Применение обобщенные степеней Берса при решении уравнения Шредингера
Министерство
образования и науки Российской Федерации
Калужский
государственный университет им. К.Э.Циолковского
Реферат
по физике
Применение
обобщенные степеней Берса при решении уравнения Шредингера
Калуга, 2012
1. Квантовый
гармонический осциллятор
Гармоническим осциллятором называется система, способная
совершать гармонические колебания. Модель гармонического осциллятора играет
важную роль, особенно при исследовании малых колебаний систем около положения
устойчивого равновесия. Примером таких колебаний в квантовой механике являются
колебания атомов в твердых телах, молекулах и т.д.
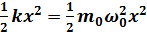
Осциллятор обладает кинетической энергией
=
,
Потенциальной
U=
,
где
- собственная частота осциллятора.
Полная механическая энергия имеет постоянное значение
E =
+ U.
В классической механике задача об осцилляторе сводится к рассмотрению
груза на пружине, маятнику. На груз в этом случае действует сила, которая
пытается вернуть его в положение равновесия ( квазиупругая сила). Энергия может
принимать любые значения.
2. Уравнение
Шредингера и методы его решения
Квантово-механическая задача о гармоническом осцилляторе сводится к
задаче о движении частицы в параболической потенциальной яме.
В квантовой механике для решения задачи о гармоническом осциллятор нужно
решить уравнение Шредингера
(2)
с помощью степенных рядов;
методом Фока - в квантовой механике приближённый метод решения уравнения
Шредингера путём сведения многочастичной задачи к одночастичной в
предположении, что каждая частица двигается в некотором усреднённом
самосогласованном поле, создаваемом всеми остальными частицами системы;
матричный метод;
используя метод ОСБ.
3. Решение
уравнения Шредингера через полиномы Эрмита
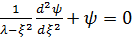
Вводя величины
и
и переходя к новой безразмерной
переменной ξ=
, приводим уравнение (2) к виду
=0 (3)
Волновые функции, являющиеся решением уравнения (3), будут непрерывными и
конечными не при всех значениях параметра
, а лишь при
=2n+1,
n=0,1,2,3, …
Выражая энергию осциллятора E через
, получаем
уравнение шредингер решение берс
En=
) n=0,1,2,3,
… (4)
Это соотношение определяет закон квантования энергии гармонического
осциллятора.
Энергетические уровни гармонического осциллятора, являются
эквидистантными, то есть, расположены на одинаковом энергетическом расстоянии
друг от друга
Важной особенностью является наличие так называемых нулевых колебаний -
колебаний с энергией E0=
, соответствующих значению квантового
числа n=0. Значение нулевой энергии E0=
- минимальное значение энергии
осциллятора
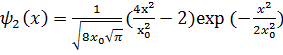
Волновые функции, являющиеся решениями уравнения
=0 , имеют вид
n=0,1,2,3,
…
где
- полином Чебышева-Эрмита n-го порядка, определяемый выражением
Вид волновых функций для первых трех энергетических уровней
гармонического осциллятора
n=1,
n=2,
Графики волновых функций для значений квантового числа n от 0 до 5 представлены на рис.
4. Особенности
волновых функций, являющихся решением уравнения
Волновые функции гармонического осциллятора обладают определенной
четностью. Они являются четными функциями координаты x при четных значениях n и при n=0,
и нечетными функциями при нечетных n. Значение квантового числа n определяет также число точек пересечения волновой функции с осью x. В основном состоянии, т.е. при n=0, точки пересечения внутри параболической ямы
отсутствуют, при n=1 имеется одна точка пересечения, при n=2 - две и так далее. Таким образом, при увеличении
квантового числа n на единицу
волновая функция гармонического осциллятора меняет четность и приобретает
добавочную точку пересечения с осью x.
Если
=0, то это точка перегиба кривой
и, следовательно, в этой точке
=0 . Это соотношение
выполняется, если
=0 , а также может быть
0 ,
тогда
5. Метод
обобщенных степеней Берса
Мы можем найти решение уравнения Шредингера используя обобщенные степени.
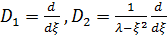
Уравнение Шрёдингера мы можем записать в виде:
,
где
В результате дифференцирования получим уравнение:
или
=0
Решение уравнения будет записываться в следующем виде:
Обобщенные степени Берса (ОСБ)
с нуль - точкой
это последовательность функций
определенная выражениями
X(2p)(x,
)
=
2p
p
= 1,2, …(2p+1)(x,
)
=
(2p+1)
p
= 0,1, …
(2p)
(x,
)= 2p
,
(2p+1)
(x,
)= (2p+1)
6. ОСБ
и их графики для конкретного случая
Для λ=1
+
+
+
(0)=1
(1) =
(2) =
(3)
(4)
=
(5)
=
+
.
(6)
=
+
(7) =
+
7. Анализ
полученных функций
Проанализировав функции можно заметить, что показатель обобщенной степени
не совпадает с показателем степени на самом деле. Чередование четных и нечетных
функций, а также то, что все функции проходят через одну общую точку с
координатами (0;0). Можно выявить следующую закономерность: одна функция
пересекает ось абсцисс в точке x, следующая функция будет иметь в этой точке минимум или максиму. Также
заметно, что с ростом степени растёт количество минимумов и максимумов и точек
пересечения с осью абсцисс. Каждая последующая крайняя точка пересечения
графика с осью абсцисс находится дальше, чем предыдущая. Уходя на
бесконечность, функции ведут себя как обычные степенные функции с целым
показателем.
8. Выводы
по работе.
В результате проведения работы было выполнено следующее:
) Вычислены, построены и исследованы (с использованием
компьютерных программ) графики обобщенных степеней;
) Изучено поведение графиков на бесконечности.
Список
литературы
1. Г.М.Фихтенгольц. Курс дифференциального и
интегрального исчисления (в 3-х томах).М.:Изд-во «Наука»,1968;
2. Ю.А.Гладышев. Метод обобщенных степеней Берса и его
приложение в математической физике. Калуга, 2011;
3. Боум А. Квантовая механика: основы и
приложения. М.: Мир, 1990. - 720c.;
4. Л.Берс. Математические вопросы дозвуковой
и околозвуковой газовой динамики. М.: Изд-во иностранной литературы,1961-208с.;
5. Л.К.Мартинсон, Е.В.Смирнов. Квантовая физика. М.:
Изд-во МГТУ им Н.Э.Баумана, 2004-496с.;
6. Ланду Л.Д., Лифшиц Е.М. Курс теоретической физики:
Учеб. Пособ.: Для вузов. В 10 т. Т.3. Квантовая механика - 6-е изд., испр.-М.:
ФИЗМАТЛИТ, 2004.-800с.
7. Bers L., Gelbart A., On a class of
differential equations in mechanics of continua. Quart. Appl. Mart. 1. 1943,
168-189.
8. Гладышев Ю.А. Некоторые интегральные соотношения для
ОСБ, Вестник Калужского университета, №4, 2007
9. Гладышев Ю.А. О последовательности обобщенных степеней
Берса с внутренней структуры. Мат. заметки, 1993.
10. Градштейн И. С., Таблицы интегралов, сумм, рядов и
произведений, М, 1967
11. Блохинцев Д. И. Основы квантовой механики. 5-е изд.
Наука, 1976. - 664 с.
. Дирак П. Принципы квантовой механики. 2-е изд. М.:
Наука, 1979. - 480 с.