|
Направления
изучения
|
Показатели
|
|
Экономическая
активность населения
|
♦
Численность экономически активного населения и его структура по регионам,
отдельным социально-демографическим группам. ♦ Уровень экономической
активности населения, в т.ч. по полу, возрасту, уровню образования,
отраслевой принадлежности и др. ♦ Численность экономически неактивного
населения. ♦ Структура экономически неактивного населения (с выделением
группы населения в трудоспособном возрасте) по полу, возрасту, причинам
экономической неактивности, виду занятости на последнем месте работы,
продолжительности незанятости и др.
|
|
Занятость и
безработица
|
Занятость
|
♦
Численность занятых и их динамика. ♦ Структура занятого населения по
различным признакам. ♦ Уровень занятости, в т.ч. по полу, возрасту, отраслям
экономики, формам собственности предприятий, регионам. ♦ Численность
занятых на дополнительной работе. ♦ Временные затраты на дополнительную
занятость. ♦ Численность занятых неполный рабочий день, в т.ч. по
отраслям и формам собственности предприятий. ♦ Численность работавших
неполный рабочий день, в т.ч. по причинам. ♦ Численность работников,
находившихся в отпусках по собственному желанию и по инициативе
администрации. ♦ Продолжительность отпусков по собственному желанию и
административных отпусков всего и в расчете на одного работника.
|
|
Безработица
|
♦
Численность, состав и структура безработных по полу, возрасту, образованию,
последнему месту работы, отрасли, формам собственности предприятий и др. ♦
Численность и структура безработных, зарегистрированных в службах занятости. ♦
Уровень безработицы по методологии МОТ, зарегистрированной безработицы, в
т.ч. по группам населения. ♦ Средняя продолжительность поиска работы. ♦
Распределение безработных по продолжительности поиска работы. ♦
Коэффициенты напряженности на рынке труда.
|
|
Трудоустройство
населения
|
♦
Численность и структура обратившихся в службы занятости. ♦ Доля
трудоустроенных в числе обратившихся. ♦ Уровень трудоустройства, в т.ч.
по группам безработных.
|
Абсолютные показатели отражают экономический потенциал
страны.
Относительные показатели характеризуют степень вовлечения в
экономику населения в целом и отдельных его возрастных групп.
В международной статистике исходным показателем для анализа
занятых является коэффициент (уровень) экономической активности населения -
доля численности экономически активного населения в общей численности населения
страны на определенную дату:
.
Количественно занятость характеризуется коэффициентом
(уровнем) занятости. Одни авторы определяют этот показатель, как отношение
численности занятого населения к численности экономически активного населения:
Другие авторы пишут, что уровень занятости среди населения
определенной возрастной группы - отношение численности занятого населения к
общей численности населения соответствующей возрастной группы, рассчитанное в
процентах:
Коэффициент занятости трудовых ресурсов определяется
отношением численности занятых к численности трудовых ресурсов:
.
Этот коэффициент может быть рассмотрен и более узко - по
отношению только к населению трудоспособного возраста (в т.ч. и к
трудоспособному населению трудоспособного возраста):
,
,
где S
ТНТВ = Численность населения трудоспособного
возраста - Численность нетрудоспособного населения в трудоспособном возрасте.
В Российской Федерации применяется Методика расчета общей
численности безработных, уровня общей и зарегистрированной безработицы, которая
разработана и утверждена 4 октября 1995 г. На ее основе применяются два способа
расчета уровня безработицы по состоянию на определенную дату.
Коэффициент (уровень) безработицы определяется отношением
общей численности безработных к численности экономически активного населения:
.
Коэффициент (уровень) зарегистрированной безработицы -
отношение численности зарегистрированных безработных к численности экономически
активного населения:
1.3 Сущность оплаты труда. Формы и системы оплаты
труда
Сущность
заработной платы и ее роль в современных условиях хозяйствования
Политика в области оплаты труда является составной частью
управления предприятием, и от нее в значительной мере зависит эффективность ее
работы, так как заработная плата является одним из важнейших стимулов в
рациональном использовании рабочей силы.
Под оплатой труда (заработной платой)
принято понимать вознаграждение, установленное работнику за выполнение трудовых
обязанностей. Она представляет собой выраженную в денежной форме часть
общественного продукта, поступающая в личное потребление рабочих в соответствии
с количеством и качеством труда для удовлетворения материальных и культурных
потребностей.
Оплата труда каждого работника
определяется работодателем в зависимости от количества и качества выполняемой
работы и максимальным пределом не ограничивается.
Дифференциация размеров оплаты труда
осуществляется в зависимости от сложности, содержания и результатов труда
работника.
При оплате труда рабочих могут применяться
тарифные ставки, оклады, а также бестарифная система, если предприятие,
учреждение, организация сочтут такую систему более целесообразной.
Вид, системы оплаты труда, размеры
тарифных ставок, окладов, премий и иных поощрительных выплат, а также
соотношение в их размерах между отдельными категориями персонала определяются
предприятием самостоятельно и фиксируются в коллективных договорах, иных
локальных нормативных актах.
Заработная плата выплачивается работникам
в денежном выражении, на нее влияет изменение цен, ставок, налогов. Можно
сказать и так, что заработная плата - это часть издержек на производство и
реализацию продукции, идущая на оплату труда работников предприятия.
Как экономическая категория заработная плата играет двоякую
роль: с одной стороны, она является главным источником доходов и повышения
жизненного уровня работников, а с другой стороны - средством материального
стимулирования роста эффективности производства.
Поскольку заработная плата является основным источником
доходов работников, необходимо постоянно совершенствовать систему оплаты труда
таким образом, чтобы она в полной мере обеспечивала воспроизводство рабочей
силы, учитывала условия и результата труда, стимулировала повышение
квалификации, производительности, качества продукции, рациональное использование
и экономию всех видов ресурсов.
Различают понятия номинальной и реальной заработной платы.
Номинальная заработная плата - это начисленная и полученная работником
заработная плата за его труд в определенный период. Систематический рост
заработной платы при условии стабильности цен на предметы потребления и услуги
обеспечивает дальнейшее повышение уровня жизни трудящегося.
Реальная заработная плата - это покупательская способность
номинальной заработной платы, то есть количество товаров и услуг, которые можно
приобрести за номинальную заработную плату.
Вполне очевидно, что реальная заработная плата зависит от
величины номинальной заработной платы и цен на приобретаемые товары и услуги.
Кроме того, необходимо иметь в виду, что если цены не в полной мере учитывают
количество продукции, то реальная заработная плата находится в прямой
зависимости от качества продукции. Поэтому система оплаты труда на каждом
предприятии должна учитывать происходящие инфляционные процессы.
Сущность заработной платы проявляется в функциях, которые она
выполняет в фазах общественного производства: производстве, распределении,
обмене и потреблении:
. Воспроизводственная функция. Она заключается в обеспечении
работников и членов их семей необходимыми жизненными благами для воспроизводства
рабочей силы, воспроизводства поколений. В ней реализуется экономический закон
возвышения потребностей. Эта функция тесно связана с особенностями
государственного регулирования заработной платы, установлением на
законодательном уровне такого минимального ее размера, который обеспечивал бы
воспроизводство рабочей силы.
. Стимулирующая функция. Сущность данной функции состоит в
установлении зависимости заработной платы работника от его трудового вклада, от
результатов производственно-хозяйственной деятельности предприятия, причем
указанная зависимость должна быть такой, чтобы заинтересовать работника в
постоянном улучшении результатов своего труда.
. Измерительно-распределительная функция. Эта функция
предназначена для отражения меры живого труда при распределении фонда
потребления между наемными работниками и собственниками средств производства.
Посредством заработной платы определяется индивидуальная доля в фонде
потребления каждого участника производственного процесса в соответствии с его
трудовым вкладом.
. Ресурсно-разместительная функция. Значение данной функции в
настоящее время существенно возрастает. Сущность ее состоит в оптимизации
размещения трудовых ресурсов по регионам, отраслям экономики, предприятиям. В
условиях, когда государственное регулирование в сфере размещения трудовых
ресурсов сводится к минимуму, а формирование эффективно функционирующего рынка
труда возможно лишь при наличии свободы у каждого наемного работника в выборе
места приложения своего труда, стремление к повышению жизненного уровня
обусловливает его перемещение с целью нахождения работы, в максимальной
степени, удовлетворяющей его потребности.
. Функция формирования платежеспособного спроса населения.
Назначение этой функции - увязка платежеспособного спроса, под которым
понимается форма проявления потребностей, обеспеченных денежными средствами
покупателей, и производства потребительских товаров. Поскольку платежеспособный
спрос формируется под воздействием двух основных факторов - потребностей и
доходов общества, то с помощью заработной платы в условиях рынка
устанавливаются необходимые пропорции между товарным предложением и спросом.
Основными элементами оплаты труда на предприятиях являются:
нормирование труда, тарифная система, формы и системы заработной платы, коллективные
договоры и отраслевые соглашения. Каждый элемент имеет строго определенное
назначение.
Нормирование труда - это установление научно
обоснованных затрат труда и его результатов - норм времени, численности,
управляемости обслуживания, выработки, нормированных заданий. Без этого
невозможно учесть количество труда, индивидуальный вклад каждого работника в
общие результаты.
Исходной нормой труда является норма времени. Она
отражает количество рабочего времени, которое должен затратить работник
соответствующей квалификации на выполнение единицы объема работ в определенных
организационно-технических условиях. Большое значение имеет качество норм.
Использование ненапряженных норм приводит к завышенной оценке трудового вклада
работника, а значит, и заработной платы, что невыгодно предприятию, поскольку в
связи с этим необоснованно повышается себестоимость производимой продукции и
снижается прибыль. В то же время занижение нормы отрицательно сказывается на
стимулирующей функции заработной платы.
Тарифная система представляет собой совокупность
различных нормативных материалов, с помощью которых на предприятии
устанавливается уровень заработной платы работников в зависимости от их
квалификации (сложности работ), условий труда, географического расположения
предприятия и других отраслевых особенностей.
К числу основных элементов тарифной системы относятся
тарифные сетки, тарифные ставки, тарифно-квалификационные справочники,
должностные оклады, тарифные справочники должностей служащих, надбавки и
доплаты к тарифным ставкам, районные квалификационные коэффициенты к
заработной плате.
Тарифная сетка - шкала разрядов, каждому из которых
присвоен свой тарифный коэффициент, показывающий, во сколько раз тарифная
ставка любого разряда больше первого. Тарифный коэффициент первого разряда
всегда равен единице. Количество разрядов и величины, соответствующих им
тарифных коэффициентов определяются коллективным договором, заключаемым на
предприятии. Коллективный договор разрабатывается на основе тарифного
соглашения и не должен предусматривать ухудшение положения работников по
сравнению с его условиями.
Тарифная ставка - выраженный в денежной форме
абсолютный размер оплаты труда в единицу рабочего времени. На основе тарифной
сетки и тарифной ставки первого разряда рассчитываются тарифные ставки каждого
последующего разряда. Тарифная ставка первого разряда определяется коллективным
договором предприятия и зависит, с одной стороны, от его финансовых
возможностей, а с другой стороны, - от условий оплаты труда, отраженных в
отраслевом соглашении. При этом она не должна быть ниже законодательно
установленного уровня минимальной заработной платы.
Тарифная ставка является исходной величиной для установления
уровня оплаты труда рабочих независимо от того, какие формы и системы оплаты
труда применяются на предприятии.
Согласно избранной единице времени тарифные ставки бывают
часовые, дневные и месячные (оклады). Наибольшее распространение имеют часовые
тарифные ставки, поскольку на их основе исчисляются различные доплаты. Дневная
и месячная ставки рассчитываются путем умножения часовой ставки на количество
часов в рабочей смене и среднемесячное количество отработанных часов в месяц.
Тарифно-квалификационные справочники - это нормативные
документы, с помощью которых устанавливается разряд работы и рабочего. В них
содержится информация о том, что должен знать теоретически и уметь практически
рабочий каждого разряда и специальности.
Применение
сдельной оплаты труда
Наибольшее распространение на предприятиях
различных форм собственности получили две формы оплаты труда:
сдельная;
повременная.
Существует целый ряд условий, при которых
целесообразно применять ту или иную форму оплаты труда.
Сдельная оплата труда - это оплата за
каждую единицу продукции или выполненный объем работ. К сдельной оплате труда
относится:
простая сдельная;
сдельно-премиальная;
косвенно сдельная;
аккордная;
сдельно прогрессивная (индивидуальная,
коллективная подрядная. Условия применения сдельной оплаты труда:
существуют количественные показатели
работы, которые непосредственно зависят от конкретного работника;
имеется возможность точного учета объемов
выполненных работ;
существует возможность у рабочих
конкретного участка увеличить выработку или объем выполненных работ;
существует возможность на конкретном
производственном участке стимулировать рабочих в дальнейшем увеличение
выработки продукции или объемов выполненных работ;
имеется возможность технического
нормирования труда.
Сдельную оплату труда не рекомендуется
применять в том случае, если ее применение ведет к:
· ухудшению качества
продукции;
· нарушению технологических
режимов;
· ухудшению обслуживания
оборудования;
· нарушения требования
техники безопасности;
· перерасходу сырья и
материалов.
Прямая сдельная система
оплаты труда.
В этом случае труд оплачивается по расценкам
за единицу производственной продукции. Индивидуальная сдельная расценка за
единицу продукции или работы определяется следующим образом:

,
где Зч - часовая тарифная ставка, устанавливаемая в
соответствии с
разрядом выполненной работы, руб./ч;
Вч - часовая норма выработки данной продукции;
Тn - норма времени на единицу продукции
(работы), ч.
Общий заработок рабочего определяется путем умножения сдельной
расценки на количество произведенной продукции за расчетный период.
Сдельно-премиальная оплата труда. Рабочий получает оплату труда по прямым
сдельным расценкам, дополнительно получает премию. Но для этого должны быть
четко установлены показатели, за которые осуществляется премирование, они
должны быть доведены до каждого исполнителя. Важно проследить, чтобы вновь
принятые рабочие были информированы об этом. Кроме того, должен быть установлен
размер премии за выполнение и перевыполнения этих показателей. Это могут быть
показатели роста производительности труда; повышения объемов производства;
выполнения технически обоснованных норм выработок и снижения нормируемой
трудоемкости; выполнения производственных заданий, личных планов; повышения
качества и сортности продукции; бездефектного изготовления продукции;
недопущения брака; соблюдения нормативно-технической документации, стандартов;
экономии сырья материалов и других материальных ценностей.
Количество показателей можно увеличить, применение того или иного
показателя определяется конкретными условиями производства, сложившимися на том
или ином предприятия например у предприятий возросло количество рекламаций от
поставщиков или предприятие пытается выйти со своей продукцией на внешний
рынок, где требования к качеству достаточно выше. Естественно, что в этих
условиях требования к качеству продукции, исполнительской дисциплине
возрастают, и решению этой проблемы должен способствовать и перечень
показателей, за который осуществляется премирование. Однако перечень этих
показателей не должен быть слишком большим - пять-семь показателей: большее их
количество не осознается и не запоминается работником.
Косвенно-сдельная оплата труда.
Размер заработка рабочего ставится в прямую зависимость от
результата труда обслуживаемых им рабочих сдельщиков. Эта система используется
для оплаты труда не основных, а вспомогательных рабочих (наладчиков,
настройщиков и др.)
Косвенная сдельная расценка рассчитывается с учетом норм выработки
обслуживаемых рабочих и их численности.
При аккордно - сдельной оплате труда расценка устанавливается на весь объем
работы на основе действующих норм времени или норм выработки и расценок. При
данной системе оплаты труда рабочие премируются за сокращение сроков выполнения
работ, что усиливает стимулирующую роль этой системы в росте производительности
труда.
При сдельно-прогрессивной системе труд рабочего оплачивается по прямым
сдельным расценкам в пределах выполнения норм, а при выработке сверх норм - по
повышенным расценкам.
Заработок рабочего при сдельно-прогрессивной оплате труда
определяется в зависимости от принятой системы прогрессивной оплаты (за весь
объем или за часть объема работ, выполненных сверх нормы).
При использовании сдельно-прогрессивной оплаты труда особое
внимание следует уделить определению нормативной исходной базы, разработке
эффективных шкал повышения расценок, учету выработки продукции и фактически
отработанного времени.
Сдельная форма оплаты труда может применяться индивидуально - для каждого конкретного
работника, а может иметь коллективные формы. Широкое распространение получила
подрядная форма оплаты труда. Суть ее в том, что заключается договор, по
которому одна сторона обязуется выполнить определенную работу, берет подряд, а
другая сторона, то есть заказчик, обязуется оплатить эту работу после ее
окончания. Заработок бригады рабочих определяется умножением бригадной сдельной
расценки за единицу производимой продукции на фактически выполненный бригадой
объем работ.
Условия
применения повременной оплаты труда
Условия применения повременной оплаты
труда:
- отсутствует условия для
увеличения выпуска продукции; производственный процесс строго регламентирован;
- функции рабочего сводятся
к наблюдению за ходом технологического процесса;
- функционируют поточные и
конвейерные типы производства со строго заданным ритмом;
- увеличение выпуска
продукции может привести к браку или ухудшению ее качества.
При повременной заработной плате работник
получает денежное вознаграждение в зависимости от количества отработанного
времени, однако в силу того, что труд может простым и сложным, низко- и
высококвалифицированным, необходимо нормирование труда, которое осуществляется
с помощью тарифных систем. Составным элементами тарифной системы являются:
Тарифная ставка - абсолютный размер оплаты труда различных групп и категорий
рабочих за единицу времени. Исходной является минимальная тарифная ставка или
тарифная ставка первого разряда. Она определяет уровень оплаты наиболее
простого труда. Тарифные ставки могут быть часовые, дневные;
Тарифные сетки служат для установления
соотношения в оплате труда в зависимости от уровня квалификации. Это
совокупность тарифных разрядов и соответствующих им тарифных коэффициентов.
Тарифный коэффициент низшего разряда принимается равным единице. Тарифные
коэффициенты следующих разрядов показывают, во сколько раз соответствующие
тарифные ставки больше тарифной ставки первого разряда.
Повременная заработная плата имеет две
системы: простую повременную и повременно-премиальную.
Заработок рабочего при простой повременной
системе рассчитывается как произведение часовой тарифной ставки рабочего
данного разряда на отработанное время в данном периоде.
Для руководителей, специалистов и служащих
используется система должностных окладов. Должностной оклад - абсолютный размер
заработной платы, устанавливаемый в соответствии с занимаемой должностью. Он
может составлять определенный диапазон - от минимального до максимального
значений. Необходимы аналитические расчеты, которые существенно могут повысить
эффективность установления того или иного склада.
Бестарифная система
оплаты труда.
По бестарифной системе оплаты труда,
заработная плата всех работников предприятия от директора до рабочего
представляет собой долю работника в фонде оплаты труда или всего предприятия
или отдельного подразделения. В этих условиях фактическая величина заработной
платы каждого работника зависит от ряда факторов:
- квалификационного уровня
работника;
- коэффициента трудового
участия;
- фактически отработанного
времени.
Квалификационный уровень работника
предприятия устанавливается всем членам трудового коллектива и определяется как
частное от деления фактической заработной платы работника за прошедший период
на сложившийся на предприятии минимальный уровень заработной платы за тот же
период.
Система квалификационных уровней создает
большие возможности для материального стимулирования более квалифицированного
труда, чем система тарифных разрядов, при которой рабочий, имеющий 5-6 разряды,
уже не имеет перспективы дальнейшего своего роста, а, следовательно, и
заработной платы.
Квалификационный уровень работника может
повышаться в течение всей его трудовой деятельности. Вопрос о включении
специалистов или рабочего в соответствующую квалификационную группу решает
совет трудового коллектива с учетом индивидуальных характеристик работника.
Коэффициент трудового участия выставляется
всем работникам предприятия, включая директора, и утверждается советом
трудового коллектива, который сам решает периодичность определения КТУ и состав
показателей для расчетов КТУ.
Расчет заработной платы при бестарифной
системе оплаты труда меняет пропорции распределения фонда оплаты труда при
одном и том же уровне квалификации, разряде. Заработок одних рабочих может
увеличиваться, а других уменьшаться. В результате обеспечивается большая
социальная справедливость в распределении заработка между работниками, чего
нельзя достигнуть при тарифной системе.
Необходимо отметить, что в условиях
рыночной экономики важный показатель работы - объем реализации продукции и
услуг. Поэтому чем выше объем реализации, тем более эффективно работает
предприятие и заработная плата может корректироваться в зависимости от объема
реализации. Это особенно эффективно для управленческого персонала и
вспомогательных рабочих, поскольку эти две категории работников предприятия не
так тесно связаны с объемом выпуска продукции.
Контрактная система.
Контрактная система оплаты труда - одна из
важнейших и наиболее сложных направлений развития контрактной системы трудовой
деятельности работников. Организация оплаты труда по контракту должна быть
направлена на гарантированность работнику, должна стимулировать высокую
эффективность и отдачу труда работника. Данная система оплаты труда построена
на учете индивидуальных особенностей человека, его труда и производства. Для
тог, чтобы организация заработной платы имела обязательную силу, все ее
важнейшие составные элементы определяются в соответствии с законом «О
коллективных договорах и соглашениях» по согласованию сторон и фиксируются в
коллективных договорах.
Если на предприятии действуют тарифные
сетки и схемы должностных окладов либо единая тарифная сетка и для конкретного
работника сохраняются общие условия оплаты труда, принятые в коллективном
договоре, то в трудовом договоре с ним, помимо констатации данного факта,
указывается тарифный разряд (квалификационная категория), размер его тарифной
ставки (должностного оклада). При применении одного из вариантов
распределительной «бестарифной» системы, при которой заработок работника
заранее не известен, в трудовом договоре производятся запись, что оплата труда
данного работника осуществляется в соответствии с принятым порядком.
Целесообразно также указывать коэффициент квалификационного уровня, установленный
данному работнику. Во всех случаях индивидуализация условий трудового договора
в соответствии с законодательством не должна ухудшать положения работника по
сравнению с общегосударственными нормами и нормами, предусмотренными в
коллективном договоре предприятия. При определении профессий и должностей, для
которых целесообразна индивидуализация условий оплаты труда, целесообразно
руководствоваться следующими критериями:
- творческий характер
работы;
- невозможность
установления регламента выполняемой работы;
- прямое влияние работы на
результаты деятельности предприятия;
- наличие временного лага
между затратами труда и его результатами;
- необходимость достижения
определенных результатов в установленный период.
Каждый из перечисленных критериев сопряжен
с необходимостью учета специфики, важности, ответственности работы, а также
особо профессиональных и деловых качеств работника. Как правило, такие работы
имеют срочный характер, поэтому необходимо в контракте предусматривать не
только отличные от общих условия оплаты, но и сроки выполнения обязательств
работодателя по поводу определенных видов вознаграждения, связанные с этапами
выполняемой работы или ее конечными результатами. Система должностных окладов
должна предусматривать преимущества для тех специалистов, которые, во-первых,
используют его в максимально возможной степени, в-третьих, непрерывно повышают
его уровень за счет наращивания объема знаний.
Для этих целей объем каждого работника
необходимо рассчитывать с учетом трех коэффициентов: общего уровня, степени
использования и темпов развития его творческого потенциала.
Оценка трудового вклада рядовых
специалистов и руководящих работников предприятия имеет свою специфику. Для
рядового специалиста коэффициент трудового вклада определяется по количеству и
качеству (с учетом сложности) произведенной им научно-технической продукции по
сравнению с другими работниками, соответствующей профессионально-должностной
категории.
Оценка трудового вклада руководителей
рассчитывается, во-первых, по количеству и качеству научно-технической
продукции произведенной возглавляемым подразделением в сравнении с
соответствующими показателями других подразделений; во-вторых - по уровню и
динамики удовлетворенности подчиненных выполнением основных функций
руководства, к которым относится планирование деятельности подразделения,
организация работы подчиненных, мотивация, контроль и оценка их деятельности и
так далее. Рассчитанные фактические коэффициенты использования и развития
творческого потенциала руководителей и специалистов сравниваются с теми,
которые были заложены при установлении им должностных окладов. При превышении
фактических разница должна погашаться в виде премирования работников. Кроме
того, вся выплаченная им заработная плата с учетом этих премий должна
включаться в расчет размера их базового оклада на предстоящий период.
При этом увеличиваются и значения коэффициентов использования
и развития творческого потенциала, которые принимаются на уровне фактически
достигнутых в отчетном периоде, что, соответственно приводит к увеличению
нового оклада. При недоиспользовании или недостаточном развитии работниками их
творческого потенциала, то есть при фактическом снижении соответствующих
коэффициентов по сравнению с принятыми для творческих расчетов должностных
окладов в отчетном году, указанные коэффициенты при определении окладов на
предстоящий период времени могут не применяться, что фактически означает
снижение их размеров для соответствующих руководителей и специалистов.
Премирование
В условиях перехода к рыночным отношения предприятиям,
организациям предоставлено право самостоятельно разрабатывать и применять
премиальные положения, которые в обязательном порядке должны включаться в
коллективный договор.
В состав премиальной системы входят следующие элементы:
показатели и условия премирования; размеры премии; круг премируемых работников;
периодичность премирования; источник выплаты премий.
Поскольку предприятия самостоятельно разрабатывают
премиальные положения, они должны соблюдать ряд основных требований:
- Показатели премирования должны
соответствовать задачам производства предприятия;
- Число показателей и условий премирования -
не более 2 - 3;
- Между показателями и условиями
премирования не должно быть противоречий;
- Уровень показателя премирования необходимо
устанавливать дифференцированно: по фактически достигнутому среднему уровню
выполнения этого показателя на данном производстве; выше достигнутого среднего
уровня и т.д.
- Необходимо устанавливать нормативы
премирования (размер премии);
- Необходимо оценивать напряженность
показателя премирования;
- В круг премируемых работников должны
включаться только те работники, которые могут оказывать на эти показатели
непосредственное воздействие;
- Периодичность премирования следует
устанавливать в зависимости от особенностей предприятия, организации
(организации производства и труда, характера показателей премирования и т.д.);
- Премия должна быть гарантирована
соответствующим источником ее выплаты.
Особенно необходимо обратить внимание на расчет норматива
премирования отдельно за выполнение плана, перевыполнение плана, за рост
производительности труда, снижение себестоимости продукции и других
показателей.
Главным направлением в стимулировании руководителей,
специалистов и служащих должно стать премирование за фактическое улучшение
результатов работы. В условиях рыночных отношений на предприятии возрастает
значение показателя прибыли как источника средств для расширения и технического
совершенствования производства, а также увеличения доходов участков этого
производства.
Стимулирование роста прибыли становиться обязательным
направлением в организации премирования руководителей, специалистов и служащих
подразделений предприятия.
В качестве основного показателя премирования подразделений
аппарата управления используется выполнение (перевыполнение) плана по прибыли;
рост (прирост) прибыли к соответствующему периоду предыдущего года.
Заключительный этап премирования - порядок начисления премий,
который включает несколько обязательных элементов. Рассмотрим некоторые из них:
- Основанием для начисления премий являются данные
бухгалтерской отчетности, оперативного учета, статистической отчетности;
- Оценка выполненной работы или оказанных
услуг;
- Установление размера премий, обычно в
процентах, для рабочих - к заработной плате по тарифным ставкам, отдельным
расценкам; для руководителей, специалистов и служащих - заработной плате по
должностным окладам или в абсолютной сумме;
- При невыполнении тех или иных показателей
работники могут лишиться премии. Перечень допущений упущений рекомендуется
определять при заключении коллективного договора;
- Руководство предприятия имеет право
депремировать (лишение премии частично) или повысить премию работнику за
достижение определенных производственных показателей.
В последние годы получили развитие некоторые особые виды
премирования, как правило - разовые премии и вознаграждения. Они могут быть
индивидуальными и коллективными. Независимо от принятых форм и систем
заработной платы на предприятиях используются следующие виды разовых премий:
- Вознаграждение по итогам работы за год;
- Единовременное поощрение за выполнение
особо важных заданий, срочных и непредвиденных работ.
2. Организационно-правовая и экономическая
характеристика ОАО «Агрохим-Прибой»
.1 Местоположение и правовой статус организации
Граховский район расположен в юго-западной части Удмуртской
Республики. Граничит на западе, севере и востоке - с Кизнерским, Можгинским и
Алнашским районами Удмуртской Республики соответственно, на юге, юго-западе - с
Республикой Татарстан - Менделеевским и Елабужским районами. Расстояние от
районного центра с. Грахово до городов: г. Ижевск - 165 км, г. Можга -78 км, г.
Менделеевс-40 км, г. Елабуга - 50 км, г. Набережные Челны - 70 км,
свободно-экономической зоны «Алабуга» - 35 км. До ближайшей железнодорожной
станции пос. Кизнер-45 км.
Граховский район занимает территорию 970 км², том числе: сельхозугодий-578 км², лесов -352 км². Район расположен в зоне лесостепи. На территории Граховского
района проживает 10,8 тыс. человек, из них в трудоспособном возрасте 6,1 тыс.
человек. В районном центре с. Грахово проживает 3500 человек.
Климат в Граховском районе умеренно континентальный,
среднегодовая температура несколько выше, чем в целом по републике, осадков
выпадает немного меньше. Почвы в основном серые и темно-серые лесные, имеются
дерновые средне- и слабоподзолистые.
Район сельскохозяйственный. В структуре товарной продукции,
продукция сельского хозяйства составляет более 70%. Общее направление
деятельности сельскохозяйственных предприятий - молочно-мясное с развитым
зерновым хозяйством.
Одним из сельскохозяйственных предприятий является ОАО
«Агрохим-Прибой» с центральной усадьбой д. Порым расположен в 7 км к югу от
села Грахово. Численность населения территории составляет 1306 человека.
Открытое акционерное общество - это акционерное общество,
участники которого могут отчуждать принадлежащие им акции без согласия других
акционеров.
Открытое акционерное общество «Агрохим-Прибой» действует в
соответствии с настоящим Уставом, Гражданским кодексом РФ, Федеральным законом
от 26.12.95 г. №208-ФЗ «Об акционерных обществах» и иными нормативно правовыми
актами РФ.
Местонахождение Общества: 427730, Удмуртская Республика,
Граховский район, д. Порым, ул. Центральная, д. 13
Общество является юридическим лицом и имеет в собственности
обособленное имущество, учитываемое на его самостоятельном балансе, может от
своего имени приобретать и осуществлять имущественные и личные неимущественные
права, нести обязанности, быть истцом ответчиком в суде.
Общество несет ответственность по своим обязательствам всем
принадлежащим ему имуществом и не отвечает по обязательствам своих акционеров.
Общество может иметь дочерние и зависимые Общества.
Общество обеспечивает ведение и хранение реестра акционеров
Общества в соответствии с правовыми актами РФ с момента государственной
регистрации Общества.
Держателем реестра акционеров Общества является само
Общество.
Основной целью деятельности Общества является получение
прибыли путем эффективного использования принадлежащего ему имущества в
интересах самого Общества и его акционеров.
Отдельными видами деятельности Общество может заниматься
только на основании специального разрешения (лицензии).
Основными видами деятельности Общества являются:
· растениеводство в сочетании с
животноводством (смешанное сельское хозяйство)
· разработка каменных карьеров
· добыча известняка, гипсового камня и мела
· предоставление услуг, связанных с
производством сельскохозяйственных культур, в том числе:
подготовку полей
обработку ядохимикатами семян, сельскохозяйственных культур и
угодий, в том числе с воздуха
предоставление услуг по защите растений от болезней и
вредителей
предоставление сельскохозяйственных машин вместе с экипажем и
оператором
· распиловка и строгание древесины, пропитка
древесины
· торговая и торгово-закупочная деятельность
2.2 Организационное устройство и специализация
ОАО «Агрохим-Прибой»
Рис. 1 - Организационная структура ОАО «Агрохим-Прибой»
Специализация сельского хозяйства - это форма общественного
разделения труда в той части общества, которая занимается производством
сельскохозяйственной продукции.
Цель специализации сельскохозяйственных предприятий -
создание условий для увеличения прибыли, объема производства продукции,
снижения издержек, повышения производительности труда, улучшения качества
продукции. Переход от многоотраслевых к специализированным хозяйствам с высокой
(оптимальной) степенью концентрации производственных ресурсов приобретает
особое значение в условиях, когда перед сельским хозяйством стоят задачи
повышения эффективности и улучшения качественных показателей. Специализация
выступает как организационная предпосылка обеспечения устойчивости сельского
хозяйства, роста выхода продукции при высокой эффективности производства,
решения социальных проблем деревни.
Разделение труда и его специфическая форма - специализация -
появились вместе с возникновением товарной формы производства. Они оказывают
существенное влияние на развитие товарного производства, обмена продуктами и
услугами между предприятиями и товаропроизводителями.
Так, о специализации хозяйства в ОАО «Агрохим-Прибой» можно
судить по таблице 2.
|
Продукция
|
2009 г.
|
2010 г.
|
2011 г.
|
Относительное
отклонение
|
|
Денеж. выручка.
тыс. руб.
|
%
|
Денеж. выручка.
тыс. руб.
|
%
|
Денеж. выручка.
тыс. руб.
|
%
|
2011 г. к 2009
г. в%
|
|
Зерновые и
зернобобовые
|
2018
|
11,16
|
1331
|
5,69
|
833
|
3,84
|
41,3
|
|
КРС
|
5779
|
31,95
|
4528
|
19,35
|
4901
|
22,6
|
84,8
|
|
Молоко цельное
|
10106
|
55,88
|
17113
|
73,12
|
15907
|
73,4
|
157,4
|
|
Лошади
|
134
|
0,74
|
204
|
0,87
|
-
|
-
|
-
|
|
Прочая
продукция растениеводства
|
48
|
0,3
|
227
|
0,97
|
25
|
0,12
|
52,1
|
|
Итого
|
18085
|
100
|
23403
|
100
|
21666
|
100
|
119,8
|
|
Коэффициент
специализации
|
0,46
|
|
0,57
|
|
0,62
|
|
|
Приведенные выше данные свидетельствуют о том, что основным
видом товарной продукции ОАО «Агрохим-Прибой» является продукция
животноводства. Продукция растениеводства занимает второстепенное положение. И
доля зерновых и зернобобовых культур в структуре товарной продукции с каждым
годом уменьшается: 2009 г. -11,16%; 2010 г. -5,69%; 2009 г. -3,84%.
Используя данные о структуре товарной продукции, можно рассчитать
коэффициент специализации (
), который отражает преимущественное развитие той или иной
отрасли. Коэффициент специализации рассчитывается по формуле:
,
где Кс - коэффициент специализации, характеризует степень
сосредоточения ресурсного потенциала на производстве отдельных видов продукции;
-сумма удельных весов товарной продукции;
Д - удельный вес вида товарной продукции, начиная с наивысшего;
n - порядковый номер удельного веса вида товарной продукции начиная
с наивысшего.
Итак, рассчитаем коэффициент специализации за
2009 год:
2010 год:
год:
В среднем за три года:
Из данных таблицы и расчета коэффициента специализации
хозяйства, можно заметить, что ОАО «Агрохим-Прибой» является предприятием с
высоким уровнем специализации выпуска продукции молока со средним значением
коэффициента специализации 0,55. В среднем за три года структурное отношение
количества проданного молока равно 67,5%, что больше половины. Нужно отметить
заметное сокращение количества полученных средств от реализации зерновых на
58,7% в 2011 году относительно 2009 года. Скорее всего, это связано с тем, что
предприятие уменьшает объем реализации зерновых, оставляя большую часть на
собственные нужды, и как следствие, увеличивает содержание КРС молочного
направления. Все выше изложенное свидетельствует о твердом курсе ОАО
«Агрохим-Прибой» на молочную специализацию товарной продукции предприятия.
2.3 Экономическая характеристика ОАО
«Агрохим-Прибой»
Организационно - экономическая характеристика деятельности
организации необходима для анализа перспектив ее производственно - сбытовых
возможностей. Предприятие постоянно работает над задачами увеличения объемов
производства, повышения эффективности производства, экономного использования
топливно-энергетических ресурсов, увеличения прибыли.
Для того что бы проанализировать деятельность предприятия
необходимо рассчитать основные экономические показатели деятельности
предприятия (см. табл. 3).
Таблица 3 - Основные показатели деятельности организации
|
Показатели
|
2009 г.
|
2010 г.
|
2011 г.
|
2011 г. в % к
2009 г.
|
|
А.
Производственные показатели: 1. Произведено продукции, ц: молоко прирост
живой массы КРС зерно
|
|
|
|
|
|
|
13028
|
14178
|
13198
|
101,3
|
|
|
969
|
847
|
736
|
76
|
|
|
25502
|
8125
|
27080
|
106,2
|
|
2. площадь
с.-х. угодий, га в т.ч. пашни
|
3237
|
3237
|
3237
|
100
|
|
2482
|
2482
|
2482
|
100
|
|
3. Урожайность
с 1 га, ц: зерна
|
22,1
|
11,3
|
21,4
|
96,8
|
|
4.
Среднегодовое поголовье скота, голов в т.ч. коров лошадей
|
760
|
765
|
770
|
|
255
|
255
|
255
|
100
|
|
26
|
25
|
19
|
73,1
|
|
5.
Продуктивность с.-х. животных: среднегодовой удой молока на 1 корову, кг.
среднесуточный прирост живой массы КРС, г. и др.
|
5109,02
|
5560
|
5175,7
|
101.3
|
|
523,6
|
450,6
|
396,2
|
75,7
|
|
Б.
Экономические показатели: 6. Выручка от продажи продукции (работ, услуг),
тыс. руб. в т.ч. с.-х. продукции
|
19630
|
24775
|
23062
|
117,5
|
|
18085
|
23403
|
21666
|
119,8
|
|
7.
Себестоимость продажи продукции (работ, услуг), тыс. руб. в т.ч. с.-х.
продукции
|
17580
|
20661
|
21435
|
121,9
|
|
16738
|
18740
|
20514
|
122,6
|
|
8. Прибыль
(убыток) от продажи (+,-), тыс. руб.
|
2050
|
4114
|
1627
|
79,4
|
|
9. Прибыль
(убыток) до налогообложения (+,-), тыс. руб.
|
4612
|
5548
|
5861
|
127,1
|
|
10. Чистая
прибыль (убыток) (+,-), тыс. руб.
|
4612
|
5548
|
5818
|
126,2
|
|
11. Уровень
рентабельности (убыточности) деятельности (+,-), % в т.ч. от продажи с.-х.
продукции
|
27,6
|
29,6
|
28,4
|
-
|
|
8,1
|
24,9
|
5,6
|
-
|
По данным таблицы 3 можно сделать следующие выводы:
Производство продукции молока и зерна в 2011 году по
отношению к 2009 году увеличилось на 1,3% и 6,2% соответственно, а прирост
живой массы уменьшился на 24%. На протяжении анализируемого периода наличие и
структура сельскохозяйственных угодий не изменилась и составила 3237 га, из них
пашни 2482 га.
Урожайность зерновых сельскохозяйственных культур уменьшилась
в 2011 г. по сравнению с 2009 г. на 3,2%. Скорей всего это связано с аномальной
засухой в 2010 году.
Среднегодовое поголовье скота в 2011 г. по отношению к 2009
году увеличилось на 1,3%, коров в течении трех лет не изменилось и составило
255 гол, а среднегодовое поголовье лошадей уменьшилось на 26,9%.
Выручка от продажи продукции (работ, услуг) в 2011 г. по
отношению к 2009 году увеличилась на 17,5%, а именно сельскохозяйственной
продукции на 19,8%. Это говорит об увеличении валового производства продукции и
ее последующей реализации на рынок.
Также наблюдается увеличение себестоимости продажи продукции
(работ, услуг) в 2011 г. по отношению к 2009 г. на 21,9%, прибыль от продажи
сократилась на 20,6%, прибыль до налогообложения увеличилась на 27,1%, а чистая
прибыль увеличилась на 26,2%. Уровень рентабельности деятельности предприятия
увеличился с 27,6% в 2009 г. до 28,4% в 2011 г., но уровень рентабельности от
продажи сельскохозяйственной продукции снизился с 8,1% в 2009 г. до 5,6% в 2011
г. Таким образом, наблюдается спад в эффективности производства
сельскохозяйственной продукции.
Данный анализ говорит о стремлении ОАО «Агрохим-Прибой»
расширять масштабы производства. Для повышения эффективности интенсификации
производства необходимо рационально использовать производственные ресурсы,
снижать себестоимость продукции, стремиться к внедрению новых технологий,
улучшению качества продукции и правильному размещению производства.
Таблица 4 - Показатели эффективности использования ресурсов и
капитала организации
|
Показатели
|
2009 г.
|
2010 г.
|
2011 г.
|
2011 г. в % к
2009 г.
|
|
А. Показатели
обеспеченности и эффективности использования основных средств
|
|
1.
Среднегодовая стоимость основных средств, тыс. руб. в т.ч. производственных
|
20476
|
23794
|
22622,5
|
110,5
|
|
2.
Фондообеспеченность, тыс. руб.
|
6,3
|
7,4
|
7
|
110,4
|
|
3.
Фондовооруженность, тыс. руб.
|
170,6
|
231
|
213,4
|
125,1
|
|
4.
Фондоемкость, тыс. руб.
|
1,04
|
0,96
|
0,98
|
94,2
|
|
5. Фондоотдача,
тыс. руб.
|
0,96
|
1,04
|
1,02
|
106,3
|
|
6.
Рентабельность использования основных средств, %
|
22,5
|
23,3
|
25,9
|
-
|
|
Б. Показатели
эффективности использования трудовых ресурсов
|
|
7. Затраты
труда, тыс. чел.-час. в т.ч. в растениеводстве в животноводстве в прочих
производствах
|
248
|
199
|
233
|
94
|
|
95
|
66
|
97
|
102,1
|
|
108
|
94
|
101
|
93,5
|
|
45
|
39
|
35
|
77,8
|
|
8.
Производительность труда, тыс. руб., в т.ч. в растениеводстве в
животноводстве в прочих производствах
|
118,03
|
163,9
|
163,2
|
138,2
|
|
121,8
|
178,8
|
136,6
|
112,4
|
|
156,1
|
201,1
|
236,1
|
151,2
|
|
18,7
|
49,3
|
26,3
|
140,4
|
|
9. Фонд оплаты
труда, тыс. руб.
|
7899
|
8337
|
8499
|
107,6
|
|
10. Выручка на
1 руб. оплаты труда, руб.
|
2,5
|
2,4
|
2,7
|
108,8
|
|
В. Показатели
эффективности использования земельных ресурсов
|
|
11. Произведено
ц: молока на 100 га с.-х. угодий зерна на 100 га пашни
|
402,5
|
438
|
407,7
|
101,3
|
|
1027,5
|
327,4
|
1091,1
|
106,2
|
|
Г. Показатели
эффективности использования материальных ресурсов
|
|
12.
Материалоотдача, руб
|
1,1
|
1,3
|
0,96
|
88,1
|
|
13.
Матерриалоемкость, руб.
|
0,96
|
0,78
|
1,04
|
108,3
|
|
14. Прибыль на
1 руб. материальных затрат, руб.
|
0,26
|
0,29
|
0,24
|
93,1
|
|
15. Затраты на
1 руб. выручки от продажи продукции (работ, услуг), руб.
|
0,9
|
0,83
|
0,93
|
103,3
|
|
Д. Показатели
эффективности использования капитала
|
|
16.
Рентабельность совокупного капитала (активов), %
|
10,8
|
11,5
|
11,7
|
-
|
|
17.
Рентабельность собственного капитала, %
|
14
|
14,6
|
25,2
|
-
|
|
18.
Рентабельность внеоборотных активов, %
|
21,9
|
22,7
|
13,4
|
-
|
|
19.
Рентабельность оборотных активов, %
|
21,4
|
23,1
|
21,8
|
-
|
Рассмотрев показатели эффективности использования ресурсов и
капитала организации, можно сделать следующие выводы:
За период с 2009 г. по 2011 г. наблюдается увеличение
среднегодовой стоимости основных средств на 10,5%, при этом,
фондообеспеченность увеличилась на 10,4%, фондовооруженость (показывает сколько
основных средств приходится в расчете на одного работника) - на 25,1%, что
связано главным образом с сокращением численности работников, фондоотдача
(показывает сколько продукции приходится на единицу использования основных
средств) - на 6,3%, а фондоемкость (показывает сколько основных средств
приходится в расчете на единицу производимой продукции) снизилась на 5,8%.
Таким образом, рентабельность использования основных средств повысилась с 22,5%
до 25,9%.
Что касается эффективности использования трудовых ресурсов,
то затраты труда в целом по организации снизились на 6% в 2011 г. по отношению
к 2009 году, а именно в животноводстве - на 6,5%, в других производствах - на
22,2%, при том что в растениеводстве они увеличились на 2,1%.
Производительность труда в общем по организации возросла на 38,2%, а именно в
растениеводстве - на 12,4%, в животноводстве - на 51,2%, в других производствах
- на 40,4%. Фонд оплаты труда и выручка на 1 руб. оплаты труда возросли в 2011
г. по сравнению с базисным на 7,6% и 8,8% соответственно.
Также по данным таблицы видно улучшение использования
земельных ресурсов, так молока на 100 га сельхоз угодий произведено в 2011 г.
на 1,3% больше, чем в 2009 году, производство зерна на 100 га пашни в отчетном
периоде увеличилось на 6,2%.
По данным анализа, материалоотдача (показывает сколько
продукции получается в расчете на единицу использованного сырья и материала)
предприятия снизилась на 11,9% в 2011 г. по отношению к 2009 году.
Материалоемкость (показывает сколько производственных запасов приходится на
единицу продукции) в 2011 г. по отношению к 2009 году увеличилась на 8,3%,
затраты на 1 руб. выручки от продажи продукции увеличились на 3,3%, а прибыль
на 1 руб. материальных затрат снизилась на 6,9%. В данной ситуации нужно
принять меры для эффективного и разумного использовании производственных
запасов, улучшения качества персонала и заинтересованности рабочей силы. За период
с 2009 г. по 2012 г. рентабельность совокупного капитала увеличилась с 10,8% до
11,7%, собственного капитала с 14% до 25,2%, оборотных активов с 21,2% до
21,8%, рентабельность внеоборотных активов снизилась с 21,9% до 13,4%.
Таблица 5 - Движение денежных средств организации, тыс. руб.
|
Показатели
|
2009 г.
|
2010 г.
|
2011 г.
|
2011 г. в % к
2009 г.
|
|
1. Поступление
денежных средств - всего в том числе: а) от текущей деятельности б) от
инвестиционной деятельности в) от финансовой деятельности
|
30757
|
39141
|
33906
|
110,3
|
|
27678
|
34820
|
33758
|
122
|
|
79
|
336
|
148
|
187,4
|
|
3000
|
3985
|
-
|
-
|
|
2. Расходование
денежных средств - всего в том числе: а) от текущей деятельности б) от
инвестиционной деятельности в) от финансовой деятельности
|
30219
|
36826
|
39109
|
129,4
|
|
26379
|
29688
|
35265
|
133,7
|
|
3194
|
1720
|
2405
|
75,3
|
|
646
|
5418
|
1439
|
222,8
|
|
3. Чистые
денежные средства - всего в том числе: а) от текущей деятельности б) от
инвестиционной деятельности в) от финансовой деятельности
|
6767
|
7944
|
5834
|
86,2
|
|
1298
|
5127
|
2138
|
164,7
|
|
3115
|
1384
|
2257
|
72,5
|
|
2354
|
1433
|
1439
|
61,1
|
|
4. Остаток
денежных средств на конец отчетного периода
|
1300
|
3610
|
2052
|
157,9
|
Рассмотрев таблицу 5 можно сделать следующие выводы:
поступление денежных средств за период с 2009 г. по 2011 г. увеличилось на
10,3%, а именно от текущей деятельности поступление денежных средств
увеличилось на 22%, от инвестиционной деятельности на 87,4%, а от финансовой
деятельности постоянных поступлений в 2011 г. не наблюдается. Расходование
денежных средств увеличилось на 29,4%, в том числе от текущей деятельности - на
33,7%, от инвестиционной деятельности расходование снизилось на 24,7%, а от
финансовой деятельности увеличилось на 122,8%. Скорее всего это связано с
погашением кредитов и займов, полученных в аномальном 2010 году. Чистые
денежные средства в 2011 г. по отношению к 2009 году сократились на 13,8%. Остаток
денежных средств на конец отчетного периода за анализируемый период увеличился
на 57,9%.
Таблица 6 - Показатели ликвидности, платежеспособности и
финансовой устойчивости организации
|
Показатели
|
Нормальное
ограничение
|
На конец года
|
2011 г. в % к
2009 г.
|
|
|
2009 г.
|
2010 г.
|
2011 г.
|
|
|
1. Коэффициент
покрытия (текущей ликвидности)
|
0,440,711,32300
|
|
|
|
|
|
2. Коэффициент
абсолютной ликвидности
|
23,924,736,6153
|
|
|
|
|
|
3. Коэффициент
быстрой ликвидности (промежуточный коэффициент покрытия)
|
2,321,892,34100,9
|
|
|
|
|
|
4. Наличие
собственных оборотных средств, тыс. руб.
|
____
|
13803
|
10153
|
23862
|
172,9
|
|
5. Общая
величина основных источников формирования запасов и затрат, тыс. руб.
|
____
|
16948
|
15661
|
26089
|
153,9
|
|
6. Излишек (+)
или недостаток (-), тыс. руб.: а) собственных оборотных средств б) общей
величины основных источников для формирования запасов и затрат
|
____
|
-2576
|
-9044
|
-896
|
34,8
|
|
____
|
566
|
-3536
|
1331
|
235,2
|
|
7. Коэффициент
автономии (независимости)
|
0,820,740,91111
|
|
|
|
|
|
8. Коэффициент
соотношения заемных и собственных средств
|
0,160,20,0850
|
|
|
|
|
|
9. Коэффициент
маневренности
|
0,450,290,51113,6
|
|
|
|
|
|
10. Коэффициент
обеспеченности собственными источниками финансирования
|
0,680,450,84123,53
|
|
|
|
|
|
11. Коэффициент
соотношения собственных и привлеченных средств
|
6,445,0712,34191,6
|
|
|
|
|
|
12. Коэффициент
финансовой зависимости
|
0,180,260,0950,2
|
|
|
|
|
Рассчитав показатели ликвидности, платежеспособности и
финансовой устойчивости организации можно сделать следующий вывод.
Коэффициент покрытия за анализируемый период увеличился на
200% и составил 1,32, следовательно, текущие активы превышают по величине
текущие обязательства и предприятие может рассматриваться как успешно
функционирующее. Коэффициент абсолютной ликвидности также увеличился на 53% и
составил 36,6, коэффициент быстрой ликвидности возрос на 0,9%. Наличие
собственных оборотных средств возросло в 2011 г. по сравнению с 2009 г. на
72,9%, общая величина основных источников формирования запасов и затрат
возросла на 53,9%, тем не менее за анализируемый период наблюдается недостаток
собственных оборотных средств, а недостаток общей величины основных источников
формирования запасов и затрат наблюдается только в 2010 году. Коэффициент
автономии на всем анализируемом промежутке времени соответствует норме и вырос
на 11%, что свидетельствует об увеличении финансовой прочности предприятия и
повышает гарантии погашения своих обязательств. Коэффициент соотношения заемных
и собственных средств имеет тенденцию к сокращению, так за период с 2009 г. по
2011 г. произошло его снижение на 50%, что говорит об ослаблении зависимости
организации от привлечения заемных средств и увеличения финансовой
устойчивости. Коэффициент маневренности за анализируемый период увеличился на
13,6%, но в течение 2009 и 2010 гг. он был ниже нормы, что говорило о
недостатке собственных средств для маневрирования. Коэффициент обеспеченности
собственными источниками финансирования в норме и возрос на 23,5%. Также в
норме и увеличился коэффициент соотношения собственных и привлеченных средств
за анализируемый период на 91,6%, следовательно, организация с каждым годом
меньше зависит от заемных средств. Коэффициент финансовой зависимости в норме и
в 2011 г. по отношению к 2009 г. он снизился на 48%, что говорит об увеличении
платежеспособности и следовательно финансовой устойчивости ОАО
«Агрохим-Прибой».
3. Статистико-экономический анализ труда и
динамики заработной платы в животноводстве
.1 Анализ состава, структуры, динамики уровня
труда и заработной платы
Сельскохозяйственный труд является самым сложным трудом в
народном хозяйстве, поскольку здесь на процесс производства воздействуют
биологические, генетические, физические, социальные, природные факторы.
Поэтому здесь требуется использовать квалифицированную
рабочую силу.
Трудовые ресурсы сельского хозяйства - это часть трудоспособного
населения страны, занятого в сельскохозяйственном
производстве, соответственно, они размещены, в основном в сельской местности и
им свойственны особенности сельского населения, его динамики и структуры.
Трудовые ресурсы сельского хозяйства отличаются территориальной
дисперсностью, рассредоточенностью по многочисленным сельским
поселениям.
Оплата труда имеет огромное значение в стимулировании
работников, их заинтересованности в производственном труде.
Заработная плата - сумма выплат в денежной и натуральной
форме, получаемых наемными работниками, как правило через регулярные периоды
времени за отработанное время или выполненную работу, а также за
неотработанное, но подлежащее оплате время.
Уровень заработной платы характеризуется средней заработной
платой одного работника (см. табл. 7).
Таблица 7 - Численность работников и фонд заработной платы
|
Категория
работников
|
2009 г.
|
2010 г.
|
2011 г.
|
|
Среднесписочная
численность
|
Начислено
з/платы, тыс. руб.
|
В среднем 1
работнику, тыс. руб.
|
Среднесписочная
численность
|
Начислено
з/платы, тыс. руб.
|
В среднем 1
работнику, тыс. руб.
|
Среднесписочная
численность
|
Начислено
з/платы, тыс. руб.
|
В среднем 1
работнику, тыс. руб.
|
|
Работники в с/х
производстве
|
81
|
5380,2
|
66,4
|
69
|
5835,9
|
71
|
5774,3
|
81,3
|
|
Постоянные
рабочие
|
49
|
3886,4
|
79,3
|
53
|
4267,9
|
80,5
|
56
|
4278,4
|
76,4
|
|
Трактористы-машинисты
|
11
|
807,1
|
73,4
|
14
|
1152,2
|
82,3
|
13
|
1330,7
|
102,4
|
|
Операторы
машинного доения
|
10
|
680,4
|
68,04
|
9
|
935,2
|
103,9
|
11
|
854,7
|
77,7
|
|
Скотники КРС
|
14
|
918,4
|
65,6
|
14
|
1193,5
|
85,3
|
13
|
953,4
|
73,3
|
|
Работники
коневодства
|
1
|
42
|
42
|
1
|
48
|
48
|
1
|
34
|
34
|
|
Рабочие
сезонные и временные
|
14
|
205,8
|
14,7
|
1
|
72,1
|
72,1
|
1
|
49
|
49
|
|
Служащие
|
18
|
1288
|
71,6
|
14
|
1495,9
|
106,85
|
15
|
1461,6
|
97,4
|
|
Руководители
|
10
|
823,2
|
82,3
|
8
|
1017,8
|
127,2
|
8
|
997,5
|
124,7
|
|
Специалисты
|
8
|
464,8
|
58,1
|
6
|
478,1
|
79,7
|
7
|
464,1
|
66,3
|
Проанализировав данные таблицы 7, можно сделать следующие
выводы:
За анализируемый период численность рабочих, занятых в
сельскохозяйственном производстве снизилась на 12,3% или на 10 человек, что
произошло за счет сокращения количества рабочих сезонных и временных на 92,9%
или на 13 человек, количество скотников КРС и специалистов на 7,1% и 12,5%
соответственно или на 1 человека, служащих и руководителей на 16,7%, 20%
соответственно.
В целом по предприятию заработная плата на одного работника с
каждым годом растет, за исключением работников коневодства и постоянных
рабочих, у них она сократилась на 19% и 3,6% соответственно. Это может быть
связано с повышением времени рабочего дня, либо увеличением доли
механизированного труда, хотя при анализе не была учтена интенсивность
инфляции.
3.2 Анализ средних величин
Средняя величина - это обобщающая характеристика множества
индивидуальных значений некоторого количественного признака.
Средняя величина отражает то общее, что характерно для всех
единиц изучаемой совокупности. В то же время она уравновешивает влияние всех
факторов, действующих на величину признака отдельных единиц совокупности, как
бы взаимно погашая их. Уровень (или размер) любого общественного явления
обусловлен действием двух групп факторов. Одни из них являются общими и
главными, постоянно действующими, тесно связанными с природой изучаемого
явления или процесса, и формируют то типичное для всех единиц изучаемой
совокупности, которое и отражается в средней величине. Другие являются индивидуальными,
их действие выражено слабее и носит эпизодический, случайный характер. Они
действуют в обратном направлении, обусловливают различия между количественными
признаками отдельных единиц совокупности, стремясь изменить постоянную величину
изучаемых признаков. Действие индивидуальных признаков погашается в средней
величине.
Различают 2 основные категории средних величин:
) Степенные средние (наиболее часто используются: средняя
арифметическая простая, средняя арифметическая взвешенная, средняя
гармоническая простая и средняя гармоническая взвешенная)
) Структурные средние (мода, медиана, деций, квартий и т.д.)
[7].
Проведем анализ степенных видов средних величин для СХК Нива
. Средняя арифметическая простая применяется, когда
данные не сгруппированы или когда индивидуальное значение признака (хi) встречается один или
одинаковое число раз.
Xар.пр.= 
;
Хi - численность трудовых ресурсов в
животноводстве;
n - количество лет
|
Года
|
Среднесписоч. численность
рабочих
|
|
2009
|
81
|
|
2010
|
69
|
|
2011
|
71
|
хар.пр.= (81+69+71)/3 
73 работника.
Средний уровень численности рабочих, занятых в животноводстве, за
2009-2010 годы составил 74 раб.
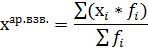
. Средняя арифметическая взвешенная применяется в тех
случаях, когда данные сгруппированы или когда индивидуальное значение
признака(хi) встречается не 1, а много, причем
неодинаковое число раз.
fi - численность работников в животноводстве;
хi
- среднегодовая
заработная плата работников
|
Года
|
Численность
работников
|
Среднегодовая
з/п, тыс. руб.
|
|
2009
|
81
|
66,4
|
|
2010
|
69
|
84,6
|
|
2011
|
71
|
81,3
|
хар.взв.=
(81*66,4+69*84,6+71*81,3)/(81+69+71)=76,9 тыс. руб.
Среднегодовая зарплата на 1 работника животноводства по всей
совокупности работников составила 76,9 тыс. руб.
. Средняя гармоническая простая применяется в тех
случаях, когда известно индивидуальное значение признака (хi), известно произведение xi*y, эти значения равны
между собой или равны 1.
xi - численность работников;
n - количество лет;
xi*y - фонд заработной платы;
|
Года
|
Численность
работников
|
Фонд з/п
|
|
2009
|
81
|
5380,2
|
|
2010
|
69
|
5835,9
|
|
2011
|
71
|
5774,3
|
Хгар.пр.=3/(1/81+1/69+1/71)=73,3
Среднее количество работников в данной совокупности равно 73.
. Средняя гармоническая взвешенная применяется в тех
случаях, когда известно индивидуальное значение признака (хi), известно произведение xi*fi, а значение частот fi не известно.
|
Года
|
Среднегодов.
з/п (xi)
|
Фонд ОТ (xi*fi)
|
|
2009
|
66,4
|
5380,2
|
|
2010
|
84,6
|
5835,9
|
|
2011
|
81,3
|
5774,3
|
Xгар.взв.=(5380,2+5835,9+5774,3)/(5380,2/66,4+5835,9/84,6+5774,3/81,3)=
76,9 тыс. руб.
Средняя гармоническая взвешенная показала, что среднегодовая
заработная плата на 1 работника, занятого в животноводстве, по данной
совокупности равна 76,9 тыс. руб.
Для средней арифметической простой рассчитаем показатели
вариации.
Вариация - это изменчивость признаков. Для характеристики
вариации рассчитывают следующие показатели:
) Размах вариации - это разница между max и min значением исследуемого
признака. В данном случае исследуемым признаком является численность трудовых
ресурсов.
R= xmax - xmin = 71-81= -10 работника.
На 10 работников стало меньше в 2011 году по сравнению с
базисным 2009 годом.
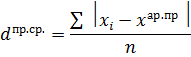
) Среднее линейное отклонение означает насколько в среднем
отличается индивидуальное значение признака (xi) от среднего значения.
Отсюда видим, что численность рабочих в каждом из годов в среднем
меняется на 
5 от среднего значения.
) Дисперсия. Данный показатель является вспомогательным при
расчете среднего квадратического изменения и коэффициента вариации.
пр. =((81-73)2+(69-73)2+(71-73)2)/3=28
) Среднее квадратическое отклонение означает то же самое, что и
линейное, но, если правильно произведен расчет, то среднее линейное отклонение
должно быть меньше, чем среднее квадратическое отклонение.
Среднее линейное отклонение меньше, чем среднее квадратическое
отклонение, следовательно расчеты произведены правильно.
3.3 Ряды динамики
Одной из важнейших задач статистики является изучение изменений
анализируемых показателей во времени, то есть их динамика. Эта задача решается
при помощи анализа рядов динамики (временных рядов).
Ряд динамики (или временной ряд) - это числовые значения
определенного статистического показателя в последовательные моменты или периоды
времени (т.е. расположенные в хронологическом порядке).
Числовые значения того или иного статистического показателя,
составляющего ряд динамики, называют уровнями ряда и обычно обозначают буквой
y.
Первый член ряда
называют начальным или базисным уровнем, а последний yn
- конечным. Моменты или периоды времени, к которым относятся уровни, обозначают
через t.
Каждый динамический ряд содержит две составляющие:
) показатели периодов времени (годы, кварталы, месяцы, дни или
даты);
2) показатели, характеризующие исследуемый объект за
временные периоды или на соответствующие даты, которые называют уровнями ряда.
Уровни ряда выражаются как абсолютными, так и средними или
относительными величинами. В зависимости от характера показателей строят
динамические ряды абсолютных, относительных и средних величин. Ряды динамики из
относительных и средних величин строят на основе производных рядов абсолютных величин.
Различают интервальные и моментные ряды динамики.
Динамический интервальный ряд содержит значения показателей
за определенные периоды времени. В интервальном ряду уровни можно суммировать,
получая объем явления за более длительный период, или так называемые
накопленные итоги.
Динамический моментный ряд отражает значения показателей на
определенный момент времени (дату времени). В моментных рядах исследователя
может интересовать только разность явлений, отражающая изменение уровня ряда
между определенными датами, поскольку сумма уровней здесь не имеет реального
содержания. Накопленные итоги здесь не рассчитываются.
Важнейшим условием правильного построения динамических рядов
является сопоставимость уровней рядов, относящихся к различным периодам. Уровни
должны быть представлены в однородных величинах, должна иметь место одинаковая
полнота охвата различных частей явления.
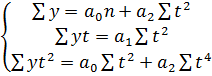
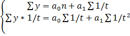
Рассчитаем аналитические показатели ряда динамики и средние
показатели ряда динамики численности работников ОАО «Агрохим-Прибой» Граховского
района.
Таблица 8 - Аналитические показатели ряда динамики
Основные аналитические показатели, характеризующие ряд
динамики:
. Абсолютный прирост характеризует изменение уровня
изучаемого общественного явления за определенный промежуток времени.
∆yц=yi-yi-1
∆yб=yi-y0
∆yц=21-19=2, это значит, что в 2009 году во 2
квартале среднегодовая численность увеличилась на 2 чел., по сравнению с 2009
г. 1 кварталом.
∆yц=20-21=-1 чел., это значит, что в 2009 году в 3
квартале среднегодовая численность снизилась на 1 чел., по сравнению с 2009
годом 2 кварталом.
∆yц=21-20=1 чел., это значит, что в 2009 году в 4
квартале среднегодовая численность увеличилась на 1 чел., по сравнению с 2009
годом 3 кварталом.
∆yб =21-19=2, т.е. во 2 квартале 2009 г. по
сравнению с 1 кварталом 2009 среднегодовая численность увеличилась на 2 чел.
∆yб=20-19=1 чел. т.е. по сравнению с 2009 годом 1
кварталом в 2009 в 3 квартале среднегодовая численность увеличилась на 1
человек.
∆yб=21-19=2 чел. т.е. по сравнению с 2009 годом 1
кварталом в 2009 году в 4 квартале среднегодовая численность увеличилась на 2
человека.
. Коэффициент роста показывает во сколько раз больше
или меньше исследуемый показатель по сравнению с базисным или предыдущим
периодом.
Крц = 
Крб = 
Крц =21/19=1,11 - среднегодовая численность
в 2009 году во 2 квартале в 1,11 раз больше по сравнению с 1 кварталом 2009
года.
Крц=20/21=0,95 - среднегодовая численность в
2009 году в 3 квартале в 0,95 раз меньше, чем в 2009 году во 2 квартале.
Крц = 21/20=1,05 - среднегодовая численность
в 2009 году в 4 квартале в 1,05 раз больше, чем в 2009 году в 3 квартале.
Крб =21/19=1,11 - среднегодовая численность
в 2009 году во 2 квартале в 1,11 раз больше по сравнению с 2009 годом 1
кварталом.
Крб =20/19=1,05 - среднегодовая численность
в 2009 году в 3 квартале увеличилась в 1,05 раз по сравнению с 2009 годом 1
кварталом.
Крб =21/19=1,11 - среднегодовая численность
в 2009 году в 4 квартале в 1,11 раз больше по сравнению с 2009 годом 1
кварталом.
. Темп роста показывает, как изменяется уровень по
сравнению с базисным или предыдущим периодом в процентах.
Трц = Крц ×100%
Трб = Крб
× 100%
Трц =1,11×100%=111% - среднегодовая численность в 2009
году во 2 квартале по отношению к 2009 году 1 кварталу составила 111%
(увеличение на 11%)
Трц = 0,95×100%=95% - среднегодовая численность в
2009 году в 3 квартале по отношению к 2009 году 2 кварталу составила 95%
(уменьшение произошло на 5%).
Трц = 1,05×100% =105% - среднегодовая численность в
2009 году в 4 квартале по отношению к 2009 году 3 кварталу составила 105%
(увеличилась на 5%).
Трб = 1,11×100%=111% - среднегодовая численность в 2009
году во 2 квартале по отношению к 2009 году 1 кварталу составила 111%.
Трб = 1,05×100%=105% - среднегодовая
численность в 2009 году в 3 квартале по сравнению с 2009 годом 1 кварталом
составила 105%.
Трб = 1,11×100%=111% - среднегодовая численность в
2009 году в 4 квартале по сравнению с 2009 годом 1 кварталом составила 111%.
. Темп прироста показывает на сколько процентов больше или
меньше сравниваемый уровень по сравнению с базисным или предыдущим периодом.
Тпрц = Трц
-100%=(Крц -1)×100
Тпрб = Трб
-100%=(Крб -1)×100
Тпрц =
111%-100%=11%, среднегодовая численность в 2009 году во 2 квартале увеличилась
по сравнению с 2009 годом 1 кварталом на 11%.
Тпрц =95%-100%=
-5% - среднегодовая численность в 2009 году в 3 квартале уменьшилась по
сравнению с 2009 годом 2 кварталом на 5%.
Тпрц =
105%-100%=5% - среднегодовая численность в 2009 году в 4 квартале увеличилась
на 5% по сравнению с 2009 годом 3 кварталом.
Тпрб=
111%-100%=11% - среднегодовая численность в 2009 году во 2 квартале увеличилась
по сравнению с 2009 годом 1 кварталом на 11%.
Тпрб=105%-100%=5%
- среднегодовая численность в 2009 году в 3 квартале увеличилась на 5% по
сравнению с 2009 годом в 1 квартале.
Тпрб=111%-100%=-11%
- среднегодовая численность в 2009 году в 4 квартале увеличилась на 11% по
сравнению с 2009 годом 1 кварталом.
. Абсолютное значение одного процента прироста показывает,
какое абсолютное значение скрывается за относительным показателем одним
процентом прироста.
А=
А=2/10,5=0,19. Это значит, что в 2009 году во 2 квартале на 1%
прироста среднегодовая численность составляет 0,19 чел.
А=-1/-4,8=0,21. Это значит, что в 2009 году в 3 квартале на 1% прироста
среднегодовая численность составляет 0,21 чел.
А=1/5=0,2. Это значит, что в 2009 году в 4 квартале на 1% прироста
среднегодовая численность составляет 0,2 чел.
Рассчитаем средние показатели ряда динамики:
Средний уровень ряда динамики:
= (19+21+20+21+17+18+16+18+17+18+19+17)/12=18 чел.
В среднем за 12 кварталов среднегодовая численность составляет 18
чел.
Средний абсолютный прирост цепной:
(2-1+1-4+1-2+2-1+1+1-2)/11=-0,18.
Средний абсолютный прирост базисный:
В среднем за 2009-2011 годы среднегодовая численность уменьшилась
на 0,18 человек.
Средний коэффициент роста цепной:
=1,24 чел.
Средний коэффициент роста базисный:
0,99 чел.
В 2009-2011 годах среднегодовая численность в среднем уменьшилась
на 0,99 человек.
Средний темп роста цепной:
Средний темп роста базисный:
Средний темп прироста цепной:
Средний темп прироста базисный:
В течение каждого квартала
исследуемого периода среднегодовая численность в среднем на 1% уменьшалась, по
сравнению с предыдущим.
Среднее значение 1% прироста:
чел.
За период 2009-2011 гг. в среднем на 1% прироста численности
рабочих приходится 0,19 чел.
Важной задачей статистики является определение в рядах динамики
общей тенденции развития явлений. На развитие явления во времени оказывают
влияние факторы, различные по характеру и силе воздействия. Одни из них
оказывают практически постоянное воздействие и формируют в рядах динамики
определенную тенденцию развития. Воздействие же других факторов может быть
кратковременным и носить случайный характер.
Основной тенденцией развития (трендом) называется плановое и устойчивое
изменение уровня явления во времени и свободное от случайных колебаний.
С целью выявления общей тенденции развития ряды динамики
подвергаются обработке различными методами: укрупнения интервалов, скользящей
средней, аналитического выравнивания (способ наименьших квадратов).
Произведем выравнивание динамического ряда численности работников
по уравнениям прямой, параболе 2-го порядка и гиперболе.
Для определения формы тренда и расчета его параметров составляется
вспомогательная таблица, в данном случае выравнивание проводится по уравнению
прямой:
yt=a+bt
Для нахождения a
и b используется система нормальных уравнений:

Таблица 9 - Вспомогательная таблица для определения формы тренда и
расчета его параметров
Найдем параметры уравнения через систему уравнений:


a=18,4
b= -0,23
Рис. 2
По данным уравнения тренда наглядно видно, что в среднем за
квартал с 2009-2011 гг. среднегодовая численность уменьшается на 0,23 человека.
Проведем выравнивание по параболе, она имеет вид:
Уt=a0+a1t+a2t2
Система нормальных уравнений для нахождения параметров уравнения:

∑t=0, ∑t3=0 
Таблица 10 - Вспомогательная таблица для определения формы
тренда и расчета его параметров

a0= -500, a1= -0,23, a2=34,2
Модель тренда: Yt=
-500-0,23t+34,2t2
Рис. 3
По данным уравнения тренда наглядно видно, что в среднем за
квартал с 2009-2011 гг. среднегодовая численность уменьшается на 0,23 человек.
Проведем выравнивание по гиперболе, она имеет вид:
Уt=а0+а1*1/t
Система нормальных уравнений для нахождения параметров
уравнения:

Составим вспомогательную таблицу для нахождения тренда. (Табл. 11)
Таблица 11 - Вспомогательная таблица для определения формы тренда
и расчета его параметров
Решив систему уравнений, получим:
а0 = 18,4
а1 = -0,02
Модель тренда: Yt=18,4-0,02*1/t
Рис. 4
3.3 Индексный анализ
Индекс - это обобщающий относительный показатель, характеризующий
изменение уровня общественного явления во времени, по сравнению с программой
развития, планом, прогнозом или его соотношение в пространстве.
Наиболее распространена сравнительная характеристика во времени. В
этом случае индексы выступают как относительные величины динамики.
Индексный метод является также важнейшим аналитическим средством
выявления связей между явлениями. При этом применяются уже не отдельные
индексы, а их системы.
В статистической практике индексы применяются при анализе развития
всех отраслей экономики, на всех этапах экономической работы. В условиях
рыночной экономики особенно возросла роль индексов цен, доходов населения,
фондового рынка и территориальных индексов.
Статистика осуществляет классификацию индексов по следующим
признакам:
. В зависимости от объекта исследования:
§ индексы объемных (количественных) показателей
(индексы физического объема: товарооборота, продукции, потребления)
§ индексы качественных показателей (индексы цен,
себестоимости, заработной плата)
. По степени охвата элементов совокупности:
§ индивидуальные индексы (дают сравнительную
характеристику отдельных элементов явления)
§ общие индексы (характеризуют изменение
совокупности элементов или всего явления в целом)
. В зависимости от методологии исчисления общие индексы
подразделяются на:
§ агрегатные (агрегатные индексы являются основной
формой индексов и строятся как агрегаты путем взвешивания индексируемого
показателя с помощью неизменной величины другого, взаимосвязанного с ним
показателя).
§ средние (являются производными от агрегатных)
. В зависимости от базы сравнения различают:
§ базисные (если при исчислении индексов за
несколько периодов времени база сравнения остается постоянной)
§ цепные (если база сравнения постоянно меняется)
Использование индексов в экономическом анализе преследует
следующие цели:
. с их помощью дается оценка относительного изменения
какого-либо экономического явления или показателя;
. применение индексов дает возможность определить
влияние отдельных факторов на изменение обобщающего (результативного)
показателя (признака).
. дается оценка влияния изменения структуры
какого-либо экономического явления на величину динамики этого явления.
Таблица 12 - Индексный метод среднегодовой численности
предприятия
|
Категория
работников
|
2010 год
|
2011 г
|
Фонд оплаты
труда, тыс. руб., (2010 г.), T0f0
|
Фонд оплаты
труда, тыс. руб., (2011 г.), T1f1
|
Фонд оплаты
труда, тыс. руб., (усл.), T0f1
|
|
средняя
з/плата, тыс. руб., f0
|
среднес числен
чел., T0
|
средняя
з/плата, тыс. руб., f1
|
среднес числен,
чел., T1
|
|
|
|
|
Рабочие
постоянные
|
80,5
|
53
|
76,4
|
56
|
4267,9
|
4278,4
|
|
Трактористы-машинисты
|
82,3
|
14
|
102,4
|
13
|
1152,2
|
1330,7
|
1433,1
|
|
Операторы
машинного доения (дояры)
|
103,9
|
9
|
77,7
|
11
|
935,2
|
854,7
|
699,3
|
|
Скотники КРС
|
85,3
|
14
|
73,3
|
13
|
1193,5
|
953,4
|
1026,7
|
|
Работники
коневодства
|
48
|
1
|
34,0
|
1
|
48
|
34
|
34,0
|
|
Рабочие
сезонные и временные
|
72,1
|
1
|
49,0
|
1
|
72,1
|
49
|
49,0
|
|
Служащие
|
106,9
|
14
|
97,4
|
15
|
1495,9
|
1461,6
|
1364,2
|
|
Руководители
|
127,2
|
8
|
124,7
|
8
|
1017,8
|
997,5
|
997,5
|
|
Специалисты
|
79,7
|
6
|
66,3
|
7
|
478,1
|
464,1
|
397,8
|
|
Итого:
|
-
|
120
|
-
|
125
|
10660,7
|
10423,4
|
10050,8
|
. Изменение фонда оплаты труда - в абсолютном и
относительном выражении:
Фонд оплаты труда в отчетном году сократился на 2% по
сравнению с базисным.
∆T= 
Фонд оплаты труда сократился на 237,3 тыс. руб. в отчетном году по
сравнению с базисным.
2. Изменение фонда оплаты труда, за счет изменения
среднесписочной численности работников - в абсолютном и относительном
выражении:

10423,4/10050,8= 1,04=104%;
Фонд оплаты труда увеличился в отчетном периоде за счет увеличения
численности рабочих на 4%, по сравнению с базисным.
∆T= 10423,4-10050,8=372,6
Фонд оплаты труда увеличился на 372,6 тыс. руб. в отчетном периоде
по сравнению с базисным.
3. Изменение фонда оплаты труда, за счет изменения
среднегодового уровня заработной платы - в абсолютном и относительном
выражении:

10050,8/10660,7=0,94=94%
Фонд оплаты труда в 2011 г. сократился на 6%, по сравнению с 2010
г. за счет увеличения заработной платы.
∆T=10050,8-10660,7= -609,9
Фонд оплаты труда в 2011 г. сократился на 609,9 тыс. руб., по
сравнению с 2010 г. за счет увеличения заработной платы.
Индексный анализ показал, что фонд оплаты труда изменился как за
счет увеличения численности работников, так и за счет увеличения заработной
платы.
3.4 Корреляционно-регрессивный метод анализа
Данный метод содержит две свои составляющие части -
корреляционный анализ и регрессионный анализ. Корреляционный анализ -
это количественный метод определения тесноты и направления взаимосвязи между
выборочными переменными величинами. Регрессионный анализ - это количественный
метод определения вида математической функции в причинно-следственной
зависимости между переменными величинами.
Для оценки силы связи в теории корреляции применяется шкала
английского статистика Чеддока: слабая - от 0,1 до 0,3; умеренная - от 0,3 до
0,5; заметная - от 0,5 до 0,7; высокая - от 0,7 до 0,9; весьма высокая
(сильная) - от 0,9 до 1,0.
Парная корреляция - связь между двумя признаками
(результативным и факторным или двумя факторными).
Частная корреляция - зависимость между результативным и одним
факторным признаками при фиксированном значении других факторных признаков.
Множественная корреляция - зависимость результативного и двух
или более факторных признаков, включенных в исследование.
Таблица 13 - Исходная информация для проведения
корреляционно-регрессионного анализа
|
Год, квартал
|
x
|
y
|
x2
|
y2
|
x*y
|
y от x
|
|
2009 г., 1 кв
|
19
|
1345
|
361
|
1809025
|
25555
|
1399,5
|
|
2 кв
|
21
|
1346
|
441
|
1811716
|
28266
|
1344,5
|
|
3 кв
|
20
|
1344
|
400
|
1806336
|
26880
|
1372
|
|
4 кв
|
21
|
1345
|
441
|
1809025
|
28245
|
1344,5
|
|
2010 г., 1 кв
|
17
|
1459
|
289
|
2128681
|
24803
|
1454,5
|
|
2 кв
|
18
|
1457
|
324
|
2122849
|
26226
|
1427
|
|
3 кв
|
16
|
1458
|
256
|
2125764
|
23328
|
1482
|
|
4 кв
|
18
|
1462
|
324
|
2137444
|
26316
|
1427
|
|
2011 г., 1 кв
|
17
|
1444
|
289
|
2085136
|
24548
|
1454,5
|
|
2 кв
|
18
|
1443
|
324
|
2082249
|
25974
|
1427
|
|
3 кв
|
19
|
1442
|
361
|
2079364
|
27398
|
1399,5
|
|
4 кв
|
17
|
1445
|
289
|
2088025
|
24565
|
1454,5
|
|
Итого
|
221
|
16990
|
4099
|
24085614
|
312104
|
16986,5
|
y - Фонд оплаты, тыс. руб.
x - Среднесписочная численность, чел.
где
- теоретическое значение результативного
признака, полученного по уравнению регрессии;
- коэффициенты (параметры) уравнения регрессии, которые
определяют методом наименьших квадратов, т.е. с помощью решения системы
нормальных уравнений:
0=1922
a1= -27,5
Таким образом, уравнение линейной корреляционной связи будет
выглядеть следующим образом:
yx = 1922 - 27,5x
Параметр
= -27,5 показывает то, что с уменьшением
факторного признака (среднесписочная численность) на 1 чел. результативный
признак (з/п) уменьшается в среднем на 27,5 тыс. руб.
Построим график зависимости заработной платы от среднегодовой
численности:
Рис. 5
Силу связи между признаками оценивает коэффициент корреляции,
его вычисляют по формуле:

,
Коэффициент корреляции может принимать значения -1 ≤ r ≤ 1. Отрицательные
значения r
свидетельствуют об обратной связи признаков у и х, положительные
- о прямой связи.
Рассчитаем коэффициент корреляции, применив наши данные:

= -0,84
т.к. коэффициент корреляции отрицательный то связь между
признаками обратная связь, т.е. при увеличении численности работников их
заработная плата уменьшается. Скорее всего данная ситуация связана с
эконмическим кризисом 2008-2010 гг.
После определения коэффициента корреляции рассчитывают коэффициент
детерминации, который показывает, на сколько процентов зависит результативный
признак от фактора при условии, что остальные факторы не меняются. Рассчитаем
коэффициент детерминации по формуле:
R = 
2*100%,
R = 0,842*100% = 70,6% следовательно, на 70,6% фонд
оплаты труда зависит от средней численности работников и на 29,4% - от прочих
факторов.
Выводы и предложения
ОАО «Агрохим-Прибой» является достаточно крупным хозяйством
Граховского района. Месторасположение его достаточно благоприятно для
выращивания сельскохозяйственных культур и животных. Основным видом деятельности
хозяйства является производство и реализация сельскохозяйственной продукции.
Проведенные результаты исследования показали, что хозяйство имеет устойчивое
финансовое положение и является прибыльной организацией. Главной отраслью
хозяйства является животноводство, дополнительной отраслью является
растениеводство. Основное направление - это производство молока и мяса.
Засуха 2010 года потрясла многие сельскохозяйственные
организации. При резком снижение урожайности с/х культур хозяйствам пришлось брать
крупные кредиты и займы, что побудило к увеличению расходования денежных
средств данного хозяйства. Но в целом, анализируя данные показатели ОАО
«Агрохим-Прибой» способно выйти из сложившейся ситуации, так как получил
финансовую помощь от государства.
Показатели ликвидности, платежеспособности и финансовой
устойчивости предприятия свидетельствуют об увеличении финансовой прочности
предприятия и повышении гарантии погашения своих обязательств.
Проведя статистико-экономический анализ можно сказать, что трудовые
ресурсы в 20011г по сравнению с 2009 г. снизились на 10 чел. В среднем за
анализируемый период трудовые ресурсы составляют 74 чел.
Индексный анализ показал, что фонд оплаты труда изменился как
за счет увеличения численности работников, так и за счет увеличения заработной
платы.
Проведя выравнивание рядов динамики по
прямой, параболе второго порядка и гиперболе, выяснилось, что с 2009 г. 1 кв.
до 2010 г. 4 кв. среднегодовая численность то увеличивалась, то уменьшалась. На
нее могла повлиять начисленные предприятием суммы оплаты труда за отработанное
и неотработанное время, стимулирующие доплаты и надбавки, компенсационные
доплаты и надбавки, связанные с режимом работы и условиями труда, а также
регулярные выплаты на питание, жилье и топливо, носящие регулярный характер.
Хотя можно сказать, что численность работников за все три года менялась
незначительно. При расчете коэффициента корреляции была выявлена обратная связь
между признаками, что связано скорее всего с кризисом 2008-2010 гг.
Для повышения эффективности интенсификации производства
необходимо рационально использовать производственные ресурсы, снижать
себестоимость продукции, стремиться к внедрению новых технологий, улучшению
качества продукции и правильному размещению производства.
Также хотелось бы предложить внедрение современных
технологий, техники и оборудования, но данное предложение требует высокой
квалификации работников всех уровней. До сих пор квалифицированных специалистов
на предприятии мало из-за низкой заработной платы. Нужно бороться с этой
проблемой, обеспечивая молодых специалистов жильем, подъемными средствами,
высокой заработной платой, оплатой труда в выходные и праздничные дни в двойном
размере, если им не предоставлен отгул в течение недели и т.д.
Таким образом, ОАО «Агрохим-прибой» находится в устойчивом
финансовом состоянии. Данное хозяйство имеет перспективы для дальнейшего
развития, но необходимо увеличивать наиболее ликвидные активы, рационально
вкладывать свои средства и эффективно их использовать, кроме того, необходимо
применять стимулирующие и поощрительные меры работникам, тем самым повышая
заработную плату.
Список использованной литературы
трудовой заработный плата экономический
1. Гражданский
кодекс РФ. Официальный текст на 01.01.2008 г. - М.: НОРМА, 2008.-424 с.
2. Адамов
В.К. Факторный индексный анализ (Методология и проблемы). ML: Статистика. 2003.
- 200 с.
3. Баканов
М.И., Шеремет А.Д. Теория экономического анализа: Учебник. - М.: Финансы и
статистика, 1999. - 416 с.
4. Выварец
А.Д. Экономика предприятия: учебник для студентов вузов. - М.: Югити - Дана,
2007. - 543 с.
5. Ефимова, М.Р. Общая теория статистики: Учебник/.М.Р.
Ефимова, Е.В. Петрова; - М.: Финансы и статистика, 1996. - 416 с.
6. Любушина
Н.П. Анализ финансово-экономической деятельности предприятия - М.: ИНИТИ -
ДАНА, 2005. - 471 с.
7. Макроэкономика.
Теория и Российская практика: учебник / под ред. проф. А.Г. Грязновой и проф.
Н.Н. Думной. - 4-е изд., стер. - М.: КНОРУС, 2007. - 688 с.
8. Статистика:
Метод. Указ. / Сост. Л.А. Истомина. - Ижевск: ИжГСХА, 2003. - 72 с.
9. Статистика.
Учебник / Под ред. проф. И.И. Елисеевой - М.: ООО «ВИТРЭМ», 2000. - 448
с.
10. Экономика
сельского хозяйства/И.А. Минаков, Л.А. Сабетова, Н.И. Куликов и др.; -
М.:Колос, 2003
11. http://www.neuch.ru.
12. http://www.pravo.vuzlib.net.
13. http://www.stud24.ru.
14. http // : www.wikipedia.org