Основные понятия математического анализа
МИНИСТЕРСТВО ОБРАЗОВАНИЯ И НАУКИ
РОССИЙСКОЙ ФЕДЕРАЦИИ
ФГБОУ ВПО "Уральский
государственный экономический университет"
Центр дистанционного образования
Контрольная работа
по дисциплине: Математический анализ
Исполнитель: студент
Группа: УК-12П
Батуев Евгений Владимирович
Пермь 2013
Задания
ЗАДАНИЕ 1. ПРЕДЕЛЫ ФУНКЦИЙ
Вычислить пределы:
а) 
= (
)
=
=
=
=
=
=
=-1
б) 
=
=
=
*
=
*
:


,
если 

- 1-й замечательный предел
в) 
=
=
=
Пусть 
=

- 2-й
замечательный предел
ЗАДАНИЕ 2. ИССЛЕДОВАНИЕ ФУНКЦИЙ
Используя дифференциальное исчисление, провести полное
исследование функции и построить ее график:
1) Область определения D (x): xϵ (-∞; ∞)
2) Область значений Е (у): уϵ (-∞; ∞)
) Нули функции (критические точки)
,
X1=0
,
4) Четность и нечетность функции
Функция не является четной и нечетной
) Асимптоты функции
Вертикальных асимптот нет. Наклонные асимптоты
y=kx+b
k=1, b=
Наклонных асимптот нет
6) Исследования функции на монотонность и экстремум
,
,
,
,
|
x
|
(-∞;
- 1)
|
-1
|
(-1;
0)
|
0
|
(0;
∞)
|
|
f’
(x)
|
+
|
0
|
-
|
не сущ.
|
+
|
|
f
(x)
|
↗
|
max
|
↘
|
min
|
↗
|
7) Исследуем функцию на выпуклость и точку перегиба

при х=0 f’’’ (x) не существует
|
x
|
0
|
(0;
∞)
|
|
f’’
(x)
|
|
×
|
|
|
f
(x)
|
͡
|
×
|
͡
|
8) Вычислим несколько значений функции
Точка (-8; - 4)
Точка (1;5)
) Построим график функции
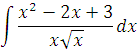
ЗАДАНИЕ 3. НЕОПРЕДЕЛЕННЫЙ ИНТЕГРАЛ
Вычислить неопределенные интегралы, используя методы
интегрирования:
а) - непосредственное интегрирование;
б) - замены переменной;
в) - интегрирования по частям.
ЗАДАНИЕ 4. ОПРЕДЕЛЕННЫЙ ИНТЕГРАЛ
4.1 Вычислить определенный интеграл:


4.2 Вычислить площадь плоской фигуры, ограниченной заданными
кривыми. Сделать чертеж.

, 
|
x
|
|
1
|
2
|
3
|
6
|
|
-1
|
-2
|
-3
|
-6
|
|
y
|
6
|
3
|
1,5
|
1
|
|
-6
|
-3
|
-1,5
|
-1
|
|
X+y=-4 - прямая, Y=-x-4
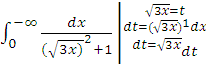
ЗАДАНИЕ 5. НЕСОБСТВЕННЫЙ ИНТЕГРАЛ
Вычислить интеграл или установить его расходимость:
. 
=
=
=
=

=

*П=-0.9
. 
=
d
(2-x) =
ЗАДАНИЕ 6. РЯДЫ
6.1 Числовые ряды. Исследовать ряд на сходимость
. Имеем ряд 
; 
; 
Применяем интегрированный прием сходимости ряда:
математический анализ функция интеграл
6.2 Степенные ряды. Определить область сходимости степенного
ряда

при х=5
1+1+1+1+1…ряд расходится
Следовательно область их единости ряда 
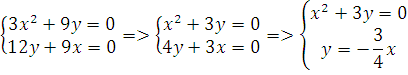
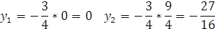
ЗАДАНИЕ 7. ФУНКЦИИ НЕСКОЛЬКИХ ПЕРЕМЕННЫХ
Исследовать функцию двух переменных на экстремум:

=2
(0; 0) и 
ЗАДАНИЕ 8. РЕШЕНИЕ ДИФФЕРЕНЦИАЛЬНЫХ УРАВНЕНИЙ
8.1 Найти общее и частное решения дифференциального уравнения:

- общее решение




- чистое решение
.2 Найти частное решение дифференциального уравнения,
удовлетворяющее заданным начальным условиям:
y (0) =1; 
Характеристическое уравнение
Общее решение:
Т.к. 
=