Анализ практики кредитования физических лиц на примере Сибирского банка Сбербанка РФ
ОГЛАВЛЕНИЕ
Введение
.
Теоретические основы кредитования физических лиц коммерческими банками
1.1 Сущность, функции и
принципы потребительского кредитования
.2 Правовое регулирование
кредитования физических лиц
.3 Классификация кредитов,
предоставляемых физическим лицам
2.
Методические основы кредитования физических лиц
2.1 Правила кредитования
физических лиц в банке
.2 Методики оценки
кредитоспособности физических лиц
.3 История развития
потребительского кредитования
3.
Анализ практики кредитования физических лиц на примере Сибирского банка
Сбербанка РФ
3.1 Краткая характеристика
деятельности банка
.2 Оценка кредитоспособности
заемщика
.3 Анализ кредитного портфеля
Сибирского банка Сбербанка России в части кредитования физических лиц
Заключение
Список
использованных источников
Приложения
Введение
Актуальность исследования обусловлена тем, что в настоящее время рынок
кредитования физических лиц претерпевает значительные изменения. Некоторое
время назад банки соревновались друг с другом, снижая ставки и смягчая
требования к заемщикам. Однако кризисная ситуация на финансовом рынке заставила
большинство банков двинуться в обратном направлении. В условиях финансового
кризиса банки не только повышают ставки по кредитам, но и ужесточают требования
к заемщикам. Сегодня в кредитах отказывают каждому третьему, обратившемуся в
банк. Причины сложившейся ситуации заключаются в удорожании и непосредственной
трудности получения банками заемных средств для фондирования. В таких условиях
банки ориентируются на выдачу кредитов более «качественным» клиентам. Рынок
кредитования физических лиц в последние годы стремительно рос, в связи с чем
банки активно привлекали денежные средства на зарубежных рынках, что и повлекло
за собой снижение ставок кредитования. Во второй половине 2007 г. из-за
ипотечного кризиса в США многие зарубежные банки понесли убытки. Нехватка
денежной массы на Западе немедленно привела к росту ставок, под которые
происходят заимствования на зарубежных рынках. Рост этих ставок естественным
образом сказался в том числе и на потребительских кредитах. И если ранее
российские банки имели возможность проводить более рискованную политику, то
сейчас стараются свести к минимуму риски кредитования, основываясь на опыте
зарубежных коллег. Таким образом, для руководителей и специалистов
отечественных коммерческих банков стала актуальной и своевременной задача
совершенствования кредитования физических лиц.
Исходя из этого, целью настоящего исследования является анализ системы
кредитования физических лиц в коммерческом банке.
Для достижения поставленной цели необходимо решить следующие задачи:
раскрыть сущность, функции и принципы потребительского
кредитования;
исследовать правовые аспекты кредитования физических лиц
коммерческими банками в РФ;
провести анализ видов потребительского кредитования в РФ;
исследовать методические основы кредитования физических лиц;
провести анализ кредитования физических лиц, на материалах
Сибирского банка Сбербанка России.
Объектом исследования дипломной работы выступает Сибирский банк Сбербанка
России. Предметом исследования является механизм кредитования физических лиц в
коммерческом банке.
Теоретическую и методическую основу исследования составляют труды
отечественных ученых по проблемам кредитования физических лиц. Это работы
Балабанова И. Т., Жарковской Е.П., Изофенко Р.Н., Лаврушина О.И., Оселедец
В.М., Коробовой Г.Г., Костериной Т.М., Курбатова А.Я., Севрук В.Т., Товасиева
А.М. Анализ библиографических источников показал, что данная проблема ранее
была комплексно исследована в работах представителей отечественной и зарубежной
науки. Большое число исследований было посвящено вопросам правового
регулирования потребительского кредитования, рискам кредитования физических
лиц, преимуществам, перспективам развития потребительского кредитования.
Правовой основой послужили документы законодательных и исполнительных
органов РФ. Информационной базой послужили данные Росстата, данные
отечественных статистических исследований, периодической печати, материалы
научных статей, а также отчетность и методические разработки Сбербанка России.
1. Теоретические основы кредитования
физических лиц коммерческими банками
1.1 Сущность, функции и принципы потребительского
кредитования
В настоящее время потребительское кредитование получило большое
распространение и стало одной из форм экономического развития общества. Поэтому
представляется необходимым рассмотреть сущность, функции и принципы
потребительского кредитования.
В научной и учебной литературе, а также в нормативных документах природа
кредита подчас трактуется неоднозначно. В этой связи необходимо для начала
выяснить узловые моменты, связанные с данным понятием. В ГК РФ понятия «заем» и
«кредит» различаются содержательно по ряду признаков. Из их сравнения
вытекает, что кредит (частный случай отношений займа) обладает следующими
неотъемлемыми свойствами [1; ст. 819]:
в нем речь должна идти о передаче одной стороной (кредитором)
другой стороне (заемщику) не любых вещей, а только денег, причем лишь во
временное пользование (не в собственность заемщика). При этом указанные деньги
могут не являться собственностью и самого кредитора;
он не может, если иное не предусмотрено в договоре, быть
беспроцентным. При этом договорное оформление (в письменном виде)
выдачи/получения кредита рассматривается как обязательный, хотя и не
специфический для кредитной сделки параметр. Для договора займа письменная
форма не всегда обязательна;
в нем в качестве кредитора выступает не любое лицо, а только
кредитная организация (как правило, банк). В этом смысле кредит - это банковский
кредит в денежной форме. При этом имеется в виду активный вариант кредитования,
когда банк не получает, а сам дает кредит;
обязательство банка выдать кредит в соответствии с заключенным
договором носит безусловный характер;
возвращается кредит также в денежной форме.
Кроме того, необходимость заботиться о будущем возврате выдаваемого
банком кредита заставляет его обычно требовать от потенциального заемщика [13;
ст.80]:
) обоснования разумности и экономической эффективности операции, на
которую запрашивается кредит, что в общем случае означает открытость и
определенность относительно целевого назначения кредита;
) предоставления кредитору возможности контролировать в известных
пределах целевое использование кредита;
) предоставления кредитору известного материального или иного обеспечения
выдаваемого им кредита как доказательства надежности отношений сторон даже в
случае неудачного проведения заемщиком операции (сделки), на которую брался
кредит, или в целом неблагоприятного развития финансового состояния заемщика.
Наконец, выданный заемщику кредит банк первоначально обязательно
зачисляет на специально для этого открываемый ссудный счет.
Обобщая перечисленные пункты, можно сделать вывод о том, что кредит
предполагает передачу заемщику банком на основании специального письменного
договора исключительно денежных средств (собственных средств банка и/или
заемных) на определенный в таком договоре срок на условиях возвратности и
платности в денежной же форме, подконтрольности, а также, как правило, целевого
использования и обеспеченности.
Следует также иметь в виду, что кредит имеет место не с момента
подписания сторонами кредитного договора, а с момента реального предоставления
соответствующей суммы заемщику.
Выделенные выше характеристики кредита именуются базовыми признаками
кредита.
В банковском законодательстве термин «ссуда» не применяется (в главе 38
ГК под этим понимается безвозмездное пользование вещью, полученной от другого
лица). В то же время он широко применяется в документах Банка России и
литературе. При этом указанные термины фактически используются как синонимы,
точнее, ссуда понимается как активный кредит.
Банковское кредитование как процесс - это совокупность отношений между
банком как кредитором и его заемщиком по поводу [15; с. 64]:
а) предоставления заемщику определенной суммы денег для целевого
использования (встречаются и так называемые несвязанные кредиты, когда в
кредитном договоре/соглашении цель или объект кредитования не указывается);
б) их своевременного возврата;
в) получения от заемщика платы за пользование предоставленными в его
распоряжение средствами.
Место и роль кредита в экономической системе общества определяются,
прежде всего, выполняемыми им функциями, как общего, так и селективного
характера (рис. 1.1) [16; с. 147].
Рисунок 1.1 - Функции кредита
Перераспределительная функция. В условиях рыночной экономики рынок
ссудных капиталов выступает в качестве своеобразного насоса, откачивающего
временно свободные финансовые ресурсы из одних сфер хозяйственной деятельности
и направляющего их в другие, обеспечивающие, в частности, более высокую
прибыль. Ориентируясь на ее дифференцированный уровень в различных отраслях или
регионах, кредит выступает в роли стихийного макрорегулятора экономики, обеспечивая
удовлетворение потребностей динамично развивающихся объектов приложения
капитала в дополнительных финансовых ресурсах. Однако в некоторых случаях
практическая реализация указанной функции может способствовать углублению
диспропорций в структуре рынка, что наиболее наглядно проявилось в России на
стадии перехода к рыночной экономике, где перелив капиталов из сферы
производства в сферу обращения принял угрожающий характер, в том числе с
помощью кредитных организаций. Именно поэтому одна из важнейших задач
государственного регулирования кредитной системы - рациональное определение
экономических приоритетов и стимулирование привлечения кредитных ресурсов в те
отрасли или регионы, ускоренное развитие которых объективно необходимо с
позиции национальных интересов, а не исключительно текущей выгоды отдельных
субъектов хозяйствования.
Экономия издержек обращения. Практическая реализация этой функции
непосредственно вытекает из экономической сущности кредита, источником которого
выступают, в том числе финансовые ресурсы, временно высвобождающиеся в процессе
кругооборота промышленного и торгового капиталов. Временной разрыв между
поступлением и расходованием денежных средств субъектов хозяйствования может
определить не только избыток, но и недостаток финансовых ресурсов. Именно
поэтому столь широкое распространение получили ссуды на восполнение временного
недостатка собственных оборотных средств, используемые практически всеми
категориями заемщиков и обеспечивающие существенное ускорение оборачиваемости
капитала, а, следовательно, и экономию общих издержек обращения.
Ускорение концентрации капитала. Процесс концентрации капитала является
необходимым условием стабильности развития экономики и приоритетной целью
любого субъекта хозяйствования. Реальную помощь в решении этой задачи оказывают
заемные средства, позволяющие существенно расширить масштаб производства (или
иной хозяйственной операции) и, таким образом, обеспечить дополнительную массу
прибыли. Даже с учетом необходимости выделения части ее для расчета с кредитором
привлечение кредитных ресурсов более оправдано, чем ориентация исключительно на
собственные средства.
Обслуживание товарооборота. В процессе реализации этой функции кредит
активно воздействует на ускорение не только товарного, но и денежного
обращения, вытесняя из него, в частности, наличные деньги. Вводя в сферу
денежного обращения такие инструменты, как векселя, чеки, кредитные карты и
т.д., он обеспечивает замену наличных расчетов безналичными операциями, что
упрощает и ускоряет механизм экономических отношений на внутреннем и
международном рынках. Наиболее активную, роль в решении этой задачи играют
коммерческий кредит как необходимый элемент современных отношений товарообмена.
Ускорение научно-технического прогресса. Наиболее наглядно роль кредита в
его ускорении может быть отслежена на примере процесса финансирования
деятельности научно-технических организаций, спецификой которых всегда являлся
больший, чем в других отраслях, временной разрыв между первоначальным вложением
капитала и реализацией готовой продукции. Именно поэтому нормальное
функционирование большинства научных центров (за исключением находящихся на
бюджетном финансировании) немыслимо без использования кредитных ресурсов. Столь
же необходим кредит и для осуществления инновационных процессов в форме
непосредственного внедрения в производство научных разработок и технологий,
затраты на которые первоначально финансируются предприятиями, в том числе и за
счет целевых средне - и долгосрочных ссуд банка.
Итак, кредит - это экономические отношения, возникающие между кредитором
и заемщиком по поводу стоимости, передаваемой во временное пользование.
Банковское кредитование осуществляется при строгом
соблюдении принципов кредитования, которые представляют собой основу, главный
элемент системы кредитования.
Принципы кредитования, которые должны соблюдаться в процессе выдачи и
погашения кредитов [26; с. 102]:
возвратность кредита. Обязательный признак кредита, без него теряется
суть кредитования. Этот принцип выражает необходимость своевременного возврата
полученных от кредитора финансовых средств после завершения их использования
заемщиком. Он находит свое практическое выражение в погашении конкретной ссуды
путем перечисления соответствующей суммы денежных средств на счет
предоставившей ее кредитной организации (или иного кредитора), что обеспечивает
возобновляемость кредитных ресурсов банка как необходимого условия продолжения
его деятельности;
срочность кредита - соблюдение сроков возврата. Этот принцип отражает
необходимость возврата кредита не в любое приемлемое для заемщика время, а в
точно определенный срок, зафиксированный в кредитном договоре или заменяющем
его документе. Нарушение указанного условия является для кредитора достаточным
основанием для применения к заемщику экономических санкций в форме увеличения
взимаемого процента, а при дальнейшей отсрочке - предъявления финансовых
требований в судебном порядке;
обеспеченность кредита. Этот принцип выражает необходимость обеспечения
защиты имущественных интересов кредитора при возможном нарушении заемщиком
принятых на себя обязательств;
дифференциация кредитов - кредитоспособность заемщика. К каждому
потенциальному заемщику должен быть различный подход в зависимости от тех или
иных условий его деятельности. Этот принцип определяет дифференцированный
подход со стороны кредитной организации к различным категориям потенциальных
заемщиков;
платность кредита. Этот принцип выражает необходимость не только прямого
возврата заемщиком полученных от банка кредитных ресурсов, но и оплаты их
использования. Экономическая сущность платы за кредит отражается в фактическом
распределении дополнительно полученной за счет его использования прибыли между
заемщиком и кредитором. Практическое выражение рассматриваемый принцип находит
в процессе установления величины банковского процента;
целевое назначение кредита. Распространяется на большинство видов
кредитных операций, выражая необходимость целевого использования средств,
полученных от кредитора. Находит практическое выражение в соответствующем
разделе кредитного договора, устанавливающего конкретную цель выдаваемой ссуды,
а также в процессе банковского контроля за соблюдением этого условия заемщиком.
Нарушение данного обязательства может стать основанием для досрочного отзыва
кредита или введения штрафного (повышенного) ссудного процента.
Рассмотрев сущность кредита, его функции и принципы, можно перейти
непосредственно к изучению особенностей потребительских кредитов.
Некоторые определения потребительского кредита представлены в табл.1.1.
Таблица 1.1 - Определения потребительского кредита
|
Автор (источник)
|
Определение
|
|
Письмо ЦБ РФ от 05.05.2008
г. № 52-Т "О Памятке заемщика по потребительскому кредиту"
|
Потребительский кредит -
это кредит, предоставляемый банком на приобретение товаров (работ, услуг) для
личных, бытовых и иных непроизводственных нужд.
|
|
Товасиев А. М. [36;
с. 302]
|
Потребительский кредит
предоставляется банками населению для удовлетворения различных
потребительских нужд. С одной стороны, увеличивая платежеспособный спрос
населения, кредит позволяет получать материальные блага, товары без
предварительного накопления средств. С другой стороны, кредит ускоряет
реализацию товарных запасов, услуг и тем самым обеспечивает расширенное
воспроизводство в экономике страны.
|
|
Лаврушин О.И. [27;
с. 84]
|
Потребительскими ссудами в
нашей стране называют ссуды, предоставляемые населению. При этом
потребительский характер ссуд определяется целью (объектом кредитования)
предоставления ссуды. В России к потребительским ссудам относят любые виды
ссуд, предоставляемых населению, в том числе ссуды на приобретение товаров
длительного пользования, ипотечные ссуды, ссуды на неотложные нужды и прочие.
|
Таким образом, можно сделать вывод, что потребительский кредит - это
кредит с целью использования денежных средств в потребительских целях.
Потребительские цели - это цели, не связанные с предпринимательской
деятельностью. Например, это могут быть кредиты на покупку товаров длительного
пользования: мобильных телефонов, мебели, бытовой техники, автомобилей. Также
возможен потребительский кредит с целью оплаты различных услуг (медицинских,
образовательных, туристических). Возможно предоставление денежного
потребительского кредита, который заемщик использует по своему усмотрению.
Кредитором может быть либо торгово-сервисная организация, либо кредитная
организация. Заемщиком является физическое лицо (потребитель). На практике,
потребительские кредиты предоставляют в основном банки. Для торгово-сервисных
организаций предоставление потребительского кредита - не всегда выгодно,
во-первых, потому что они очень часто нуждаются в пополнении оборотных средств,
во-вторых, предоставление потребительских кредитов неизбежно влечет увеличение
издержек предприятия (например, придется организовывать службу взыскания
задолженности, нужно будет дополнительно закупать необходимое программное
обеспечение и т.д.); фактически торгово-сервисной организации придется
заниматься непрофильной деятельностью, ведь предоставление кредитов обычно
прерогатива банков [12; с. 167].
Потребительский кредит может получить физическое лицо, удовлетворяющее
установленным банковским требованиям. В зависимости от банка эти требования
могут варьироваться, но есть универсальное требование, применяемое всеми
банками: кредит может получить физическое лицо, имеющее постоянный источник дохода.
Необходимость потребительского кредита обусловлена не только развитием
товарно-денежных отношений, но и [23; с. 124]:
. Существует разрыв между размерами текущих денежных доходов населения и
относительно высокими ценами на имущество длительного пользования. И
одновременно у некоторых слоев населения наблюдается временное оседание
свободных денежных средств.
. Потребительский кредит необходим с позиции производителя для
обеспечения беспрепятственной реализации своих товаров.
Потребительские кредиты удобны. Они есть во всех странах мира и неизменно
популярны. В странах запада потребительские кредиты получили широкое
распространение. Население тратит около 10 - 20 % своих ежегодных доходов на
его покрытие [30; с. 22]. Современное общество не мыслит без них цивилизованной
экономики.
Можно выделить следующие преимущества потребительского кредита [27; с.
110]:
возможность получить те вещи, которых без использования кредита
пришлось бы очень долго ждать или которые были бы просто не доступны;
гибкость: делать покупки в удобное время;
безопасность: осуществление платежа между банком и какой либо
организацией или единовременное предоставление средств клиенту намного
безопаснее;
помощь: кредит позволяет оплачивать непредвиденные срочные
расходы (ремонт автомобиля, квартиры, оплата отпуска).
Популярность потребительских кредитов обусловлена, во-первых,
возможностью приобретения любых товаров и услуг по мере их необходимости, без
долгого накопления денежных средств. Во - вторых, гибкостью: можно делать
выгодные приобретения в удобное время, даже если в этот момент нет нужной суммы
наличных. И, наконец, безопасностью - это более удобное и надёжное средство
оплаты в сравнении с наличными деньгами.
Потребительский кредит в современных условиях
оказывает двоякое влияние на экономические процессы. Потребительский кредит
способствует развитию экономики, поскольку [21; с. 84]:
. Стимулирует потребление населением товаров
длительного пользования и услуг, и, как следствие, - развитие производства.
. Способствует перераспределению доходов не только в
пространстве (между различными участниками процессов производства и
потребления), но и во времени.
. Устанавливает баланс между совокупным спросом и
совокупным предложением в краткосрочном периоде.
. Сокращает временные разрывы между потребностью в
определенных товарах и услугах и возможностью их оплаты.
. Сокращает издержки обращения, связанные с хранением
товаров.
. Увеличивает скорость денежного обращения. С помощью
кредита свободные денежные капиталы и сбережения помещаются их владельцами в
банки, а последние путём предоставления ссуд пускают их в оборот. Оборот денег
ускоряется также тем, что покупка товаров в кредит исключает необходимость
предварительного накопления денег, а долг может оплачиваться немедленно после
получения дохода.
. Дает возможность производителям снять остроту
проблемы перепроизводства товаров и услуг, скоординировать в будущем
производственные планы с учетом прогноза потребительского спроса и избежать
кризиса сбыта.
В тоже время потребительский кредит может оказывать и
негативное влияние на экономические процессы [24; с. 94]:
. На уровне индивида потребительский кредит создает
иллюзию богатства и приводит к чрезмерным тратам. По мере роста задолженности
часто возникают трудности с ежемесячными платежами. Кроме того, потребитель с
высокой долей задолженности в потребительском бюджете отчасти теряет
покупательский потенциал и привлекательность для товаропроизводителей в
будущем.
. Как правило, покупки в кредит обходятся дороже, чем
при оплате наличными. Увеличение расходов связано с необходимостью оплаты
процентов за пользование кредитом.
. На макроуровне потребительский кредит, временно
форсируя рост производства и создавая видимость высокой конъюнктуры, в конечном
счёте, может способствовать выходу производства за рамки платёжеспособного
спроса населения, нарастанию перепроизводства и обострению экономических
кризисов. Уровень потребительского кредитования зависит от фазы экономического
цикла. На стадии подъема население увеличивает покупки в кредит, в период пика
- замедляет, в период спада - резко снижает, в период депрессии -
стабилизирует, а затем повышает объемы покупок товаров в кредит.
Потребительский кредит в период подъема может способствовать «перегреву»
экономики.
. В условиях глобализации экономики особенно явно
проявляются отличия в возможности предоставления потребительского кредита
отечественными и ведущими зарубежными компаниями. Крупнейшие, транснациональные
компании, столкнувшись с кризисом сбыта в странах базирования и производства
товаров и услуг, предлагают более выгодные условия потребительского
кредитования на российском рынке, повышая свои шансы в конкурентной борьбе.
Отечественные компании, часто более слабые в финансовом отношении, предлагают
менее выгодные условия кредитования.
К основным задачам, которые стоят перед банками, работающими в сфере
кредитования физических лиц, относятся:
ведение единой информационной базы по потенциальным и реальным
клиентам, а также по сделкам;
необходимость проведения расчета и анализа кредитоспособности
заемщика;
уменьшение времени согласования предоставления кредита;
формирование пакета кредитной документации;
сокращение времени прохождения этапов продажи кредита за счет
выявления потребностей клиента и предложения максимально подходящих для него условий
кредитования;
мониторинг и управление каталогом кредитных продуктов, основная
цель которого - вывести на рынок наиболее интересные в данный момент программы
кредитования;
проведение анализа на основе исторических данных, содержащихся в
кредитных историях;
обеспечение руководства банка информацией и возможностями,
необходимыми для анализа, планирования и принятия стратегических и тактических
решений;
автоматизация работы филиальной сети;
минимизация трудоемких и рутинных операций;
гибкая интеграция с существующими информационными системами
банка, в том числе с автоматизированной банковской системой (АБС);
создание автоматизированных рабочих мест для партнеров
(автосалоны, ипотечные брокеры, страховые компании, агентства недвижимости и
т.д.);
повышение прозрачности взаимодействия с клиентами на этапе
привлечения и продаж как для менеджера, работающего с клиентом, так и для его
руководителя;
передача управления отношениями с потенциальными и реальными
клиентами между менеджерами в случае длительного отсутствия одного из них.
1.2 Правовое регулирование кредитования физических лиц
Потребительское кредитование в России стало значительным источником
банковских доходов. В связи с этим актуализируется задача эффективного
регулирования взаимоотношений банка и клиента-потребителя при банковском
розничном кредитовании.
В целом можно выделить три уровня правового регулирования кредитования
физических лиц: первый уровень - федеральное законодательство, второй уровень -
нормативно-правовые акты Центрального банка, третий уровень - локальные
нормативные акты кредитной организации (правила обслуживания клиентов,
положения, инструкции, правила о подразделениях кредитной организации).
На данный момент в России не существует специального законодательства,
регулирующего отношения в области потребительского кредитования.
Взаимоотношения между заемщиком и банком выстраиваются на основании общих норм
российского гражданского и банковского законодательства, а также
законодательства о защите прав потребителя. Основными нормативными актами в
этой области являются:
. Гражданский кодекс Российской Федерации (части первая и вторая),
Часть 1 глава 23 «Обеспечение обязательств», глава 27 «Понятие и условия
договора», 28 «Заключение договора», 29 «Изменение и расторжение договора»,
Часть 2 глава 42 «Заем и Кредит»,49 «Поручение».
. Федеральный закон от 02.12.1990 г. № 395-1 «О банках и
банковской деятельности».
. Федеральный закон "О кредитных историях" от 30.12.04
г. № 218-ФЗ (ред. от 24.07.2007 г.).
. Федеральный закон РФ "О защите прав потребителей" от
07.02.1992 г. № 2300-1 (ред. от 25.11.2006 г.).
. Закон РФ от 29 мая 1992 г. № 2872-I "О залоге" (ред.
от 19.07.2007 г.).
. Положение Банка России от 26.03.2004 г. № 254-П "О порядке
формирования кредитными организациями резервов на возможные потери по ссудам,
по ссудной и приравненной к ней задолженности" (ред. от 02.02.2009 г.).
. Положение Банка России от 31.08.1998 г. № 54-П "О порядке
предоставления (размещения) кредитными организациями денежных средств и их
возврата (погашения)".
. Положение Банка России от 26.06.98 года № 39-П "О порядке
начисления процентов по операциям, связанным с привлечением и размещением
денежных средств банками, и отражения указанных операций по счетам
бухгалтерского учета".
. Письмо Банка России от 5 мая 2008 г. № 52-Т "О
"Памятке заемщика по потребительскому кредиту".
В данных нормативных актах содержится следующая информация:
Законодательно потребительское кредитование регламентируется Гражданским
кодексом, на основании положений которого между банком и заемщиком заключается
кредитный договор. Потребительское кредитование в правовом смысле представляет
собой заключение кредитного договора, основное содержание которого содержится в
ст. ст. 819, 820 ГК РФ. Нормативного определения данный термин не имеет.
Фактически это предоставление банком денежных средств гражданину в целях
удовлетворения личных, семейных, бытовых, повседневных нужд людей, их
потребностей, не связанных с экономической деятельностью или иными формами
предпринимательства, на условиях, установленных договором, где размер, время
пользования, степень обеспеченности и иные условия договора устанавливаются в
зависимости от разработанного банком положения о соответствующем кредите,
например кредит на неотложные нужды, экспресс-кредит и др.
Кредитный договор может представлять собой как единый документ -
кредитный договор с графиком гашения кредита (ст. 434 ГК РФ), так и принятие
банком оферты, содержащей существенные условия договора (п. 3 ст. 438 ГК РФ). В
любом случае соглашение имеет письменную форму, позволяющую определить
существенные условия договора, установленные законом для данного вида
договоров, соответственно права и обязанности сторон.
В качестве кредиторов в данных сделках выступают банки, действующие в
соответствии с Федеральным законом от 02.12.1990 г. № 395-1 «О банках и
банковской деятельности», целью существования которых является извлечение
прибыли из своей деятельности. Заемщик - это физическое лицо (потребитель),
данные которого (дееспособность, возраст, место проживания, работы,
кредитоспособность и иное) соответствуют параметрам, установленным
законодательством РФ и банком в своей кредитной политике, и у которого возникла
потребность в финансовых средствах.
Федеральный закон "О кредитных историях" был принят
Государственной Думой 22 декабря 2004 г., одобрен Советом Федерации 24 декабря
того же года. Необходимость принятия специализированного законодательного акта,
который полностью был бы посвящен кредитным историям, вызвана целым рядом
объективных причин и не вызывает сомнения. Прежде всего такая необходимость
может быть аргументирована тем, что отсутствие системы аккумуляции информации,
имеющей цель оценить риски при предоставлении кредита, представляет собой
значительный сдерживающий фактор по отношению к банковскому сектору в целом.
Институт кредитных историй - это специально учрежденный институт по
сбору, хранению и доведению (в установленном на законодательном уровне порядке)
до заинтересованных сторон сведений. Подобная система при условии ее
нормального функционирования позволяет расширить границы кредитования и
повысить уровень капитализации банков. В свою очередь, отсутствие такой системы
неизбежно влечет такие негативные последствия, как:
рост долгов кредитным организациям;
увеличение стоимости кредита (в том числе для добросовестных заемщиков);
ограничение масштабов кредитования и, как следствие, невозможность
развития быстрыми темпами многих секторов экономики;
неоправданные затраты и сложность сбора информации о потенциальных
заемщиках.
В Законе определяются такие понятия, как кредитная история и ее состав,
определяется порядок формирования, хранения и использования кредитных историй,
регулируется деятельность бюро кредитных историй, устанавливаются принципы их
взаимодействия с заемщиками.
Информация, хранящаяся в бюро кредитных историй, характеризует
своевременность исполнения заемщиками своих обязательств по договорам займа
(кредита), а также повышает защищенность как кредиторов, так и заемщиков за
счет общего снижения кредитных рисков и повышения эффективности работы
кредитных организаций.
Кредитная история - это информация, состав которой определен Законом и
которая характеризует исполнение заемщиком принятых на себя обязательств по
договору кредита и хранится в бюро кредитных историй. Срок хранения кредитной
истории составляет 15 лет со дня последнего изменения информации, которая в ней
содержится. По истечении этого срока кредитная история аннулируется путем
исключения из числа кредитных историй, хранящихся в соответствующем бюро.
Основной особенностью правового регулирования потребительского
кредитования по сравнению с иными видами кредитования в настоящее время
является то, что на него распространяется Закон РФ "О защите прав
потребителей". Следует заметить, что применение Закона РФ "О защите
прав потребителей" к потребительскому кредитованию принципиально изменяет
порядок решения многих из затрагиваемых вопросов. Основной проблемой здесь
является определение того, в какой части положения Закона РФ "О защите
прав потребителей" применимы к этому виду кредитования, учитывая
особенности возникающих при этом отношений. К наиболее важным таким положениям
можно отнести:
закрепляющие права физических лиц - заемщиков на информацию (ст. 8 - 10
Закона);
о недействительности условий договоров, ущемляющих права потребителей (ст.
16 Закона);
об имущественной ответственности банков (ст. 12, 13, 15 Закона).
Вместе с тем применение положений Закона РФ "О защите прав
потребителей" к отношениям по банковскому, пусть и потребительскому,
кредитованию представляется более чем спорным. Гражданин, приобретающий бытовую
технику или автомобиль в торговой сети на деньги банка, действительно
потребитель, но только для торговой сети, а не для банка. Для банка он - просто
клиент, и нет никакой гарантии, что автомобиль, приобретенный за счет кредита
банка, не будет систематически приносить прибыль его владельцу посредством
передачи по доверенности другому лицу - предпринимателю или иным способом. В
этом заключается специфика банковского дела: банк оперирует деньгами, а они
абстрактны и абсолютно ликвидны, иными словами, невозможно проследить, как
используются деньги или приобретенные на деньги банка товары - для собственного
потребления, и тогда, безусловно, вступают в силу положения Закона РФ "О
защите прав потребителей", или для систематического извлечения прибыли,
т.е. предпринимательской деятельности.
Среди способов обеспечения исполнения обязательств одним из самых
эффективных, надежных и экономически целесообразных для кредитора является
залог. В соответствии со ст.1 Закона РФ "О залоге" залог -
способ обеспечения обязательства, при котором кредитор-залогодержатель
приобретает право в случае неисполнения должником обязательства получить
удовлетворение за счет заложенного имущества преимущественно перед другими
кредиторами за изъятиями, предусмотренными законом. Залог может устанавливаться
в отношении требований, которые возникнут в будущем, при условии, если стороны
договорятся о размере обеспечения залогом таких требований. Предметом залога
могут быть вещи, ценные бумаги, иное имущество и имущественные права. В
договоре о залоге должны содержаться условия, предусматривающие вид залога,
существо обеспеченного залогом требования, его размер, сроки исполнения
обязательства, состав и стоимость заложенного имущества, а также любые иные
условия, относительно которых по заявлению одной из сторон должно быть
достигнуто согласие.
В соответствии с утвержденным Банком России Положением от 26.03.2004 г. №
254-П "О порядке формирования кредитными организациями резервов на
возможные потери по ссудам, ссудной и приравненной к ней задолженности"
(ред. от 02.02.2009 г.) кредитные организации обязаны формировать
соответствующие резервы. Размер указанных резервов зависит от величины
кредитного риска, которая определяется на основании объективного и профессионального
суждения представителя кредитной организации. Данный кредитный риск
представляет собой вероятность финансовых потерь вследствие неисполнения или
ненадлежащего исполнения заемщиком своих обязательств по полученным кредитам.
Резерв может формироваться по каждому выданному кредиту, и от его величины,
безусловно, зависит процентная ставка по выдаваемому кредиту. В п. 1.3
Положения сказано, что резерв на возможные потери по ссудам формируется
кредитной организацией при обесценении ссуды (ссуд), то есть при потере ссудой
стоимости вследствие неисполнения либо ненадлежащего исполнения заемщиком
обязательств по ссуде перед кредитной организацией либо существования реальной
угрозы такого неисполнения (ненадлежащего исполнения).
Под обеспечением по ссуде понимается обеспечение в виде залога,
банковской гарантии, поручительства, гарантийного депозита (вклада), отнесенное
к одной из двух категорий качества обеспечения.
К обеспечению I категории качества могут быть отнесены:
) залог, если в качестве предмета залога выступают:
- котируемые ценные бумаги государств, имеющих инвестиционный
рейтинг не ниже "ВВВ" по классификации рейтингового агентства S&P
(Standard & Poor's) или рейтинг не ниже аналогичного по классификациям
"Fitch Ratings", "Moody's", а также ценные бумаги центральных
банков этих государств;
- облигации Банка России;
- ценные бумаги, эмитированные Министерством финансов
Российской Федерации;
- векселя Министерства финансов Российской Федерации;
- котируемые ценные бумаги, эмитированные юридическими лицами,
имеющими инвестиционный рейтинг не ниже "ВВВ" по классификации
рейтингового агентства S&P (Standard & Poor's) или рейтинг не ниже
аналогичного по классификациям "Fitch Ratings", "Moody's";
- собственные долговые ценные бумаги кредитной организации,
срок предъявления которых к платежу превышает срок погашения обязательств
заемщика по ссуде, и (или) собственные долговые ценные бумаги кредитной
организации, независимо от срока предъявления их к платежу, если указанные
ценные бумаги находятся в закладе в кредитной организации;
- векселя, авалированные и (или) акцептованные указанными в
подпункте 6.2.3 настоящего Положения субъектами, в части суммы, обеспеченной
авалем (акцептом);
- аффинированные драгоценные металлы в слитках (золото,
серебро, платина и палладий);
- ценные бумаги, эмитированные субъектами Российской Федерации,
имеющими инвестиционный рейтинг не ниже "ВВВ" по классификации
рейтингового агентства S&P (Standard & Poor's) или рейтинг не ниже
аналогичного по классификациям "Fitch Ratings", "Moody's";
) гарантийный депозит (вклад);
) гарантия Российской Федерации, банковская гарантия Банка России,
поручительства (гарантии) правительств и банковские гарантии центральных банков
стран, входящих в группу развитых стран;
) поручительства (гарантии) юридических лиц, если указанные юридические
лица имеют инвестиционный рейтинг не ниже "ВВВ" по классификации
рейтингового агентства S&P (Standard & Poor's) или рейтинг не ниже
аналогичного по классификациям "Fitch Ratings", "Moody's";
) поручительства (гарантии) субъектов Российской Федерации, имеющих
инвестиционный рейтинг не ниже "ВВВ" по классификации рейтингового
агентства S&P (Standard & Poor's) или рейтинг не ниже аналогичного по
классификациям "Fitch Ratings", "Moody's";
) компенсационный депозит Банка России.
К обеспечению II категории качества могут быть отнесены:
) не относящийся к обеспечению I категории качества ликвидный залог, к
которому может быть отнесен:
- залог ценных бумаг эмитентов ценных бумаг, прошедших
процедуру листинга и допущенных к обращению организатором торговли на рынке
ценных бумаг Российской Федерации или стран, входящих в группу развитых стран;
- залог паев паевых инвестиционных фондов, прошедших процедуру
листинга и допущенных к обращению организатором торговли на рынке ценных бумаг
Российской Федерации или стран, входящих в группу развитых стран;
- залог ценных бумаг, эмитированных субъектами Российской
Федерации, имеющими рейтинг не ниже "ССС" по классификации
рейтингового агентства S&P (Standard & Poor's) или рейтинг не ниже
аналогичного по классификациям "Fitch Ratings", "Moody's";
- залог ценных бумаг, эмитированных (выпущенных) юридическими
лицами, имеющими рейтинг не ниже "ССС" по классификации рейтингового
агентства S&P (Standard & Poor's) или рейтинг не ниже аналогичного по
классификациям "Fitch Ratings", "Moody's";
- залог ценных бумаг, эмитированных (выпущенных) кредитными
организациями Российской Федерации и банками стран, входящих в группу развитых
стран;
- залог векселей, в части суммы, обеспеченной авалем
(акцептом);
- залог ценных бумаг, эмитированных юридическими лицами, если
рентабельность капитала указанных юридических лиц за последний год составляет
не менее 5 процентов - в пределах 50 процентов подтвержденной аудиторской
проверкой величины капитала (чистых активов) этих юридических лиц;
- залог вещей при наличии устойчивого рынка указанных предметов
залога и (или) иных достаточных оснований считать, что соответствующий предмет
залога может быть реализован в срок, не превышающий 180 календарных дней со дня
возникновения основания для обращения взыскания на залог, при условии, что
юридическая документация в отношении залоговых прав кредитной организации
оформлена таким образом, что в ней не содержится условий, препятствующих
реализации залоговых прав и (или) предмета залога. Наличие (отсутствие)
договора страхования предмета залога, принятого в качестве обеспечения ссуды,
может рассматриваться как дополнительный фактор при оценке качества обеспечения
по ссуде;
- залог имущественных прав (требований) на недвижимое имущество
при наличии достаточных оснований считать, что соответствующие права могут быть
реализованы в срок, не превышающий 180 календарных дней со дня возникновения
основания для обращения взыскания на предмет залога, при условии, что
юридическая документация в отношении залоговых прав кредитной организации
оформлена таким образом, что в ней не содержится условий, препятствующих
реализации залоговых прав;
) гарантии (банковские гарантии) и поручительства (применительно к
векселям;
) поручительства (гарантии) субъектов Российской Федерации, имеющих
рейтинг не ниже "ССС" по классификации рейтингового агентства S&P
(Standard & Poor's) или рейтинг не ниже аналогичного по классификациям
"Fitch Ratings", "Moody's";
) поручительства образованных субъектами Российской Федерации фондов
поддержки предпринимательства и фондов содействия кредитованию субъектов малого
и среднего предпринимательства.
В соответствии с п. 2.1.2 Положения Центробанка РФ от 31 августа 1998 г.
№ 54-П "О порядке предоставления (размещения) кредитными организациями
денежных средств и их возврата (погашения)", предоставление кредита
физическому лицу не поставлено в зависимость от открытия расчетного или иного
счета заемщику и не влечет автоматического заключения договора банковского
счета, открытие банковского счета является правом, а не обязанностью граждан.
Соответственно решение вопроса о том, в каком порядке банк будет выдавать
кредит, а также в каком порядке будет погашаться кредит, зависит от усмотрения
физического лица - заемщика. Банк не имеет права включать в кредитные договоры
с физическими лицами условие о том, что кредит выдается только путем зачисления
средств на счет заемщика или погашается только путем перечисления со счета
заемщика, и тем самым создавать основания для взимания с заемщика дополнительной
платы. Данное условие будет ничтожным на основании ст. 16 Закона РФ "О
защите прав потребителей". О порядке получения и погашения кредита заемщик
должен информироваться под роспись при заключении кредитного договора с
получением полной информации о плате за дополнительные услуги, если это будет
осуществляться через его банковский счет.
Положение Банка России от 26.06.98 года № 39-П "О порядке
начисления процентов по операциям, связанным с привлечением и размещением
денежных средств банками, и отражения указанных операций по счетам
бухгалтерского учета" определяет порядок начисления процентов по активным
кредитным операциям банка, связанным с размещением денежных средств банка по
выдаче кредита физическим лицам, как в национальной валюте Российской Федерации,
так и в иностранных валютах, а также за использование денежных средств,
находящихся на банковских счетах, осуществляемых на основании договоров,
заключаемых в соответствии с нормами Гражданского кодекса Российской Федерации.
В соответствием с п.5. Положения проценты по размещенным денежным средствам (в
займы, кредиты) поступают в пользу банка - кредитора в размере и в порядке,
предусмотренных соответствующим договором на предоставление (размещение)
денежных средств (кредитным договором, договором займа). Проценты начисляются
банком на остаток задолженности по основному долгу, учитываемой на
соответствующем лицевом счете, на начало операционного дня.
Начисление процентов может осуществляться одним из четырех способов: по
формулам простых процентов, сложных процентов, с использованием фиксированной
либо плавающей процентной ставки в соответствии с условиями договора. Если в
договоре не указывается способ начисления процентов, то начисление процентов
осуществляется по формуле простых процентов с использованием фиксированной
процентной ставки.
Фиксированная ставка - это когда установленная по договору банком
процентная ставка остается неизменной весь срок кредитования, т.е. фиксируется.
Плавающая ставка - это когда первоначально установленная по договору
процентная ставка может меняться в течение всего срока кредитования.
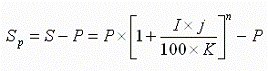
. Формула простых процентов:
(1.1)
где Sp - сумма процентов;- годовая процентная ставка;- количество дней
начисления процентов;- количество дней в календарном году (365 или 366);-
первоначальная сумма размещенных денежных средств.
. Формула сложных процентов:
(1.2)
где Sp - сумма процентов;- годовая процентная ставка;- количество дней в
календарном году (365 или 366);- первоначальная сумма размещенных денежных
средств.- количество календарных дней в периоде, по итогам которого банк
производит капитализацию начисленных процентов;
n -
количество операций по капитализации начисленных процентов в течение общего
срока размещения денежных средств.
В "Памятке заемщика" изложена наиболее существенная информация,
которая может помочь заемщику (потенциальному заемщику) при принятии решения о
получении потребительского кредита.
В настоящее время Министерство финансов Российской Федерации разработало,
а Правительство Российской Федерации приняло концепцию проекта федерального
закона «О потребительском кредитовании», и в Государственной Думе проходит его
бурное обсуждение. Законопроект направлен на урегулирование отношений между потребителями
и кредиторами при предоставлении потребительского кредита (за исключением
ипотечных кредитов) и установление прав потребителей на получение достоверной
информации об условиях кредита. В нем, в частности, детально прописаны: права
потребителя на получение информации об условиях и платежах по потребительскому
кредиту до его фактического предоставления; право получения информации от
кредитора после предоставления кредита; порядок изменения процентных ставок по
потребительским кредитам; порядок отнесения затрат заемщика к дополнительным
затратам по кредиту; права на возврат и отказ от использования предоставленного
потребительского кредита заемщиком. В законопроекте отражены: порядок
заключения договора потребительского кредитования; информация, составляющая
существенные условия договора и запрет на включение ряда условий в договор
потребительского кредитования; обязанности заемщика и последствия неисполнения
им своих обязательств.
Также в настоящее время активно обсуждается законопроект «О банкротстве
физических лиц». Инициировать процедуру банкротства смогут как кредиторы, так и
сам должник, который сможет попросить о реструктуризации долга в течение пяти
лет. При соблюдении плана реструктуризации, гражданин будет считаться свободным
от долгов. В противном случае должника ждет распродажа имущества. Объявлять
себя банкротом можно будет не чаще чем раз в пять лет. Законопроект защищает
права как кредиторов, так и заемщиков. Последние смогут спасти себя от полного
разорения, если сами вызовут банкротство на себя (эффект, впрочем, тот же, что
и при банкротстве по инициативе кредитора). Цель, которую ставят перед собой
кредиторы - стимулировать потребительское кредитование сокращением числа и
объемов невозвратов.
На текущий момент как минимум три организации со стороны государственных
органов осуществляют регулирование кредитования физических лиц:
. Федеральная антимонопольная служба (ФАС России). Антимонопольные органы
в соответствии с Федеральным законом от 26.07.2006 г. № 135-ФЗ «О защите
конкуренции» осуществляют контроль на рынке финансовых услуг (банковских,
страховых, лизинговых и др.), в том числе в сфере потребительского
кредитования.
. Федеральная служба по надзору в сфере защиты прав потребителей и
благополучия человека (Роспотребнадзор). В сферу деятельности Роспотребнадзора
в области потребительского рынка включают регулирование правоотношений,
возникающих «...из договоров на оказание финансовых услуг, направленных на
удовлетворение личных, семейных, домашних и иных нужд потребителя-гражданина, не
связанных с осуществлением предпринимательской деятельности, в том числе
предоставление кредитов, открытие и ведение счетов клиентов-граждан,
осуществление расчетов по их поручению...».
. Центральный банк Российской Федерации (Банк России). Банк России осуществляет
надзор за деятельностью кредитных организаций и банковских групп (банковский
надзор) в соответствии с Федеральным законом от 10.07.2002 г. № 86-ФЗ «О
Центральном банке Российской Федерации (Банке России)», в частности и в части
предоставления кредитов физическим лицам.
1.3 Классификация кредитов, предоставляемых физическим лицам
Классификация потребительских ссуд заемщиков и объектов кредитования
может быть проведена по ряду признаков, в том числе по типу заемщика, видам
обеспечения, срокам погашения, методам погашения, целевому направлению
использования, объектам кредитования, объему и т.д. В данном пункте будет
исследована классификация потребительских кредитов и проведен сравнительный
анализ кредитных предложений некоторых коммерческих банков.
По направлениям использования (объектам кредитования) в России
потребительские ссуды подразделяют на кредиты [29; с. 394]: на неотложные
нужды; под залог ценных бумаг; строительство и приобретение жилья; капитальный
ремонт индивидуальных жилых домов, их газификацию и присоединение к сетям
водопровода и канализации. Гражданам, проживающим в сельской местности, кроме
того выдаются ссуды на строительство надворных построек для содержания скота и
птицы и приобретение средств малой механизации для выполнения работ в личном
подсобном хозяйстве. Членам садоводческих кооперативов и товариществ
предоставляются долгосрочные ссуды на приобретение или строительство садовых
домиков и на благоустройство садовых участков. Банки выдают также долгосрочные
ссуды на приобретение автомобилей, других товаров длительного пользования,
покупку коров и телок, хозяйственное обзаведение отдельным категориям граждан.
По субъектам кредитной сделки различают [31; с. 175]:
- банковские потребительские ссуды;
- ссуды, предоставляемые населению торговыми организациями;
- потребительские ссуды кредитных организаций небанковского
типа (ломбарды, пункты проката, кассы взаимопомощи, кредитные кооперативы,
строительные общества, пенсионные фонды и т.д.);
- личные или частные потребительские ссуды, предоставляемые
частными лицами;
- потребительские ссуды, предоставляемые заемщикам
непосредственно на предприятиях и в организациях, в которых они работают.
По срокам кредитования потребительские ссуды подразделяют на [27; с.
370]:
- краткосрочные (сроком от 1 дня до 1 года);
- среднесрочные (сроком от 1 года до 3-5 лет);
- долгосрочные (сроком свыше 3-5 лет).
В настоящее время в России в связи с общей экономической нестабильностью
деление потребительских ссуд по срокам носит условный характер. Банки,
предоставляя ссуды, обычно делят их на краткосрочные (до 1 года) и долгосрочные
(свыше 1 года). Краткосрочную ссуду можно оформить на определенный срок (в
пределах года) или до востребования. Ссуда до востребования не имеет
фиксированного срока, и банк может потребовать ее погашения в любое время. При
предоставлении ссуды до востребования часто предполагается, что заемщик
сравнительно ликвиден и активы, в которые вложены заемные средства, могут быть
превращены в наличность в кратчайший срок.
Положение Банка России "О правилах ведения бухгалтерского учета в
кредитных организациях, расположенных на территории Российской Федерации"
от 26 марта 2007 г. № 302-П разделяет кредиты, предоставленные физическим
лицам, по срокам на следующие группы:
- на срок до 30 дней;
- на срок от 31 до 90 дней;
- на срок от 91 до 180 дней;
- на срок от 181 дня до 1 года;
- на срок от 1 года до 3 лет;
- на срок свыше 3 лет;
- до востребования.
По способу предоставления потребительские ссуды делят на целевые и
нецелевые (на неотложные нужды, овердрафт и т.д.) [20; с. 214].
По обеспечению различают ссуды необеспеченные (бланковые) и обеспеченные
(залогом, гарантиями, поручительствами, страхованием) [11; с. 167]. Главная
причина, по которой банк требует обеспечения, - риск понести убытки в случае
нежелания или неспособности заемщика погасить ссуду в срок и полностью.
Обеспечение не гарантирует погашения ссуды, но уменьшает риск, так как в случае
ликвидации банк получает преимущество перед другими кредиторами в отношении
любого вида активов, которые служат обеспечением банковской ссуды.
Положение Банка России от 26.03.2004 г. № 254-П "О порядке
формирования кредитными организациями резервов на возможные потери по ссудам,
по ссудной и приравненной к ней задолженности" классифицирует ссуды на
пять категорий качества в зависимости от уровня кредитного риска:
- I (высшая) категория качества (стандартные ссуды) -
отсутствие кредитного риска (вероятность финансовых потерь вследствие
неисполнения либо ненадлежащего исполнения заемщиком обязательств по ссуде
равна нулю);
- II категория качества (нестандартные ссуды) - умеренный
кредитный риск (вероятность финансовых потерь вследствие неисполнения либо
ненадлежащего исполнения заемщиком обязательств по ссуде обусловливает ее
обесценение в размере от одного до 20 процентов);
- III категория качества (сомнительные ссуды) - значительный
кредитный риск (вероятность финансовых потерь вследствие неисполнения либо
ненадлежащего исполнения заемщиком обязательств по ссуде обусловливает ее
обесценение в размере от 21 до 50 процентов);
- IV категория качества (проблемные ссуды) - высокий кредитный
риск (вероятность финансовых потерь вследствие неисполнения либо ненадлежащего
исполнения заемщиком обязательств по ссуде обусловливает ее обесценение в
размере от 51 процента до 100 процентов);
- V (низшая) категория качества (безнадежные ссуды) -
отсутствует вероятность возврата ссуды в силу неспособности или отказа заемщика
выполнять обязательства по ссуде, что обусловливает полное (в размере 100
процентов) обесценение ссуды.
По методу погашения различают ссуды, погашаемые единовременно и ссуды с
рассрочкой платежа [24; с. 102]. Кредиты без рассрочки платежей имеют важную
особенность: по таким кредитам погашение задолженности по ссуде и процентов
осуществляется единовременно. Примером таких ссуд могут служить так называемые
бриджинг - ссуды, которые выдаются для покупки нового дома частным лицам в
сумме разницы стоимости нового и старого дома владельца. Ссуды с рассрочкой
платежа включают: ссуды с равномерным периодическим погашением ссуды
(ежемесячно, ежеквартально и т.д.); ссуды с неравномерным периодическим
погашением ссуды (сумма платежа в погашение ссуды меняется (возрастает или
снижается) в зависимости от определенных факторов, например, по мере
приближения даты окончательного погашения ссуды или завершения кредитного
договора), ссуды с неравномерным непериодическим погашением. При выдаче ссуды с
рассрочкой платежа действует принцип, согласно которому сумма ссуды списывается
частями на протяжении периода действия договора. Подобный порядок погашения
ссуды не столь обременителен для заемщика, как при единовременной уплате долга.
Для банка также выгоднее, чтобы ссуда погашалась периодически в течение всего
периода действия договора, так как это ускоряет оборачиваемость кредита и
высвобождает кредитные ресурсы для новых вложений, повышая таким образом его
ликвидность.
По методу взимания процентов ссуды классифицируют следующим образом [40;
с. 15]: ссуды с уплатой процентов в момент погашения кредита; ссуды с уплатой
процентов равными взносами на протяжении всего срока пользования
(ежеквартально, один раз в полугодие или по специально оговоренному графику).
Существует также такое понятие как ссуда с аннуитетным платежом, т.е. платежом
с одновременной уплатой долга и процентов за пользование ссудой.
По характеру кругооборота средств ссуды делят на разовые и возобновляемые
(револьверные, ролловерные) [36; с. 415]. В группу револьверных кредитов, как
правило, включают кредиты, предоставляемые клиентам по кредитным картам, или кредиты
в форме овердрафта. Кредитные линии по счетам до востребования частных лиц
менее распространены в мировой банковской практике, но используются аналогично
кредитам по кредитным картам. Клиенты могут выписывать чеки на суммы,
превышающие остаток средств на счете (чековый кредит), но уплачивают при этом
проценты банку за пользование овердрафтом.
В целом представленная выше классификация отражает многообразие
потребительских ссуд, но не исчерпывает всех возможных критериев классификации,
поэтому ее можно продолжить в зависимости от других признаков.
Кредиты с рассрочкой платежа могут принимать форму прямого или косвенного
банковского кредита. При предоставлении прямого банковского кредита заключается
кредитный договор между банком и заемщиком - пользователем ссуды. Косвенный
банковский кредит предполагает наличие посредника в кредитных отношениях банка
с клиентом. Таким посредником чаще всего выступают предприятия розничной
торговли. В этом случае кредитный договор заключается между клиентом и
магазином, который в последующем порядке получает ссуду в банке. О
распространенности подобной формы кредитования свидетельствует, например, тот
факт, что в настоящее время свыше 60 % ссуд, выдаваемых американцам на
приобретение автомобиля, представляют собой косвенный кредит [42; с. 116].
В нашей стране подобного рода статистика в настоящее время отсутствует,
однако общеизвестно, что в последние годы активно развивается кредитование
населения через торговые организации. Покупатели нередко приобретают
дорогостоящие товары (автомобили, холодильники, стиральные машины, компьютеры и
другие товары длительного пользования) с рассрочкой платежа.
Прямое и косвенное банковское кредитование потребительских нужд населения
имеют свои преимущества и недостатки. Первое, что выгодно отличает прямое
банковское кредитование от косвенного, - это простота организации кредитного
процесса, которая позволяет точно оценить объект кредитования, выяснить
экономическую целесообразность выдачи ссуды и организовать действенный контроль
за ее использованием и погашением. Все это, несомненно, положительно
сказывается на организации кредитных отношений банка с заемщиком. С другой
стороны, к негативным факторам, с точки зрения банка, связанным с прямым
банковским кредитованием, обычно относят несколько более высокий уровень риска,
чем при косвенном банковском кредитовании. Это обусловлено тем, что во -
первых, в России современная практика кредитования индивидуальных заемщиков
имеет ряд сложностей:
а) анализ кредитоспособности индивидуальных клиентов на стадии,
предшествующей выдаче ссуды, проводят далеко не все коммерческие банки;
б) методики анализа кредитоспособности не всегда отвечают требованиям
практики;
в) наличие обеспечения по ссуде нередко носит формальный характер.
Во - вторых, макроэкономическая ситуация в стране также негативно
сказалась на организации кредитования частных клиентов банка.
Косвенное банковское кредитование потребительских нужд населения
позволяет банку сократить влияние рисков (кредитных, процентных, валютных,
рыночных и проч.), поскольку ссуды, предоставляемые, например, юридическим
лицам (торговым организациям, предприятиям, на которых работают ссудозаемщики,
фирмам и т.д.) позволяют с большей степенью достоверности и реальности
определить кредитоспособность заемщика (юридического лица), возможности
погашения ссуды в срок и полностью, организовать действенный контроль, в том
числе на стадии погашения ссуды. С точки зрения клиента, важно также, что он
получает ссуду в момент возникновения в ней потребности (в торговой организации
при покупке товаров длительного пользования, например, по кредитной карте). Для
клиента нет необходимости обращаться в банк с просьбой о выдаче ссуды и т.д.
Когда нужны деньги, мало кто задумывается над тем,
сколько будет стоить тот или иной кредит. Клиенты банков готовы согласиться на
любое предложение банков, если на их заявку дан положительный ответ. Но в такой
ситуации не стоит спешить, даже если деньги срочно нужны. Лучше потратить час
или два на подачу заявок в другие кредитные организации и ознакомиться с их
условиями и методами работы. В конце концов, кредитование должно быть
взаимовыгодным. Клиенты расплачиваются с банками за их услуги. Получение
кредита - это ответственный шаг, к которому надо тщательно и достаточно долго
готовиться. Обычно понимание этого приходит после первых переплат по скрытым
комиссиям - то есть когда изменить уже ничего нельзя.
При написании дипломной работы был проведен
сравнительный анализ кредитных программ нескольких коммерческих банков (табл.
1.2)., функционирующих на территории Новосибирска.
Таблица 1.2 - Условия кредитования физических
лиц в КБ РФ в августе 2009 г.
|
Банк
|
Кредит
|
Ставка годовых, %
|
Сумма кредита, (руб)
|
Срок кредитования
|
Срок рассмот-рения
|
Комиссия
|
|
АК БАРС БАНК
<#"601428.files/image004.gif"> (3.3)
Таким
образом, рассчитанная платежеспособность заемщика (269590 руб.) позволяет
выдать ему кредит в требуемой сумме 150000 руб.
Далее
представлена оценка кредитоспособности заемщика по скоринговой методике банка
(табл. 3.2).
Таблица
3.2 - Скоринговая оценка кредитоспособности заемщика-физического лица
|
Показатель
|
Критериальный уровень
|
Баллы
|
|
1.Совокупный ежемесячный
до-ход, тыс. руб.
|
10-20
|
15
|
|
2.Ежемесячный платёж в
погашение ссуды, %
|
20-30
|
20
|
|
3.Долги заёмщика: прочим кредитным
институтам
|
Менее 10% размера ссуды
|
-5
|
|
4.Период обслуживания в
данном банке
|
3-5 лет
|
25
|
|
5.История кредитных
отношений
|
Нет сведений
|
0
|
|
6.Наличие банковских счетов
|
Только сберегательный счёт
|
30
|
|
7.Владение пластиковыми
карта-ми (кредитными, дебетовыми)
|
1 или более
|
30
|
|
8.Возраст заёмщика
|
До 50 лет
|
25
|
|
9.Статус резидента
|
Владелец квартиры / дома
|
50
|
|
10.Срок проживания по
последнему адресу
|
Более 4 лет
|
70
|
|
11.Срок работы на одном
пред-приятии (рабочем месте)
|
2-4 года
|
50
|
|
ИТОГО
|
-
|
310
|
Таким образом, заёмщик набрал 310 баллов при необходимом уровне 300
баллов. Соответственно Банк выносит решение удовлетворить кредитную заявку.
Как видно из расчетов, скоринговая методика оценки кредитоспособности
более оперативная. Кроме того, скоринг позволяет учитывать сравнительную
значимость различных параметров заемщика для его кредитоспособности. Из готовой
скоринговой карты сразу же становится ясно, в какой степени различные факторы
влияют на оценку кредитного риска заемщика.
3.3 Анализ кредитного портфеля Сибирского банка Сбербанка
России в части кредитования физических лиц
Анализ кредитного портфеля проводится с целью выявления особенностей
кредитной политики Сибирского банка Сбербанка России.
За 2008 год Сибирским банком Сбербанка России выдано около 200 тыс. кредитов
населению Томской, Кемеровской и Новосибирской областей на сумму около 57 млрд
рублей. Кредитный портфель на 01.01.2009 г. составил 900,5 млрд рублей, более
500 тыс. кредитов (табл. 3.3). Доля остатка ссудной задолженности по кредитам
частных клиентов в сумме работающих активов Сибирского банка Сбербанка России
по состоянию на 01.01.2009 г., как и доля доходов от операций кредитования в
общей сумме дохода Банка, составила 38 %.
Таблица 3.3 - Динамика выданных кредитов в Сибирском банке Сбербанка
РФ
|
Показатель
|
2008г.
|
2009г.
|
Абсолютное отклонение
|
Темп роста, %
|
|
Количество выданных
кредитов, шт.
|
197800
|
198520
|
+ 720
|
100,4
|
|
Сумма выданных кредитов,
млн.руб.
|
51953
|
56555
|
+ 1685
|
104,2
|
|
Кредитный портфель на конец
года, млн. руб.
|
711769
|
900488
|
+ 15035
|
127,1
|
В графическом виде динамика выданных кредитов в Сибирском банке Сбербанка
РФ за 2008 - 2009 гг. представлена в Прил. К.
По состоянию на 01.01.2009 г. доля Сибирского банка на рынке кредитования
населения составила 35,4 % , в том числе по Новосибирской области - 28 % ,
Кемеровской области - 41,4 %, Томской области - 44,4 % (табл. 3.4).
Таблица 3.4 - Доля Сибирского банка Сбербанка РФ на рынке кредитования
физических лиц
|
Показатель
|
01.01. 2008г.
|
01.01. 2009г.
|
Абсолютное отклонение
|
Темп роста, %
|
|
Доля на рынке кредитования
населения, %
|
33,0
|
35,4
|
+ 2,4
|
-
|
|
в т.ч.
|
|
|
|
|
|
- по Новосибирской области
|
27,0
|
28,0
|
+ 1,0
|
-
|
|
- по Кемеровской области
|
40,2
|
41,4
|
+ 1,2
|
-
|
|
- по Томской области
|
42,1
|
44,4
|
+ 2,3
|
-
Продуктовая линейка услуг кредитования для частных клиентов представлена
11 видами кредитных программ, разработанных для наиболее полного удовлетворения
потребности представителей различных социальных и возрастных групп.
С 2004 года Сибирский банк Сбербанка России является постоянным
участником нацпроекта «Доступное жилье - гражданам России». В 2008 году было
продолжено сотрудничество с администрациями всех трех субъектов Российской
Федерации. Одним из первых было подписано Соглашение о сотрудничестве с
Администрацией Новосибирской области по программе жилищного кредитования. За
2008 г. в рамках такого сотрудничества было выдано 1 584 кредита на сумму 1604
млн. руб. (годовой рост - 144 %).
Продолжается работа в рамках соглашения с Администрацией Томской области.
По данным на 1 января 2009 года выдан 461 кредит на сумму 1034 млн руб.
(годовой рост - 134 %).
Ощутимые результаты принесло заключенное 05 декабря 2007 года Соглашение
о сотрудничестве с Администрацией Кемеровской области и НО «Фонд развития
жилищного строительства Кемеровской области». В 2008 году был выдан 291 кредит
на сумму 379 млн руб. (для сравнения, в 2007 г. - 10 кредитов на сумму 7,2 млн
рублей).
С целью объединения усилий по реализации государственной жилищной
политики, направленной на развитие жилищного строительства, жилищного
кредитования, повышения доступности жилья для граждан, жителей г. Новосибирска,
в 2008 году Сибирским банком Сбербанка России ОАО совместно с администрациями
Калининского и Дзержинского районов заключены соглашения о сотрудничестве с
двумя крупными градообразующими предприятиями: ОАО «НЗХК» и ОАО НАПО им В.П.
Чкалова. В рамках данных Соглашений выдано кредитов на сумму свыше 160 млн руб.
Конкурентоспособные условия кредитной программы «Автокредитование»
послужили росту объемов выданных кредитов на приобретение транспортных средств
в 2008 г. За год выдано автокредитов на сумму более 37 млрд рублей. Около 8
тыс. человек стали обладателями автомобилей, благодаря кредиту, полученному в
Сибирском банке Сбербанке России ОАО. Удельный вес автокредитов в общем
кредитном портфеля Банка возрос на 1,24 п.п. и составил по состоянию на
01.01.09 г. 4 %.
В 2008 году произошла либерализация условий оформления «Доверительного
кредита»: перечень потенциальных заемщиков по данному кредитному продукту
расширен за счет сотрудников компаний-участников «зарплатных» проектов.
Потребительское предпочтение обновленного кредитного продукта обеспечило рост
доли данного продукта в общем кредитном портфеле Банка в 2,2 раза.
В структуре кредитного портфеля частных клиентов продолжает лидировать
кредит «На неотложные нужды».
Удельный вес данного кредитного продукта по состоянию на 01.01.09 г. в
общем объеме кредитования частных клиентов составил 56,1 % (59 млрд рублей). За
2008 г. выдано более 150 тыс. кредитов на общую сумму 38,4 млрд рублей.
Динамика выданных Сибирским банком Сбербанка РФ физическим лицам кредитов
по срокам за 2008 - 2009 г. представлена в табл. 3.5.
Таблица 3.5 - Динамика кредитования физических лиц по срокам
в Сибирском банке Сбербанка РФ
|
Срок
|
01.01.2008г.
|
01.01.2009г.
|
Темп роста, %
|
|
млн.руб.
|
%
|
млн.руб.
|
%
|
|
|
Краткосрочные кредиты
|
19 475
|
2,7
|
15 425
|
1,7
|
79,2
|
|
Среднесрочные кредиты
|
175 885
|
24,7
|
168 339
|
18,7
|
95,7
|
|
Долгосрочные кредиты
|
516 409
|
72,6
|
716 724
|
79,6
|
138,8
|
|
Итого
|
711 769
|
100,0
|
900 488
|
100,0
|
126,5
|
Как показывают данные, за 2008 г. объем кредитов, выданных банком
населению, увеличился на 126,5 % и составил 900 488 тыс. руб. Прирост суммы
выданных кредитов (188 719 тыс. руб.) произошел за счет роста выдачи
долгосрочных (+ 138,8 %) кредитов. Динамика выдачи краткосрочных и
среднесрочных кредитов напротив отрицательная, что составляет 20,8 и 4,3 %
соответственно. В структуре кредитов населению преобладают долгосрочные кредиты:
72,6 % в 2008 г. и 79,6 % в 2009 г.
Для Сибирского банка Сбербанка России прошедший год характеризовался
ростом в абсолютном выражении объемов кредитования и существенной
трансформацией структуры кредитного портфеля частных клиентов.
Приведём анализ кредитования населения Сибирским банком Сбербанка России
за 2008год.
В табл. 3.6 приведены данные банка за 2008 год.
Таблица 3.6 - Ссудная задолженность физических лиц в
Сибирском банке Сбербанка России, млн. руб.
|
Срок кредитования
|
01.01.2008 г.
|
01.01.2009 г.
|
Темп роста, %
|
|
руб
|
ин.вал
|
руб
|
ин.вал
|
руб
|
ин.вал
|
|
Краткосрочная
|
12 449
|
24
|
5 984
|
17
|
48,1
|
70,8
|
|
Среднесрочная
|
175 885
|
89
|
168 339
|
54
|
95,7
|
60,7
|
|
Долгосрочная
|
516 409
|
105
|
716 724
|
79
|
138,8
|
75,2
|
|
Овердрафт
|
7 026
|
0
|
9 441
|
0
|
134,4
|
0
|
|
ИТОГО
|
711 769
|
218
|
900 488
|
150
|
126,5
|
68,8
|
Из табл. 3.6 видно, что на 1 января 2008 года задолженность физических
лиц в рублях больше, чем в ин. валюте. Большая задолженность физических лиц по
долгосрочным кредитам. Наименьшей востребованностью у физических лиц пользуются
краткосрочные кредиты и кредиты в форме овердрафт в рублях и в ин. валюте.
Задолженность на 01.01.2009 г. физических лиц увеличилась на 188 719 тыс.
руб. или на 26,5 %. Это произошло за счёт увеличения задолженности по
долгосрочным кредитам на 200 315 тыс. руб. и по кредитам в форме овердрафт на 2
415 тыс. руб.
В целом задолженность в ин. валюте за 2008 год уменьшилась на 68 тыс.
руб. (31,2 %). Таким образом, за 2008 год общая сумма ссудной задолженности
физических лиц в рублях увеличилась, но в ин. валюте незначительно сократилась,
т.е. банк начал понемногу снижать объёмы выдаваемых кредитов, а также
диверсифицировать кредитный портфель по видам валют, увеличивая сумму
выдаваемых кредитов в рублях.
В целом исследуемый период характеризуется:
) снижением объёмов кредитования в ин. валюте, увеличением в рублях;
) увеличением сроков кредитования;
) диверсификацией кредитов по видам валют.
В табл. 3.7 приведены данные Сибирского банка Сбербанка России о
просроченной задолженности физических лиц по кредитам.
Таблица 3.7 - Просроченная задолженность физических лиц в Сибирском
банке Сбербанка России, млн. руб.
|
Просроченная задолженность
|
01.01.2008 г.
|
01.01.2009 г.
|
Темп роста
|
|
Руб
|
Ин. валюта
|
Руб
|
Ин. валюта
|
Руб.
|
Ин. валюта
|
|
По кредитам
|
4 659
|
34
|
9 157
|
51
|
196,5
|
150
|
|
По процентам
|
11
|
2
|
505
|
7
|
4590,9
|
350
|
|
ИТОГО
|
4 670
|
36
|
9 662
|
58
|
206,9
|
161,1
|
Из табл. 3.7 видно, что просроченная задолженность в целом увеличилась.
Увеличение произошло за счёт рублёвых кредитов и кредитов в ин. валюте. В
рублях задолженность увеличилась на 106,9 %. Это произошло за счёт увеличения
просроченной задолженности по процентам на 18,2 % и по кредитам на 96,5 %.
Просроченная задолженность в ин. валюте увеличилась 61,1 %. Это произошло за
счёт просроченной задолженности по процентам и по кредитам, которая увеличилась
на 350 и 150 % соответственно.
В течение 2008 года:
) увеличилась просроченная задолженность;
) резкий рост просроченной задолженности по процентам в ин. валюте и по
кредитам в рублях.
Таким образом, в целом за 2008 год в целом происходит увеличение
выдаваемых кредитов и увеличение просроченной задолженности физических лиц, что
объясняется влиянием мирового финансового кризиса.
Чем выше доля просроченной задолженности в кредитном портфеле банка, тем
выше уровень проблем у самой кредитной организации. Если при сравнении
показателя с аналогичным за прошлый период оказывается, что доля просроченной
задолженности растет, то это, как правило, негативным образом характеризует
качество кредитного портфеля банка.
ДПЗ = просроченная задолженность / кредитный портфель.
Размер просроченной задолженности определяется по формуле:
ПЗ = 458(01 - 17) (3.4)
Размер кредитного портфеля рассчитывается по следующей формуле:
КП = 441(01-09) + 442(01-10) + 443(01-10) + 444(01-10) + 445(01-09) +
446(01- -09) + 447(01-09) + 448(01-09) + 449(01-09) + 450(01-09) + 451(01-09) +
452(01-09) + +453(01-09) + 454(01-09) + 455(01-09) + 456(01-09) + 457(01-09) +
458(01-17) + +460(01-07) + 461(01-07) + 462(01-07) + 463(01-07) + 464(01-07) +
465(01-07) + +466(01-07) + 467(01-07) +468(01-07) + 469(01-07) + 470(01-07) +
471(01-07) + +472(01-07) + 473(01-07) + 478(01-03)
Кредитный портфель на 01.01.2008 года:
КП=20 000+50 199+64 290+198 596+566 298+523 218+457 245+50 х х 294+480+4
380+10 000+1 500+8 759+37+12 436+175 974+516 514+7 026+6 768+ +4 659+45 762=2
724 435 мил. руб.
Просроченная задолженность на 01.01.2008:
ПЗ = 6 768 + 4 659 = 11 427 мил. руб. (3.5)
Доля просроченной задолженности в кредитном портфеле банка на 01.01.2008
год:
ДПЗ = 11 427 / 2 724 435 = 0,42 % (3.5)
Кредитный портфель на 01.01.2009 года:
КП=129 470+5 334+21 952+60 846+114635+517 684+618 687+365 259+67 749+800+
+7 300+1 000+528+23 505+15 490+6 001+168 393+716 803+9 441+15 877+175+ +9 157+2
352+45 466=2 923 904 мил. руб.
Просроченная задолженность на 01.01.2009 год:
ПЗ = 15 877 + 175 + 9 157 = 25 209 мил. руб.
Доля просроченной задолженности в кредитном портфеле банка на 01.01.2009
год:
ДПЗ = 25 209 /2 923 904 = 0,86 %
Доля просроченной задолженности в кредитном портфеле надежного банка не
превышает 5 %, но в нашем банке за год она выросла в 2 раза (Прил. Н).
У кредитных организаций есть одна особенность - в ходе управления рисками
они обязаны начислять резервы на возможные потери, которые напрямую влияют на
финансовую надежность кредитной организации, являясь числовыми показателями,
характеризующими степень риска деятельности банка. Отношение резервов на
возможные потери по ссудам к размеру кредитного портфеля и будет
характеризовать уровень его риска:
УР = РВПС / (КП - 478(01-03)),
где РВПС = 44110 + 44215 + 44315 + 44415 + 44515 + 44615 + 44715 + 44815
+ 44915 + 45015 + 45115 + 45215 + 45315 + 45415 + 45515 + 45615 + 45715 + 45818
+ 46008 + 46108 + 46208 + 46308 + 46408 + 46508 + 46608 + 46708 +46808 + 46908
+ 47008 + 47108 + 47208 + 47308+47804
Резерв на возможные потери по ссудам на 01.01.2008 год:
РВПС = 765 + 152 894 + 3 900 + 9 571 + 3 + 23 100 = 190 233 мил. руб.
Уровень риска кредитного портфеля на 01.01.2008 год:
УР = 190 233 / (2 724 435 - 45 762) = 190 233 / 2 678 673 = 0,07
Уровень риска кредитного портфеля на 01.01.2009 год:
РВПС = 756 + 136 961 + 100 + 11 033 + 10 433 = 159 286 мил. руб.
УР = 159 286 / (2 923 904 - 2 352 - 45 466) = 159 286 / 2 876 086 = 0,06
Так как размер расчётного показателя равен 0,06 и 0,07 %, то риск
кредитного портфеля банка практически отсутствует. Размер резервов на возможные
потери определяют сами банковские работники на основании заключений о категории
качества выданных ссуд (Прил. П).
Так как размер расчетных показателей невысок, хотя в динамике
прослеживается тенденция роста, то деятельность Сибирского банка Сбербанка в
части работы с просроченной ссудной задолженностью и с проблемными кредитами
можно охарактеризовать как удовлетворительную и не влияющую существенным
образом на качество кредитного портфеля.
В 2008 г. была продолжена работа с целью повышения привлекательности
услуг кредитования за счет оптимизации работы точек продаж кредитных продуктов,
улучшения качества всей процедуры выдачи кредита, минимизации затрат времени и
повышения комфортности условий обслуживания частных клиентов.
Банк неуклонно следует своему слогану: «Сбербанк. Всегда рядом». В
прошедшем году открыто 25 новых точек кредитования. По состоянию на 01.01.2009
г. филиальная сеть насчитывает 264 кредитующих подразделения.
В сторону увеличения пересмотрен режим работы всех точек по кредитованию:
около половины из них работает в выходные дни, а более 150 подразделений - без
перерыва на обед.
В течение года функционировало 38 выездных рабочих мест на крупных
предприятиях, расположенных на территории обслуживания Банка: ЗАО «Черниговец»,
ОАО «Южный Кузбасс», ООО «Разрез Киселевский», ОАО «Кузнецкие ферросплавы», ОАО
«НЗХК», ФГУП «Север», ФГУП НПЗ «Искра», ОАО «Сибирьтелеком» и др.
Реализована возможность осуществление гашения кредитов через банкоматы и
банковские терминалы самообслуживания, посредством банковских карт, а также
наличными денежными средствами. Теперь это возможно сделать почти в 700
банкоматах и терминалах самообслуживания на всей территории обслуживания Банка.
С сентября 2008 г. в качестве напоминания об очередном платеже по кредиту
осуществляется рассылка sms-сообщений в адрес заемщиков, предоставивших Банку
информацию о номере мобильного телефона. В sms-сообщении содержатся сведения о
размере суммы очередного платежа по кредиту, дате и номере договора, а также
номер телефона отделения Банка, выдавшего кредит.
Для более быстрого и удобного оформления жилищных кредитов Сибирский банк
Сбербанка России предложил клиентам обслуживание в специализированных центрах
кредитования. На территории обслуживания Банка действует 17 центров ипотечного
кредитования, где можно также получить консультацию квалифицированных
специалистов: страхового агента, риелтора, а в ряде отделений - представителя
государственной регистрационной службы.
С целью повышения комфортности проведения операций по автокредитованию
открыто 6 специализированных Центров автокредитования, в которых срок
рассмотрения кредитной заявки не превышает двух рабочих дней с момента
предоставления полного пакета документов.
В 2008 г. реализована возможность отправки предварительных заявок на
получение кредита посетителями корпоративного сайта Сибирского банка Сбербанка
России ОАО.
Оставаясь одним из крупнейших операторов рынка кредитования частных
клиентов на территории трех областей, Сибирский банк в 2009 году продолжил
совершенствование технологии предоставления всех кредитных продуктов для
частных клиентов и повышение качества обслуживания клиентов.
На основе проведенного в данной работе анализа системы кредитования
физических лиц в Сибирском банке Сбербанка РФ, можно выделить положительные и
отрицательные стороны потребительского кредита Сбербанка.
Итак, в числе плюсов потребительских кредитов Сбербанка:
. Низкий размер процентной ставки. Безусловно, это самый важный момент,
заставляющий людей обращаться за кредитом именно в Сбербанк. Предлагаемые
процентные ставки колеблются на сегодняшний момент в пределах 13,5 - 20 %
годовых в рублях (для сравнения - в некоторых банках эта величина достигает 30
%). Конкретный размер процента определяется в зависимости от срока и наличия
обеспечения кредита.
. Дифференцированная схема погашения кредита. Под этой сложной
терминологией скрывается выгодная для заемщика схема платежей, когда вся сумма
кредита изначально делится на равные части, исходя из количества месяцев, на
которое выдается ссуда. Ежемесячно клиент уплачивает рассчитанную часть
основного долга и проценты, начисленные на остаток кредита. Таким образом,
сумма платежа с каждым разом становится меньше (за счет уменьшения остатка
задолженности, а соответственно и процентов). Некоторые банки практикуют
аннуитет, при котором первое время выплачиваются в основном проценты и только
маленькая доля самого кредита. Некоторые - начисляют проценты сразу на всю
сумму долга и на весь срок, а затем просто делят на равные части. По сравнению
с дифференцированной, последние две схемы обходятся клиенту намного дороже.
. Возможность досрочного погашения кредита (частичного или полного).
Сбербанк не ставит ограничений на суммы ежемесячных платежей. Главное, чтобы
был внесен рассчитанный ежемесячный минимум, а все, что сверх него - это уже по
желанию заемщика. Комиссия за превышение не взимается, а досрочное погашение
даже приветствуется. Суммы, превышающие необходимый размер платежа, идут в счет
погашения основного долга по кредиту (другими словами, в счет досрочного
погашения).
. Контроль погашения кредита со стороны кредитного инспектора. Все ссуды,
оформленные конкретным кредитным инспектором Сбербанка, закрепляются за ним до
окончания срока действия договоров. Ежемесячно 10-го числа заемщиков «выносят
на просрочку». Инспектор программным путем каждый раз проверяет эти списки. При
обнаружении в них своих клиентов, он обязан будет связаться с ними и напомнить
об уплате. Это позволяет заемщикам избежать больших размеров пеней или даже
штрафов в случае простой забывчивости или возникновении каких-либо проблем при
перечислении платежа. Кроме того, такой контроль позволяет заемщику не
испортить кредитную историю, т.к. 5 просроченных дней, как правило, считаются «технической»
просрочкой.
Также мною выделены недостатки потребительского кредитования Сбербанка:
. Длительный период оформления. После подачи документов на выдачу кредита
заявление рассматривается в течение 7 рабочих дней.
. Принимаются к рассмотрению только официальные доходы заемщика. Если
доход заемщика частично или полностью не является официальным, то сколь велика
ни была бы его зарплата, в кредите Сбербанк ему откажет.
. Солидный пакет документов. Сбербанк не относится к тем банкам, где для
оформления требуется пара документов. Здесь потребуется и паспорт, и справка о
зарплате (причем по форме банка), и справки из других банков (при наличии
других кредитов), и возможно документы на квартиру или какие-либо другие
документы, в зависимости от ситуации. От поручителей может понадобиться не
меньше бумаг.
. Необходимость предоставления обеспечения кредита. Без обеспечения
выдаются ссуды только на незначительные суммы (в пределах 35 - 75 тыс. руб.).
Во всех остальных случаях понадобится залог имущества или поручительство
третьего лица (а иногда даже и не одного).
. Тщательная проверка документов. Все предоставленные заемщиком
документы, а также указанная и, особенно, не указанная им в анкете информация,
проходят тщательную проверку в службе безопасности. В кредите может быть
отказано без объяснения причин, среди которых могут оказаться даже неоплаченные
телефонные или коммунальные счета на крупную сумму.
. Минимальный размер кредита. Сбербанк не приветствует маленькие кредиты
(например, 5000 руб.). Для этого лучше воспользоваться кредитной картой банка.
Минимальный размер кредита в Сбербанке составляет от 15000 до 75000 руб.- в
зависимости от региона.
. Наличие дополнительных комиссий. В Сбербанке взимается комиссия за
ведение ссудного счета - около 3% (сумма периодически меняется). Уплачивается
она единовременно при выдаче кредита. Конечно, эта цифра не так велика, как в
некоторых банках (где за год она может превысить сумму самих процентов), но сам
факт ее существования к плюсам отнести нельзя. Кроме того, придется уплатить
сбор за пакет документов по кредитованию.
ЗАключение
Подводя итоги дипломной работы, можно сделать следующие выводы:
Кредит предполагает передачу заемщику банком на основании специального
письменного договора исключительно денежных средств на определенный в таком
договоре срок на условиях возвратности и платности в денежной же форме,
подконтрольности, а также, как правило, целевого использования и
обеспеченности.
Потребительский кредит - это кредит с целью использования денежных
средств в потребительских целях. Потребительские цели - это цели, не связанные
с предпринимательской деятельностью.
Можно выделить следующие преимущества потребительского кредита:
возможность получить те вещи, которых без использования кредита
пришлось бы очень долго ждать или которые были бы просто не доступны;
гибкость: делать покупки в удобное время;
безопасность: осуществление платежа между банком и какой либо
организацией или единовременное предоставление средств клиенту намного
безопаснее;
помощь: кредит позволяет оплачивать непредвиденные срочные
расходы (ремонт автомобиля, квартиры, оплата отпуска).
В целом можно выделить три уровня правового регулирования кредитования
физических лиц: первый уровень - федеральное законодательство, второй уровень -
нормативно-правовые акты Центрального банка, третий уровень - локальные
нормативные акты кредитной организации (правила обслуживания клиентов,
положения, инструкции, правила о подразделениях кредитной организации).
Классификация потребительских кредитов может быть проведена по ряду
признаков, в том числе по типу заемщика, видам обеспечения, срокам погашения,
методам погашения, целевому направлению использования, объектам кредитования,
объему и т.д.
Кредитование физических лиц в каждом банке основывается на определенных правилах.
Основным нормативным документом Сибирского банка Сбербанка России по
кредитованию физических лиц является «Правила кредитования физических лиц
Сбербанком России и его филиалами» от 30.05.2003 г. № 229-3-р.
Кредиты предоставляются в валюте Российской Федерации и в иностранной
валюте. Максимальный размер кредита для каждого Заемщика определяется на
основании оценки его платежеспособности и предоставленного обеспечения возврата
кредита, а также с учетом его благонадежности.
Кредитный работник Сибирского банка Сбербанка России определяет
платежеспособность Заемщика на основании документов, подтверждающих величину
доходов и размер производимых удержаний, и представленного Заявления -анкеты.
Также в банке используется скоринговая методика оценки кредитоспособности.
Оценивая итоги кредитования частных клиентов Сибирским банком Сбербанка
России, можно сделать следующие выводы.
За 2008 год выдано около 200 тыс. потребительских кредитов на сумму около
57 млрд рублей. Продуктовая линейка услуг кредитования для частных клиентов
представлена 11 видами кредитных программ, разработанных для наиболее полного
удовлетворения потребности представителей различных социальных и возрастных
групп.
По состоянию на 01.01.2009 г. доля Сибирского банка на рынке кредитования
населения составила 35,4 % , в том числе по Новосибирской области - 28 % ,
Кемеровской области - 41,4 % и Томской области - 44,4 % по каждой области.
Около 20% экономически активного населения трех областей кредитуются в
Сибирском банке Сбербанка России.
Оставаясь одним из крупнейших операторов рынка кредитования частных
клиентов на территории трех областей, Сибирский банк в 2009 году продолжит
совершенствование технологии предоставления всех кредитных продуктов для
частных клиентов и повышение качества обслуживания клиентов.
Список ИСПОЛЬЗОВАННЫХ ИСТОЧНИКОВ
1. Балабанова
И.Т. Банки и банковская деятельность. Санкт - Петербург: Питер, 2007. 345 с.
. Балахничева
Л.Н. Финансы, денежное обращение и кредит. Новосибирск: СибАГС, 2006. 352 с.
. Банки
и банковские операции / Под ред. проф. Е.Ф. Жукова. М.: Банки и биржи, 2007.
399 с.
. Банковские
операции : учеб. для студ. сред. проф. учеб. заведений / М.Р. Каджаева, С.В.
Дубровская. 2-е изд., перераб. и доп. М. : Издательский центр «Академия», 2006.
400 с.
. Банковское
дело / Под ред. Г.Н. Белоглазовой, Л.П. Кроливецкой. М.: Финансы и статистика,
2006. 458 с.
. Банковское
дело / Под ред. О.И. Лаврушина. М.: ФиС, 2006. 344 с.
. Банковское
дело / Под ред. проф. В.И. Колесникова, проф. Л.Л. Кроливецкой. М.: Финансы и статистика,
2007. 312 с.
. Банковское
дело: стратегическое руководство. / Под ред. В. Платонова, М. Хаггинса. М.:
Консалтбанкир, 2006. 341 с.
. Банковское
дело: учебник / О.И. Лаврушин, И.Д. Мамонова, Н.И. Валенцева [и др.]; под ред.
засл. деят. науки РФ, д-ра экон. наук, проф. О.И. Лаврушина. 6-е изд., стер. М.
: КНОРУС, 2008. 768 с.;
. Банковское
дело: Учебник для вузов. 2-е изд. / Под ред. Г. Белоглазовой, Л. Кроливецкой.
Спб.: Питер, 2008. 400 с.: ил. - (Серия «Учебник для вузов»).;
. Белан
В. Внедрение СRM - системы в сфере кредитования физических лиц // Финансовая
газета. Региональный выпуск. 2008. № 14.С. 12.
. Белоглазова
Б.Н., Толоконцева Г.В. Денежное обращение и банки. М.: Финансы и статистика,
2007. 355с.
. Гражданский
кодекс Российской Федерации (части первая и вторая), Часть 1 глава 23
«Обеспечение обязательств», глава 27 «Понятие и условия договора», 28
«Заключение договора», 29 «Изменение и расторжение договора», Часть 2 глава 42
«Заем и Кредит»,49 «Поручение».
. Ефимова,
Мария Сергеевна. Всё о кредите для населения / М.С. Ефимова. М.: Издательство
«Омега-Л», 2008. 176с.;
. Жарковская
Е.П. Банковское дело. М.: Омега-Л, 2007. 345 с.
. Жуков
Е.Ф. Банки и банковские операции. Санкт - Петербург: Питер, 2006. 234 с.
. Изофенко
Р.Н. Экономико-правовые аспекты регулирования сферы кредитования физических лиц
// Регламентация банковских операций. Документы и комментарии. 2007. № 4. С.
12.
. Ключников
И.К и др. Кредит и банки: вводный курс: учеб.-метод. пособие/ И.К. Ключников,
О.А. Молчанова, О.И. Ключников. М.: Финансы и статистика, 2007. 176 с.
. Коробова
Г.Г. Банковское дело. М.: Экономистъ, 2006. 751 с.
. Костерина
Т.М. Банковское дело. Учебник для ВУЗов. М.: Маркет ДС, 2008. 240 с.
. Курбатов
А.Я. Правовые проблемы потребительского кредитования // Банковское право. 2007.
№ 3. С. 18.
. Лаврушин
О.И. Банковское дело. М.: Финансы и статистика, 2007. 672 с.
. Лаврушин
О.И. Деньги, кредит, банки. М.: Финансы и статистика, 2007. 590 с.
24. Лучшие банки на рынке
кредитования физлиц в 2007 г. // <#"601428.files/image006.gif">
Приложение Г
Организационная структура аппарата Сибирского банка Сбербанка
России ОАО
Приложение Д. Экономические показатели деятельности
Сибирского банка Сбербанка России в 2008г
Рисунок Д.1 - Доля Сибирского банка Сбербанка России ОАО на основных
сегментах финансового рынка на 01.01.2009
Рисунок Д.2 - Структура активов Сибирского банка Сбербанка России на
01.01.2009 г. (%)
Рисунок Д.3 - Структура пассивов Сибирского банка Сбербанка России на
01.01.2009 г. (%)
Приложение Е
Справка 2-НДФЛ (ставка 13%) заемщика - физического лица
(фрагмент для расчета кредитоспособности)

Приложение Ж. Кредитный портфель Сибирского банка Сбербанка
России в части кредитования физических лиц
Рисунок И.1 - Динамика количества выданных кредитов Сибирского банка
Сбербанка России, шт.
Рисунок И.2 - Динамика выданных кредитов Сибирского банка Сбербанка
России по сумме, млн.руб.
Рисунок И.3 - Динамика кредитного портфеля Сибирского банка Сбербанка
России по сумме, млн.руб.
Приложение И. Доля Сибирского банка Сбербанка РФ на рынке
кредитования физических лиц в Сибирском регионе
Рисунок К.1 - Динамика доли Сибирского банка Сбербанка РФ на рынке
кредитования физических лиц, %
Рисунок К.2 - Доля Сибирского банка Сбербанка РФ на рынке кредитования
физических лиц по областям.
Приложение К. Динамика и структура выданных кредитов в
Сибирском банке Сбербанка России по срокам
Рисунок Л.1 - Динамика выданных кредитов в Сибирском банке Сбербанка
России по срокам, млн.руб.
Рисунок Л.2 - Структура выданных кредитов в Сибирском банке Сбербанка России по срокам в 2007г.,
%
Рисунок Л.3 - Структура выданных кредитов в Сибирском банке Сбербанка России по срокам в 2008г.,
%
Приложение Л
Просроченная задолженность физических лиц в Сибирском банке
Сбербанка России, млн.руб.
Приложение М
Доля просроченной задолженности физических лиц в кредитном
портфеле Сибирского банка Сбербанка России
Приложение Н
Уровень кредитного риска физических лиц в Сибирском банке
Сбербанка России
Похожие работы на - Анализ практики кредитования физических лиц на примере Сибирского банка Сбербанка РФ
| |