Определение уровня конкуренции на фондовом рынке

  • Вид работы:
    Контрольная работа
  • Предмет:
    Финансы, деньги, кредит
  • Язык:
    Русский
    ,
    Формат файла:
    MS Word
    231,85 Кб
  • Опубликовано:
    2013-03-05
Вы можете узнать стоимость помощи в написании студенческой работы.
Помощь в написании работы, которую точно примут!

Определение уровня конкуренции на фондовом рынке

Содержание

Введение

Определение уровня конкуренции на фондовом рынке

Выводы

Список источников

Введение

Тема контрольной работы «Определение уровня конкуренции на фондовом рынке» по дисциплине «Финансы».

В контексте исследования особенностей функционирования инвестиционного рынка и его характеристик важное значение имеет анализ уровня конкуренции. Конкуренция является тем элементом рыночной экономики, который обеспечивает взаимодействие спроса и предложения и в случае адекватной реакции рынка уравновешивает цены на нем. Необходимо отметить, что без развитых форм конкуренции механизм действия инвестиционного рынка не может быть эффективным и полностью удовлетворять требования всех субъектов, осуществляющих на нем деятельность. Только высокий уровень конкуренции способен обеспечить повышение качества и расширение ассортимента продукции и услуг, стимулирующее снижение цен, внедрение научно-технических достижений и инноваций, направление капитала в самые продуктивные отрасли и сферы, вытеснение с рынка неэффективных экономических субъектов, а также рациональное использование финансовых и трудовых ресурсов.

Таким образом, целью работы являются количественная оценка уровня конкуренции на инвестиционном рынке с исследованием существующей ситуации на нем, идентификация потенциальных возможностей функционирования, а также выяснение дальнейших направлений развития.

Определение уровня конкуренции на фондовом рынке

Категория "конкуренция" в научной литературе изучалась начиная с XVII в. Однако общепринятого определения сущности этого понятия нет, а его трактовка зависит от целей анализа и описываемого экономического объекта. Обобщая все существующие определения конкуренции, выделим три подхода к идентификации данного понятия: поведенческий, структурный и функциональный.

Согласно первому подходу конкуренция рассматривается как открытая борьба между субъектами хозяйствования за наиболее благоприятные условия купли-продажи товаров и услуг. Также в общем виде конкуренцию понимают как соперничество экономических субъектов за ограниченный объем платежеспособного спроса потребителей.

Для структурного подхода характерно исследование структуры рынка, условий, установившихся на нем, возможностей и способов выхода субъектов из него, особенностей поведения продавцов и покупателей и их количества.

В рамках функционального подхода конкуренция трактуется как соперничество старых и существующих товаров и услуг с новыми инновационными их видами, в результате которого нарушается равновесие на рынке и используются новейшие технологии, что и приносит сверхприбыль. Таким образом, конкуренция рассматривается как динамичный процесс, влияющий на развитие экономики страны. Но, несмотря на многие теоретические подходы, современные ученые при идентификации сущности понятия "конкуренция" пытаются учесть изменения, произошедшие в мировой экономике, механизм ее действия и функции, которые она выполняет в обществе.

В теоретических исследованиях соперничества финансовых посредников авторы не дают прямого определения категории "конкуренция на инвестиционном рынке", однако достаточно активно ее употребляют и используют в качестве инструментария методического анализа. Так, в формулировке понятия "банковская конкуренция" наблюдается попытка расширить его путем включения в состав рыночных субъектов небанковских финансовых институтов и нефинансовых компаний, которые "стремятся обеспечить себе прочное положение на рынке банковских и других финансовых услуг".

В русле проведения банками собственных инвестиционных операций представлена характеристика условий реализации банковской конкурентной стратегии на инвестиционном рынке, ориентированная на завоевание банками устойчивой позиции в конкурентной среде, обеспечение возможного стратегического преимущества.

Переходя непосредственно к формализации содержания понятия "конкуренция на инвестиционном рынке", отметим, что данную экономическую категорию можно рассматривать как борьбу между участниками рынка (банками, инвестиционными компаниями и др.) с целью захвата большей его доли, качественного развития существующих сегментов и выхода на новые рынки, получения конкурентных преимуществ за счет своевременного и систематического внедрения технических, технологических, организационных, маркетинговых, финансовых и других видов внутренних инноваций; как соревнование в форме взаимного соперничества субъектов инвестиционного рынка, обусловленное неоспоримым правом каждого из них на реализацию своего потенциала, без учета интересов других субъектов, для усиления входных барьеров в отрасль.

Выделим следующие ключевые особенности конкуренции на отечественном инвестиционном рынке.

. Наличие разных рыночных сегментов с набором альтернативных инвестиционных предложений, которые обслуживают банковские и небанковские финансовые посредники. Клиенты могут выбирать наиболее целесообразные и удобные, на их взгляд, виды услуг инвестиционного характера (проектное финансирование, брокерское обслуживание, инвестиционное консультирование и др.).

. Постоянное обновление инвестиционных продуктов с возможным сочетанием разных видов операций (комиссионных, процентных и т. д.), расширение финансовых услуг, повышение удобства для клиентов и доступа к необходимой информации.

. Использование финансовыми учреждениями широких возможностей в селекционном отборе клиентов с учетом их финансовой устойчивости (кредитоспособности, денежных потоков, имущественного состояния и др.) с ценовыми и неценовыми подходами в конкурентной борьбе.

. Ограниченность конкурентной борьбы за счет существования законодательных барьеров для вхождения на рынок новых участников (определенный размер уставного капитала, высокие требования к профессионализму менеджмента финансовых компаний и др.). Традиционными для отраслей данного рынка являются жесткий контроль и регуляторное влияние со стороны государственных органов надзора (как правило, большее, чем на другие отрасли).

. Отсутствие практики предоставления патентов на новые инвестиционные услуги профессиональных участников, что дает возможность конкурентам активно применять новые эффективные нестандартные решения, что усиливает борьбу за клиентов и стимулирует дальнейшие поиски инновационных решений.

Кроме того, целесообразно отметить, что конкуренция на инвестиционном рынке формируется во время непосредственной деятельности его участников. Таким образом, она может происходить между:

торговцами ценными бумагами за объемы инвестиционных операций;

эмитентами инвестиционных инструментов за привлечение ресурсов инвесторов;

коммерческими банками во время биржевых соглашений;

инвестиционными компаниями за объемы услуг по консультированию в инвестиционных вопросах;

инфраструктурными участниками рынка.

Одно из наиболее полных определений инвестиционного рынка (с максимальным учетом специфики функционирования отечественной экономики) сформулировали Т. Васильева, С. Леонов и А. Макарюк, согласно которому он представляет собой сложный механизм взаимодействия субъектов инвестиционного процесса, нормативного регулирования их деятельности (государственного надзора) и предоставления клиентам инвестиционных услуг. При этом ключевой задачей функционирования данного рынка является объективно эффективное (для всех без исключения участников процесса) перераспределение ограниченного инвестиционного ресурса между конкретными потребителями.

В отличие от принятого за рубежом традиционного понимания инвестиционного рынка как среды проведения операций с ценными бумагами, отечественные специалисты подчеркивают неоднородность практической реализации инвестиционных отношений в Украине. Так, с точки зрения С. Москвина, структурными элементами отечественного инвестиционного рынка являются сегменты, которые можно четко привязать к конкретным объектам проведения операций, - нематериальные активы, основные фонды, финансовые инструменты и корпоративные права.

Таким образом, конкуренцию на инвестиционном рынке целесообразно рассматривать как элемент его эффективного функционирования, который характеризует динамичное взаимодействие субъектов данного рынка и проявляется в форме соперничества за наиболее выгодные источники финансовых ресурсов и направления их размещения, осуществляется с помощью повышения результативности экономических субъектов и рациональности использования капитала.

Исходя из того, что только на основе количественного анализа уровня конкуренции можно говорить о степени открытости и развития инвестиционного рынка, актуальным становится анализ теоретических подходов к решению данной проблемы. Так, уровень конкуренции дает возможность принимать взвешенные стратегические управленческие решения не только субъектам рынка, но и государственным органам власти в случае создания монопольной ситуации на нем.

Последовательно рассмотрим каждый из существующих подходов. Одной из наиболее основательных и многоаспектных концепций определения уровня конкуренции является модель "пяти сил" М. Портера. В ее основу положено достижение нужного показателя рентабельности, зависящего от конкурентных преимуществ инвестиционных компаний на рынке. Согласно этой модели, анализ конкуренции проводится с помощью изучения пяти реальных конкурентных сил, действующих на рынке. Размер и сила действия каждого фактора конкуренции меняются на рынке, влияют на уровень цен, расходы, объемы капиталовложений, прибыльность инвестиционной деятельности.

Так, некоторые исследователи систематизируют научно-методические подходы к оценке уровня конкуренции в банковской системе путем их разделения на два типа: структурные и неструктурные.

Первый предполагает определение уровня конкуренции с помощью идентификации взаимосвязи между существующей структурой рынка банковских услуг (количеством коммерческих банков, степенью концентрации), рентабельностью банков и полнотой рыночной власти. При этом модель может основываться на одном из двух противоположных предположений: гипотезе "структура - поведение - результат" (чем больше кредитных учреждений, тем меньше контроль над рыночной ситуацией) или гипотезе эффективной структуры (чем выше уровень эффективности банковского бизнеса, тем значительнее прибыльность и рыночная доля).

В неструктурных моделях допускается вероятность влияния отдельных банковских учреждений на конкурентную рыночную структуру, без установления ограничений в контексте заданных структурных характеристик. Среди наиболее известных теоретических концепций указанного подхода выделяют модели Панзара - Росса, Бреснахана и Лау, Барроса - Модесто, Ивата и др.

Исследования конкуренции на инвестиционном рынке можно проводить с помощью матрицы формализации конкурентной карты инвестиционного рынка (табл. 3). Она построена как классификация конкурентов в зависимости от их позиции на инвестиционном рынке. Карта используется для установления статуса конкурентов, а также для систематизации и упорядочения конкурентных преимуществ. В основу исследования с помощью такой матрицы положена перекрестно систематизированная классификация величины и динамики долей рынка определенных конкурентов по отдельным видам продукции. Согласно этой матрице, устанавливают 16 возможных положений инвестиционного субъекта. Выделенные положения имеют отличия в зависимости от степени применения конкурентных преимуществ, а также потенциальной способности инвестиционного субъекта противостоять давлению вероятных конкурентов на инвестиционном рынке.

Темп прироста рыночной доли i-х конкурентов на инвестиционном рынке (Ti) определяется по формуле:

инвестиционный рынок конкуренция инновация


где    т - количество лет в анализируемом периоде;

Дit и Дit0- рыночные доли i-го конкурента на инвестиционном рынке, соответственно, в базовом и текущем периодах.

Если темп прироста рыночной доли конкурентов на инвестиционном рынке равен 1 (то есть субъекты - лидеры на инвестиционном рынке, с конкурентной позицией, которая быстро улучшается), то субъекты этой группы имеют наиболее значимый и весомый статус на рынке. Если же темп прироста рыночной доли 16 (то есть субъекты - аутсайдеры на инвестиционном рынке, с конкурентной позицией, которая быстро ухудшается), то субъекты этой группы имеют наиболее слабый статус на рынке.

Важным с точки зрения определения направлений и темпов развития инвестиционного рынка является показатель скорости изменения конкурентной позиции на инвестиционном рынке, который свидетельствует об уровне интенсивности действий конкурентов и рассчитывается по формуле


где    Si кп - скорость изменения конкурентной позиции на инвестиционном рынке;

Siп - величина текущего уровня стратегического фактора успеха;

Si - величина уровня стратегического фактора успеха из предыдущего исследования;

СМіп - текущий уровень потребительских оценок;

СМі - уровень потребительских оценок из предыдущего исследования;

t - интервал времени между исследованиями.

На основе определения скорости изменения конкурентной позиции на инвестиционном рынке можно установить стратегических конкурентов инвестиционных субъектов.

Но существует проблема, касающаяся использования данного показателя, которая состоит в сложности формирования информационной базы для его расчета.

Для анализа уровня конкуренции на инвестиционном рынке важным экономическим показателем выступает показатель интенсивности конкуренции. Он интегральный, учитывает разные параметры функционирования инвестиционного рынка и определяется с помощью следующих показателей: четырехдолевого фактора конкуренции, индекса Харфиндала - Хиршмана, коэффициента рентабельности рынка, коэффициента Лернера.

Четырехдолевой фактор конкуренции (характеризует степень конкуренции инвестиционного рынка) используется для определения характера распределения долей инвестиционного рынка между конкурентами. Этот показатель предоставляет возможность оценить степень монополизации инвестиционного рынка, обращен куров-ню интенсивности конкуренции на рынке и определяется следующим образом:


где    CR - четырехдолевой фактор конкуренции;

ОР - совокупный объем реализации;

ОР1- объем реализации i-го субъекта рынка;

ОР1 = max { ОР1} для всех i = 1,...,n;

ОР2 - тах {OР2} для всех і = 1 - (п - 1);

ОР3 = тах {OР1,ОР2} для всех i = 1 - (п - 2);

ОР4 = тах {OР1,ОР2,ОР3} для всех i = 1 - (п - 3);

п - общее количество субъектов на инвестиционном рынке.

Показатель четырехдолевого фактора конкуренции включает долю первых четырех субъектов инвестиционного рынка, реализующих наибольший объем товаров в общем объеме товаров на рынке. При значении показателя CR4 больше 75% вводятся ограничения на объединения субъектов рынка с целью недопущения формирования монополии.

Индекс Харфиндала - Хиршмана определяется как оценка распределения долей инвестиционного рынка суммированием квадратов долей рынка конкурентов и рассчитывается по формуле


где    Di - доля i-го субъекта в общем объеме, которая, в свою очередь, находится по формуле


при этом 1 < Di < п.

При 0 < In < п значение индекса Харфиндала - Хиршмана растет по мере увеличения концентрации.

При In = 1 - это чистая монополия.

Если In < 0,18, то интенсивность конкуренции низкая, концентрация рынка высокая и для стабилизации ситуации требуется вмешательство государства.

Коэффициент рентабельности рынка определяет интенсивность конкуренции, уровень активности конкурентной рыночной среды, степень свободы субъектов при получении прибыли и рассчитывается как соотношение совокупной прибыли и общего объема продаж:


где    Pр - коэффициент рентаоельности рынка;

П - совокупная приоыль от инвестиционной деятельности;

ОР - общий объем продаж.

Коэффициент Лернера отражает возможность продавца влиять на товарную цену и определяется по формуле


где    Ц - цена;

MС - предельные расходы;

Ен - эластичность спроса по товарной цене инвестиционного субъекта.

При увеличении коэффициента Лернера власть субъекта на рынке больше. Если этот коэффициент проинтегрировать по всем субъектам инвестиционного рынка, то получим коэффициент рентабельности.

Таким образом, показатель интенсивности конкуренции можно определить по формуле


При рентабельности больше 100% показатель интенсивности конкуренции приближается к нулю, при убыточной деятельности - к единице.

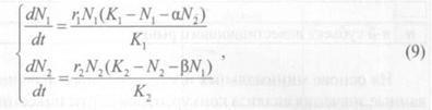
Еще одним методом количественной оценки уровня конкуренции инвестиционного рынка выступает динамичная конкурентная модель Лотки - Вольтерра, используемая для анализа конкурентного соревнования субъектов инвестиционного рынка. Эту модель можно описать следующим образом:


где    индекс 1 относится к популяции первого вида;

индекс 2 - к популяции второго вида;

N1, N2 - численность, соответственно, первого и второго видов;

K1, К2 - предельное насыщение, емкость среды для существования не более Кi лиц, максимальный объем рынка;

r1, r2 - удельная скорость роста, соответственно, первого и второго видов, потенциально вероятный годовой рост доходов;

а, β - межвидовые коэффициенты конкуренции.

Модель Лотки - Вольтерра дает возможность рассматривать экономические процессы во времени, поэтому можно определять тренды, конкурентную силу рыночных контрагентов, своевременно принимать необходимые решения, касающиеся развития инвестиционного субъекта.

Таким образом, рассмотрев существующие подходы к идентификации уровня конкуренции инвестиционного рынка, приведем авторскую разработку алгоритма его определения, методика формализации которого построена на основе адаптации модели Портера к условиям применения на макроуровне в разрезе формирования конкурентной карты рынка и предоставления количественной характеристики уровня конкуренции.

Представим шаги реализации научно-методического подхода к определению уровня конкуренции инвестиционного рынка в виде последовательных этапов.

-й этап - формирование информационной базы модели в виде временных рядов характеристик конкурентной карты инвестиционного рынка в разрезе анализа его субъектов.

Результаты проведения данного этапа представим в таблице 1.

-й этап - приведение характеристик конкурентной карты инвестиционного рынка в разрезе анализа его субъектов в сопоставимый вид на основе естественной нормализации. Для этого сначала определяют минимальные и максимальные значения выбранной характеристики уровня конкуренции (табл. 2).

Таблица 1

Динамика изменения характеристик конкурентной карты инвестиционного рынка в разрезе анализа его субъектов

Характеристика конкурентной карты инвестиционного рынка

1-й период времени

т-й период времени

1

1-й субъект инвестиционного рынка

к11

к1m





п

и-й субъект инвестиционного рынка

кп1

кпт


Таблица 2

Статистические характеристики конкурентной карты инвестиционного рынка в разрезе анализа его субъектов

Характеристика конкурентной карты инвестиционного рынка

Минимальное значение

Максимальное значение

А

Б

1

2

1

1 -й субъект инвестиционного рынка







п

п-й субъект инвестиционного рынка




На основе минимальных и максимальных значений (см. табл. 2) нормализованные значения анализа конкурентной карты инвестиционного рынка рассчитываются по формуле


где    кij - характеристика конкурентной карты инвестиционного рынка в разрезе i-го субъекта за j-й период времени.

-й этап - определение темпов прироста рыночной доли субъектов инвестиционного рынка в разрезе анализа выбранной характеристики уровня конкуренции (на основе данных таблицы 1) с дальнейшей классификацией конкурентов по данному признаку на 4 группы:

) субъекты с конкурентной позицией, которая быстро улучшается (темп прироста более 5%);

) субъекты с конкурентной позицией, которая улучшается (темп прироста от 0 до 5%);

) субъекты с конкурентной позицией, которая ухудшается (темп прироста от -5% до 0);

) субъекты с конкурентной позицией, которая быстро ухудшается (темп прироста менее -5%).

-й этап - группирование субъектов инвестиционного рынка в зависимости от размера рыночной доли, которую они занимают на данном рынке, на основе нормализованных данных (формула 10) по четырем направлениям:

) лидеры на инвестиционном рынке (доля рынка приобретает количественную характеристику от 0,75 до 1);

) субъекты с сильной конкурентной позицией на инвестиционном рынке (доля рынка - от 0,50 до 0,75);

) субъекты со слабой конкурентной позицией на инвестиционном рынке (доля рынка - от 0,25 до 0,50);

) аутсайдеры на инвестиционном рынке (доля рынка - от 0 до 0,25).

-й этап - построение конкурентной карты инвестиционного рынка в виде перекрестной матрицы, структурообразующими элементами которой выступают две классификации конкурентов:

) в разрезе достигнутого темпа прироста рыночной доли и ее размера, рассчитанного на основе данных таблицы 2;

) в зависимости от рассчитанного значения каждого из названных признаков выделяются и группируются те субъекты инвестиционного рынка, которые имеют общие характеристики.

Таким образом, конкурентная карта инвестиционного рынка может быть представлена в виде таблицы 3, где элементами аij і=1÷4, j =1÷4 выступает количество конкурентов на рынке, которые одновременно имеют i-ю и j-ю характеристики.

Таблица 3

Конкурентная карта инвестиционного рынка

Темп прироста рыночной доли / Размер рыночной доли

Лидеры на инвестиционном рынке

Субъекты с сильной конкурентной позицией на инвестиционном рынке

Субъекты со слабой конкурентной позицией на инвестиционном рынке

Аутсайдеры на инвестиционном рынке

Субъекты с





конкурентной





позицией,





которая:





быстро





улучшается

а 11

а 12

а 13

а 14

улучшается

а 21

а 22

а 23

а 24

ухудшается

а 31

а 32

а 33

а 43

быстро





ухудшается

а 41

а 42

а 43

а44




Для удобства проведения дальнейших расчетов рассмотрим конкурентную карту инвестиционного рынка, представленную в виде матрицы А:

Если при определении матрицы А возникает ситуация, когда один или несколько элементов aij приобретают нулевые значения, предлагаем провести корректировку путем прибавления ко всем элементам данной матрицы единичных значений.

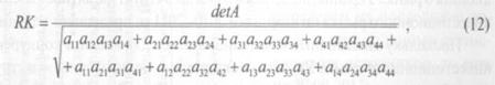
-й этап - расчет количественной оценки уровня конкуренции инвестиционного рынка на основе матрицы А, которая выступает сконцентрированной характеристикой конкурентной карты данного рынка и устанавливается как соотношение определителя матрицы А и корня из суммы произведений элементов данной матрицы, последовательно образующих ее столбцы и строки с помощью формулы


где    RK - уровень конкуренции инвестиционного рынка;

А - матрица отражения конкурентной карты инвестиционного рынка; detA - определитель матрицы А; аij, i = 1 ÷4, j = 1 ÷ 4 - количество конкурентов на рынке, имеющих одновременно i-ю и j-ю характеристики.

В свою очередь, числитель количественной оценки уровня конкуренции инвестиционного рынка устанавливается с помощью соотношения:


где    σ(i1,i2,...,in) - количество инверсий в перестановке.

Проведем агрегирование знаменателя формулы (13), что позволит упростит форму записи математического выражения для расчета уровня конкуренции инвестиционного рынка. Результаты проведенных преобразований будут иметь следующий вид:


Таким образом, обобщая сумму составляющих как в разрезе строк, так и в пределах столбцов матрицы A, из формулы (14) получаем следующее соотношение:


Итак, количественная оценка конкурентной карты инвестиционного рынка как уровня конкуренции данного рынка, с учетом проведенных промежуточных расчетов (формулы 4-6), приобретает вид дроби:


7-й этап - качественная интерпретация полученных расчетов уровня конкуренции инвестиционного рынка.

Предельными границами интервала возможных значений данного показателя выступают: 1 - монополия, 0 - совершенная конкуренция, а также степень приближения к нижней либо верхней границе соотношения (7).

После исследования теоретической сущности этапов научно-методического подхода к определению уровня конкуренции инвестиционного рынка апробируем на практике приведенный подход поданным украинского инвестиционного рынка.

В качестве основы информационного обеспечения разработанной модели взяты данные о стоимости ценных бумаг, в которые украинские субъекты хозяйствования вкладывают собственные средства. Указанное положение обусловлено двумя фактами: ценные бумаги являются, во-первых, наиболее распространенным и доступным инвестиционным инструментом в Украине, во-вторых - чисто технической возможностью получить реальные данные о значении анализируемого показателя.

В качестве субъектов исследования мы выбрали самых крупных игроков отечественного инвестиционного рынка, конкурирующих между собой в пределах аккумулирования наибольшего по объемам и стоимостным показателям инвестиционного портфеля. Информационную базу построения конкурентной карты инвестиционного рынка Украины по ценным бумагам в структуре активов восьми субъектов инвестиционного рынка по кварталам 2010-2011 гг. представим в таблице 4.

Поскольку динамичные изменения взятого для анализа конкурентной карты инвестиционного рынка Украины показателя - ценных бумаг - в структуре активов субъектов рынка имеют свои специфические особенности и принципы формирования и отражения в пределах деятельности каждого из рассмотренных конкурентов, приведем данные таблицы 4 в сопоставимый вид по формуле естественной нормализации (1) и представим их в таблице 5.

Таблица 4

Динамика изменения стоимости ценных бумаг в структуре активов субъектов инвестиционного рынка по кварталам 2010-2011 гг.

(млн. грн.)

Ценные бумаги в структуре активов

31.03.2010

30.06.2010

30.09.2010

31.12.2010

31.03.2011

30.06.2011

30.09.2011

Средний темп прироста

Коммерческие банки ...........................

45937,09

57333,82

72069,30

63697,31

66975,55

82713,53

63447,02

5,53

Рисковые страховые компании ........

1386,80

1578,50

1644,70

1947,90

1529,60

1746,70

1706,80

3,52

Лайфовые страховые компании

763,10

715,50

785,50

829,10

873,00

924,60

997,40

4,56

Негосударственные пенсионные









фонды .............................................

443,30

379,50

421,80

558,10

601,00

638,60

709,60

8,16

Открытые институты совместного









инвестирования (ИСИ) ...............

233,21

181,05

165,09

182,80

201,47

191,04

158,18

-6,27

Интервальные ИСИ................................

221,64

206,11

147,36

170,38

176,66

147,48

126,50

-8,92

Закрытые ИСИ........................................

5296,62

4909,59

5006,31

6014,15

6063,27

5369,21

5761,74

1,41

Венчурные ИСИ.....................................

-

61248,91

37337,20

34213,19

36381,87

35452,22

38089,74

-9,06


Необходимость проведения данного этапа обусловлена тем, что в ходе реализации научно-методического подхода к определению уровня конкуренции отечественного инвестиционного рынка учитываются только стоимостные значения объема ценных бумаг в структуре активов коммерческих банков, рисковых страховых компаний, лайфовых страховых компаний, негосударственных пенсионных фондов и разных видов (открытые, интервальные, закрытые, венчурные) институтов совместного инвестирования. В то же время неучтенными остаются другие количественные характеристики ценных бумаг, например, такие как уровень риска, уровень прибыльности, степень диверсификации, стоимость одной акции и др.

С помощью нормализации можно максимально адекватно сравнить разные по качественным и количественным характеристикам портфели ценных бумаг определенных субъектов инвестиционных отношений, что в результате даст достоверную картину уровня конкуренции на инвестиционном рынке Украины.

На основе данных таблицы 5 построим конкурентную карту инвестиционного рынка (в разрезе субъектов) (табл. 6) с некоторыми аспектами:

уровень конкуренции определен на последнюю отчетную дату, по данным статистических источников, то есть на 30.09.2011;

конкуренты сгруппированы по уровню среднего темпа прироста рыночной доли (см. табл. 4) на основе идентификации нижнего и верхнего пределов с дискретностью в 5%;

классификация конкурентов проведена по размеру рыночной доли на основе идентификации нижнего и верхнего пределов с дискретностью в 0,25 единицы на базе нормализованных данных таблицы 4;

Таблица 5

Динамика изменения нормализованных значений ценных бумаг в

структуре активов субъектов инвестиционного рынка по кварталам

-2011 гг.

(млн. грн.)

Ценные бумаги в структуре активов

31. 03. 10

30. 06. 10

30. 09. 10

31. 12. 10

31. 03. 11

30. 06. 11

30. 09. 11

min

max

Коммерческие банки

0,00

0,31

0,71

0,48

0,57

1,00

0,48

45937,09

82713,53

Рисковые страховые










компании.................... Лайфовые страховые

0,00

0,34

0,46

1,00

0,25

0,64

0,57

1386,80

1947,90











компании.................... Негосударственные

0,17

0,00

0,25

0,40

0,56

0,74

1,00

715,50

997,40











пенсионные фонды....

0,19

0,13

0,54

0,67

0,78

1,00

379,50

709,60

Открытые ИСИ.......... Интервальные ИСИ...

1,00

0,30

0,09

0,33

0,58

0,44

0,00

158,18

233,21


1,00

0,84

0,22

0,46

0,53

0,22

0,00

126,50

221,64

Закрытые ИСИ........... Венчурные ИСИ.........

0,34

0,00

0,08

0,96

1,00

0,40

0,74

4909,59

6063,27


-1,27

1,00

0,12

0,00

0,08

0,05

0,14

34213,19

61248,91


рассмотренный субъект инвестиционного рынка (например, 1-го - коммерческих банков) отнесен к соответствующей ячейке конкурентной карты рынка на основе пересечения:

) среднего темпа прироста в размере 5,53% группы с пределами не менее 5%, то есть "Субъекты с конкурентной позицией, которая быстро улучшается";

) рыночной доли в размере 0,48 группы с пределами от 0,25 до 0,50, то есть "Субъекты со слабой конкурентной позицией на инвестиционном рынке".

Таблица 6

Конкурентная карта инвестиционного рынка (в разрезе субъектов)

Дата (30.09.2011)

Верхний предел рыночной доли

1

0,75

0,5

0,25

Нижний предел темпа прироста рыночной доли

Верхний предел темпа прироста рыночной доли

Нижний предел рыночной доли

0,75

0,5

0,25

0

5



4


1


0

5


3

2, 7



-5

0







-5





5,6,8


Таким образом, можно утверждать, что данные таблицы 6 отражают конкурентную карту в разрезе анализа каждого субъекта. Но в то же время необходимо отметить, что в ней не показано количество субъектов, которым свойственны те или иные характеристики (одинаковые значения рыночной доли и темпы ее прироста), поэтому она не может быть основой для расчета обобщающего уровня конкуренции инвестиционного рынка. Исходя из этого, проведем корректировку полученных показателей в виде подсчета количества конкурентов, отвечающих той или иной ячейке (табл. 7).

Таблица 7

Конкурентная карта инвестиционного рынка (в разрезе количества конкурентов)

Дата (30.09.2011)

Верхний предел рыночной доли

1

0,75

0,5

0,25

Нижний предел темпа прироста рыночной доли

Верхний предел темпа прироста рыночной доли

Нижний предел рыночной доли

0,75

0,5

0,25

0

5



1


1


0

5


1

2



-5

0







-5





3


Сделаем корректировку конкурентной карты на единичные значения в случае равенства нулю хотя бы одной ячейки (табл. 8). Кроме того, проведем дополнительный расчет произведений значений по строкам и столбцам, выступающим основой вычисления знаменателя соотношения оценки уровня конкуренции инвестиционного рынка.

Таблица 8

Конкурентная карта инвестиционного рынка (в разрезе количества конкурентов) (откорректированная)



Верхний

1

0,75

0,5

0,25

Произведение значений 

Дата (30.09.2011)

предел рыночной








доли






Нижний предел темпа прироста рыночной доли

Верхний предел темпа прироста рыночной доли

Нижний предел рыночной доли

0,75

0,5

0,25

0


















5



2

1

2

1

4

0

5


2

3

1

1

6

-5

0


1

1

1

1

1


-5


1

1

1

4

4

Произведение значений

4

3

2

4



Таким образом, применяя формулу 7 к данным таблицы 8, получим следующее значение уровня конкуренции украинского инвестиционного рынка (по состоянию на 30.09.2011):

RK =  =0,5669.

Следовательно, если значение исследуемого показателя равно 1, на инвестиционном рынке будет абсолютная монополия, а в случае его нулевого значения - совершенная конкуренция, то на основе полученных расчетов можно утверждать, что для фондового сегмента украинского инвестиционного рынка при данных условиях развития характерен низкий уровень конкуренции с тенденцией, с одной стороны, к закреплению доминирующей роли банков как финансовых посредников, а с другой - к формированию олигополистической модели самой банковской системы.

В современных условиях функционирования на отечественном инвестиционном рынке в отношении такого его инструмента, как ценные бумаги, нет какого-либо потенциального и качественного развития. Это, в частности, подтверждается фактическим отсутствием рынка производных ценных бумаг (их доля в общей структуре зарегистрированных ГКЦБФР выпусков ценных бумаг ежегодно не превышает 0,1%).

Исследование конкуренции между собой только коммерческих банков и в некоторой степени венчурных инвестиционных фондов не позволяет говорить о выполнении инвестиционным рынком всех своих функций и перспективности его развития для экономики в целом.

Выводы

Делаем вывод, что не только самим участникам инвестиционного рынка нужно активизировать собственные действия для повышения уровня конкуренции, но и государственные органы власти должны перейти к структурному реформированию инвестиционного рынка, а также обеспечить равные условия для функционирования всех его субъектов и создать условия для стимулирования инвестиционной деятельности рисковых страховых компаний, лайфовых страховых компаний, негосударственных пенсионных фондов и институтов совместного инвестирования.

В работе предложена модель количественной оценки уровня конкуренции на фондовом рынке Украины; исследована текущая ситуация на инвестиционном рынке, осуществлена идентификация потенциальных возможностей его функционирования и выяснены дальнейшие направления развития; обобщены основные теоретические подходы к оценке степени открытости и развития инвестиционного рынка, построенные на количественном анализе уровня конкуренции.

Список источников

1.      Урдашев Б. Формирование конкуренции в качестве инструмента экономической политики государства. Автореф. дис... канд. экон. наук. М., 2003.

.        Герасименко В. Економічна сутність і особливості банківської конкуренції та конкурентоспроможності банків. У зб. наук, праць "Проблеми і перспективи розвитку банківської системи України". Вип. 32, Сумы, 2011, с. 6-14.

3.      Комарницька P. Інвестиційна діяльність комерційних банків. Автореф. дис... канд. екон. наук. Тернопіль, 2003.

4.      Васильєва Т., Леонов С, Макарюк О. Сутнісний аналіз інвестиційного ринку та його ролі у функціонуванні економічної системи. " Вісник Харківського національного технічного університету сільського господарства". Економічні науки. Вип. 85, 2009, с. 16-22.

.        Москвін С. Інвестиційний ринок України: передумови та проблеми формування у контексті світової фінансової кризи. "Фінансовий ринок України" № 3, 2009, с. 8- 13.

6.      Портер М. Международная конкуренция. М., "Международные отношения",1993.

7.      Єпіфанов А., Ярошенко А. Науково-методичні підходи до оцінки рівня конкуренції в банківській системі. У зб. наук, праць "Проблеми і перспективи розвитку банківської системи України". Т. 31, Сумы, 2011, с. 16-28.

8.      Азоев Г. Л. Конкуренция: анализ, стратегия и практика. М., Центр экономики и маркетинга, 1996, 248 с.

9.      Сіваченко І. Ю., Козак Ю. Г., Логвінова Н.С. Управління міжнародною конкурентоспроможністю підприємств. К., Центр навчальної літератури, 2010, 312 с.

10.    The Herfindahl - Hirschman Index. The United States Department of Justice (http:// www.justice.gov/atr/public/testimony/hhi.htm <http://www.justice.gov/atr/public/testimony/hhi.htm>).

11.    Економічна енциклопедія. В 3-х т. Т. 1. (За ред. С. В. Мочерного). К., Видавничий центр "Академія", 2000.

12.    Dublin L. I., Lоtka A. J. On the true rate of natural increase as exemplified by the population of the United States, 1920. "Journal of the American Statistical Association", Vol. 20, 1925, p. 305-339; Полищук E. M. Вито Вольтерра. "Историко-математические исследования

13.    Асоціація українських банків. Показники діяльності банків (<http://aub.org.ua/index.php?option=com_arhive_docs&show=l&menu=104&ltemid=112>).

.        Державна комісія з регулювання ринків фінансових послуг України. Недержавні пенсійні фонди (<http://www.dfp.gov.ua/1058.html>).

15.    Українська асоціація інвестиційного бізнесу. Річна аналітика (<http://www.uaib.com.ua/analituaib/year_analit_uaib.html>).

Похожие работы на - Определение уровня конкуренции на фондовом рынке

 

Не нашли материал для своей работы?
Поможем написать уникальную работу
Без плагиата!
Без нейросетей!