отображающей
функции отличается от нуля. Теперь вопрос может быть сформулирован таким
образом: какие же практические преимущества можно получить, используя метод
конформных отображений?
Рис.
Остановимся лишь на одном, но крайне важном
случае. Как известно, одной из главных задач расчета крыля является определение
его подъемной силы. Для ее нахождения необходимо знать скорости частиц в каждой
точке потока, обтекающего крыло. Крыловой профиль - достаточно сложная фигура,
и рассчитать скорости теоретическим путем не представляется возможным. Но, как
было показано выше, расчет легко выполняется для цилиндра. Поэтому задача была
бы решена, если бы удалось заменить обтекание крылового профиля обтеканием
цилиндра. Это можно сделать с помощью конформного отображения.
Рассмотрим рис. 6.15. Конформно отобразив
фигуру, заштрихованную на рис. 6.15а (внешность профиля) на заштрихованную
фигуру рис. 6.15б (внешность окружности) мы сводим задачу обтекания профиля к
задаче обтекания цилиндра. Рассчитав скорость в любой точке цилиндра, обратным
переходом можно найти скорость в соответствующей ей точке профиля.
Рис.
Нахождение вида отображающей функции,
позволяющей осуществить требуемое конкретными условиями рассматриваемой задачи
конформное отображение, является отдельным специальным вопросом. Решение
рассмотренной выше задачи было найдено Н.Е.Жуковским. Отображающая функция в
этом случае имеет вид
Гидромеханический
смысл аналитических функций
Аналитические функции играют фундаментальную
роль в различных теоретических и практических вопросах, в аэро- и
гидромеханике, в теории теплопроводности, при решении многих задач электро- и
радиотехники, в теории упругости и в других вопросах. В связи с этим для более
полного понимания рассматриваемых ниже вопросов выясним предварительно
гидромеханический смысл аналитических функций комплексного переменного.
Будем рассматривать установившееся
плоско-параллельное движение несжимаемой однородной жидкости. Движение жидкости
называется плоско-параллельным, или плоским, когда все частицы жидкости,
которые лежат в определенный момент в некоторой плоскости хОу во время движения
остаются в той же самой плоскости и движение во всех плоскостях, параллельных
хОу, совпадает с движением в этой плоскости. В таком случае достаточно следить
лишь за движением в плоскости хОу, т. е. рассматривать все движение не как
пространственное, а как плоское.
Пусть
,
-
проекции вектора скорости v
частицы жидкости, находящейся в данной точке. Считая область движения жидкости G
(т. е. область плоскости, которая занята движущейся жидкостью) односвязной,
предположим поток свободным от источников. Это означает, что ни в какой части
области G жидкость не
возникает и не исчезает, т. е. в каждой частичной области, принадлежащей U, с течением времени
происходит изменение состояния жидкости исключительно посредством притока или
утечки жидкости через границы этой частичной области. Сделанное предположение
приводит к условию, которому должен удовлетворять вектор скорости V.
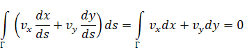
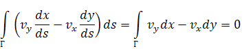
Рассмотрим произвольную замкнутую
кусочно-гладкую кривую
Г в области G
и обозначим
нормальную к Г
составляющую вектора
, считая положительное направление
нормали, идущим от Г внутрь области. Тогда выражение
в котором ds
обозначает элемент дуги Г, будет пропорционально увеличению количества
жидкости, протекающему за единицу времени в области, ограниченной кривой Г.
Вследствие предположения об отсутствии источников это выражение должно быть
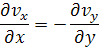
равно нулю, какова бы ни была линия Г, принадлежащая G. Заметив, что
получаем условие
Отсюда на основании известной теоремы о
независимости криволинейного интеграла от пути интегрирования заключаем:
свободный от источников поток жидкости характеризуется равенством (1):
Равенство (1) должно иметь место в каждой точке
односвязной области G, в которой нет источников у рассматриваемого потока
жидкости. Обозначим далее через
составляющую
вектора скорости v в направлении касательной к кривой Г, считая в качестве
положительного направления кривой то направление, при котором область,
внутренняя к Г, остается слева.
Выражение
называют
циркуляцией потока вдоль кривой Г.
Поток жидкости называется невихревым в G, если
его циркуляция вдоль произвольной замкнутой кривой Г, принадлежащей G, есть
нуль. Заметив, что
Условие невихревого потока запишем
так:
Воспользовавшись снова теоремой о независимости
криволинейного интеграла от пути, получаем (2):
Физический смысл равенства (2) заключается в
том, что оно выражает отсутствие вихрей в рассматриваемом движении жидкости.
Вихрь скорости характеризует вращательное движение частицы жидкости вокруг
своей мгновенной оси, проходящей через центр, находящийся внутри частицы. Если
предположить, что частица жидкости отвердела бы, то угловая скорость ее
вращения в точке (х,у) имела бы значение
Равенство (2) и показывает, что угловая скорость
такого вращения равна нулю.
Таким образом, отсутствие вихрей в данной
области означает, что частица жидкости в каждой точке этой области может иметь
только поступательное движение и подвергаться некоторой деформации, но не может
испытывать вихревого вращения, угловая скорость которого равна
.
Однако, это не означает, что весь поток в целом
должен двигаться только прямолинейно. Если частицы жидкости испытывают
некоторую деформацию в каждой точке, то их траектории в общем случае уже будут
криволинейны.
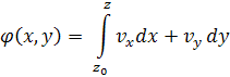
С другой стороны, как известно, при выполнении
условия (2) подынтегральное выражение
является
полным дифференциалом
некоторой функции φ,
определяемой равенством
Причем (3):
Откуда

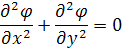
Если невихревой поток свободен также и от
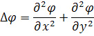
источников, тогда условия (1) и (2) выполняются одновременно. Внося в этом
случае выражения (3) в уравнение (1), найдем
Это уравнение, играющее важную роль в
математической физике, называется уравнением Лапласа, а его решения ф получили
название гармонических функций. Вводя специальный символ (называемый оператором
Лапласа)
Уравнению Лапласа можно придать следующий вид:
Таким образом, каждый стационарный невихревой и
свободный от источников поток несжимаемой жидкости обладает потенциалом
скоростей φ(х,у),
удовлетворяющим дифференциальному уравнению Лапласа. Легко показать, что и
сопряженная функция ψ (х,у) также
удовлетворяет уравнению Лапласа:
.
Кривые φ
= const называются эквипотенциальными линиями или линиями уровня, а кривые ψ
= const линиями тока.
Вдоль линий φ
= const нет движения жидкости, так как жидкость течет всюду к ним
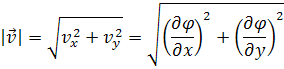
перпендикулярно. Действительно, обозначая теперь
составляющую
скорости
в
произвольном направлении s очевидно имеем
Отсюда в силу (3) получаем:
и, следовательно, для линий φ(x,y)=C=const получим
Итак, рассматриваемое движение жидкости может
быть полностью охарактеризовано двумя гармоническими функциями φ(х,у)
и ψ
(х,у).
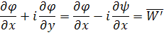
Сравнивая уравнения (3) и (5), видим, что
функции φ
и ψ
связаны соотношениями Даламбера - Эйлера (8):
Следовательно, поток жидкости можем
характеризовать одной функцией комплексного переменного
W(z)=φ(x,y) + iψ(x,y)
которая в силу условий (8) будет аналитической.
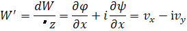
Эта функция называется характеристической
функцией потока или комплексным потенциалом, а ее производная
называется комплексной скоростью; вектору же
скорости жидкости отвечает сопряженное значение производной от комплексного
потенциала
Таким образом, всякому невихревому и свободному
от источников в односвязной области G стационарному потоку несжимаемой жидкости
соответствует характеристическая функция W (г), аналитическая в области G, и
обратно, любой аналитической в G функции W (z) соответствует определенная
кинематически возможная картина движения идеальной жидкости.
Эквипотенциальные линии
φ=const
и линии тока
ψ=const
в плоскости W будут изображаться семейством
координатных прямых. Так как последние взаимно ортогональны, то в силу
конформности отображения, осуществляемого аналитической функцией W (z),
эквипотенциальные линии и линии тока и в плоскости движения z останутся
ортогональными во всех тех точках, которых
(z)
≠ 0,
т. е., где скорость движения отлична от нуля.
Следовательно, при стационарном движении линии ψ=const
будут совпадать с траекториями частиц.
Этим фактом и объясняется само название линии
тока. Если вместо W (z) рассматривать комплексный потенциал iW (z), то линии
тока станут эквипотенциальными и, наоборот, эквипотенциальные линии перейдут в
линии тока. Таким образом, каждая аналитическая функция описывает двt
возможные картины движения жидкости.
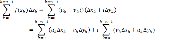
Интегрирование
функций комплексного переменного
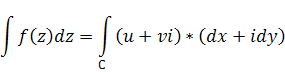
Пусть w=f(z) есть произвольная непрерывная
функция комплексного переменного z, определенная в некоторой области G
плоскости переменного z, и С - произвольная гладкая линия, лежащая в этой
области, с началом в точке z0 и концом в точке z.
Рис.
Разобьем дугу z0z линии С на n частичных дуг с
помощью точек z0, z1, z2,…, zn-1, zn=z, расположенных последовательно в
положительном направлении линии С.Каждой частичной дуге поставим в соответствие
число f(zk)∆zk, полученное от умножения значения данной функции в левом
конце этой дуги на соответствующее этой дуге приращение ∆zk переменного
z: ∆zk=zk+1-zk. Составим, далее, сумму всех таких произведений,
распространив ее на все частичные дуги (1):
Заставляя максимум длин всех частичных дуг
стремиться к нулю, докажем, что выражение (1) стремится к определенному
конечному пределу, не зависящему от того закона, по которому все частичные дуги
стремятся к нулю. С этой целью, введя обозначения
представим выражение (1) в виде (2):
Заставляя максимум длин всех частичных дуг
стремиться к нулю, мы видим, что обе суммы правой части последнего равенства
(2) стремятся соответственно к пределам:
Следовательно, левая часть равенства (2)
стремится к определенному конечному пределу, когда длины всех частичных дуг по
произвольному закону стремятся к нулю. Этот предел мы назовем интегралом от
f(z)dz вдоль линии С и обозначим через
. Итак (3):
Формула (3) дает выражение интеграла по
комплексному переменному через два действительных криволинейных интеграла. Ее
можно переписать в следующей форме:
Для фактического вычисления интеграла по
комплексному переменному, предполагая уравнение линии С в виде z=z(t), (α≤t≤β),
имеем(4):
Или
где R(t) и I(t) - действительная часть и
коэффициент при мнимой части выражения f|z(t)|z/(t).
Если мы имеем произвольную кусочно-гладкую линию
Г, состоящую из гладких линий С1, С2,…, Cn,…, то по определению полагаем
Общее решение
задачи об обтекании круглого цилиндра
Рассмотрим построение комплексного потенциала
для потока жидкости, обтекающей круглый цилиндр.
Пусть требуется найти комплексный потенциал для
течения жидкости в области |z|>R
в предположении, что скорость в бесконечно удаленной точке есть U+iV
и в области R<|z|<∞
отсутствуют источники, стоки и вихревые точки. Тогда для произвольной
комплексного
потенциала, являющейся сопряженной со скоростью в точке z, получаем, что она
должна быть однозначной аналитической функцией в области R<|z|<∞,
принимающей конечное значение U-iV
в бесконечно удаленной точке. Следовательно, бесконечно удаленная точка
является правильной для нее, и мы получаем:
Мы приняли здесь постоянную интегрирования
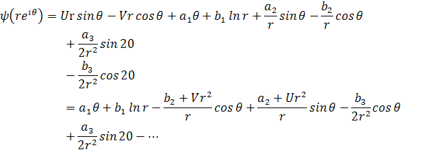
равной нулю. Чтобы получить отсюда функцию тока
, положим:
Будем иметь:
Так как окружность |z|=К
является одной из линий тока, то функция
должна
сохранять постоянное значение при r=R
и любых значениях θ. Из
найденного разложения для
, сходящегося при r>R, следует, что мы
удовлетворим поставленным условиям, если положим:
При таком выборе коэффициентов будем иметь:
(
- произвольное
действительное число).
Откуда
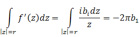
Поэтому поток жидкости через окружность |z|=r
равен нулю, а циркуляция скорости вдоль той же окружности равна
. Выбирая надлежещим
образом
, мы можем получить
любое, наперед заданное значение циркуляции Г:
, откуда
, следовательно
можно
переписать в виде:
Где мы ввели еще произвольное постоянное
слагаемое С.
Комплексный потенциал представляется здесь в
виде суммы чисто циркуляционного течения
, соответсвующего
вихрям с интенсивностью Г в начале координат и в бесконечно удаленной точке, и
течения без циркуляции
Покажем что приведенная формула дает наиболее
общее решение задачи об обтекании цилиндра с заданной скоростью U+iV
в бесконечно удаленной точке и с заданной циркуляцией Г. В самом деле, пусть
-
комплексный потенциал, удовлетворяющий тем де условиям. Тогда, разность
, сопряженная с
разностью скоростей частиц жидкости, участвующих в первом и втором движениях,
является обнознаяной аналитической функцией в области |z|>R, обращающейся в
нуль в бесконечно удаленной точке.
Следовательно
Откуда
где
- произвольный
замкнутый контур, содержащий внутри окружность |z|=R.
Так как циркуляции двух скоростей вдоль
должны
быть равными между собой, то
т.е.
является
действительным числом. Для разности комплексных потенциалов
получаем
и для разности их мнимых частей, т.е. функции
тока:
где через
обозначены
действительные и через
мнимые части
коэффициентов
. По смыслу задачи окружность r=R
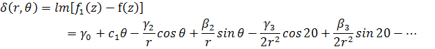
должна быть линией тока для каждого из рассматриваемых течений, поэтому δ(r, θ),
следует что δ(r, θ)
-
есть
однозначная функция от
. В частности, однозначной функцией θ
должна быть и функция δ(R, θ)
-
=
с -
, откуда следует,
что
.
Итак
Мы видим, что
- однозначная
гармоническая функция в области r>R, сохраняющая
постоянное значение с на окружности r=R. Отсюда следует что
, а следовательно, и
аналитическая функция
, мнимой частью которой является
есть
постоянное
.
Итак
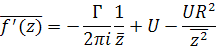
Для потенциала скоростей и функции тока течения,
определяемого функцией
(z),
имеем следующее выражение
=-
Следовательно, уравнения линий равного
потенциала и линий тока соответственно суть:
При Г≠0 кривые называются
трансцендентными, вид которых зависит от соотношения между Г и U+iV. Допустим для
простоты, что V=0 (к этому случаю
всегда можно прийти поворотом осей координат), и найдем критические точки
течения.
Следует что эти точки удовлетворяют квадратному
уравнению
Или
Если |Г|>4πR|U|,
то обе критические точки
и
являются
чисто мнимыми, причем из соотношения
видно,
что только одна из них лежит вне окружности |z|=R, т.е. в области,
занятой жидкостью. Линии тока для этого изображены на рисунке 1. Если |Г|=4πR|U|,
то мы получаем лишь одну критическую точку, лежащую на пересечении окружности |z|=R
с мнимой осью (рисунок 2). Наконец при |Г|<4πR|U|
существуют, как и в случае потока без цирукляции две критические точки, лежащие
на окружности |z|=R
симметрично относительно мнимой оси (рисунок 3):
Список использованной литературы
1.Голосков
Д.П. Уравнения математической физики. Решение задач в системе Maple. - К.:
Питер, 2004. - 544с
.Фильчаков
П.Ф. Приближенные методы конформных отображений. - К.: Наукова думка, 1964. -
530 с.
.Астарита
Дж., Марручи Дж. Основы гидромеханики неньютоновских жидкостей. - М.: Мир,
1978.-307с.
.Коппенфельс
В., Штальман Ф. Практика конформных отображений. - Издательство иностранной
литературы, Москва 1963.-407с.
.Говурин
М.К. Кантарови Л.В. Приближенные и численные методы. //Математика в СССР за
сорок лет - М.-Л. Физматгиз, 1962
.Угодчиков
А.Г., Длугач М.И., Степанов А.Е. Решение краевых задач плоской теории упругости
на цифровых и аналоговых машинах. Учеб. пособие для вузов. М.: Высш. школа 1970
.Арутунян
Н.Х. Абрамян Б.Л. кручение упругих тел. - М.:Физматгиз, 1963