Ракетные двигатели твердого топлива
Введение
Курсовая работа выполняется в плане решения проблемных вопросов,
связанных с разработкой конструкции двигателей летательных аппаратов (ДЛА) и
выбор оптимальных материалов корпуса и соплового блока ДЛА. За исходный
аналог-прототип рассчитываемого двигателя ракетного двигателя твердого топлива
(РДТТ) применяется тормозной РДТТ трехблочной системы посадки космического
летательного аппарата (КЛА) "Восход" на Землю. Расчет РДТТ КЛА
ведется по соотношениям, известным из курсов теории и конструкции ДЛА. Выбор
материалов корпуса и сопла двигателя строится на сравнительной оценке
современных перспективных материалов по критерию "минимума массы
конструкции РДТТ". Разработка конструкции РДТТ завершается выполнением
чертежа общего вида двигателя с детальной проработкой одного из узлов стыковки
его агрегатов (днища и обечайки). "Восход" - советская программа
серии многоместных космических кораблей для полётов на околоземной орбите. По
программе "Восход" решались задачи отработки взаимодействия членов
экипажа во время полёта, изучалась возможность работы человека в открытом
космосе, проводились научные и медико-биологические исследования, технические
эксперименты. Основные достижения полученные по программе "Восход" -
первый в мире многоместный экипаж (полёт 3-х космонавтов на борту), первый в
мире полёт космонавтов без использования скафандров, первый в мире выход в
открытый космос. Корабль фактически повторял корабли серии "Восток"
(изначальный технический код разработки был "Восток-3КВ", затем
11а57) и состоял из сферического спускаемого аппарата диаметром 2,3 метра, в
котором размещались космонавты, и конического приборного отсека (массой 2,27
т., длиной 2,25 м и шириной 2,43 м.) в котором находились топливные баки и
двигательная установка.
1. Выбор схемы и топлива РДТТ
.1 Качественный анализ задачи, решаемой с помощью рассчитываемого РДТТ
В данном курсовом проекте будем рассматривать тормозной РДТТ трехблочной
системы посадки КЛА "Восход" на Землю.
Резервный твердотопливный тормозной двигатель для схода с орбиты
установлен в верхней части спускаемого аппарата. Корабли "Восток"
имели только один жидкостный тормозной двигатель, однако запасов кислорода
хватало для десятидневного полёта, что позволило бы кораблю сойти с орбиты и
приземлиться, тормозя трением об атмосферу.
Твердотопливная тормозная установка включала в себя пакет из трех РДТТ,
которая крепятся к основанию корабля. РДТТ обеспечивает первоначальное
торможение КЛА для схода его с орбиты на Землю. После срабатывания РДТТ
отбрасывается с КЛА, дальнейшее торможение осуществляется силами сопротивления
атмосферы Земли и парашютной системой.
Система посадки включала следующие операции: на высоте около 5 км
отстреливалась крышка парашютного контейнера и вводилась в действие парашютная
система. Когда скорость снижения спускаемого аппарата уже уменьшилась за счет
торможения в атмосфере до 220 м/с. Примерно через 6 мин корабль достигал
поверхности Земли, и перед касанием с грунтом включалась тормозная двигательная
установка с РДТТ непосредственной посадки, которая снижала скорость приземления
практически до нуля
1.2 Обзор существующих образцов РДТТ, применяемых для решения
поставленной задачи
В 1961-1962 гг. тормозной РДТТ тягой около 23 кН и массой 95 кг (с
пластиковым корпусом) устанавливался в КА "Рейнджер" с тем, чтобы
погасить скорость падения приборного контейнера на поверхность Луны (рисунок
1). Двигатель должен был включаться на высоте 16 км и работать в течение 10 с
до высоты 330 м. Далее сферический контейнер "Рейнджера" должен был
совершать свободное падение, ударяясь о лунный грунт со скоростью 33 м/с,
обеспечивающей сохранность научных приборов. По различным техническим причинам
запуски всех КА "Рейнджер" указанного типа завершились неудачей. Зато
успешным были полеты в 1966 - 1968 гг. нескольких КА "Сервейер", при
посадке которых на лунную поверхность использовался бортовой РДТТ. Он
обеспечивал снижение скорости КА до 120 м/с (далее включались ЖРД мягкой
посадки). По своим параметрам этот твердотопливный двигатель близок к его
модификации, использованной впоследствии в составе РН "Дельта".
Рисунок 1. "РДТТ космического аппарата "Рейнджер-3": 1 -
сопло раскрутки; 2 - корпус РДТТ раскрутки; 3- тормозной РДТТ"
При посадке космических кораблей "Меркурий" (1962-1963 гг.) и
"Джемини" (1965-1966 гг.) твердотопливные двигатели обеспечивали их
сход с околоземной орбиты на траекторию спуска.
Тормозная двигательная установка корабля "Меркурий" содержала
три РДТТ (рисунок 2) с диаметром корпуса 300 мм, тягой каждого 4,45 кН и временем
работы 10 с. Включение этих двигателей осуществлял сам космонавт при помощи
ручной системы управления.
Рисунок 2. "Тормозной РДТТ космического корабля
"Меркурий""
Тормозная, установка "Джемини" состояла из четырех РДТТ со
сферическими корпусами (из титанового сплава) диаметром --320 мм, с начальной
массой по 3.1, кг. РДТТ снаряжались смесевым топливом, содержащим перхлорат
аммония, полисульфидное горючее-связку и алюминий. При сгорании этого топлива
развивалась тяга около 11 кН. В отличие от "Меркурия" на
"Джемини" тормозные РДТТ включались не одновременно, а.
последовательно - один за другим.
В 70-х годах тормозные РДТТ применялись в КА для .исследования Марса и
Венеры. В декабре 1978 г., бортовой РДТТ тягой 18 кН обеспечил перевод
американского КА "Пионер-Венера-1" (начальной массой 550 кг) с
пролетной траектории на орбиту Венеры, изменив при этом скорость КА; на 1060
м/с. В сферическом корпусе двигателя диаметром 622 мм содержалось около 200 кг
твердого топлива, которое было израсходовано примерно за 30 с. Этот же РДТТ
использовался ранее в качестве апогейного бортового двигателя геостационарных
ИСЗ "Скайнет".
.3 Выбор
принципиальной схемы РДТТ и типов ее систем
Основные
системы
Рассматриваемый ракетный двигатель имеет следующие основные системы:
· Корпус цилиндрический
· Сопловой блок конический
· Система тепловой защиты
· Заряд твердого топлива
· Система запуска
Дополнительные
системы
· Узлы крепления РДТТ к КЛА
· Узлы отсечки РДТТ от КЛА
Работа РДТТ
по принципиальной схеме:
Рисунок 3. "Принципиальная схема РДТТ"
Корпус РДТТ состоит из углепластиковой обечайки (1), переднего (3) и
заднего (6) днищ, выполненных из высокопрочной легированной стали. К заднему
днищу с помощью фланцевого соединения крепится коническое сопло (5). В
критическом сечении сопла устанавливается пиролитический графитовый вкладыш с
вольфрамовым покрытием (7).
Воспламенительное устройство (4) запускается пиропатроном, при этом масса
заряда воспламенителя должна быть оптимальной, иначе это может вызвать
нестабильную работу РДТТ. Воспламенитель начинает процесс горения топливного
заряда РДТТ. После полной выработки топливного заряда происходит отделение РДТТ
от КЛА с помощью пироболтов.
.4 Обзор существующих и перспективных типов твердого ракетного топлива
(ТРТ)
двигатель космический ракетный твердотопливный
По химическому составу и структуре ТРТ делятся на:
· коллоидные (двухосновные)
· смесевые
· модифицированные двухосновные
Компоненты твердого ракетного топлива обычно выполняют несколько функций:
· окислители являются наполнителями полимерной матрицы,
обеспечивают необходимый уровень баллистических и энергомассовых характеристик
· горючие, представляющие собой в большинстве случаев
пластифицированные полимеры, обеспечивают монолитность твердотопливного заряда
и необходимый уровень его механических характеристик.
Коллоидные
топлива
Коллоидные (гомогенные, двухосновные, баллиститные) топлива - твердые
растворы органических веществ, молекулы которых содержат горючие и
окислительные элементы. Одной из основ этих типов ТРТ является нитроцеллюлоза с
различным содержанием азота. Степень нитрации определяет отношение горючих и
окислительных элементов и степень избытка окислителя.
Его основой являются: сложные эфиры азотной кислоты, такие как
нитроглицерин, нитроцеллюлоза (горючее) с различным содержанием азота ТРТ на
основе нитроцеллюлозы с низким содержанием азота называют баллиститными ТРТ, а
с более высоким - кордитами.
В качестве окислителя в двухосновных топливах используются труднолетучие
растворители (ТЛР). Для получения необходимых физико-химических и механических
свойств в ТРТ вводят добавки.
Характеристика горючего двухосновных ТРТ:
Нитроцеллюлоза широко используется как основной компонент в процессе приготовления
бездымных порохов и баллиститного ракетного топлива. При нитрирование различают
два основных вида нитрата целлюлозы:
· пироксилин
· коллоксилин
Энергетические показатели нитратов целлюлозы можно охарактеризовать
данными, представленными в таблице 1.1.
Таблица 1.1.
|
Наименование нитрата
целлюлозы
|
Теплопроизводительность,
МДж/кг
|
Газообразование, кг/л
|
Температура горения Табс, К
|
|
Пироксилин
|
3,98
|
900
|
3150
|
|
Коллоксилин
|
3,64
|
940
|
2850
|
Нитраты целлюлозы представляют собой рыхлую массу. После прессования под
давлением в 500 - 600 кг/см плотность достигает 1,02 - 1,05 кг/см.
Характеристика окислителя двухосновных ТРТ
· Нитроглицерин C3H5(ONO2)3
хорошо растворяет нитросоединения. Нитроглицерин - мощное взрывчатое вещество.
· Метилнитрат СН3ONO2 - чувствителен к
удару и очень склонен к детонации. Обладает низкой коррозионной активностью.
· Нитрометан СН3NO2 - малочувствительное
взрывчатое вещество.
· Нитробензол С6Н5NO2, также
используется как пластификатор.
Смесевые
топлива
Смесевое ТРТ - представляет собой механическую смесь окислителя и
горючих.
Его основой являются:
· кристаллический неорганический окислитель
· полимерное органическое горючее - связующее
· второе металлическое горючее
К основным составляющим ТРТ добавляются различные присадки для повышения
качества топлива:
· замедления (ускорения) отвержения заряда
· увеличения срока хранения заряда - стабилизаторы
· увеличения (уменьшения) скорости горения ТРТ
В зависимости от вида окислителя заметно меняются свойства и
энергетические показатели смесевого топлива.
Введение в состав ТРТ порошкообразных металлов повышает удельный импульс,
стабильность горения.
Характеристика окислителя смесевых ТРТ
В состав смесевых топлив входят два основных вида окислителей:
· перхлораты - соли хлорной кислоты
· нитраты - соли азотной кислоты
Перхлораты обладают лучшим окислительным потенциалом, чем нитраты.
В практике используются перхлораты:
· натрия ПХН
· аммония ПХА
· калия ПХК
· лития ПХЛ
Их плотность и температура плавления указаны в таблице 1.1.
Все перхлораты довольно гигроскопичны и слаботоксичные.
Таблица 1.1.
|
Название
|
Формула
|
Плотность, г/см3
|
Температура плавления, К
|
Кислородный баланс
|
|
Перхлорат калия
|
KClO4
|
2,52
|
843-823
|
46
|
|
Перхлорат натрия
|
NaClO4
|
2,5
|
753
|
52
|
|
Перхлорат аммония
|
NH4ClO4
|
1,95
|
513
|
54
|
|
Перхлорат лития
|
LiClO4
|
2,43
|
509
|
60
|
|
Перхлорат нитрония
|
NO2ClO4
|
2,22
|
393 разлаг.
|
66,5
|
|
Нитрозил
|
2NOClO4
|
2,169
|
373 разлаг.
|
62
|
Нитраты:
· калиевая (KNO3) или натриевая (NaNO3)
селитры
· нитрат аммония NH4NO3.
Селитры очень гигроскопичны, они способны поглощать и накапливать влагу
воздуха в количествах, превышающих в несколько раз собственную массу.
Обычно с этими окислителями (они дёшевы) изготовляются твердые топлива
для ракет ближнего боя.
Характеристика горючего смесевых ТРТ
Технические требования к горючим:
· хорошая адгезия
· хорошо формоваться при прессовании, пластификации или
отливке;
· способность отвердения после отливки за счет полимеризации,
коагуляции или термостатирования
· обладать низкой температурой воспламенения или низкой
· обеспечивать постоянную скорость горения
· иметь хорошие энергетические показатели.
Горючие принято разделять на следующие группы:
· смолы;
· каучуки;
· мономеры;
· производные целлюлозы.
Сравнивая два класса топлива по основным параметрам (см. таблицу 1.3)
можно прийти к выводу, что смесевые топлива имеют более высокие энергетические
характеристики.
Таблица 1.3.
|
Характеристика
|
Двухосновные топлива
|
Смесевые топлива
|
|
Руд ,H·c/кr
|
2000-2300
|
2300-2600
|
|
, г/см3
|
1.55-1.62
|
1.75-1.85
|
|
рк , МПа
|
3.0-3.5
|
1.2-1.5
|
Модифицированные
двухосновные топлива
Модифицированное двухосновное топливо состоит из нитроцеллюлозы и
перхлората аммония (октогена, гексогена) с добавлением алюминия. В таком
топливе относительно мало связующего, а окислителем является перхлорат аммония
и атомы кислорода, выделяющиеся из нитросоединения. Большое содержание
кислорода позволяет получить высокий удельный импульс при температуре горения
полиуретанового топлива. Однако скорость диапазон изменения скоростей горения
при этом изменяется не значительно по сравнению с двухосновным топливом.
Стоимость такого топлива выше, чем обычного смесевого.
.5 Выбор ТРТ для рассматриваемого двигателя (требования к ТРТ, значение
его параметров)
ТРТ для рассматриваемого в данной работе РДТТ должен обладать следующими
показателями:
Заряд ТРТ - канальный
- максимальная скорость потока в канале заряда.
Требования к ТРТ:
Комплекс требований к ТРТ определяется необходимостью создания ракеты с
высокой надежностью, минимальными размерами и габаритами, стартовой массой при
заданных величинах массы полезного груза.
.6 Расчет
потребной массы заряда ТРТ
Исходные данные:
- характеристическая скорость для маневра, выполняемого с
помощью РДТТ
- удельный импульс тяги РДТТ на расчетном режиме работы
сопла двигателя.
- стартовая масса.
Расчет потребной массы заряда ТРТ
Определяем число К.Э. Циолковского
Находим относительную массу топлива
Рассчитываем потребную массу заряда
2. Расчет
основных параметров РДТТ
.1
Определение постоянных параметров РДТТ
Расчет
временных параметров двигателя
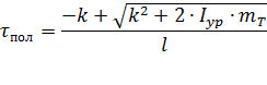
1) Полное время работы РДТТ
Где k и l - постоянные уравнения тяги.
) Выбор числа (n)
интервалов (
) расчетных шагов по времени работы двигателя
Первые n-1 шагов приводим к целому значению
Значение последнего интервала рассчитываем по формуле:
3) Определение текущих расчетных значений времени работы двигателя
А) Начало работы РДТТ
Б) Значение текущего времени каждого расчетного шага
В) Время конца работы двигателя
Расчет
средних значений тяговых параметров за время работы РДТТ
Рассчитываем среднее значение расхода рабочего тела
Рассчитываем среднее значение тяги двигателя
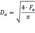
Определение
геометрических параметров критического сечения сопла
Рассчитаем критическую площадь сопла
Рассчитаем диаметр критического сечения сопла
2.2 Сводка
исходных данных для расчета РДТТ
1) Тип РДТТ: тормозной РДТТ трехблочной системы посадки КЛА
"Восход" на Землю
2)
- стартовая масса
3)
- характеристическая скорость для
маневра, выполняемого с помощью РДТТ
4)
- закон изменения тяги РДТТ
5)
- удельный импульс тяги РДТТ на
расчетном режиме работы сопла двигателя.
6)
- среднее давление в камере РДТТ
Дополнительные данные:
) Коэффициенты потери энергии
) Рекомендуемые основные параметры ТРТ:
- газовая постоянная
- температура
- плотность топлива
Заряд ТРТ - канальный
- максимальная скорость потока в канале заряда
)
- полное время работы РДТТ
)
- секундный расход топлива
)
- среднее значение тяги
12)
- площадь критического сечения
)
- диаметр критического сечения
Расчет
начальных параметров двигателя (
Исходные данные:
- значение интервала времени
- текущее значение времени
- текущее значение индекса i
Рассчитаем тягу двигателя
Рассчитаем расход рабочего тела из двигателя
Доля топлива израсходованного за интервал времени
Общая масса израсходованного топлива
Давление в камере РДТТ в момент начала его работы
Скорость горения ТРТ в момент начала работы двигателя
Начальный диаметр канала заряда ТРТ
2.3 Расчет
основных параметров РДТТ, как функции времени работы двигателя
Исходные данные:
- значение интервала времени
- текущее значение времени
- текущее значение индекса i
Тяга двигателя
Расход рабочего тела
Доля топлива израсходованного за интервал времени
Общая масса израсходованного топлива
Давление в камере РДТТ
Скорость горения ТРТ
Доля сгоревшей части свода заряда ТРТ за интервал времени
Диаметр канала заряда после сгорания доли топлива, равной
Текущее значение средней поверхности горения заряда в интервале времени
Значение длины элемента заряда, сгоревшего за интервал времени
Результаты расчетов параметров при I = 1, 2, 3, 4, 5, 6 приведены в таблице 1.
1.1. Расчет
конечных параметров двигателя (
)
Текущее значение времени
Интервал времени
Расчет тяги двигателя
Расход рабочего тела
Давление в камере РДТТ
Скорость горения ТРТ
Диаметр канала заряда
1.2. Таблица
результатов расчетов основных параметров РДТТ, как функции времени
Таблица 2.1.
|
, c
|
, H
|
, кг/с
|
, кг
|
, кг
|
, Па
|
|
, м
|
, м
|
,
|
, м
|
|
τ0
|
0
|
16000
|
5,714
|
0
|
0
|
2390183
|
0,004
|
-
|
0,174
|
-
|
-
|
|
τ1
|
1,5
|
16795
|
5,998
|
17,995
|
17,995
|
2508945
|
0,004
|
0,201
|
0,776
|
1,317
|
|
τ2
|
4,5
|
18385
|
6,566
|
19,698
|
37,693
|
2746470
|
0,004
|
0,013
|
0,228
|
0,830
|
1,233
|
|
τ3
|
7,5
|
19975
|
7,134
|
21,402
|
59,095
|
2983994
|
0,005
|
0,014
|
0,255
|
0,882
|
1,163
|
|
τ4
|
10,5
|
21565
|
7,702
|
23,105
|
82,200
|
3221518
|
0,005
|
0,014
|
0,283
|
0,934
|
1,103
|
|
τ5
|
13,5
|
23155
|
8,270
|
24,809
|
107,009
|
3459043
|
0,005
|
0,014
|
0,312
|
0,984
|
1,052
|
|
τ6
|
15,202
|
24057
|
8,592
|
3,474
|
110,483
|
3593811
|
0,005
|
0,002
|
0,316
|
1,012
|
1,026
|
|
τk
|
15,404
|
24164
|
8,630
|
-
|
-
|
3609817
|
0,005
|
0,071
|
0,316
|
1,016
|
-
|
1.3. Построение
масштабной диаграммы изменений формы заряда ТРТ во времени
Рисунок 4. "Масштабная диаграмма заряда ТРТ"
1.4 Определение геометрических параметров корпуса и сопла РДТТ
1.4.1 Расчет
корпуса
Диаметр корпуса в первом приближении
Длина корпуса в первом приближении
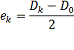
1.3.1. Расчет
конического сопла при условии расчетного режима работы двигателя. Отношение
температуры рабочего тела в камере (индекс "к") и на выходном срезе сопла (индекс "а")
Отношение значений давления рабочего тела
Коэффициент тяги РДТТ
Геометрическая степень расширения сопла
Площадь выходного сечения сопла
Диаметр выходного сечения сопла
Площадь входного сечения утопленного сопла
Рекомендуемое соотношение площадей критического сечения Площадь входного
сечения утопленного сопла:
Выбранное соотношение:
Диаметр входного сечения утопленного сопла
Длина сходящейся части утопленной сопла
Длина расширяющейся части конического сопла
- половина угла раствора расширяющейся части конического
сопла.
Общая длина сопла
Коэффициент утопленности
= 0,2 … 0,4 - по рекомендациям
S =
0,3 - выбранное значение
- получаем конструктивно
По компоновочной схеме определяем ориентировочные значения:
· Диаметр двигателя
· Длина утопленной и неутоленной частей сопла
· Общая длина двигателя
1.4. Определение
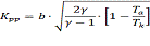
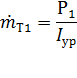
тяговых характеристик РДТТ при работе двигателя в пустоте
1.4.1. Исходные
данные для расчета тяговых характеристик РДТТ в пустоте
Исходные данные: См. таблицу 2.1.
1.4.2. Методика
расчета пустотных характеристик РДТТ
Отношение значений давления рабочего тела
Рассчитываем пустотную тягу
Для шага i=0
Рассчитываем удельный импульс тяги в пустоте
Для шага i=0
Результаты расчетов тяговых характеристик РДТТ при работе в пустоте
Расчеты
и
для i = 0,
1, 2, 3, 4, 5, 6, k приведены в
таблице 2.2.
Таблица 2.2.
|
|
τ
|
, H
|
Iур
|
Pп
|
Iуп
|
|
τ0
|
0
|
16000
|
2800
|
16878
|
2954
|
|
τ1
|
1,5
|
16795
|
2800
|
17717
|
2954
|
|
τ2
|
4,5
|
18385
|
2800
|
19394
|
2954
|
|
τ3
|
7,5
|
19975
|
2800
|
21071
|
2954
|
|
τ4
|
10,5
|
21565
|
2800
|
22749
|
2954
|
|
τ5
|
13,5
|
23155
|
2800
|
24426
|
2954
|
|
τ6
|
15,202
|
24057
|
2800
|
25378
|
2954
|
|
τk
|
15,404
|
24164
|
2800
|
25491
|
2954
|

Рисунок 5. "График зависимости тяги от времени работы РДТТ"
Рисунок 6. "График зависимости импульса тяги от времени работы
РДТТ"
Рисунок 7. "График зависимости импульса тяги в пустоте от времени
работы РДТТ"
Рисунок 5. "График зависимости тяги в пустоте от времени работы
РДТТ"
3. Определение массы снаряжения и конструктивной схемы воспламенителя
заряда ТРТ
Рисунок 5. "Схема воспламенительного устройства"
Начальная поверхность горения заряда
Масса снаряжения воспламенителя
4. Выбор и
обоснование типа материалов корпуса и сопла РДТТ
.1 Основные
требования, предъявляемые к конструкции двигателя
Для оценки целесообразности применения того или другого материала
необходимо проводить технико-экономический анализ, заключающийся в сравнении
потенциальных конструкций с целью выбора оптимальных материалов, т. е.
обладающих наилучшими свойствами при минимальных затратах и минимальной массе
конструкции. В результате такого анализа дорогостоящий материал может оказаться
более приемлемым, чем дешевый, если выигрыш, например, в массе конструкции
окажется больше критического. В процессе анализа необходимо, помимо цены
материала, учитывать стоимость изделия и всей системы в целом. При расчете
эффективности применения материала следует учитывать не только уменьшение
массы, но и сопутствующие факторы.
Сочетания нагрузок, действующих на конструкцию, определяют выбор
материалов, оптимальных - для этих конструкций. Оптимальность в данном случае,
предполагает разработку конструкции, обладающей минимальной массой.
С точки зрения главного критерия при выборе материала - обеспечения
минимальной массы - наиболее выгодным для несущей конструкции будет материал,
имеющий максимальную удельную прочность, если определяющий вид нагружения в
конструкции растягивающий, или - имеющий максимальную удельную жесткость, если
определяющий вид нагружения требует обеспечения устойчивости конструкции.
4.2 Анализ
условий работы конструкции РДТТ
Анализ
внутрибаллистических условий
Важнейшей характеристикой ТРТ, определяющей характер внутрикамерных
процессов, является скорость горения. При номинальном давлении она должна быть
достаточной для достижения необходимых характеристик двигательной установки. В
данном случае от РДТТ требуеться большая тяга в течение короткого времени при
высоких перегрузках. Последнее обстоятельство не позволяет по соображениям
прочности применить многошашечный заряд с развитой поверхностью горения.
Приемлемым решением является применение скрепленного с корпусом заряда, но в
этом случае повышенная скорость горения должна обеспечивать необходимое газообразование
при ограниченной поверхности горения. Иногда необходима относительно малая
скорость горения для достижения длительного времени работы Для выполнения
сложной программы полета в одном двигателе возможно размещение зарядов ТРТ с
разной скоростью горения, например, в двигателях со ступенчатым изменением
тяги: для короткого старта с большой тягой и длительного полета с пониженной
тягой.
Топливо должно обеспечивать устойчивое и равномерное горение в условиях
требуемых давлений в камере сгорания, в том числе и сравнительно невысоких.
Весьма важной характеристикой является величина разброса скорости горения
для одного состава или одной партии топлива, т. е. хорошая воспроизводимость
характеристик топлива.
Анализ полета
КЛА в космосе
"Восход" - советский космический корабль для полётов на
околоземной орбите.
Для движения по орбите вокруг Земли аппарат должен иметь начальную
скорость, равную или немного большую первой космической скорости. Полёты
выполняются на высотах до нескольких сотен тысяч километров. Нижнюю границу
высоты полёта обуславливает необходимость избежать процесса быстрого торможения
в атмосфере. Период обращения спутника по орбите в зависимости от средней
высоты полёта может составлять от полутора часов до нескольких суток.
4.3 Выбор материалов
Сравнительная
оценка и выбор конструкционных материалов камеры
Наибольшее распространение в производстве РДТТ получили высокопрочные
металлы. Сравнительный анализ показывает, что алюминиевые сплавы уступают
сталям и титановым сплавам по удельной прочности, но приближаются к ним по
удельной жесткости. Учитывая более высокую, чем у сталей, и еще более высокую,
чем у титановых сплавов, технологичность и низкую стоимость алюминиевых
сплавов, они весьма эффективно могут быть использованы для изготовления частей
сопл, утопленных внутрь камеры, и для производства корпусов РДТТ, работающих на
устойчивость (например, в РДТТ подводных ракет).
Высокопрочные титановые сплавы и стали нашли широкое применение в
производстве РДТТ. Применение их требует специальных термообработок соединений
и целиком изделий после сварки и высокую технологическую культуру. Даже
незначительные нарушения процессов изготовления и контроля могут привести к
снижению конструктивной прочности.
Высокопрочные
стали
Высокопрочными сталями принято считать стали с пределом прочности после
всех видов упрочнения (закалки, наклепа)
> 1,5 ГПа. Такой уровень
прочности достигается на высокоуглеродистых среднелегированных сталях и
мартенснтностареющих (коррозионно-стойких) сталях.
Основным недостатком высокопрочных сталей является повышенная
чувствительность к концентраторам напряжений.
Для уменьшения чувствительности высокопрочных сталей к концентраторам
применяются следующие способы их производства: вакуумно-дуговая выплавка;
обработка металлов синтетическими шлаками в ковше; электрошлаковый переплав;
электронно-лучевой переплав. Эти способы рафинирования сталей позволяют снизить
содержание газов и вредных примесей серы и фосфора в металле.
Сочетание высоких прочностных свойств сталей при удовлетворительной
пластичности и вязкости обеспечивается комплексным легированием элементами,
упрочняющими феррит и повышающими прокаливаемость стали, при увеличении
сопротивляемости хрупкому разрушению.
Волокнистые
композиционные материалы
Прогресс авиакосмической техники за последние годы привел к значительному
улучшению важнейших параметров ЛА, в том числе к уменьшению пассивной массы
РДТТ.
Основные свойства бороволокна следующие:
· Плотность, г/см3 … 2,6
· Предел прочности, ГПа … 3,5
· Температура плавления, °С … 2050
· Модуль упругости, ГПа … 420
Главный интерес представляет удельная жесткость бороволокна, более чем в
5 раз превышающая удельную жесткость стекловолокна и более чем в 6 раз -
высокопрочных сталей, титановых и алюминиевых сплавов.
Наибольшее распространение получили боропластики на эпоксидных связующих.
Основные свойства боропластиков следующие:
· Предел прочности, ГПа … 1,75
· Модуль упругости, ГПа … 220
Углерод в массивном объеме также хрупок и в несущих конструкциях не
применим.
Высокопрочные (
= 2,1 ... 2,45 ГПа, Е = 250 ... 280 ГПа) или высокомодульные
(
= 1,4 ... 1,75 ГПа, Е = 380 ГПа)
углеродные волокна используются для изготовления следующих полуфабрикатов:
рубленого волокна, штапельной ткани, предварительно пропитанной ткани и
непрерывной ровницы. Основные свойства высокомодульных волокон:
· Плотность, г/см3 1,7-1,8
· Предел прочности, ГПа … 2,4-3,1
· Модуль упругости, ГПа … 300
Углепластики изготавливаются преимущественно с применением эпоксидных
связующих. Основные свойства эпоксидных углепластиков:
· Плотность, г/см3 1,5-1,6
· Предел прочности, ГПа … 1,6-1,3
· Модуль упругости, ГПа … 130-190
Кроме высокой удельной жесткости высокомодульные углепластики обладают
высокой статической выносливостью. Углепластики обладают более высокой, чем у
металлов, демпфирующей способностью и вибропрочностью. Высокая теплопроводность
углеродных волокон снижает саморазогрев материала. Природа углеродных волокон
обеспечивает углепластикам незначительный или даже отрицательный коэффициент
термического расширения. Особенно перспективно применение углепластиков в
конструкциях, работающих на устойчивость под воздействием внешнего, избыточного
давления, изгибающего момента и осевого сжатия. Разработаны также композиции
углерод-углерод, в которых в качестве связующих для углеродных волокон
применяют углеродные графитизированные матрицы. Такие материалы обладают
высокими теплозащитными свойствами, химической инертностью, сохраняют
прочностные характеристики до весьма высоких температур и имеют следующие
свойства:
· Плотность, г/см3 … 1,46
· Предел прочности при температуре 20 °С, ГПа … 28,1
· Предел прочности при температуре 2500 °С, ГПа … 27,4
Представляется целесообразным применение композиций углерод - углерод для
изготовления сверхзвуковых раструбов сопл РДТТ.
Органические волокна. Значительные достижения химии позволили создать
весьма перспективные высокопрочные высокомодульные полимерные волокна со
следующими свойствами:
· Плотность, г/см3 … 4,7
· Редел прочности, МПа … 800
· Предел прочности при температуре 1000 °С, МПа … 200
· Модуль упругости, ГПа … 266
По удельной прочности органическое волокно конкурирует со стекловолокном.
Однако сравнительно низкая прочность на сжатие и высокая ползучесть
ограничивает широкое применение органопластов. Органопласты в настоящее время
применяются на самолетах и вертолетах на обшивках закрылков, стабилизаторов,
пилонов, обтекателей и на корпусах РДТТ.
Представляют интерес волокнистые композиционные материалы, полученные
сочетанием в одной композиции высокомодульных органических (полимерных) волокон
с углеродными. В таких композициях полимерные наполнители повышают
эластичность, ударную прочность и снижают плотность, а углеродные волокна
повышают прочность и жесткость.
Механические свойства композиционного материала в изделии обуславливаются
схемой расположения волокна и могут сознательно меняться изготовителем изделия,
т. е. конструкции могут изготавливаться с регулируемой анизотропией материала.
Таким образом, при разработке конструкций из волокнистых композиционных
материалов, получаемых методом намотки, проектирование требует одновременного
охвата вопросов не только назначения геометрических размеров конструкции, но и
назначения внутренней структуры материала - числа и порядка чередования слоев,
углов ориентации, вида армирующих нитей и их относительное содержание в объеме
композиции. Это со своей стороны требует обеспечения соответствия формы
конструкции возможностям композиционных материалов и технологическим
возможностям реализации конструкции методом непрерывной намотки.
Таблица 4.1
|
Материал
|
Плотность ,г/см3
|
Предел прочности, ГПа
|
Модуль упругости, ГПа
|
Удельная прочность, МДж/кг
|
Удельная жесткость, МДж/кг
|
Предел относительное удлинение
|
Температура начала предела
прочности, °С
|
|
Стеклопластик
|
2,07
|
1,0-1,1
|
39,2
|
47,2
|
1894
|
2,5
|
350
|
|
Боропластик
|
2,06
|
0,88
|
117
|
42,7
|
5680
|
0,75
|
500
|
|
Углепластик
|
1,54
|
0,55
|
110
|
35,7
|
7143
|
0,5
|
2000
|
|
Органопластик
|
1,35
|
0,78
|
42,17
|
57,8
|
3124
|
2,1
|
80
|
Корпус РДТТ, рассматриваемый в данном курсовом проекте, выполняется
продольно-поперечной намоткой из углепластика.
Характеристика
и выбор теплозащитных материалов
Назначение ТЗП - защита несущих обечаек конструкции от воздействия
высокотемпературного газового потока.
Требования, предъявляемые к ТЗП камер РДТТ:
· Низкая плотность
· прочностные и жесткостные характеристики близкие к
характеристикам заряда
· стабильность свойств во времени
· надежная адгезия к несущей поверхности обечайки и заряда
· достаточная негигроскопичность
ТЗП классифицируются:
· активные
. испаряющиеся ТЗМ
. коксующиеся ТЗМ
. с комбинированным уносом масс
· пассивные
Для защиты камеры РДТТ в разрабатываемом двигателе используется заряд
ТРТ, жестко прикрепленный к корпусу РДТТ с помощью защитно-крепящего слоя.
Требования предъявляемые к ТЗП сопел РДТТ:
· жаропрочность и жаростойкость до Т = 3500К
· эрозионная стойкость при высоких температурах
· минимальная масса
· совместимость с окружающей и внутренней средой
Таблица 4.2. Типичные характеристики материалов для сопел при Т = 293К
|
Характеристика
|
Теплопроводные жаростойкие
материалы
|
|
Графит ATJ
|
Вольфрам (кованый)
|
Пиролитический графит
|
|
Плотность, г/см3
Коэффициент теплопроводности, Вт/(м**К): вдоль волокна или слоя основы
поперек волокна или слоя основы Удельная теплоемкость Дж/(кг*К) Температурный
коэффициент,К-1*106 вдоль волокна или слоя основы
поперек волокна или слоя основы
|
1,73 104... 23,7* 59,4.
..22,3* 0,25... 0,6** 2,7 4,0
|
19,0 142,5...89,1* -
0,033..0,047" 4,5 -
|
1,80...2,26* 142,5. ..89,1*
1,78... 0,45* 0,22... 0,5** 2,4 36
|
|
Характеристика
|
Композиционные абляционные
материалы
|
|
Угольная ткань МХ-4926
|
Графитовая ткань FM-5064
|
Кварцевая МХ-2600
|
|
Плотность, г/см3 Коэффициент
теплопроводности, Вт/(м2*К): Вдоль волокна или слоя основы Поперек
волокна или слоя основы Удельная теплоемкость, Дж/(кг*К) Температурный
коэффициент,К-1*106 Вдоль волокна или слоя основы
Поперек волокна или слоя основы
|
1,4 1,23…1.38***
0,71..0,86*** 0,20..0,36*** 6,7 9,5…55.8***
|
1,45 3,4…4,31***
1,02..1,36*** 0,24.. .0,39*** 9,5 31,7
|
1,75 0,52... 0,56***
0,45... 0,48*** 0,24... 0,30*** 7,0 29,7
|
* Наименьшее значение соответствует температуре 2473 К
** Наибольшее значение соответствует температуре 2473 К
*** Наибольшее значение соответствует температуре 673 К
Для сопла РДТТ в качестве ТЗП выбираем пиролитический графит.
Оптимизация типа материалов по критерию "минимум массы конструкции
двигателя"
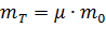
Масса корпуса
где
- коэффициент запаса прочности материала (
- для металлов,
- для неметаллов).
Масса ТЗП корпуса
Масса соплового блока
Общая масса конструкции РДТТ
4.4 Расчет
массовых и энергетических параметров КЛА как субракеты
Масса снаряженного РДТТ
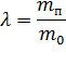
Коэффициент массового совершенства РДТТ
Относительная масса конструкции субракеты
Масса конструкции субракеты
Где
- стартовая масса КЛА
Масса полезного груза
Относительная масса полезного груза
Характеристическая скорость для маневра КЛА (проверочный расчет)
(исходные данные)
- расчеты верны.
Список литературы
1. В.Г Попов, Н.Л. Ярославцев "Ракетные двигатели
твердого топлива", М., 2001.
. И.Х. Фахрутдинов, А.А. Шишков "Конструкция и
проектирование ракетных двигателей твердого топлива М. Машиностроение, 1987.
. Интернет ://
ru.wikipedia.org/wiki/Восход_(космический_корабль)
. Г. А. Назаров, В. И. Прищепа "Космические
РДТТ"