Анализ состава системы управления и расчет режима разбега и взлета дистанционно-пилотируемых летательных аппаратов
СОДЕРЖАНИЕ:
Список
сокращений
Введение
. СПЕЦЧАСТЬ
.1 Обзор
существующих комплексов с БЛА
.1.2 Обзор
существующих подходов к взлету беспилотного летательного аппарата
.2 Составление
дифференциальных уравнений движения БЛА на режиме разбега и взлета
.2.2 Исходные
данные
.3 Расчет
основных параметров взлета
.3.1 Расчет
длины разбега и скорости отрыва
.3.2 Расчет
коэффициентов дифференциальных уравнений БЛА
.3.3 Расчет
моментных характеристик
.3.4 Расчет
силовой установки
.3.5 Расчет
сил реакции опор на шасси
.4 Разработка
функциональной схемы системы автоматического управления продольным движением
БЛА на режиме взлета
1.5 Разработка
бортовых алгоритмов автоматического управления продольным движением
беспилотного летательного аппарата на режиме взлета
.6 Разработка
структурной схемы САУ продольным движением БЛА на режиме взлета
.7 Выбор
параметров и настроек передаточных чисел закона управления
1.7.1 Устойчивость
системы
1.7.2 Качество
процессов управления
1.8 Имитационное
моделирование процесса разбега и взлета
. ЭКОНОМИЧЕСКАЯ
ЧАСТЬ
.1
Определение целесообразности разработки программного продукта
.2
Определение трудоемкости и затрат на создание алгоритма и ПП
.3
Календарное планирование работ
.4 Расчет
заработной платы основного персонала
.5
Определение затрат на создание алгоритмов и ПП
.5.1
Материалы
.5.2
Специальное оборудование
.5.3
Заработная плата основных исполнителей
.5.4
Отчисления на единый социальный налог основных исполнителей
.5.5
Страховые социальные расходы на производственный травматизм исполнителей
.5.6 Прочие
расходы
.5.7 Сводная
таблица затрат
.6 Расчет
экономической эффективности
.7 Выводы
. ОХРАНА
ТРУДА И ОКРУЖАЮЩЕЙ СРЕДЫ
.1. Анализ
условий труда на рабочем месте при выполнении дипломной работы
.2.Мероприятия
по снижению влияния вредного фактора
.2.1 Расчет
кондиционирования воздуха производственного помещения
.3 Выводы
Заключение
Список
литературы
CПИСОК
СОКРАЩЕНИЙ:
БЛА - беспилотный летательный аппарат;
БАК - беспилотный авиационный комплекс;
ТВД - театр военных действий;
ЛА - летательный аппарат;
ВАТ - вычислитель автомата тяги
ИМАТ - исполнительный механизм автомата тяги
ВСУУД - вычислитель системы управления угловым движением
ВСТУ - вычислитель системы траекторного управления
БСКП - блок связи с командным пунктом
Пр-Пер - приемник передатчик
БК - блок команд
ПУ - пункт управления;
ТВД - театр военных действий;
ТРДД - двухконтурный турбореактивный двигатель;
САУ - система автоматического управления.
ВВЕДЕНИЕ
Характерной чертой современного этапа развития авиационной техники
является тенденция увеличения, как объёма, так и сфер применения беспилотных
летательных аппаратов (БЛА) самолетного и вертолетного типов как элементов
беспилотных авиационных комплексов (БАК). Причины этого кроются, с одной
стороны в новых возможностях современного этапа научно-технической революции в
области микроэлектроники, средств автоматизации систем связи и управления, что
привело к появлению приемлемых по стоимости, энергопотреблению, весовым и
габаритным характеристикам образцов вычислительной, телекоммуникационной,
радио- и оптоэлектронной техники. С другой стороны, потенциальным потребителям
становятся все более очевидными преимущества и новые возможности, которые сулит
применение БАК. Перечислим некоторые из них. По оценке руководителей ВВС США,
стоимость боевого БЛА А-45 втрое ниже суммы, в которую оценивается один самолет
F-35A. Существенно ниже и эксплуатационные расходы, так как в
мирное время нет необходимости поднимать в воздух БЛА для тренировки
операторов. К тому же затраты на подготовку оператора много меньше затрат на
подготовку летчика. Одним из важнейших преимуществ БАК является отсутствие
человеческих потерь во время ведения боевых действий.
Отсутствие экипажа на борту, кроме этого, дает следующие преимущества
БЛА:
Обусловливает отсутствие в нем систем, связанных с жизнеобеспечением
экипажа, что упрощает и удешевляет аппарат;
Исчезают обусловленные физиологическими возможностями человека
ограничения на максимальные значения перегрузок, угловых скоростей и их
градиентов, что расширяет возможности аппарата;
Значительно снижается влияние психофизиологических факторов на результат
использования БАК.
Как правило, БЛА имеют меньшие, чем пилотируемые ЛА аналогичного
назначения, размеры, что обеспечивает им пониженную заметность в
радиолокационном и видимом диапазонах длин волн и, как следствие, более высокую
выживаемость в условиях действия ПВО.
Впечатляющими выглядят успехи и перспективы применения БЛА в гражданских
сферах. Не случайно, поэтому разработками БЛА в настоящее время активно
занимаются многие ведущие авиастроительные фирмы практически всех стран мира,
предлагая все более широкий спектр БЛА различного применения. [7]
В настоящее время беспилотные летательные аппараты (БЛА) находят широкое
применение в различных отраслях народного хозяйства и решают ряд важных задач
аэрофотосъемки, химической и радиационной разведки и др., что в свою очередь
требует максимальной автоматизации процесса управления БЛА и обеспечения
требуемой точности выдерживания траектории полета. При этом особенно интересным
и многообещающим является направление создания БЛА среднего класса аэродромного
базирования, способного обеспечить полностью автоматический взлет и набор
безопасной высоты. Наиболее распространенный способ старта такого класса
аппаратов с использованием реактивных ускорителей, во-первых, накладывает
определенные требования на прочность конструкции ЛА, во-вторых, ухудшает
скрытность комплекса с БЛА, а в-третьих, исключает гражданское применение БЛА.
Цели работы:
- обзор и анализ существующих БЛА и способов взлета;
- выбор оптимального способа взлета для БЛА среднего класса
аэродромного базирования;
- анализ состава системы управления и расчет режима разбега и
взлета;
- построение нестационарной модели БЛА;
- синтез коэффициентов закона управления, удовлетворяющих
заданным динамическим и точностным характеристикам системы управления;
- построение имитационной модели;
- анализ результатов моделирования.
1. СПЕЦЧАСТЬ
.1 Обзор современных БЛА
Дистанционно-пилотируемые летательные аппараты (БЛА) и их комплексы на сегодняшний
день продолжают оставаться наиболее перспективными, динамично развивающимися,
уникальными системами целевого и гражданского назначения. Их перспективная
твердо-устоявшаяся ниша в международных общественных кругах обусловлена тем,
что при выполнении широкого круга задач они сочетают в себе положительные
качества, как самолётов, так и ракет. Уже несколько поколений БЛА выполняют
задачи воздушной разведки. В перспективе наряду с разведывательными функциями,
на БЛА планируется возлагать и выполнение целевых задач.
Приведенная в годовом отчете UVS International 2008 статистика
показывает, что неуклонный рост количества БЛА в мире сопровождается ростом
числа разработчиков. При этом количество стран, вовлеченных в этот процесс, с
2004 по 2008 годы практически не меняется (Рис.1). В том же отчете приводится
распределение количества разработанных систем БЛА по странам. В перечне
упомянуто 59 стран. На вооружении армий 41 государства находится около 80 типов
аппаратов, предназначенных в основном для решения разведывательных задач.
Характерной особенностью существующих парков БЛА является преобладание
аппаратов малой и средней дальности: на их долю приходится 98% всего состава.
Лидируют с огромным отрывом США (341), Россия с показателем 53 занимает
четвертое место, уступая Израилю (72) и Франции (65). Помимо названных
показатель выше 30 имеют Италия и Германия. То есть в мире всего 6 стран
обладают полной технологией производства комплексов БЛА, и Россия - в их числе.
Данный показатель России вероятнее всего включает разработки, проведенные
в СССР, начиная с 70-х годов прошлого века. Но именно этот факт и позволяет нам
оставаться в числе технологических лидеров направления.
Не смотря на то, что на современном этапе развития беспилотной авиации
значительное внимание уделяется созданию и совершенствованию целевых БЛА, по
всей видимости, и в перспективе большой интерес будут представлять
разведывательные БЛА.
Рис. 1.1 Рост производства систем БЛА
Уже сегодня разрабатываются модели целевых БЛА, которые смогут:
· выдержать перегрузки, опасные для пилота человека;
· проникать в те зоны опасности, где химическая, биологическая
или ядерная составляющая угрожала бы безопасности пилотируемых средств.
В настоящее время наиболее востребованной и самой распространенной
категорией БЛА являются аппараты самолетного типа средней весовой категории,
относящиеся к БЛА тактического класса. В соответствии с классификацией
ассоциации беспилотных систем UVS International, - это так называемые БЛА малого
радиуса действия (SR, Short Range) с радиусом действия 30-70 км и массой 50-250
кг, а также БЛА среднего радиуса действия (MR, Medium Range) - 70-200 км,
150-500 кг.
Зарубежные модели
Американские БЛА
В настоящее время в вооруженных силах США насчитывается более 4200 БЛА
свыше 20 типов. Интенсивность их использования в последнее время значительно
выросла, в результате чего суммарный налет стратегических и тактических
аппаратов в 2009 году (без учета разведывательных мини-БЛА) превысил 180 тыс.
ч. а общий налет БЛА на январь 2010 года составил более 900 тыс. ч. Способность
длительно и скрытно вести воздушную разведку позволяет беспилотным системам
решать подобные задачи на качественно более высоком по сравнению с
пилотируемыми летательными аппаратами уровне при значительно меньшем расходе
сил и средств. Полученная с помощью разведоборудования БЛА информация об
объектах атаки используется в ходе предполетной подготовки экипажей боевых
самолетов или вертолетов, а также непосредственно в ходе выполнения ими задач,
что позволяет повысить эффективность выхода на цель, ее идентификации и
поражения в сложной обстановке, в частности, при действиях в условиях
населенных пунктов.
В последнее десятилетие руководство ВВС интенсивно применяет
стратегические разведывательные аппараты. Например, в ходе активной фазы
военных действий в Ираке в течение марта 2003 года один аппарат RQ-4A «Global Hawk» совершил 16 вылетов с общим налетом около 360 ч.
Полет данного БЛА осуществляется по заранее подготовленной и введенной в
бортовую систему управления программе. Основу его бортового оборудования
составляют радиолокационная станция бокового обзора с синтезированием апертуры
антенны, оптоэлектронная станция и аппаратура радиотехнической разведки,
построенные по модульному принципу и комплектуемые в зависимости от выполняемой
задачи. Разведывательная информация транслируется на наземный пункт управления
с помощью бортовой аппаратуры спутниковой связи и по каналам передачи данных на
дальность прямой видимости. Постом радиоэлектронной разведки пункта управления
осуществляются просмотр, обработка и хранение разведданных, а также их
кодирование и передача со скоростью до 50 Мбит/с.
До 2011 года намечено ввести в состав разведывательного авиакрыла
военно-воздушных сил США все запланированные 54 серийные машины RQ-4A «Global Hawk».
RQ-4
"Global Hawk"
Назначение: наблюдение, разведка, целеуказание, обеспечение связи и
передачи данных, РЭБ, РТР.
Особенности: моноплан со среднерасположенным крылом и «V» - образным
хвостовым оперением. Конструкция крыла выполнена из карбона. Фюзеляж, в целях
снижения стоимости конструкции выполнен из алюминиевых сплавов. Для
взлета-посадки используется трехопорное убирающееся шасси. Система
взлета/посадки - автоматическая. Способ управления полетом - полет по программе
с контролем параметров полета и возможностью оперативной корректировки
программы в полете и передачи управления другой станции, координаты
местоположения БЛА корректируются по данным GPS. Возможности комплекса -
обследование 100000 км2 в день при полосе просмотра 10 км, получение
1990 изображений участков местности площадью 2 ´ 2 км. Силовая установка -
турбовентиляторный двигатель с тягой 3428 кгс. Способ взлета (разбег
1,5км.)/посадки - по-самолетному.
В качестве одного из важных элементов повышения эффективности применения
сил и средств общего назначения на ТВД командование вооруженных сил США
рассматривает многоцелевые БЛА, поскольку считает, что их применение для
решения задач, обычно выполняемых тактической и армейской авиацией, будет более
результативным.
Оснащение БЛА комплексами бортового вооружения позволяет широко применять
их не только в интересах организации непрерывного патрулирования заданных
районов, но и для поражения, в том числе избирательного, критичных по времени
или вновь выявленных целей, а также оказания непосредственной авиационной
поддержки подразделениям и частям наземных сил. Такой способ применения авиации
наиболее распространен при боевых действиях низкой интенсивности в условиях достигнутого
господства в воздухе и отсутствии реального противодействия со стороны
противника.
Применение разработанных американской компанией General Atomics БЛА
«Предатор» в интересах спецслужб США началось в 1995 году - еще на стадии
демонстрации перспективной технологической концепции. Эти машины с максимальной
продолжительностью полета до 48 ч, имеющие в составе бортового оборудования РЛС
с синтезированием апертуры антенны, телевизионную и инфракрасную камеры, а
также лазерный дальномер-целеуказатель, продемонстрировали высокую
эффективность решения задач воздушной разведки на различных ТВД. Кроме того,
благодаря оснащению управляемым авиационным вооружением аппараты активно
использовались для уничтожения наземных целей.
MQ-1
"Predator".
Назначение: наблюдение, оптоэлектронная, радиолокационная, видовая
разведка, целеуказание, РТР, ретрансляция.
Особенности: моноплан классической схемы со среднерасположенным крылом и L-образным хвостовым оперением.
Разведоборудование размещается в наплыве носовой части. В конструкции широко
используются композиционные материалы. Шасси убирающееся, винт двухлопастный
толкающий. Система взлета/посадки - командная (с наземного пункта с
использованием ТВ камеры БЛА). Способ управления полетом - полет по программе с
контролем параметров полета и возможностью оперативной корректировки программы
в полете и передачи управления на другой ПУ. Автовозвращение на базу при потере
связи с БЛА. Силовая установка - поршневой бензиновый Rotax 914 UL мощностью
101 л.с. Способ взлета (разбег 1км) / посадки - по-самолетному.
Вместе с тем наличие вооружения на внешних подвесках БЛА «Предатор»
приводит к ухудшению его летно-технических характеристик, в частности, к
сокращению максимальной продолжительности полета. По этой причине из состава
бортового оборудования многоцелевого варианта машины обычно исключается РЛС.
Считается, что таких недостатков лишен поступающий с марта 2007 года на
вооружение военно-воздушных сил США и специально разработанный для выполнения
ударных задач новый многоцелевой БЛА MQ-9 «Рипер». Машина, оснащенная турбовинтовым двигателем 331-10Т фирмы
«Ханиуэл» мощностью 560 кВт, отличается от аппарата «Предатор» увеличенными
практическим потолком, скоростью и массой полезной нагрузки. В состав
вооружения БЛА, подвешиваемого на шести подкрыльевых узлах, могут входить
управляемые авиационные бомбы калибра до 250 кг, ракеты класса «воздух-земля» и
«воздух-воздух», а также самонаводящиеся авиационные боеприпасы.
Основу бортового оборудования составляет радиолокационная станция APY-8 «Линкс» с синтезированием апертуры
антенны (максимальное разрешение около 0,1 м на дальности до 40 км и 2 м на
дальности 75 км), а также оптоэлектронная станция MTS-B
фирмы «Рейтеон», в состав которой входят телевизионная и тепловизионная камеры,
лазерный дальномер-целеуказатель. Программное обеспечение наземной станции
управления позволяет в автоматическом режиме выявлять объекты искусственного
происхождения, что облегчает задачу оператора разведоборудования БЛА по поиску
наземных целей.
Максимальная масса полезной нагрузки позволяет дополнительно оснащать
данный аппарат комплексом РТР, который предназначен для обнаружения
радиолокационных станций, а также средствами перехвата каналов радиосвязи и
систем управления противника.
MQ-9
"Reaper"
Длина, м - 11
Размах крыла, - м 20
Высота, м - 3.8
Пустой вес, кг - 2223
Максимальны взлетный вес, кг - 4760
Максимальная скорость, км/ч - 482
Крейсерская скорость, км/ч - 276-313
Практический потолок, м - 15000
БЛА MQ-9 Reaper (изначально названный Predator B), разработанный
компанией General Atomics впервые взмыл в небо 2 февраля 2001 года. Он был
создан на основе MQ-1 Predator для использования в военно-воздушных и
военно-морских силах США, Британских Королевских военно-воздушных силах. В
отличие от своего предшественника, этот БЛА способен развивать скорость более
400 км/ч и нести в 15 раз больше полезного груза за счет нового турбовинтового
двигателя. Reaper предназначен для долгосрочных полетов, выполнения
разведывательно-наблюдательных, а также боевых задач.
· Predator B-001- первая модернизация БЛА MQ-1 Predator. На него установлен
турбовинтовой двигатель (712 кВт). Визуальное отличие от MQ-1 представляют
крылья, они увеличены с 14,8 м до 20 м. B-001 может нести 340 кг полезной нагрузки
на высоте 15,2 км, со скоростью 390 км/ч. Время полета до 30 часов.
· Predator B-002 - следующая модернизация БЛА. Грузоподъемность
215 кг, верхний потолок высоты 18,3 км, время полета 12 часов.
· Predator B-003 или «Альтаир» - снова увеличен размах крыльев,
до 25,6 м. Следовательно, увеличенная грузоподъемность БЛА до 1360 килограммов,
а максимальная высота полета 15,8 км. Время полета увеличено до 36 часов.
За безоружными версиями закрепили название “Альтаир”, в то время как
боевые БЛА называют MQ-9 Reaper.
По состоянию на текущий 2010 год в боевом составе эскадрилий авиакрыла
имеется 118 аппаратов «Predator» и 27 машин «Reaper». Около половины парка этой
техники постоянно задействовано в применении текущих целевых и тактических
задач, а суммарный налет аппаратов составляет около 4 тыс. ч в месяц. При этом
непосредственно в составе экспедиционных авиационных формирований на ТВД
развернуты только летательные аппараты с группой обеспечения взлета, посадки и
управления воздушным движением в зоне аэродрома базирования, решающей свои
задачи с помощью наземной станции управления (НСУ). Контроль выполнения
остальных этапов полетного задания, в том числе санкционирование применения
оружия, осуществляется по волоконно-оптическим и спутниковым каналам связи глобальной
информационной сети министерства обороны с территории США.
Рис. 1.2 Схема организации управления многоцелевыми БЛА MQ-1 «Predator» и
MQ-9 «Reaper» ВВС США на ТВД
К 2011 году на вооружении военно-воздушных сил США предполагается иметь
15 авиаэскадрилий стратегических многоцелевых БЛА общей численностью 170 машин
«Предатор» и до 70 «Reaper».
Для военно-морских сил США создается беспилотный аппарат на основе
Reaper, названный “Mariner”. Этот аппарат будет иметь складные крылья,
увеличенный запас топлива, который позволит БЛА находиться в полете 49 часов.
A
"Pegasus"
Назначение: воздушная платформа для системы раннего предупреждения (AEW),
огневое подавление системы ПВО противника, нанесение ударов по целям, прикрытым
сильной ПВО, посредством нанесения высокоточных ударов, воздушное прикрытие
авианосного соединения, разведка объектов удара авиации военно-морских сил, РЭБ
и РТР.
Особенности: моноплан типа «бесхвостка» со среднерасположенным
ромбовидным крылом с 2-мя элевонами и 4 отклоняемыми аэродинамическими
поверхностями. Силовая схема планера БЛА - силовой короб с неработающей
обшивкой. Вертикальное оперение отсутствует. Воздухозаборник расположен в
наплыве верхней части фюзеляжа. Шасси трехопорное убирающееся с электрическим
приводом. Изготавливается с использованием композиционных материалов. В
конструкции реализованы элементы технологии «стелс». Вооружение размещается в
2-х внутренних отсеках. Возможна установка внешних пилонов. Система управления
взлетом/посадкой - автоматическая. Способ управления полетом - автономный полет
по программе с контролем параметров полета и возможностью оперативной
корректировки программы в полете, значения координат местоположения БЛА
корректируются по данным GPS. Предполагается, что БЛА сможет самостоятельно
выбирать маршрут и профиль полета по данным бортовых средств РТР. При
повреждении БЛА он самостоятельно возвращается на заданный аэродром. Силовая
установка - ТРДД с плоским соплом и управляемым вектором тяги. Способ взлета -
с палубы катапультой; способ посадки - по-самолетному с тормозным гаком.
С 2003 года на вооружение сухопутных войск США поступает тактическая
беспилотная разведывательная система на базе БЛА RQ-7A «Shadow 200». По оценкам
американских военных специалистов использование этих БЛА для патрулирования
маршрутов движения транспортных колонн значительно сократило потери личного
состава и техники благодаря своевременному выявлению и предотвращению фактов
минирования и организации засад. Например, одно подразделение БЛА, оснащенное
тремя системами «Shadow 200» (по четыре летательных аппарата в каждой),
способно осуществлять круглосуточное разведывательное обеспечение с суммарной
продолжительностью вылетов до 60 ч в сутки.
RQ-7A "Shadow 200"
Данный БЛА относится к среднему классу тактических беспилотников и
предназначен для наблюдения, разведки и целеуказания.
Особенности: моноплан с высокорасположенным крылом и хвостовым оперением
на двойной балке. В конструкции широко используются композиционные материалы.
Система взлета/посадки - автоматическая. Способ управления полетом - полет по
программе с контролем параметров полета и возможностью оперативной
корректировки программы в полете.
Координаты местоположения корректируются по информации приемника GPS.
Силовая установка - поршневой двигатель UEL AR741 208cc 38 л.с. Способ взлета:
по самолетному (10 м), катапульта, RATO; способ посадки: по самолетному с
тормозным крюком, сеть.

A
"Shadow 200"
RQ-8А
"Fire Scout"
Назначение: наблюдение, разведка, целеуказание, обеспечение связи и
передачи данных, РЭБ, РХБР, РТР, ПСС
Особенности: конструктивно представляет собой модифицированный вариант
вертолета Model 330 SP Фирмы «Schweizer» с уменьшенным за счет отсутствия
экипажа фезюляжем, новой топливной системой и бортовым оборудованием. Несущий
винт - трехлопастный. Система взлета/посадки - автоматическая, система посадки
CARS c точностью 15 см. Способ управления полетом - полет по программе. Силовая
установка - ТВД мощностью 420 л.с. Способ взлета/посадки - вертикальный.
Фирма «Ханиуэлл» в рамках финансируемой программы «Перспективная боевая
техника» разработала беспилотную систему на базе мини-БЛА вертикального взлета
и посадки RQ-16 «Мав». Она рассматривается в качестве средства
разведывательного обеспечения действий подразделений в звене взвод/рота.
Аппарат, выполненный по схеме «винт в кольце», а также компактная наземная
станция управления размешаются в специальных контейнерах и могут переноситься
одним военнослужащим. В состав бортового оборудования БЛА, размещаемого в двух
цилиндрических обтекателях, входит система управления аппаратом, приемник
космической радионавигационной системы NAVSTAR, телевизионная и инфракрасная
камеры, а также аппаратура передачи развединформации на дальность до 10 км.
Система прошла успешные испытания на территории США, в ходе которых, в частности,
отрабатывалась возможность передачи видеоизображения с БЛА на борт ударного
вертолета АН-64 «Апач». Благодаря высокому уровню автоматизации машина проста в
управлении, а время обучения оператора ее эксплуатации составляет около 16 ч.
Рис. 1.3 Концепция совместного применения боевых вертолетов и БЛА
В целях обеспечения возможности доведения разведданных от беспилотных
машин непосредственно ударным средствам и командирам наземных подразделений
разрабатываются удаленные терминалы приема видеоинформации «Ровер». Они
позволяют получать в реальном масштабе времени видеоизображение цели от
оптоэлектронных средств разведки БЛА и вести двусторонний обмен данными с
отображением на дисплеях, назначенных для поражения объектов.
В целом анализ опыта применения вооруженными силами США беспилотных
систем различных классов подтверждает высокую эффективность этого вида
вооружения в условиях современных военных действий любой интенсивности.
Дальнейшее совершенствование этих систем осуществляется путем улучшения
тактико-технических характеристик их наземных и воздушных компонентов, а также
благодаря совершенствованию способов применения БЛА как самостоятельно, так и
во взаимодействии с пилотируемыми летательными аппаратами. По мнению военных
экспертов, несмотря на достаточно серьезные проблемы, связанные с применением
БЛА (например, ограничения систем связи по передаче сигналов управления и
развединформации, сложность интеграции в единую систему управления воздушным
движением и др.), количество БЛА в войсках, а также круг решаемых ими задач
будут неуклонно возрастать.
Израильские БЛА
"Hermes 1500" (Израиль)
Назначение: разведка, наблюдение и обнаружение, ретрансляция.
Особенности: моноплан с высоко расположенным прямым крылом и V-образным
хвостовым оперением. Двигатели размещены в 2-х крыльевых пилонах. Шасси
трехстоечное убирающееся. Конструкция БЛА выполнена из
Композиционных материалов. Способы управления взлетом/посадкой - ручной
(оператором) или автоматический. Способ управления полетом - автономный полет
по программе с контролем параметров полета и возможностью оперативной
корректировки программы в полете. Возможен ретрансляционный тип управления БЛА.
Силовая установка - 2 поршневых двигателя по 100 л.с. в крыльевых пилонах с
трехлопастными винтами. Способ взлета/посадки - по самолетному (350 м).View
MK150
Масса взлетная, кг до -
160
Масса полезной нагрузки,
кг - до 20
Длина, м - 3,1
Размах крыльев, м - 5,7
Высота полета, м - 5200
Радиус действия, км - 100
Скорость полета, км/ч
Продолжительность полета,
ч - 7
Данный БЛА относится к среднему классу тактических беспилотников и
предназначение для разведки наземных целей, целеуказания, обнаружения мест
падения других БЛА и самолётов. Взлет и посадка БЛА выполняются в
автоматическом режиме. Взлет - как с помощью катапульты, так и «по-самолетному»
с ВПП, посадка - на управляемом параплане. Причем при использовании параплана
точность посадки составляет менее 50х50 м, без ограничений по боковому ветру.
Подготовка посадочного места - минимальная. В качестве полезной нагрузки
применяется комбинированная (ТВ и ИК) система наблюдения POP300. Возможно
изменение типа полезной нагрузки по требованию заказчика.
Данный БЛА в составе 3 единиц, организующий комплекс, в 2009 году был
приобретён Министерством обороны России за $53 млн. Кроме I-View MK150 компания
предлагает в этом семействе комплексов еще I-View MK250 средней дальности, предназначенный для работы в
тактических эшелонах на уровне батальона (дивизии) и I-VIEW MK50 ближнего
радиуса действия для работы на уровне бригады или специальных подразделений.
Система MK250 состоит из наземной системы управления, нескольких БЛА,
стабилизированной многоспектральной оптической системы, цифровой линии передачи
данных.
Отечественные модели
Масса взлетная, кг - 85
Масса полезной нагрузки,
кг - 12,5 -32
Длина, м - 2,6
Размах крыльев, м - 4,6
Высота полета, м - 4000
Радиус действия, км - 450
Скорость полета, км/ч -
80-150
Продолжительность полета,
- ч 8
На 2010 год лидирующую позицию в данном сегменте рынка занимает компания
«Транзас». Фирма предлагает комплексы с беспилотными аппаратами семейства
«Дозор». Среди них, в частности, БЛА «Дозор-85» («Дозор-4»). В состав целевой
нагрузки этого БЛА входят видеокамера переднего обзора, оптико-электронная
система, автоматический цифровой фотоаппарат, возможна установка лазерного
дальномера и груза на внешней подвеске.
Масса взлетная, кг - 95
Масса полезной нагрузки,
кг - 15-32
Длина, м - 3,0
Размах крыльев, м - 5,4
Высота полета, м - 4500
Радиус действия, км - 600
Скорость полета, км/ч -
120-150
Продолжительность полета,
ч - 10
Более тяжелый аппарат «Дозор-100» («Дозор-5») также предназначен для
действий в составе многоцелевого комплекса мониторинга и является развитием
аппарата «Дозор-85» в направлении повышения дальности и продолжительности
полета. Все БЛА семейства имеют нормальную аэродинамическую схему и размещение
ДВС в кормовой части планера. Комплексы с этими БЛА предназначены для
мониторинга объектов инфраструктуры и специального назначения, патрулирования
трубопроводов, железнодорожных путей, линий электропередачи, сухопутных и
морских границ, поиска, обнаружения, идентификации и слежения за объектами в
районе или полосе маршрута. Навигация и управление осуществляется при помощи
инерциальной системы, интегрированной с приемником спутниковой навигации
ГЛОНАСС/GPS и баровысотомером. Целевая нагрузка БЛА может включать видеокамеру
переднего обзора, оптико-электронную систему, автоматический цифровой
фотоаппарат, а также лазерный дальномер и радар с синтезированной апертурой.
Кроме того, возможна доставка груза на внешней подвеске. Оба БЛА имеют хорошие
перспективы для оснащения тактического звена ВС как отдельно, так и в составе
существующих и разрабатываемых комплексов. Комплекс с БЛА «Дозор-85»
выпускается с 2007 года. Он применялся в ходе специальных учений погранвойск
ФСБ РФ. Первый полет прототипа «Дозор-100» состоялся в июле 2009 года. Осенью
2009 года комплекс с этим БЛА был использован в ходе учений «Запад-2009» для
обнаружения и идентификации целей на море. В настоящее время БЛА «Дозор-100»
проходит модернизацию и предполагается его включение в состав других
перспективных комплексов.
Масса взлетная, кг - 200
Масса полезной нагрузки,
кг - 50
Длина, м - 4,53
Размах крыльев, м - 5,34
Высота полета, м -
500-5000
Радиус действия, км до -
200
Скорость полета, км/ч -
140-210
Продолжительность полета,
ч - 12
Впервые на выставке МАКС-2009 был представлен новый БЛА «Иркут-200»,
разработанный в ОАО «Иркут». Это авиационный комплекс дистанционного
зондирования, предназначенный для получения и передачи в реальном масштабе
времени ТВ-, тепловизионного, радиолокационного и фотографического изображения
местности, определения координат объектов, а также для доставки грузов.
Комплекс состоит из двух БЛА, наземной станции управления и средств
технического обслуживания. Полезная нагрузка БЛА включает ТВ и ИК камеры,
цифровой фотоаппарат и РЛС. БЛА выполнен по нормальной аэродинамической схеме с
Т-образным хвостовым оперением. В качестве силовой установки используется ДВС
мощностью 60 л.с. Взлет и посадка БЛА осуществляются «по-самолетному».
Управление на маршруте - автономное. Комплекс находится в стадии разработки.
Масса взлетная, кг - 138
Масса полезной нагрузки,
кг - 15
Длина, м - 2,87
Размах крыльев, м - 3,25
Высота полета, м -
100-2500
Радиус действия, км - 60
Скорость полета, км/ч -
120-180
Продолжительность полета,
- ч 2
Также невозможно обойти стороной БЛА «Пчела», разработанный в московском
НИИ «Кулон» совместно с ОКБ им. А.С. Яковлева, предназначен для воздушной
разведки, наблюдения за полем боя в интересах тактических подразделений
различных родов войск в реальном масштабе времени, в том числе проведения
разведки (поиск, обнаружение, облет, распознавание и определение координат)
объектов удара, доразведки целей, выдачи целеуказания в реальном масштабе
времени, а также контроля за результатами огневого удара. Старт БЛА
производится с наземной пусковой установке, посадка - при помощи
парашютно-амортизационной системы. Полет - автоматический по программе или с
дистанционным управлением. В качестве полезной нагрузки используется
гиростабилизированная ТВ-камера и широкополосный передатчик с антенной. Вместо
ТВ-камеры может устанавливаться ИК-камера. В 2007 году завершены госиспытания
модернизированного БЛА «Пчела» с ТВ и инфракрасной аппаратурой.
.1.2 Обзор существующих подходов к взлету беспилотного летательного
аппарата
Существует несколько основных способов взлета БЛА:
) с использованием катапульты;
) вертикальный взлет;
) взлет «по-самолетному».
В настоящее время подавляющее большинство БЛА запускается при помощи
катапульт. При этом различные фирмы в разных странах используют различные типы
катапульт, вот наиболее встречаемые:
с использованием пороховых ускорителей;
пневматические;
резиновым приводом;
электромеханические.
Каждая из этих типов катапульт имеет свои преимущества и недостатки. Так,
например, пороховая катапульта при всех ее положительных качествах, таких как
простота, надежность, энерговооруженность, имеет и существенные недостатки,
такие как отсутствие скрытности работы, повышенная опасность для обслуживающего
персонала. Пороховая катапульта практически не заменима при запуске тяжелых БЛА
с реактивным двигателем, но применение ее для запуска мини БЛА не
целесообразно.
Катапульта с резиновым приводом в принципе пригодна для запуска мини БЛА,
но тоже обладает некоторыми недостатками, такими как, невозможность работы на
низких температурах, а также низкая энерговооруженность, что не позволяет
сделать ее компактной.
Пневматическая катапульта свободна от недостатков присутствующих в
катапульте с резиновым приводом, но вследствие присутствия оборудования
высокого давления (около 120 атмосфер), требуется обслуживание
высококвалифицированным персоналом, а также периодическая аттестация в соответствующих
надзирательных органах.
Электромеханические катапульты могут использовать различные
типы привода:
с приводом - вращающимся маховиком;
с приводом - линейным электродвигателем;
с приводом - электродинамического типа.
Электромеханические катапульты наиболее подходят для запуска БЛА с
поршневым двигателем, поскольку те требуют невысокую скорость схода. Если
задаться максимальной перегрузкой при разгоне ЛА равной10 g, то можно создать
компактную катапульту с длиной направляющей не более 3-х метров. При такой
длине направляющей не требуется ее складывать, что сокращает время
развертывания (пуск может осуществляться сразу после остановки ТПУ). Она легко
может быть размещена на шасси Урал-4320 в том числе и внутри кунга, что
устраняет демаскирующие факторы ТПУ.
Предварительный анализ различных схем построения катапультного
устройства, проведенный с учетом рекомендаций ГУП "ОКБ" Гранат",
имеющего опыт в создании мощных энергоагрегатов с высокими техническими
показателями и специальных систем энергопитания на их основе, позволил выделить
два варианта структурных схем катапультных устройств для изделия
"Оса", наиболее полно удовлетворяющих предъявляемым требованиям.
Первый -
катапультные устройства на базе специального линейного двигателя, второй - на основе лебедки с управляемым
приводом, обеспечивающими практически постоянную величину максимально
допустимого ускорения БЛА.
Среди перечисленных катапульт наиболее перспективными можно считать две
последних.
Катапульта с приводом вращающимся маховиком, по сравнению с ними,
конструктивно более сложная и менее надежная. Поскольку для питания
электромеханических катапульт используется напряжение питания не превышающее 30
В, то не предъявляются повышенные требования к квалификации обслуживающего
персонала.
Второй способ взлета - это вертикальный взлет.
Среди существующих и вновь разрабатываемых БЛА особую, пока не
многочисленную, группу составляют аппараты, обладающие способностью
вертикального взлета и посадки (ВВП). Такая способность БЛА не только
существенно упрощает проблему их базирования, но и расширяет возможности ЛА как
по областям , так и по тактике их применения.
Летательные аппараты вертикального взлета и посадки (ЛА ВВП) включают в
себя довольно широкий класс ЛА, использующих аэродинамический принцип полета.
Их характерной чертой является способность взлетать и садиться с площадок,
соизмеримых с размерами ЛА.
Но при проектировании САУ таких ЛА возникают большие трудности в
обеспечении стабилизации их вокруг центра масс (особенно на режиме взлета и
висения). К тому же, использую вертикальный взлет идет большой расход топлива,
что укорачивает радиус применения БЛА.
В данной дипломной работе рассматривается самолет среднего класса с
размахом крыла 8 м, рассчитанный на эксплуатационные перегрузки от 3 до 6 единиц.
Вертикальный взлет к такому самолету не применим. Чтобы запустить такой самолет
с катапульты приходится строить направляющую большой длины, чтобы исключить
большие перегрузки на БЛА, и это накладывает определенные сложности на
конструирование таких приспособлений, именно поэтому в нашем случае
целесообразно использовать способ взлета «по-самолетному».
Рассмотрим по подробней взлет «по-самолетному», который мы и используем в
данной работе.
Для старта указанного БЛА пригодна любая ровная грунтовая площадка с
прочностью грунта не менее 5 кг/см2, взлетная полоса аэродрома или
прямолинейный участок шоссе. Необходимая длина взлетной полосы в стандартных
атмосферных условиях при взлетной массе носителя 400 кг составляет 250-300
метров. Боковая составляющая ветра (под 90° к направлению разбега) - 10 м/сек.
Взлет может осуществляться в автоматическом режиме или под управлением
наземного оператора. Возможен взлет носителя при взлетной массе до 600 кг с
соответствующим увеличением взлетной дистанции.
Для сокращения дистанции взлета возможно использование способов взлета,
известных в практике спортивного планеризма, в том числе:
разгон носителя с помощью резинового амортизатора;
разгон носителя буксировкой за автомобилем, включая разгон автомобилем с
зацеплением буксировочного троса через полиспаст;
разгон носителя буксировочной лебедкой.
Для осуществления этих способов старта самолет оборудуется буксировочным
планерным замком в носовой части фюзеляжа. При этом разбег перед отрывом может
быть сокращен до 15÷20 метров, а допустимая скорость
бокового ветра может быть существенно увеличена. С точки зрения методики
управления эти способы старта ничем не отличаются от обычного самолетного
взлета, в использовании наземного оператора нет необходимости.
Для БЛА при установке планерного буксировочного замка возможен также
чисто планерный способ старта с использованием легкомоторного
самолета-буксировщика, который также оборудуется буксировочным замком и
зеркалом заднего обзора. Взлет осуществляется без запуска двигателей носителя
на буксировочном тросе длиной от 20 до 50 метров с любого, в том числе
грунтового, аэродрома. На буксире самолетом БЛА может набрать высоту до 6000
метров и может быть доставлен к месту использования, которое может находиться
на удалении до 1000 км от места старта. При этом полет БЛА на буксире с точки
зрения работы автопилота ничем не отличается от обычного полета БЛА в
автономном режиме. Запуск двигателей осуществляется в воздухе перед отцепкой
БЛА. Использование электростартеров не требуется, т.к. запуск осуществляется на
авторотации воздушных винтов.
После отцепки БЛА самолет может барражировать в безопасной зоне и
использоваться в качестве ретранслятора. На борту самолета может быть также
размещен пульт управления БЛА, который может обеспечить даже самолетную посадку
БЛА с подбором площадки с воздуха, что также используется в практике
спортивного планеризма.
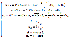
1.2 Составление дифференциальных уравнений движения БЛА на режиме разбега
и взлета
Для теоретического анализа любой сложной системы, в том числе и БЛА,
необходимо построить ее математическую модель, что в конечном итоге сводится к
составлению дифференциальных уравнений, описывающих зависимость характеристик
процесса от его параметров. При изучении системы исследованием ее
математической модели неизбежно приходится принимать те или иные допущения, так
как стремление к точному учету всех свойств реальной системы может привести к
такому усложнению, при котором анализ окажется невозможным. С другой стороны,
чрезмерное упрощение математической модели является недопустимым, так как
результаты исследований в этом случае могут не отображать наиболее характерных
свойств системы.
При выборе математической модели движения самолета для синтеза структуры
автопилота будем в дальнейшем всегда полагать, что его конструкция является
недеформируемой. Это позволяет рассматривать самолет при выводе уравнений его
движения как твердое тело.
В практических расчетах под математической моделью движения самолета
понимают совокупность его характеристик, анализ которых позволяет определить
реакцию самолета на допустимые входные воздействия при заданных начальных
условиях.
В данной дипломной работе рассматривается только
продольное движение, при этом считается, в боковом канале осуществлена
стабилизация заданной линии пути, совпадающей с осью ВПП.
Ниже представлена полная система уравнений движения
ЛА:
(14)
В дипломной работе рассматривается только продольный канал, в связи с
этим система уравнений (14) примет следующий вид:
(1)
где:
- угол наклона траектории (град),
- угол атаки (град),
- угловая скорость вращения корпуса
самолета (град/с),
- угол тангажа (град),
- высота полета (м),
- скорость полета (м/с),
- нормальная перегрузка.
Далее проведем подробный анализ каждого уравнения, входящего в систему
(1) на режиме взлета:
1)
, (1.1)
где
.
Преобразуем формулу, подставив значение Q в уравнение (1.1), в результате после некоторых
преобразований получаем следующее дифференциальное уравнение продольных сил:
, (1.1a)
2)
, (1.2)
где
,
Cx -
коэффициент аэродинамической продольной силы;
Cy -
коэффициент аэродинамической нормальной силы;
ρ - величина плотности воздуха при
высоте 0 м над уровнем моря;
S -
площадь крыла;
f -
коэффициент трения;
g-
ускорение силы тяжести. (g=9.81
м/сек2);
P(V) - тяга на винте является функцией
скорости полета.
3)
; (1.3)
; (1.3a)
Запишем формулы для нахождения коэффициентов
,
,
:
, (1.3б)
, (1.3в)
, (1.3г)
Запишем расчетные формулы для моментов от сил реакции опор шасси:
Рис 2.1 Моменты реакции опоры на шасси
Расположение стоек шасси осуществляется таким образом, чтобы обеспечить
равенство нулю суммарного момента от сил реакции опор. Аналитически это условие
может быть выражено следующей системой уравнений:
Из систем уравнений (1.3 д) следует, что условию равенства нулю
суммарного момента от сил реакции опор соответствуют следующие величины сил
реакции опор шасси:
.2.2 Исходные данные
Исходными данными для расчёта взлетного режима являются полётный вес,
поляра БЛА, его моментная характеристика, балансировочная характеристика,
располагаемые характеристики силовой установки.
На рисунке 2.2 представлена поляра БЛА, соответствующая его взлетной
конфигурации.
Рис. 2.2 Поляра. Аэродинамическая конфигурация - взлетная
Таблица 2.1
Поляра БЛА
|
Конфигурация
|
|
|
Взлетная
|
|
-2
|
0
|
2
|
4
|
6
|
8
|
10
|
12
|
14
|
16
|
18
|
20
|
|
|
0.31
|
0.52
|
0.71
|
0.89
|
1.07
|
1.24
|
1.41
|
1.55
|
1.73
|
1.86
|
1.86
|
1.78
|
|
|
.077
|
.082
|
.091
|
.105
|
.121
|
.142
|
.176
|
.197
|
.24
|
.28
|
.329
|
.39
|
Так как по условию, стояночный угол тангажа при обжатом шасси составляет
4 град, следовательно, и начальный угол атаки также равен 4 град. Этой величине
угла атаки соответствуют следующие значения аэродинамических коэффициентов Cx и Cy:
α<αдоп (αдоп=8o)
Сx=0.105 (α=4°)
Cy=0.89
(α=4°)
Ниже представлена моментная характеристика БЛА
Рис. 2.3 Моментная характеристика БЛА
Значения производных коэффициента продольного момента по угловой скорости
тангажа
, углу атаки α, и по углу отклонения руля высоты
:
сек,
1/град,
1/град.
Величина средней аэродинамической хорды:
м.
Величина момента инерции БЛА относительно оси OZ: Iz= 50 кг*м2.
Величина плотности воздуха при высоте 0 м над уровнем моря: ρ=1.225 кг/м3.
Основные технические характеристики БЛА представлены в таблице 2.2. и на
рисунках 2.4, 2.5.
Таблица 2.2
Характеристики БЛА
|
Характеристики БЛА
|
Значения
|
8,0
|
|
Площадь крыла, м2
|
6,0
|
|
Длина, м
|
4,67
|
|
Высота на стоянке, м
|
1,6
|
|
Взлетная масса, кг
|
400-500
|
|
Масса полезной нагрузки, кг
|
180-250
|
|
Масса целевой нагрузки, кг
|
80-100
|
|
Масса топлива, кг
|
100-150
|
|
Высота применения, м
|
до 7000
|
|
Крейсерская скорость, км/ч
|
220
|
|
Минимальная рабочая скорость, км/ч
|
95
|
|
Взлетная дистанция при (самолетном способе старта), м
|
300-500
|
|
Продолжительность полета, ч
|
8-12
|
|
Силовая установка:
|
|
|
количество двигателей
|
2
|
|
Мощность у земли, л.с.
|
2х50
|
Рис 2.4 Схема самолета A) Вид
сбоку, Б) Вид спереди
Рис 2.5 Схема самолета A) Вид
сверху
Основные особенности БЛА: шасси - трехопорное с носовой опорой,
убирающееся. Носовая стойка при уборке разворачивается на 135º и укладывается в правый носовой
отсек средней части фюзеляжа. Основное шасси разворачивается назад на 30º и прижимается к центроплану снизу,
при этом колеса основного шасси располагаются за задней кромкой крыла.
Уборка шасси осуществляется одним электромеханизмом типа
МП-100,кинематически все стойки связаны между собой.
Стойки шасси рессорного типа, трубчатого сечения изготовлены из
углепластика. Колеса снабжены пневматиком размером 320 х125.
Шасси имеет повышенную работоемкость, что обеспечивает самолетную посадку
без выравнивания или парашютную посадку без повреждения элементов конструкции.
Рис. 2.6 Схема шасси
Стойки шасси располагаются относительно центра масс следующим образом (см.
рис. 2.1):
L =
2.56 м - расстояние от передней до задней стойки шасси;
h1 =1.965 м - расстояние от передней
стойки до оси центра масс БЛА;
h2 =0.595 м - расстояние от задней
стойки до оси центра масс БЛА.
Характеристики силовой установки БЛА
Силовая установка состоит из двух поршневых двигателей, расположенных над
крылом в корневой его части.
Двигатели используются с четырехлопастными воздушными винтами
фиксированного шага, с диаметром лопасти 1,2 м.
Ниже представлены характеристики силовой установки в виде зависимости
мощности на валу двигателя от величины воздушной скорости БЛА на различных
режимах его полета.
Рис. 2.7 Располагаемая мощность силовой установки в зависимости от высоты
и скорости полёта
Описание пилотажно-навигационного комплекса БЛА
Пилотажно-навигационный комплекс предназначен для управления движением
носителя, обеспечения полета по заданному маршруту, выполнения
запрограммированных маневров, а также управления режимами работы двигателей и
посадочной системы. Управление движением центра масс по траектории
осуществляется автономно, в соответствии с введенной программой полета на
основе вычисленных навигационных параметров. Коррекция полетного задания
происходит по командам системы радиоуправления.
Пилотажно-навигационный комплекс включает в себя все датчики первичной
информации, вычислитель и формирует сигналы по крену, тангажу, курсу, воздушной
скорости и высоте, угловым скоростям и перегрузкам. Он решает задачи управления
взлетом, стабилизации короткого периода, навигации, выполнения программы
полета, взаимодействия с бортовой аппаратурой и контроля её состояния.
Исполнительные механизмы управления для аэродинамических поверхностей и
дроссельных заслонок двигателей - электрические сервоприводы, для системы
посадки - электропневмоклапаны, для выпуска-уборки шасси - электромеханизмы.
Рис. 2.8 Структурная схема пилотажно-навигационного комплекса БЛА
Состав:
. курсовертикаль ДКВ-21 разработки Арзамасского КБ "Темп". Выдает
сигналы тангажа, крена, гироскопического курса;
. магнитный компас, выдает сигнал магнитного курса;
. приемник спутниковой навигации, выдает географические координаты
носителя, курс полета, путевую скорость;
. датчик воздушной скорости;
. датчик барометрической высоты;
. радиовысотомер малых высот;
. датчик вертикальной перегрузки (ny);
. датчик боковой перегрузки (nz);
. блок датчиков работы правой силовой установки, в т.ч. датчики частоты
вращения, температуры головки цилиндра, давления топлива, давления масла,
температуры масла, аварийного остатка топлива в правом баке;
. блок датчиков работы левой силовой установки;
. приемная антенна бортовой аппаратуры радиоуправления (БАРУ);
. радиоканал приема команд от наземного оператора (БАРУ);
. программное устройство;
. наземный ввод программ полета (БАРУ);
. бортовой вычислитель;
. бортовой регистратор;
. радиоканал для передачи пилотажно- навигационной информации наземному
оператору (БАРУ);
. передающая антенна (БАРУ);
. рулевые машинки зависающих элеронов (по одной машинке на каждую секцию
элерона, всего 4 шт);
. рулевые машинки рулей высоты-направления (по одной машинке на каждую
секцию рулей, всего 4 шт);
. электромеханизм выпуска-уборки шасси (МП-100);
. рулевые машинки управления двигателями;
. рулевые машинки управления тормозами колес;
. рулевая машинка ввода в действие парашютной системы;
. видеокамера для передачи наземному оператору (пилоту) изображения
взлетно-посадочной полосы на фоне деталей конструкции носителя (вид из кабины
самолета).
Характеристики исполнительных приводов рулевых органов
Отклонение органов управления осуществляется с помощью электрического
привода, структурная схема которого представлена на рис 3.6
Рис 3.6 Структурная схема исполнительного привода БЛА. (убери из картинки
T и зону нечувствительности)
где: T - постоянная времени рулевой машины
(электромеханическая постоянная);
- коэффициент добротности привода (коэффициент усиления
разомкнутого привода);
- зона нечувствительности (обусловленная моментом трогания);
δmax - максимальная скорость отклонения
руля;
δmax - максимальный угол отклонения руля.
Величина добротности K = 20
,
постоянная времени T =
0.05 cек,
ограничение по скорости
30 град/сек
ограничение по углу отклонения руля
30 град.
.3 Расчет основных параметров взлета
.3.1 Расчет длины разбега и скорости отрыва
Типовой профиль полета БЛА состоит из следующих этапов:
разбег;
отрыв;
набор высоты;
выход на рабочий эшелон;
крейсерский полет;
снижение;
предпосадочный маневр;
полет по глиссаде;
касание;
пробег.
Вывод БЛА на заданную высоту полета с момента старта можно представить в
виде графика, изображенного на рис. 1
Рис.3.1 Траектория вывода БЛА на заданную высоту полета
На рис. 3.1 промежуток времени t1 - время,
необходимое для разгона БЛА,
t2 - время набора начальной высоты Ннач,
t3 - время полета на начальной высоте,
t4 - время набора заданной высоты Нзад,
t5 - полет на заданной высоте.
В настоящей дипломной работе подробно рассмотрен режим разбега, отрыва и
набор высоты.
Рис. 3.2 Взлет с одновременным разгоном и набором высоты
Полет самолета начинается взлетом и заканчивается посадкой на аэродром;
поэтому неудовлетворительные взлетно-посадочные характеристики, даже при
отличных летных данных делают самолет непригодным к эксплуатации.
Перед тем как подняться в воздух, самолет должен пробежать некоторое
расстояние по аэродрому для того, чтобы достигнуть скорости движения,
достаточной для создания подъемной силы, уравновешивающей вес самолета.
На участке разбега самолет перемещается по поверхности аэродрома со
скоростью, постепенно возрастающей от V=0 в начале разбега до некоторой скорости Vотр, достаточной для создания подъемной силы, равной весу
самолета; при достижении скорости отрыва Vотр самолет отделяется от поверхности аэродрома и переходит в
полет- от движения по земле к движению в воздухе.
При разбеге на самолет действуют следующие силы:
сила тяжести G,
сила тяги Pр,
подъемная сила Y,
сила лобового сопротивления Q,
сила реакции земли N, действующая
на колеса,
сила F трения колес о землю.
Предполагая, что сила тяги направлена параллельно земле, т. е.
пренебрегая углом (α-φ), уравнения движения самолета при
разбеге получим в виде
(3.1)
(3.2)
Уравнение (3.2) отражает то обстоятельство, что сила реакции колес равна G-Y; далее, силу трения можно выразить через нагрузку,
приходящуюся на колеса G-Y, и коэффициент трения f:F=f(G-Y). Наконец, подъемную силу и силу лобового сопротивления
можно представить через коэффициенты Сy и Сx ; в результате уравнение (3.1) можно
привести к виду
(3.3)
Длину разбега желательно иметь как можно меньшей. Поэтому тяга движителя
при разбеге должна быть наибольшей возможной для данного движителя, а угол
атаки крыла следует выбирать с таким расчетом, чтобы разность
) получилась наименьшей возможной.
Посмотрим, при каких условиях это требование выполняется. Найдем угол атаки,
соответствующий
. Разность
при заданном коэффициенте трения есть функция коэффициента
подъемной силы
. Полагая
, на диаграмму поляры самолета с выпущенным шасси можно
нанести прямые линии
будет касательной к поляре. Соответствующий угол атаки и
будет наивыгоднейшим для разбега.
Рис. 3.3 Определение наивыгоднейшего угла атаки
при разбеге
Значение коэффициента трения f зависит от состояния поверхности аэродрома; для твердого грунта f меньше, чем для мягкого грунта. В
среднем можно принимать следующие значения f:
В нашем случае мы выбираем сухое бетонное покрытие, где коэффициент
трения f=0.02
В зависимости от значения коэффициента f наклон прямых к оси
на рис 3.4 будет различным: при
больших значениях f наклон будет бо́льшим, чем при малых. В соответствии
с этим будет получаться и точка касания этих прямых с полярой при различных
значениях
. При большом f
касание получится при бо́льшем значении
, чем при малом f.
Следовательно, при разбеге по мягкому грунту (значение f велико) целесообразно поддерживать
большой угол атаки α, чем при разбеге по твердому грунту. Это объясняется
тем, что движение самолета по мягкому грунту (значение f велико) сопряжено с преодолением большой силы трения,
поэтому, увеличивая угол атаки, получаем больший
, а следовательно бо́льшую подъемную силу Y, разгружающую колеса,
так как:
F=f*N, а N=G-Y
Движение самолета по твердому грунту, наоборот, связано в основном с
преодолением силы лобового сопротивления Q, так как трение в этом случае играет второстепенную роль
(значение f мало). Чтобы уменьшить лобовое
сопротивление самолета, приходится вести разбег при сравнительно небольшом угле
атаки, которому соответствует небольшое значение
.
Рис. 3.4 Наивыгоднейший угол атаки
при разбеге по твердому и мягкому
грунтам
Для определения длины разбега воспользуемся следующими действиями:
производную
представим в следующем виде:
Тогда уравнение (3) примет форму
(3.4)
Интегрируя уравнение (4), найдем длину разбега при взлете
(3.5)
Знаменатель подынтегральной функции при наивыгоднейшем угле атаки
, которому соответствует наименьшее
постоянное во все время разбега значение
, есть функция скорости V движения самолета. Эта функция в
общем случае не может быть выражена просто аналитической формулой, поэтому
интеграл приходится определять графическим путем.
Верхний предел интегрирования - скорость отрыва
определяется из условия равенства
подъемной силы и веса самолета в момент отрыва от земли
(3.6)
Если отрыв производить с тем же углом атаки, с которым происходит разбег,
то вследствие сравнительно небольшого значения
скорость отрыва будет сравнительно
большой. Для уменьшения скорости обычно перед отрывом увеличиваем угол атаки.
Коэффициент подъемной силы не должен превышать допустимое по условиям
безопасности полета значение
.
В нашем случае стояночный угол атаки
, и равен углу атаки при отрыве:
.
Таким образом, определив значение
, соответствующее углу атаки,
несколько меньшему, чем стояночный угол атаки (на 1.5-2°), и значение
, в расчет принимают меньшее из этих
двух значений.
Т.к.
, то соответственно Сy=0.71.
В случае самолета с винтовыми двигателями, расположенными перед крылом,
необходимо учитывать влияние отбрасываемой винтами струи воздуха на подъемную
силу крыла. В первом приближении это осуществляется определением скорости
отрыва по формуле
, (3.7)
Где
-тяга винтов на месте (при V=0) в нашем случае эта величина равна
=219 кг
Тогда скорость отрыва будет равна:

≈12м/с,
Время
разбега самолета при взлете получим, интегрируя уравнение (3.1):
t=
(3.8)
Интеграл,
входящий в выражение (3.8), определяется графическим путем.
Приближенное
выражение для длины разбега можно получить на основании следующих рассуждений.
Разность
обычно невелика и в первом приближении может быть
положена равной нулю. Тяга движителей во время разбега изменяется в
сравнительно небольших пределах, так что можно без большой погрешности принять
некоторую среднюю величину тяги
считая ее
постоянной на всем протяжении разбега. Тогда интеграл в выражении (3.5) можно
вычислить аналитически и для длины разбега получим следующее приближенное
выражение:
(3.9)
Тогда
20 м. [1]
автоматический взлет летательный аппарат
1.3.2 Расчет коэффициентов дифференциальных уравнений движения БЛА
Так как в нашем случае при разбеге скорость БЛА меняется от 0 до
некоторой скорости V, то коэффициенты
объекта управления будут меняться, таким образом, в нашем случае объект
управления является нестационарным.
Расчет аэродинамических коэффициентов.
Используя данные о поляре БЛА (рис. 2.2) определяем величину производной
коэффициента подъемной силы БЛА по углу атаки:
(3.12)
1/град,
1/град
При этом величина производной подъемной силы на крыле, приведенной к
скорости и массе БЛА, будет равна:
(3.13)
(3.14)
Соответственно на руле высоты:
(3.15)
(3.16)
.3.3 Расчет моментных характеристик
Расчет производных коэффициента момента тангажа производится по следующим
расчетным формулам (1.3б), (1.3в) и (1.3г).
После подстановки исходных данных получаем значение коэффициентов
момента, как функции скорости
(3.17)
(3.18)
(3.19)
.3.4 Расчет силовой установки
В качестве движителя в БЛА используется два винтовых двигателя с
суммарной мощностью 120 л.с. Для того, чтобы пересчитать мощность на валу
двигателя в тягу на винте воспользуемся номограммой приведенной на рисунке 3.5,
в которой
Hв
- шаг винта, Dв -диаметр винта [2].
Рис. 3.5 Номограмма для определения статической тяги винта
Введем следующие характеристики винта:
Hв
-шаг винта,
Dв -диаметр винта,
Dв=1.2 м,
Hв=30*
, (3.20)
где nв=5000 об/мин - частота вращения винта,
Vр- расчетная скорость для винта
(км/ч),
В нашем случае расчетная скорость Vр будет соответствовать максимально возможной равной 250 км/ч.
Подставив вышеуказанные значении в (3.20), получим величину шага винта:
Hв=30*
.
Тогда в соответствии с рис. 2,15 отношение
=
.
Далее
, это соответствует (по номограмме) Pp=219 кг.
На рисунке 2.7 показана зависимость располагаемой мощности силовой
установки от высоты и скорости полёта. Так как взлет осуществляется при H=0 м, то мощность будет описываться
следующим выражением:
.
На рис. 3.5 показана типовая зависимость тяги на винте от воздушной
скорости соответствующая винтомоторным ЛА. выглядит, как, Следовательно, в
нашем случае эту характеристику можно аппроксимировать зависимостью:
P=P0-k*V,
где k=
, P0=219 кг
Рис. 3.5 график зависимости тяги на винте от скорости полета и диаметра
винта
.3.5 Расчет силы реакции опоры на шасси
Рис. 3.5 Силы реакции опоры, действующие на стойки шасси
нагрузка на шасси распределена не равномерно, на основную стойку
приходится 60% веса, а на переднюю стойку - 40%.
Из формул (1.3 д) следует, что
,
.
Рассчитаем
:
,
.
Таким образом, получили модель динамики БЛА в продольном канале
.4 Разработка функциональной схемы системы автоматического управления
продольным движением БЛА на режиме взлета
Функциональная схема СУ БЛА представлена на рисунке 3.1.
В верхней части рисунка показан автомат тяги, который включает следующие
блоки:
силовую установку (двигатель),
датчики силовой установки,
вычислитель автомата тяги (ВАТ),
исполнительный механизм автомата тяги (ИМАТ).
СУ движением ЛА строится поканально и иерархически, соответственно
управляющим органам:
канал руля направления;
канал элеронов;
канал руля высоты;
канал органа непосредственного управления подъемной силой (НУПС);
канал дросселя подачи топлива.
Верхней ступенью иерархии системы является уровень выработки команд
управления, которые включают в себя:
блок команд (БК);
блок связи с командным пунктом (БСКП);
приёмно-передающий блок (Пр-Пер);
линию связи с командным пунктом;
командный пункт, расположенный вне борта летательного аппарата.
С командного пункта поступают команды на изменение программы полёта,
заложенной в блоке команд, на изменение заданных высоты, скорости и направления
полёта и др.
В БК команды, выработанные на основании заложенной программы или
введённых изменений в программу полёта, поступают на следующий, более низкий
уровень иерархии - в вычислитель системы траекторного управления (ВСТУ).
ВСТУ на основании полученных «уставок» и информации с датчиков линейных
координат формирует требуемые значения угловых координат в виде заданных
значений углов тангажа υ, крена γ, курса ψ и заданного значения тяги (или
оборотов и шага винта) в соответствии с заложенными алгоритмами траекторного
управления. Эти сформированные значения поступают на следующий, более низкий
уровень - в вычислитель системы управления угловым движением (ВСУУД) и в
вычислитель автомата тяги (ВАТ). На основании заложенных алгоритмов в ВАТ и
ВСУУД вырабатываются сигналы управления, поступающие на исполнительные
механизмы автомата тяги и рулевых органов.
Управление продольным движением ЛА (нормальной перегрузкой, углом
тангажа, углом наклона траектории, высотой и скоростью полёта) реализуется
через каналы руля высоты, топливного дросселя и органа НУПС, в качестве
которого используются зависающие элероны.
Управление боковым движением реализуется через элероны и руль направления
(угол крена, угол рысканья). Между этими каналами с целью улучшения процессов
управления вводятся перекрестные связи: из канала крена в канал рысканья - для
уменьшения скольжения при развороте с креном, из канала крена в канал тангажа
(следовательно, высоты полёта) - для предотвращения потери высоты при крене, из
канала рысканья в канал крена при выполнении координированного разворота, а при
необходимости и некоторые другие.
Конечной целью управления полётом ЛА является управление траекторией его
движения, то есть траекторией движения центра масс. Изменяется траектория путём
изменения действующих на ЛА сил: аэродинамических сил, силы тяги двигателя. В
установившемся полёте все действующие силы уравновешены (сбалансированы) так,
что результирующая всех действующих сил равна нулю. Функциональное назначение
системы управления сводится к поддержанию этого баланса, и в случае отклонения
под действием возмущений система управления устраняет этот дисбаланс.
Управление силой тяги осуществляется путем изменения количества
подаваемого топлива в силовую установку (двигатель). Аэродинамические силы
зависят от положения корпуса ЛА относительно траектории полёта (вектора скорости)
и характеризуется углами атаки α и скольжения β. Изменяя угловое положение ЛА
относительно траектории, мы достигаем изменения аэродинамических сил
действующих на ЛА. Таким образом, изменение углового положения является
средством управления аэродинамическими силами и, следовательно, траекторией
полёта.
Рис 4.1 Функциональная схема БЛА
На рисунке 4.1обозначено:
ВАТ - вычислитель автомата тяги;
ИМАТ - исполнительный механизм автомата тяги;
ВСУУД - вычислитель системы управления угловым движением;
ВСТУ - вычислитель системы траекторного управления;
БСКП - блок связи с командным пунктом;
Пр-Пер - приемник передатчик;
БК - блок команд.
1.5 Разработка бортовых алгоритмов автоматического управления
продольным движением беспилотного летательного аппарата на режиме взлета.
Оптимальные условия полёта при наборе высоты
Набор высоты полёта может производиться с разной скоростью и разными
углами наклона траектории. При неизменном режиме работы двигателей, увеличение
угла наклона траектории сопровождается уменьшением скорости полёта. Точки
пересечения характеристики располагаемой мощности (например, при взлетном
режиме) с кривыми потребных мощностей определяют значения соответствующих углов
наклона траектории, скорости полёта, углов атаки. Вертикальная скорость набора
высоты вычисляется по формуле
. (5.1)
Вертикальная скорость Vy
является функцией двух переменных скорости полёта V и угла наклона траектории
, которые изменяются разнонаправлено
- если одна из них увеличивается, то другая при этом уменьшается, и наоборот.
Следовательно, Vy имеет максимум
при каких-то значениях V и
. Эти значения V и
желательно знать. На рис. 5.1
приведены графики зависимости вертикальной скорости, угла наклона траектории,
угла атаки, угла тангажа от скорости полёта на высоте Н = 100 м, с полётной
массой m = 500 кг, при взлётном режиме работе
двигателей. Вертикальная скорость Vy имеет большие значения при меньших скоростях полёта, одновременно с Vy растёт и угол атаки. Если продолжить
построение графика Vy при меньших
скоростях полёта V, то Vy, пройдя через максимум, начнёт
уменьшаться. Но при этом соответствующие углы атаки будут иметь чрезмерно
большие величины. Принимая во внимание ограничение угла атаки по условию
безопасности полёта величиной 8 градусов, получим, соответствующие этому
ограничению, значения: скорости полёта V =34,4 м/с, вертикальной скорости Vy = 9,2 м/с, угла наклона траектории
=15,5 градуса, угла тангажа
= 23,5 градуса. Реализация
потребного значения угла атаки
= 8 градусов обеспечивается отклонением руля высоты, согласно
балансировочной характеристики (рис 5.2), на угол
= 5,2 градуса. Разумеется, что при
полёте на другой высоте, с другим полётным весом количественные значения V, Vy,
,
будут другими, но общий характер их изменения останется
прежним. Максимально достижимое значение Vy при этих новых условиях полёта будет, как и прежде,
определяться максимально допустимым значением угла атаки
= 8 град. Угол отклонения руля
высоты сохранит своё прежнее значение
= 5,2 градуса (если не меняется
центровка ЛА). Таким образом, получается интересный вывод и полезная рекомендация.
Если производить набор высоты при не меняющемся режиме работы двигателя с
постоянным балансировочным углом отклонения руля высоты, обеспечивающим полёт с
максимально допустимым углом атаки, то подъём будет происходить с максимально
возможной вертикальной скоростью. Величина вертикальной скорости будет меняться
из-за уменьшения плотности воздуха с увеличением высоты полёта, но она всякий
раз будет наибольшей в данных конкретных условиях полёта. Скорость полёта, угол
наклона траектории, угол тангажа будут меняться, но, главное, скорость набора
высоты будет наибольшей (Рис. 5.3)
Рис. 5.1 Режим набора высоты
Рис. 5.2 Балансировочная характеристика БЛА
Рис. 5.3 Кинематические параметры при оптимальном наборе высоты
1.6 Разработка структурной схемы САУ продольным движением БЛА на режиме
взлета.
.6.1 Структурная схема
На рис. 6.1 приведена структурная схема системы стабилизации заданного угла
тангажа. Динамика привода выражается динамическим звеном второго порядка с
передаточной функцией:
Ωпр2
Wпр(S) = -------------------------- (6.1)
S2 +2ξпр
ΩпрS+ Ωпр2
Рис. 6.1 Структурная схема статической системы стабилизации заданного
угла тангажа
На схеме обозначено:
-возмущающий момент, приведенный к отклонению руля, где
=
;
- угол вертикального ветра;
- погрешность измерения угловой скорости тангажа, приведенная
к входу датчика угловой скорости;
- погрешность измерения угла тангажа, приведенная к входу
датчика угла тангажа,
=
- передаточное число по нормальной перегрузке.
- передаточное число по угловой скорости тангажа
- коэффициент датчика линейного ускорения;
Ко - коэффициент передачи блока ОС по υ;
К1 - коэффициент передачи блока ОС по
;
Ку - коэффициент передачи усилителя сумматора сигналов;
Кпр- статический коэффициент передачи привода.
Закон формирования сигнала управления
Uупр
= Kυ (
-
зад) + Kωzωz
Wпр(s) - передаточная функция, отражающая динамику привода. Обычно
эта передаточная функция представляется апериодическим звеном первого порядка
Wпр(s)
,
или колебательным звеном 2-го порядка
Wпр(s)=
.
1.7 Выбор параметров и настроек передаточных чисел закона управления
Далее проводится расчет коэффициентов закона управления
.7.1 Устойчивость системы
На рис. 3.5 приведена область устойчивости на плоскости передаточных
чисел Kυ, Kωz. Левой границей области устойчивости
является ось 0Kωz, а справа область устойчивости
ограничивается в зависимости от собственной частоты привода Ωпр кривыми помеченными Ωпр1, Ωпр2, Ωпр3. Точка a располагается тем ниже на оси Kωz, чем больше демпфирующие моменты ЛА Mzωz, (Mzα’) а положение точки b определяется приближенно выражением:
(Kωz)max ≈ Ωпр / Mzδb.
Таким образом, как это было показано выше, в системе стабилизации
заданной нормальной перегрузки nyзад, собственная частота привода Ωпр существенно ограничивает величины
передаточных чисел Kωz, Kυ.
Рис. 3.5 Область устойчивости на плоскости
1.7.2 Качество процессов управления
Для того, чтобы динамика привода не влияла на качество переходных
процессов угла тангажа
, при выборе передаточных чисел Kυ, Kωz , должны выполняться условия:
Ωпр ≥ (5..6) Ωα, Kωz ≤ (0,25..0,3) (Kωz)max
Передаточное число Kυ выбирается из условия: Kυ ≤ (0,7..0,8)(Yaα),
время переходного процесса при таком выборе передаточных чисел,
оцениваемое по входу в трубку ± 0,05
(∞), оценивается выражением: tр ≈ 3 / Kυ.
Переходные процессы при этом получаются без перерегулирования.
На рис. 3.6 показаны процессы отработки заданного угла тангажа при
настройках передаточных чисел Kυ, Kωz, выбранных в соответствии с
вышеприведёнными рекомендациями. Как видно переходные процессы удовлетворяют
предъявляемым требованиям. [2]
Рис. 3.6 Переходные процессы отработки заданного угла тангажа
1.8 Имитационное моделирование разбега и взлета БЛА
Результаты аналитического расчета основных характеристик режима взлета, а
также коэффициентов закона управления требуют проверки на имитационной модели
САУ углом тангажа БЛА, сконструированной с использованием пакета программ Matlab Simulink. На рис. 8.1 приводится общий
имитационной модели САУ углом тангажа БЛА:
Общая схема:
Рис. 8.1 Имитационная модель САУ углом тангажа
Моделирование проводилось при следующих исходных данных:
H =
0.8 м (высота центра масс БЛА над плоскостью ВПП);
υ =α= 4 град; V = 0 м/сек;
Угол отклонения руля высоты в балансировочном положении и соответствует
-2 град; Моделирование процесса разбега и взлета БЛА проводилось следующим
образом:
Тяга берется на максимуме, далее по достижению скорости отрыва 12 м/с с
помощью блока переключение выдается команда сначала на заданный угол тангажа 17
град, потом по достижении скорости полета 26 м/сек в САУ углом тангажа выдается
команда заданного угла тангажа равного 20 град, а затем по достижении 27.2 град
соответственно 22 град.). Тем самым обеспечен плавный выход на заданный угол
тангажа, который обеспечивает максимальную скороподъемность 10 м/сек и
исключает выход на критический угол атаки и потерю скорости. Это подтверждают
результаты моделирования, представленные на следующих рисунках (8.4-8.9)
Модель привода:
Отклонение органов управления осуществляется с помощью электрического
привода. K = 20, T = 0.05 cек,
ограничение по скорости
30 град/сек, ограничение по углу отклонения руля
30 град.
Рис. 8.2 Модель электрического привода
Рассмотрим модель самолета, она представлена на рис 8.3.
Здесь располагается схема модели-самолета представленная в файле
«Модель-самолет.Doc».
Проанализируем графики изменения скорости (V), угла тангажа (υ) и высоты (H) при моделировании разбега и взлета БЛА.
График изменения скорости имеет вид:
Рис. 8.4 График изменения скорости
Скорость в данном процессе плавно достигает максимума и выходит на
установившийся режим.
График изменения высоты имеет вид:
Рис. 8.5 График изменения высоты
Высота изначально на разбеге равна 0.8 м, при достижении скорости отрыва
БЛА начинает набирать высоту с вертикальной скоростью Vy = 9.2 м/сек, что соответствует расчетному значению.
График изменения угла тангажа и угла наклона траектории имеет вид:
Рис. 8.6 График изменения угла тангажа и угла наклона траектории
Выход на заданный угол тангажа осуществляется в 3 этапа, что исключает
выход на критический угол атаки, который может привести к потере скорости и
срыву в штопор. Проанализируем графики изменения остальных координат таких как,
угол атаки (α), угловая скорость вращения корпуса самолёта (ωz) и нормальна перегрузка (ny).
График изменения угла атаки имеет вид:

График изменения перегрузки имеет вид:
Рис. 8.8 График изменения перегрузки
График изменения угловой скорости тангажа имеет вид:
Рис. 8.9 График изменения угловой скорости тангажа
Все процессы выполняются в пределах нормы, а соответствующие координаты
приходят к установившимся значениям. Скачки наблюдаются из-за того, что мы
задаем угол тангажа поэтапно.
2. ЭКОНОМИЧЕСКАЯ ЧАСТЬ
.1 Определение целесообразности разработки программного продукта
Целью данной дипломной работы является разработка и внедрение программы
моделирования системы автоматического управления взлетом самолетного типа для
беспилотного летательного аппарата (БЛА). На сегодняшний день, из всех режимов
полета БЛА большой интерес вызывают собой вопросы управления автоматическим его
взлетом, которая сама по себе является достаточно сложным и очень ответственным
этапом полета. К настоящему моменту все известные способы посадки БЛА можно
классифицировать следующим образом:
- на подготовленную площадку со специализированными устройствами
механического захвата;
- на подготовленную площадку по самолетному с использованием
аэродромных радиотехнических и других средств;
на неподготовленную площадку с использованием парашюта;
по-самолетному на неподготовленную площадку с использованием
только бортового комплекса измерительно-информационной аппаратуры.
Ряд принципиальных выводов по применяемым способам беспилотной посадки
позволяет сделать проведенный в процессе исследований их сравнительный анализ.
Основной недостаток беспилотной самолетной посадки ЛА на основе использования
аэродромных радиотехнических средств связан со сложностью подготовки соответствующей
площадки со всей необходимой инфраструктурой. Автоматическая беспилотная
посадка ЛА на неподготовленную площадку с использованием бортового комплекса
измерительно-информационной аппаратуры является более перспективной.
Для экономической эффективности разрабатываемых алгоритмов и программного
продукта (ПП) необходимо:
· определить целесообразность разработки;
· определить трудоемкость и затраты на создание ПП;
· определить показатели экономической эффективности разработки
ПП.
Для того чтобы обосновать целесообразность разработки ПП, дать оценку
технической прогрессивности и качеству реализации, необходимо сравнить ее с
одним из существующих аналогов, который принят в качестве базового. В качестве
такого аналога будем рассматривать программу, используемую в настоящее время в
учебном процессе на кафедре 301.
Анализируемые функциональные характеристики представлены в таблице 3.
Таблица 3
Функциональные характеристики
|
Функциональные характеристики
|
Величина функциональных характеристик
|
Значимость характеристики
|
|
аналог
|
новый вариант
|
|
|
1. Универсальность
|
1
|
4
|
0.4
|
|
2. Точность
|
1
|
2
|
0.3
|
|
3. Наглядность отображения входных данных и результатов
расчета
|
1
|
3
|
0.2
|
|
4. Простота использования
|
1
|
4
|
0.1
|
Определим индекс технического уровня разработки по формуле:
,
где xiН, xiБ
- уровень i-ой функциональной характеристики
соответственно нового и базового ПП;
μi - значимость i-ой функциональной характеристики;
n -
количество рассматриваемых функциональных характеристик.
Значимость i-ой
функциональной характеристики определяется экспертным путем, при этом
учитывается условие:
.
Таким образом, индекс технического уровня равен:
Полученное значение индекса позволяет сделать вывод о том, что
разрабатываемый ПП является более прогрессивным по сравнению с рассматриваемым
базовым аналогом.
.2 Определение трудоемкости и затрат на создание алгоритма и ПП
В процессе планирования разработки ПП определяется трудоемкость его
создания. При традиционном программировании каждый элемент ПП содержит все
этапы решения задачи, начиная с ввода исходных данных и кончая выводом
результатов. Для этого случая затраты труда в чел.-час определяются по формуле:
tПРТ
= tО + tИ + tА + tК + tОТ + tД
,
где tО - затраты труда на подготовку описания задачи;
tИ - затраты труда на изучение описания
задачи;
tА - затраты труда на разработку
алгоритма решения задачи;
tК - затраты труда на составление
программы;
tОТ - затраты труда на отладку программы;
tД - затраты труда на подготовку
документации по ПП.
Условное количество команд в программе определяется следующим образом:
,
где q - предполагаемое количество команд;
КС - коэффициент сложности программ (КС=1.25 -
2.0);
КК - коэффициент коррекции программы при ее разработке (КК=
0.05 - 0.1);
n -
количество коррекций программы в ходе ее разработки.
Примем:
q =
1000;
KC = 1.8;
KK = 0.08;
n = 7.
Таким образом, условное количество команд в разрабатываемой программе:
Составляющие затрат труда рассчитываются по формулам:
;
;
;
;
,
где В - коэффициент увеличения затрат труда на изучение и постановку
задачи вследствие их сложности и новизны (В = 1.2 - 3.0);
К - коэффициент квалификации разработчиков (при стаже 2-3 года К=1).
Цифры, заключенные в скобках и находящиеся в знаменателях формул,
характеризуют среднюю производительность труда программистов (число команд или
операторов в час).
Таким образом, составляющие трудоемкости разрабатываемого ПП (чел.-час.):
;
;
;
;
;
Значение tO
примем равным 7 чел.-час.
Тогда общие затраты труда составляют:
tПРТ
= 7 + 49.1 + 127.6
+ 187.2 + 561.6 + 301.9 = 1234.4 чел.-час.
.3 Календарное планирование работ
Календарное планирование создания ПП производится на основе данных о
трудоемкости работ по его созданию.
Производственный цикл каждого этапа определяется по формуле:
;
где ТЭ - трудоемкость этапа, чел.-час.;
tРД - продолжительность рабочего дня, ч.
(tРД = 8ч.);
q -
количество работников одновременно участвующих в
выполнении работ, чел.
Пересчет длительности производственного цикла, выраженной в
человеко-часах, в календарные дни осуществляют умножением ее на коэффициент
1.4, т.е:
.
Произведем расчет длительности каждого этапа:
;
;
;
;
;
;
;
;
;
;
Результаты расчета и директивный график представлены в таблице 4.
Таблица 4
Календарное планирование и директивный график
|
Наименование этапов
|
Уд. вес, %
|
Трудоемк. этапа, чел.-час.
|
Кол-во исполни-телей
|
Длительн. этапа, кал. дни
|
Календарные дни
|
|
|
|
|
|
|
30
|
60
|
90
|
120
|
150
|
180
|
210
|
240
|
|
Подготовка описания и изучение задачи
|
5
|
56.1
|
1
|
9.8
|
|
|
|
|
|
|
|
|
|
|
|
|
|
|
|
|
|
|
|
|
|
|
Разработка алгоритма
|
10
|
127.6
|
2
|
11.2
|
|
|
|
|
|
|
|
|
|
|
|
|
|
|
|
|
|
|
|
|
|
|
Программирование
|
15
|
187.2
|
1
|
32.8
|
|
|
|
|
|
|
|
|
|
|
|
|
|
|
|
|
|
|
|
|
|
|
Отладка
|
45
|
561.6
|
1
|
98.3
|
|
|
|
|
|
|
|
|
|
|
|
|
|
|
|
|
|
|
|
|
|
|
Анализ результатов и подготовка документации
|
25
|
301.9
|
1
|
52.8
|
|
|
|
|
|
|
|
|
|
|
|
|
|
|
|
|
|
|
|
|
|
|
Всего
|
100
|
1234.4
|
|
204.9
|
|
|
|
|
|
|
|
|
|
|
|
|
|
|
|
|
|
|
|
|
|
|
2.4 Расчет заработной платы основного персонала
Заработная плата разработчиков программы рассчитывается на основе
трудоемкости стадий работ. Часовые ставки определяются на основе должностных
окладов разработчиков и разрядов работ (часовых тарифных ставок). Расчет
заработной платы представлен в таблице 5.
Таблица 5
Расчет заработной платы основного персонала
|
№
|
Стадии (этапы)
|
Трудоемк. стадий, чел.-дн.
|
Исполнители
|
Дневн. ставка, р.
|
Сред. дневн. ставка, р.
|
З/п, р.
|
З/пс уч. премий, р.
|
|
|
|
должность
|
Числ.
|
|
|
|
|
|
1
|
Подготовка описания и изучение задачи
|
7
|
программист
|
1
|
555
|
555
|
3885
|
5439
|
|
2
|
Разработка алгоритма
|
16
|
программист
|
1
|
555
|
977
|
15632
|
21885
|
|
|
|
ведущий специалист
|
1
|
1400
|
|
|
|
|
3
|
Программирование
|
23
|
программист
|
1
|
555
|
555
|
12765
|
17871
|
|
4
|
Отладка программы
|
70
|
программист
|
1
|
555
|
555
|
38850
|
54390
|
|
5
|
Анализ результатов и подготовка документации
|
38
|
программист
|
1
|
555
|
555
|
21090
|
29526
|
|
Всего
|
154
|
|
|
|
|
92222
|
129111
|
Премия составляет 40% от заработной платы. Заработная плата основного
персонала рассчитана по формуле:
,
где k - количество этапов;
ТЭi
- трудоемкость i-го этапа;
- средняя часовая тарифная ставка оплаты труда работ i-го этапа.
.5 Определение затрат на создание алгоритмов и ПП
Затраты на создание алгоритмов и ПП определяются по следующим статьям:
1. материалы;
2. специальное оборудование;
. заработная плата основных исполнителей;
. отчисления на единый социальный налог основных исполнителей
(26.2%);
. страховые социальные расходы на производственный травматизм
исполнителей (0.2-8.0%);
. накладные расходы;
. прочие расходы.
2.5.1 Материалы
Затраты данного вида при разработке ПП отсутствуют.
.5.2 Специальное оборудование
Затраты данного вида при разработке ПП отсутствуют.
.5.3 Заработная плата основных исполнителей
Заработная плата основных исполнителей рассчитана в пункте 2.4 и, с
учетом премий, составляет ЗПП = 129111 р.
.5.4 Отчисления на единый социальный налог основных исполнителей
р.
.5.5 Страховые социальные расходы на производственный травматизм
исполнителей
,
р.
.5.6 Прочие расходы
,
р.
.5.7 Сводная таблица затрат
Затраты на создание алгоритмов и ПП сведены в таблицу 6.
Таблица 6
Структура затрат на создание алгоритмов и ПП
|
№
|
Наименование элементов и статей затрат
|
Затраты, руб.
|
Удельный вес, %
|
|
1
|
Материалы
|
1403
|
0.3
|
|
2
|
Специальное оборудование
|
-
|
-
|
|
3
|
Заработная плата основных исполнителей
|
129111
|
29.9
|
|
4
|
Отчисления на единый социальный налог основных исполнителей
|
33827
|
8.9
|
|
5
|
Страховые социальные расходы на производственный травматизм
|
2582
|
0.6
|
|
6
|
Накладные расходы
|
258222
|
58.8
|
|
7
|
Прочие расходы
|
6455
|
1.5
|
|
Итого:
|
431600
|
100
|
2.6 Расчет экономической эффективности
Использование разработанных алгоритмов и ПП в сфере авиационной
промышленности приведет к повышению качества (точности и универсальности) системы
посадки БЛА. Поэтому показатель годового экономического эффекта определяется по
формуле:
,
где
- годовые эксплуатационные затраты в информационной системе
по базовому и новому варианту соответственно, руб.
Таким образом:
руб.
Для разрабатываемого ПП уровень экономической эффективности
капиталовложений составляет:
,
Выводы
В данном разделе дипломной работы были произведены следующие расчеты:
. Был рассчитан показатель технического уровня разрабатываемых алгоритмов
и программных продуктов. Этот показатель получился больше единицы
, что дает возможность утверждать о
высоком качестве решений и полученных результатов разработанного программного
продукта.
. Новые алгоритмы в области обеспечении безопасности группового полета
самолетов являются экономически выгодными. Экономический эффект разработки,
определяемый как годовая экономия на текущих затратах, составляет 877500
руб./год. Эта экономия является следствием применения высокой эффективности
решения задачи при использовании разработанного алгоритма.
. Уровень экономической эффективности капиталовложений на разработку
нового программного обеспечения составляет 0.243. Срок окупаемости составляет
48 месяцев. Таким образом, можно сделать вывод, что данная разработка является
экономически выгодой.
Также был составлен календарный график проводимых работ в области
разработки алгоритмов и ПП.
3. ОХРАНА ТРУДА И ОКРУЖАЮЩЕЙ СРЕДЫ
Обеспечение безопасных условий труда разработчика системы автоматического
управления взлетом самолетного типа для беспилотного летательного аппарата.
Проектирование системы автоматического управления летательным аппаратом
(САУ ЛА) сводится к разработке структуры и определению параметров отдельных ее
подсистем. Для принятия рационального решения разработчику САУ необходим
определенный объем информации, которую можно подразделить на необходимую
начальную и рабочую. Под начальной (априорной) информацией понимают
совокупность сведений о параметрах управляемого движения ЛА, полученных в
процессе проектирования и используемых для реализации конкретного варианта САУ.
Для получения рабочей информации разработчик должен овладеть общей
методикой проектирования и суметь творчески ее использовать при проектировании
САУ конкретного ЛА.
С точки зрения разработчика программно-алгоритмической части САУ
формально организационные этапы проектирования можно объединить в четыре
группы.
) Начальный этап проектирования. Он включает предварительный расчет САУ
ЛА на основных типовых режимах полета с использованием упрощенных
математических моделей объекта управления (ОУ) и идеальных моделей САУ.
) Этап математического моделирования на ЭВМ с учетом нелинейных
характеристик. На этом этапе уточняют и проверяют предварительно полученные
результаты синтеза САУ ЛА с учетом теоретических и реально полученных
характеристик объекта управления и САУ.
) Полунатурное и стендовое моделирование САУ ЛА. Здесь с полным или
частичным использованием реальной аппаратуры САУ так же, как и на этапе 2,
уточняются структура и параметры проектируемой системы управления.
Процесс разработки ведётся в лаборатории научно-исследовательского
института общей площадью 48
, высота потолка 4 м. В помещении постоянно находится 4
человека. Площадь производственного помещения на одно рабочее место составляет
12
, а объём 48 м3. Согласно
СанПиН 2.2.2/2.4.1340-03 на одно рабочее место пользователей ПЭВМ с ВДТ на базе
электронно-лучевой трубки требуется площадь не менее 6
и объёмом - не менее 20 м3,
что соответствует фактическому значению.
Таким образом, оборудование, применяемое в процессе разработки:
персональный компьютер.
Перечень производственного оборудования, находящегося в лабораторном
зале:
· Системный блок Asus
50Vm 844 Intel (R) Core (TM) 2 Duo CPU 2ГГц
Габариты 39,75 ×11,66 × 36,19 см; мощность источника
питания: 400 Вт; оперативная память: 4 Гб; операционная система Windows XP Professional SP2;количество: 5 штук.
· Плоскопанельный ЖК Монитор Asus PG191
Габариты: 44,49 ×46,3 × 24 см; количество: 5 штук.
· Источник бесперебойного питания типа APC Back UPS
Автоматический тип предохранителя; входное напряжение: 180 - 264 В;
диапазон входных частот: 47 - 63 Гц; энергия скачка: 290 Дж; габариты: 28,3 × 9,1 × 16,5 cм; количество: 6 штук.
· Многофункциональное устройство HP Deskjet
F4500
Среднее время работы оборудования в сутки - 12 часов.
.1 Анализ условий труда на рабочем месте при выполнении дипломной работы
Помещение имеет естественное и искусственное освещение, соответствующее
требованиям действующей нормативной документации и оборудовано защитным
заземлением в соответствии с техническими требованиями по эксплуатации.
При проектировании рабочих мест операторов ПЭВМ необходимо учитывать
следующие факторы производственной среды:
А) Санитарно - гигиенические факторы:
· Микроклимат рабочей зоны;
· Производственное освещение;
· Шум и вибрация;
· Электромагнитное и ионизирующее излучение;
Б) Эргономические факторы;
В) Психофизиологические факторы;
Г) Классификация помещения по электроопасности;
Д) классификация помещения по пожароопасности.
Анализ условий труда оператора по перечисленным факторам рассматривается
в СанПиН 2.2.2/2.4.1340-03 «Гигиенические требования к персональным
электронно-вычислительным машинам и организации работы».
a) Санитарно-гигиенические факторы:
1) микроклимат.
Микроклимат производственных помещений - это климат внутренней среды этих
помещений, который определяется действующими на организм человека сочетаниями
температуры, относительной влажности, скорости движения воздуха и интенсивности
теплового излучения.
Параметры микроклимата должны удовлетворять значениям
температуры, относительной влажности и скорости движения воздуха, приведенным в
ГОСТ 12.1.005-88 ССБТ «Общие санитарно-гигиенические требования к воздуху
рабочей зоны».
Таблица 3.1
Оптимальные нормы микроклимата в рабочей зоне помещений
|
Период года
|
Категория работ
|
Температуры, °С
|
Скорость движения воздуха, м /с
|
|
|
Оптим.
|
Оптим.
|
Оптим.
|
|
Холодный (средн. сут. t < 10°С)
|
Легкая - Iа
|
22 - 24
|
40 - 60
|
0,1
|
|
Теплый (средн.сут. t > 10°С)
|
Легкая - Iа
|
22 - 24
|
40 - 60
|
0,1
|
Таблица 3.1
Фактические нормы микроклимата в рабочей зоне помещений
|
Период года
|
Категория работ
|
Температуры, °С
|
Относительная влажность, %
|
Скорость движения воздуха, м /с
|
|
|
Фактич.
|
Фактич.
|
Фактич.
|
|
Холодный (средн. сут. t < 10°С)
|
Легкая - Iа
|
26-28
|
60
|
0,1
|
|
Теплый (средн.сут. t > 10°С)
|
Легкая - Iа
|
26 - 28
|
60
|
0,1
|
Большое влияние на микроклимат помещения, где разрабатывается алгоритм,
являющийся предметом данной дипломной работы, оказывает тепловое излучение.
Источниками этого теплового излучения служат ПЭВМ с периферийными устройствами,
расположенные на рабочих местах, а также тепло, поступающее от рабочего
персонала и от источников освещения. Тепло от этих источников приводит к тому,
что температура воздуха в помещении держится на уровне 26-28°С, что, как видно
из таблицы 3.1, не удовлетворяет требованиям, установленным в ГОСТ 12.1.005-88.
В связи с этим, для обеспечения комфортных условий работы требуется
осуществлять кондиционирование воздуха.
) шум и вибрации
Большое влияние на деятельность оператора оказывает уровень шума. С одной
стороны, это непосредственное влияние на качество восприятия информации. С
другой стороны, шум косвенно влияет на работоспособность оператора, вызывая
перестройку функционирования определенных физиологических систем организма.
В рассматриваемом помещении источниками шума являются системные блоки,
устройства ввода - вывода информации, принтер. Уровень шума от вентилятора системного
блока составляет около 15 дБА. Уровень шума в непосредственной близости от
принтера во время печати составляет около 45 дБА, в режиме ожидания практически
бесшумно.
Нормы шума предусматриваются ГОСТ 12.1.003. - 83, в котором определен
допустимый уровень звука в помещениях конструкторских бюро, расчетчиков,
программистов вычислительных машин равен 80 дБА.
Согласно ГОСТ 12.1.003-83 «Шум. Общие требования безопасности», при
выполнении основной работы на мониторах и ПЭВМ в помещениях, где находятся инженерно-технические
работники, осуществляющие лабораторный, аналитический или измерительный
контроль, уровень шума не должен превышать 65 дБА. Рассчитаем суммарный уровень
шума:
Таким образом, видно, что суммарный уровень шума на
рабочем месте соответствует требованиям ГОСТ 12.1.003-83.
Источники вибрации в данном помещении отсутствуют.
) освещение.
Результаты работы оператора ПЭВМ в большой степени зависят от
освещенности рабочих мест. Характеристика зрительной работы определяется
наименьшим размером объекта различения. В зависимости от размера объекта
различения все виды работ, связанные со зрительным напряжением, делятся на
восемь разрядов, которые в свою очередь в зависимости от фона и контраста
объекта с фоном делятся на четыре подразряда. Размер объекта различения на
данном рабочем месте 1мм, характеристика зрительной работы точная, контраст
объекта с фоном большой, фон светлый.
На анализируемом рабочем месте применяется совмещенное освещение.
Естественное осуществляется через окно в наружной стене - боковое освещение.
Искусственное освещение осуществляется в виде комбинированной системы
освещения, с использованием люминесцентных источников света. В соответствии с
нормами СНиП 23-05-95 «Естественное и искусственное освещение. Нормы
проектирования» освещение в помещении должно быть совмещенным (искусственное и
естественное). При разработке алгоритма объект различения, с которым работает
оператор - точка диаметром 0.4 мм (графическая информация, полученная при
моделировании, средней контрастности, преимущественно на светлом фоне). Работу
оператора можно отнести к III г разряду зрительных работ, точность работы
высокая. В этом случае величина освещенности рабочего места оператора ПЭВМ на
рабочем столе в горизонтальной плоскости от общего искусственного освещения
должна составлять по СНиП 23-05-95 не менее 400 лк в системе комбинированного
освещения и не менее 200 лк в системе общего освещения.
|
Характеристика зрительной работы
|
Наименьший или эквивалентный размер объекта различения, мм
|
Разряд зрительной работы
|
Подразряд зрительной работы
|
Контраст объекта с фоном
|
Характеристика фона
|
Искусственное освещение
|
Естествен. освещение
|
Совмещенное освещение
|
|
|
|
|
|
|
Освещенность, лк
|
Сочетание нормируемых величин показателя ослепленности и
коэффициента пульсации
|
КЕО, еН, %
|
|
|
|
|
|
|
при системе комбиниро-ванного освещения
|
при системе общего освещения
|
|
при верхнем или комбинированном освещении
|
при боковом освещении
|
при верхнем или комбинированном освещении
|
при боковом освещении
|
|
|
|
|
|
|
всего
|
в том числе от общего
|
|
Р
|
Кп, %
|
|
|
|
|
|
1
|
2
|
3
|
4
|
5
|
6
|
7
|
8
|
9
|
10
|
11
|
12
|
13
|
14
|
15
|
|
Высокой точности
|
0.4
|
III
|
г
|
Средний Большой
|
Светлый Средний
|
400
|
200
|
200
|
40
|
15
|
|
|
|
|
В рассматриваемом помещении предусмотрено совмещенное освещение
(естественное и искусственное). Вид естественного освещения - боковое,
обеспечивается за счет имеющегося в помещении окна, ориентированного на
юго-восток и оборудованного жалюзи. Естественное освещение обеспечивает
коэффициент естественного освещения (КЕО = 1,2%), соответствующий СНиП 23-05-95.
В качестве источников искусственного освещения используются
люминесцентные лампы типа ЛД мощностью 20 Вт, которые попарно объединяются в
светильники, расположенные над рабочими поверхностями в
равномерно-прямоугольном порядке. Общее количество ламп в помещении - 36 штук.
) электромагнитное излучение.
Основные части ПЭВМ (системный блок, различные устройства ввода/вывода),
а также сетевые фильтры, источники бесперебойного питания и другое
вспомогательное электрооборудование при работе формируют сложную электромагнитную
обстановку на рабочем месте пользователя.
Известно, что работа в течение одного часа за экраном функционирующего
компьютера любой модификации приводит к ухудшению общей энергетики биополя
человека. Воздействие электромагнитных полей, превышающих естественное фоновое
значение, нарушает процессы саморегуляции в организме, сбивает биоритмы
человека. Большинство процессов, происходящих в человеческом организме, связано
с его электрическими и магнитными полями. Каждому органу человека присущи свои
электромагнитные поля, причем характеристики магнитных полей индивидуальны.
В соответствие с СанПиН 2.2.4.1191-03 «Электромагнитные поля в
производственных условиях», предельно допустимый уровень напряженности
электрического поля на рабочем месте в течение всей смены устанавливается
равным 5 кВ/м.
Напряженность электрического поля от источника питания системного блока
вычисляется по формуле:
, В/м, где
U -
напряжение питания, В,
r -
расстояние от системного блока до оператора ЭВМ.
Таким образом, напряженность электрического поля на рабочем месте
составляет
,
что не превышает предельно допустимого значения, установленного в СанПиН
2.2.4.1191.-03
б) Эргономические факторы
Основными элементами рабочего места оператора ПЭВМ являются рабочая
поверхность, экран дисплея, клавиатура, рабочее кресло. Эргономические
параметры рабочего места пользователя являются весьма важными, и их неверный
выбор приводит к ухудшению здоровья пользователя и его повышенной утомляемости.
Характеристики рабочего места оператора установлены СанПиН 2.2.2/2.4.1340-03
«Гигиенические требования к персональным электронно-вычислительным машинам и
организации работы» и представлены в таблице 3.5
Таблица 3.5
Сводные характеристики рабочего места оператора
|
Параметр
|
Рекомендуемое значение, мм
|
|
Стол
|
|
Высота поверхности
|
680-800, 750 в случае нерегулируемой поверхности
|
|
Ширина
|
800, 1000, 1200, 1400
|
|
Глубина
|
800, 1000
|
|
Параметры полости (Ш × В)
|
500 × 600
|
|
Глубина полости
|
не менее 450 на уровне колен; не менее 650 на уровне
вытянутых ног
|
|
Сидячее место
|
|
Возможность изменения положения тела
|
+
|
|
Наличие подлокотника
|
+
|
|
Возможность регулировать высоту сидения и спинки
|
+
|
|
Возможность регулировать угол наклона
|
+
|
|
Ширина и глубина поверхности сиденья
|
не менее 400
|
|
Регулировка высоты поверхности сиденья
|
400-550
|
|
Высота опорной поверхности спинки
|
300 + -20
|
|
Ширина опорной поверхности спинки
|
не менее 380
|
|
Длина подлокотника
|
не менее 250
|
|
Ширина подлокотника
|
50-70
|
|
Регулировка подлокотников по высоте над сиденьем в пределах
|
230 +-30
|
На анализируемом рабочем месте конструкция рабочего стола обеспечивает
возможность размещения на нем необходимого при работе комплекта документов. В
выдвижных ящиках стола хранится литература, не используемая постоянно. Высота
рабочей поверхности стола является нерегулируемой и составляет 730 мм. Размеры
рабочей поверхности стола составляют: глубина - 630 мм, ширина - 1500 мм.
Рабочий стол имеет пространство для ног высотой 700 мм, шириной - 600 мм,
глубиной - 600 мм.
Кресло пользователя выполнено таким образом, чтобы поддерживать
физиологически рациональную рабочую позу оператора в процессе трудовой
деятельности, а также создавать условия для изменения позы с целью снижения
статического напряжения мышц шейно-плечевой области и спины. Кресло является
подъемно-поворотным и регулируемым по углу наклона спинки. Регулировка каждого
положения является независимой и имеет надежную фиксацию. Кресло оборудовано
подлокотниками для снижения статического напряжения мышц рук. Поверхность
сиденья имеет глубину и ширину в 430 мм. Высота поверхности сиденья
регулируется от 400 до 600 мм. Опорная поверхность спинки кресла имеет высоту
350 мм, ширину 400 мм. Угол наклона спинки в вертикальной плоскости
регулируется в пределах 300 от вертикального положения. Подлокотники
имеют высоту 250 мм и ширину 60 мм.
Клавиатура выполнена в виде отдельного устройства, имеет возможность
свободного перемещения и располагается на расстоянии 200 мм от переднего края
стола.
Приведенные параметры соответствуют СанПиН 2.2.2/2.4.1340-03
«Гигиенические требования к ПЭВМ и организации работы».
в) Психофизиологические факторы
При работе с ПЭВМ следует учитывать нервно-психологическую нагрузку.
Правильный выбор монитора хорошего качества позволяет повысить продуктивность
работы, предотвращает зрительное утомление, усталость и головные боли.
Допустимые визуальные параметры устройств отображения информации должны
соответствовать требованиям ГОСТ Р 52324-2005 «Эргономические требования к
работе с визуальными дисплеями, основанными на плоских панелях», которые
отражены в таблице 3.6:
Таблица 3.6
Время формирования изображения
Расстояние от наблюдателя от монитора должно быть не менее 400 мм.
Изображение должно быть свободно от мелькания, шрифт должен быть со сглаженной
ступенчатостью, высота знака ψ набора символов должна
соответствовать 20’-22’. Рабочее место и монитор с плоской панелью должны
обеспечивать пользователю наблюдать экран при проектных направлениях с углом
поворота головы от 0º до 20º.
Проектная освещенность экрана должна лежать в диапазоне 250-750 лк.
При наличии внешней освещенности яркость дисплея должна превышать
минимальное значение, необходимое для получения визуальной резкости.
Жидкокристаллический монитор Asus PG191 имеет
следующие характеристики:
габариты: 44,49 ×46,3 × 24 см; видимая область: 19 дюймов
(48.3 см); точка LCD-матрицы: 0.294 мм; яркость LCD-матрицы: 320 кд/м2;
контрастность LCD-матрицы: 800:1; частота - 60 Гц; время отклика: 2 мс -
типичное; формат LCD-матрицы: 5:4; разрешение LCD-матрицы: 1280 × 1024; угол обзора LCD-матрицы: 160°
по горизонтали, 160° по вертикали; интерфейс: SXGA и располагается на рабочем месте таким образом, что
изображение на любой его части различается пользователем без необходимости
поднятия или опускания головы. Монитор установлен на уровне глаз пользователя,
расстояние от глаз пользователя до дисплея составляет 50 см. Изображение
свободно от мелькания (частота обновления экрана - 60 Гц), шрифт со сглаженной
ступенчатостью (методом ClearType). Для удобства просмотра монитор можно наклонять на 4 градуса вперед и
21 градус назад.
Конструкция дисплея предусматривает наличие органов регулирования
яркости, контрастности и цветовой насыщенности изображения.
Как следует из приведенных данных, характеристики используемого монитора
соответствуют требованиям ГОСТ Р 52324-2005 «Эргономические требования к работе
с визуальными дисплеями, основанными на плоских панелях».
г) классификация помещения по электроопасности.
Электрические установки, к которым относится практически все оборудование
ПЭВМ, представляют для человека большую потенциальную опасность. Также
необходимо учесть опасность выхода из строя ПЭВМ и отрицательного воздействия
на человека разрядных токов статического электричества.
Все помещения делятся по степени опасности на три класса: 1 - без
повышенной опасности, 2 - с повышенной опасностью, 3 - особо опасные. Помещения
без повышенной опасности - это сухие беспыльные помещения, с нормальной
температурой воздуха и с изолирующими полами.
При работе на ПЭВМ, которые применяются в помещении без повышенной
опасности, следует использовать заземление. Защитное заземление уменьшает
опасность поражения током в случае прикосновения к корпусу.
д) классификация помещения по пожароопасности.
Как известно, пожар может возникнуть при взаимодействии горючих веществ,
окисления и источников зажигания. В помещениях, где находится ПК, присутствуют
эти три основных фактора, сопряжённые с пожаропасностью.
Горючими компонентами являются: строительные материалы для акустической и
эстетической отделки помещений, перегородки, двери, полы, изоляция силовых и
коммуникационных кабелей и др.
Источниками воспламенения на рабочем месте оператора ПК могут быть:
электронные схемы ПЭВМ, устройства электропитания, кондиционирования воздуха,
где в результате различных нарушений образуются перегретые элементы,
электрические искры и дуги, способные вызвать различные загорания горючих
материалов.
Для большинства помещений, в которых работают ПК, установлена категория
пожарной опасности Д, что соответствует нормам (НПБ-105-03 «Определение
категорий помещений, зданий и наружных установок по взрывопожарной и пожарной
опасности»).
К средствам тушения пожара, предназначенным для локализации небольших
загораний, относятся пожарные стволы, внутренние пожарные водопроводы,
огнетушители, сухой песок, асбестовые одеяла и т.п. Для тушения пожаров на
начальных стадиях широко применяются огнетушители.
Проведенный анализ условий труда показал, что при разработке дипломной
работы особое внимание необходимо уделить мероприятиям по обеспечению
электробезопасности.
.2
Мероприятия по снижению влияния вредного фактора
В результате проведенного анализа условий труда на рабочем месте было
признано соответствие параметров освещенности, электромагнитного излучения,
шума требованиям гостов. В связи с наличием на рабочем месте большого числа
электронно-вычислительной техники, выделяющей большое количество тепловой
энергии, требуется рассчитать параметры системы кондиционирования воздуха.
.2.1 Расчет кондиционирования воздуха производственного помещения
Для обеспечения заданных параметров микроклимата
целесообразно предусмотреть кондиционирование воздуха и создать небольшое
избыточное давление для исключения поступления неочищенного воздуха в
производственное помещение.
Основой для расчета системы кондиционирования воздуха
является расчет избыточного тепла в анализируемом помещении. Избыток тепла в
помещении складывается из следующей формулы:
,
где Q -
количество тепла в помещении, Вт;
Qобор - тепло от оборудования, Вт;
QП - поступление тепла от находящихся людей в помещении, Вт;
Qосв - выделение тепла электрическим освещением, Вт;
Qогр.к - поступление (летом со знаком +) и потери (зимой со знаком
-) тепла через ограждение конструкции, Вт;
В производственном помещении источником тепла является
следующее оборудование: ПЭВМ, многофункциональное устройство, монитор.
Выделение тепла от корпусов вычислительных машин, устройств ввода и вывода
информации и вспомогательного оборудования, указывается по данным каталогов,
справочной информации заводов-изготовителей. Определить величину возможного
выделения тепла от оборудования можно по следующей формуле:
,
где
- коэффициент использования установочной мощности
оборудования (
0,95);
- коэффициент, учитывающий процент одновременно работающего
оборудования (
);
- суммарная установочная мощность оборудования, Вт.
В анализируемом помещении используются следующее оборудование с
соответствующими мощностями:
· Системные блоки Pentium Certo Duo (440 · 5 = 2200 Вт);
· Плоскопанельные ЖК Мониторы Aser I221W (300
· 5 = 1500 Вт);
· Многофункциональное устройство HP Deskjet F4500 (1280 Вт)
Вт.
Количество полного тепла (
), выделяемого одним человеком в помещении, обычно принимают
из расчета 140 Вт, отсюда:
,
где
- количество работающих в смену операторов.
Вт.
Количество тепла, поступающего от электрического освещения, определяется
по фактической мощности осветительной установки:
,
где Nосв - суммарная установочная мощность
светильников в Вт,
Nосв=4×18×20=1440 Вт;
K3 - коэффициент, зависящий от способа
установки светильников производственного освещения и тепла источников света (K3=1 для подвесных светильников с люминесцентными
лампами,
K3=0,7-0,9 для ламп накаливания,
K3=0,15-0,45 для светильников,
встроенных в подвесной потолок);
K4 - коэффициент, учитывающий
пускорегулирующую аппаратуру светильника (K4=1,2-1,3).
Вт.
Основные и добавочные потери теплоты следует определять, суммируя потери
теплоты через отдельные ограждающие конструкции Q, Вт, с округлением до 10 Вт для помещений по формуле
где А - расчетная площадь ограждающей конструкции, м2,
R -
сопротивление теплопередаче ограждающей конструкции, м2*C/Вт.
- расчетная температура воздуха,
- расчетная температура воздуха для холодного периода года
при расчете потерь теплоты через наружные ограждения или температура воздуха
более холодного помещения - при расчете потерь теплоты через внутренние
ограждения,
- добавочные потери теплоты в долях от основных потерь. Так
как окна помещения, где выполняется данная дипломная работа, обращены на
юго-восток, то коэффициент
=0.05,
- коэффициент, принимаемый в зависимости от положения
наружной поверхности ограждающих конструкций по отношению к наружному воздуху
по СНиП II-3-79. В соответствии с данным документом,
для наружных стен и покрытий коэффициент
.
Сопротивление ограждающей конструкции следует определять по СНиП II-3-79 (кроме полов на грунте). В
соответствие с данным документом, R определяется по градусо-суткам отопительного периода. Градусо-сутки
отопительного периода (ГСОП) следует определять по формуле:
ГСОП = (tв − t от.пер. ) z от.пер. ,
где t в - расчетная температура внутреннего воздуха, °С,от.пер. , z
от.пер. - средняя температура, °С, и продолжительность, сут, периода со средней
суточной температурой воздуха ниже или равной 8°С.
Таким образом, ГСОП=(26+15)150=6150.
Тогда R для стен и наружных покрытий
принимается равным 1.4 м2*C/Вт,
а для окон и балконных дверей равным 0.35 м2*C/Вт.
Площадь перекрытия, выходящего наружу, суммируется из площади кирпичной
стены, равной 16.5 м2, и площади окна, равной 8 м2.
Таким образом, потери тепла составляют:
Вт
Избыток тепла в помещении:
Вт.
После определения избытка тепла в помещении необходимо рассчитать
производительность системы кондиционирования воздуха, которая обеспечит
оптимальные микроклиматические условия.
Для систем кондиционирования воздуха (СКВ) различают полную (с поправкой
на утечки воздуха в сетях) производительность и полезную (используемую в
кондиционируемых помещениях). Полную производительность определяют в м3/ч
по формуле:
,
где KПОТ - коэффициент, учитывающий потери в
воздуховодах, определяется по СНиП П-33-75.
При установке кондиционера вне обслуживаемого помещения для воздуховодов
из металла и пластмасс KПОТ
= 1,1-1,15; L - полезная производительность
системы, м3/ч.
Полезную производительность СКВ определяют по максимальным избыточным
тепловым потокам в помещении в теплый период года по явному теплу Q (Вт) по формуле:
,
где c - удельная теплоемкость воздуха, c=1 кДж/(кг∙K); ρ - плотность воздуха, ρ=1,2 кг/м3;
∆tp - полная разность температур:
,
где tУ - температура воздуха, удаляемого из помещения, 32
°С; tО - температура воздуха, подаваемого в помещение, 22
°С.
м3/ч.
Определив
значение требуемой производительности системы кондиционирования воздуха в
помещении, необходимо установить четыре кондиционеров модели ARG25A с расходом воздуха 1100 м3/ч.
Выводы
В разделе «Охраны труда и окружающей среды» был проведен анализ условий
туда по следующим факторам: санитарно - гигиенические, эргономические,
психофизиологические. Было выявлено соответствие характеристик
производственного помещения принятым нормативным значениям. На основании
изученной литературы, был проведен расчет кондиционирования воздуха на рабочем
месте. В результате расчета предложено использовать четыре кондиционера модели
ARG25A с расходом воздуха 1100 м3/ч для нормализации воздуха
лабораторного зала.
Соблюдение условий, определяющих оптимальную организацию рабочего места
оператора ПЭВМ, позволит сохранить хорошую работоспособность в течение всего
рабочего дня, повысит как в количественном, так и в качественном отношении
производительность труда оператора, что в свою очередь будет способствовать
быстрейшему выполнению поставленных перед ним задач.
ЗАКЛЮЧЕНИЕ
По результатам дипломного проектирования были получены следующие основные
результаты:
- произведен обзор и анализ существующих БЛА и способов взлета;
- был выбран определенный БЛА среднего класса аэродромного
базирования;
- проведен полный расчет режима взлета БЛА «по-самолетному»;
- разработан алгоритм оптимального набора высоты на режиме
взлета;
- выбран необходимый состав системы управления, обеспечивающий
выполнение задач, связанных с управление БЛА на всех режимах его
функционирования;
- разработана нестационарная модель БЛА в продольном канале;
- произведен синтез коэффициентов закона управления,
удовлетворяющих заданным динамическим и точностным характеристикам системы
управления;
- разработана имитационная модель САУ БЛА в среде Matlab Simulink;
- проведен анализ характеристик САУ, подтвердил результаты
аналитического расчета режима взлета БЛА.
CПИСОК
ЛИТЕРАТУРЫ
1. И.В.
Остославский «Аэродинамика самолета», - М: Государственое изд-во оборонной
промышленности,1957.
2. В.Е.
Мосолов, В.Н. Харитонов. «Системы автоматического управления угловым движением
летательных аппаратов»: Учебное пособие. - М.: Изд-во МАИ, 1995 г.
. Е.И.
Кринецкий «Системы самонаведения», - М: Машиностроение, 1970 г.
4. И.А.
Михалев, Б.И. Окоемов, М.С. Чикулаев «Системы автоматического управления
самолетом», - М: 1987 г.
5. «Основы
устройства, проектирования и производства летательных аппаратов
(Дистанционно-пилотируемые летательные аппараты)»/под ред. И.С. Голубева, Ю.И.
Янкевича. - М: Изд-во МАИ, 2006.
. И.А.
Михалев, Б.И. Окоемов, И.Г. Павлина, М.С. Чикулаев, Ю.Ф. Киселев «Системы
автоматического и директорного управления самолетом», - М: Машиностроение,
1974.
. «Беспилотные
самолеты вертикального взлета и посадки»/ под ред. д-ра техн. Наук, профессора
Н.К. Лисейцева, -М: Изд-во МАИ, 2009
8. журнал
"Моделист-Конструктор" №12, 1988
9. «Экономическое
обоснование дипломных проектов (работ) по приборо- и радиостроению.
Методические указания»/Под редакцией В. П. Панагушина. - М.: ИВАКО Аналитик,
2008.
. Дайнов
В.М., Березин М.И.: «Защита от вредных производственных факторов при работе на
ПЭВМ»: учебное пособие, М.: МАИ, 2002.
11. СНиП
23.05-95. Естественное и искусственное освещение. Нормы проектирования.
. ГОСТ
12.1.003-83. ССБТ. Шум Общие требования безопасности.
. ГОСТ
12.1.030-81. ССБТ. Электробезопасность. Защитное заземление, зануление.
. ГОСТ
12.1.005-88. ССБТ. Общие санитарно-гигиенические требования к воздуху рабочей
зоны.
. ГОСТ
Р 52324-2005. Эргономические требования к работе с визуальными дисплеями,
основанными на плоских панелях.
. НПБ
105-03. Определение категорий помещений, зданий и наружных установок по
взрывопожарной и пожарной опасности.
. СанПиН
2.2.2/2.4.1340-03. Гигиенические требования к ПЭВМ и организации работы.
. СанПиН
2.2.4.1191-03 «Электромагнитные поля в производственных условиях».