Розробка і дослідження зовнішньоторговельної політики регіону та її ефективність
ЗМІСТ
ПЕРЕЛІК УМОВНИХ ПОЗНАЧЕНЬ,
СИМВОЛІВ, ОДИНИЦЬ, СКОРОЧЕНЬ І ТЕРМІНІВ
ВСТУП
РОЗДІЛ 1. ТЕОРЕТИЧНІ ОСНОВИ
РОЗРОБКИ І ДОСЛІДЖЕННЯ ЗОВНІШНЬОТОРГІВЕЛЬНОЇ ПОЛІТИКИ РЕГІОНУ
.1 Концептуальні основи
розвитку зовнішньоторговельних відносин
.2 Основні засади сучасної
зовнішньоторговельної політики України
.3 Підходи до оцінки
ефективності зовнішньоторговельної політики регіону
РОЗДІЛ 2. ДОСЛІДЖЕННЯ
ЗОВНІШНЬОТОРГІВЕЛЬНОЇ ПОЛІТИКИ ЗАПОРІЗЬКОГО РЕГІОНУ
.1 Характеристика
Запорізького регіону
.2 Аналіз географічної структури
зовнішньоторговельної політики Запорізького регіону
.3 Аналіз спеціалізації
Запорізького регіону
.4 Оцінка ефективності
зовнішньоторговельного обороту Запорізького регіону та недоліки
зовнішньоторговельної політики
РОЗДІЛ 3. ШЛЯХИ ТА НАПРЯМИ
ВДОСКОНАЛЕННЯ ЗОВНІШНЬОТОРГІВЕЛЬНОЇ ПОЛІТИКИ ЗАПОРІЗЬКОГО РЕГІОНУ
.1 Аналіз перспектив
спеціалізації Запорізького регіону
.2 Шляхи вдосконалення
зовнішньоторговельної політики України
ВИСНОВКИ
РЕКОМЕНДАЦІЇ
ПЕРЕЛІК ВИКОРИСТАНОЇ ЛІТЕРАТУРИ
ДОДАТКИ
ПЕРЕЛІК УМОВНИХ ПОЗНАЧЕНЬ, СИМВОЛІВ,
ОДИНИЦЬ, СКОРОЧЕНЬ І ТЕРМІНІВ
|
Слово / словосполучення
|
Скорочення
|
Умови використання
|
|
А
|
|
абсолютний
|
абс.
|
|
|
автореферат
|
автореф.
|
|
|
анотація
|
аннот.
|
|
|
В
|
|
відносний
|
отн.
|
|
|
видавництво
|
вид-во
|
|
|
виконавець
|
вик.
|
при прізвищі
|
|
вищий учбовий заклад
|
ВУЗ
|
|
|
Г
|
|
гривня
|
грн.
|
при цифрах
|
|
Д
|
|
додаток
|
дод.
|
|
|
доктор
|
д-р
|
у назві наукового ступеня
|
|
доцент
|
доц.
|
при прізвищі
|
|
З
|
|
завідувач
|
зав.
|
при назві посади
|
|
заступник
|
заст.
|
|
|
К
|
|
кандидат
|
канд.
|
у назві вченого ступеня
|
|
кафедра
|
каф.
|
|
|
М
|
|
місце
|
м.
|
|
|
монографія
|
моногр.
|
|
|
Н
|
|
науковий
|
наук.
|
|
|
номер
|
№
|
при цифрах
|
|
номінальний
|
ном.
|
|
|
О
|
|
область, обласний
|
обл.
|
|
|
П
|
|
примітка
|
прим.
|
|
|
продовження
|
продовж.
|
|
|
Р
|
|
розділ
|
розд.
|
при цифрах і в примітках
|
|
рік
|
р.
|
при цифрах
|
|
роки
|
р.р.
|
при цифрах
|
|
район
|
р-н
|
|
|
рисунок
|
рис.
|
|
|
З
|
|
ступінь
|
ступ.
|
у назві вченого ступеня
|
|
сторінка
|
с.
|
при цифрах і в примітках
|
|
дивися
|
див.
|
|
|
Т
|
|
таблиця
|
табл.
|
|
|
Ф
|
|
факультет
|
фак.
|
|
ВСТУП
Проголошення України незалежною
державою встановило початок її інтеграції у світову систему, як суб’єкта
зовнішньоекономічних відносин. Суттєві зміни в становищі країни, які відбулися
після здобуття незалежності, та сучасні особливості реформування економіки
України суттєво підвищили роль зовнішньоекономічних відносин у розвитку
національного господарства. Посилення цього чинника об’єктивно диктується
здійснюваними ринковими перетвореннями, які формують якісно нові засади
подальшого економічного та соціального розвитку країни. Нині Україна тільки
входить в систему світового економічного простору і від того як цей процес буде
відбуватись залежить економічний та соціальний розвиток держави, як органічної
підсистеми світової економіки.
Зовнішньоекономічні зв’язки України
в сучасних умовах стають могутнім засобом прискорення науково-технічного
розвитку та інтенсифікації економіки. Сьогодні оволодівати найновішими
досягненнями науки і техніки без інтенсивного обміну науковими дослідженнями,
різноманітними товарами і послугами означає нераціонально використовувати
власні ресурси, втрачати час і темпи розвитку національної економіки.
Водночас зовнішньоекономічна
діяльність дає змогу прискорювати науково-технічний прогрес завдяки організації
спільних досліджень, сприяє швидкому переобладнанню сучасною технікою цілих
галузей і виробництв, впровадженню новітніх технологій, інформаційних систем,
розв’язанню багатьох соціально-економічних проблем. Очевидно, що
зовнішньоекономічні зв’язки стають нині одним з основних чинників розвитку
національної економіки України.
Поліпшити становище та активізувати
зовнішньоекономічні відносини України можна за допомогою стратегічних напрямів
вдосконалення зовнішньоекономічних зв’язків: розбудови раціональної системи
зовнішньої торгівлі; стимулювання експортних операцій з одночасним урахуванням
потреб збільшення внутрішнього споживання вітчизняної продукції, що зменшить
залежність від кон’юнктури на світових ринках; підвищення ефективності
іноземних інвестицій; запровадження загальноприйнятої системи валютного
регулювання, спрямованої на підтримання національної валюти, а також жорстких
принципів валютного контролю тощо.
З огляду на це, питання ефективності
зовнішньоторговельної політики України є надзвичайно актуальним і потребує
ґрунтовного дослідження й аналізу. Дослідженням цієї проблеми займалися такі
вітчизняні науковці, як Л. Вірвано, А. Мазаракі, І. Мельничук, А. Рубан, В.
Тарасевич, С. Панчишин, В. Тарнюк та ін. Зокрема напрями підвищення
ефективності торговельної політики України в контексті євроінтеграції
аналізували такі науковці як Л. Колінець, Т. Чорний, В. Юзба, а посилення
конкурентоспроможності АПК України на європейському продовольчому ринку в
умовах розширення зони вільної торгівлі та вступу до СОТ досліджували К.
Антонюк, І. Кобута та Н. Федоришин, методи прогнозування платіжного балансу
досліджували В. Литвицький, С. Єрохін, В. Геєць, О. Соскін, Т. Гальчинська та
ін.
Актуальність теми.
Зовнішньоекономічна діяльність країни відображає загальну концепцію
національного розвитку економіки. За умов від’ємного сальдо зовнішньої торгівлі
та нерозвинутого внутрішнього ринку проблема відображення негативних тенденцій
у розвитку зовнішньої торгівлі на соціально-економічному становищі країни
набуває значної актуальності.
Метою дипломної роботи є вивчення
теоретичних підходів, щодо поняття зовнішньоторговельних відносин та
зовнішньоторговельної політики, розгляд існуючих теоретичних та практичних
методик поліпшення зовнішньоторговельної політики на міжнародному рівні.
Дослідження стану зовнішньоторгівельної політики та розробка основних напрямів
підвищення ефективності зовнішньоторговельної політики на прикладі Запорізької
області.
Виходячи з мети роботи, були
поставлені та вирішені наступні завдання:
3 ознайомитись
з нормативними актами та науковими дослідженнями розвитку зовнішньоторговельних
відносин;
4 визначити
сутність та напрями зовнішньоторговельної політики ;
5 визначити
підходи до оцінки ефективності зовнішньоторговельної політики регіону;
6 надати
загальну характеристику Запорізького регіону;
7 дослідити
стан експортно-імпортної політики Запорізької області;
8 зазначити
недоліки зовнішньоторговельної політики Запорізького регіону;
9 запропонувати
напрями підвищення ефективності зовнішньоторговельної політики.
Об’єктом дослідження є
зовнішньоторговельна політика України в умовах ринку.
Предметом дослідження дипломної
роботи виступають елементи, принципи і методи формування зовнішньоторговельної
політики Запорізького регіону.
У роботі використані наступні
методи: аналітичний, порівняльний, математичний, статистичний аналіз необхідні
для детального дослідження об'єкту.
Інформаційною базою
дослідження є діючі законодавчі та нормативні документи, як джерела інформації
використано теоретичні і методичні розробки вчених, матеріали
науково-практичних конференцій. Практична частина роботи виконана за
статистичними даними України та Запорізького регіону.
РОЗДІЛ 1. ТЕОРЕТИЧНІ ОСНОВИ РОЗРОБКИ
І ДОСЛІДЖЕННЯ ЗОВНІШНЬОТОРГІВЕЛЬНОЇ ПОЛІТИКИ РЕГІОНУ
1.1 Концептуальні
основи розвитку зовнішньоторговельних відносин
Серед процесів, які визначають
особливості розвитку сучасного світу, провідним є процес інтернаціоналізації
господарського життя. Його суть полягає в тому, що національні економічні
системи можуть ефективно розвиватися лише за умови їх міжнародної взаємодії та
переплетіння. Тому нині важко назвати країну, яка б не була суб'єктом
міжнародних економічних відносин і не зазнавала б впливу зовнішнього
(міжнародного) середовища.
Якщо розглядати економіку країни з
точки зору функціональної орієнтації, то вона складається з двох секторів:
внутрішньої та зовнішньої економіки. Призначення внутрішньої економіки - задоволення
потреб споживачів за рахунок внутрішнього виробництва, зовнішньої - вихід на
міжнародні ринки товарів, послуг та факторів виробництва з метою підвищення
загальноекономічного добробуту країни. Таким чином, основний критерій виділення
цих двох секторів - наявність економічних зв'язків між господарськими
одиницями, які репрезентують різні країни.
Виходячи з цього, можна дати
визначення зовнішньоекономічних зв'язків як комплексної системи різнобічних
форм міжнародного співробітництва держав та їх суб'єктів у різних галузях
економіки.
В історичному аспекті
зовнішньоекономічні зв'язки є продуктом цивілізації, так як виникають з появою
держави і еволюціонують водночас з її розвитком. В економічному - зовнішні
економічні зв'язки - це операції, пов'язані з обігом товарів, послуг, грошей і
капіталу між різними економічними і валютними зонами.
Серед основних причин, які
стимулюють розвиток зовнішньоекономічних зв'язків, слід виділити такі:
нерівномірність економічного розвитку різних країн світу; відмінності в
сировинних ресурсах; відмінності в людських ресурсах; нерівномірність
розміщення фінансових ресурсів; характер політичних відносин; різний рівень
науково-технічного розвитку; специфіка географічного положення, природних і
кліматичних умов.
Більшість країн світу, маючи
обмежену ресурсну базу і вузький внутрішній ринок, не в змозі виробляти з
достатньою ефективністю товари, які необхідні для внутрішніх потреб. Для таких
країн зовнішньоекономічні зв'язки є способом отримання необхідних товарів.
Країни з великим сировинним потенціалом базують свої економічні системи на
основі реалізації експортного потенціалу. Структура зовнішньоекономічних
зв’язків наведена на рис.1.1.
зовнішньоторговельний
політика регіон
|
товари
|
послуги
|
Інтелекту-альна власність
|
Кредитування Страхування Обслуговування
клієнтів Депозитне, інші банківські операції
|
Лізинг Кооперація Спільне підприємство
|
Вкладення капіталу в цінні папери Вкладення
капіталу в нерухомість Вкладення капіталу в підприємництво
|
|
Торгівля (купівля, продаж) Зустрічна торгівля
(бартер, рамочні угоди та ін.)
|
Подорожі Інжирінг Страхові послуги
Інформаційний обмін Послуги зв’язку Послуги Роялті та ліцензійні угоди
|
Франчайзинг Ноу-хау консалтинг
|
|
|
|
Рис.1.1 Структура
зовнішньоекономічних зв’язків
Отже, необхідність існування
зовнішньоекономічних зв'язків обумовлюється тим, що різні країни мають різні
виробничі умови. Виходячи з цього, країни спеціалізуються на виробництві такої
продукції, яка значною мірою дешевша від зарубіжних аналогів, що в кінцевому
підсумку приносить прибуток кожній країні-учасниці, задовольняє потреби
споживачів у продукції кращої якості.
Зовнішньоекономічні зв'язки можна
класифікувати за двома ознаками:
- за напрямком
товарного потоку;
- за структурною
ознакою
Залежно від напрямку товаропотоку зовнішньоекономічні
зв'язки класифікуються на експортні, коли товари вивозяться із країни, імпортні
- ввезення товарів до країни та транзитні, тобто товаропотік йде через країну
до інших держав.
За структурною ознакою взаємозв'язки
з суб'єктами господарювання інших країн поділяються на кілька труп:
зовнішньоторговельні, фінансові, виробничі, інвестиційні.
Зовнішньоекономічні зв'язки
розглядаються як складова частина всесвітнього господарства і міжнародних
економічних відносин, і одночасно, як підсистема національної економіки, яка
охоплює і опосередковує дію всіх її секторів, галузей, всіх фаз виробництва.
Зазначено, що зовнішньоекономічні зв'язки представляють собою систему
різноманітних зв'язків між національними економіками різних країн і охоплюють
усі сфери економічного життя держави. Зовнішньоекономічні зв'язки виступають,
по-перше, своєрідним індикатором, який відбиває характер і ступінь залученості
національної економіки в систему міжнародних економічних відносин, по-друге,
індикатором стану і перспектив розвитку національної економіки. Проведене
дослідження дозволило визначити основні сутнісні характеристики
зовнішньоекономічних зв’язків (табл. 1).
У сучасних умовах
зовнішньоекономічні зв'язки України мають позитивний потенціал можливостей,
оскільки їм належить особлива роль у корінному перетворенні національної
економіки при переході її до ринкових відносин і інтегруванні у світове
господарство; збереженні економічного потенціалу і задоволенні потреб
внутрішнього ринку; підвищенні ефективності виробництва за рахунок переваг
міжнародного розподілу праці; забезпеченні економічного росту, модернізації і
інтенсифікації використання виробничого потенціалу; розвитку дружньої взаємодії
і зростаючої довіри між країнами.
Таблиця 1.1
Основні сутнісні характеристики
зовнішньоекономічних зв’язків
|
1. Основи формування
|
Міжнародні економічні відносини
|
|
2. Умови формування
|
- в результаті суспільного і територіального
розподілу праці; - при русі ресурсів всіх видів між державами і економічними
суб'єктами держав
|
|
3. Масштаби
|
Всі сфери економічного життя держави
|
|
4. Реалізація
|
Різні форми міжнародного економічного
співробітництва
|
|
5. Рівні
|
- держава; - регіони; - господарюючі суб'єкти
|
|
6. Оформлення
|
На двох і багатосторонній основі відповідними
міжнародними угодами, договорами, протоколами і т.д.
|
Поряд з позитивним потенціалом
можливостей розвитку національної економіки, зовнішньоекономічні зв'язки мають
і негативний потенціал наслідків. Як показують дослідження, в залежності від
умов вбудовування національного відтворювального комплексу в систему
світогосподарських зв'язків зовнішньоекономічні зв'язки України здатні стати не
тільки могутнім імпульсом, а, і навпаки, гальмом на шляху економічних
перетворень. Крім того, недооцінка ролі зовнішньоекономічних зв'язків, їх багатогранності
і наслідків може виявитися стримуючим фактором у розвитку національної
економіки.
Досліджуючи систему організаційного
і економіко-правового механізму зовнішньоекономічних зв'язків України, слід
відзначити, що вона складалася в умовах корінної перебудови сфери державного
регулювання зовнішньоекономічної діяльності. На окремих етапах господарського
будівництва змінювалися пріоритети в зовнішньоекономічній діяльності: від
визнання її важливої ролі і політики на відновлення порушених зв'язків, до курсу
на повну самостійність і самозабезпеченість і, нарешті, стратегії на активне
включення національної економіки у світове господарство.
За результатами еволюційного аналізу
виділено основні етапи у формуванні організаційного і економіко-правового
механізму зовнішньоекономічних зв'язків України, це - радянський етап
(1918-1986 рр.), етап реформування системи організації зовнішньоекономічних
зв’язків України у складі СРСР (1986-1991 рр.), самостійний етап в реформуванні
зовнішньоекономічних зв’язків (1991-2005 рр.) і, нарешті, сучасний етап
розвитку зовнішньоекономічних зв’язків (бере початок з 2005 р.).
Після встановлення радянської влади
молода держава опинилася в умовах невизнання провідними західними державами
радянського уряду, наслідком чого стали економічна і політична блокади. Дані
обставини визначили основні зовнішньополітичні задачі, націлені на створення
оборонної моделі економіки, здатної розвиватися, спираючись на власні ресурси.
Власне, система зовнішньоекономічних зв'язків, створена ще в 30-ті роки, у
загальному і у цілому проіснувала до середини 80-х років минулого століття.
Вищевикладене дає підставу
визначити, що у той час, як зовнішній світ змінювався докорінно: на світовому
ринку з'являлися транснаціональні корпорації, під впливом науково-технічного
прогресу підсилювалися інтеграційні процеси, господарська інтернаціоналізація
ставала одним з найважливіших факторів економічного росту, модель 30-х років
продовжувала визначати зовнішньоекономічні відносини Радянського Союзу.
Розвиваючись у рамках планової системи, економіка СРСР була практично відірвана
від світової економіки. Сформована структура експорту і імпорту СРСР, їх
ефективність, а також механізм управління зовнішньоекономічними зв'язками вже
не відповідали потребам прискорення економічного і соціального розвитку, що
обумовило необхідність реформування системи організації зовнішньоекономічної
діяльності, яке і було почато у 1986 р. союзним Урядом, а з 1991 р. продовжене
- українським. Таким чином, в Україні почали створюватися принципово нові
відносини в області зовнішньоекономічних зв'язків, засновані на принципах
ліквідації державної монополії зовнішньої торгівлі і надання господарюючим
суб’єктам юридичних, фінансових можливостей для розгортання
зовнішньоекономічної діяльності, нарощування виробництва експортоорієнтованої
продукції.
Основні підходи до формування
сучасної моделі зовнішньоекономічних зв'язків України у роботі базуються на
підставі аналізу трансформації теоретичних поглядів з питань їх розвитку,
можливостей адаптації до вирішення практичних задач у сфері
зовнішньоекономічного і міжрегіонального обміну.
Відзначені зрушення зумовили
виникнення сучасних концепцій управління міжнародним бізнесом. Вони належать
представникам вищого менеджменту головних транснаціональних корпорацій. Найбільш
поширеним серед них є ресурсний підхід. Оскільки компанії мають у своєму
розпорядженні обмежені ресурси, вони повинні вирішити, використовувати їх
усередині країни або на міжнародному рівні. Тільки переконавшись у тому, що
можливості на міжнародному ринку можуть виявитися більшими, ніж на
вітчизняному, компанії спрямовують свої ресурси в закордонний сектор.
Важливим напрямом розвитку сучасних
концепцій зовнішньоторговельної політики є концепція експортних можливостей. В
її основі лежить використання надлишкових потужностей. Часто компанії мають у
своєму розпорядженні виробничі потужності, що в поточних або довгостроковому
періодах не користуються адекватним внутрішнім попитом. Це можуть бути
розвідані запаси природних ресурсів або конкретні потужності для виробництва
певної продукції, які важко переключити на виробництво інших товарів, що мають,
можливо, відповідний внутрішній попит. При цьому помітне прагнення малих країн
торгувати набагато ширше і в більших масштабах, ніж великих. Одна з причин полягає
в тому, що технологія виробничого процесу може дозволити фірмі рентабельний
випуск продукції лише при великосерійному виробництві, у більших обсягах, ніж
це потрібно для задоволення попиту у своїй країні. Для прикладу візьмемо
автомобільну промисловість: у “Вольво” (Volvo) потреба експорту з невеликого
шведського ринку значно більша, ніж у “Дженерал Моторс” - із значного
американського.[21, с.112]
Теоретики-економісти особливу увагу
звертають на концепцію зниження витрат виробництва. Дослідження показали, що
компанії можуть знижувати свої витрати на 20-30% у тих випадках, коли
подвоюється випуск продукції. Це явище відоме як “економія масштабу” (economy
of scale), а також описується кривою накопичення досвіду (ехрегіеnсе curvе).
Таким чином, при 20% рівні зниження витрат виробництва і початкових витратах в
100 дол. на одиницю продукції собівартість другої одиниці продукції буде
дорівнювати 80 дол., третьої - 64 тощо. Зниження може бути пов'язане з
декількома факторами: зменшенням умовно-постійних витрат за рахунок випуску
більшого обсягу продукції; підвищенням ефективності за рахунок досвіду,
придбаного при виробництві великих партій продукції; масовими закупівлями
матеріалів і перевезенням їх значними партіями. Тому очевидно, що лідер ринку
може одержати переваги у відношенні зниження витрат виробництва перед своїми
конкурентами.
Заслуговує на увагу також концепція
підвищення прибутковості. Виробник може у певних умовах продавати ту саму
продукцію з більшою вигодою за кордоном, ніж у себе вдома. Це може бути
пов'язане з відмінністю конкурентного середовища на закордонному ринку щодо
вітчизняного, тому що там товар знаходиться на іншому етапі життєвого циклу.
Таким чином, етап зрілості усередині країни може привести до зниження
внутрішніх цін, у той час як етап зростання за кордоном може звести нанівець
актуальність зниження цін. Підвищення прибутковості може також відбутися у
зв'язку з розходженнями державних заходів усередині країни і за кордоном, що
впливають на прибутковість (наприклад, розходження в оподатковуванні прибутків
або регулюванні цін).
Розподіл ризику став основою
наступної концепції зовнішньоторговельної політики. Виводячи збут за межі ринку
тільки однієї країни, виробник має можливість звести до мінімуму коливання
попиту, оскільки цикли ділової активності країн знаходяться в різних фазах, а
ті самі товари знаходяться на різних етапах життєвого циклу. Ще один фактор
розподілу ризику за допомогою експорту полягає в тому, що виробник зможе
залучити більше клієнтів, зменшуючи свою вразливість при втраті якогось одного
або декількох клієнтів.
Основою сучасної теорії
зовнішньоторговельної політики може стати концепція імпортних можливостей.
Імпульс до участі в торгівлі може надійти або від експортера, або від
імпортера. У будь-якому випадку повинні бути як продавець, так і покупець.
Імпульс від імпортера полягає в тому, що фірма шукає більш дешеві і
високоякісні сировинні й інші матеріали, комплектуючі або готові вироби, щоб
використовувати їх на своїх виробничих підприємствах. Або ж вона може активно
шукати нові товари, розроблені за кордоном, щоб доповнити наявні асортиментні
групи. Це дозволить компанії більше продукції запропонувати на продаж, а
імпортеру - використовувати надлишкові потужності своєї торгово-розподільної
мережі. [70, с.71]
Якщо міжнародні постачання сировини,
матеріалів і комплектуючих знижують витрати виробництва або підвищують якість
готових виробів, компанія, що закуповує, має більшу стійкість проти конкуренції
з боку імпортованих готових виробів або ж сама може більш ефективно конкурувати
на експортних ринках. Автомобільна промисловість являє собою приклад глобальної
конкуренції, що залежить від субпідрядників, у тому числі іноземних, стосовно
зниження витрат виробництва.[65, с.76]
Імпортер, як і експортер, має
можливість розподілити свої операційні ризики. Розширюючи коло постачальників,
фірма буде менше залежати від диктату або долі єдиного постачальника. У США,
наприклад, багато значних споживачів, зокрема, автомобільна промисловість, яка
диверсифікувала свою закупівлю сталі з залученням європейських і японських
постачальників. Ця стратегія знизила ризик недостатнього постачання
американської автомобільної промисловості у випадку виникнення страйку серед
сталеливарників США, але одночасно створила нові проблеми у сталеливарній промисловості
країни [21, с. 121].
Вищерозглянуті концепції розвитку
зовнішньоторговельної політики дозволяють сформулювати найбільш загальні
положення, що характеризують сучасні тенденції і особливості
зовнішньоекономічної політики країн з розвинутою ринковою економікою і які
можуть бути покладені в основу розробки зовнішньоторговельної стратегії країн з
перехідною ринковою економікою:
державна політика більшою мірою
орієнтована на вільну торгівлю в економічно розвинутих країнах, що досягли
високого рівня конкурентоспроможності своєї продукції на зовнішніх і внутрішніх
ринках;
політика орієнтується переважно на
вільну торгівлю в країнах, де ввезена продукція не конкурує з внутрішнім
виробництвом або є сировиною для важливих галузей;
протекціонізм, як правило,
використовується для захисту національних інтересів і економічної безпеки
країни, стимулювання зростання національного виробництва та підвищення його
конкурентоспроможності;
найбільш широко протекціоністська
політика застосовується в країнах, де здійснюються структурні і ринкові
перетворення економіки, або де мають місце економічна депресія і швидке
зростання конкуруючого імпорту.[23, с.131]
Ці загальні закономірності варто
було б враховувати при виборі найбільш прийнятної для України моделі
зовнішньоекономічної стратегії. Одночасно повинні братися до уваги специфічні
особливості нинішнього етапу розвитку української економіки і роль
зовнішньоекономічного фактора у становленні ринкового господарства відкритого
типу.
.2
Основні засади сучасної зовнішньоторговельної
політики України
Процес ефективного функціонування
будь-якої економічної системи залежить від багатьох чинників, але основними є
такі: вибір оптимальної моделі господарювання; визначення головних рушійних
сил, які стимулюють рух у певному напрямку; відпрацювання механізму реалізації
даного вибору. Всі ці питання вирішуються при формуванні економічної політики
держави.
Однією з основних складових
економічної політики є зовнішньоекономічна політика. Зовнішньоекономічна
політика - це сукупність цілеспрямованих державних заходів щодо реалізації
економічного потенціалу країни на зовнішньому ринку та задоволення власних
потреб за рахунок товарів і послуг іноземного виробника.
Оскільки зовнішньоекономічна
політика с складником економічної політики, то від загальної концепції побудови
економічної системи залежить напрямок руху, етапи формування, механізм
функціонування політики держави у сфері міжнародних економічних зв'язків. При
цьому реалізуються як економічні цілі, так і політичні, оскільки зовнішньоекономічна
політика є частиною зовнішньої політики.
Еволюція розвитку міжнародних
економічних відносин - це водночас, і еволюція розвитку та вдосконалення
системи державного регулювання даного виду взаємовідносин. Оскільки у
сукупності міжнародних економічних відносин задіяні і взаємопов'язані інтереси
не тільки різних соціальних груп та верств населення, а й різних країн, держава
неминуче стає одним із основних суб'єктів регулювання даного виду
взаємовідносин.
Особливістю сучасних національних
систем регулювання зовнішньоекономічної діяльності є комплексний характер, що
виявляється у використанні різноманітних інструментів регулювання, які
взаємодіють і взаємодоповнюють один одного, а саме: економічного та
адміністративного регулювання, а також валютно-фінансових заходів.
У цілому зовнішньоекономічна
політика держави - це комплекс заходів, що мають на меті досягнення економікою
країни певних переваг на світовому ринку і водночас - захист внутрішнього ринку
від конкуренції з іноземними товарами. Можна сказати, що вона спрямована на
стимулювання (обмеження) експорту (імпорту) товарів та послуг.
Інструментами такої політики є
методи тарифного і нетарифного регулювання міжнародної торгівлі, а основними
формами - протекціонізм і політика “вільної торгівлі” (рис.1.2).
Рис. 1.2. Складові
зовнішньоторговельної політики держави [8, с. 27]
Тарифні інструменти (митний тариф,
тарифна квота) регулювання зовнішньої торгівлі посідають одне з провідних місць
у системі державного регулювання зовнішньоторговельної діяльності. Митний тариф
- центральний інструмент митно-тарифного регулювання зовнішньоекономічної
діяльності. Разом із внутрішньою податковою системою він регулює економічний
клімат у країні і спрямований на захист вітчизняного виробництва від
конкуренції з іноземними товаровиробниками і підвищення конкурентоспроможності
вітчизняної продукції. Законом України “Про Єдиний митний тариф” від 05.02.1992
р. № 2097-XII визначено порядок формування і застосування митного тарифу
України при ввезенні або вивезенні товарів та стягнення з них мита, величину
якого визначають на основі митної вартості задекларованих товарів.
Тарифні методи регулювання
міжнародної торгівлі є найважливішим інструментом зовнішньоторговельної
політики. Проте в останні роки ХХ ст. суттєво зросла роль нетарифних торгових
бар’єрів, з’явились їх нові форми та методи.
Нетарифні інструменти є методами, у
першу чергу, адміністративного впливу - це ефективний засіб регулювання
зовнішньоекономічної діяльності шляхом встановлення певних вимог до суб’єктів
господарської діяльності при здійсненні ними зовнішньоекономічної діяльності.
Метою запровадження певних заборон і обмежень при регулюванні
зовнішньоекономічної діяльності є захист вітчизняного товаровиробника й
виконання певних міжнародних зобов’язань країни. Термін “нетарифне регулювання”
охоплює групу адміністративних, фінансових, технічних та інших заходів, що
ускладнюють імпорт або експорт певних товарів. У теорії міжнародної економіки
їх поділяють на методи прихованого протекціонізму (державні закупівлі; вимоги
щодо вмісту місцевих компонентів; технічні бар’єри; податки та збори), а також
кількісні (квотування; ліцензування; “добровільні обмеження експорту”) та
фінансові методи (субсидії; кредитування; демпінг).
Більшість з них, на відміну від
митних тарифів, важко піддається кількісній оцінці і тому їх складно
відобразити у статистиці. Саме ця особливість нетарифних методів дає можливість
урядам використовувати окремі з них або їх комбінації для досягнення певних
цілей у сфері торгово-економічної політики. Крім того, нетарифні заходи
зручніші. Наприклад, значно легше обмежити імпорт сталі до 8 млн т шляхом
введення кількісного обмеження імпорту у розмірі 8 млн т, ніж вирахувати таку
ставку імпортного тарифу, яка дасть змогу знизити імпорт до бажаної величини.
Також, нетарифні обмеження, які не
заборонені СОТ, майже не регулюються міжнародними угодами, і, використовуючи їх
у торгово-економічній політиці, уряди відчувають себе вільніше, ніж при
введенні тарифних обмежень, які регламентуються СОТ.
Нетарифні обмеження, зазвичай, є
менш очевидними, ніж митні податки, а тому надають урядові більше свободи при
здійсненні економічної політики та створюють певну невизначеність у міжнародній
торгівлі. Власне у зв’язку з цим одним із найважливіших завдань, які стоять
перед СОТ, є поступова заміна кількісних нетарифних обмежень еквівалентними за
рівнем захисту митними тарифами.
Розглянуті теорії, звичайно,
зберігають наукову значущість. Проте з урахуванням змін, що відбулися, а також
у контексті вирішуваних завдань вони не можуть бути визнані як остаточні
відповіді. Справді, ЗЕП можна розглядати як цілісний вияв економічної політики
в зовнішньому економічному середовищі, а отже, її теорії ніби охоплюють
сутність ЗЕП, якщо не враховувати нових методологічних вимог. Передусім вони не
повною мірою враховують (а в окремих випадках взагалі не враховують)
об'єктність, багатовимірність, багатоваріантність і масовидність
зовнішньоекономічних і зовнішньополітичних відносин, їх глобалізацію. А це характеристики
різних параметрів світу ЗЕП.
Підкреслимо, що багатовимірність -
це не відносини між державами або суспільними системами, їх приватними сферами,
рівнями. Це - відносини (щодо ЗЕП), що розкриваються на глибшому рівні
зовнішніх зв'язків між її структурами, кожна з яких є виміром світу ЗЕП як
цілого. Багатоваріантність формування ЗЕП та її здійснення має кілька значень:
- вибір одного
варіанта з потенційно наявних у певний історичний період;
- реалізація різних
варіантів ЗЕП у різних умовах;
- наявність у процесі
формування ЗЕП і реалізації неоднорідних процесів, що рухаються паралельно або
в різних напрямах.
З урахуванням наведеного на
сучасному рівні ЗЕП на передній план висуваються закони системно-циклічної
динаміки. Такі закони багатовимірного, багатоваріантного і масовидного світу
ЗЕП водночас визначають його ритм і поступовість. У них виражається певна
конфігурація нових зовнішніх економічних і політичних відносин, що складаються
в системі міжнародних відносин у часі й просторі. Сутність нового - становлення
єдиного світу ЗЕП, тобто спостерігається інтеграція насамперед
зовнішньоекономічних відносин. У найбільш інтегрованому об'єднанні - ЄС -
здійснено перехід до єдиної ЗЕП співтовариства, яку здійснюють його
наднаціональні органи. Окремі країни-члени добровільно відмовились від
національних повноважень у сфері формування єдиного торговельно-економічного
режиму. Ідеться про світосистемний тип (моделі) ЗЕП, який містить:
- концептуальні
погляди, що відображають інтерпретацію світу ЗЕП через систему
зовнішньоекономічних атрибутів;
- винесену за
національні межі систему атрибутів економічної політики, що визначає політичний
контур зовнішньоекономічних зв'язків і є симбіозом національних економік та
зовнішньої політики, переплетенням національних і наднаціональних економічних і
політичних структур, зв'язків;
- політичну систему
поглядів (концепцію), згідно з якою зовнішня політика залежить від економічних
чинників, які обумовлюють включення ЗЕП та її суб'єктів до системи зовнішньої
політики та міжнародних відносин.
Ці моделі мають певну структуру,
рівні та блоки, разом вони дають уявлення про ЗЕП (рис. 1.3) і можуть бути
визначені через поняття "внутрішній регламент" світу ЗЕП.
Рис.1.3 Загальна теорія
зовнішньоекономічної політики
Отже, підбиваючи підсумки щодо
наведених ключових акцентів, зазначимо, що через них виражається суть науки
(загальної теорії) ЗЕП: це найбільш загальна теорія процесу формування і
реалізації ЗЕП. Її схема містить три параметри і має шість властивостей. За
параметром поділу структури світу ЗЕП формується поле (ген) з властивостями
об'єктності й суб'єктності; за параметром організації світового економічного
простору - поле (ген) з якостями масовидності й системності; за параметром
відносин у системі міжнародних відносин - поле (ген) з властивостями
багатоваріантності й автономності. Поєднання трьох полів (генів) з їх полярними
властивостями створює нормальний дуалістичний "каркас" (генотип) ЗЕП,
який зумовлює логіку відтворення предмета її загальної теорії. її ядро
складається з трьох взаємозумов- лених і взаємозалежних частин:
- ЗЕП - внутрішній
"регламент" системи міжнародних відносин;
- ЗЕП - стратегічні
цілі, національна макромодель і методологічний інструментарій;
- ЗЕП - стратегічний
арсенал реалізації національної доктрини (стратегія управління як компонент
ЗЕП; аналіз ЗЕП, її основних напрямків).
Для того щоб зрозуміти механізм ЗЕП,
доцільно розглянути загальний взаємозв'язок основних зовнішньоекономічних
інтересів у суспільстві та ЗЕП.
Зовнішньоекономічні інтереси
відображають індивідуальні й колективні потреби в матеріальних і суспільних
благах, досягненні певних економічних і соціально-політичних цілей. Носії та
виконавці цих господарчих інтересів є суб'єктами ЗЕП.
Носії зовнішньоекономічних інтересів
- це фізичні та юридичні особи, які мають індивідуальні, групові та колективні
економічні інтереси. Існує безліч можливостей для носіїв та виразників
господарчих інтересів впливати на суб'єкти ЗЕП. Найефективніший захід - це
багатомасштабні кампанії в засобах масової інформації, а також звертання до
суду в разі порушення тих чи інших економічних інтересів, які захищають
конституція й закони.
У демократичному суспільстві в
кожної групи фізичних та юридичних осіб їх економічні інтереси у сфері
міжнародних економічних відносин мають бути відображені в генеральних і
стратегічних цілях ЗЕП.
Основна мета ЗЕП - забезпечити
добробут людей, життєздатний розвиток особистості, суспільства, держави в
контексті різноманітності та єдності внутрішніх і зовнішніх умов, які висувають
параметри адаптації побудови ЗЕП до закономірностей системи міжнародних
відносин, що змінюються.
І генеральна, і стратегічні цілі
утворюють "дерево цілей" ЗЕП (рис. 1.4). Стратегічні цілі можна
згрупувати в різні типи: кількісні (наприклад, збільшення
зовнішньоторговельного обороту на 100 млрд грн, або на 20 %) і якісні
(підвищення конкурентоспроможності вітчизняних товарів на світовому ринку).
Рис.1.4 Дерево цілей ЗЕП
За часом, що необхідний для їх
досягнення, стратегічні цілі поділяються на близькі, короткострокові
(стимулювання експорту через девальвацію валюти), середньострокові (наприклад,
створення у країні спільно з іноземними партнерами потужностей з випуску
сучасних телекомунікаційних засобів) і довгострокові (скажімо, розширення
науково-технологічного співробітництва з країнами ЄС та ін.). Якщо розглядати
ЗЕП з боку цивілізаційних інтересів, то її мета високостратегічна. В Україні
така стратегічна мета не була своєчасно усвідомлена. По суті, вона була
підмінена поняттям "вступ до ЄС". Тут наявна методологічна помилка,
яка до того ж відбиває те, що не цілком усвідомлене: значення загроз і
викликів, що насуваються на країну з боку цивілі- заційного чинника. Якщо
узагальнити сучасну глобальну ситуацію й урахувати інтереси національної
безпеки, то стратегічною метою високого рівня ЗЕП України можна визнати
забезпечення "вростання" національної економіки у світову економічну
систему з метою доступу до повноправної участі у формуванні й розподілі
світового доходу з використанням найсучасніших політичних та економічних
технологій.
До найважливіших компонентів ЗЕП
належать:
- організаційно-функціональний;
- управлінський;
- методологічний
інструментарій;
- зовнішньоторговельний.
У межах стратегічної мети високого
рангу формування національної моделі ЗЕП впливатиме на спрямованість
функціонування національної економіки (або окремих суб'єктів
світогосподарського спілкування) з метою інтернаціоналізованого відтворення.
Об'єктом впливу такої політики є простір - економічний атлас світу (у тому
числі його національна частина). Звідси оперування ЗЕП на економічному атласі,
звичайно, не може обмежуватись однією поступальною стратегією. До ЗЕП входять
реалізація багатьох різноманітних стратегічних конкретних цілей, що
підпорядковані генеральній меті, служать їй. Без їх здійснення генеральної й
стратегічної цілей високого рангу неможливо досягти.
Важливою характеристикою
стратегічних цілей є їх тісний взаємозв'язок та конкретизація. Вони можуть
перекривати одна одну. Так, пожвавлення кон'юнктури на світовому ринку на
продукцію металургійної промисловості сприятиме збільшенню обсягів її
виробництва та експорту.
При визначенні зовнішньоекономічної
політики як економічної категорії слід акцентувати увагу на двох суттєвих
моментах: наступальному і захисному. Ефективність функціонування
зовнішньоекономічної політики залежить від реалізації обох функціональних
завдань. Неможлива реалізація наступальної функції без чіткого відпрацювання
захисної. На наш погляд, це глибоко взаємопов'язані процеси.
Наступальна функція спрямована
передусім на отримання країною порівняльних та абсолютних переваг у результаті
участі у світогосподарських відносинах, тобто на реалізацію економічного
потенціалу країни на світовому ринку.
З великого спектра проблем, які
розв'язують країни, беручи участь у сфері міжнародних економічних відносин,
основною є проблема збереження суверенітету. Йдеться не стільки про політичну
незалежність, скільки про економічний суверенітет країни, який означає свободу
держави у виборі форм і шляхів збереження та захисту своєї національної
економіки від будь-якого втручання з боку іноземних держав, зокрема їхньої
економічної діяльності, в тому числі й у сфері міжнародного поділу праці.
Захисна функція реалізується з метою
формування народногосподарської структури у відповідності до національних
інтересів і цілей зовнішньоекономічної політики. Основними причинами введення і
підтримання захисних заходів є:
- створення системи
регулювання імпорту з метою захисту вітчизняного ринку від іноземної
конкуренції;
- необхідність
захисту певних галузей і підприємств у період становлення нових виробництв,
структурної перебудови і подолання кризових явищ. Такий протекціоністський
захист, як правило, носить вибірковий і тимчасовий характер і є результатом
компромісу між зацікавленими вітчизняними виробниками, з одного боку, і
місцевими імпортерами і споживачами - з другого, відповідно до ступеня їхнього
впливу на структури влади, які визначають зовнішньоекономічну політику;
- необхідність
захисту за будь-яких обставин певних стратегічних галузей і підприємств, які
забезпечують безперервність процесу відтворення (енергетика, транспорт, зв'язок
і т. п.) або обороноздатність країни. Через міжнародні домовленості такий
державний контроль покриває також оборот продукції і технологій подвійного
призначення;
- сучасний
протекціонізм здебільшого є інструментом проведення вибіркової структурної
політики, ніж джерелом поповнення державного бюджету, хоча, безперечно, дані
фіскальні заходи відіграють значну роль у країнах, які розвиваються;
- необхідна
реалізація даної функції при розв'язанні проблеми екстерналізації, тобто
перекладання на інші національні господарські системи своїх проблем, витрат,
складнощів. Це проявляється в тому, що економічно розвинуті країни
екстерналізують свої витрати шляхом розширення зовнішньоекономічної сфери,
імпорту дешевої сировини і палива, експорту готової продукції і капіталу,
перенесення екологічно забруднених виробництв на територію інших країн,
переважно тих, які знаходяться на світогосподарській периферії.
Слід акцентувати увагу на важливому
методологічному посиланні - зовнішньоекономічна політика є каталізатором
ринкових перетворень у країні, вона, безперечно, стимулює рух у даному
напрямку, але основний фундамент створення ефективної економічної системи - це
функціонування внутрішніх економічних відносин. За рахунок ефективного
функціонування зовнішньоекономічних відносин можливе вирішення цілого ряду
локальних завдань, але питання стратегії реалізуються на рівні внутрішніх
економічних взаємовідносин.
Використання тих чи інших
інструментів зовнішньоекономічної політики має передбачати аналіз механізму їх
реалізації та наслідків їх дії як для світового співтовариства в цілому, так і
для економіки конкретної країни зокрема. При цьому дана проблема має кілька
аспектів.
По-перше, всі інструменти
зовнішньоекономічної політики мають власні механізми дії.
По-друге, реалізація того чи іншого
інструменту зовнішньоекономічної політики супроводжується як певними здобутками,
так і певними видатками. У кожному конкретному випадку той чи інший інструмент
впливу на експортні чи імпортні потоки приносить одним зовнішньоекономічним
суб'єктам реальний виграш, тоді як економічне становище інших погіршується.
По-третє, економічні наслідки
використання інструментів зовнішньоекономічної політики доцільно розглядати в
двох основних вимірах:
- безпосередні зміни,
які відбуваються на ринку того товару, що є об'єктом державного регулювання;
- опосередковані
зміни (вторинні ефекти) ринку інших товарів. Такі зміни є результатом того, що
оскільки кожний окремий ринок товарів є елементом національної економічної
системи, який тісно взаємодіє з іншими її складниками, то очевидно, що ці
складники (ринки інших товарів) також реагують на відповідні зміни на ринку
окремого товару.
Тому приймаючи рішення про
використання тих чи інших інструментів зовнішньоекономічної політики, уряд
країни повинен оцінювати їх сукупний вплив на характер економічної політики і
можливі дії у відповідь за принципом «дія - протидія» з боку інших країн.
Основні складники
зовнішньоекономічної політики держави:
- зовнішньоторговельна
політика;
- валютна політика;
- політика у сфері
залучення іноземних інвестицій;
- митно-тарифна
політика.
Зовнішньоторговельна політика - це
державна політика, яка впливає на зовнішню торгівлю через податки, субсидії,
прямі обмеження експортних та імпортних операцій. Об'єктом регулювання
зовнішньоторговельної політики є товаропотоки між країнами. Залежно від
спрямованості товаропотоків розрізняють експортну та імпортну політику держави.
Експортна політика держави
спрямована на реалізацію на зовнішніх ринках товарів, стосовно яких країна має
порівняльні переваги, стимулювання конкурентоспроможності вітчизняних
підприємств, підвищення серійності (масштабності) вітчизняного виробництва
конкурентоспроможної продукції з метою розширення її вивозу на зовнішні ринки,
тобто експортна політика спрямована на реалізацію економічного потенціалу
країни на зовнішніх ринках.
При цьому під експортним потенціалом
розуміють певний обсяг товарів та послуг, які національна економіка в змозі
виробити й реалізувати за межами своїх кордонів без збитків для себе і з
максимальним прибутком.
Вибираючи експортно-орієнтовану
модель економічного розвитку, країна використовує зовнішні світові ринки як
додатковий фактор економічного зростання.
Імпортна політика, як правило,
спрямована на регулювання імпорту з метою захисту вітчизняного ринку від
іноземної конкуренції та задоволення власних потреб за рахунок товарів
іноземного виробництва.
Основними напрямами імпортної
політики є: обґрунтована політика імпортозаміщення та відповідні протекційні
заходи стосовно товарів іноземного виробництва. При цьому основними
інструментами регулювання імпорту є досить жорстка митно-тарифна система та
застосування нетарифних бар'єрів.
Валютна політика - це сукупність дій
держави з метою підтримання економічної стабільності і створення основних засад
розвитку міжнародних економічних відносин за рахунок впливу на валютний курс і
на валютні відносини. Основними складниками валютної політики є дисконтна та
девізна політика держави.
Під дисконтною політикою розуміють
систему економічних та організаційних заходів, які використовуються при
застосуванні дисконтної ставки (відсотка) при регулюванні інвестицій та
збалансуванні платіжних зобов'язань. Дана політика орієнтована, передусім, на
коригування валютного курсу з метою регулювання грошового потоку, динаміки і
рівня цін, обсягу грошової маси та міграцію короткотермінових активів.
.3
Підходи до оцінки ефективності
зовнішньоторговельної політики регіону
З метою з'ясування зв'язків, які
забезпечують регіону участь в економічному обсязі товарів і послуг у масштабах
національної економіки, а також визначення основних умов рівноваги
територіально відособленої системи, діючий організаційний і економічний
механізм розвитку регіональних зовнішньоекономічних зв’язків розглянутий в
роботі як єдність великих агрегованих економічних суб'єктів, пов'язаних з
органами влади та управління, а також із системою регіональних ринків:
економічних ресурсів, товарів і послуг, фінансового ринку, зовнішнього ринку
тощо.
Дослідженнями підтверджено, що
відтворювальна модель економіки регіону, її технологічний базис і
конкурентоспроможність формуються в результаті інтегральної дії зовнішніх і
внутрішніх факторів, за допомогою участі регіону в системі міжрегіональних і
світогосподарських зв'язків. Основу господарського комплексу регіону складають
галузі спеціалізації, в яких виробляють продукцію для вивозу в інші регіони
країни і на експорт, тобто як соціально-економічна система регіон інтегрований
у національний простір (за допомогою мережі міжрегіональних економічних
зв'язків) і, відповідно, у світове господарство.
Визначено, що держава на рівні
регіону виступає і як рівноправний економічний агент, і як гарант законності і
правопорядку, стабільності макроекономічного стану, розвитку міжнародних
економічних відносин, соціального забезпечення і освіти на рівні світових
стандартів якості, визначених пріоритетів структурної перебудови економіки і
системної трансформації. Кожне підприємство, яке здійснює зовнішньоекономічну
діяльність, переслідує свою певну мету, що у сукупності призводить до існування
множинності приватних інтересів і можливості прояву і посилення відцентрових
тенденцій як у самій зовнішньоекономічній сфері, так і в розподілі ефекту від
зовнішньоекономічної діяльності, а значить, - до дезінтеграції економічного
простору регіону. У зв'язку з цим виникає важливість забезпечення пріоритету
національних цілей над регіональними цілями і цілями підприємств, необхідність
балансу інтересів усіх суб'єктів зовнішньоекономічної діяльності.
Важливість визначення специфіки і
пріоритетів формування економіки регіону, заснованих на порівняльних перевагах
того або іншого регіону, особливостях його історичного і культурного розвитку,
зумовлюється об'єктивною необхідністю більш повної реалізації регіональних
переваг зовнішньоекономічних зв'язків. Створення ефективної структури
зовнішньоекономічних зв'язків здатне забезпечити стабілізацію регіональних
економічних систем, а також створити основу для їх подальшого розвитку. У
дисертації визначено основні категорії зовнішньоекономічної сфери регіону такі,
як: зовнішньоекономічний комплекс, експортний потенціал, зовнішньоекономічну
стратегію, концепцію і механізм розвитку зовнішньоекономічних зв'язків та
запропоновано зміст методології розвитку регіональних зовнішньоекономічних
зв'язків (рис. 1.5).
Основу функціонування
зовнішньоекономічного комплексу регіону становить експортний потенціал, який
розглядається як вихідна база при оцінці можливостей перспективного
регіонального зовнішньоекономічного розвитку. Під експортним потенціалом
регіону розуміється сукупність відтворювальних факторів виробництва, здатних
забезпечити можливість ефективного виходу підприємств регіону на зовнішній
ринок: конкурентоспроможна продукція; сучасне високотехнологічне устаткування;
висококваліфікована робоча сила і фахівці в області зовнішньоекономічної
діяльності; високий рівень постачань сировини і комплектуючих; вигідне з погляду
ефективності розвитку зовнішньоекономічних зв'язків територіальне розміщення.
Доведено, що для ефективної
реалізації експортного потенціалу регіону необхідне створення оптимальних умов
для розвитку інфраструктури зовнішньоекономічних зв'язків, формування
сприятливого правового середовища, гарантій від різного роду ризиків, з метою
мінімізації цінових втрат і зниження можливостей для дискредитації партнерських
відносин.
На всіх етапах розвитку економіки
України одним із провідних факторів економічного зростання є вдосконалення
управління зовнішньоекономічною діяльністю. У залежності від рівня
демократизації суспільства і лібералізації зовнішньоекономічних відносин, у
роботі виділено державний, регіональний, змішаний і зовнішньорегіональний
механізми регулювання розвитку регіональних зовнішньоекономічних зв'язків.
Відзначено, що основними суб'єктами при державному регулюванні
зовнішньоекономічного територіального розвитку виступають центр і регіони. Як
низова сфера життєдіяльності, регіони безпосередньо реалізують
соціально-економічну політику держави, через регіони здійснюється управління
всією країною, у регіонах знаходить втілення державна стратегія. Відповідно
регіональне управління зовнішньоекономічними зв'язками виступає провідником
загальнодержавних інтересів з урахуванням специфіки регіону.
Регіональна економічна система
представлена в дослідженні сукупністю підприємств, організацій усіх форм
власності, господарської і соціальної орієнтації, що можуть прямо ставати
об'єктами регулювання з боку органів влади не тільки регіонального, але і
державного рівня. Регулюючи зовнішньоекономічну сферу, держава направляє
діяльність підприємств у русло загальнонаціональних, державних інтересів,
спонукуючи дотримувати ці інтереси в процесі повсякденної підприємницької
діяльності.
Модель зовнішньоекономічних зв'язків
у дослідженні розглядається як система взаємодії різних компонентів у рамках
господарського механізму на державному і регіональному рівнях. При цьому під
господарським механізмом розуміється сукупність взаємодіючих структур, що
забезпечують регулювання господарського життя з використанням різних
інструментів. Структура механізму зовнішньоекономічних зв'язків включає
визначені блоки і групи елементів: рівень конкурентоспроможності виробника;
монополістів регіонального і державного рівня, які здійснюють вплив на
зовнішньоекономічні зв'язки регіону; підприємств внутрішньорегіональної і
регіональної спеціалізації, які досягли визначеного рівня розвитку; фактори
іншого характеру, що забезпечують галузі й регіону відповідний рівень
ефективності суспільного виробництва.
В умовах зрослої відкритості
національної економіки входження України у світове господарство сполучене з
визначеними загрозами її національно-державному суверенітету: коли економіка
держави відкривається зовнішньому світу, настає її залежність від світового
ринку, і чим вище ступінь залежності національного господарства від
зовнішньоекономічних факторів, тим більш воно стає уразливим. У контексті
впливу сучасних загроз зовнішньоекономічну безпеку України пропонується
розглядати в різних аспектах. Перший аспект припускає подолання розбіжностей
між необхідністю інтегрування України у світову економіку, з одного боку, і
необхідністю забезпечення внутрішньої інтеграції, захисту внутрішнього ринку,
вітчизняного виробника і власних національних інтересів, з іншого боку. Другий
аспект обумовлений реальною і потенційною участю України в різних міжнародних
організаціях і фінансових інститутах, що виступають сьогодні як основні
інструменти глобалізації. Третій аспект пов'язаний з успішним здійсненням
Україною радикальних ринкових реформ на основі використання світового досвіду і
з урахуванням вимог власної економічної безпеки.
Розширення участі регіонів України у
зовнішньоекономічній діяльності диктує необхідність забезпечення регіональної
зовнішньоекономічної безпеки, яка припускає такий стан регіону в системі його
зовнішньоекономічних зв'язків, при якому існує гарантований захист регіональних
інтересів і реалізується здатність системи зовнішньоекономічних зв'язків
регіону на даний момент і на віддалену перспективу до стійкого розвитку навіть
за умови несприятливого розвитку внутрішніх і зовнішніх процесів. Регіональна
зовнішньоекономічна безпека розглянута в дисертації як сукупність умов і факторів,
що забезпечують стійкість, адаптацію і протидію системи регіональних
зовнішньоекономічних зв'язків внутрішнім і зовнішнім загрозам.
Обґрунтовано, що забезпечення
регіональної зовнішньоекономічної безпеки повинно ґрунтуватися на чіткому
визначенні причин і джерел нестійкості системи регіональних
зовнішньоекономічних зв'язків, детальному дослідженні існуючих і потенційно
можливих загроз, запобіганні і мінімізації дії цих загроз на економіку регіону.
У роботі запропоновано концептуальні підходи до забезпечення регіональної
зовнішньоекономічної безпеки, спрямовані на стійкий розвиток і удосконалення
регіональних зовнішньоекономічних зв'язків, недопущення критичної залежності
регіону від закордонних країн або їх співтовариств у життєво важливих питаннях
міжнародного економічного співробітництва.
В умовах поглиблення ринкових
відносин обсяги зовнішньоекономічних зв'язків тісно корелюють з економічним
становищем регіонів. На цій підставі серед регіонів України виділилася група
регіонів, які завдяки економіко-географічному положенню та структурним
особливостям господарства порівняно широко включені у зовнішньоекономічні
зв'язки, і група регіонів, які досить пасивно беруть участь у
зовнішньоекономічних зв'язках. Таким чином, усередині країни спостерігається диференціація
регіонів за масштабами і рівнями інтегрованості у світовий економічний простір.
Залежність
адміністративно-територіальних утворень від рівня розвитку зовнішньоекономічних
зв'язків охарактеризована в роботі річним обсягом експорту, величиною експорту
на душу населення, величиною імпорту на душу населення, обсягом іноземних
інвестицій на душу населення, їх часткою в загальноукраїнському імпорті
іноземних інвестицій. На підставі цих показників, враховуючи рівень розвитку
зовнішньоекономічних зв'язків, запропоновано типологію
адміністративно-територіальних утворень України і виділено регіони - найбільш
активні учасники зовнішньоекономічної діяльності, до яких віднесено Донецьку,
Дніпропетровську, Запорізьку, Луганську, Одеську, Полтавську, Івано-Франківську,
Харківську та Миколаївську області.
Регіони України вкрай нерівномірно і
якісно по-різному беруть участь у зовнішньоекономічних зв'язках, що знаходить
висвітлення як в об'ємних, так і в структурних показниках їх економічного
розвитку: таким чином контури диференціації територій відображають характер
включення України у процеси глобалізації і регіоналізаціі. Зовнішньоекономічна
орієнтація промислово розвинених регіонів очевидна через те, що вони володіють
значимим у сучасних умовах експортним потенціалом, займають вигідне географічне
положення, мають інфраструктуру, яка забезпечує їх функціонування, мають
диверсифіковану виробничу структуру. Зовнішньоекономічні зв'язки здійснюються в
основному через великі міста, які виконують функції адміністративно-політичних
центрів; у великих містах діють, як правило, більшість всіх розміщених у
регіоні підприємств з іноземними інвестиціями, концентруються
зовнішньоторговельні функції, залучені в регіоні іноземні кредити, обслуговуючі
і супутні види діяльності; в той же час велика частина периферійних територій
знаходиться поза процесами інтернаціоналізації економіки.
Прагнення до ефективного розвитку
зовнішньоекономічних зв'язків вимагає розробки відповідної концепції. Концепція
відображає позицію регіону до стратегії зовнішньоекономічних зв'язків на
довгострокову перспективу і включає конкретні тактичні прийоми, що сприяють їх
реалізації, а також принципи розвитку зовнішньоекономічних зв'язків, які в
основі своєї залишаються незмінними. Підходи до розробки концепції розвитку
зовнішньоекономічних зв'язків регіону укладено у відповідні моделі вибору
стратегій. Перша модель вибору стратегії - це збереження сформованої в
попередні десятиліття системи розподілу праці між територіями, управлінських
відносин “центр-регіон”, орієнтація на державні програми і централізовані
джерела фінансування. Друга модель вибору стратегії - це переорієнтація
виробників на місцеві ринки і інвестиції. Третя модель вибору стратегії, як
найбільш перспективна, спрямована на ефективне включення регіону в систему
світогосподарських зв'язків. Ця модель передбачає концентрацію зусиль на
розвитку експортоорієнтованих галузей. Причому основною задачею стає підвищення
частки готових товарів, машин і устаткування в експорті, підвищення
ефективності і захисту нових галузей з використанням усього спектра тарифних і
нетарифних інструментів торгової політики, вироблених у світовій практиці. В
умовах посилення на світовому ринку конкуренції успішна зовнішньоекономічна
стратегія повинна бути сформована на основі визначення перспективних напрямів
спеціалізації регіону відносно економічних умовах (рис. 1.6).
Рис. 1.6. Структура і логіка
побудови регіональної зовнішньоекономічної стратегії
Зокрема, мова йде про визначення
пріоритетів розвитку експортного комплексу регіону, секторів економіки,
орієнтованих переважно на внутрішній ринок і частки ринку споживчих і
промислових товарів, яка може бути сформована за рахунок імпорту. Рішення цієї
задачі дозволить сконцентрувати наявні і залучені ресурси на ключових напрямках
розвитку господарського комплексу регіону, у тому числі - його
зовнішньоекономічної складової і забезпечить стійкий і ефективний розвиток
економічної системи регіону в структурі світогосподарських зв'язків.
Виходячи з цього, сьогодні першочерговою
задачею регіонального управління зовнішньоекономічною сферою стає забезпечення
умов для концентрації обмежених ресурсів на ретельно відібраних напрямках, що
дозволить регіону в одних галузях зберегти лідируючі позиції, а в інших -
створити передумови для економічного зростання. В зв'язку з цим з метою
забезпечення довгострокового і стабільного соціально-економічного розвитку
регіону як суб'єкта міжнародного розподілу праці в основу розробки концепції
розвитку зовнішньоекономічних зв'язків покладений аналіз факторів
конкурентоспроможності як на галузевому, так і на регіональному рівні.
Основний зміст і спрямованість
концепції полягає в обґрунтуванні комплексу аналітичних, економічних,
організаційно-правових і спеціальних заходів для реалізації пріоритетів
розвитку регіональних зовнішньоекономічних зв'язків. У рамках концепції
визначається не тільки зовнішньоекономічна стратегія, але і виявляються
можливості розширення експортного потенціалу регіону, обґрунтовується
доцільність регіонального експорту з позиції відповідності номенклатури і
якості продукції потребам світового ринку, розробляються механізми формування
сприятливих економічних, правових, організаційних і інших умов для ведення
зовнішньоекономічної діяльності на рівні регіону і способи їх реалізації,
обґрунтовуються пропозиції з формування заходів державної і регіональної
підтримки розвитку регіональних зовнішньоекономічних зв'язків.
Для обґрунтованого визначення
зовнішньоекономічних пріоритетів необхідна оцінка умов і особливостей соціально-економічного
розвитку регіону, а також урахування факторів, які впливають на тенденції
формування даної регіональної економічної системи, попит на
зовнішньоекономічний обмін. Збалансоване рішення питань розвитку регіональних
зовнішньоекономічних зв'язків повинне виходити з макро- і мікроекономічних
інтересів держави і перспектив інтеграції регіону.
На підставі такого підходу повинна
бути вироблена оптимальна регіональна зовнішньоекономічна політика, здібна
максимізувати очікувану корисність для регіону і держави в цілому. Необхідно
правильно визначити галузеві пріоритети, вибрати пріоритетні підприємства і на
цій основі послідовно проводити політику формування профілю міжнародної
спеціалізації регіону, розраховану на використання власних можливостей і можливостей
міжнародного розподілу праці як для оптимального задоволення потреб регіону,
так і для селективного розвитку експортних виробництв.
При розробці концепції розвитку
регіональних зовнішньоекономічних зв'язків у роботі обґрунтовано визначені
принципи: розвиток регіональних зовнішньоекономічних зв'язків з урахуванням
відкритого характеру економіки регіону; врахування і реалізація інтересів
держави, регіону, потреб його населення; субсидіарність, врахування специфіки і
пріоритетів формування економіки регіону, заснованих на порівняльних
(конкурентних) перевагах того або іншого регіону, особливостях його історичного
і культурного розвитку; створення умов для максимального пристосування
структури регіональних зовнішньоекономічних зв'язків до впливу зовнішніх і
внутрішніх факторів інтеграції; перехід від сировинної спеціалізації до
розвитку обробної промисловості і наукомістких виробництв поряд зі збереженням
природних ресурсів і їх ефективної переробки; використання
внутрішньорегіональних джерел росту як основного напрямку розвитку
зовнішньоекономічних зв'язків; забезпечення регіональної зовнішньоекономічної
безпеки.
Для кількісної оцінки ступеня
залежності економіки регіонів від їх зовнішніх зв'язків пропонується
використовувати спеціальну економіко-математичну модель, яка є оптимізаційною
статистичною n-галузевою моделлю міжгалузевого балансу регіону. Враховуючи, що
зовнішньоекономічні зв'язки включають як зв'язки з іншими регіонами країни, так
і міжнародні економічні зв'язки з ближнім і далеким зарубіжжям, формалізований
запис економіко-математичної моделі виглядає таким чином:
(1.1)
(1.2)
(1.3)
У рівняннях моделі прийняті наступні
позначення,
де Xi - обсяг виробництва продукції
галузі i даного регіону (i=1,...,n);- величина валової доданої вартості
регіону;у - коефіцієнти матриці прямих витрат міжгалузевого балансу регіону;у -
обсяг виробництва продукції галузі y даного регіону;- показник частки галузі i
у галузевій структурі валової доданої вартості регіону;
∆i - сальдо вивозу-ввозу
галузі i даного регіону;
С - параметр, що характеризує міру
ослаблення зовнішніх зв'язків регіону: якщо C = 0, то це значить, що зовнішні
зв'язки регіону повністю збережені, якщо C = 1 - що зовнішні зв'язки регіону
відсутні;о - обсяг виробництва продукції галузі i при C = 0, тобто повному
збереженні зовнішніх зв'язків.
Результати розрахунків для всіх
регіонів представляє наступна лінійна залежність:
(1.4)
де Yо - величина валової доданої
вартості в умовах повного збереження зовнішніх зв'язків регіону (C = 0);
К - коефіцієнт залежності валової
доданої вартості регіону від зовнішніх зв'язків, що показує величину зміни
валової доданої вартості (у %) при зміні його зовнішніх зв'язків на 1%.
Стратегія економічного поводження
регіону в умовах ослаблення господарських зв'язків припускає умову:
< K <
1 (1.5)
Це означає, що для будь-якого
регіону країни всі його можливі стратегії економічного розвитку будуть укладені
між наступними двома граничними альтернативними стратегіями:
- регіональної
автаркії, яка виходить із замкнутого регіонального розвитку без зовнішніх
зв'язків (K = 0);
- регіонального
фритредерства, яка припускає максимальну відкритість регіону (K = 1), його
перехід до еквівалентних зовнішніх зв'язків на основі світових цін як на
світовому ринку, так і на внутрішньому ринку.
Використання цієї
економіко-математичної моделі розвитку регіональних зовнішньоекономічних
зв'язків дозволяє встановити залежність зміни обсягу валової доданої вартості
регіону від рівня зміни його зовнішньоекономічних зв'язків.
Для економічної ефективності
зовнішньоторговельної політики можна застосувати макроекономічні показники, які
охарактеризовані нижче.
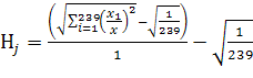
Індекс концентрації експорту (індекс
Хіршмана) - застосовується у світових зіставленнях і показує, наскільки широкий
спектр товарів експортує країна. При 239 класифікованих видах продукції (за
методологією ООН), він має вигляд:

(1.6)
Нj - індекс концентрації
експорту країни (j - індекс країни);
- кількість видів продукції
за класифікацією ООН;- індекс товару (від 1 до 239);
х1 -
вартість експортованих товарів країною. [2, с. 35]
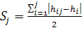
Індекс диверсифікації
експорту - це індекс відхилення товарної структури експорту країни від
структури світового експорту. Використовується, як правило, для визначення
розбіжностей У структурі зовнішньої торгівлі країн, експорт яких є достатньо
різнобічним. Розраховується на базі абсолютного відхилення частки або іншого
товару в експорті країни від його частки у світовому експорті. Для цього
використовується формула:

(1.7)
- індекс диверсифікації
експорту країни;- частка товару в загальному експорті країни;- частка товару в
загальному світовому експорті.
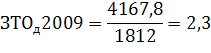
Показники інтенсивності
міжнародної торгівлі. Обсяг експорту, імпорту або зовнішньоторговельного обігу
на душу населення:

(1.8)
Де Ед - експорт на душу
населення;
Ід - імпорт на душу
населення;
ЗТОд - зовнішньоторговельний
обіг на душу населення;
Е - вартість національного
експорту за рік;
І - вартість національного
імпорту за рік;
ЗТО - зовнішньоторговельний
обіг країни за рік (Е + І);
Ч - чисельність населення
країни на відповідний рік [15, с. 70]
Експортна квота.
Розраховується за формулою:
Е
К = -- • 100%, (1.9)
ВВП
де Ке - квота експортна;
Е - річний обсяг експорту
країни;
ВВП - валовий внутрішній
продукт країни за аналогічний період.
Імпортна квота як частка
імпорту у валовому внутрішньому продукті країни характеризує також рівень
залежності країни від імпорту товарів і послуг. Розраховується за формулою:

(1.10)
де Кі - квота імпортна; І-
обсяг імпорту країни за певний рік;
ВВП - валовий внутрішній
продукт країни за аналогічний період [2, с. 39]
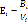
Показники економічної
ефективності експорту та імпорту. Макроекономічний показник ефективності
зовнішньоторговельного обігу:

(1.11)
де Ето - ефективність
зовнішньоторговельного обігу;
Вi - економія витрат у
результаті імпорту;
ВЕ - національні витрати на
експорт.

(1.12)
де EE -
ефективність національного експорту;E - валютна
виручка від експорту товарів і послуг;- національні витрати на експорт [12,
с 189]
Макроекономічний показник
ефективності імпорту:
(1.13)
де Ei -
ефективність національного імпорту;i - економія
витрат у результаті імпорту;i - валютні
витрати на імпорт.
Сферою застосування цих
показників є тільки аналітичні макроекономічні розрахунки з метою розробки та
обґрунтування можливих варіантів торговельно-політичних заходів, спрямованих на
реалізацію державних інтересів у розвитку зовнішньоторговельної діяльності
країни.
Таким чином в першому розділі
дипломної роботи визначено поняття «зовнішньоекономічні зв’язки» та
«зовнішньоекономічні зв’язки регіону». Це система двохсторонніх економічних
контактів і відносин, що виникають при русі усіх ресурсів між державами та їх
економічними суб’єктами - регіонами - і які є інструментом впливу на економіку
регіону, що здійснюється через механізм зовнішньоекономічної діяльності
підприємств, розташованих на його території. Регулювання зовнішньоекономічних
зв’язків регіону розглядається як створення умов досягнення пріоритетів і
перспективних напрямків зовнішньоекономічного розвитку регіону з урахуванням
орієнтації на загальнодержавні цілі при забезпеченні необхідної
децентралізації.
Приділена увага поняттю
«зовнішньоекономічна політика» України, побудовано дерево цілей ЗЕП, визначена
структура ЗЕП та визначені складові ЗЕП із наданням їх загальної
характеристики.
Залежність регіону від ступеня
розвитку зовнішньоекономічних зв'язків характеризується річним обсягом
експорту, величиною експорту на душу населення, величиною імпорту на душу
населення, обсягом іноземних інвестицій на душу населення, їх часткою в
загальноукраїнському імпорті іноземних інвестицій.
Запропоновано методику оцінки ефективності
зовнішньоекономічної політики України на прикладі макроекономічних показників,
які можна застосувати до регіону.
Обґрунтовано наукові основи розробки
концепції розвитку регіональних зовнішньоекономічних зв'язків, основними
елементами якої є принципи формування зовнішньоекономічних зв'язків,
зовнішньоекономічна стратегія на довгострокову перспективу, тактичні прийоми,
спрямовані на реалізацію даної стратегії. Запропоновано структуру побудови
зовнішньоекономічної стратегії.
РОЗДІЛ 2. ДОСЛІДЖЕННЯ ЗОВНІШНЬОТОРГІВЕЛЬНОЇ
ПОЛІТИКИ ЗАПОРІЗЬКОГО РЕГІОНУ
2.1 Характеристика
Запорізького регіону
Запорізька область створена 10 січня
1939 року. Вона розташована на півдні Східно-Європейської рівнини на чорноземах
в степовій зоні і займає площу 27,2 тисячі квадратних кілометрів, що складає
4,5% від загальної території України.
Запорізька область межує з
Дніпропетровською, Донецькою, Херсонською областями, південний кордон пролягає
уздовж узбережжя Азовського моря більш ніж на 3000 кілометрів.
За адміністративно - територіальним
устроєм область складається із 20 районів, має в складі 5 міст обласного
підпорядкування: Запоріжжя, Мелітополь, Бердянськ, Енергодар і Токмак. Міст
районного підпорядкування - 9, селищ міського типу -23, сіл-921.
Запорізька область - розвинутий
промисловий регіон не тільки в Україні, але і в східній Європі, відіграє
важливу роль в розвитку економіки України.
Діапазон товарів, що випускаються в
області складають: промислові трансформатори, жатки, авіадвигуни, легкові
автомобілі, продукція чорної та кольорової металургії, харчової промисловості
та інші.
Запорізька область є одним з лідерів
серед українських регіонів за обсягами зовнішньої торгівлі. Велика частка
виробництва флагманів Запорізької індустрії, таких як відкриті акціонерні товариства
«Запоріжсталь», «Дніпроспецсталь», «Запорізький виробничій алюмінієвий
комбінат», «Запоріжтрансформатор», «Мотор Січ», «Перетворювач», спрямована на
зовнішні ринки.
Річний обсяг зовнішньоторговельного
обороту запорізької області становить майже 2 млрд. дол. Запорізька область є
чітко означеним експортоорієнтованим регіоном, в якій обсяги експорту більш ніж
в 2 рази перевищує обсяги імпортних закупівель. За обсягами експорту Запорізька
область посідає четверте місце серед регіонів України.
Більше 100 підприємств області
постійно здійснюють зовнішньоторговельну діяльність. Партнерами області в
зовнішній торгівлі є більш ніж 100 країн світу у різних регіонах.
В загальній структурі експорту
регіону більше половини складають чорні метали, друге і третє місця поділяють
продукція кольорової металургії та машинобудування.
Найбільші обсяги експортних поставок
товарів та послуг здійснюються до Російської Федерації, Туреччини, Китаю,
Угорщини, Німеччини та Польщі.
Майже чверть всіх імпортних
закупівель області припадає на мінеральне паливо, нафту та нафтопродукти. Іншою
важливою статтею зовнішніх закупівель є механічне устаткування та запасні
частини до нього, доля яких складає понад 10%.
Серед країн-імпортерів найбільшу
питому вагу поставок мають Туркменістан, Німеччина, Словаччина, США, Білорусь,
Польща, Китай, Узбекистан.
Останнім часом все більш динамічно
змінюється товарна номенклатура експорту в бік збільшення частки наукомісткої
та високотехнологічної продукції високого ступеня переробки. Цей процес
незворотньо веде до географічної диверсифікації зовнішньої торгівлі. Особливо
динамічно розвивається сфера двостороннього співробітництва між нашим регіоном
та регіонами країн ближнього та дальнього зарубіжжя.
Особливе місце в зовнішніх стосунках
нашого регіону займає Російська Федерація. Географічна близькість,
торгово-економічні та гуманітарні зв’язки, що склалися історично, наявність
підприємств з технічно взаємопов’язаним виробництвом та інфраструктурою,
роблять співробітництво області з регіонами Російської Федерації життєво
необхідним для обох держав.
Протягом останніх років були
підписані Угоди про торгово-економічне, науково-технічне та культурне
співробітництво з 11 регіонами Російської Федерації, а також ведеться подальша
робота в напрямку розробки та реалізації конкретних проектів в рамках цих Угод.
Аналогічні Угоди були підписані з
містом Бургас (Болгарія), містом Чунцин (Китайська Народна Республіка),
Карагандинською областю (Республіка Казахстан). Ведуться переговори щодо
налагодження співробітництва та підписання Угод з регіонами Австрії, Німеччини,
Бельгії, Польщі, Узбекистану, Азербайджану та Ірану.
Протягом минулого року Запорізьку
область відвідало багато представників дипломатичних місій та ділових кіл
іноземних держав, підсумками цих візитів стало досягнення домовленостей щодо
подальшого розвитку міжнародних зв’язків нашого регіону, створення спільних
виробництв, залучення до економіки області іноземних інвестицій.
Суттєвий внесок в розвиток
зовнішньоекономічних зв’язків як регіону в цілому, так і окремих підприємств
зокрема, вносить безпосередній зв’язок управління зовнішніх зносин та
зовнішньоекономічної діяльності облдержадміністрації з економічними
представництвами України за кордоном та закордонними торгово-економічними
місіями в межах нашої країни.
У м. Запоріжжі розташовані такі
всесвітньо відомі підприємства машинобудівної галузі з високотехнологічним
виробництвом, як ВАТ „Мотор Січ” - виробник авіадвигунів для літаків та
вертольотів провідних авіакомпаній: КБ Антонова, Яковлєва, Туполєва, Берієва,
Камова, Міля; ВАТ „Запорізький трансформаторний завод” - єдиний в Україні
виробник силових трансформаторів; ЗАТ „Запорізький автомобілебудівний завод” -
виробник легкових автомобілів, є лідером на ринку України. Автомобілі, що
виходять з конвеєру запорізького автомобілебудівника, відповідають всім
світовим стандартам якості та безпеки.
ЗАТ „ІВЕКО - Мотор Січ”,
співзасновником якого є італійська компанія „ІВЕКО”, випускає не тільки
автомобілі, але й продукцію як для установки на українську техніку, так і для
експорту. В м.Запоріжжі виробляються авто потужністю від 70 до 110 к.с.,
коробки передач та двигуни. В майбутньому, в залежності від ринкового попиту,
передбачено розширення модельного ряду, в основному, за рахунок важких
вантажівок для міжнародних перевезень, а також передбачається оновлення
теперішнього сімейства малотоннажних авто новою моделлю, яка вже існує в парках
інших країн Європи. Автомобілі, вироблені на заводі „ІВЕКО - Мотор Січ” в м.
Запоріжжі, надходять у продаж під торговою маркою „ІВЕКО”.
Динамічно розвивається авіаційна
промисловість. Отримання ВАТ „Мотор Січ” сертифікату на літак АН-140 і його
модифікацію АН-140-100 відкрило шлях до початку його експлуатації на авіаційних
лініях України та за кордоном. Відбувається освоєння нових видів продукції,
наприклад, турбохолодильного агрегату АТХ-55/50, електростанції газотурбінної
ЕГ-1000 та інше.
Металургійний комбінат
„Запоріжсталь” є одним із найпотужніших в Європі металургійних підприємств
чорної металургії з повним металургійним комплексом. Основною продукцією
комбінату є ливарний чавун, гарячекатаний та холоднокатаний листовий прокат,
холодногнуті профілі та впроваджено нову ресурсозберігаючу технологію
виробництва рулонів гарячекатаного металу подвійної маси. Відбувається освоєння
високоякісного автолиста. Комбінат експортує продукцію більше ніж до 50 країн
світу.
ВАТ „Запоріжтрансформатор” - один з
найбільших у світі виробників силових спеціальних трансформаторів, електричних
реакторів для електричних станцій, підстанцій промислових підприємств та інших
споживачів.
ВАТ „Український графіт” - провідний
український виробник графітованих електродів для електросталеплавильних,
руднотермічних та інших видів сталеплавильних печей, товарних вуглецевих мас
для електродів Содерберга, футеровочних матеріалів на основі вуглецю для
підприємств металургійного, машинобудівного, хімічного та інших комплексів
промисловості. За підсумками всеукраїнського рейтингу 2000 року, продукція
підприємства була відзначена почесною нагородою „Вища проба”.
ЗАТ „Завод алюмінієвої катанки” -
єдиний в Україні виробник алюмінієвої катанки для електротехнічних цілей шляхом
безперервного ливарництва. Підприємство одним з перших в Україні було
сертифіковане за стандартом якості ISO 9001:2000.
ВАТ „Запорізький абразивний комбінат”
- лідер у виробництві абразивного інструменту у Центральній Європі. „Ноу-хау”
підприємства - це технологія продукування електрокорунду з агломератів боксиду.
ВАТ „Азовкабель” - найпотужніше в
Україні спеціалізоване підприємство, що виробляє більше чотирьох тисяч
маркорозмірів кабельної продукції.
ВАТ „АзМОл” - одне з найпотужніших в
Україні підприємств з випуску продукції хімічної промисловості. Продукція ВАТ
„АзМОл” користується сталим попитом не тільки в Україні та країнах СНД, але й у
державах далекого зарубіжжя.
ВАТ „Запоріжкран” - лідер у
виробництві кранів та кранного обладнання у Східній Європі та країнах СНД.
ВАТ „Рефма” - єдине в Україні
підприємство з випуску холодильних машин різноманітної продуктивності.
ВАТ „Пиво-безалкогольний комбінат „Славутич”
- один із лідерів пивоваріння у Східній Європі та найсучасніше підприємство
галузі з високим рівнем автоматизації технологічних процесів. Якість більше
десятка сортів янтарного напою марки „Славутич” підтверджена багатьма
національними та міжнародними нагородами.
ЗАТ „Пологівський
олійноекстракційний завод” - є найбільшим в Україні та країнах СНД
підприємством з переробки олійних культур.
Фірми „Селена” та „Елегант” гідно
представляють галузь легкої промисловості не тільки в межах українського ринку
та країнах СНД, але й плідно співпрацюють з партнерами країн Західної Європи.
Одяг цих виробників за світову якість відзначено дипломом „Золотий Байда” та
громадською відзнакою „Вища проба”. Незважаючи на сталий попит на продукцію
запорізьких виробників з боку провідних фірм Франції, Великої Британії,
Німеччини, Австрії, Швейцарії та ін., ВАТ „Селена” та „Елегант” відкриті для
будь-яких форм співробітництва із зацікавленими підприємствами усього світу.
Запорізький регіон відноситься до
найбільш привабливих регіонів України щодо інвестування завдяки великому
промисловому потенціалу, наявності природних багатств, власним енергоресурсам,
високому науково-технічному потенціалу, розвиненій транспортній інфраструктурі,
розвиненій банківській системі та доступності до ринків України, держав СНД,
Європи та Азії.
На Запорізьку область припадає 6%
від загального обсягу інвестицій, що вкладені в економіку України. За обсягом
прямих іноземних інвестицій область посідає четверте місце серед регіонів
України.
За результатами рейтингу
інвестиційної привабливості регіонів України область входить до групи
регіонів-лідерів і посідає 6 місце. Іноземні інвестиції вкладені у 145
підприємств області.
Серед підприємств з іноземним
капіталом найбільш успішно працюють ЗАТ «ІВЕКО-Мотор Січ», співзасновником
якого є італійська компанія «IVEССO» (обсяг іноземних інвестицій - 8,1 млн.
дол.), ВАТ «Пивобезалкогольний комбінат «Славутич», інвестиції у яке здійснила
шведська фірма «Болтик Бевереджис Холдинг Акциєболаг» (20,0 млн. дол.), ЗАТ «Запорізький
залізорудний комбінат» - кошти інвестовані словацькою фірмою «MINERFIN» (20,6
млн. дол.), СП «АвтоЗАЗ-ДЕУ» - корейськими фірмами «Деу Хеві Індастріз ЛТД» та
«Деу Мотор Ко., ЛТД» інвестовано 150 млн. дол.
Пріоритетними напрямками в сфері
інвестування в Запорізьку область є такі галузі промисловості, як
машинобудування, харчова промисловість, чорна металургія, радіоелектроніка та
інші високотехнологічні галузі, а також сільське господарство.
2.2 Аналіз
географічної структури зовнішньоторговельної політики Запорізького регіону
Важливою характеристикою
зовнішньоторговельної діяльності є її географічна структура, тобто розподіл
торговельних потоків між окремими країнами та їх групами, створеними за
територіальною або організаційною ознакою.
Територіальна географічна
структура узагальнює дані про масштаби міжнародної торгівлі країн, що належить
до однієї частини світу або укрупненої групи країн (розвинуті країни; країни,
що розвиваються; країни з перехідною економікою). Організаційна географічна структура
узагальнює дані про міжнародну торгівлю або між країнами, що належать до
інтернаціональних торгівельно-політичних об’єднань, або торгівлю між країнами,
<#"602008.files/image015.gif">
Рис.2.1 Динаміка географічної
структури експорту товарами Запорізького регіону за 1996-2010 роки, млн. долл.
Аналіз динаміки експорту товарів
визначив, що протягом 1996-2003 року в розрізі континентів не змінювався, був на
низькому рівні. Починаючи з 2003 року до 2008 включно, спостерігається стрімке
збільшення експорту товарів у Країнах СНД, у 2009 році стрімке падіння до
обсягів 2006 року, у 2010 році поліпшення ситуації, але не значне. Так у 2008
році обсяг експорту товарів у Країнах СНД складав 2796,2 млн.дол. а у 2010 році
падіння експорту до позначки 1579,8 млн.дол. Починаючи з 2003 року Азія та
Європа збільшили обсяги експорту товарів, найбільший показник також зафіксовано
у 2008 році 1165,3 млн.дол. та 1087,5 млн.дол. відповідно. Кризовий стан
України у 2009 рік спричинило значне падіння експорту товарів в країнах Азії та
Європи, але менш ніж у країнах СНД. У 2010 року спостерігається пожвавлення
ситуації експорту товарів, але досить повільне.
На рисунку 2.2 відображено загальна
зміна експорту товарів Запорізького регіону протягом 1996-2010 років.
Рис. 2.2 Динаміка експорту товарів
Запорізького регіону
З рисунка видно, що структура
експорту товарів Запорізького регіону повністю, відображає динаміку експорту
країн СНД. До 2003 року динаміка має виливань, починаючи з 2003 року повільне
збільшення експорту товарів до 2008 року. У 2009 році стрімке падіння, та
поліпшення ситуації у 2010 році.
Аналіз імпорту товарів Запорізького
регіону відображено на рисунку 2.3.
Рис.2.3 Динаміка імпорту товарів
Запорізького регіону у 1996-2010 роках, млн.дол.
З рисунка видно, що з 2004 року
збільшується обсяги імпорту товарів повільними темпами, стрімке збільшення у
2007 році - до 3413,9 млн.дол., у 2008 році незначне збільшення, як до 2007
року - 35891,1 млн.дол. 2009 рік стрімке падіння імпорту товарів до обсягу
1146,6 млн.дол., зменшення у 3 рази. У 2010 році повільне збільшення імпорту до
обсягу 1362,9 млн.дол. Таким чином, рисунок відображає залежність кризи в
Запорізької області та в України на стан імпортних операцій з торгівлі
товарами.
Наступним кроком, необхідно провести
аналіз в розрізі країн та континентів, та визначити, який континент значно
вплинув на загальний обсяг імпорту товарів Запорізького регіону (табл.2.2,
рис.2.4).
Аналіз визначив, що переважне
значення у імпорту товарами до 2001 року мали країни СНД. У 1998-1999 роках
спостерігається зменшення імпорту. З 2002 року поступове збільшення обсягів
імпорту до 2006 року, а потім стрімке збільшення у 2007-2008 роках. Та як і
тенденція експорту зменшення у 2009 році та поліпшення ситуації у 2010 році,
але не значне.
Таблиця 2.2
Географічна структура імпорту
товарами Запорізького регіону за 1996-2010 роки, млн. долл.
|
Континенти
|
1996
|
1997
|
1998
|
1999
|
2000
|
2001
|
2002
|
2003
|
2004
|
2005
|
2006
|
2007
|
2008
|
2009
|
2010
|
|
Країни СНД
|
372,9
|
526,7
|
260,2
|
209,2
|
468,4
|
256,9
|
166,6
|
303,9
|
428,6
|
495,3
|
573,5
|
833,7
|
836,5
|
368,2
|
512,9
|
|
Європа
|
187,3
|
231,9
|
199,1
|
131,9
|
183,4
|
184,2
|
230,6
|
454,6
|
547,8
|
572
|
872,9
|
1350,6
|
1418,1
|
524,2
|
485,5
|
|
Азія
|
19,9
|
18,1
|
135,3
|
37,5
|
64,8
|
58,9
|
57,6
|
90,3
|
216,2
|
579,8
|
573,2
|
1080,4
|
1122,3
|
162,3
|
212,7
|
|
Африка
|
5,8
|
6,5
|
5,7
|
7,6
|
11,7
|
10,5
|
11,4
|
5,4
|
6,4
|
14,1
|
34,7
|
66,8
|
61,4
|
8,7
|
39,5
|
|
Америка
|
29,5
|
23,3
|
16
|
13,6
|
17,9
|
19,2
|
12,7
|
29,1
|
24,3
|
23,7
|
31,6
|
67,7
|
99,1
|
48,5
|
75,9
|
|
Австралія і Океанія
|
9,4
|
2,8
|
0,6
|
0,1
|
9
|
8,5
|
2,7
|
0,1
|
2,5
|
2,3
|
4,7
|
14,7
|
53,7
|
34,7
|
36,4
|
|
Всього імпорт
|
624,8
|
809,3
|
616,9
|
399,9
|
755,2
|
538,2
|
481,6
|
883,4
|
1225,8
|
1687,2
|
2090,6
|
3413,9
|
3591,1
|
1146,6
|
1362,9
|
Рис.2.4 Динаміка географічної
структури імпорту товарами Запорізького регіону за 1996-2010 роки, млн. долл.
Суттєве збільшення обсягів імпорту
Європи починаючи з 2006 по 2008 роки обумовило збільшення загального обсягу імпорту
товарами Запорізького регіону. Азія також має значний вплив на загальний обсяг,
тенденція коливання така ж, як і у Європи, але з меншим обсягом.
Проведемо аналізу експорту - імпорту
товарів за останні 4 роки (табл.2.3).
Таблиця 2.3
Горизонтальний аналіз географічної
структури експорту-імпорту товарів Запорізького регіону за 2007-2010 роки,
млн.дол.
|
Країни/ континенти
|
Експорт
|
|
Роки
|
Відхилення
|
Роки
|
Відхилення
|
Відхилення
|
|
2007
|
2008
|
+/-
|
%
|
2009
|
2010
|
+/-
|
%
|
2009/ 2008
|
2010/ 2008
|
|
Країни СНД
|
2244,9
|
2796,2
|
551,3
|
124,6
|
1403,3
|
1579,8
|
176,5
|
112,6
|
50,2
|
56,5
|
|
Європа
|
925,5
|
1087,5
|
162
|
117,5
|
414,4
|
654,5
|
240,1
|
157,9
|
38,1
|
60,2
|
|
Азія
|
864,3
|
1165,3
|
301
|
134,8
|
690,2
|
711,3
|
21,1
|
103,1
|
59,2
|
61,0
|
|
Африка
|
183,4
|
220,9
|
37,5
|
120,4
|
162,9
|
198,1
|
35,2
|
121,6
|
73,7
|
89,7
|
|
Америка
|
106,5
|
99,9
|
-6,6
|
93,8
|
45,8
|
66,3
|
20,5
|
144,8
|
45,8
|
66,4
|
|
Всього експорт
|
4324,6
|
5369,8
|
1045
|
124,2
|
2716,6
|
3210
|
493,4
|
118,2
|
50,6
|
59,8
|
|
Країни/ континенти
|
Імпорт
|
|
Роки
|
Відхилення
|
Роки
|
Відхилення
|
Відхилення
|
|
2007
|
2008
|
+/-
|
%
|
2009
|
2010
|
+/-
|
%
|
2009/ 2008
|
2010/ 2008
|
|
Країни СНД
|
833,7
|
836,5
|
2,8
|
100,3
|
368,2
|
512,9
|
144,7
|
139,3
|
44,0
|
61,3
|
|
Європа
|
1350,6
|
1418,1
|
67,5
|
105,0
|
524,2
|
485,5
|
-38,7
|
92,6
|
37,0
|
34,2
|
|
Азія
|
1080,4
|
1122,3
|
41,9
|
103,9
|
162,3
|
212,7
|
50,4
|
131,1
|
14,5
|
19,0
|
|
Африка
|
66,8
|
61,4
|
-5,4
|
91,9
|
8,7
|
39,5
|
30,8
|
454,0
|
14,2
|
64,3
|
|
Америка
|
67,7
|
99,1
|
31,4
|
48,5
|
75,9
|
27,4
|
156,5
|
48,9
|
76,6
|
|
Австралія і Океанія
|
14,7
|
53,7
|
39
|
365,3
|
34,7
|
36,4
|
1,7
|
104,9
|
64,6
|
67,8
|
|
Всього імпорт
|
3399,2
|
3537,4
|
138,2
|
104,1
|
1111,9
|
1326,5
|
214,6
|
119,3
|
31,4
|
37,5
|
З таблиці 2.3 видно, що у 2008 році
експорт товарів збільшився на 1045,2 млн.дол., або на 24,2%. У 2010 році також
збільшення на 493,4 млн.дол. до 2009 року, або на 18,2%. Якщо прийняти 2008 рік
за базовий, то спостерігається значне зменшення експорту товарів у 2009 та 2010
роках. Так у 2009 році зменшення відбулось в половину та складає 50,6% від 2008
року, у 2010 році - 59,8%. Аналіз імпорту товарів має ту ж тенденція, що і
експорт. У 2008 році у порівнянні з 2007 роком збільшення на 135,2 млн.дол. або
на 4,1%. У 2010 році імпорт склав 1326,5 млн.дол., що на 214,6 млн.дол. більше
ніж у 2009 році. Загальна тенденція така ж як і у експорті, тобто зменшення
обсягів у порівнянні до базового періоду (2008 рік), у 2009 році зменшення
майже на 70 %, у 2010 році на 68% до 2008 року.
В таблиці 2.4 проведемо вертикальний
аналіз експорту-імпорту товарами Запорізького регіону, із визначення питомої
ваги континентів у загальному зовнішньоторговельному обороті області.
Таблиця 2.4
Вертикальний аналіз географічної
структури експорту-імпорту товарами Запорізького регіону за 2007-2010 роки,
млн.дол.
|
Країни/ континенти
|
Експорт
|
|
Роки
|
|
2007
|
%
|
2008
|
%
|
2009
|
%
|
2010
|
%
|
|
1
|
2
|
3
|
4
|
5
|
6
|
7
|
8
|
9
|
|
Країни СНД
|
2244,9
|
51,9
|
2796,2
|
52,1
|
1403,3
|
51,7
|
1579,8
|
49,2
|
|
Європа
|
925,5
|
21,4
|
1087,5
|
20,3
|
414,4
|
15,3
|
654,5
|
20,4
|
|
Азія
|
864,3
|
20,0
|
1165,3
|
21,7
|
690,2
|
25,4
|
711,3
|
22,2
|
|
Африка
|
183,4
|
4,2
|
220,9
|
4,1
|
162,9
|
6,0
|
198,1
|
6,2
|
|
Америка
|
106,5
|
2,5
|
99,9
|
1,9
|
45,8
|
1,7
|
66,3
|
2,1
|
|
Всього
|
4324,6
|
100
|
5369,8
|
100
|
2716,6
|
100
|
3210
|
100
|
|
Країни/ континенти
|
Імпорт
|
|
Роки
|
|
2007
|
%
|
2008
|
%
|
2009
|
%
|
2010
|
%
|
|
Країни СНД
|
833,7
|
24,5
|
836,5
|
23,6
|
368,2
|
33,1
|
512,9
|
38,7
|
|
Європа
|
1350,6
|
39,7
|
1418,1
|
40,1
|
524,2
|
47,1
|
485,5
|
36,6
|
|
Азія
|
1080,4
|
31,8
|
1122,3
|
31,7
|
162,3
|
14,6
|
212,7
|
16,0
|
|
Африка
|
66,8
|
2,0
|
61,4
|
1,7
|
8,7
|
0,8
|
39,5
|
3,0
|
|
Америка
|
67,7
|
2,0
|
99,1
|
2,8
|
48,5
|
4,4
|
75,9
|
5,7
|
|
Всього
|
3399,2
|
100
|
3537,4
|
100
|
1111,9
|
100,0
|
1326,5
|
100,0
|
|
|
|
|
|
|
|
|
|
|
|
|
|
|
Так з таблиці 2.4 видно, що у 2007
році питома вага експорту товарів у країнах СНД 51,9%, Європи - 21,4%, Азії -
20,0%, Африка та Америка - 4,2% та 2,5% відповідно. У 2008 році питома вага
експорту товарів у країнах СНД 52,1%, Європи - 20,3%, Азії - 21,7%, Африка та
Америка - 4,1% та 1,9% відповідно. У 2009 році питома вага експорту товарів у
країнах СНД 51,7%, Європи - 15,3%, Азії - 25,4%, Африка та Америка - 6% та 1,7%
відповідно. У 2010 році питома вага експорту товарів у країнах СНД 49,2%,
Європи - 20,4%, Азії - 22,2%, Африка та Америка - 6,2% та 2,1% відповідно.
Таким чином, найбільш вагомою країною в експорті товарів являються країни СНД
протягом всього досліджуваного періоду. Азія та Європа протягом досліджуваного
періоду займають друге та третє місце у загальному обсягу експорту товарів.
Аналіз питомої ваги імпорту Європа на першому місці до 2009 року, у 2010 році
поступилась місцем з країнами СНД, але відхилення незначне. Протягом 2007-2008
років друге місце займала Азія 31,8% та 31,7% відповідно, а у 2009-2010 роках
значно знизилась питома вага імпорту товарів Азії у загальному обсязі (14,6% та
16,% відповідно). Таким чином можна зробити висновок, що протягом 2007-2008
років привабливішими країнами в імпорті товарів були Європа та Азія, а
починаючи з 2009 року - країни СНД та Європа. У зовнішньоторговельної
діяльності Запорізького регіону крім товарів, попитом на зовнішньоекономічному
ринку користуються послуги. Таким чином, доцільно проаналізувати
експортну-імпортну динаміку послуг за географічною структурою (табл.2.5,
рис.2.5).
Таблиця 2.5
Географічна структура експорту
послугами Запорізького регіону за 1996-2010 роки, млн. долл.
|
Континенти
|
1996
|
1997
|
1998
|
1999
|
2000
|
2001
|
2002
|
2003
|
2004
|
2005
|
2006
|
2007
|
2008
|
2009
|
2010
|
|
Країни СНД
|
32,8
|
18,6
|
22,2
|
21,4
|
28,7
|
28,3
|
37,1
|
38,5
|
51
|
48
|
43
|
57,7
|
83,5
|
71,4
|
83,5
|
|
Європа
|
9,1
|
15,1
|
17,6
|
16,1
|
15
|
16,4
|
17,5
|
20,7
|
22,9
|
18,5
|
25,7
|
30,3
|
30
|
26,3
|
24,9
|
|
Азія
|
15,8
|
5,2
|
7,4
|
5,8
|
4,8
|
7,1
|
7,7
|
7,7
|
26,2
|
23,4
|
33,8
|
50,3
|
65,3
|
56,2
|
49,6
|
|
Африка
|
1,6
|
0,5
|
0,6
|
0,6
|
1,1
|
0,6
|
0,7
|
0,5
|
11,1
|
4
|
12,9
|
11,3
|
12
|
13,2
|
5,7
|
|
Америка
|
1,8
|
1,1
|
3,3
|
3,2
|
2,4
|
1,9
|
2,1
|
3,3
|
9
|
8,8
|
7
|
6
|
10,9
|
9
|
11,7
|
|
Австралія і Океанія
|
0
|
0,8
|
0,4
|
0,4
|
0,3
|
0
|
0,1
|
0
|
0
|
0
|
0
|
0,5
|
0,2
|
0,3
|
0,2
|
|
Всього експорт
|
61,1
|
41,3
|
51,5
|
47,5
|
52,3
|
54,3
|
65,2
|
70,7
|
120,2
|
102,7
|
122,4
|
156,1
|
201,9
|
176,4
|
175,6
|
Рис.2.5 Динаміка географічної
структури експорту послугами Запорізького регіону за 1996-2010 роки, млн. долл.
З таблиці 2.5 видно, що протягом
досліджуваного періоду спостерігається спад експорту у 1997 році який тривав,
до 2000 року, до 2004 року видно повільне збільшення до 120,2 млн. дол., що у 2
рази більше ніж у 1996 році. Протягом 2005 року бачимо незначне зменшення
експорту послугами до 102,7 млн.дол. З 2006 року по 2008 рік включно
спостерігається стрімке збільшення обсягу експорту послугами (201,9 млн.дол.).
Останні два роки спостерігається зменшення експорту послугами до 175,6 млн.дол.
(рис.2.6).
На рисунку 2.5 відображено, динаміка
географічної структури експорту послуг Запорізького регіону в розрізі
континентів. Так згідно, рисунку, найбільшим експортером являються країни СНД,
графік майже повністю відображає загальну динаміку експорту послугами
(рис.2.6). Протягом 8 років з 1997 - 2004 рік на другому місті була Європа, але
починаючи з 2004 року до 2010 року включно, друге місце займає Азія. Стосовно
Європи спостерігається тенденція незначного збільшення, тобто ні політичні, ні
кризові явища суттєво не вплинули на експорт послугам. Значні зміни відбулись у
зовнішній торгівлі послугами з Азією. Так з 1997 року до 2003 року експорт
складає від 5,2 млн.дол. до 7,7 млн.дол. (2003 рік), але починаючи з 2004 року
стрімко збільшується обсяги зовнішньої торгівлі до 26,2 млн.дол., найбільший
обсяг - у 2008 році (65,3 млн.дол.), останні два роки спостерігається поступове
зменшення обсягу до 49,6 млн.дол. у 2010 році. Інші континенти мають обсяг від
0 до 13,2 млн.дол.
Загальна динаміка експорту протягом
досліджуваного періоду наведена на рисунку 2.6.
Рисунок 2.6 відображає загальний
обсяг експорту послугами протягом досліджуваного періоду, як видно з рисунка
2.6 та якщо порівняти з рисунком 2.5, то видно, що зовнішня торгівля із
країнами СНД суттєво впливає на експорт послуг в Запорізькому регіоні.
У додатку А наведено географічну
структуру зовнішньої торгівлі послугами області в розрізі країн.
Рис.2.6 Динаміка експорту послугами
Запорізького регіону за 1996-2010 роки, млн. дол.
Загальна динаміка імпорту послугами
Запорізького регіону за 1996-2010 роки наведена на рисунку 2.7.
Рис.2.7 Динаміка імпорту послуг
Запорізького регіону
Рисунка 2.7 видно, що протягом
досліджуваного періоду найбільший обсяг імпорту послуг спостерігався у 2008
році, який складав 266,1 млн.дол. у 2009 році значне зниження до 128 млн.дол.
більш ніж у двічі, що було спричинено кризовим становищем в Україні. У 2010
році спостерігається тенденція до зменшення обсягу імпорту. Наступним кроком
розглянемо динаміку імпорту послугами в розрізі континентів (табл.2.6,
рис.2.8).
Таблиця 2.6
Географічна структура імпорту
послугами Запорізького регіону за 1996-2010 роки, млн. долл.
|
Країни/ континенти
|
Імпорт
|
|
1996
|
1997
|
1998
|
1999
|
2000
|
2001
|
2002
|
2003
|
2004
|
2005
|
2006
|
2007
|
2008
|
2009
|
2010
|
|
Російська Федерація
|
2,5
|
18,4
|
37,1
|
3,8
|
12,3
|
6,4
|
6,1
|
9,7
|
8,9
|
11,7
|
11,8
|
13,7
|
26,6
|
17,5
|
22,1
|
4,3
|
7,9
|
11,6
|
9,9
|
18,5
|
22
|
5,9
|
21,1
|
10,5
|
15,7
|
30
|
40,7
|
160,3
|
38,2
|
19,7
|
|
Азія
|
1,2
|
2,4
|
3
|
4,9
|
4,3
|
4,4
|
2,2
|
2,4
|
3,9
|
8,2
|
13,9
|
31,7
|
66,8
|
63
|
56
|
|
Америка
|
0,2
|
1,2
|
1,3
|
1,6
|
4,7
|
7,7
|
3,7
|
4,9
|
3,2
|
4,6
|
10,9
|
15,3
|
11,2
|
8,6
|
6,1
|
|
Австралія і Океанія
|
0
|
0
|
0
|
0
|
0
|
0,1
|
0
|
0
|
-
|
-
|
-
|
0,5
|
1,2
|
0,7
|
0,9
|
|
Всього імпорт
|
8,2
|
29,9
|
53
|
20,2
|
39,8
|
40,6
|
17,9
|
38,1
|
26,5
|
40,2
|
66,6
|
101,9
|
266,1
|
128
|
104,8
|
Рис.2.8
Динаміка географічної структури імпорту послугами Запорізького регіону за
1996-2010 роки, млн. долл.
З таблиці 2.6 видно, що протягом
досліджуваного періоду до 2005 році обсяг імпорту послугами має вид незначних
коливань. Обсяг імпорту найменший був у 1996 році, потім поступове збільшення
імпорту у Російської Федерації до 37,1 млн.дол. у 1998 році, інші континенти
суттєво не змінили, але теж збільшили обсяги імпорту. Від загальної картини
«відсутності імпорту», відрізняється Європа, яка протягом досліджуваного
періоду до 2008 року має невелику тенденцію коливань. Але у 2008 році значне
збільшення імпорту послугами до 160,3 млн.грн., наступні два роки 2009 та 2010
роки значне зменшення обсягів імпорту послугами, та досягнуло рівня 2000 року
(19,7 млн.дол. - у 2010 році, до 18,5 млн.дол. у 2000 році). На другому місті
Азія починаючи з 2006 року збільшує обсяги імпорту послугами, досягнувши 66,8
млн. дол. у 2008 році - поступово зменшує обсяги. Інші континенти суттєво не
зміни обсяги імпорту.
З рисунка 2.8 видно, динаміку
збільшення імпорту у 1998 році, за рахунок збільшення Російської Федерації, та
у 2008 році, за рахунок Європи. Географічна структура імпорту послуг в розрізі
країн наведена у додатку Б.
Визначення динаміки не дає повної
картини для аналізу експорту - імпорту послуг, тому доцільно провести аналіз
відхилень. Для горизонтального аналізу візьмемо 4 роки на вибір, а саме: 2007,
2008, 2009, 2010 роки (табл.2.7).
Таблиця 2.7
Горизонтальний аналіз географічної
структури експорту-імпорту послуг Запорізького регіону за 2007-2010 роки,
млн.дол.
|
Країни/ континенти
|
Експорт
|
|
Роки
|
Відхилення
|
Роки
|
Відхилення
|
Відхилення,%
|
|
2007
|
2008
|
+/-
|
%
|
2009
|
2010
|
+/-
|
%
|
2009/ 2008
|
2010/ 2008
|
|
1
|
2
|
3
|
4
|
5
|
6
|
7
|
8
|
9
|
10
|
11
|
|
Країни СНД
|
57,7
|
83,5
|
25,8
|
144,7
|
71,4
|
83,5
|
12,1
|
116,9
|
85,5
|
100,0
|
|
Європа
|
30,3
|
30
|
-0,3
|
99,0
|
26,3
|
24,9
|
-1,4
|
94,7
|
87,7
|
83,0
|
|
Азія
|
50,3
|
65,3
|
15
|
129,8
|
56,2
|
49,6
|
-6,6
|
88,3
|
86,1
|
76,0
|
|
Африка
|
11,3
|
12
|
0,7
|
106,2
|
13,2
|
5,7
|
-7,5
|
43,2
|
110,0
|
47,5
|
|
Америка
|
6
|
10,9
|
4,9
|
181,7
|
9
|
11,7
|
2,7
|
130,0
|
82,6
|
107,3
|
|
Австралія і Океанія
|
0,5
|
0,2
|
-0,3
|
40,0
|
0,3
|
0,2
|
-0,1
|
66,7
|
150,0
|
100,0
|
|
Всього
|
156,1
|
201,9
|
45,8
|
129,3
|
176,4
|
175,6
|
-0,8
|
99,5
|
87,4
|
87,0
|
|
Країни/ континенти
|
Імпорт
|
|
Роки
|
Відхилення
|
Роки
|
Відхилення
|
Відхилення,%
|
|
2007
|
2008
|
+/-
|
%
|
2009
|
2010
|
+/-
|
%
|
2009/ 2008
|
2010/ 2008
|
|
Російська Федерація
|
13,7
|
26,6
|
12,9
|
194,2
|
17,5
|
22,1
|
4,6
|
126,3
|
65,8
|
83,1
|
|
Європа
|
40,7
|
160,3
|
119,6
|
393,9
|
38,2
|
19,7
|
-18,5
|
51,6
|
23,8
|
12,3
|
|
Азія
|
31,7
|
66,8
|
35,1
|
210,7
|
63
|
56
|
-7
|
88,9
|
94,3
|
83,8
|
|
Америка
|
15,3
|
11,2
|
-4,1
|
73,2
|
8,6
|
6,1
|
-2,5
|
70,9
|
76,8
|
54,5
|
|
Австралія і Океанія
|
0,5
|
1,2
|
0,7
|
240,0
|
0,7
|
0,9
|
0,2
|
128,6
|
58,3
|
75,0
|
|
Всього
|
101,9
|
266,1
|
164,2
|
261,1
|
128,0
|
104,8
|
-23,2
|
81,9
|
48,1
|
39,4
|
Горизонтальний аналіз проведений у
таблиці 2.7, виявив, що експорт у 2008 році у порівнянні з 2007 роком у загальному
підсумку збільшився на 45,8 млн.дол., або на 29,3%. У 2010 році виявлено
зменшення загального обсягу послуг на 0,8 млн.дол., або на 0,5% у підсумку до
2009 року. За базовий рік візьмемо 2008 рік та проаналізуємо данні. Експорт
послуг у 2009 році до 2008 року зменшився на 12,6%, у 2010 році - на 12%, таким
чином можна зробити висновок, що експорт послуг після значного зменшення у 2009
році, у 2010 році зменшується але значно повільніше.
Аналіз імпорту визначив, що у 2009
році обсяг складав лише 48,1% від 2008 року, у 2010 році спостерігається
погіршенн ситуації - обсяг імпорту склав 39,4% від 2008 року. Аналіз визначив,
що для Запорізького регіону найбільш вдалим був 2008 рік, як по експорту, так і
по імпорту послуг.
Для визначення питомої ваги у вертикальній
структурі необхідно провести вертикальний аналіз експорту-імпорту послуг
Запорізького регіону в розрізі географічної структури за 4 роки (табл.2.8), що
дасть нам можливість визначитись з пріоритетними напрямами експортно-імпортних
зв’язків.
Таблиця 2.8
Вертикальний аналіз географічної
структури експорту-імпорту послуг Запорізького регіону за 2007-2010 роки,
млн.дол.
|
Країни/ континенти
|
Експорт
|
|
Роки
|
|
2007
|
%
|
2008
|
%
|
2009
|
%
|
2010
|
%
|
|
Країни СНД
|
57,7
|
37,0
|
83,5
|
41,4
|
71,4
|
40,5
|
83,5
|
47,6
|
|
Європа
|
30,3
|
19,4
|
30
|
14,9
|
26,3
|
14,9
|
24,9
|
14,2
|
|
Азія
|
50,3
|
32,2
|
65,3
|
32,3
|
56,2
|
31,9
|
49,6
|
28,2
|
|
Африка
|
11,3
|
7,2
|
12
|
5,9
|
13,2
|
7,5
|
5,7
|
3,2
|
|
Америка
|
6
|
3,8
|
10,9
|
5,4
|
9
|
5,1
|
11,7
|
6,7
|
|
Австралія і Океанія
|
0,5
|
0,3
|
0,2
|
0,1
|
0,3
|
0,2
|
0,2
|
0,1
|
|
Всього
|
156,1
|
100
|
201,9
|
100
|
176,4
|
175,6
|
100
|
|
Країни/ континенти
|
Імпорт
|
|
Роки
|
|
2007
|
%
|
2008
|
%
|
2009
|
%
|
2010
|
%
|
|
Російська Федерація
|
13,7
|
13,4
|
26,6
|
10,0
|
17,5
|
13,7
|
22,1
|
21,1
|
|
Європа
|
40,7
|
39,9
|
160,3
|
60,2
|
38,2
|
29,8
|
19,7
|
18,8
|
|
Азія
|
31,7
|
31,1
|
66,8
|
25,1
|
63
|
49,2
|
56
|
53,4
|
|
Америка
|
15,3
|
15,0
|
11,2
|
4,2
|
8,6
|
6,7
|
6,1
|
5,8
|
|
Австралія і Океанія
|
0,5
|
0,5
|
1,2
|
0,5
|
0,7
|
0,5
|
0,9
|
0,9
|
|
Всього
|
101,9
|
100
|
266,1
|
100
|
128
|
100,0
|
104,8
|
100,0
|
Аналіз визначив, що найбільшу питому
вагу у експорті послуг має Країни СНД протягом всього досліджуваного періоду.
Найменший показник 37% у 2007 році, найбільший у 2010 році - 47,6%, але в
абсолютному значенні у порівнянні з 2008 роком Країни СНД мають однаковий обсяг
- 83,5 млн.дол. На другому місті Азія - питома вага від 32,3% до 28,2% - має
тенденцію до зменшення у 2010 році. На третьому місті Європа - її показник
питомої ваги від 19,4% до 14,2%, також має тенденцію до зменшення. Експорт
послуг Америки, Австралії та Океанії мають незначну питому вагу від 0% до 6,7%
та суттєвого значення на загальний обсяг експорту послуг не мають.
З аналізу імпорту видно, що
найбільша питома вага була у 2008 році в Європі, та склала 60,2% від загального
обсягу імпорту послуг, у 2007 році вона також мала переважне значення, але
протягом 2009-2010 років зменшила обсяги імпорту, що вплину на питому вагу. Так
у 2009 році питома вага Європи - 28,9% у 2010 році - 18,8%. За рахунок цього
фактора збільшилась питома вага Азії. Аналіз визначив, стрімке збільшення
обсягів Азії у 2008 році в абсолютному значенні, починаючи з 2009 року
абсолютне значення зменшується, але питома вага збільшується. Так станом на
кінець 2010 року питома вага Азії складає 53,4% від загального обсягу імпорту.
Питома вага Російської Федерації має тенденцію коливань з 10% у 2008 році до
21,1% у 2010 році. Імпорт послуг Америки, Австралії та Океанії мають незначну
питому вагу від 0% до 6,7% та суттєвого значення на загальний обсяг експорту
послуг не мають.
Крім товарів та послуг до
зовнішньоекономічної діяльності відносяться прямі іноземні інвестиції. Пряма
іноземна інвестиція - це інвестиція, що передбачає довгострокові
взаємовідносини, які відображають тривалу зацікавленість іноземного інвестора і
резидентському підприємстві в економіці країни, яка є країною інвестора Метою
прямого інвестора є суттєвий вплив на управління підприємством-резидентом.
Розподіл обсягів прямих іноземних
інвестицій в область станом на 01.01.2011 рік наведено в таблиці 2.9.
Таблиця 2.9
Обсяги прямих іноземних інвестицій в
область на 01.01.2011 рік
|
Країна
|
Млн.дол. США
|
%
|
|
1
|
2
|
3
|
|
Кіпр
|
352,4
|
37,5
|
|
Швеція
|
176,3
|
18,8
|
|
Корея
|
150
|
16
|
|
Естонія
|
34,6
|
3,7
|
|
Швейцарія
|
34,4
|
3,7
|
|
Данія
|
29,8
|
3,2
|
|
Сполучене Королівство
|
26,7
|
2,8
|
|
Словаччина
|
21,2
|
2,3
|
|
Ірландія
|
18,8
|
2
|
|
Австрія
|
14,6
|
1,5
|
|
Франція
|
12,3
|
1,3
|
|
Інші країни
|
68,8
|
7,2
|
|
Всього
|
939,9
|
100
|
Таким чином, загальний обсяг прямих
іноземних інвестицій у Запорізьку область складає 939,9 млн.дол. найбільші
інвестицій у Кіпру - 352,4 млн.дол. оскільки данні про інвестиції підраховують
з 1994 року, то ці данні наведено наростаючим підсумком з початку інвестування.
Таком суттєвий вплив на обсяг інвестування вносять Швеція (176,3 млн.дол.) та
Корея (150,0 млн.дол.) інші країни мають менше 34 млн.дол. інвестування в
Запорізький регіон. На рисунку 2.9 визначимо питому вагу країн в обсязі
інвестування станом на 01.01.2011 рік.
Рис.2.9 Питома вага країн в обсязі
інвестування на 01.01.2011 рік
Питома вага обсягу прямих інвестицій
Кіпру складає 37,5%, Швеції - 18,8%, Кореї - 16,0%, Естонія та Швеція має
однакову питому вагу - по 3,7%, Данія 3,2%, Сполучене Королівство 2,8%, Словаччина
- 2,3%, інші країни менше 2 млн.дол.
Для визначення динаміки прямих
іноземних інвестицій скористаємось статистичними даними за 4 роки (табл.2.10).
Таблиця 2.10
Прямі іноземні інвестиції, млн.дол.
|
Роки
|
Нарастаючим підсумком
|
За рік
|
|
01.01.2008
|
761,4
|
212,9*
|
|
01.01.2009
|
840,6
|
79,2
|
|
01.01.2010
|
872,1
|
31,5
|
|
01.01.2011
|
939,9
|
67,8
|
|
Всього
|
|
391,4
|
*Попередній період станом на
01.01.2006 рік
З таблиці 2.10 видно, що загальна
сума прямих інвестицій у Запорізьку область склали 391,4 млн.дол. В таблиці
2.11 проведемо аналіз.
Рисунок 2.10 відображає динаміку
прямих іноземних інвестицій у Запорізьку область за період з 01.01.2008 року до
01.01.2011 рік.
Рис.2.10 Динаміка прямих іноземних
інвестицій у Запорізьку область
Таблиця 2.11
Аналіз прямих інвестицій у
Запорізьку область
|
Показник
|
Період
|
Відхилення
|
Період
|
Відхилення
|
|
01.01.2008
|
01.01.2009
|
+/-
|
%
|
01.01.2010
|
01.01.2011
|
+/-
|
%
|
|
Прямі іноземні інвестиції, млн.дол.
|
212,9
|
79,2
|
-133,7
|
37,2
|
31,5
|
67,8
|
36,3
|
215,2
|
З таблиці 2.11 видно, що станом на
01.01.2009 рік спостерігається зменшення прямих іноземних інвестицій на 133,7
млн.дол., що склало 37,2% від попереднього періоду. Станом на 01.01.2011 рік
інвестиції збільшились на 36,3 млн.дол. або на 115,2%. Аналіз визначив,
зменшення інвестицій на 01.01.2010 року, що спричинено кризовим становищем в
країні (рис.2.10).
2.3 Аналіз
спеціалізації Запорізького регіону
Аналіз спеціалізації Запорізького
регіону має значне значення як для аналізу зовнішньоекономічної діяльності
області, так і для визначення пріоритетних напрямків зовнішньої торгівлі.
Проведемо аналіз товарної структури
зовнішньої торгівлі товарами області за 2008-2010 роки (табл.2.12).
Таблиця 2.12
Аналіз товарної структури експорту
зовнішньої торгівлі товарами Запорізької області за 2007-2010 роки, млн.дол.
|
Товари
|
2007
|
%
|
2008
|
%
|
2009
|
%
|
2010
|
%
|
|
1
|
2
|
3
|
4
|
5
|
6
|
7
|
8
|
9
|
|
Усього
|
4324,80
|
100,00
|
5370,00
|
100,00
|
2716,8
|
100,00
|
3210,00
|
100
|
|
в тому числі
|
|
|
|
|
|
|
|
|
|
Жири та олії
|
102,2
|
2,4
|
140,7
|
2,6
|
56,4
|
2,1
|
79,70
|
2,5
|
|
Готові харчові продукти
|
64,6
|
1,5
|
88,2
|
1,6
|
68,4
|
2,5
|
75,30
|
2,3
|
|
Мінеральні продукти
|
175,5
|
4,1
|
240,7
|
4,5
|
139,1
|
5,1
|
161,90
|
5,0
|
|
Продукція хімічної та пов'язаних з нею галузей
промисловості
|
108,6
|
2,5
|
133,6
|
2,5
|
75,4
|
2,8
|
97,60
|
3,0
|
|
Вироби з каменю, гіпсу, цементу, кераміки,
скла
|
30,7
|
0,7
|
35
|
0,7
|
22,5
|
0,8
|
26,20
|
0,8
|
|
Недорогоцінні метали та вироби з них
|
2339,30
|
54,1
|
2844,1
|
53,0
|
1215,5
|
44,7
|
1627,10
|
50,7
|
|
Механічне обладнання, машини та механізми,
електрообладнання та їх частини; пристрої для записування або відтворення
зображення і звуку
|
800,6
|
18,5
|
1049,1
|
19,5
|
927,3
|
34,1
|
890,30
|
27,7
|
|
Транспортні засоби та шляхове обладнання
|
559,4
|
12,9
|
733,9
|
13,7
|
147,8
|
5,4
|
17,60
|
0,5
|
|
|
|
|
|
|
|
|
|
|
|
Оскільки товарна структура
складається із 100 найменувань, яка поділена на 23 групи, скористаємось
фільтром, та проаналізуємо найбільш впливові товари.
При аналізі таблиці 2.12,
з’ясувалось, що найбільш питому вагу у 2007 році займає експорт недорогоцінних
металів та виробів з них - 54,1%, у 2008 році - 53%, у 2009 році 44,7%, у 2010
році 50,7%.
Механічне обладнання на другому
місці протягом всього досліджуваного періоду. Так у 2007 році питома вага
складає - 18,5% від загального експорту, у 2008 році - 19,5%, у 2009 році -
31,1%, у 2010 році - 27,7%.
Протягом 2007 -2009 років третю
сходинку займають транспортні засоби та шляхове обладнання. У 2010 році третю
сходинку зайняли мінеральні продукти. Інші товари питому вагу мають не значну,
але мають вплив на загальний обсяг експорту товарами Запорізького регіону
(рис.2.11).
Рис.2.11 Питома вага основних
експортних товарів Запорізької області за 2007-2010 роки
Згідно статистичних даних як
Запорізького регіону, так і по України, та і в інших багатьох країнах імпорт
завжди менше експорту.
Проведемо аналіз товарної структури
зовнішньої торгівлі товарами області за 2008-2010 роки (табл.2.13).
Аналіз імпорту зовнішньої торгівлі
товарами визначив, що у 2007 та 2008 роках найбільш питому вагу мають
транспортні засоби та шляхове обладнання - 38,9% та 35,1%, починаючи з 2009
року значне зниження питомої ваги до 6,8% (2009 рік) та 4,4% (2010 рік).
Таблиця 2.13
Аналіз товарної структури імпорту
зовнішньої торгівлі товарами Запорізької області за 2007-2010 роки, млн.дол.
|
Товар
|
2007
|
%
|
2008
|
%
|
2009
|
%
|
2010
|
%
|
|
Усього
|
3414
|
100,00
|
3591
|
100,00
|
1146,6
|
100,00
|
1362,9
|
100
|
|
в тому числі
|
|
|
|
|
|
|
|
|
|
Живі тварини
|
54,0
|
1,6
|
86,6
|
2,4
|
80,2
|
7,0
|
96,4
|
7,1
|
|
Жири та олії
|
14,8
|
0,4
|
38,2
|
1,1
|
9,4
|
0,8
|
17,4
|
1,3
|
|
Мінеральні продукти
|
326,0
|
9,5
|
370,3
|
10,3
|
201,3
|
17,6
|
331,2
|
24,3
|
|
Продукція хімічної промисловості
|
113,6
|
3,3
|
111,0
|
3,1
|
84,3
|
7,4
|
80,9
|
5,9
|
|
Полімерні матеріали, пластмаси та каучук
|
123,2
|
3,6
|
87,7
|
2,4
|
34,2
|
3,0
|
2,7
|
|
Маса з деревини
|
23,6
|
0,7
|
13,2
|
0,4
|
7,4
|
0,6
|
10,5
|
0,8
|
|
Текстиль та вироби з текстилю
|
25,5
|
0,7
|
24,7
|
0,7
|
9,5
|
0,8
|
12,8
|
0,9
|
|
Вироби з каменю, гіпсу, цементу, кераміки,
скла
|
40,9
|
1,2
|
47,3
|
1,3
|
19,9
|
1,7
|
27,3
|
2,0
|
|
Недорогоцінні метали та вироби з них
|
491,2
|
14,4
|
546,8
|
15,2
|
286,5
|
25,0
|
373,8
|
27,4
|
|
Механічне обладнання, машини та механізми та
ін.
|
727,0
|
21,3
|
881,3
|
24,5
|
273,3
|
23,8
|
257,4
|
18,9
|
|
Транспортні засоби та шляхове обладнання
|
1328,5
|
38,9
|
1259,1
|
35,1
|
77,9
|
6,8
|
60,2
|
4,4
|
|
Прилади і апарати оптичні, для фотографування
|
101,1
|
3,0
|
79,7
|
2,2
|
40,1
|
3,5
|
38,88
|
2,9
|
У 2009 та 2010 роках на перше місце
вийшли недорогоцінні метали та вироби з них - 25,0% та 27,4%, хоча у попередніх
роках імпорт займав третє місце у зовнішній торгівлі товарами. Найбільш
стабільним показником питомої ваги в обсязі імпорту протягом досліджуваного
періоду, являється механічне обладнання, машини та механізми від 18,9% до
24,5%. Наступним впливовим товаром являється мінеральні продукти від 9,5% до
24,3%. Інші товари мають питому вагу від 0,8% до 7,4% вплив мають кількісний.
Динаміка імпорту за видами товарів
наведена на рисунку 2.12
Рис.2.12 Динаміка імпорту за видами
товарів
Динаміка виявила, що найбільш
привабливими товарами зовнішньої торгівлі Запорізької області це транспортні
засоби, механічне обладнання, недорогоцінні метали та мінеральні продукти.
Проаналізуємо надання послуг по
видам (табл.2.14, рис.2.13).
Таблиця 2.14
Аналіз експорту послуг по видам,
млн.дол.
|
Послуга
|
2007
|
%
|
2008
|
%
|
2009
|
%
|
2010
|
%
|
|
1
|
2
|
3
|
4
|
5
|
6
|
7
|
8
|
9
|
|
Усього
|
156
|
100,0
|
202
|
100,0
|
176,3
|
100,0
|
175,6
|
100
|
|
у тому числі
|
|
|
|
|
|
|
|
|
|
послуги, пов'язані з будівництвом
|
1,1
|
0,7
|
5,2
|
2,6
|
5,8
|
3,3
|
2,2
|
1,3
|
|
послуги в обробній промисловості
|
99
|
63,5
|
118,4
|
58,6
|
103,1
|
58,5
|
112,9
|
64,3
|
|
транспортні послуги
|
25,9
|
16,6
|
28,3
|
14,0
|
24,7
|
14,0
|
18,3
|
10,4
|
|
послуги, пов'язані з фінансовою діяльністю
|
5,3
|
3,4
|
4,9
|
2,4
|
2,4
|
1,4
|
2,5
|
1,4
|
|
|
послуги в операціях з нерухомістю, здаванням
під найм та послуги юридичним особам
|
18,8
|
12,1
|
38,2
|
18,9
|
35,7
|
20,2
|
34,4
|
19,6
|
|
|
|
|
|
|
|
|
|
|
|
|
|
|
|
|
|
|
|
З таблиці 2.14 видно, що найбільшу
питому вагу займають послуги в оборонній промисловості від 58,5% у 2009 році до
64,3% у 2010 році (рис.2.13).
Рис. 2.13 Динаміка експорту послуг
по видам
На другому місці починаючи з 2008
року послуги в операціях з нерухомістю, здаванням під найм та послуги юридичним
особам від 18,9% (2008 рік) до 20,2% (2009 рік). Суттєво на структуру експорту
послуг впливає транспортні послуги від 16,6% (2007 рік) до 10,4% (2010 рік) -
тенденція до зниження як питомої ваги, так і у абсолютних значеннях. Інші
послуги мають незначну питому вагу в обсягах експорту по роках.
Аналіз динаміки імпорту послуг
наведено в таблиці 2.15 та на рис.2.14.
Таблиця 2.15
Аналіз імпорту послуг по видам,
млн.дол.
|
Послуга
|
2007
|
%
|
2008
|
%
|
2009
|
%
|
2010
|
%
|
|
Усього
|
104,9
|
100,00
|
269,2
|
100,00
|
132,2
|
100,00
|
108,2
|
100
|
|
у тому числі
|
|
|
|
|
|
|
|
|
|
послуги в обробній промисловості
|
10
|
9,5
|
20,7
|
7,7
|
8,1
|
6,1
|
4,8
|
4,4
|
|
послуги, пов'язані з оптовою та роздрібною
торгівлею; торгівлею транспортними засобами; послуги з ремонту
|
16,7
|
15,9
|
19,9
|
7,4
|
8,9
|
6,7
|
21,9
|
20,2
|
|
транспортні послуги
|
12
|
11,4
|
50,2
|
18,6
|
16,7
|
12,6
|
12,1
|
11,2
|
|
послуги, пов'язані з фінансовою діяльністю
|
17,3
|
16,5
|
36,4
|
13,5
|
16,1
|
12,2
|
5,6
|
5,2
|
|
послуги в операціях з нерухомістю, здаванням
під найм та послуги юридичним особам
|
38,5
|
36,7
|
104,9
|
39,0
|
34,1
|
25,8
|
19
|
17,6
|
|
послуги, пов'язані з державним управлінням
|
7,3
|
7,0
|
34,7
|
12,9
|
47,4
|
35,9
|
43,1
|
39,8
|
За даними таблиці 2.15 всі види
послуг які імпортуються мають впливове значення. Так, значним визначено 2008
рік, коли всі послуги мали найбільше значення, крім послуг з державного
управління.
Рис. 2.14 Динаміка імпорту послуг по
видам
З рисунка 2.14 видно, динаміку по
роках та в розрізі видів імпорту послуг. Так, послуги оптовою та роздрібною
торгівлею протягом досліджуваного періоду мають тенденцію до збільшення, окрім
2009 року. Послуги фінансової діяльності після 2008 року зменшуються, як і всі
останні види , окрім послуг пов’язаних з державним управлінням.
Таким чином, аналіз динаміки імпорту
спеціалізації видів послуг, визначило, що найбільш привабливими видами послуг
пов’язаних з державним управлінням та оптово-роздрібна торгівля.
.4
Оцінка ефективності
зовнішньоторговельного обороту Запорізького регіону та виявлення недоліків
зовнішньоторговельної політики
Оцінку ефективності
зовнішньоторговельної політики торгівельно-економічного регіону Запорізької
області можна провести за наведеними формулами в пункті 1.3, але тільки
стосовно регіону. Данні для аналізу наведені в пунктах 2.1 та 2.2.
Загальний обсяг експорту та імпорту
наведений в таблиці 2.16
Таблиця 2.16
Загальний обсяг експорту та імпорту
2007-2010 років, млн.дол.
|
Показник
|
2007
|
2008
|
|
Товари
|
Послуги
|
Разом
|
Товари
|
Послуги
|
Разом
|
|
Експорт
|
4324,80
|
156,1
|
4480,90
|
5370,00
|
201,9
|
5571,90
|
|
Питома вага
|
96,5
|
3,5
|
100,00
|
96,4
|
3,6
|
100,00
|
|
Імпорт
|
3414
|
101,9
|
3515,90
|
3591
|
266,1
|
3857,10
|
|
Питома вага
|
97,1
|
2,9
|
100,00
|
93,1
|
6,9
|
100,00
|
|
Показник
|
2009
|
2010
|
|
Товари
|
Послуги
|
Разом
|
Товари
|
Послуги
|
Разом
|
|
Експорт
|
2716,80
|
176,4
|
2893,20
|
3210,00
|
175,6
|
3385,60
|
|
Питома вага
|
93,9
|
6,1
|
100,00
|
94,8
|
5,2
|
100,00
|
|
Імпорт
|
1146,6
|
128
|
1274,60
|
1362,9
|
104,8
|
1467,70
|
|
Питома вага
|
90,0
|
10,0
|
100,00
|
92,9
|
7,1
|
100,00
|
З таблиці 2.16 наведено узагальнений
обсяг експорту та імпорту товарів та послуг. Аналіз даних показників не
проводимо, оскільки дана таблиця наведена, як допоміжна. Тенденція експорту -
імпорту Запорізького регіону у більшій мірі залежить від товарів, оскільки
більш питому вагу займають у загальному експорті та імпорті області. Так у 2007
році питома вага експорту товарів складала 96,5% послуг - 3,5%, питома вага
імпорту товарів - 97,1%, послуг - 2,9%, у 2008 році питома вага експорту
товарів складала 96,4% послуг - 3,6%, питома вага імпорту товарів - 93,1%,
послуг - 6,9%, у 2009 році - питома вага експорту товарів складала 93,9% послуг
- 6,1%, питома вага імпорту товарів - 90,1%, послуг - 10%, у 2010 році питома
вага експорту товарів складала 94,8% послуг - 5,2%, питома вага імпорту товарів
- 92,9%, послуг - 7,1%.
Визначимо показники інтенсивності
міжнародної торгівлі, для цього узагальнимо необхідні дані для аналізу, базовим
періодом обираю 2008 рік (табл.2.17, рис.2.15).
Таблиця 2.17
Вихідні дані для аналізу показників
інтенсивності міжнародної торгівлі
|
Показник
|
Роки
|
відхилення
|
|
2007
|
2008
|
2009
|
2010
|
млн.дол/тис.осіб
|
|
|
|
|
|
2008 до 2007
|
2009 до 2008
|
2010 до 2009
|
|
Експорт
|
4480,90
|
5571,90
|
2893,2
|
3385,60
|
1091,00
|
-2678,7
|
492,4
|
|
Імпорт
|
3515,90
|
3857,10
|
1274,6
|
1467,70
|
341,20
|
-2582,5
|
193,1
|
|
Зовнішньо-торговельний оборот
|
7996,8
|
9429,0
|
4167,8
|
4853,3
|
1432,20
|
-5261,2
|
685,5
|
|
Населення
|
1833
|
1812
|
1802
|
-12,00
|
-9,0
|
-10,0
|
З таблиці 2.17 видно, що у
порівнянні з 2007 роком у 2008 році відбулося збільшення експорту на 1 091
млн.дол. та імпорту на 341,2 млн.дол. У порівнянні з 2008 роком у 2009 році
спостерігається значне зменшення експорту на 2678,7 млн.дол. та імпорту на
2582,5 млн.дол. У 2010 році експорт складає 3385,6 млн.дол., що на 492,4
млн.дол. більше ніж у 2009 році, імпорт складає 1467,7 млн.дол., що на 193,1
млн.дол. більше ніж у 2009 році.
Рис.2.15 Порівняння експорту та
імпорту 2007-2010 роки, млн.дол.
Графік на рисунку 2.15 відображає
майже однакові криві експорту та імпорту, у 2010 році спостерігається незначне
поліпшення ситуації у регіоні. Завдання зовнішньоторговельної політики
Запорізького регіону і надалі поліпшувати дані показники, які у загальному
обсязі впливають на загальний зовнішньоторговельний оборот регіону та країни.
За допомогою формули 1.8 розрахуємо
та проаналізуємо показники інтенсивності міжнародної торгівлі Запорізької
області.
Показник інтенсивності експорту:

=2,44

=3,06

=1,6

=1,88
Аналіз показників
інтенсивності експорту, визначив, що до 2008 року відбувалося поступове
збільшення цього показника, а у 2009 році значний спад до 1,6 пункту, у 2010
році спостерігається поліпшення ситуації, але не значне (Ед=1,88)
Показник інтенсивності
імпорту:
Аналіз показників
інтенсивності імпорту визначив, що до 2008 року відбувалося збільшення, у 2009
році значний спад до 0,7 пункту, у 2010 році спостерігається поліпшення
ситуації, але не значне (Ід=0,81).
Показник інтенсивності
зовнішньоторговельного обороту Запорізького регіону:
Інтенсивність
зовнішньоторговельного обороту Запорізького регіону відображає загальну
тенденцію зовнішньоторговельної політики, тобто спостерігається підвищення у
2008 році, спад у 2009 році, незначне поліпшення ситуації у 2010 році. На всі
показники інтенсивності вплинула загальна криза.
Отримані дані узагальнимо в
таблиці 2.18.
Таблиця 2.18
Аналіз показників
інтенсивності міжнародної торгівлі
|
Показник
|
Роки
|
відхилення
|
|
2007
|
2008
|
2009
|
2010
|
2008 до 2007
|
2009 до 2008
|
2010 до 2009
|
|
Показник інтенсивності експорту
|
2,44
|
3,06
|
1,60
|
1,88
|
0,62
|
-1,5
|
0,3
|
|
Показник інтенсивності імпорту
|
1,92
|
2,12
|
0,70
|
0,81
|
0,20
|
-1,4
|
0,1
|
|
Показник інтенсивності зовнішньоторговельного
обороту
|
4,36
|
5,18
|
2,30
|
2,69
|
0,82
|
-2,9
|
0,4
|
З таблиці 2.18 видно, що показники
інтенсивності експорту, імпорту та зовнішньоторговельного обороту мають таку ж
саму тенденцію, як і в загалі зовнішньоторговельна торгівля Запорізького
регіону. Спостерігається нормальний показник у 2007 році, збільшення у 2008
році, значний спад у 2009 році та невелике поліпшення у 2010 році. (рис.2.16).
Рис.2.16 Аналіз динаміки показників
інтенсивності
З аналізу динаміки показників
інтенсивності, видно значний спад у 2009 році у порівнянні з 2008 роком та
поліпшення ситуації у 2010 році.
Наступним кроком проаналізуємо
експортну та імпортну квоту Запорізького регіону, для цього користуючись
статистичними даними Головного управління статистики в Запорізькій області
визначимо ВРП (табл.2.19).
Таблиця 2.19
Валовий регіональний продукт
Запорізького регіону за 2007-2010 рр.
|
Показник
|
Роки
|
відхилення
|
|
2007
|
2008
|
2009
|
2010
|
2008 до 2007
|
2009 до 2008
|
2010 до 2009
|
|
ВРП, млн.грн.
|
33158,0
|
42445,0
|
37446,0
|
39502,0
|
9287,0
|
-4999,0
|
2056,0
|
|
ВРП, млн.дол.*
|
5526,3
|
5305,6
|
4680,8
|
4937,8
|
-220,7
|
-624,9
|
257,0
|
*Примітка. У 2007 році курс дол.
прийнятий 5,00 грн. за 1$,
2008-2010 роки курс дол. прийнятий 8,00 грн. за 1$
Експортну квоту розрахуємо за
формулою 1.9, але замість ВВП використовуємо ВРП Запорізького регіону та
таблицею 2.19.

%

%
Експортна квота відображає
загальний стан зовнішньоторговельного обороту, а саме: 2007-2008 роки поступове
збільшення, у 2009 році значне зменшення на 40%, у 2010 році збільшення на 7%.
Імпортна квота розраховується
за формулою 1.10 (замість ВВП використовуємо ВРП Запорізького регіону ) та
таблицею 2.19

%

%
Аналіз імпортної квоти
визначив, динаміку коливання, найбільший показник у 2008 році 72,7% найменший у
2009 році - 27,23%.
Аналітичним показником
зазначених щойно співвідношень є коефіцієнт покриття Kп імпорту І експортом Е:

(2.1)
Якщо Kп більший від 1, то
зовнішньоторговельний баланс називається активним; якщо Kп менший від 1, то
баланс називається пасивним. Таким чином з розрахунків видно, що протягом
досліджуваного періоду зовнішньоторговельний баланс Запорізького регіону є
активним, та має тенденцію до збільшення.
Економіка країни, що бере
участь у міжнародній торгівлі, називається відкритою. Одним із аналітичних
узагальнювальних показників вимірювання відкритості економіки є коефіцієнт
відкритості економіки, який розраховується за формулою:

(2.2)
Чим вищий коефіцієнт
відкритості економіки, тим вищий ступінь залежності країни від зовнішньоекономічних
зв’язків. Якщо коефіцієнт відкритості економіки для країн Західної Європи та
Східної Азії становить 0,500, або 50% відповідного ВВП, то для України в 1998
році цей коефіцієнт дорівнював 0,860, або 86 %. Але коефіцієнт відкритості за
окремими галузями економіки України значно коливається: від 1,930 для
промисловості до 0,083 для будівництва за цей самий період.
Оскільки я аналізую
Запорізький регіон, то цю формулу можна застосувати до регіону використовуючи
валовий регіональний продукт:

(2.3)
Таким чином, аналіз виявив,
що у 2007-2008 роках залежність Запорізького регіону від зовнішньоекономічних
зв’язків складає 1,45, або 145% та 1,78 або 178%, що є негативним чинником. У
2009 та 2010 роках коефіцієнт відкритості економіки складає 0,89 або 89% та
0,98 або 98% відповідно, тобто Запорізький регіон знизив залежність від
зовнішньоекономічних зв’язків.
Оцінка ефективності
зовнішньоекономічної діяльності ґрунтується на внеску цього виду діяльності у
зростання макроекономічного попиту і кількісно виражається абсолютним річним
значенням чистого експорту (експорт мінус імпорт, що є сальдо платіжного
балансу) та показником частки чистого експорту у валовому внутрішньому
продукті, або коефіцієнтом локалізації Kеф.

(2.4)
Розрахунки визначили, що за
зазначений період для економіки Запорізького регіону зовнішньоекономічна
діяльність була ефективною.
Зовнішньоторговельна
діяльність Запорізької області відбулася під впливом таких основних чинників,
як суттєве скорочення виробництва і внутрішнього споживання продукції
виробничо-технічного та споживчого призначення, поглиблення економічної кризи в
пострадянських країнах, що, зокрема, зумовило різке обмеження доступу
вітчизняної продукції на ринки цих країн, значну залежність Запорізької області
від критичного імпорту ряду сировинних ресурсів, передусім
паливно-енергетичних. Під впливом зазначених чинників вітчизняні
товаровиробники переорієнтувалися з ринків збуту в межах пострадянських країн
на ринки збуту продукції в країнах далекого зарубіжжя, одночасно зменшувались
обсяги внутрішнього споживання.
Ситуацію погіршила світова
економічна криза 2008-2010 pp. Значно знизився попит на основні статті
українського експорту, насамперед на металургійну продукцію, почали звужуватися
традиційні для українського виробника російські ринки; на динаміку зовнішньої
торгівлі України помітно вплинуло впровадження жорсткого адміністративного
контролю на валютному ринку, в свою чергу, внутрішня фінансова криза знизила
потенціал підприємств-експортерів.
Основною проблемою
експорто-спрямованих підприємств залишається несвоєчасне відшкодування податку
на додану вартість, що відволікає обігові кошти та заважає динамічному розвитку
підприємств.
Металургійний комплекс
регіону залишається найбільш вагомою галуззю в промисловості області. Якщо в
1990 році її питома вага складала 26,8%, то останнім часом - близько 40%. Але
не перший рік іде розмова, що слід також змінити орієнтири розвитку
металургійної промисловості, яка має відсталі технології (наприклад, мартени).
Конвертори, стани з безперервною розливкою металу колись були гордістю
Радянського Союзу, але не стали першочерговою задачею наших металургів. І, як
наслідок, автомобілебудування вже давно чекає на впровадження сучасних
металургійних технологій, які забезпечать виготовлення конкурентоспроможної
продукції для них. Отже, основним стратегічним напрямом розвитку промисловості
області є модернізація промислових об’єктів (в першу чергу машинобудівної та
обробної галузей) для досягнення конкурентоспроможності товарів і послуг на
світовому ринку.
Легка промисловість. За
кордоном головним наповнювачем бюджету (на рівні 60%) є малі і середні
підприємства, а в нас це - крапля в морі. Найбільшу питому вагу в легкій
промисловості займало й займає виробництво готового одягу (десь близько 76%
всієї продукції легкої промисловості). Галузь потребує структурного
вдосконалення, створення інституційних та економічних умов для поглиблення
вертикальної інтеграції виробництва, у тому числі із залученням іноземних
інвестицій, розширення мережі оптової та фірмової торгівлі, зміцнення
маркетингових служб підприємств, стимулювання розвитку малого підприємництва,
вжиття заходів щодо “детінізації” виробництва і збуту продукції.
Проблеми інвестування.
Незважаючи на промислову міць регіону, за останні кілька років у самому
Запоріжжі, по великому рахунку, не реалізували жодного великого інвестиційного
проекту. Причин тому декілька. Одна з них - відсутність у місті реальної влади.
Незважаючи на різношерстість політичного складу, депутати міськради практично
одноголосно голосували за будівництво мостових переходів, що після візиту
президента на Хортицю знову стало приводом для спекуляцій.
Проблему залучення інвестицій
у Запорізьку область (утім, це стосується і всієї країни) не вирішити тільки
об'єднанням регіональної бізнес-еліти. Переділ власності в країні не обійшов і
місцеві підприємства. Невизначена метушня навколо Залка, "Коксохіма",
"Дніпроенерго", а зі свіжих віянь - перспектива реприватизації
Запорізького феросплавного заводу - не додають потенційним інвесторам
впевненості в завтрашньому дні. Для планомірного перспективного розвитку
потрібна стабільність, що гарантує влада. Без її, при всіх достоїнствах регіону,
серйозних інвесторів не залучити.
Якщо розглядати сучасні
економічні проблеми, які треба вирішити першочергово, то слід, виходячи з
досвіду західних держав, прискорити розвиток машинобудівної галузі в напрямку
започаткування серійного випуску імпорто-замінної продукції в таких сферах
виробництва, як побутова техніка, в легкій та харчовій промисловості та
підтримати на належному рівні пріоритетні машинобудівні підприємства області, а
потім уже слід зосередити увагу на інших галузях.
Таким чином у другому розділі
дипломної роботи проаналізовано стан зовнішньоекономічної політики Запорізького
регіону. По результатам нашого дослідження визначено, що Запорізький регіон має
великий потенціал та можливості щодо зовнішньоторговельного обороту. Аналіз
географічної структури та динаміки експорту товарів визначив, що протягом
1996-2003 року в розрізі континентів не змінювався, був на низькому рівні.
Починаючи з 2003 року до 2008 включно, спостерігається стрімке збільшення
експорту товарів у Країнах СНД, у 2009 році стрімке падіння до обсягів 2006
року, у 2010 році поліпшення ситуації, але не значне.
З 2004 року збільшується
обсяги імпорту товарів повільними темпами, стрімке збільшення у 2007 році - до
3413,9 млн.дол., у 2008 році незначне збільшення, як до 2007 року - 35891,1
млн.дол. 2009 рік стрімке падіння імпорту товарів до обсягу 1146,6 млн.дол.,
зменшення у 3 рази. У 2010 році повільне збільшення імпорту до обсягу 1362,9
млн.дол.
Аналіз в розрізі країн та
континентів, визначив, що переважне значення у імпорту товарами до 2001 року
мали країни СНД. У 1998-1999 роках спостерігається зменшення імпорту. З 2002
року поступове збільшення обсягів імпорту до 2006 року, а потім стрімке
збільшення у 2007-2008 роках. Та як і тенденція експорту зменшення у 2009 році
та поліпшення ситуації у 2010 році, але не значне.
У зовнішньоторговельної
діяльності Запорізького регіону крім товарів, попитом на зовнішньоекономічному
ринку користуються послуги. Аналіз досліджуваного періоду визначив спад
експорту у 1997 році який тривав, до 2000 року, до 2004 року видно повільне
збільшення до 120,2 млн. дол., що у 2 рази більше ніж у 1996 році. Протягом
2005 року бачимо незначне зменшення експорту послугами до 102,7 млн.дол. З 2006
року по 2008 рік включно спостерігається стрімке збільшення обсягу експорту
послугами (201,9 млн.дол.). Останні два роки спостерігається зменшення експорту
послугами до 175,6 млн.дол.
З аналізу імпорту послуг,
визначено, що протягом досліджуваного періоду найбільший обсяг імпорту послуг
спостерігався у 2008 році, який складав 266,1 млн.дол. у 2009 році значне
зниження до 128 млн.дол. більш ніж у двічі, що було спричинено кризовим
становищем в Україні. У 2010 році спостерігається тенденція до зменшення обсягу
імпорту.
Крім товарів та послуг до
зовнішньоекономічної діяльності відносяться прямі іноземні інвестиції.
Загальний обсяг прямих іноземних інвестицій у Запорізьку область складає 939,9
млн.дол. найбільші інвестицій у Кіпру - 352,4 млн.дол. оскільки данні про
інвестиції підраховують з 1994 року, то ці данні наведено наростаючим підсумком
з початку інвестування. Таком суттєвий вплив на обсяг інвестування вносять
Швеція (176,3 млн.дол.) та Корея (150,0 млн.дол.) інші країни мають менше 34
млн.дол. інвестування в Запорізький регіон.
Аналіз спеціалізації
Запорізького регіону, визначив, що найбільш питому вагу у 2007 році займає
експорт недорогоцінних металів та виробів з них - 54,1%, у 2008 році - 53%, у
2009 році 44,7%, у 2010 році 50,7%. Механічне обладнання на другому місці
протягом всього досліджуваного періоду. Так у 2007 році питома вага складає -
18,5% від загального експорту, у 2008 році - 19,5%, у 2009 році - 31,1%, у 2010
році - 27,7%. Протягом 2007 -2009 років третю сходинку займають транспортні
засоби та шляхове обладнання. У 2010 році третю сходинку зайняли мінеральні
продукти.
Аналіз імпорту зовнішньої
торгівлі товарами визначив, що у 2007 та 2008 роках найбільш питому вагу мають
транспортні засоби та шляхове обладнання - 38,9% та 35,1%, починаючи з 2009
року значне зниження питомої ваги до 6,8% (2009 рік) та 4,4% (2010 рік). У 2009
та 2010 роках на перше місце вийшли недорогоцінні метали та вироби з них -
25,0% та 27,4%, хоча у попередніх роках імпорт займав третє місце у зовнішній
торгівлі товарами. Найбільш стабільним показником питомої ваги в обсязі імпорту
протягом досліджуваного періоду, являється механічне обладнання, машини та
механізми від 18,9% до 24,5%. Наступним впливовим товаром являється мінеральні
продукти від 9,5% до 24,3%. Інші товари мають питому вагу від 0,8% до 7,4%
вплив мають кількісний.
Проведений аналіз надання
послуг визначив, що найбільшу питому вагу займають послуги в оборонній
промисловості від 58,5% у 2009 році до 64,3% у 2010 році На другому місці
починаючи з 2008 року послуги в операціях з нерухомістю, здаванням під найм та
послуги юридичним особам від 18,9% (2008 рік) до 20,2% (2009 рік). Суттєво на
структуру експорту послуг впливає транспортні послуги від 16,6% (2007 рік) до
10,4% (2010 рік) - тенденція до зниження як питомої ваги, так і у абсолютних
значеннях. Інші послуги мають незначну питому вагу в обсягах експорту по роках.
Аналізом динаміки по роках та
в розрізі видів імпорту послуг, визначено, що послуги оптовою та роздрібною
торгівлею протягом досліджуваного періоду мають тенденцію до збільшення, окрім
2009 року. Послуги фінансової діяльності після 2008 року зменшуються, як і всі
останні види , окрім послуг пов’язаних з державним управлінням. Таким чином,
аналіз динаміки імпорту спеціалізації видів послуг, визначило, що найбільш
привабливими видами послуг пов’язаних з державним управлінням та
оптово-роздрібна торгівля.
Показники інтенсивності
експорту, імпорту та зовнішньоторговельного обороту мають таку ж саму
тенденцію, як і в загалі зовнішньоторговельна торгівля Запорізького регіону.
Спостерігається нормальний показник у 2007 році, збільшення у 2008 році,
значний спад у 2009 році та невелике поліпшення у 2010 році.
РОЗДІЛ 3. ШЛЯХИ ТА НАПРЯМИ
ВДОСКОНАЛЕННЯ ЗОВНІШНЬОТОРГІВЕЛЬНОЇ ПОЛІТИКИ РЕГІОНУ ЗАПОРІЗЬКОЇ ОБЛАСТІ ТА
М.ЗАПОРІЖЖЯ
3.1 Аналіз
перспектив у розвитку спеціалізації Запорізького регіону
Одним із стратегічних напрямів
розвитку Запорізької області є входження її економіки в систему міжнародних і
світових господарських стосунків та нарощування експортного потенціалу.
Зовнішнє середовище для
промисловості є, з однієї сторони, несприятливим, бо Україна як держава має
оточення держав з власною високорозвиненою промисловістю. Разом з тим, з другої
сторони, - сприятливе, бо Україна має традиційно стійкий зовнішній ринок, який,
при відповідних зусиллях може бути відновлений і розширений. Останнє стосується
ринків країн СНД, Близького Сходу, Африканських і Латиноамериканських країн.
Інституціональні невідповідності
обумовлюють низьку концентрацію промислово-фінансового та комерційного натиску
на зовнішніх ринках. Ця невідповідність посилюється недостатньою захищеністю
власного виробника, малою гнучкістю та низькою ефективністю виробничої бази,
відсутністю сприятливих умов для дії зовнішніх інвесторів.
Виходячи с попереднього аналізу
внутрішніх та зовнішніх чинників складовими системної модернізації промислового
комплексу України у визначеній перспективі мають стати:
активізація і підтримка з боку
держави інноваційної спрямованості структурних перетворень за рахунок
стимулювання розвитку наукомістких і високотехнологічних галузей, особливо
машинобудівної та електронної галузях та створення на цій основі підвищення
конкурентоспроможності товарів на внутрішньому і зовнішньому ринках;
подолання ресурсовитратного
характеру виробництва на основі впровадження ресурсо- й енергозберігаючих
технологій в чорній та кольоровій металургії та стимулювання випуску продукції
з високим рівнем доданої вартості і розвитку низьковитратних виробництв;
електротехнічної та машинобудівної галузей;
формування ефективного внутрішнього
ринку, у тому числі високих технологій. Промисловість таких галузей, як
металургія та машинобудування залишається орієнтованими на пріоритетне
обслуговування зовнішнього попиту, що робить їх залежними від світової
економічної кон’юнктури і практично виключає можливість стійкого зростання;
участь підприємств м. Запоріжжя і
області в масштабних міжнародних проектах, направлених на розвиток трансферів
високих технологій та продажу ліцензій, по-перше в машинобудівній та
електронних галузях, створенні спільних підприємств з виробництва
машинобудівної та електронної продукції, що належать до п’ятого і шостого
технологічних укладів, та транснаціональних корпорацій, а також участь наших
фахівців у роботі міжнародних організацій з питань розвитку промисловості;
вступ нашої держави до СОТ, що
прискорить адаптацію промисловості до умов конкуренції на світових ринках.
Виходячи з проведеного СВОТ-аналізу
(таблиця 3.1), головна внутрішня проблема розвитку промисловості полягає в її
інституційній невідповідності сучасним вимогам та гострому дефіциті фінансових
ресурсів для її швидкого виправлення, а також відсутність дієвої системи
підтримки вітчизняного виробництва. Основні завдання структурно-інноваційних
перетворень на цьому етапі розвитку регіону полягають у реалізації існуючих
конкурентних переваг окремих виробництв та секторів, що зумовлені їх власними
досягненнями у науково-технологічному прогресі і продукція яких користується
стійким попитом на ринках.
Таблиця 3.1
Можливості та загрози потенціалу
Запорізької області
|
Сильні сторони
|
Слабкі сторони
|
Сприятливі можливості
|
Потенційні загрози
|
|
1. Висока диверсифікація підприємств 2.
Наявність металургійного комплексу зі конкретно спрямованою продукцією 3.
Сучасні і добре розвинені галузі машинобудування 4. Наявність добре
розвиненої інфраструктури 5. Значна кількість зарубіжних інвестицій припадає
на промисловість 6. Часткова наявність сировинних ресурсів 7. Можливість
створення підприємств з випуском побутової техніки та техніки для харчової
промисловості
|
1. Зростання рівня проміжного споживання 2.
Низький рівень валової доданої вартості 3. Відсутність технологій V i
V1
укладу 4. Відсутність спільних підприємств в електронній і радіо
промисловості 5. Перевищення імпорту над експортом продукції машинобудування
6. Пріоритет обслуговування зовнішнього попиту 7. Несприятлива економічна
структура, її повільні зміни, зношення основних фондів, застарілі технології
8. Недостатньо розвинуті малі та середні підприємства 9. Неефективне загальне
адміністрування, корупція 10. Слабка фінансово - кредитна інфраструктура
підприємництва
|
1. Зростання обсягів іноземних інвестицій 2.
Вступ в ЄС, СОТ
3. Можливе підвищення інноваційного потенціалу 4. Впровадження системи
соціальної відповідальності бізнесу 5. Введення такої податкової системи, як
системи стимулювання. 6. Державний протекціоналізм щодо розвитку окремих
галузей 7. Зміна рівня добробуту населення 8. Покращення демографічної
ситуації 9. Розвиток фінансово - кредитної структури та інфраструктури
підприємництва підтримки 10. Зменшення рівня безробіття
|
1. Низький рівень якості конкурентного
середовища 2. Відсутність соціальної відповідальності бізнесу 3. Відсутність
системи оцінки якості управління регіоном місцевими громадами 4. Наявність
значного запізнення щодо впливу державних установ на політику підприємств
недержавної форми власності. 5. Повільний розвиток міжнародних контактів 6.
Орієнтації окремих підприємств тільки на Росію 7. Небажання регіональної
еліти прийняти сучасну парадигму розвитку 8. Низький рівень активності
населення 9. Повільне підвищення науково - технічного потенціалу 10. Недостатня
інвестиційна активність 11. Поширення тіньового сектору в економіці 12. Спад
виробництв 13. Повільний розвиток малого і середнього бізнесу
14.
Мала
спроможність
освоєння європейських фондів підтримки підприємництва.
|
Втілення цього завдання передбачає
першочергову підтримку з боку держави розвитку наукомістких,
високотехнологічних виробництв шляхом стимулювання інвестицій і реалізації
інновацій, насамперед, у галузі машинобудування, електротехнічній і електронній
промисловості. Реалізація стратегії "інноваційного прориву", яка
базується на прискоренні науково-технологічного прогресу і приводить до
створення нових поколінь техніки та технологій, забезпечує просування в
постіндустріальному напрямі розвитку і належить до вирішальних завдань
стратегії структурних перетворень. Актуальними є питання стосовно формування
промислових кластерів, оцінки якості управління регіоном та, насамперед,
вирішення корінної проблеми усіх реформ - підвищення якості конкурентного середовища
у регіоні.
Головним напрямком розвитку
економіки Запорізького регіону, як і економіки України, є стратегія
інвестиційно-інноваційних перетворень в суспільстві і економіці, направлених на
розбудову новітньої парадигми співіснування світових економік і держав та їх
розвиток в 21 столітті. По-перше, це модернізація промислових об’єктів області
для досягнення конкурентоспроможності товарів і послуг на світовому ринку
шляхом інноваційного відтворення основних фондів, формування інвестиційного
потенціалу та підвищення інвестиційної привабливості основних галузей
промислового виробництва на основі застосування новітніх ресурсо- і
енергозберігаючих технологій; по-друге - соціальна переорієнтація промислового
комплексу, направлена на усестороннє забезпечення потреб населення області та
досягнення європейських стандартів якості життя.
Основні завдання
структурно-інноваційних перетворень на цьому етапі полягають у реалізації
існуючих конкурентних переваг окремих виробництв та секторів, що зумовлені їх
власними досягненнями у науково-технологічному прогресі і продукція яких
користується стійким попитом на ринках. Втілення цього завдання передбачає
першочергову підтримку з боку держави розвитку наукомістких,
високотехнологічних виробництв шляхом стимулювання інвестицій і реалізації
інновацій, насамперед, у галузі машинобудування, електротехнічній і електронній
промисловості. Реалізація стратегії "інноваційного прориву", яка
базується на прискоренні науково-технологічного прогресу і приводить до
створення нових поколінь техніки та технологій, забезпечує просування в
постіндустріальному напрямі розвитку і належить до вирішальних завдань
стратегії структурних перетворень. Актуальними є питання стосовно формування
промислових кластерів, оцінки якості управління регіоном та вирішення корінної
проблеми усіх реформ - підвищення якості конкурентного середовища у регіоні.
Насамперед, найактуальнішими на
теперішній час питаннями є формування державної програмами підтримки
гірничо-металургійного комплексу та програми стабілізації фінансово-кредитної
системи, що сприятиме стійкості стратегічних галузей в період нестабільної
економічної та політичної ситуації в країні та загальносвітової кризи.
Основною проблемою надходжень
інвестицій до економіки регіону є їх стихійність. Органи місцевої влади
здебільшого констатують фактичний стан справ. В кінці 2006 року прийнято
програму «Забезпечення міжнародного та інвестиційного іміджу Запорізької
області на 2007-2010 роки», але ця програма, по-перше, передбачає тільки
інформування потенційних інвесторів про сучасний стан соціально-економічного
розвитку Запорізької області, а по-друге, носить декларативний характер. До
позитивних надбань програми можна віднести створення та забезпечення
програмно-технічної підтримки та оновлення спеціалізованого веб-сайту
„Запорізька область - регіон можливостей!”
(<#"602008.files/image067.jpg">
Рис.3.1 Формули
Рис.3.2 Функція «рост»
Також можна надати прогноз за
допомогою функції «тенденція». В таблиці 3.6 наведено функцію «тенденція».
Таблиця 3.6
Функція «тенденція»
|
Період
|
Експорт
|
Імпорт
|
Зовнішньоторговельний оборот
|
Населення
|
|
2003
|
1
|
1790,50
|
921,50
|
2712,00
|
0,00
|
|
2004
|
2
|
2489,30
|
1252,30
|
3741,60
|
0,00
|
|
2005
|
3
|
2761,30
|
1727,40
|
4488,70
|
0,00
|
|
2006
|
4
|
3247,10
|
2157,20
|
5404,30
|
0,00
|
|
2007
|
5
|
4480,70
|
3515,80
|
7996,50
|
1833,00
|
|
2008
|
6
|
5571,70
|
3857,20
|
9428,90
|
1821,00
|
|
2009
|
7
|
2893,00
|
1274,60
|
4167,60
|
1812,00
|
|
2010
|
8
|
3385,60
|
1467,70
|
4853,30
|
1802,00
|
|
2011
|
9
|
4551,454
|
2647,582
|
7199,036
|
1791,500
|
|
2012
|
10
|
4614,588
|
2567,584
|
7182,171
|
1782,000
|
|
2013
|
11
|
4663,043
|
2380,792
|
7043,835
|
1771,750
|
|
2014
|
12
|
4605,161
|
2129,360
|
6734,520
|
1761,750
|
Формули:
=ТЕНДЕНЦИЯ(C53:C60;B53:B60;B61:B64);
=ТЕНДЕНЦИЯ(C54:C61;B54:B61;B62:B65);
=ТЕНДЕНЦИЯ(C55:C62;B55:B62;B63:B69);
=ТЕНДЕНЦИЯ(C56:C63;B56:B63;B64:B67).
Рисунок 3.3 відображає функцію
«тенденція»
Рис.3.3 Функція «тенденція»
Для аналізу можна порівняти функції
«рост» та «тенденція» (табл.3.7)
Таблиця 3.7
Аналіз відхилень експорту
|
Роки
|
ТЕНДЕНЦІЯ
|
РОСТ
|
Відхилення
|
|
2003
|
1790,50
|
1790,500
|
0,000
|
|
2004
|
2489,30
|
2489,300
|
0,000
|
|
2005
|
2761,30
|
2761,300
|
0,000
|
|
2006
|
3247,10
|
3247,100
|
0,000
|
|
2007
|
4480,70
|
4480,700
|
0,000
|
|
2008
|
5571,70
|
5571,700
|
0,000
|
|
2009
|
2893,00
|
2893,000
|
0,000
|
|
2010
|
3385,60
|
3385,600
|
0,000
|
|
2011
|
4551,45
|
4747,536
|
196,082
|
|
2012
|
4614,59
|
4759,405
|
144,818
|
|
2013
|
4663,04
|
4840,755
|
177,712
|
|
2014
|
4605,16
|
4807,066
|
201,906
|
З таблиці 3.7 видно, що прогноз по
функції «рост» більше ніж по функції «тенденція» (рис.3.4). Таким же методом
можна проаналізувати відхилення по всім прогнозованим показникам, а саме:
імпорт, зовнішньоторговельний оборот, населення.
3.2 Шляхи
вдосконалення зовнішньоторговельної політики України
Якщо проаналізувати торговельну
політику Запорізької області за певний період часу, то ми бачимо наявність
щорічних коливань як в експорті, так і в імпорті товарів. Це свідчить про
відсутність сталої зовнішньоторговельної політики і велику залежність нашої
економіки від кон'юнктури ринку. Нам, перш за все, потрібно удосконалювати
структуру зовнішньої торгівлі й мати обґрунтовану зовнішню торговельну
політику.
З проведеного аналізу та
прогнозування у попередньому підрозділі можна проаналізувати показники та
визначити ефективність отриманих прогнозних даних.
Показник інтенсивності
прогнозованого експорту (див. табл.3.5):

=2,65

=2,67

=2,73

=2,73
Динаміка інтенсивності
експорту наведена на рисунку 3.4.
Рис.3.4 Динаміка
інтенсивності експорту
Аналіз прогнозованих
показників інтенсивності експорту, визначив, що відбувається поступове
збільшення цього показника, у 2011 році прогнозується 2,65, у 2010 році = 2,73.
Показник інтенсивності
прогнозованого імпорту (табл.3.5):
Динаміка інтенсивності
імпорту наведена на рисунку 3.5.
Рис.3.5 Динаміка
інтенсивності імпорту
З аналізу прогнозованих
показників інтенсивності імпорту видно, поступове зменшення цього показника, що
свідчить про можливе збільшення на ринку продукції вітчизняного виробника, тобто
зменшення імпорту являється позитивним чинником для Запорізького регіону.
Отримані дані узагальнимо в
таблиці 3.8.
Аналіз показників
інтенсивності міжнародної торгівлі
|
Показник
|
Роки
|
відхилення
|
|
2011
|
2012
|
2013
|
2014
|
2012 до 2011
|
2013 до 2012
|
2014 до 2013
|
|
Показник інтенсивності експорту
|
2,65
|
2,67
|
2,73
|
2,73
|
0,02
|
0,1
|
0,0
|
|
Показник інтенсивності імпорту
|
1,40
|
1,31
|
1,19
|
1,07
|
-0,09
|
-0,1
|
-0,1
|
|
Показник інтенсивності зовнішньоторговельного
обороту
|
4,05
|
3,98
|
3,92
|
3,80
|
-0,07
|
-0,1
|
-0,1
|
Аналітичним показником зазначених
щойно співвідношень є коефіцієнт покриття Kп імпорту І експортом Е:
Таким чином з розрахунків видно, що
протягом досліджуваного періоду зовнішньоторговельний баланс Запорізького
регіону є активним, та має тенденцію до збільшення.
За допомогою функції «рост»
спрогнозуємо валовий регіональний продукт.
Прогнозні дані ВРП Запорізького
регіону
|
2009
|
- 4680,8
|
млн.дол
|
|
2010
|
- 4937,8
|
млн.дол
|
|
2011
|
- 5208,9
|
млн.дол
|
|
2012
|
- 5494,9
|
млн.дол
|
|
2013
|
- 5796,6
|
млн.дол
|
|
2014
|
- 6114,8
|
млн.дол
|
Таким чином, аналіз прогнозованих
показників виявив, що у 2011-2014 роках залежність Запорізького регіону від зовнішньоекономічних
зв’язків складе 1,39, або 139% , 1,29 або 129%, 1,2 або 120% та 1,09 або 109%
відповідно по роках, що являється позитивним чинником, тобто Запорізький регіон
поступово зменшить залежність від зовнішньоекономічних зв’язків.
Для розробки довгострокової
зовнішньоторговельної політики Запорізької області потрібно підвищувати
конкурентоспроможність наших товарів та послуг.
Практика свідчить, що українська
продукція надзвичайно енергомістка через зношування основних фондів та
застарілі технології. На 1 дол. ВВП Запорізька область витрачає в 5,5 рази
більше енергоресурсів, ніж регіони Центральної Європи, й у 12 разів більше, ніж
держави ОЕСР.
Кінцева продукція має високу
собівартість, що призводить до зростання цін на нашу продукцію на світовому ринку.
Ціни на окремі види продукції на 30-70 % перевищують ціни міжнародних ринків.
Недосконалість кредитного ринку
України, слабкий "доступ" суб'єктів підприємницької діяльності до
довгострокових кредитів спричиняють те, що для українських експортерів фінансові
ресурси сьогодні обходяться в 6-10 разів дорожче, ніж для їхніх західних
конкурентів.
Потрібно негайно подбати про
підвищення конкурентоспроможності вітчизняних товарів та послуг. Експортерам
Запорізької області дуже непросто конкурувати на зовнішніх ринках в умовах
невизначеності щодо прав власності й правил ведення бізнесу, бо в країні досі
не прийняті земельний і Цивільний кодекси.
В Законі України "Про
зовнішньоекономічну діяльність" визначений механізм державного і
регіонального регулювання цієї сфери, але практика свідчить про недосконалість
цього механізму.
Потрібно правильно визначити
структурні пріоритети зовнішньої торгівлі, а також змінити конфіскаційну
податкову політику і жорстку грошово-кредитну політику на більш ліберальну.
Існуючі напрямки цієї політики позбавляють підприємства можливості мати для
розвитку модернізації та більш удосконаленого інвестування виробництва
експортної продукції.
Нам потрібно подбати про подальший
розвиток інфраструктури ринку. Біржі, страхові компанії, банківська сфера
повинні працювати на підтримку всіх суб'єктів зовнішньоекономічної діяльності.
Останнім часом в економіці та
політиці Запорізької області відбуваються суттєві зміни. Декілька років
Запорізької області має зростання обсягу ВВП, удосконалюється грошово-кредитна
політика, відбуваються певні зміни і в зовнішній політиці. Але для успішного
просування України на міжнародні ринки необхідне суттєве коригування
зовнішньоторговельної політики за такими стратегічними напрямами:
• розвиток експортного потенціалу у
держави в рамках міжнародної спеціалізації, яка б органічно поєднувалася з
вигідними для Запорізької області напрямами структурних трансформацій в
економіці (природно, за дотримання балансу між внутрішнім і зовнішнім попитом
на українські товари й послуги);
• нарощування зусиль в
найперспективніших секторах світової економіки (електроніка, енергетика,
матеріали із заздалегідь заданими властивостями, біотехнології,
науково-технічні, інжинірингові, консалтингові послуги, міжнародний туризм і т.
ін.);
• створення конкурентоспроможних
транснаціональних корпорацій, освоєння стратегії глобального маркетингу,
технології реалізації великих міжнародних коопераційних проектів;
• диверсифікування географічної
структури зовнішньої торгівлі, мінімізування критичної залежності від окремих
держав (ринків), відповідно посилюючи економічну безпеку Запорізької області ;
• забезпечення збалансованості
експорту й імпорту, торговельних і поточних платіжних балансів Запорізької
області .
Основна частка іноземних інвестицій,
які залучаються в економіку міста - прямі інвестиції.
Головна мета - поліпшення
інвестиційного клімату, підвищення інвестиційної активності суб’єктів
господарювання та збільшення обсягу залучених інвестицій на
соціально-економічний розвиток міста за рахунок усіх джерел інвестиційних
ресурсів.
Пріоритетні напрямки розвитку та
основні завдання у сфері інвестування:
залучення всіх джерел фінансування,
розширення участі підприємств у інвестиційній діяльності міста;
зменшення обсягів незавершеного
будівництва;
оновлення основних фондів
підприємств з метою збільшення випуску конкурентоспроможної продукції;
підвищення ефективності
капіталовкладень у розвиток об’єктів соціальної сфери;
вирішення екологічних проблем міста;
спорудження найважливіших об’єктів
життєзабезпечення.
Очікувані результати: підвищення
інвестиційної привабливості м.Запоріжжя, активізація інвестиційних процесів,
збільшення інвестиційних надходжень в економіку міста та вирішення існуючих
проблем соціально-економічного розвитку.
Обґрунтування бачення та основних
напрямків вирішення проблем, пріоритетів розвитку проаналізовано за допомогою
СВОТ-аналіз стратегічних перспектив (табл.3.10).
Таблиця 3.10
СВОТ-аналіз стратегічних перспектив
|
Сильні сторони регіону
|
Слабкі сторони регіону
|
|
- розвинутий індустріальний сектор -
активнодіюча Торгово-промислова Палата - значний ресурсно-сировинний
потенціал, - наявність інтелектуального потенціалу та розвинутої мережі
освітніх закладів для подальшого його розвитку
|
- Незадовільний технічний стан автомобільних
доріг, - Проблеми з водопостачанням - Недостатній рівень газифікації
населених пунктів - Відсутність єдиних прозорих регіональних інформаційних
баз щодо земельних ділянок та комунальної власності
|
|
Можливості
|
Загрози
|
|
- активізація співпраці місцевої влади, громадськості
та представників бізнесу щодо зусиль, спрямованих на розвиток регіону, -
зростання внутрішніх джерел інвестування - заощаджень населення та прибутку
прибуткових підприємств регіону
|
- високий рівень конкуренції з боку
регіонів-сусідів: Дніпропетровського, Донецького, тощо, - значна
експортоорієнтованість індустріального та аграрного секторів економіки
регіону
|
З огляду на вище перераховані
фактори та напрямки діяльності щодо забезпечення інвестиційної привабливості
Запорізької області пропонується наступне бачення Запорізької області як
інвестиційно-привабливого регіону з розвинутими індустріальним та аграрним
потенціалами:
Запорізька область - це регіон,
інвестиційна привабливість якого ґрунтується на ефективному використанні
ресурсно-сировинного, інтелектуального, споживчого та виробничого потенціалів
регіону, першочерговій розбудові інфраструктурного та інституційного
потенціалів, широкомасштабній інформаційній підтримці інвестиційної та
інноваційної діяльності.
Основними пріоритетами реалізації
стратегії є:
- розвиток
інфраструктурного потенціалу регіону, зокрема забезпечення якості та
достатності транспортної інфраструктури та мережі зв’язку, виконання програм з
газифікації та водопостачання на всій території області,
- інвентаризація та
оцінка об’єктів первинних прямих інвестицій - земельних дільниць та споруд, які
можуть бути приватизовані або надані в довгострокову аренду, із зазначенням
пріоритетного з точки зору регіону їх використання,
- забезпечення
інституційної підтримки інвестиційно-інноваційної діяльності (створення
регіональних органів, агенцій, фондів, тощо),
- забезпечення
інформаційної підтримки інвестиційно-інноваційної діяльності.
- ефективне
використання індустріального потенціалу на потреби соціального розвитку
регіону,
- ефективне
використання та нарощування аграрного потенціалу,
- розвиток
науково-освітнього потенціалу.
Реалізація стратегії розвитку за
означеним напрямком тісно пов’язана з іншими стратегічними напрямками -
забезпеченням туристсько-рекреаційної діяльності, екологічної безпеки.
Результатом реалізації пріоритетного розвитку інвестиційної діяльності в
регіоні повинно стати підвищення рівня життя населення регіону, що зокрема
призведе до збільшення споживчого попиту та подальшого росту інвестицій в
економіку регіону, тобто забезпечення позитивного зворотного зв’язку.
ВИСНОВКИ
Зовнішньоекономічні зв'язки є
продуктом цивілізації, так як виникають з появою держави і еволюціонують
водночас з її розвитком. В економічному - зовнішні економічні зв'язки - це
операції, пов'язані з обігом товарів, послуг, грошей і капіталу між різними
економічними і валютними зонами.
Серед основних причин, які
стимулюють розвиток зовнішньоекономічних зв'язків, слід виділити такі:
нерівномірність економічного розвитку різних країн світу; відмінності в
сировинних ресурсах; відмінності в людських ресурсах; нерівномірність
розміщення фінансових ресурсів; характер політичних відносин; різний рівень
науково-технічного розвитку; специфіка географічного положення, природних і
кліматичних умов.
Процес ефективного функціонування
будь-якої економічної системи залежить від багатьох чинників, але основними с
такі: вибір оптимальної моделі господарювання; визначення головних рушійних
сил, які стимулюють рух у певному напрямку; відпрацювання механізму реалізації
даного вибору. Всі ці питання вирішуються при формуванні економічної політики
держави.
Однією з основних складових
економічної політики є зовнішньоекономічна політика. Зовнішньоекономічна
політики - це сукупність цілеспрямованих державних заходів щодо реалізації
економічного потенціалу країни на зовнішньому ринку та задоволення власних
потреб за рахунок товарів і послуг іноземного виробника.
Оскільки зовнішньоекономічна
політика с складником економічної політики, то від загальної концепції побудови
економічної системи залежить напрямок руху, етапи формування, механізм
функціонування політики держави у сфері міжнародних економічних зв'язків. При
цьому реалізуються як економічні цілі, так і політичні, оскільки
зовнішньоекономічна політика є частиною зовнішньої політики.
Еволюція розвитку міжнародних
економічних відносин - це водночас, і еволюція розвитку та вдосконалення
системи державного регулювання даного виду взаємовідносин. Оскільки у
сукупності міжнародних економічних відносин задіяні і взаємопов'язані інтереси
не тільки різних соціальних груп та верств населення, а й різних країн, держава
неминуче стає одним із основних суб'єктів регулювання даного виду
взаємовідносин.
Зовнішньоекономічні зв’язки України
в сучасних умовах стають могутнім засобом прискорення науково-технічного
розвитку та інтенсифікації економіки. Сьогодні оволодівати найновішими
досягненнями науки і техніки без інтенсивного обміну науковими дослідженнями,
різноманітними товарами і послугами означає нераціонально використовувати власні
ресурси, втрачати час і темпи розвитку національної економіки.
Водночас зовнішньоекономічна
діяльність дає змогу прискорювати науково-технічний прогрес завдяки організації
спільних досліджень, сприяє швидкому переобладнанню сучасною технікою цілих
галузей і виробництв, впровадженню новітніх технологій, інформаційних систем,
розв’язанню багатьох соціально-економічних проблем. Очевидно, що
зовнішньоекономічні зв’язки стають нині одним з основних чинників розвитку
національної економіки України.
Поліпшити становище та активізувати
зовнішньоекономічні відносини України можна за допомогою стратегічних напрямів
вдосконалення зовнішньоекономічних зв’язків: розбудови раціональної системи
зовнішньої торгівлі; стимулювання експортних операцій з одночасним урахуванням
потреб збільшення внутрішнього споживання вітчизняної продукції, що зменшить
залежність від кон’юнктури на світових ринках; підвищення ефективності
іноземних інвестицій; запровадження загальноприйнятої системи валютного
регулювання, спрямованої на підтримання національної валюти, а також жорстких
принципів валютного контролю тощо.
Основні складники
зовнішньоекономічної політики держави:
- зовнішньоторговельна
політика;
- валютна політика;
- політика у сфері
залучення іноземних інвестицій;
- митно-тарифна
політика.
Зовнішньоторговельна політика - це
державна політика, яка впливає на зовнішню торгівлю через податки, субсидії,
прямі обмеження експортних та імпортних операцій. Об'єктом регулювання
зовнішньоторговельної політики є товаропотоки між країнами. Залежно від
спрямованості товаропотоків розрізняють експортну та імпортну політику держави.
Головним завданням макрорегіонів є
координація діяльності регіональних груп і створення умов для ефективної
реалізації стратегії зовнішньоекономічних відносин.
Ефективність реалізації стратегії
зовнішньоекономічних відносин в макрорегіонах обумовлена як діяльністю
державних структур різного рівня, так і ситуацією, що розвивається в
геоекономіці в цілому.
Господарюючий суб'єкт, формуючи
стратегію в умовах глобалізації, повинен враховувати ситуацію, що складається у
світовій економіці, відповідно до якої вибудовується одиничний (індивідуальний)
механізм зовнішньоекономічних відносин.
Зовнішньоторговельна політика,
найтіснішим образом пов'язана з різними напрямками внутрішньої економічної
політики держави як компонент загальної системи економічної політики.
Головним напрямком розвитку
економіки Запорізького регіону, як і економіки України, є стратегія
інвестиційно- інноваційних перетворень в суспільстві і економіці, направлених
на розбудову новітньої парадигми співіснування світових економік і держав та їх
розвиток в 21 столітті. По-перше, це модернізація промислових об'єктів області
для досягнення конкурентоспроможності товарів і послуг на світовому ринку
шляхом інноваційного відтворення основних фондів, формування інвестиційного
потенціалу та підвищення інвестиційної привабливості основних галузей
промислового виробництва на основі застосування новітніх ресурсо- і
енергозберігаючих технологій; по-друге - соціальна переорієнтація промислового
комплексу, направлена на усестороннє забезпечення потреб населення області та
досягнення європейських стандартів якості життя.
Основні завдання
структурно-інноваційних перетворень на цьому етапі полягають у реалізації
існуючих конкурентних переваг окремих виробництв та секторів, що зумовлені їх
власними досягненнями у науково-технологічному прогресі і продукція яких
користується стійким попитом на ринках. Втілення цього завдання передбачає
першочергову підтримку з боку держави розвитку наукомістких,
високотехнологічних виробництв шляхом стимулювання інвестицій і реалізації
інновацій, насамперед, у галузі машинобудування, електротехнічній і електронній
промисловості. Реалізація стратегії "інноваційного прориву", яка
базується на прискоренні науково-технологічного прогресу і приводить до
створення нових поколінь техніки та технологій, забезпечує просування в
постіндустріальному напрямі розвитку і належить до вирішальних завдань
стратегії структурних перетворень.
Актуальними є питання стосовно
формування промислових кластерів, оцінки якості управління регіоном та
вирішення корінної проблеми усіх реформ - підвищення якості конкурентного
середовища у регіоні.
Насамперед, найактуальнішими на
теперішній час питаннями є формування державної програмами підтримки гірничо-
металургійного комплексу та програми стабілізації фінансово-кредитної системи,
що сприятиме стійкості стратегічних галузей в період нестабільної економічної
та політичної ситуації в країні та загальносвітової кризи.
РЕКОМЕНДАЦІЇ
Запорізька область - це регіон,
інвестиційна привабливість якого ґрунтується на ефективному використанні
ресурсно-сировинного, інтелектуального, споживчого та виробничого потенціалів
регіону, першочерговій розбудові інфраструктурного та інституційного потенціалів,
широкомасштабній інформаційній підтримці інвестиційної та інноваційної
діяльності.
Основними пріоритетами реалізації
стратегії є:
- розвиток
інфраструктурного потенціалу регіону, зокрема забезпечення якості та
достатності транспортної інфраструктури та мережі зв’язку, виконання програм з
газифікації та водопостачання на всій території області,
- інвентаризація та
оцінка об’єктів первинних прямих інвестицій - земельних дільниць та споруд, які
можуть бути приватизовані або надані в довгострокову аренду, із зазначенням
пріоритетного з точки зору регіону їх використання,
- забезпечення
інституційної підтримки інвестиційно-інноваційної діяльності (створення
регіональних органів, агенцій, фондів, тощо),
- забезпечення
інформаційної підтримки інвестиційно-інноваційної діяльності.
- ефективне
використання індустріального потенціалу на потреби соціального розвитку
регіону,
Реалізація стратегії розвитку за
означеним напрямком тісно пов’язана з іншими стратегічними напрямками -
забезпеченням туристсько-рекреаційної діяльності, екологічної безпеки.
Результатом реалізації пріоритетного розвитку інвестиційної діяльності в
регіоні повинно стати підвищення рівня життя населення регіону, що зокрема
призведе до збільшення споживчого попиту та подальшого росту інвестицій в
економіку регіону, тобто забезпечення позитивного зворотного зв’язку.
ПЕРЕЛІК ВИКОРИСТАНОЇ ЛІТЕРАТУРИ
1. Про
зовнішньоекономічну діяльність. Закон України від 16.04.91 р. № 959-ХІІ (із
змінами від 22.12.98. № 335-ХІУ).
2. Про
митну справу в Україні. Закон України від 25.06.91 р. № 1262-ХІІ.
. Митний
кодекс України від 31.12.91. № 1970-ХІІ.
. Про
Єдиний митний тариф. Закон України від 05.02.92 р. № 2097-ХІІ (із змінами від
22.12.98. № 334-ХІУ).
. Про
порядок здійснення розрахунків в іноземній валюті. Закон України від 23.09.94
р. № 185/94-ВР.
. Про
операції з давальницькою сировиною у зовнішньоекономічних відносинах. Закон
України від 15.09.95 р. № 327/95-ВР.
. Про
державне регулювання імпорту сільськогосподарської продукції. Закон України від
17.07.97 р. № 468/97-ВР.
. Про
якість і безпеку харчових продуктів і продовольчої сировини. Закон України від
23.12.97 р. № 771/97-ВР.
. Про
захист національного товаровиробника від демпінгового імпорту. Закон України
від 22.12.98 р. № 330-ХІУ.
. Про
захист національного товаровиробника від субсидованого імпорту. Закон України
від 22.12.98 р. № 331-ХІУ.
. Про
захист національного товаровиробника від демпінгового імпорту. Закон України
від 22.12.98 р. № 332-ХІУ.Стратегія економічного і Соціального розвитку України
на 2004-2015 рр. “Шляхом європейської інтеграції” / Авт. кол.:
А.С.Гальчинський, В.М. Геєць та ін. - К.: ІВЦ Держкомстату України, 2004.416 с.
. Концепція
економічного розвитку України на 2008-2015 рр. //
. Бураковский
И. Путь России в ВТО: Выводы для Украины // Зеркало недели. - 2007 (30 июня). -
№ 25. - С. 5.
. На
финишной прямой // Бізнес. - 2006 (26 июня). - № 26. - С. 35-36, 39.
. Україна
на ринку Європейського Союзу. Аналітична доповідь Українського центру
економічних і політичних досліджень ім. О.Разумкова. // www.ussі.оrg.uа
. Серьогіна
С. Г. Регіоналізм у політико-правовій практиці України // Правові проблеми
реформування регіональної влади. - Харків, 2002. - С.18.
. Чопенко
В. Еще польске село не згинело // Зеркало недели. - 2007. - № 3. - С.11.
. Кириченко
О.А. Менеджмент ЗЕД. Підручник. - К.: Кондор, 2008 - 518с.
. Клименко
С.М. Управління конкурентоспроможністю підприємства. Навчальний посібник. -
К.:ЦУЛ, 2008. - 348 с.
. Козак
Ю.Г. ЗЕД підприємства. Навчальний посібник - К.: Кондор, 2006 - 512 с.
. Козик
В.В., Панкова Л.А. Міжнародні економічні відносини: Навчальний посібник. - 7-ме
видавництво. - К. : Знання, 2008 - 406 с.
. Козик
В.В., Панкова Л.А., Карп’як Я.С., Григор’єв О.Ю., Босак А.О.
Зовнішньоекономічні операції і контракти: Навч.посіб. - 2-ге вид., перероб і
доп. - К.: ЦУЛ, 2004. - 608 с.
. Комзюк
А.Т. НПК митного кодексу України. Науково-практичний посібник. - К.: ЦУЛ, 2008.
- 758 с.
. Куценко
В.М. Міжнародний менеджмент. Навчальний посібник. - К.: Кондор, 2007 - 296 с.
. Макогон
Ю.В. ЗЕД підприємства. Навчальний посібник - К.: Кондор, 2006 - 424 с.
. Менеджмент
зовнішньоекономічної діяльності: Навч. посібник за ред. д. е. н. проф. І.І
Дахна, К.: Центр навчальної літератури, 2006 - 304 с.
. Митний
кодекс України від 01.01.04 №92-IV // Укр.. Митниця. - К.: 2004
. Михайлова
Л.І. Міжнародний менеджмент. Посібник. - К.:ЦУЛ , 2007 - 200 с.
. Новицький
В.Є. міжнародна економічна діяльність України: Підручник. - К.: КНЕУ, 2003. -
948 с.
. Панченко
Є.Г. Міжнародний менеджмент. ПСВ. - К.: Кондор, 2007 - 468 с.
. Рум’янцев
А.П, Рум’янцева Н.С. Зовнішньоекономічна діяльність: Навчальний посібник. - К.:
ЦУЛ, 2004. - 377 с.
. Сухарський
В.С. Менеджмент ЗЕД: теорія, методологія, практика. - К.:Кондор, 2005 - 464 с.
. Чернега
О.Б. Міжнародний менеджмент. Навчальний посібник. - К.:Кондор, 2006 - 592 с.
. Вічевич
А.М., Максимець О.В. Аналіз зовнішньоекономічної діяльності. Навчальний
посібник. - Львів: Афіша, 2004 - 140 с.
. Гринько
И.С. Внешнеторговые сделки: Учебное пособие. - Сумы: Реал, 1994- 464с.
. Гужва
В. М., Постєвой А. Г. Інформаційні системи в міжнародному бізнесі: Навчальний
посібник. - 2-ге видання, доп. і перероб. - К.: КНЕУ, 2002. - 458 c.
. Чиненов
М.В. Страхование внешнеэкономической деятельности. Учебное пособие для ВУЗов. -
К.: Кондор, 2008 - 244 с
. Положення
„Про Управління зовнішніх зносин тазовнішньоекономічної діяльності Запорізької
облдержадміністрації”
. Управління
НБУ в Запорізькій області
[http://who-iswho.com.ua/bookmaket/bankirs2007/1/8.html].
40. Запорізька митниця //
<http://www.customs.gov.ua/dmsu/control/uk>
/publish/article;jsessionid=008CB459AA1966B7055049817B8E1AB7?art_id=372468&cat_id=371471&search_param=%D0%BE%D1%84%D0%BE%D1%80%D0%BC%D0%BB%D0%B5%D0%BD%D0%BD%D1%8F&searchForum=1&searchDocarch=1&searchPublishing=1
. Державна податкова адміністрація у
Запорізькій області // http://www.zpnalog.gov.ua/?num=710
. Цілі ДПА //
<http://www.sta.gov.ua/control/uk/publish/article>?
showHidden=1&art_id=77076&cat_id=63159&ctime=1191941884958
. Запорізьке обласне територіальне
відділення Антимонопольного комітету України //
<http://www.amc.gov.ua/amc/control/uk/publish/> article%3Fart_id=107198
. ДП„ЗАПОРІЖЖЯСТАНДАРТМЕТРОЛОГІЯ” //
<http://www>. zdcsms.zp.ua/1
. .Запорізька торгово-промислова палата
// <http://www.cci.zp.ua/index.php>? option=com_frontpage&Itemid=1
. .Запорізький союз промисловців і
підприємців „Потенціал” // http://www.potencial.org.ua/about.html
. Статистичний щорічник Запорізької
області за 2008-2009 роки
. Головне управління статистики в
Запорізькій області// http://zp.ukrstat.gov.ua/content/view/2615/369/