Функция личного потребления в Украине на основании ежеквартальных данных 2006-2011 гг.
Содержание
Введение
Раздел 1
1.1 Кейнсианская экономическая теория
1.2 Теория жизненного цикла
1.3 Гипотеза перманентного дохода
1.4 Гипотеза межвременного выбора Фишера
Раздел 2
Раздел 3
Заключение
Список использованных источников
Приложения
Введение
Спрос и предложение - являются наиболее используемыми в
экономической теории терминами. Спрос и предложение - силы, приводящие в
движение механизмы рыночной экономики. Они определяют количество производимых
товаров и цену, по которой их реализуют.
В масштабе макроэкономики, на первый план выступает
равновесие между доходами и расходами общества. Это своеобразное выражение
равновесия между предложением (созданный национальный доход) и спросом
(использованный национальный доход).
Совокупные доходы общества представляют собой национальный
доход. А совокупные расходы, в которых потребление выступает главным
компонентом, и поэтому важно понять основные факторы, определяющие расходы на
потребление, - это расходование национального дохода на потребление и накопление
(инвестирование). Однако не все полученные населением доходы полностью
расходуются; часть из них сберегаются, т.е. откладываются.
Целью данной курсовой работы является построение и анализ
функции личного потребления в Украине на основании имеющихся ежеквартальных данных 2006-2011 гг.
Для достижения этой цели были поставлены следующие задачи:. Теоретические
основы: определение содержания экономических переменных, которые фигурируют в
исследовании и рассмотрение аналогичных макроэкономических моделей.
II. Сбор необходимой статистической информации для
моделирования функции личного потребления в Украине.. Анализ полученной модели,
построение прогноза.
Основой для написания данной курсовой работы послужили
материалы периодической экономической литературы по исследуемой теме,
законодательные и нормативные акты Украины.
Раздел 1
Потребление - индивидуальное и общее использование
потребительских благ для удовлетворения материальных и духовных потребностей
[7].
Потребление - самый большой компонент ВВП, составлявший 66%
совокупных расходов в течение последнего десятилетия. Большая часть
произведенной продукции идет на потребление. Также, потребление формирует
потребительское поведение, которое является своеобразным индикатором
циклического развития экономики.
По структуре потребления выделяются следующие
группы:
товары текущего потребления (продукты питания, одежда);
товары длительного использования (бытовая техника,
транспортные средства);
услуги (жилье, образование, охрана здоровья, отдых).
Структура потребительских расходов у разных групп населения
разная. Однако, существуют общие группы расходов на: питание, одежду, жилье,
медицину, транспорт, образование.
Например, в США расходы на продукты питания составляют около
20% используемого дохода, в странах Западной Европы - в среднем 25%, а в
Украине приблизительно 60% используемого дохода.
Существуют закономерности, по которым население распределяет
свои доходы по статьям потребления.
Так, статистика свидетельствует, что бедные семьи 30-35%
своего дохода расходуют на товары первой необходимости и жилье. С ростом дохода
семей спрос на товары и услуги низкого качества сокращается, а на
высококачественные товары и услуги возрастает. С дальнейшим ростом дохода
удельный вес потребительских расходов на питание уменьшается.
Потребительские расходы на одежду, товары длительного
использования возрастают быстрее, чем доход, и приблизительно равняются 10-20%.
На образование, охрану здоровья, отдых приходится приблизительно 50-55% от
суммы потребительских расходов. Необходимо отметить, что не весь доход
расходуется на потребление, определенная его часть сберегается. Сбережения
- часть располагаемого дохода, которая не потребляется. Иными словами,
сбережения равны доходу за вычетом потребления.
Изучение факторов, влияющих на размер потребительских
расходов позволяет вывести функцию потребления.
На объем потребления оказывают влияние объективные (доход,
уровень цен, имущество потребителей, реальная ставка процента) и субъективные
факторы (предельная склонность к потреблению, ожидания).
В зависимости от того, какой фактор выступает главным,
выделяют следующие модели потребления:
А) теория абсолютного дохода Кейнса (влияет уровень
автономного потребления, размер текущего располагаемого дохода и предельной
склонности к потреблению).
Б) теория потребления Кузнеца (влияет в долгосрочной
перспективе уровень располагаемого дохода и средняя склонность к потреблению).
В) теория относительного дохода Дюзенберри (влияет отношение
дохода индивида к среднему доходу социального слоя, в котором индивид живет -
гипотеза демонстрационного эффекта; привычка человека к достигнутому уровню
потребления).
Г) теория жизненного цикла потребления Модильяни (влияет
текущий доход и ожидаемый в будущем, ожидаемая продолжительность жизни и
пенсионного возраста, размер накопленного богатства, стремление к постоянной в
течении жизни величине потребления).
Д) теория перманентного дохода Фридмана (влияют величина
текущего дохода, величина перманентного дохода прошлых лет, склонность к
потреблению, коэффициент учета изменения текущего дохода как вклад в
перманентный доход).
личное потребление украина кейнсианский
Е) Микроэкономическая модель межвременного выбора Фишера
(ставка процента, размер текущего и ожидаемого дохода).
Далее рассмотрю модели потребления подробнее.
1.1
Кейнсианская экономическая теория
Одним из наиболее важных соотношений в макроэкономике
является функция потребления, которая иллюстрирует связь между уровнем
расходов на потребление и уровнем личного располагаемого дохода. Это понятие,
изобретенное Кейнсом, базируется на гипотезе, согласно которой существует
стабильное эмпирическое соотношение между потреблением и доходом.
После самого глубокого экономического кризиса 1929-1933 гг.,
получившего название Великой депрессии, многие ученые посвящали свои исследования
определению возможных путей выхода из него и предлагали рекомендации по
недопущению в дальнейшем подобных экономических катастроф. Но самый
существенный вклад в решение данной проблемы внес выдающийся английский
экономист Д.М. Кейнс (1893-1946 гг.). В своей книге "Общая теория
занятости, процента и денег" (1936 г.) он обобщил свои научные изыскания,
посвященные современным ему деструктивным явлениям, выявив их причины. Это
послужило основой предложенного им механизма макроэкономического регулирования,
способного решить возникшие проблемы и адекватно реагировать на происходящие
процессы. Таковым, по мнению Кейнса, является механизм, сориентированный на
государственное регулирование экономики. Кейнсианский подход к анализу
экономических процессов был настолько нов, настолько по-иному, в сравнении с
традиционными экономическими воззрениями, объяснял их причины и суть, что
получил название "кейнсианской революции" [2].
Поскольку выход из кризиса предполагает развитие
производства, проблемы его стимулирования явились основным направлением
кейнсианской макроэкономической модели. По мнению Кейнса, главнейшим фактором,
стимулирующим производство, выступает совокупный спрос, доведенный до уровня
так называемого "эффективного спроса". Под ним он
подразумевал спрос, который позволяет реализовать все предложенные на товарном
рынке экономические блага. Таким образом, достижение "эффективного
спроса" способствует установлению макроэкономического равновесия.
Определяющими, направленными на рост производства, аспектами
совокупного спроса Кейнс считал личное и производительное потребление. Личное
потребление как расходы населения на покупку товаров и услуг для удовлетворения
потребностей зависит от уровня занятости, так как занятость дает возможность
получения дохода, необходимого для осуществления расходов и сбережений.
Сбережения, в свою очередь, служат основой производительного потребления, или
инвестиций в производство. Помимо этого, Кейнс исходил из того, что совокупный
спрос зависит не только от расходов населения на предметы потребления и
расходов предпринимателей на инвестиционные товары (производственные ресурсы),
но и от расходов государства на экономические и социальные цели. Последнему
аспекту совокупного спроса он придавал особое значение, так как в процессе
своих научных изысканий пришел к выводу о том, что в условиях современного
широкомасштабного производства потребительские расходы населения и
инвестиционные расходы предприятий и фирм не в состоянии обеспечить эффективный
спрос. Поэтому в экономике, по мнению Кейнса, должен появиться дополнительный
макроэкономический агент, либо предъявляющий свой собственный спрос на товары и
услуги, либо стимулирующий спрос населения и предпринимателей и таким образом
увеличивающий совокупный спрос. Так Кейнс обосновал необходимость участия
государства в экономических процессах. Кроме того, выстраивая свою
макроэкономическую модель, он не мог не учитывать открытого характера рыночной
экономики.
Совокупный спрос во многом зависит от суммарных расходов
населения на покупку потребительских товаров и услуг, или совокупного
потребления. Объем потребления зависит от объективных и субъективных
факторов. Основным объективным фактором, определяющим уровень потребления,
является располагаемый доход. Он представляет собой средства, остающиеся
у населения после уплаты налогов государству и используемые им по личному
усмотрению. Значительная его часть тратится на приобретение необходимых для
удовлетворения потребностей товаров и услуг, образуя потребительские расходы.
Объем потребления находится в прямой зависимости от величины
располагаемого дохода: чем выше доход, тем больше средств можно направить на
потребление. Зависимость между объемом потребления и величиной располагаемого
дохода называется функцией потребления. (Рисунок 1.1).
Функция потребления

На данном рисунке ситуация, когда весь располагаемый доход
расходуется на потребление, показана в виде биссектрисы угла начала координат.
Любая точка, находящаяся на ней, отражает факт равенства располагаемого дохода
и расходов на потребление. Таким образом, биссектриса представляет собой
теоретическую кривую потребления. Однако на практике зависимость между доходами
населения и расходами на потребление может существенно отличаться от
теоретической линии, которая в этом случае изменяет свою конфигурацию и
превращается в реальную кривую потребления, берущую начало от какого-то
минимального уровня автономного потребления.
Автономное потребление (
) возникает, когда текущий доход равен нулю или недостаточен,
но потребление осуществляется за счет ранее накопленных средств, распродажи
имущества или "залезая в долги". Следовательно, часть потребления не
зависит от величины располагаемого дохода. В этом случае расстояние оси доходов
до реальной кривой потребления выражает действительную величину потребления.
Основным субъективным фактором потребления выступает
психологическая склонность к потреблению, которая может быть средней и предельной.
Средняя склонность к потреблению (
) определяется процентным отношением величины потребления (
) к располагаемому доходу (
):
Средняя склонность к потреблению дает представление о том, какая
часть располагаемого дохода была использована на потребление.
Предельная склонность к потреблению (
) выражается отношением изменения в потреблении (
) к тому изменению в доходе, из-за
которого оно произошло (
):
склонность к потреблению показывает, какая часть дополнительного
дохода уходит на увеличение потребления [11].
Графически предельная склонность к потреблению определяет наклон
функции потребления: чем она больше, тем больше угол наклона кривой потребления
и тем она круче. Таким образом, в формализованном виде функцию потребления
можно представить в следующем виде:
где
- автономное потребление;
- предельная склонность к потреблению;
- располагаемый доход.
Величина
всегда колеблется между 0 и 1. Если
= 0, то весь прирост дохода идет на потребление. В случае,
когда
= 1, весь прирост дохода направляется в сбережения.
1.2 Теория
жизненного цикла
Эта теория потребления, была выдвинута в 1954 г. экономистами
А. Андро, Ф. Модильяни и Р. Брумергом. Она базируется на утверждении, что
потребление в каждом периоде зависит не от текущего дохода, а от дохода на
протяжении жизни. Все потребители стремятся так разделить покупки, чтобы
потребление оставалось постоянным из года в год, а богатство в конце жизни
равнялось 0, поскольку после смерти оно не нужно. Другими словами, средняя
склонность к потреблению всего жизненного цикла равняется 1, то есть на
протяжении жизни человек приобретает столько, сколько составляет его доход, за
вычетом налогов за всю жизнь.
Богатство - сумма реальных и финансовых средств. Она растет
до тех пор, пока человек работает, а потом после выхода на пенсию начинает
резко падать. Если до дня смерти богатство не станет равняться 0, то часть
которая осталась переходит в наследство.
Доход, находящийся в распоряжении, также увеличивается до
средины жизни, а потом начинает уменьшаться. Поэтому в ходе жизненного цикла
потребление остается практически постоянным.
В молодые годы люди живут в долг и у них высокое потребление,
надеяться, что со временем, когда их доходы начнут расти, они смогут вернуть
долги.
В зрелые годы, имея постоянный доход и богатство, домохозяйства
увеличивают сбережения, готовясь к старости, и это делает их потребление ниже
потенциально возможного.
В старости на покупки тратится сбережения, что по-прежнему
поддерживает потребление практически неизменным [6].
Также меняется и сама структура спроса на протяжении жизни. В
молодости больше тратится на питание, одежду, покупку товаров длительного
использования, в старости - медицинское обслуживание, путешествия.
Функция потребления для отдельного потребителя имеет
следующий вид:
=
*W+
, где С - потребление;
W - первоначальное имущество потребителя;
Y - доход;
Т - годы жизни;
R - годы работы [10].
Данные выводы с теории жизненного цикла при детальном
рассмотрении расходятся с действительностью. Еще Дж. Кейнс в 1920 г. отметил,
что накопленные сбережения передаются в наследство. Статистические данные
подтверждают, что люди преклонного возраста не стремятся использовать все свои
средства, накопленные на протяжении всей жизни, на свои потребности в старости.
Наоборот, они стремятся оставить часть средств в виде наследства своим
потомкам.
Принципиальный вклад гипотезы жизненного цикла состоит в
установлении того факта, что доход систематически меняется в течение жизни
индивидуума, и поэтому его стратегия потребления и сбережений в значительной
степени определяется стадией жизненного цикла. (предпосылка - отсутствие
инфляции, индивид знает продолжительности рабочего периода и периода всей
жизни).
1.3 Гипотеза
перманентного дохода
Милтон
Фридмен предложил для объяснения поведения потребителей гипотезу постоянного
(перманентного дохода), которая была сформулирована в 1957 г.
Теоретические
предусловия возникновения гипотезы:
. Идея
Ф. Модильяни о том, что на протяжения жизни субъекты стремятся поддерживать
стабильный уровень потребления.
2. Теория
межбюджетного потребления выбора И. Фишера.
В основе
гипотезы перманентного дохода М. Фридмена лежит положение о том, что субъекты
формируют свои потребительские расходы в зависимости не от текущего (как у
Кейнса), а постоянного дохода, стремясь таким образом обеспечить ровный уровень
потребления на протяжении жизни [8].
Перманентный доход - это доход, ожидаемый потребителями за
длительный период времени (это может быть несколько лет или вся жизнь). Этот
доход детерминирован всем богатством человека: размещенными средствами
(акциями, облигациями, недвижимостью) и человеческим капиталом (запас здоровья,
способности, уровень квалификации и т.д.) - всем, что обеспечивает доход
субъекта. Под перманентным доходом имеют в виду средневзвешенную величину со
всех доходов, которые предполагает получить субъект в будущем, это любой
средний доход [6].
Таким, образом, текущий доход (Y):
Доход (Y) = перманентный доход (Yp - permanent) + временный
(Yt - transitory).
Постоянный доход-это величина дохода, которую экономические
субъекты не предполагают сохранить в будущем.
Существует 3 вида шоков (отклонений) от дохода, которые
вызывают реакцию потребителя: временные (случайные), перманентные и ожидаемые в
будущем.
Временные (случайные) - это шоки, при которых хотя и текущий
доход 1 - го периода изменится, но это почти не повлияет на потребление,
поскольку значительная дохода буде направлена на сбережения. Например, человек
выиграл большую сумму денег в лотереи, то вероятней, что он не потратит их, а
распредели их на длительный промежуток времени.
Перманентные - это шоки, при которых возрастает (уменьшается)
доход 1-го и 2-го периодов. В этом случае в той же пропорции изменится и
потребление. Примером может послужить повышение по службе.
Ожидаемые в будущем - шоки, когда доход 1-го периода не
изменится, а в 2 - м периоде происходит изменение потребительских расходов.
Так, что если субъект ожидает повышение по службе, то существует вероятность,
что он будет одалживать деньги.
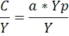
Потребление по Фридмену пропорционально постоянному
(перманентному) доходу:
С=a*Yp,
где a - коэффициент, который имеет постоянное значение.
Вывод, который выплывает из гипотезы перманентного дохода
Фридмена, касается средней склонности к потреблению.
Разделим обе части уравнения на Y и получим:
Т.е. средняя склонность к потреблению зависит от отношения
постоянного дохода к текущему. Таким образом, годы высокого дохода
характеризуются низкой средней склонностью к потреблению, и наоборот. Однако в
долгосрочном периоде она постоянна [2].
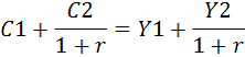
1.4 Гипотеза
межвременного выбора Фишера
И. Фишер выдвинул гипотезу о том, что при принятии
потребительских решений рациональные экономические субъекты учитывают не только
текущий, но и будущий доход, т.е. весь доход, полученный ними на протяжении
всей жизни, и выдвинул проблему межвременного потребительского выбора. Суть его
состоит в том, что при принятии решений о потреблении на современном этапе и в
будущем потребители сталкиваются с межвременным бюджетным ограничением.
Проблема выбора существует перед потребителем, потребитель
живет в двух временных периодах: первый - молодость (доход Y1) и второй - старость
(доход Y2).
Потребление в каждом периоде жизни зависит от того, сберегает
потребитель или, наоборот, пользуется ссудой. Связь потребления и дохода в двух
периодах описывается формулой:
C = (1+r) * (Y1-C1)
+ Y2, откуда
,
где r - реальная ставка процента;
С1, С2 - потребление 1-го и 2-го периодов;
Y1,Y2 - доход 1-го и 2-го периодов [2].
Последняя формула - уравнение между временным бюджетным
ограничением и потреблением, которое показывает, какую сумму средств должны
получить потребители в период двух жизненных периодов.
С формулы, также следует, что потребление определяется
доходом, который ожидает получить потребитель на протяжении всей жизни, и
реальной ставкой процента.
Из модели Фишера следует, что потребление определяется
доходом, который потребитель ожидает получить на протяжении жизни.
Обобщенно, факторами, влияющими ("+" положительная
зависимость, "-" отрицательная зависимость) на размер потребления
являются: текущий личный доход (+), ожидаемый доход (+), налоги (-), трансферты
(+), размер личного богатства (+), уровень цен (-), доход от богатства: проценты
и дивиденды (+), ставка процента по заемным средствам (-), ожидаемая инфляция
(+), ужесточение законодательства по заимствованию (-) [9].
В соответствии приведенным научным исследованиям Кейнса,
Фридмена, Фишера, Модильяни, необходимо отметить, что доход, потребление и
сбережения тесно взаимосвязаны, поэтому в своей работе факторами определяющими
функцию личного потребления, также выделила уровень инфляции на протяжении
исследуемого периода.
Раздел 2
Для исследования функции личного потребления были отобраны
следующие факторные признаки, такие как: доходы населения, сбережения населения
на протяжении исследуемого периода, а также уровень инфляции.
Динамика изменения уровня дохода населения показана на
рис.2.1.
Рис.2.1 Динамика изменения уровня дохода населения, в млн.
грн.
Доходы населения, их структура и способы получения являются
показателями экономического и социального благополучия общества.
В Украине с 2006 по 2011 гг. наблюдалось постепенное
увеличение доходов населения с 93545,00 млн. грн. в 1 квартале 2006 года до 328461,00 млн. грн. в 3 квартале 2011
года [4].
Динамика изменения уровня сбережений населения показана на
рис.2.2.
Рис.2.2 Динамика изменения уровня сбережений населения, в
млн. грн.
Население постепенно увеличивало долю сбережений с 2006 по
2008 г. г., а в начале 2009 года сбережения резко падают, что связано с
экономическим кризисом, однако если рассматривать квартальные показатели, то с
2 квартала 2009 г. происходит постепенное увеличение сбережений [4].
Динамика уровня инфляции в Украине изображена на рис.2.3.
Рис.2.3 Динамика изменения уровня цен в Украине
Индекс инфляции, или, что то же, индекс
потребительских цен - показатель, который характеризует изменения общего
уровня цен на товары и услуги, приобретаемые населением для непроизводственного
потребления [5]. Необходимо отметить, что уровень инфляции на протяжении
исследуемого периода находился практически на одном уровне, кроме кризисного
периода соответсвенно, и с 2010 года наблюдается тенденция к сокращению.
В итоговой модели функция потребления зависит от:
) Доходов населения.
) Уровня инфляции.
) Сбережений населения.
Модель будет иметь вид:

,
где y - результирующая переменная (потребление
населения);
х1 - доходы населения, ежеквартальные данные в млн.
грн.;
х2 - сбережения населения; х3 - уровень
инфляции.
b0, b1, b2, b3 - оценки неизвестных
параметров β0, β1, β2, β3, в том числе b0 - свободный член уравнения регрессии, b1, b2, b3 - коэффициенты
множественной регрессии;
e - случайная величина (случайные отклонения) [1].
С помощью функции ЛИНЕЙН, я определила коэффициенты b0, b1, b2, b3:
b0 = - 269428,8196;
b1 = 0,765990944;
b2 = 0,008204561;
b3 = 2739,629825.
Уравнение регрессии примет вид:
Результаты моделирования изображены на рис.2.4.
Рис.2.4 Исходные данные и результаты моделирования
потребления населения.
Результаты функции ЛИНЕЙН представлены в табл.2.1.
Таблица 2.1.
|
b3
|
b2
|
b1
|
b0
|
|
2739,629825
|
0,008204561
|
0,765990944
|
-269428,8196
|
|
1776,136333
|
0,136287626
|
0,027693745
|
180656,4024
|
|
0,984637722
|
6933,674557
|
#Н/Д
|
#Н/Д
|
|
405,9319212
|
19
|
#Н/Д
|
#Н/Д
|
|
58546557773
|
913441014,5
|
#Н/Д
|
#Н/Д
|
Для экспресс-оценки качества построенной модели выдвигаем
такие гипотезы:
) Оценка фактора β0
Н0 - фактор β0 значим, он оказывает
линейное воздействие на Y
Н1 - фактор β0 не значим
) Оценка фактора β1
Н0 - фактор β1 значим, он оказывает
линейное воздействие на Y
Н1 - фактор β1 не значим
) Оценка фактора β2
Н0 - фактор β2 значим, он оказывает
линейное воздействие на Y
Н1 - фактор β2 не значим
) Оценка фактора β3
Н0 - фактор β3 значим, он оказывает
линейное воздействие на Y
Н1 - фактор β3 не значим
) Проверка статистических гипотез (t stat и t krit):
Н0 - принимаем гипотезу о существовании линейной
зависимости между факторными признаками и результирующей переменной
Н1 - принимаем альтернативную гипотезу
) Проверка адекватности модели
Н0 - принимаем гипотезу о том, что 
адекватно описывает изменения исходного Y при изменении факторов, включенных в модель
Н1 - принимаем альтернативную гипотезу о том, что
модель не адекватна.
Таблица 2.2.
Экспресс-оценка качества построенной модели:
|
t emp
bo
|
-1,49138816
|
|T emp b0|<T tabl, то
принимаем гипотезу Н1
|
|
t emp
b1
|
27,65934801
|
|T emp b1|> T tabl, то
принимаем гипотезу Н0
|
|
t emp
b2
|
0,060200336
|
|T emp b2|<T tabl, то
принимаем гипотезу Н1
|
|
t emp
b3
|
1,542465955
|
|T emp b3|<T tabl, то
принимаем гипотезу Н1
|
|
t tabl
|
2,09302405
|
|
|
F emp
|
405,9319212
|
так как |F emp|> F krit,
принимаем гипотезу Н0, модель адекватна
|
|
Fkrit
|
3,127350015
|
|
|
R2
|
0,984637722
|
R2 > 0,95, существует сильная линейная взаимосвязь между
факторами
|
|
R
|
0,992289132
|
R>0,7-сильная
взаимосвязь между факторами и Y
|
|
Rscor
|
0,982212099
|
R2scor < R2, означает что в модель включены важные
факторы
|
Ошибка аппроксимации составила 2,931379 %.
Анализ абсолютных значений:
1) b0 показывает теоретическое значение Y при х1=х2=0;
2) b1, b2,b3 показывают, на сколько
изменится Y
(в единицах измерения Y), при изменении факторов хi на 1 ед. (в единицах
измерения х). В случае, если βi >0, то изменение хi и Y однонаправленные, а если
βi <0 -
разнонаправленные.
Поскольку в данной модели все значения βi, положительные. То при увеличении факторных
признаков среднее значение результирующей переменой Y возрастает. В случае
изучения потребления населения, то фактор β1 показывает, на сколько
изменится потребление населения, млн. грн., при изменении фактора располагаемого
дохода населения на 1 млн. грн.
Фактор β2 показывает, на сколько
млн. грн. изменится потребление населения при изменении фактора сбережения
населения на 1 млн. грн. Фактор β3 показывает, на сколько
млн. грн. изменится потребление населения при изменении индекса инфляции на 1%.
[1]
Рассчитаю, коэффициенты эластичности:

, в %.
ε1= 0,954932445%.
Таким образом, при изменении х1 на 1% У изменится на 0,954932445%.
ε2 = 0,001283175%.
Таким образом, при изменении х2 на 1% У изменится на 0,001283175%.
ε3 = 1,642047594%.
Таким образом, при изменении х3 на 1% У изменится на 1,642047594 %.
Зная коэффициенты эластичности, можно сказать, что на У в большей
мере воздействует 3 фактор (уровень инфляции), так как |ε3|> |ε1|> |ε2|.
Доверительные интервалы для β1, β2, β3:
Таблица 2.3
|
0,708027
|
<
|
β1
|
<
|
0,823954619
|
|
-0,27705
|
<
|
β2
|
<
|
0,293457839
|
|
-
977,8662
|
<
|
β3
|
<
|
6457,125887
|
С вероятностью 95% можно сказать, что истинные значения
коэффициентов регрессии βi лежат в данных пределах.
Проверяем факторы на наличие мультиколлинеарности:
Согласно гипотезам: Н0 - между переменными
отсутствует мультиколлинеарность; Н1 - переменные модели
множественной регрессии высококоррелированы.
Для этого построим матрицу коэффициентов парной корреляции
между факторами:
Таблица 2.4
|
Матрица rij
|
х1
|
х2
|
х3
|
|
х1
|
1,00
|
0,56
|
-0,25
|
|
х2
|
0,56
|
1,00
|
0,01
|
|
х3
|
-0,25
|
0,01
|
1,00
|
Для проверки гипотез рассчитывается эмпирическое значение
критерия χ2:
, [1]

9,758255423
где
- определитель матрицы R - матрицы парных
коэффициентов корреляции; |R| = 0,616386896, ln|R| = - 0,48388043;- число наблюдений, по которым построена модель регрессии,
n = 23;- количество регрессоров с учетом
константы в модели регрессии, k=4.
Табличное значение статистики χ2:
[1].

7,814728.
Так как условие
не выполняется,
то принимает гипотезу Н1, т.е. мультиколлинеарность присутствует.
Мероприятия по устранению мультиколлинеарности будут основываться
на технике преобразования модели. Для модели множественной регрессии вида, 
для которой сделан вывод о наличии корреляции между объясняющими
переменными х1 х2 и х3, следует перейти к
оценке МНК параметров другой модели: 
, где объясняющие переменные 
, 
и 
уже не коррелированны [3].
Выполнив преобразование, были получены новые оценки (Таблица
2.5.), выполнена Экспресс-оценка качества построенной модели без
мультиколлинеарности (Таблица 2.6.), и по этим оценкам была построена модель
(Рис.2.5.) Т.о. были получены новые оценки:
Таблица 2.5
|
b0
|
b2
|
b1
|
b3
|
|
-265282
|
0,009754
|
0,765811
|
2698,557
|
|
181651,8
|
0,137724
|
0,027763
|
1786,182
|
|
0,984868
|
68,82458
|
#Н/Д
|
#Н/Д
|
|
412,
1962
|
19
|
#Н/Д
|
#Н/Д
|
|
5857501
|
89999,63
|
#Н/Д
|
#Н/Д
|
Таблица 2.6.
Экспресс-оценка качества построенной модели:
|
t emp bo
|
-1,46038749
|
|T emp b0|<T tabl, то
принимаем гипотезу Н1
|
|
t emp b1
|
27,5843203
|
|T emp b1| > T tabl, то
принимаем гипотезу Н0
|
|
t emp b2
|
0,07082432
|
|T emp b2|<T tabl, то
принимаем гипотезу Н1
|
|
t emp b3
|
1,51079599
|
|T emp b3|<T tabl, то
принимаем гипотезу Н1
|
|
t tabl
|
2,43344021
|
|
|
F emp
|
405,918503
|
так как |F emp|> F krit, принимаем
гипотезу Н0, модель адекватна
|
|
Fkrit
|
3,12735002
|
|
|
R
|
0,99228888
|
R>0,7-сильная
взаимосвязь между факторами и Y
|
|
R2scor
|
0,98221152
|
R2scor < R2, означает что в модель включены важные
факторы
|
|
R2
|
0,98463722
|
R2 > 0,95, существует сильная линейная взаимосвязь между
факторами
|
Ошибка аппроксимации модели без мультиколлинеарности
составила:
2,755664 %.
Рис.2.5 Сравнение результатов моделирования с исходными
данными
При анализе модели на гетероскедастичность, используем
графический метод.
Рис.2.6 Проявление систематических изменений между значениями
факторной переменной Х1 и значениями et2
Рис.2.7 Проявление систематических изменений между значениями
факторной переменной Х2 и значениями et2
Рис.2.8 Проявление систематических изменений между значениями
факторной переменной Х3 и значениями et2
Для модели необходимо найти остатки et. Чтобы выявить
зависимость дисперсии остатков от значений факторных переменных, необходимо
оценить зависимость et2 от всех возможных комбинаций факторных
переменных.
Таблица 2.7.
Тест Уайта
|
b6
|
b5
|
b4
|
b3
|
b1
|
b0
|
|
0
|
-1,
20423E+11
|
-78,65677
|
57745,63
|
62,3025
|
-210818,5
|
1364531130
|
|
0
|
1,11903E+11
|
306,8336
|
149486,1
|
18,77512
|
77422,88
|
1133131449
|
|
0,648660329
|
34104801,41
|
#Н/Д
|
#Н/Д
|
#Н/Д
|
#Н/Д
|
#Н/Д
|
|
6,277244799
|
17
|
#Н/Д
|
#Н/Д
|
#Н/Д
|
#Н/Д
|
#Н/Д
|
|
3,65065E+16
|
1,97733E+16
|
#Н/Д
|
#Н/Д
|
#Н/Д
|
#Н/Д
|
#Н/Д
|
Тест Уайта для построенной модели показал, что
гетероскедастичность присутствует, так как Femp>Fkrit (Fkrit = 2,809996,
Femp = 6,277245).
Для устранения гетероскедастичность был использован метод взвешенных наименьших
квадратов, суть которого состоит в том, что необходимо разделить каждое
наблюдаемое значение переменных модели на соответствующее ему значение
стандартного отклонения. Значение стандартного отклонения берут, основываясь на
модельном значении дисперсии из теста Уайта (
), то есть стандартное отклонение принимают равным
. Тем самым наблюдениям с наименьшими
дисперсиями придаются наибольшие "веса", а с максимальными
дисперсиями - наименьшие "веса". Так, в случае наличия
гетероскедастичности в модели множественной регрессии вида 
МНК применяют для преобразованных значений 
. [1]
Ошибка аппроксимации модели без гетероскедастичности составила 3,441759378 %.
Рис.2.9 Сравнение результатов моделирования с исходными данными
Для обнаружения автокорреляции остатков используем критерий знаков
и критерий Дарвина-Уотсона.
Результаты, полученные с помощью критерия знаков (таблица 2.8.)
Таблица 2.8.
Результаты критерия знаков
|
V emp
|
8
|
|
T emp
|
4
|
|
V stat
|
3
|
|
T stat
|
4,420190708
|
Поскольку, V emp > V stat, a T emp < T stat, то принимается гипотеза об
отсутствии автокорреляции остатков. [3]
Проверка наличия автокорреляции с помощью критерия
Дарвина-Уотсона, для уровня значимости 0,05 и 0,01. Для того чтобы
проанализировать автокорреляцию случайных отклонений
используют
-статистику, коэффициент Дарбина-Уотсона (DW), который рассчитывается по формуле:
, [1]
Значение DW критерия = 1,348834.
Правило проверки:
Рис.2.10. Зоны автокорреляционной связи по критерию
Дарбина-Уотсона
Полученные результаты при уровне значимости 0,05:
Таблица 2.10.
|
0
|
dL
|
dU
|
4-dU
|
4-dL
|
4
|
|
0
|
0,986
|
1,785
|
2,215
|
3,014
|
4
|
Отсюда можно сделать вывод, что
=1,348834
попадает в зону
неопределенности интервал [dL; dU].
Полученные результаты при уровне значимости 0,01:
Таблица 2.11.
|
0
|
dL
|
dU
|
4-dU
|
4-dL
|
4
|
|
0
|
0,777
|
1,334
|
2,666
|
3,223
|
4
|
Отсюда можно сделать вывод, что
=1,348834
попадает в интервал [dU;
4-dU], т.е. автокорреляция отсутствует.
Для проверки модели на устойчивость, используем критерий Чоу. Для
этого разбиваем выборку на 2 равных части, размер первой - 12 периодов, размер
второй - 11 периода. При
этом k=k1=k2=4.
Оцененные параметры модели:
для n: RSS= 913441015;
для n1: RSS1 = 186244602,1;
для n2:
RSS2 = 703759744.
Исходя из значений этих параметров, получим Femp. = 0, a Fstat = 3. Поскольку, |Femp|< Fstat, [3] то можно говорить об устойчивости
модели во времени.
Раздел 3
В полученной улучшенной модели, в которой были исключены
ошибки мультиколинеарности, гетероскедастичности, автокорреляции, можно
провести анализ построенной модели с учетом оцененных параметров (проанализировать
характер и сравнительную степень влияния каждого из факторов на зависимую
переменную (в натуральных и % показателях); показать интервальные оценки
параметров регрессии).
Таблица 3.1.
Оценки модели
|
b3
|
b2
|
b1
|
b0
|
|
0
|
-17,5328
|
77,82224
|
10834,7
|
|
0
|
6,07406
|
2,521187
|
4625,212
|
|
0,999058
|
1,425358
|
#Н/Д
|
#Н/Д
|
|
7067,313
|
20
|
#Н/Д
|
#Н/Д
|
|
43074,8
|
40,63289
|
#Н/Д
|
#Н/Д
|
Тогда, итоговое уравнение множественной линейной
корреляционно-регресионной модели имеет вид:
Степень влияния факторов можно оценить в натуральных и в
процентных показателях.
При изменении факторного признака на 1ед, и при условии, что
остальные факторы останутся неизменными, значения коэффициентов регрессии
, показывают, насколько единиц изменится
значение результирующей переменной
. Значение параметра
(свободный член уравнения регрессии) может интерпретироваться как
средний уровень результативной переменной при нулевом значении факторных
признаков.
Если коэффициент с положительным знаком, то это означает, что при
увеличении факторного признака среднее значение результативной переменной
увеличивается. Если отрицательным знаком, то при приуменьшении факторного
признака среднее значение результативной переменной уменьшается.
В полученном уравнении коэффициент регрессии 
=77,82224
означает, что увеличение
доходов на 1 млн. грн. в среднем приводит к увеличению потребления на 77,82224 млн. грн.
В полученном уравнении коэффициент регрессии 
= - 17,5328 означает, что увеличение сбережений
населения на 1 млн. грн., в одно и то же время уровень потребления меньше - 17,5328 млн. грн. в 3 квартале 2011 года по
сравнению с другими кварталами.
Чтобы оценить степень влияния факторов в процентных показателях
используются коэффициенты эластичности.
Коэффициент эластичности, показывает на сколько % изменится
при изменении соответствующего факторного
признака на 1% при условии неизменности остальных факторов и рассчитывается по
формуле:
(18),
где
- оценки параметров,
- средние значение по всем факторным
признакам,
- среднее значение результативной
переменной [1].
ε1= 97,01809 %.
Таким образом, при изменении х1 на 1% У изменится на 97,01809 %.
ε2 = - 2,74209 %.
Таким образом, при изменении х2 на 1% У уменьшиться на 2,74209 %.
Зная коэффициенты эластичности, можно сказать, что на У в большей
мере воздействует 1 фактор (располагаемый доход), так как 
> 
.
Для анализа построенной модели с учетом оцененных параметров
используем методику экспресс-оценки.
Таблица 3.2.
Экспресс-оценка итоговой модели
|
t emp
bo
|
2,34253
|
|T emp b0|<T tabl, то
принимаем гипотезу Н1
|
|
|
t emp
b1
|
30,86731
|
|T emp b1|> T tabl, то
принимаем гипотезу Н0
|
|
|
t emp
b2
|
-2,8865
|
|T emp b2|>T tabl, то
принимаем гипотезу Н0
|
|
|
t emp
b3
|
0
|
|T emp b3|<T tabl, то
принимаем гипотезу Н1
|
|
t tabl
|
2,423117
|
|
|
F emp
|
7067,313
|
так как |F emp|> F krit,
принимаем гипотезу Н0, модель адекватна
|
|
Fkrit
|
3,098391
|
|
|
R2
|
0,999058
|
R2 > 0,95, существует сильная линейная взаимосвязь между
факторами
|
|
R
|
0,999529
|
R>0,7-сильная
взаимосвязь между факторами и Y
|
|
Rscor
|
0,998963
|
R2scor < R2, означает что в модель включены важные
факторы
|
Рис.3.1 Сравнение исходных и модельных значений
Доверительные интервалы для β1, β2:
|
71,71311
|
<
β1 <
|
17895,84
|
|
-32,2509
|
<
β2 <
|
- 2,81463
|
С вероятностью 95% можно сказать, что истинные значения
коэффициентов регрессии βi лежат в данных пределах.
Таким образом, функция личного потребления зависит от
располагаемого дохода населения и сбережений. Эти факторные признаки в
значительной степени объясняют результирующую переменную, о чем может
свидетельствовать значение коэффициентов эластичности, размер доверительных
интервалов.
Прогноз, полученный подстановкой в уравнение регрессии
ожидаемого значения параметра, является точечным.
Для получения точечного прогноза, используем встроенную
функцию MS Excel ПРЕДСКАЗ.
В результате использования функции ПРЕДСКАЗ, были получены
такие значения факторных признаков:
Х1 = 326149;
Х2 = 36590,03;
Подставив эти значения в уравнение регрессии, получим
значение У= 300393,67 млн. грн.
Для получения интервального прогноза воспользуемся формулой:
∆
, [3].

= 20805990;

20805989; 20805992]; Интервал ∆ достаточно узкий и это
хорошо, поскольку для принятия решения требуется определенность, то есть узкий
интервал. Хотя чем шире доверительный интервал, тем выше вероятность попадания
в этот интервал значения прогнозируемого показателя. Теоретически, можно
сделать доверительный интервал настолько широким, что вероятность попадания в
него будет равна ста процентам. Однако ценность такого прогноза будет невысока.
Таким образом, функция личного потребления в Украине в 4 квартале
2011 года будет находится в интервале от 20805989 млн.
грн. до 20805992 млн. грн.
Заключение
Для нахождения вида функции личного потребления населения
Украины были проанализированы факторы, которые с теоретической точки зрения
непосредственно влияют на потребление, такими факторами являются: располагаемый
доход и сбережения населения.
В результате проверки факторов эконометрическими методами
было определено, факторные признаки оказывают существенное влияние.
При оценке коэффициентов регрессии с помощью
-статистики параметры оказались значимыми,
модель адекватна. Коэффициент детерминации
R2 =
0,999058 т.е. функция личного потребления на 99,9 % зависит от выбранных
факторных признаков.
При графическом сравнении модельные значения практически совпадают
с фактическими. Модель с оцененными параметрами имеет вид:
При проверке модели на устойчивость по критерию Чоу, было
определенно, что модель устойчива.
Также в результате проверки новой модели на мультиколинеарность с
помощью
- статистики мультиколинеарность была
обнаружена. Поскольку одним из способов устранения является использование
техники предобразования модели регрессии, то ошибка мультиколинеарности исчезла
с модели.
При проверке модели была также обнаружена гетероскедастичность
(при проведении теста Уайта). Эта ошибка была устранена с помощью метода
взвешенных наименьших квадратов.
В ходе проверки модели на наличие автокорреляции формальными
методами, такими как критерии серий знаков и критерий Дарбина-Уотсона -
автокорреляции остатков не обнаружено.
Были получены точечный и интервальный прогнозы.
Исходя из всего выше сказанного, мы можем утверждать, что
построенная модель хорошая: все параметры значимы, адекватна, устойчивая, без
таких ошибок как мультиколинеарность, гетероскедастичность и автокорреляция.
Также модель имеет достаточно хорошие прогностические способности,
что доказано высоким качеством точечного прогноза и достаточно узким
интервальным прогнозом. Модель можно применять в практической деятельности для
прогнозирования личного дохода в целом. Полученные значения коэффициентов
регрессии применимы для украинской экономики.
Список
использованных источников
1. Здрок
В.В., Лагоцький Т.Я. Економетрія: Підручник. - К.: Знання. 2010, - 541с.
2. Круш
П.В., Тульчинская С.А. Макроэкономика: Учебник. - К: Центр учебной литературы.
2005 г, - 400 с.
3. Материалы
лекций по дисциплине "Эконометрика".
4. Государственный
комитет статистики Украины [Электронный ресурс] / Режим доступа:
<http://www.ukrstat.gov.ua/>
. Электронный ресурс /
Режим доступа: http://index. minfin.com.ua <http://index.minfin.com.ua>.
. Электронный ресурс /
Режим доступа: http://emerecu. ukma. kiev.ua
<http://emerecu.ukma.kiev.ua>.
. Электронный ресурс /
Режим доступа: <http://www.vuzlib.net>.
. Электронный ресурс /
Режим доступа: http://ecouniver.com.
Приложения
Приложение А
Исходные данные для моделирования
|
года
|
Y
потребление
|
X1
расп. доход
|
X2
сбережение
|
Х3
инфляция
|
|
1 кв.
2006 г.
|
79672,00
|
93545,00
|
11998,00
|
100,90
|
|
2 кв.
2006 г.
|
92445,00
|
109912,00
|
15199,00
|
100,07
|
|
3 кв.
2006 г.
|
98707,00
|
126725,00
|
14970,00
|
100,97
|
|
4 кв.
2006 г.
|
114857,00
|
141879,00
|
27902,00
|
101,77
|
|
1 кв.
2007 г.
|
103536,00
|
120001,00
|
11982,00
|
100,43
|
|
2 кв.
2007 г.
|
119036,00
|
143915,00
|
22746,00
|
100,93
|
|
3 кв.
2007 г.
|
128782,00
|
168230,00
|
28315,00
|
101,40
|
|
4 кв.
2007 г.
|
158179,00
|
191143,00
|
48355,00
|
102,40
|
|
1 кв.
2008 г.
|
150626,00
|
173473,00
|
20080,00
|
103,13
|
|
2 кв.
2008 г.
|
167524,00
|
202411,00
|
25664,00
|
101,73
|
|
3 кв.
2008 г.
|
178053,00
|
224647,00
|
26999,00
|
100,17
|
|
4 кв.
2008 г.
|
199415,00
|
245110,00
|
50170,00
|
101,77
|
|
1 кв.
2009 г.
|
159738,00
|
191940,00
|
-8987,00
|
101,93
|
|
2 кв.
2009 г.
|
171291,00
|
217068,00
|
17641,00
|
100,83
|
|
3 кв.
2009 г.
|
180505,00
|
234523,00
|
21299,00
|
100,17
|
|
4 кв.
2009 г.
|
201145,00
|
254138,00
|
30435,00
|
100,97
|
|
1 кв.
2010 г.
|
182566,00
|
229106,00
|
21512,00
|
101,53
|
|
2 кв.
2010 г.
|
201590,00
|
267973,00
|
34979,00
|
99,57
|
|
3 кв.
2010 г.
|
217097,00
|
288714,00
|
41134,00
|
101,30
|
|
4 кв.
2010 г.
|
236967,00
|
315222,00
|
27805,00
|
100,53
|
|
1 кв.
2011 г.
|
220606,00
|
265528,00
|
39775,00
|
101,10
|
|
2 кв.
2011 г.
|
249075,00
|
299957,00
|
40195,00
|
100,83
|
|
3 кв.
2011 г.
|
265836,00
|
328461,00
|
36225,00
|
99,47
|