Математическая обработка характеристик кустореза

  • Вид работы:
    Курсовая работа (т)
  • Предмет:
    Математика
  • Язык:
    Русский
    ,
    Формат файла:
    MS Word
    1,33 Мб
  • Опубликовано:
    2013-03-19
Вы можете узнать стоимость помощи в написании студенческой работы.
Помощь в написании работы, которую точно примут!

Математическая обработка характеристик кустореза














Математическая обработка характеристик кустореза

Введение

кусторез устройство оптимизация мощность

Выполнение курсовой работы заключается в применении различных технологий математической обработки к параметрам рассматриваемой модели (устройства). В данной работе предстоит провести математическую обработку характеристик кустореза - устройства предназначенного для срезки и измельчения остатков травяной и кустовой поросли различного характера.

В этой курсовой работе к параметрам кустореза будут применены такие технологии математической обработки как:

постановка задачи оптимизации;

корреляция параметров кустореза;

подбор аналитических выражений, для описания функции массива точек или аппроксимация функции (применение «Метода наименьших квадратов»);

оптимизация параметров кустореза;

постановка выводов на основе полученных результатов.

Математическое задание

Для экспериментальной оптимизации параметров кустореза была проведена серия экспериментов в соответствии с матрицей планирования трехфакторного эксперимента. Результаты эксперимента представлены в табл. 1.

Таблица 1

Номер эксперимента

, об/с

, м/с

, см

, cм

, см

N, кВт

1

10

0.7

10

19

8.1

6.4

2

7

0.4

7

39

35.4

8.2

3

13

0.4

7

9

5.7

14.1

4

7

1.0

7

41

38.8

13.5

5

13

1.0

7

11

8.7

18.9

6

7

0.4

13

42

39.0

2.9

7

13

0.4

13

13

8.8

9.0

8

1.0

13

45

41.5

7.7

9

13

1.0

13

17

11.3

14.2

10

5

0.7

10

61

60.5

3.3

11

15

0.7

10

8

6.9

13.5

12

10

0.2

10

15

7.3

4.8

13

10

1.2

10

22

10.8

12.5

14

10

0.7

5

16

6.3

14.5

15

10

0.7

15

22

10.8

5.8


частота вращения цепного барабана;

 - скорость поступательного движения кустореза;

 - просвет между цепным барабаном и почвой;

 - средняя длина щепы;

 - средняя высота остатков порослевин;

N - потребляемая кусторезом мощность.

Постановление задачи оптимизации

Первой технологией, описанной в данной курсовой работе является постановка задачи оптимизации. Для начала приведем схему «Черного ящика» применительно к кусторезу ( приведена на рис.1)

Рисунок 1

Из рисунка видно, каким образом соотносятся параметры кустореза. Входными параметрами являются:

частота вращения цепного барабана;

 - скорость поступательного движения кустореза;

 - просвет между цепным барабаном и почвой.

Выходные параметры кустореза:

 - средняя длина щепы;

N - потребляемая кусторезом мощность.

Задачей оптимизации является оптимизация параметров N,  и  (выходных). Оптимизировать параметры будем за счет поиска оптимальных диапазонов входных параметров  и .

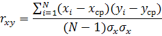
Корреляционный анализ

Полученные результаты, описанные в предыдущем пункте, были обработаны с помощью корреляционного анализа, дабы выяснить зависимость между параметрами кустореза. Для расчета корреляционного метода использовался математический пакет MathCad 15 (приложение А). Были вычислены среднеквадратичные отклонения каждого параметра, корреляции параметров, построены графики корреляции.

Для начала представим формулу расчета среднеквадратичного отклонения


С помощью этой формулы были получены следующие значения среднеквадратических отклонений параметров:


Далее были рассчитаны корреляции параметров, с помощью формулы


Затем были построены графики корреляции (в отчете содержатся лишь те корреляции, судя по которым можно сделать содержательный вывод)

На рис. 2 изображен график корреляции параметров  и (

Рисунок 2

Глядя на значение корреляции, её знак, а так же глядя на сам график корреляции, можно сделать вывод, что с увеличением параметра  параметр  уменьшается.

На рис. 3 изображен график корреляции параметров  и (

Рисунок 3

Вывод абсолютно аналогичный предыдущему - с увеличением частоты вращения цепного барабана средняя высота остатков порослевин становится меньше.

На рисунке 4 изображен график корреляции параметров  и  (

Рисунок 4

Что касается корреляции параметров  и  - здесь вывод иной, нежели предыдущие. Речь уже идет об увеличении одного параметра, относительно увеличения другого.

Что же касается других корреляций, они мало информативны, так как их значения по модулю с трудом превышают 0.5. На рисунке 5 приведен пример графика корреляции таких параметров.

Рисунок 5

Из данного рисунка видно, что ни о какой связи параметров  и  не может быть и речи. Тем не менее в отчете приведена табл. 2, иллюстрирующая корреляции как и с отъявленной взаимосвязью параметров, так и несвязные корреляции

Таблица 2

-

N

-

0

0

-0.927

-0.856

0.614

0

-

0

0.102

0.07

0.495

0

0

-

0.122

0.08

-0.532

-0.927

0.102

0.122

-

0.98

-0.561

-0.856

0.08

0.98

-

-0.487

N

0.614

0.495

-0.532

-0.561

-0.487

-


Данная таблица наглядно показывает, что, корреляционный анализ выявил всего 3 пары взаимосвязанных параметров, ранее уже описанных.

Аппроксимация

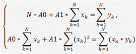
Третьей технологией, использованной в курсовой работе, является аппроксимация функций, полученных из массивов точек (табл.1). Лишь коррелированные параметры были описаны аппроксимированными функциями. Все расчеты выполнены в математическом пакете MathCad (Приложение А) Для аппроксимации функций был использован «Метод наименьших квадратов», который заключается в решении системы уравнений:


Система необходима для нахождения коэффициентов b и k для уравнения вида где b = A0, k = A1.

Данный метод был применен к каждой коррелируемой паре параметров кустореза и в итоге были получены следующие функции:

для корреляции параметров  и  -

 для корреляции параметров  и  -

 для корреляции параметров  и  -

Далее в отчете приведены графики аппроксимированных функций. Для удобства, в одной системе координат приводятся как точки, так и аппроксимированные функции. На рис.6 представлен график зависимости высоты порослевин от длины щепы -  ()

Рисунок 6

На рис.7 представлен график зависимости частоты вращения цепного барабана кустореза от длины щепы -  ()

Рисунок 7

На рис.8 представлен график зависимости частоты вращения цепного барабана кустореза от высоты остатков поросли -  ()

Рисунок 8

Итак, для каждого случая построена зависимость вида: .

Выводы по этим графикам можно сделать такие же, как были сделаны по точкам в предыдущем пункте, а именно:

с увеличением параметра  параметр  уменьшается;

с увеличением частоты вращения цепного барабана средняя высота остатков порослевин становится меньше;

с увеличением параметра , параметр  так же увеличивается.

Экспериментальная оптимизация параметров кустореза

Оптимизация сложных систем в общем случае сводится к задаче отыскания экстремума функции нескольких переменных. В ходе решения задачи оптимизации необходимо определить такие области изменения входных параметров Fi, при которых выходные характеристики машины удовлетворяют некоторому принятому критерию, либо нескольким частным критериям. В качестве критериев оптимизации обычно выступают показатели производительности, качества и экономических затрат.

Так как основной частью кустореза является цепной барабан, то выполненная оптимизация проводилась для таких параметров, как:

частота вращения цепного барабана ;

просвет между цепным барабаном и почвой .

Эти параметры влияют на эффективность машины существенно и нетривиальным образом. Изучение их влияния в комплексе позволит найти оптимальные области, непрогнозируемые заранее, и сформулировать рекомендации по выбору соответствующих конструктивных параметров.

В ходе оптимизации производился поиск такого набора параметров (), при которых являлись оптимальными следующие критерии:

N - потребляемая кусторезом мощность;

 - средняя длина щепы;

 - средняя высота остатков порослевин.

Задачу оптимизации можно записать аналитически следующим образом

;

Потребляемая мощность кустореза, длина щепы и высота порослевин должны быть минимальны.

Для установления взаимосвязи между параметрами цепного барабана и показателями эффективности кустореза проведена серия из 15 экспериментов, в которых фактор  варьировали на уровнях 5.0, 7.0, 10.0, 13.0, 15.0 об/с, одновременно варьируя фактор  на тех же самых уровнях (табл. 3)

Таблица 3

, об/с

, см

, cм

, см

N,кВт

10

10

19

8.1

6.4

7

7

39

35.4

8.2

13

7

9

5.7

14.1

7

41

38.8

13.5

13

7

11

8.7

18.9

7

13

42

39.0

2.9

13

13

13

8.8

9.0

7

13

45

41.5

7.7

13

13

17

11.3

14.2

5

10

61

60.5

3.3

15

10

8

6.9

13.5

10

10

15

7.3

4.8

10

10

22

10.8

12.5

10

5

16

6.3

14.5

10

15

22

10.8

5.8


частота вращения цепного барабана;

 - просвет между цепным барабаном и почвой;

 - средняя длина щепы;

, - средняя высота остатков порослевин;

N - потребляемая кусторезом мощность.

С помощью математического пакета MathCad были найдены аналитические зависимости, по которым находятся показатели эффективности  и , в виде полиномов второго порядка. Вид полинома второго порядка

P(, ) = k1 x2 + k2 y2 + k3 xy + k4 x + k5 y + k6,

где P - рассчитываемый показатель;

x =

y = .

Коэффициенты k1 - k6 были рассчитаны с помощью программы MathCad.

Аналитическое выражение для мощности имеет вид


Аналитическое выражение для длины щепы имеет вид


Аналитическое выражение для остатков порослевин имеет вид


Далее были построены графики поверхности, для проведения визуального анализа. Анализ заключался в разбиении полученных областей на части с благоприятными значениями критерия и области с оптимальными значениями. Для начала приведем графики поверхностей (рис.9)

Рисунок 9 -

Рисунок 10 -

Рисунок 11 -

Изобразим для лучшего восприятия графики поверхностей в виде карт оптимизации ( линий уровня).

На рисунке 12 изображена карта оптимизации потребляемой кусторезом мощности. Синим цветом выделена область допустимых значений мощности.

Рисунок 12

На рисунке 13 изображена карта оптимизации длины щепы. Зеленым цветом выделена область допустимых значений.

Рисунок 13

На рисунке 14 изображены карта оптимизации остатков поросли. Коричневым цветом выделена область допустимых значений

Рисунок 14

Теперь, когда у нас имеются все расчеты, графики и карты, возможно провести общую оптимизацию параметров кустореза и сделать соответствующие выводы. На рисунке 15 изображены все карты оптимизаций, наложенные друг на друга, для получения единой картины оптимизации параметров

Рисунок 15

Из рисунка видны несколько типов областей. Штрихованные области являются благоприятными, то есть диапазоны значений как минимум двух параметров, отвечающих задаче оптимизации, находятся в таких областях. Черным же цветом выделено пересечение всех трех областей, то есть эта область включает наиболее благоприятные параметры кустореза. Данная область и является оптимальной.

В результате оптимизации, были выяснены диапазоны значений входных параметров ( при которых выходные параметры (N, , ) минимальны, то есть выполняется система


Сами значения соответственно равны - (9,6…10,8) об/с и (8.95…10) см. Таким образом оптимизация параметров кустореза проведена.

Все выводы, сделанные по ходу математической обработки, представлены в данном разделе курсовой работы.

)        с увеличением собственной частоты вращения цепного барабана кустореза длина щепы уменьшается;

)        с увеличением частоты вращения цепного барабана кустореза, средняя высота остатков порослевин становится меньше;

)        средняя высота остатков порослевин становится больше, с увеличением средей длины щепы;

)        что же касается других корреляций (всех, кроме трех предыдущих), они мало информативны, так как их значения по модулю с трудом превышают 0,5. Например, о связи параметров  и  не может быть и речи;

5)      при аппроксимации коррелируемых функций сложностей не возникло, по полученным графикам можно сделать те же предыдущие три вывода;

6)      В результате оптимизации, были выяснены диапазоны значений входных параметров ( при которых выходные параметры (N, , ) минимальны, то есть выполняется система


7)      оптимальные диапазоны значений собственной частоты вращения цепного барабана кустореза и просвета между цепным барабаном кустореза и землей соответственно равны - (9,6…10,8) об/с и (8.95…10) см. Таким образом оптимизация параметров кустореза проведена.

Заключение

В ходе математической обработки было проведено несколько видов работ или технологий, которые позволили профессионально описать и оптимизировать параметры модели (в нашем случае кустореза) по данным 15 проведенных экспериментов. Для вычислений использовался математический пакет MathCad. Все выводы по каждой технологии совершались в ходе выполнения курсовой работы и собраны в её последнем разделе. В курсовой работе применялись такие технологии, постановление задачи оптимизации, корреляция параметров, оптимизация параметров, постановка выводов, сделанных на основе каждой технологии.


Приложение А

Листинг программы MathCad

Рис.

Рис.

Рис.

Рис.

Рис.

Рис.

Рис.

Рис.

Рис.

Рис.


Рис.

Рис.

Похожие работы на - Математическая обработка характеристик кустореза

 

Не нашли материал для своей работы?
Поможем написать уникальную работу
Без плагиата!
Без нейросетей!