Разработка технологии аминолиза вторичного поликарбоната с целью получения дифенилолпропана и антипиренов для древесных материалов
Введение
В настоящее время наиболее распространенным
строительным материалом традиционно остается древесина и изделия из нее. Однако
наряду с достоинствами, выгодно отличающих ее от других материалов, древесина
обладает и недостатками, главными из которых являются легкая воспламеняемость и
горючесть.
В связи с этим значение приобретает проблема
огнезащиты древесины различными способами, наиболее эффективными из которых
являются обработка огнезащитными покрытиями.
Первый способ огнезащиты заключается в нанесении
на поверхность защищаемого материала слоя покрытия, эффективность которого
определяется физико-химическими свойствами и адгезией к данной поверхности. При
местном воздействии кратковременного источника зажигания огнезащитные покрытия
затрудняют горение деревянных конструкций, облегчают тушение пожара, а в ряде
случаев исключают возможность его возникновения.
Огнезащита способом пропитки заключается во
введении в материал специальных веществ - антипиренов. Этот способ обеспечивает
защиту деревянных конструкций от возгорания при локальном огневом воздействии в
условиях возникновения пожара. В данном случае наблюдается только обугливание
материала, которое ограничивается площадью воздействия пламени. К огнезащитным
средствам относятся только покрытия I
и II группы
огнезащитной эффективности. Покрытия I
группы обеспечивают потерю массы защищенной древесины в условиях испытания не
более девяти процентов (средства, обеспечивающие получение трудносгораемой
древесины), а покрытия II
группы - потерю массы в пределах от девяти до двадцатипяти процентов (средства,
обеспечивающие получение трудновоспламеняемой древесины).
Важнейшие задачи в области огнезащиты древесных
материалов являются следующие:
· разработка
технологии применения и организация многотоннажного производства доступных
экологически безопасных, активно участвующих в образовании материалов,
трудновымываемых и эффективных антипиренов для защиты древесных плит и
пластиков;
· развитие
теоретических основ огнезащиты древесных материалов, в том числе разработка
механизма огнезащитного действия, построение многокомпонентных огнезащитных и
огнебиозащитных препаратов, способных выполнять и такие функции как упрочнение;
- разработка методов оценки огнезащищенности
древесных конструкций в условиях реальных пожаров и стандартизация методики
оценки «антипиренной активности» на базе распространенного современного
оборудования;
- разработка методики расчета, экономической
эффективности применения огнезащитных древесных материалов и конструкций на
предприятиях и в строительстве.
Настоящая дипломная работа является одним из
этапов исследований, проводящихся на кафедре ТППМ, задачей который является
получение огнезащитных составов на основе продуктов аминолиза вторичного
поликарбоната.
1. Аналитический обзор азот-фосфорсодержащие
огнезащитные составы, антипирены для древесины и древесных материалов
.1 Актуальность получения
эффективных огнезащитных составов
Древесина играет важную роль в развитии
промышленности, архитектуры, создании новых конструкций и оборудования. В
настоящее время, несмотря на появление новых синтетических материалов,
способных заменить древесину, ее значение для строительства и промышленности не
уменьшается [1,3]. Это объясняется тем, что этот материал не только легко
поддается механической обработке, но и обладает рядом других ценных свойств,
таких как относительно высокая прочность, небольшая плотность, малая
теплопроводность. Однако серьезным недостатком древесины, ограничивающим ее
конструктивное использование, является повышенная горючесть, обусловленная
органической природой материала [2,3].
Главными целями огнезащиты древесины являются:
1) обеспечение невоспламеняемости древесины от
энергии малых калорий;
2) снижение скорости распространения огня
по поверхности;
) обеспечение нераспространения огня по
поверхности деревянных конструкций на разных стадиях развития пожара [4,5].
1.1.1 Показатели пожароопасности
древесных материалов общего назначения
Основные показатели пожароопасности твердых
материалов (а следо-вательно, и древесных) общего назначения следующие:
группа горючести;
температура воспламенения;
температура самовоспламенения;
температура тления;
условия теплового самовозгорания;
кислородный индекс;
индекс распространения пламени;
коэффициент дымообразования;
показатель токсичности продуктов горения
материалов.
Пожаровзрывоопасность веществ и материалов -
совокупность свойств, характеризующих их способность к возникновению и
распространению горения.
Следствием горения, в зависимости от его
скорости и условий протекания, могут быть пожар (диффузионное горение) или
взрыв.
Рассмотрим кратко наиболее важные показатели
пожароопасности древесных материалов.
Группа горючести
Группа горючести - классификационная
характеристика способности веществ и материалов к горению.
Горение - экзотермическая реакция, протекающая в
условиях ее прогрессивного самоускорения.
По горючести вещества и материалы подразделяют
на три группы:
· негорючие (несгораемые): вещества и
материалы, не способные к горению в воздухе;
· трудногорючие (трудносгораемые):
вещества и материалы, способные гореть в воздухе при воздействии источника
зажигания, но не способные самостоятельно гореть после его удаления;
· горючие (сгораемые): вещества и
материалы, способные самовозгораться, а также возгораться при воздействии
источника зажигания и самостоятельно гореть после его удаления.
Древесные материалы относятся к группе горючих,
при использовании эффективных огнезащитных средств они могут быть переведены в
группу трудногорючих. Негорючими древесные материалы быть не могут.
Группу горючести определяют в приборе ОТМ ГОСТ
12.1.044-89.
После испытания вычисляют:
· максимальное приращение температуры (Δtmax)
Δtmax =
tmax - t0,
где tmax - максимальная температура
газообразных продуктов горения исследуемого материала, °С; t0 -
начальная температура испытания, равная 200°С.
· потерю массы образца (Δm)
в процентах
где mн - масса образца до испытания,
г; mк - масса образца после испытания, г.
По значению максимального приращения температуры
Δtmax
и потере массы Δm материалы
классифицируют:
трудногорючие Δtmax
<
60°C и Δm
<60%;
горючие Δtmax
≥60°С
или Δm
≥60 %.
Горючие материалы дополнительно подразделяют в
зависимости от времени (t) достижения tmax на:
трудновоспламеняемые t > 4 мин;
средней воспламеняемости 0,5 ≤ t ≤ 4
мин;
легковоспламеняемые t < 0,5 мин.
При классификации материалов, пропитанных
негорючими составами или с нанесенными на них огнезащитными покрытиями,
используют только показатель Δtmax.
Температура воспламенения
Температура воспламенения - наименьшая
температура вещества, при которой в условиях специальных испытаний вещество
выделяет горючие пары и газы с такой скоростью, что при воздействии на них
источника зажигания наблюдается воспламенение.
Воспламенение - пламенное горение вещества, инициированное
источником зажигания и продолжающееся после его удаления.
Сущность экспериментального метода определения
температуры воспламенения заключается в нагревании определенной массы вещества
с заданной скоростью, периодическом зажигании выделяющихся паров и установлении
факта наличия или отсутствия воспламенения при фиксируемой температуре.
Температура самовоспламенения
Температура самовоспламенения - наименьшая
температура окружающей среды, при которой в условиях специальных испытаний
наблюдается самовоспламенение вещества.
Сущность метода определения температуры
самовоспламенения заключается во введении определенной массы вещества в
нагретый объем и оценке результатов испытания. Изменяя температуру испытания,
находят ее минимальное значение, при котором происходит самовоспламенение
вещества.
Температура тления
Температура тления - температура вещества, при
которой происходит резкое увеличение скорости экзотермических реакций
окисления, заканчивающихся возникновением тления.
Тление - беспламенное горение твердого вещества
(материала) при сравнительно низких температурах (400-600°С), часто
сопровождающееся выделением дыма.
Кислородный индекс
Кислородный индекс - минимальное содержание
кислорода в кислородно-азотной смеси, при котором возможно свечеобразное
горение материала в условиях специальных испытаний.
Значение кислородного индекса следует применять
при разработке материалов пониженной горючести и контроле горючести материалов.
Кислородный индекс обозначают сокращенно КИ,
единица измерения - % объемные (кислорода в кислород-азотной смеси).
Чем больше значение КИ, тем меньше горючесть
материала.
Индекс распространения пламени
Индекс распространения пламени - условный
безразмерный показатель, характеризующий способность веществ воспламеняться,
распространять пламя по поверхности и выделять тепло.
Определяют индекс распространения пламени в
установке, на образцах, которые поджигают пламенем газовой горелки и определяют
скорость перемещения фронта пламени по поверхности образца. Обозначают индекс
распространения пламени I. I - величина условная, безразмерная.
В зависимости от величины I материалы
подразделяются на следующие категории:
Таблица
|
Категория
материалов
|
Значение
I
|
|
не
распространяющие пламя по поверхности
|
0
|
|
медленно
распространяющие пламя по поверхности
|
св.
0 до 20
|
|
быстро
распространяющие пламя по поверхности
|
св.
20
|
Коэффициент дымообразования
Коэффициент дымообразования Dm в м2∙кг-1
- показатель, характеризующий оптическую плотность дыма, образующегося при
пламенном горении или термоокислительной деструкции (тлении) определенного
количества твердого вещества (материала) в условиях специальных испытаний.
Значение коэффициента дымообразования применяют
для классификации материалов по дымообразующей способности.
Различают три группы материалов:
· с малой дымообразующей способностью
- коэффициент дымообразования до 50 м2 ·кг-1 включ.;
· с умеренной дымообразующей
способностью - коэффициент дымообразования св. 50 до 500 м2 · кг-1
включ.;
· с высокой дымообразующей
способностью - коэффициент дымообразования св. 500 м2 · кг-1.
Показатель токсичности продуктов горения
материалов
Показатель токсичности продуктов горения HCL50,
гּì-3
-отношение количества материала к единице объема замкнутого пространства, в
котором образующиеся при горении материала газообразные продукты вызывают
гибель 50% подопытных животных.
Сущность метода определения показателя
токсичности заключается в сжигании исследуемого материала в камере сгорания при
заданной плотности теплового потока и выявлении зависимости летального эффекта
газообразных продуктов горения от массы материала, отнесенной к единице объема
экспозиционной камеры.
Классификация материалов по значению показателя
токсичности продуктов горения приведена в таблице.
Таблица
|
Êëàññ
îïàñíîñòè
|
HCL50, ïðè
âðåìåíè ýêñïîçèöèè,
ìèí
|
|
5
|
15
|
30
|
60
|
|
×ðåçâû÷àéíî
îïàñíûå
|
Äî
25
|
Äî
17
|
Äî
13
|
Äî
10
|
|
Âûñîêîîïàñíûå
|
25-70
|
17-50
|
13-40
|
10-30
|
|
Óìåðåííîîïàñíûå
|
70-210
|
50-150
|
40-120
|
30-90
|
|
Ìàëîîïàñíûå
|
Ñâ.
210
|
Ñâ.
150
|
Ñâ.
120
|
Ñâ.
90
|
1.1.2 Ìåòîäû
èñïûòàíèé îãíåçàùèòíûõ
ñîñòàâîâ è âåùåñòâ
Äëÿ ñíèæåíèÿ
ïîæàðíîé îïàñíîñòè
ìàòåðèàëîâ øèðîêî
ïðèìåíÿþòñÿ îãíåçàùèòíûå
ñîñòàâû è âåùåñòâà.
Îãíåçàùèòíûå
ñîñòàâû è âåùåñòâà
äëÿ äðåâåñíûõ
ìàòåðèàëîâ (ÎÇÑÂ)
- ñîñòàâû, âåùåñòâà
(ñìåñü âåùåñòâ)
èëè ìàòåðèàëû,
îáëàäàþùèå òðåáóåìîé
îãíåçàùèòíîé
ýôôåêòèâíîñòüþ
è ñïåöèàëüíî
ïðåäíàçíà÷åííûå
äëÿ îãíåçàùèòíîé
îáðàáîòêè ðàçëè÷íûõ
îáúåêòîâ èç äðåâåñèíû
è ìàòåðèàëîâ
íà åå îñíîâå.
Îãíåçàùèòíûå
ñîñòàâû - ýòî
ìíîãîêîìïîíåíòíûå
ñìåñè ðàçëè÷íûõ
âåùåñòâ.
Èíäèâèäóàëüíûå
îãíåçàùèòíûå
âåùåñòâà îáû÷íî
íàçûâàþò àíòèïèðåíàìè.
Îáùèå òðåáîâàíèÿ
ê ÎÇÑÂ äëÿ äðåâåñèíû
è ìàòåðèàëîâ
íà åå îñíîâå è
ìåòîäû èõ èñïûòàíèé
óñòàíîâëåíû
ÍÏÁ 251-98 (ÍÐÁ - íîðìû
ïîæàðíîé áåçîïàñíîñòè).
 ÍÏÁ 251-98 èçëîæåíû
òðè ìåòîäà îïðåäåëåíèÿ
îãíåçàùèòíîé
ýôôåêòèâíîñòè
ÎÇÑÂ:
) ìåòîä îïðåäåëåíèÿ
îãíåçàùèòíîé
ýôôåêòèâíîñòè
- ÿâëÿåòñÿ êëàññèôèêàöèîííûì
è ïðèìåíÿåòñÿ
ïðè óñòàíîâëåíèè
ãðóïïû îãíåçàùèòíîé
ýôôåêòèâíîñòè
è ñåðòèôèêàöèîííûõ
èñïûòàíèÿõ ÎÇÑÂ
äëÿ äðåâåñèíû
è ìàòåðèàëîâ
íà åå îñíîâå; ìåòîä
èçëîæåí òàêæå
â ìåæãîñóäàðñòâåííîì
ñòàíäàðòå ÃÎÑÒ
16363-98 «Ñðåäñòâà îãíåçàùèòíûå
äëÿ äðåâåñèíû.
Ìåòîäû îïðåäåëåíèÿ
îãíåçàùèòíûõ
ñâîéñòâ».
) ìåòîä îïðåäåëåíèÿ
óñòîé÷èâîñòè
ê ñòàðåíèþ - ïðèìåíÿåòñÿ
ïðè ñåðòèôèêàöèîííûõ
èñïûòàíèÿõ ÎÇÑÂ,
äëÿ êîòîðûõ çàÿâèòåëü
óñòàíàâëèâàåò
ãàðàíòèéíûé
ñðîê ýêñïëóàòàöèè
áîëåå îäíîãî
ãîäà;
) êîíòðîëüíûé
ìåòîä îïðåäåëåíèÿ
îãíåçàùèòíîé
ýôôåêòèâíîñòè
- ïðèìåíÿåòñÿ
ïðè ïðîâåäåíèè
êîíòðîëÿ êà÷åñòâà
ÎÇÑÂ è íå ìîæåò
ïðèìåíÿòüñÿ äëÿ
öåëåé ñåðòèôèêàöèè.
Îïðåäåëåíèå
îãíåçàùèòíîé
ýôôåêòèâíîñòè
Îïðåäåëåíèå
îãíåçàùèòíîé
ýôôåêòèâíîñòè
ÎÇÑÂ ïðîâîäèòñÿ
íà îáðàçöàõ äðåâåñèíû
ñîñíû. Îáðàçöû
â âèäå ïðÿìîóãîëüíîãî
áðóñêà ñ ïîïåðå÷íûì
ñå÷åíèåì 30õ60 ìì
è äëèíîé 150 ìì, âëàæíîñòü
íå áîëåå 15%. Íà îáðàçöû
ñî âñåõ ñòîðîí
íàíîñÿò ïîêðûòèå
èç èñïûòûâàåìîãî
ÎÇÑÂ èëè ïðîïèòûâàþò
îáðàçöû èñïûòûâàåìûì
ðàñòâîðîì ÎÇÑÂ
ñîãëàñíî èìåþùåéñÿ
ÒÄ è âûñóøèâàþò.
Èñïûòàíèÿ
ïîäãîòîâëåííûõ
îáðàçöîâ ïðîâîäÿò
â óñòàíîâêå (ðèñ.
1.1).
Ðèñ. 1.1- Óñòàíîâêà
äëÿ îïðåäåëåíèÿ
îãíåçàùèòíîé
ýôôåêòèâíîñòè
ïîêðûòèé è ïðîïèòîê:
1 - êåðàìè÷åñêèé
êîðîá; 2 - ìåòàëëè÷åñêàÿ
ïîäñòàâêà; 3 -ãàçîâàÿ
ãîðåëêà; 4 - ðîòàìåòð;
5- äåðæàòåëü îáðàçöà;
6 -îáðàçåö; 7 - çîíò;
8- òåðìîýëåêòðè÷åñêèå
ïðåîáðàçîâàòåëè;
9 - âåðõíèé ïàòðóáîê
çîíòà; 10 - ïîòåíöèîìåòð
ÊÑÏ-4.
 íà÷àëå
èñïûòàíèé çàæèãàþò
ãàçîâóþ ãîðåëêó
è ðåãóëèðîâàíèåì
ðàñõîäà ãàçà
óñòàíàâëèâàþò
òåìïåðàòóðó,
ðåãèñòðèðóåìóþ
òåðìîïàðîé, 200îÑ.
Èñïûòûâàåìûé
îáðàçåö, çàêðåïëåííûé
â äåðæàòåëå, îïóñêàþò
â êåðàìè÷åñêèé
êîðîá, îäíîâðåìåííî
âêëþ÷àþò ñåêóíäîìåð.
Îáðàçåö äåðæàò
â ïëàìåíè ãîðåëêè
â òå÷åíèå 2 ìèí.
×åðåç 2 ìèí ïîäà÷ó
ãàçà â ãîðåëêó
ïðåêðàùàþò è îñòàâëÿþò
îáðàçåö â ïðèáîðå
äëÿ îñòûâàíèÿ
äî êîìíàòíîé
òåìïåðàòóðû.
Îñòûâøèé
îáðàçåö äðåâåñèíû
èçâëåêàþò èç
êåðàìè÷åñêîãî
êîðîáà è âçâåøèâàþò.
Âû÷èñëÿþò
ïîòåðþ ìàññû
îáðàçöà (P) â ïðîöåíòàõ
ïî ôîðìóëå:
ãäå m1 - ìàññà
îáðàçöà äî èñïûòàíèÿ,
ã;2 - ìàññà îáðàçöà
ïîñëå èñïûòàíèÿ,
ã.
Ïî ðåçóëüòàòàì
èñïûòàíèÿ óñòàíàâëèâàþò
ãðóïïó îãíåçàùèòíîé
ýôôåêòèâíîñòè
èñïûòàííîãî
ÎÇÑÂ ïðè äàííîì
ñïîñîáå åãî ïðèìåíåíèÿ:
ïðè ïîòåðå
ìàññû íå áîëåå
9% óñòàíàâëèâàþò
I ãðóïïó îãíåçàùèòíîé
ýôôåêòèâíîñòè;
ïðè ïîòåðå
ìàññû áîëåå 9%,
íî íå âûøå 25%, óñòàíàâëèâàþò
II ãðóïïó
îãíåçàùèòíîé
ýôôåêòèâíîñòè;
ïðè ïîòåðå
ìàññû áîëåå 25%
ñ÷èòàþò, ÷òî
äàííîå ÎÇÑÂ íå
îáåñïå÷èâàåò
îãíåçàùèòû äðåâåñèíû
è íå ÿâëÿåòñÿ
îãíåçàùèòíûì.
Äëÿ èññëåäîâàòåëüñêèõ
öåëåé ïðåäíàçíà÷åí
ýêñïðåññ-ìåòîä
èñïûòàíèÿ çàùèòíûõ
ñðåäñòâ äëÿ äðåâåñèíû,
óñòàíîâëåííûé
ìåæãîñóäàðñòâåííûì
ñòàíäàðòîì ÃÎÑÒ
30028.3-93.
Ýêñïðåññ-ìåòîä
èñïûòàíèÿ îãíåçàùèùàþùåé
ñïîñîáíîñòè
Ñóùíîñòü
ìåòîäà çàêëþ÷àåòñÿ
â îïðåäåëåíèè
ïîòåðè ìàññû
è ïðîäîëæèòåëüíîñòè
ñàìîñòîÿòåëüíîãî
ãîðåíèÿ ïëàìåíåì
è òëåíèåì îáðàçöîâ
äðåâåñèíû, ïðîïèòàííûõ
çàùèòíûìè ñðåäñòâàìè,
ïðè îãíåâîì èñïûòàíèè.
Èñïûòàíèÿ
ïðîâîäÿò íà îáðàçöàõ,
èçãîòîâëÿåìûõ
èç ïðÿìîñëîéíîé
âîçäóøíî-ñóõîé
äðåâåñèíû çàáîëîíè
ñîñíû ñ ïëîòíîñòüþ
0,45-0,55 ã/ñì3.
Îãíåâûå
èñïûòàíèÿ îáðàçöîâ
ïðîâîäÿò â óñòàíîâêå
(ðèñ. 1.2).
Ðèñ. 1.2- Óñòàíîâêà
äëÿ ñæèãàíèÿ
îáðàçöîâ: 1 - òðóáà
èç êâàðöåâîãî
ñòåêëà ñ âíóòðåííèì
äèàìåòðîì 90 ìì,
òîëùèíîé ñòåíêè
5 ìì è äëèíîé 800 ìì;
2 - îáðàçåö äðåâåñèíû;
3 - èãëà äëÿ êðåïëåíèÿ
îáðàçöà; 4 - äåðæàòåëü
èãëû; 5 - çåðêàëî;
á - øòàòèâ; 7 - çàñëîíêà;
8 - óñòðîéñòâî äëÿ
ïîäæèãàíèÿ; 9 - øëàíã
ñ çàæèìîì; 10 - åìêîñòü
äëÿ ñïèðòà.
Îáðàçåö
íàêàëûâàþò â
öåíòðå øèëîì
è íàâåøèâàþò
íà îñòðèå èãëû
3, íàõîäÿùåéñÿ
â òðóáå èç êâàðöåâîãî
ñòåêëà 1, òàê, ÷òîáû
îí áûë ðàñïîëîæåí
ïî öåíòðó òðóáû
è óñòðîéñòâà
äëÿ ïîäæèãàíèÿ
8. Ðàññòîÿíèå íèæíåãî
îáðåçà òðóáû
îò óñòðîéñòâà
äëÿ ïîäæèãàíèÿ
- 25 ìì. Óñòðîéñòâî
äëÿ ïîäæèãàíèÿ
îáðàçöà äðåâåñèíû
íàïîëíÿþò äåíàòóðèðîâàííûì
ñïèðòîì íèæå
âåðõíåãî åãî
îáðåçà íà (1 ± 0,2) ìì.
Âî âðåìÿ èñïûòàíèÿ
óðîâåíü ñïèðòà
â óñòðîéñòâå
äîëæåí áûòü ïîñòîÿííûì.
Ïîäæèãàþò ñïèðò,
âêëþ÷àþò ñåêóíäîìåð,
÷åðåç 20 ñ îñòîðîæíî,
÷òîáû íå ñáèòü
ïëàìÿ ñ îáðàçöà
äðåâåñèíû 2, ïåðåêðûâàþò
óñòðîéñòâî äëÿ
ïîäæèãàíèÿ çàñëîíêîé
7 è íàáëþäàþò çà
ñàìîñòîÿòåëüíûì
ãîðåíèåì îáðàçöà
äðåâåñèíû. Ñ ïîìîùüþ
ñåêóíäîìåðà
ôèêñèðóþò äëèòåëüíîñòü
ñàìîñòîÿòåëüíîãî
ãîðåíèÿ îáðàçöà
äðåâåñèíû ïëàìåíåì
è òëåíèåì.
Ïî îêîí÷àíèè
ãîðåíèÿ íåñãîðåâøèå
îñòàòêè îáðàçöà
äðåâåñèíû îñòîðîæíî
áåç ïîòåðü ñíèìàþò
ñ îñòðèÿ èãëû
è âçâåøèâàþò
â áþêñå ñ ïîãðåøíîñòüþ
íå áîëåå 0,02 ã.
Çàùèòíîå
ñðåäñòâî èñïûòûâàþò
íå ìåíåå ÷åì ïðè
ïÿòè ïîãëîùåíèÿõ.
Ïî ðåçóëüòàòàì
èñïûòàíèé ñòðîÿò
ãðàôèê çàâèñèìîñòè
ïîòåðè ìàññû
îò ïîãëîùåíèÿ
ÎÇÑÂ:
Ðèñ.
Ïî ãðàôèêó
îïðåäåëÿþò ïîãëîùåíèå,
îáåñïå÷èâàþùåå
ïîòåðþ ìàññû
îáðàçöîâ äðåâåñèíû
ïðè ãîðåíèè.
Ïî çíà÷åíèþ
ýòîãî ïîãëîùåíèÿ
óñòàíàâëèâàþò
êëàññ îãíåçàùèùàþùåé
ñïîñîáíîñòè
çàùèòíûõ ñðåäñòâ
â ñîîòâåòñòâèè
ñ òàáëèöåé.
Òàáëèöà
|
Ïîãëîùåíèå
çàùèòíîãî ñðåäñòâà,
îáåñïå÷èâàþùåå
ïîòåðþ ìàññû
25 %, êã/ì3
|
Êëàññ
îãíåçàùèùàþùåé
ñïîñîáíîñòè
çàùèòíîãî ñðåäñòâà
|
|
Íe
áîëåå 30
|
I
|
|
Áîëåå
30, íî ìåíåå 50
|
II
|
|
50
è áîëåå
|
III
|
Ïî ïðîäîëæèòåëüíîñòè
ñàìîñòîÿòåëüíîãî
ãîðåíèÿ îáðàçöîâ
äðåâåñèíû ïëàìåíåì
è òëåíèåì óñòàíàâëèâàþò
òèï çàùèòíîãî
ñðåäñòâà ïî îãíåçàùèùàþùåé
ñïîñîáíîñòè
(ñì. òàáëèöó).
Òàáëèöà
|
Êëàññ
îãíåçàùèùà-þùåé
ñïîñîáíîñòè
|
Ïðîäîëæèòåëüíîñòü
ñàìîñòîÿòåëüíîãî
ãîðåíèÿ îáðàçöîâ,
ñ, íå áîëåå
|
Òèï
çàùèò. ñðåäñòâà
ïî îãíåçàùèù.
ñïîñîáíîñòè
|
|
ïëàìåíåì
|
òëåíèåì
|
|
|
I
II III
|
20
30 40
|
Íe
ðåãëàìåíòèðóåòñÿ
|
Ïëàìÿãàñèòåëü
|
|
I
II III
|
Íå
ðåãëàìåíòèðóåòñÿ
|
30
50 70
|
Àíòèòëèòåëü
|
|
I
II III
|
20
30 40
|
30
50 70
|
Óíèâåðñàëüíîãî
äåéñòâèÿ
|
1.1.3 Îñíîâíûå
ïðåäñòàâëåíèÿ
î ãîðåíèè è îãíåçàùèòå
äðåâåñíûõ ìàòåðèàëîâ
Ãîðåíèå
- ñëîæíûé ôèçèêî-õèìè÷åñêèé
ïðîöåññ, îñíîâîé
êîòîðîãî ÿâëÿåòñÿ
áûñòðî ïðîòåêàþùàÿ
õèìè÷åñêàÿ ðåàêöèÿ
îêèñëåíèÿ, ñîïðîâîæäàþùàÿñÿ
âûäåëåíèåì áîëüøîãî
êîëè÷åñòâà òåïëà
è ïëàìåíåì.
Ïðè ãîðåíèè
äðåâåñíûõ ìàòåðèàëîâ
ìîæíî âûäåëèòü
ñëåäóþùèå ñòàäèè:
· íàãðåâàíèå;
· íèçêîòåìïåðàòóðíûé
ïèðîëèç êîìïîíåíòîâ
äðåâåñíîãî êîìïëåêñà;
· âûäåëåíèå
ëåòó÷èõ ïðîäóêòîâ;
· âîñïëàìåíåíèå
ëåòó÷èõ ïðîäóêòîâ;
· ïëàìåííîå
ãîðåíèå;
· ãîðåíèå
òâåðäîãî (êîêñîâîãî)
îñòàòêà.
Ïîñëåäíþþ
ñòàäèþ íàçûâàþò
òàêæå òëåíèåì.
Ñòàäèÿ ïëàìåííîãî
ãîðåíèÿ äëÿ öåëëþëîçíûõ
ìàòåðèàëîâ îñîáåííî
ñóùåñòâåííà
êàê îñíîâíîé
èñòî÷íèê òåïëîâûäåëåíèÿ.
Òàê, ïðè ãîðåíèè
äðåâåñèíû íà
äîëþ ëåòó÷èõ
ïðîäóêòîâ ïðèõîäèòñÿ
80% îáùåãî êîëè÷åñòâà
âûäåëåííîãî òåïëà.
Òåðìè÷åñêîå
ðàçëîæåíèå äðåâåñèíû
ñòàíîâèòñÿ çàìåòíûì
ïðè íàãðåâàíèè
åå ñâûøå 150°Ñ. Ïðè
òåðìîîáðàáîòêå
äðåâåñèíû â ïðåäåëàõ
150...250°Ñ ïðîòåêàåò
ðåàêöèè äåãèäðàòàöèè.
Ïðè áîëåå âûñîêèõ
òåìïåðàòóðàõ
âîçíèêàåò ýíåðãè÷íîå
ðàçëîæåíèå äðåâåñèíû,
ïðîõîäÿùåå, ãëàâíûì
îáðàçîì, ïî ðàäèêàëüíîìó
ìåõàíèçìó.
Íà÷àëî ýêçîòåðìè÷åñêîãî
ðàçëîæåíèÿ äðåâåñèíû
îáû÷íî îòíîñÿò
ê òåìïåðàòóðå
270...280°Ñ. Ïðè ýòîì ïðîöåññå
âûäåëÿåòñÿ çíà÷èòåëüíîå
êîëè÷åñòâî òåïëà.
Íàèìåíåå
òåðìè÷åñêè ñòàáèëüíûé
êîìïîíåíò äðåâåñèíû
- ãåìèöåëëþëîçû.
Òàê, êñèëàí ðàçëàãàåòñÿ
ñ ïîòåðåé ìàññû,
íà÷èíàÿ ñ I60...I70°C.
Ïðè ýòèõ òåìïåðàòóðàõ
ïðîõîäÿò êàê ýêçîòåðìè÷åñêèå
ðåàêöèè ÷àñòè÷íîãî
ãèäðîëèçà, òàê
è ýêçîòåðìè÷åñêèå
ïðîöåññû óïëîòíåíèÿ
ìàêðîìîëåêóë.
Ìàêñèìàëüíàÿ
ñêîðîñòü âûäåëåíèÿ
ëåòó÷èõ ïðîäóêòîâ
çàôèêñèðîâàíà
ïðè 240°Ñ.
Áîëåå òåðìè÷åñêè
óñòîé÷èâà öåëëþëîçà.
Ïðè ïèðîëèòè÷åñêîì
ðàñïàäå öåëëþëîçû
âíà÷àëå ïðîèñõîäèò
ðàçðûâ ñâÿçåé
â îñíîâíîé öåïè
ïî ðàäèêàëüíîìó
ìåõàíèçìó, êîíöåâîå
çâåíî â ðåçóëüòàòå
ðåêîìáèíàöèè
ïðåâðàùàåòñÿ
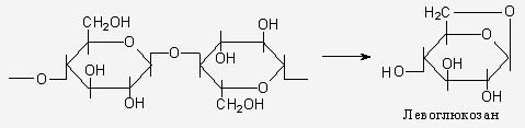
â îñòàòîê ëåâîãëþêîçàíà.
Âûäåëèâøèéñÿ
ëåâîãëþêîçàí
ðàñùåïëÿåòñÿ
ñ îáðàçîâàíèåì
ðàçëè÷íûõ ïðîäóêòîâ
ðàñïàäà.
Ïèðîëèòè÷åñêèé
ðàñïàä öåëëþëîçû
ñ îáðàçîâàíèåì
ëåâîãëþêîçàíà
ìîæíî ïðåäñòàâèòü
ñëåäóþùåé ñõåìîé,
èç êîòîðîé âèäíà
è ðîëü ïåðâè÷íîé
ãèäðîêñèëüíîé
ãðóïïû:
Ðèñ.
Ìàêñèìàëüíàÿ
ñêîðîñòü âûäåëåíèÿ
ëåòó÷èõ ïðîäóêòîâ
ñîîòâåòñòâóåò
òåìïåðàòóðå
325°Ñ.
Íàèáîëåå
òåðìîóñòîé÷èâ
ëèãíèí, åãî àêòèâíûé
ïèðîëèç ïðîèñõîäèò
ïðè 300...400°Ñ è ñîïðîâîæäàåòñÿ
ðàçðûâîì ñâÿçåé
ìåæäó ñòðóêòóðíûìè
çâåíüÿìè ìàêðîìîëåêóë,
âûäåëåíèåì çíà÷èòåëüíîãî
êîëè÷åñòâà ëåòó÷èõ
ïðîäóêòîâ è îáðàçîâàíèåì
â òâåðäîé ôàçå
ñòðóêòóðíûõ
ôðàãìåíòîâ òèïà
ñâîáîäíûõ ðàäèêàëîâ.
Ñêîðîñòü îáðàçîâàíèÿ
ëåòó÷èõ ïðîäóêòîâ,
îäíàêî, çíà÷èòåëüíî
íèæå, ÷åì ïðè ðàçëîæåíèè
öåëëþëîçû. Ñ äàëüíåéøèì
ïîâûøåíèåì òåìïåðàòóðû
ñêîðîñòü ðàñïàäà
çàìåäëÿåòñÿ,
ïðîèñõîäèò íàêîïëåíèå
â òâåðäîé ôàçå
êîíäåíñèðîâàííûõ
àðîìàòè÷åñêèõ
ñòðóêòóð (óãîëüíîãî
îñòàòêà).
Ïðîöåññ òåðìè÷åñêîãî
ðàçëîæåíèÿ äðåâåñèíû
è åå êîìïîíåíòîâ
ñîïðîâîæäàåòñÿ
îáðàçîâàíèåì
çíà÷èòåëüíîãî
êîëè÷åñòâà õèìè÷åñêèõ
ñîåäèíåíèé, â
ïðîäóêòàõ òåðìè÷åñêîãî
ðàçëîæåíèÿ äðåâåñèíû
îáíàðóæåíî ñâûøå
200 ñîåäèíåíèé.
Óãëåâîäíàÿ ÷àñòü
âíîñèò âêëàä
â îáðàçîâàíèå
òåïëà íà ñòàäèè
ïëàìåííîãî ãîðåíèÿ,
òîãäà êàê ëèãíèí
îáóñëîâëèâàåò,
ãëàâíûì îáðàçîì,
ñòàäèþ ãîðåíèÿ
òâåðäîãî îñòàòêà.
Ãîðåíèå êîêñîâîãî
îñòàòêà ïðåäñòàâëÿåò
ñîáîé âçàèìîäåéñòâèå
óãëåðîäà ñ êèñëîðîäîì
ñ îáðàçîâàíèåì
îêèñè è äâóîêèñè
óãëåðîäà.
Äëÿ îãíåçàùèòû
÷àùå âñåãî èñïîëüçóþò
ñîñòàâ, êîìïîíåíòû
êîòîðîãî êîìïëåêñíî
ïðåïÿòñòâóþò
ãîðåíèþ:
· â òâåðäîé
ôàçå, èçìåíÿÿ
ïðîöåññ ðàçëîæåíèÿ
öåëëþëîçíîãî
ìàòåðèàëà;
· â ãàçîâîé
ôàçå, ïðåïÿòñòâóÿ
îêèñëåíèþ ïðîäóêòîâ
ðàçëîæåíèÿ.
· ïðè òëåíèè,
èíãèáèðóÿ ýêçîòåðìè÷åñêèé
ïðîöåññ îêèñëåíèÿ
óãëåðîäà äî óãëåêèñëîãî
ãàçà.
Îãíåçàùèòíîå
äåéñòâèå â òâåðäîé
ôàçå.
Îñíîâíîé
ïðè÷èíîé ãîðþ÷åñòè
öåëëþëîçíûõ ìàòåðèàëîâ
ñ÷èòàþò ðàçëîæåíèå
ïðîìåæóòî÷íî
îáðàçóþùåãîñÿ
ëåâîãëþêîçàíà
ñ âûäåëåíèåì
ãîðþ÷èõ ëåòó÷èõ
ïðîäóêòîâ.
Ñîçäàâàÿ
óñëîâèÿ, çàäåðæèâàþùèå
èëè ïîëíîñòüþ
èñêëþ÷àþùèå
îáðàçîâàíèå
ëåâîãëþêîçàíà,
ìîæíî óñòðàíèòü
èõ âîñïëàìåíåíèå.
Èññëåäîâàíèÿìè
óñòàíîâëåíî,
÷òî ìîäèôèêàöèÿ
ïåðâè÷íûõ ãèäðîêñèëüíûõ
ãðóïï ïðè øåñòîì
óãëåðîäíîì àòîìå
â ìàêðîìîëåêóëå
öåëëþëîçû ïðåäîòâðàùàåò
îáðàçîâàíèå
ëåâîãëþêîçàíà
ïðè òåðìè÷åñêîì
ðàçëîæåíèè öåëëþëîçû.
Òàê, íàïðèìåð,
çàìåùåíèå ïåðâè÷íûõ
ãèäðîêñèëüíûõ
ãðóïï ìåòèëîâûìè
ãðóïïàìè çíà÷èòåëüíî
óìåíüøàåò îáðàçîâàíèå
ëåâîãëþêîçàíà:
Òàêàÿ ìîäèôèêàöèÿ
ýôôåêòèâíà äëÿ
ïðåäîòâðàùåíèÿ
ñòàäèè ïëàìåííîãî
ãîðåíèÿ.
Äëÿ ïîäàâëåíèÿ
ïîñëåäóþùåãî
òëåíèÿ òðåáóåòñÿ
ââåäåíèå äîïîëíèòåëüíî
ôîñôîðñîäåðæàùåãî
ðåàãåíòà.
Âîñïëàìåíåíèå
â ãàçîâîé ôàçå
èíãèáèðóåòñÿ
ââåäåíèåì â êîìïîçèöèþ
äîáàâîê, ðàçëàãàþùèõñÿ
ïðè ïîâûøåíèè
òåìïåðàòóðû íà
àêöåïòîðû ñâîáîäíûõ
ðàäèêàëîâ Íη;
Í·; η.  ýòèõ óñëîâèÿõ
ñêîðîñòü ðàçâèòèÿ
öåïíîé ðåàêöèè
ãîðåíèÿ ïîíèæàåòñÿ
íèæå êðèòè÷åñêîãî
çíà÷åíèÿ è ïðîöåññ
ãîðåíèÿ ïðåêðàùàåòñÿ.
Èíãèáèðîâàíèå
ãîðåíèÿ â ãàçîâîé
ôàçå.
Ýôôåêòèâíûì
ñïîñîáîì ïðåäîòâðàùåíèÿ
ãîðåíèÿ ÿâëÿåòñÿ
óìåíüøåíèå ìåñòíîé
êîíöåíòðàöèè
ãîðþ÷èõ ëåòó÷èõ
ïðîäóêòîâ òåðìè÷åñêîãî
ðàçëîæåíèÿ êîìïîíåíòîâ
äðåâåñèíû è ñíèæåíèå
êîíöåíòðàöèè
êèñëîðîäà âîçäóõà,
íåîáõîäèìîãî
äëÿ èõ ãîðåíèÿ.
Òàêîå óìåíüøåíèå
ãîðþ÷åñòè íàçûâàþò
ýôôåêòîì ñàìîçàòóõàíèÿ.
Äîñòèãàåòñÿ
îí ââåäåíèåì
â çîíó ãîðåíèÿ
ãàçîîáðàçíûõ
ïðîäóêòîâ, íå ïîääåðæèâàþùèõ
ãîðåíèÿ - îãíåãàñÿùèõ
ãàçîâ.
Ïî ýôôåêòèâíîñòè
îãíåãàñÿùåãî
äåéñòâèÿ ãàçû
ðàñïîëàãàþòñÿ
â ïîðÿäêå óìåíüøåíèÿ
èõ ýôôåêòèâíîñòè
ñëåäóþùèì îáðàçîì:
NH3, I (èëè
HI), Br (HBr), SO2, CO2, N2.
Íàèáîëåå
ýôôåêòèâåí àììèàê,
ïîýòîìó äëÿ îãíåçàùèòíîé
îáðàáîòêè äðåâåñèíû
øèðîêî ïðèìåíÿþò
ñîëè àììîíèÿ,
êîòîðûå ïðè íàãðåâàíèè
ðàçëàãàþòñÿ
ñ âûäåëåíèåì
àììèàêà.
Èíãèáèðîâàíèå
ñòàäèè òëåíèÿ.
Äëÿ ýôôåêòèâíîé
îãíåçàùèòû öåëëþëîçíûõ
ìàòåðèàëîâ òðåáóåòñÿ
íå òîëüêî èñêëþ÷åíèå
ïëàìåííîãî ãîðåíèÿ,
íî è ïðåäîòâðàùåíèå
ïîñëåäóþùåãî
òëåíèÿ, ò.å. áåñïëàìåííîãî
ãîðåíèÿ êàðáîíèçîâàííîãî
îñòàòêà, êîòîðûé
îáðàçóåòñÿ ïðè
îãíåçàùèòå â
óâåëè÷åííîì
ìàñøòàáå.
Íàèáîëåå
ýôôåêòèâíûå
èíãèáèòîðû ïðîöåññà
òëåíèÿ - ôîñôàòû.
Ïðè òåìïåðàòóðå
800...900°Ñ ôîñôàòû äåãèäðàòèðóþò
äî îêñèäà ôîñôîðà,
êîòîðàÿ îáðàçóåò
ñòåêëîâèäíûé
ðàñïëàâ è ïðåäîòâðàùàåò
äîñòóï êèñëîðîäà
â çîíó ãîðåíèÿ.
 ðåçóëüòàòå
èíãèáèðóåòñÿ
ýêçîòåðìè÷åñêèé
ïðîöåññ îêèñëåíèÿ
óãëåðîäà äî óãëåêèñëîãî
ãàçà, òåìïåðàòóðà
ïàäàåò íèæå êðèòè÷åñêîé
è ïðîöåññ òëåíèÿ
çàòóõàåò [6].
Äðåâåñèíà-ýòî
ãîðþ÷èé ìàòåðèàë.
Äëÿ çàùèòû åå
îò ãîðåíèÿ íóæíû
ñïåöèàëüíûå îãíåçàùèòíûå
ñîñòàâû-àíòèïèðåíû,
ðàçëè÷íûå ñîñòàâû
êîòîðûõ áóäóò
ðàññìîòðåíû
â ñëåäóþùèõ ãëàâàõ.
1.2 Ñóùåñòâóþùèå
îãíåçàùèòíûå
ñîñòàâû
Îãíåçàùèòå
äðåâåñèíû ïîñâÿùåíî
ìíîãî ôóíäàìåíòàëüíûõ
íàó÷íûõ òðóäîâ,
íà îñíîâàíèè
êîòîðûõ ðàçðàáîòàíû
è ôóíêöèîíèðóþò
íà ïðàêòèêå ðàçëè÷íûå
îãíåçàùèòíûå
ñðåäñòâà è ñïîñîáû
îáðàáîòêè äðåâåñèíû.
Ñåãîäíÿ èìååòñÿ
áîëüøîé âûáîð
îãíåçàùèòíûõ
ñðåäñòâ äëÿ îáðàáîòêè
äðåâåñèíû è ìàòåðèàëîâ
íà åå îñíîâå[7].
 êà÷åñòâå
ïðèìåðà òàêîãî
ñðåäñòâà ðàññìîòðèì
ðàñòâîð íà îñíîâå
áèøîôèòà, áîðíîé
êèñëîòû è áóðû.
Äëÿ ïðîïèòêè áûë
èñïîëüçîâàí
ñîñòàâ, ñîäåðæàùèé
áèøîôèò, áóðó
è áîðíóþ êèñëîòó,
ñîîòâåòñòâåííî,
â ñîîòíîøåíèè:
0,58; 0,257; 0,16, ðàçëè÷íîé
êîíöåíòðàöèè.
 ñîîòâåòñòâèè
ñ òðåáîâàíèÿìè
ÃÎÑÒ 30028.3-93 áûëè ïîëó÷åíû
îáðàçöû äðåâåñèíû
ñîñíû. Èç ïîëó÷åííûõ
ðåçóëüòàòîâ ìîæíî
ñäåëàòü âûâîä,
÷òî èññëåäîâàííûé
ñîñòàâ ïðè èñïûòàíèè
â ñîîòâåòñòâèè
ñ ÃÎÑÒ 30028.3-93 ìîæåò
îáåñïå÷èòü ïåðâûé
êëàññ îãíåçàùèùàþùåé
ñïîñîáíîñòè
áåðåçå - ïðè ïîãëîùåíèè
äðåâåñèíîé ìåíåå
30 êã/ì3 àíòèïèðåíà
(ïî ñóõîìó âåùåñòâó)
ïîòåðè ìàññû
ïðîïèòàííîãî
îáðàçöà íå ïðåâûøàþò
25%. Ïðåïàðàò ïî îãíåçàùèòíîìó
ýôôåêòó ìîæíî
îòíåñòè ê ïëàìÿãàñèòåëþ-àíòèòëèòåëþ.
Îñèíà ìîæåò áûòü
îòíåñåíà êî âòîðîìó
êëàññó - îáðàçåö
òåðÿåò 25% ìàññû
ïðè ïîãëîùåíèè
àíòèïèðåíà â
êîëè÷åñòâå, ðàâíîì
48 êã/ì3. Ñîñíà
èìååò òðåòèé
êëàññ îãíåçàùèùåííîñòè
- 25% ìàññû îáðàçöà
òåðÿåòñÿ ïðè ïîãëîùåíèè
çàùèòíîãî ñðåäñòâà
áîëåå 50 êã/ì3. Óêàçàííûå
ðàçëè÷èÿ, âåðîÿòíî,
ñâÿçàíû ñ ðàçëè÷èÿìè
â õèìè÷åñêèõ
ñîñòàâàõ è ñòðóêòóðàõ
äðåâåñèíû ñîñíû,
îñèíû è áåðåçû[8].
Òàê æå ñóùåñòâóåò
ñîñòàâ íà îñíîâå
áèøîôèòà è áîðñîäåðæàùèõ
âåùåñòâ, äëÿ ïðèäàíèå
îãíå- è áèîñòîéêîñòè
äðåâåñèíå. Èçó÷àëàñü
âîçìîæíîñòü
ñîçäàíèÿ îãíå-
è áèîñòîéêîãî
ìàòåðèàëà íà
îñíîâå äðåâåñèíû
ñ èñïîëüçîâàíèåì
äëÿ ýòîé öåëè áèøîôèòà
è áîðñîäåðæàùèõ
ñîåäèíåíèé (áîðíàÿ
êèñëîòà è òåòðàáîðàò
íàòðèÿ), êîòîðûå
â îïðåäåëåííûõ
óñëîâèÿõ ñïîñîáíû
îáðàçîâûâàòü
íåðàñòâîðèìûå
êðèñòàëëîãèäðàòû.
Ïðè ïîñëåäîâàòåëüíîé
âàêóóìíîé ïðîïèòêå
äðåâåñèíû áèøîôèòîì
è ðàñòâîðîì áóðû
áûë ïîëó÷åí ìàòåðèàë,
êîòîðîìó ïî ðåçóëüòàòàì
èñïûòàíèÿ íà
îãíåñòîéêîñòü
ïî ÃÎÑÒ 30028.3-93 ìîæåò
áûòü ïðèñâîåí
ïåðâûé êëàññ îãíåçàùèùàþùåé
ñïîñîáíîñòè
òèïà: ïëàìÿãàñèòåëü-àíòèòëèòåëü[9].
Îïðåäåëåíî,
÷òî çàùèòíûå
ñîñòàâû íà îñíîâå
ñóáåðèíà, âûäåëåííîãî
êàê ìèíåðàëüíûìè
êèñëîòàìè, òàê
è óêñóñíîêèñëûì
ðàñòâîðîì íèçêîìîëåêóëÿðíîãî
ëèãíèíà îáëàäàþò
ýôôåêòèâíûìè
îãíåçàùèòíûìè
ñâîéñòâàìè è
ïåðåâîäÿò äðåâåñèíó
â ãðóïïó òðóäíîâîñïëàìåíÿåìûõ
ìàòåðèàëîâ, à
ïðèìåíåíèå íåîðãàíè÷åñêèõ
äîáàâîê ïîâûøàåò
ýôôåêòèâíîñòü
îãíåçàùèòíûõ
ñâîéñòâ ñîñòàâîâ
íà îñíîâå ñóáåðèíà
è ïåðåâîäèò äðåâåñèíó
â ãðóïïó òðóäíîñãîðàåìûõ
ìàòåðèàëîâ[10].
Ðåàêöèåé
êðàõìàëà ñ 60% ïîëèôîñôîðíîé
êèñëîòû è ìåëàíèíà
ïðè 120° è âðåìåíè
ðåàêöèè ÝÊÂÈÂ
6 ÷àñîâ ñèíòåçèðîâàíû
âñïó÷èâàþùèåñÿ
îãíåçàùèòíûå
ñðåäñòâà, â êîòîðûõ
èñòî÷íèêîì óãëÿ
ÿâëÿåòñÿ êðàõìàë[11].
Äëÿ ïðèäàíèÿ
äåðåâÿííîìó äîìó
ïîæàðîñòîéêîñòè
íàó÷íî-ïðîèçâîäñòâåííàÿ
ôèðìà "Ëîâèí-îãíåçàùèòà"
ðàçðàáîòàëà
è îðãàíèçîâàëà
ïðîìûøëåííîå
ïðîèçâîäñòâî
âûñîêîýôôåêòèâíîãî
îãíåáèîçàùèòíîãî
ïðîïèòî÷íîãî
ñîñòàâà "ÊÑÄ-À".
Âûïóñêàåòñÿ
ñîñòàâ äâóõ ìàðîê,
ñåðòèôèöèðîâàííûõ
ñîîòâåòñòâåííî:
ìàðêà 1 - íà I ãðóïïó
ïðè ïîâåðõíîñòíîé
ïðîïèòêå ñ ðàñõîäîì
íå ìåíåå 0,4 êã/ì2
è ïðè ãëóáîêîé
ïðîïèòêå ñ ïðèâåñîì
ñóõèõ ñîëåé íå
ìåíåå 40 êã/ì3; ìàðêà
2 - íà II ãðóïïó îãíåçàùèòíîé
ýôôåêòèâíîñòè
ïðè ïîâåðõíîñòíîé
ïðîïèòêå ñ ðàñõîäîì
íå ìåíåå 0,33 êã/ì2.
 ãîòîâîé ôîðìå
ñîñòàâ ïðåäñòàâëÿåò
ñîáîé òåðìîäèíàìè÷åñêè
ñáàëàíñèðîâàííóþ
êîìïîçèöèþ àíòèïèðåíîâ,
àíòèñåïòèêîâ
è öåëåâûõ äîáàâîê
â âîäíîé ñðåäå.
Âûñîêàÿ òåõíîëîãè÷íîñòü
ñîñòàâà "ÊÑÄ-À"
ïîçâîëÿåò ïðîèçâîäèòü
êàê ïîâåðõíîñòíóþ,
òàê è ãëóáîêóþ
ïðîïèòêó äðåâåñèíû
ëþáûìè äîñòóïíûìè
ñïîñîáàìè. Ïðîïèòàííàÿ
äðåâåñèíà ïðèîáðåòàåò
íå òîëüêî âûñîêóþ
ñòåïåíü îãíåñòîéêîñòè,
íî òàêæå èìååò
íóëåâîé èíäåêñ
ðàñïðîñòðàíåíèÿ
ïëàìåíè, çíà÷èòåëüíî
ñíèæàåòñÿ åå
äûìîîáðàçóþùàÿ
ñïîñîáíîñòü
è òîêñè÷íîñòü
ïðîäóêòîâ ðàçëîæåíèÿ[12].
Îãíåçàùèòíûé
âñïó÷èâàþùèéñÿ
ñîñòàâ äëÿ ïîêðûòèÿ
äåðåâÿííûõ ïîâåðõíîñòåé,
âêëþ÷àþùèé àìèíîôîðìàëüäåãèäíóþ
ñìîëó, ôîñôàò
àììîíèÿ, ïåíòàýðèòðèò
èëè ïåíòðîë, êàîëèí,
n-òðåò-áóòèëôåíîë-ôîðìàëüäåãèäíóþ
ñìîëó è âîäó, îòëè÷àåòñÿ
òåì, ÷òî îí ñîäåðæèò
â êà÷-âå àìèíîôîðìàëüäåãèäíîé
ñìîëû âîäîðàñòâîðèìûå
ìî÷åâèíîôîðìàëüäåãèäíóþ,
èëè ìî÷åâèíîìåëàìèíîôîðìàëüäåãèäíóþ,
èëè êàðáàìèäîôîðìàëüäåãèäíóþ
ñìîëó, â êà÷åñòâå
ôîñôàòà àììîíèÿ
- àììîôîñ èëè ïîëèôîñôàò
àììîíèÿ è äîïîëíèòåëüíî
ñîäåðæèò öèàíóðàò
ìåëàìèíà èëè
äèöèàíäèàìèä
è ôòîðèä àììîíèÿ,
èëè òåòðàôòîðáîðàò
àììîíèÿ, èëè ñìåñü
ôòîðèäà àììîíèÿ
ñ áèôòîðèäîì
àììîíèÿ â ñîîòíîøåíèè
îò 1:1 äî 1:2,5, ïðè ñëåäóþùåì
ñîîòíîøåíèè
êîìïîíåíòîâ,
ìàñ. %: Âîäîðàñòâîðèìûå
ìî÷åâèíîôîðìàëüäåãèäíàÿ,
èëè ìî÷åâèíîìåëàìèíîôîðìàëüäåãèäíàÿ,
èëè êàðáàìèäîôîðìàëüäåãèäíàÿ
ñìîëà (â ïåðåñ÷åòå
íà ñóõîé îñòàòîê)
3,4-7,9; aììîôîñ èëè ïîëèôîñôàò
àììîíèÿ 10,5-26,0; ïåíòàýðèòðèò
èëè ïåíòðîë
4,8-12,0; êàîëèí 1,7-4,0; n-òðåò-áóòèëôåíîëôîðìàëüäåãèäíàÿ
ñìîëà 1,7-4,0; öèàíóðàò
ìåëàìèíà èëè
äèöèàíäèàìèä
1,8-6,1; ôòîðèä àììîíèÿ
èëè òåòðàôòîðáîðàò
àììîíèÿ èëè ñìåñü
ôòîðèäà àììîíèÿ
ñ áèôòîðèäîì
àììîíèÿ â ñîîòíîøåíèè
îò 1:1 äî 1:2,5 5,0-10,0; âîäà îñòàëüíîå.
Ñîñòàâ äîïîëíèòåëüíî
ñîäåðæèò 2,0-4,0 ìàñ.
% àñáåñòîâîãî
âîëîêíà[13].
Îãíåáèîçàùèòíûé
ïðîïèòî÷íûé ñîñòàâ,
ñîäåðæàùèé ðàñòâîðåííûå
â âîäå àíòèñåïòèê
- êðåìíåôòîðèñòûé
àììîíèé è àíòèïèðåí
íà îñíîâå ñîëè
àììîíèÿ, îòëè÷àåòñÿ
òåì, ÷òî ñîñòàâ
ñîäåðæèò ñóëüôàò
àììîíèÿ è äîïîëíèòåëüíî
íèòðîàììîôîñêó
â êà÷åñòâå àíòèïèðåíà
è äîïîëíèòåëüíî
ñîäåðæèò ñóëüôîíîë
èëè ñóëüôîíàò
â êà÷åñòâå ÏÀÂ
ïðè ñëåäóþùåì
ñîîòíîøåíèè
êîìïîíåíòîâ,
ìàñ. %: êðåìíåôòîðèñòûé
àììîíèé 2-3; ñóëüôàò
àììîíèÿ 3-5; íèòðîàììîôîñêà
20-22; ñóëüôîíîë èëè
ñóëüôîíàò 1-2; âîäà
îñòàëüíîå[14].
Îãíåçàùèòíûé
ñîñòàâ äëÿ äðåâåñèíû,
ñîäåðæàùèé áèøîôèò,
äîáàâêó è âîäó,
îòëè÷àåòñÿ òåì,
÷òî â êà÷åñòâå
äîáàâêè îí ñîäåðæèò
îðòîôîñôîðíóþ
êèñëîòó ïðè ñëåäóþùåì
ñîîòíîøåíèè
êîìïîíåíòîâ,
ìàñ.%: áèøîôèò
70-90; âîäà 10-30; îðòîôîñôîðíàÿ
êèñëîòà 0,5-3.  êà÷åñòâå
äîáàâêè îí ñîäåðæèò
ñóëüôàò àììîíèÿ
è îðòîôîñôîðíóþ
êèñëîòó ïðè ñëåäóþùåì
ñîîòíîøåíèè
êîìïîíåíòîâ,
ìàñ.%: áèøîôèò
70-90; ñóëüôàò àììîíèÿ
7-29,5; îðòîôîñôîðíàÿ
êèñëîòà 0,5-3[15].
Îãíåçàùèòíûé
ñîñòàâ äëÿ äðåâåñèíû,
âêëþ÷àþùèé â
êà÷åñòâå àíòèïèðåíà
ñóëüôàò àììîíèÿ,
îòëè÷àåòñÿ òåì,
÷òî îí ñîäåðæèò
äîïîëíèòåëüíî
â êà÷åñòâå àíòèïèðåíîâ
àììîôîñ è îðòîôîñôîðíóþ
êèñëîòó ïðè ñëåäóþùåì
ñîîòíîøåíèè
êîìïîíåíòîâ,
ìàñ.%: ñóëüôàò
àììîíèÿ 40-60; àììîôîñ
40-60; îðòîôîñôîðíàÿ
êèñëîòà 0,5-3[16].
Ñëåäóþùåå
èçîáðåòåíèå
îòíîñèòñÿ ê îáëàñòè
áèî- è îãíåçàùèòû
èçäåëèé èç äðåâåñèíû.
Òåõíè÷åñêàÿ
çàäà÷à, ðåøàåìàÿ
èçîáðåòåíèåì
- ñîçäàíèå ñîñòàâà,
îáëàäàþùåãî
ïîâûøåííîé ýôôåêòèâíîñòüþ
çàùèòû äðåâåñèíû
îò âîçãîðàíèÿ
è áèîïîâðåæäåíèé,
äëèòåëüíîé æèâó÷åñòüþ.
Ñîñòàâ èçãîòàâëèâàåòñÿ
èç äèàëêèëôîñôèòà
è îðã. ïîëÿðíîãî
ñîåäèíåíèÿ, âçÿòûõ
â ýêâèìîëåêóëÿðíîì
ñîîòíîøåíèè.
Íîâûì â ñîñòàâå
ÿâëÿåòñÿ òî, ÷òî
îí ïðåäñòàâëÿåò
ñîáîé ñìåñü ïðîäóêòîâ
ðåàêöèè äèàëêèëôîñôèòà
îáùåé ôîðìóëû
I, ãäå R, R' - àëêèë ñ Ñ1-Ñ4
ñ îäíèì èç ñîåäèíåíèé
êëàññà àìèíîâ
(îáùåé ôîðìóëû
RR'NH, ãäå R - àòîì âîäîðîäà
èëè àëêèë ñ Ñ1-Ñ7,
R' - àëêèë ñ Ñ1-Ñ7),
äâóõîñíîâíûõ
êàðáîíîâûõ êèñëîò
(îáùåé ôîðìóëû
HOOCRCOOH, ãäå R - àëêèë èëè
àëêåíèë ñ Ñ1-Ñ4),
àìèäîâ îäíîîñíîâíûõ
êàðáîíîâûõ êèñëîò
(îáùåé ôîðìóëû
RCONR'R", ãäå R, R', R" - àòîì
âîäîðîäà, àëêèë
èëè àëêåíèë ñ
Ñ1-Ñ4) èëè êàðáàìèäîì[17].
Îãíåáèîçàùèòíûé
ñîñòàâ äëÿ îáðàáîòêè
äðåâåñèíû, âêëþ÷àþùèé
ñîëü ìåäè è õëîðèä
àììîíèÿ, îòëè÷àþùèéñÿ
òåì, ÷òî îí ñîäåðæèò
êîìïëåêñîîáðàçóþùèé
ïîëèìåðíûé àìèí,
ñåðíîêèñëûé,
èëè õëîðèñòûé,
èëè àçîòíîêèñëûé
öèíê, ñåðíîêèñëîå
æåëåçî â âèäå
ðàñòâîðèìîãî
è ÷àñòè÷íî íåðàñòâîðèìîãî
êîìïëåêñíîãî
ñîåäèíåíèÿ ñ
ïîëèìåðíûì àìèíîì
è ñóëüôîñàëèöèëîâîé
êèñëîòîé, à ñîëü
ìåäè è õëîðèä
àììîíèÿ - â âèäå
îòõîäîâ îòðàáîòàííîãî
ùåëî÷íîãî òðàâèòåëÿ
ïå÷àòíûõ ïëàò,
ñîäåðæàùåãî äâóõëîðèñòîé
äâóõâîäíîé ìåäè
20-22 ìàñ.%, 10-17 ìàñ.% õëîðèäà
àììîíèÿ, îñòàëüíîå
- âîäà, ïðè ñëåäóþùåì
ñîîòíîøåíèè
êîìïîíåíòîâ,
ìàñ.%: êîìïëåêñîîáðàçóþùèé
ïîëèìåðíûé àìèí
3-6; ñåðíîêèñëûé,
èëè õëîðèñòûé,
èëè àçîòíîêèñëûé
öèíê 0,4-0,5; ñåðíîêèñëîå
æåëåçî 5-6; ñóëüôîñàëèöèëîâàÿ
êèñëîòà 0,1-0,15; óêàçàííûé
îòðàáîòàííûé
ùåëî÷íîé òðàâèòåëü
ïå÷àòíûõ ïëàò
4-5; âîäíûé àììèàê
3-5; âîäà îñòàëüíîå.
Ñîñòàâ ïî ï. 1, îòëè÷àþùèéñÿ
òåì, ÷òî â êà÷åñòâå
êîìïëåêñîîáðàçóþùåãî
ïîëèìåðíîãî àìèíà
îí ñîäåðæèò N, N,
N", N"-òåòðàêèñ-(2-ãèäðîêñèëïðîïèë)-ýòèëåíäèàìèí
è N,N",N"-òðèñ(2-ãèäðîêñèïðîïèë)-ýòèëåíäèàìèí,
èëè N,N-áèñ(2-ãèäðîêñèïðîïèë)ýòèëåí-äèàìèí,
èëè N{"}-(2-ãèäðîêñèïðîïèë)ýòèëåíäèàìèí,
èëè äèíàòðèåâóþ
ñîëü ýòèëåíäèàìèíòåòðàóêñóñíîé
êèñëîòû, èëè òðèýòàíîëàìèí,
èëè ïîëèýòèëåíïîëèàìèí,
èëè äèýòàíîëàìèí[18].
"ÂèÌ-1". Ñîñòàâ
äëÿ îãíå- è áèîçàùèòû
äðåâåñíûõ ìàòåðèàëîâ
íà îñíîâå ôîñôîðñîäåðæàùåãî
îðãàíè÷åñêîãî
àíòèïèðåíà îòëè÷àåòñÿ
òåì, ÷òî, ñ öåëüþ
ïîâûøåíèÿ êà÷åñòâà
îãíå- è áèîçàùèòû,
îí ñîäåðæèò ñìåñü
ïðîäóêòîâ ðåàêöèè
ïðè ò-ðå 90°C: äèìåòèëôîñôèò
C2H7PO3 30-40 ìàñ. äîë.
ìî÷åâèíà N2H4CO
20-30 ìàñ. äîë. èëè ãëèöåðèí
C3H8O3 20-30 ìàñ. äîë.
àììèàê NH4OH, ðàñòâîðåííûé
â õèìè÷åñêè àêòèâíîé
êèñëîé âîäå 28%
20-30 ìàñ. äîë. ðÍ 5,8-6,4.
"ÂèÌ-2". Ñîñòàâ
äëÿ îãíå- è áèîçàùèòû
äðåâåñíûõ ìàòåðèàëîâ
íà îñíîâå ôîñôîðñîäåðæàùåãî
îðãàíè÷åñêîãî
àíòèïèðåíà îòëè÷àåòñÿ
òåì, ÷òî, ñ öåëüþ
ïîâûøåíèÿ êà÷åñòâà
îãíå- è áèîçàùèòû,
îí ñîäåðæèò ñìåñü
ïðîäóêòîâ ñîñòàâà
"ÂèÌ-1" ñ çàãóñòèòåëÿìè
- âîäîðàñòâîðèìûìè
ñìîëàìè â ñîîòíîøåíèè:
ñîñòàâ "ÂèÌ-1"
90 ìàñ. äîë., çàãóñòèòåëü
10 ìàñ. äîë. ðî=1,4. "ÂèÌ-3".
Ñîñòàâ äëÿ îãíå-
è áèîçàùèòû
äðåâåñíûõ ìàòåðèàëîâ
íà îñíîâå ôîñôîðñîäåðæàùåãî
îðãàíè÷åñêîãî
àíòèïèðåíà, îòëè÷àåòñÿ
òåì, ÷òî ñ öåëüþ
ïîâûøåíèÿ êà÷åñòâà
îãíå- è áèîçàùèòû,
îí ñîäåðæèò ñìåñü
ïðîäóêòîâ ðåàêöèè
ïðè òåìïåðàòóðå
140°C: äèìåòèëôîñôèò
C2H7PO3 25 ìàñ. äîë.,
îêèñëèòåëÿ H2O
5 ìàñ. äîë. ðÍ 4,0-5,0, 10% ðàñòâîð
àììèàêà NH4OH 70 ìàñ.
äîë. â õèìè÷åñêè
àêòèâíîé ùåëî÷íîé
âîäå ðÍ 10,0-11,0, ðÍ ãîòîâîãî
ñîñòàâà 7,0[19].
Ñîñòàâ äëÿ
îãíå- è áèîçàùèòû
äðåâåñèíû, ñîäåðæàùèé
äèìåòèëôîñôèò
è äèìåòèëôîðìàìèä,
îòëè÷àþùèéñÿ
òåì, ÷òî îí äîïîëíèòåëüíî
ñîäåðæèò êðàõìàë,
îðòîôîñôîðíóþ
êèñëîòó, àìèëîâûé
ñïèðò, ìàëåèíîâóþ
êèñëîòó, ýòèëåíãëèêîëü
è âîäó ïðè ñëåäóþùåì
ñîîòíîøåíèè
êîìïîíåíòîâ,
ìàñ.%: êðàõìàë
4,13-5,0; îðòîôîñôîðíàÿ
êèñëîòà 18,36-20,0; àìèëîâûé
ñïèðò 2,0-3,0; äèìåòèëôîñôèò
23,58-24,08; äèìåòèëôîðìàìèä
15,07-16,03; ìàëåèíîâàÿ
êèñëîòà 4,15-5,04; ýòèëåíãëèêîëü
15,67-18,0; âîäà îñòàëüíîå[20].
Äàëåå îòäåëüíîé
ãëàâîé áóäóò
ðàññìîòðåíû
àçîò-ôîñôîðñîäåðæàùèå
àíòèïèðåíû, êîòîðûå
íåïîñðåäñòâåííî
îòíîñÿòñÿ ê òåìå
äàííîé äèïëîìíîé
ðàáîòû.
1.3 Àçîò-ôîñôîðñîäåðæàùèå àíòèïèðåíû äëÿ äðåâåñèíû
 íàñòîÿùåå
âðåìÿ ïðè ðàçðàáîòêå
îãíåçàùèòíûõ
ñðåäñòâ ÷àùå
âñåãî ó÷èòûâàåòñÿ
òîëüêî îäèí ïîêàçàòåëü
ïîæàðíîé îïàñíîñòè
- ãîðþ÷åñòü.
Äëÿ îãíåçàùèòû
÷àùå âñåãî èñïîëüçóþò
ñîñòàâ, êîìïîíåíòû
êîòîðîãî êîìïëåêñíî
ïðåïÿòñòâóþò
ãîðåíèþ:
â òâåðäîé
ôàçå, èçìåíÿÿ
ïðîöåññ ðàçëîæåíèÿ
öåëëþëîçíîãî
ìàòåðèàëà;
â ãàçîâîé
ôàçå, ïðåïÿòñòâóÿ
îêèñëåíèþ ïðîäóêòîâ
ðàçëîæåíèÿ.
Íàèáîëåå
ýôôåêòèâíûìè
ñ òî÷êè çðåíèÿ
îáåñïå÷åíèÿ
îãíåçàùèòû â
òâåðäîé ôàçå
è ïðè òëåíèè ÿâëÿþòñÿ
ôîñôîðñîäåðæàùèå
ñîåäèíåíèÿ ñïîñîáíûå
ïðè íàãðåâàíèè
ðàçëàãàòüñÿ
ñ îáðàçîâàíèåì
ôîñôîðíîé êèñëîòû.
Íàëè÷èå ôîñôîðíîé
êèñëîòû èçìåíÿåò
îòíîøåíèå ÑÎ/ÑÎ2
â íàïðàâëåíèè
èíãèáèðîâàíèÿ
ïðÿìîãî îêèñëåíèÿ
óãëåðîäà â ÑÎ2,
ñíèæàÿ â çíà÷èòåëüíîé
ìåðå ýêçîòåðìè÷åñêèé
ýôôåêò ïðîöåññà.
Íåîðãàíè÷åñêèå
ôîñôàòû - ñîåäèíåíèÿ,
ïîäàâëÿþùèå ïðîöåññ
òëåíèÿ öåëëþëîçû.
Ôîñôîðíàÿ êèñëîòà
íà÷èíàåò îáåçâîæèâàòüñÿ
ïðè 213îÑ, ïðåâðàùàÿñü
â ïèðîôîñôàòíóþ
êèñëîòó Í4Ð2Î7,
êîòîðàÿ ìåäëåííî
ïðè 800îÑ ïåðåõîäèò
â ìåòàôîñôîðíóþ
ÍÐ2Î3, òàêèì
îáðàçîì, óêàçàííûå
ñîåäèíåíèÿ íå
óëåòó÷èâàþòñÿ
ïðè òåìïåðàòóðå
àêòèâíîãî òëåíèÿ
(500… 700îÑ). Ïîä âëèÿíèåì
ââåäåííîãî â
öåëëþëîçîñîäåðæàùèå
ìàòåðèàëû ôîñôîðà
èçìåíÿåòñÿ ìåõàíèçì
èõ òåðìîðàñïàäà.
Ïðåâðàùåíèÿ öåëëþëîçû
â ïðèñóòñòâèè
ôîñôîðà õàðàêòåðèçóþòñÿ
áîëåå íèçêîòåìïåðàòóðíûì
íà÷àëîì äåñòðóêöèè,
óâåëè÷åíèåì
âûõîäîâ óãëÿ è
âîäû ïðè ìåíüøåì
âûäåëåíèè ëåòó÷èõ
ïðîäóêòîâ ðàñïàäà,
â òîì ÷èñëå ãîðþ÷èõ
(îêñèä óãëåðîäà,
ëåâîãëþêîçàí
è äð.). Àíòèïèðåííûé
ýôôåêò ôîñôîðíîé
êèñëîòû ïî îòíîøåíèþ
ê äðåâåñíîìó
êîìïëåêñó îáóñëîâëåí
â îñíîâíîì ðåçêèì
èçìåíåíèåì ìåõàíèçìà
òåðìè÷åñêèõ
ïðåâðàùåíèé óãëåâîäíîé
÷àñòè äðåâåñíîãî
êîìïëåêñà. Îíà
êàòàëèçèðóåò
ðåàêöèþ äåãèäðàòàöèè
öåëëþëîçû. Â ðåçóëüòàòå
ýòîãî ñíèæàåòñÿ
ýôôåêòèâíàÿ
ýíåðãèÿ àêòèâàöèè
ïðîöåññà äåãèäðàòàöèè,
ïîíèæàåòñÿ òåìïåðàòóðà
åå íà÷àëà, óâåëè÷èâàþòñÿ
ñêîðîñòü îáðàçîâàíèÿ
è êîëè÷åñòâî
âûäåëÿþùåéñÿ
âîäû [5,21- 24].
Ïðè ñîâìåñòíîì
èñïîëüçîâàíèè
àçîò è ôîñôîðñîäåðæàùèõ
ñîåäèíåíèé íàáëþäàåòñÿ
ñèíåðãè÷åñêèé
ýôôåêò â äîñòèæåíèè
öåëåé îãíåçàùèòû,
ò.å. äåéñòâèå ïîäîáíûõ
ñîñòàâîâ âûøå
íåæåëè ýôôåêòèâíîñòü
ñîñòàâîâ â êîòîðûõ
èñïîëüçóþòñÿ
òîëüêî ôîñôîð
èëè òîëüêî àçîòñîäåðæàùèå
ñîåäèíåíèÿ. Ñèíåðãèçì
ñèñòåìû àçîò-ôîñôîð
îáúÿñíÿþò îáðàçîâàíèåì
â ïðîöåññå òåðìè÷åñêîãî
ðàçëîæåíèÿ ñâÿçåé
P-N,
îáëåã÷àþùèõ
ôîñôîðèëèðîâàíèå
è óñèëèâàþùèõ
äåéñòâèå àíòèïèðåíîâ
êàê êàòàëèçàòîðîâ
äåãèäðàòàöèè
[5, 25].
Ñîñòàâ äëÿ
îãíå- è áèîçàùèòû
äðåâåñèíû íà
îñíîâå ôîñôîðñîäåðæàùåãî
è àçîòñîäåðæàùåãî
îðãàíè÷åñêîãî
àíòèïèðåíà, ñîäåðæàùåãî
ñìåñü ïðîäóêòîâ
ðåàêöèè ýêâèìîëÿðíûõ
êîëè÷åñòâ ôîñôîðèëèðóþùåãî
àãåíòà ñ êàðáàìèäîì,
îòëè÷àåòñÿ òåì,
÷òî â êà÷åñòâå
ôîñôîðèëèðóþùåãî
àãåíòà ïðèìåíÿþò
ôîñôîðèñòóþ
êèñëîòó, ïðè÷åì
íåîáõîäèìóþ
âÿçêîñòü ñîñòàâà
ïîëó÷àþò äîáàâëåíèåì
â íåãî âîäû. Ñîñòàâ
äîïîëíèòåëüíî
ñîäåðæèò 0,1-0,5 ìàñ.%
ïîâåðõíîñòíî-àêòèâíîãî
âåùåñòâà íåèîíîãåííîãî
òèïà[26].
Ñóùåñòâåííûì
íåäîñòàòêîì
ñîñòàâîâ ñîäåðæàùèõ
àçîò è ôîñôîð
ÿâëÿåòñÿ òî, ÷òî
îíè ñïîñîáñòâóþò
âûùåëà÷èâàíèþ
íèçêîìîëåêóëÿðíîé
÷àñòè è îáåñöâå÷èâàíèþ
äðåâåñèíû. Ýòî
ïðåïÿòñòâóåò
èñïîëüçîâàíèþ
åå â êà÷åñòâå
äåêîðàòèâíîãî
ìàòåðèàëà [5, 23].
Äëÿ óñòðàíåíèÿ
ýòîãî íåäîñòàòêà
íåîáõîäèìî èñïîëüçîâàòü
êîìïëåêñíûå îãíåçàùèòíûå
ñîñòàâû, â êà÷åñòâå
êîòîðûõ â íàñòîÿùåå
âðåìÿ áîëüøîå
ðàñïðîñòðàíåíèå
ïîëó÷èëè ìíîãîêîìïîíåíòíûå
ñèñòåìû. Äàííûå
ñîñòàâû íàðÿäó
ñ êàòàëèçàòîðîì
äåãèäðàòàöèè
è êàðáîíèçàöèè
îðãàíè÷åñêîé
ñîñòàâëÿþùåé
äðåâåñèíû (ôîñôîðñîäåðæàùèå
ñîåäèíåíèÿ), è
ãàçîîáðàçîâàòåëÿ
(àçîòñîäåðæàùèå
ñîåäèíåíèÿ) ñîäåðæàò
ïîëèìåðíóþ ïëåíêîîáðàçóþùóþ
îñíîâó [5,27,28].
Ïðåèìóùåñòâîì
ïîäîáíûõ êîìïëåêñíûõ
ñèñòåì ÿâëÿåòñÿ
èõ ñïîñîáíîñòü
èç îòíîñèòåëüíî
òîíêîãî ïîêðûòèÿ,
ïðè âîçäåéñòâèè
âûñîêîé òåìïåðàòóðû
îáðàçîâûâàòü
çàùèòíûé âñïó÷åííûé
ñëîé ïðåäîòâðàùàþùèé
äîñòóï îãíÿ ê
ïîâåðõíîñòè
çàùèùàåìîãî
ìàòåðèàëà, è çàìåäëÿþùèé
åãî ïðîãðåâ. Â
1948 ã. áûë çàïàòåíòîâàí
ñïîñîá îãíåçàùèòû
öåëëþëîçíûõ òêàíåé
íà îñíîâå êîìïîçèöèè,
ñîñòîÿùåé èç
îðòîôîñôîðíîé
êèñëîòû è êàðáàìèäà.
Ñïîñîá ïîçâîëÿåò
ñ ïîìîùüþ òåðìè÷åñêîãî
âîçäåéñòâèÿ
ïðè òåìïåðàòóðå
175îÑ ïðîâåñòè
ðåàêöèþ ýòåðèôèêàöèè
10-15% ãðóïï ÎÍ öåëëþëîçû
è ïîëó÷èòü ñòîéêóþ
ê ñòèðêàì îãíåçàùèùåííóþ
öåëëþëîçó. Â ïîñëåäóþùåì
êàðáàìèä áûë
çàìåíåí íà öèàíàìèä
è äèöèàíäèàìèä
[30].
 äîêëàäå
[5,31] ïðîâîäèòñÿ ñðàâíèòåëüíàÿ
îöåíêà òðåõ àçîò-ôîñôîðñîäåðæàùèõ
àíòèïèðåíîâ
äëÿ öåëëþëîçíûõ
ìàòåðèàëîâ (ÎÑÒÌ-2000,
Ïèðîâàòåêñ, Ò-2).
Ïî ðåçóëüòàòàì
ïðîâåäåííûõ ýêñïåðèìåíòîâ
íàèëó÷øèå ðåçóëüòàòû
ïðîÿâèë îãíåçàùèòíûé
ñîñòàâ «ÎÑÒÌ-2000»,
îí îáëàäàåò íàèëó÷øèì
îãíåçàùèòíûìè
ñâîéñòâàìè, ïðè
âîçäåéñòâèè
èñòî÷íèêà âîñïëàìåíåíèÿ
èìååò íàèìåíüøóþ
ïëîùàäü îáóãëåííîãî
ó÷àñòêà, íå óõóäøàÿ
ïðî÷íîñòíûå
ïîêàçàòåëè ìàòåðèàëà.
Ïîäîáíûå âîäíûå
ðàñòâîðû è ñåé÷àñ
øèðîêî èñïîëüçóþòñÿ
ïðè ïîëó÷åíèè
îãíåçàùèòíûõ
ñðåäñòâ äëÿ äðåâåñèíû,
ïðèìåðîì òàêîãî
ñîñòàâà ÿâëÿåòñÿ
ÎÇÑ «Òåðìèíóñ-11»
ðàçðàáîòàííûé
íà êàôåäðå òåõíîëîãèè
ïåðåðàáîòêè ïëàñòè÷åñêèõ
ìàññ Óðàëüñêîãî
ãîñóäàðñòâåííîãî
ëåñîòåõíè÷åñêîãî
óíèâåðñèòåòà
(ÓÃËÒÓ) ñîâìåñòíî
ñ ÇÀÎ ÒÄ «Óðàëïðîìñåðâèñ».
Îãíåáèîçàùèòíûé
ñîñòàâ «Òåðìèíóñ-11»
ïðåäñòàâëÿåò
èç ñåáÿ âîäíûé
ðàñòâîð êàðáàìèäà,
àçîò- ôîñôîðñîäåðæàùèõ
ñîåäèíåíèé îðãàíè÷åñêîé
è íåîðãàíè÷åñêîé
ïðèðîäû è áèîöèäíûõ
äîáàâîê [3,5,32,33]. Òàêæå
áûëè ñîçäàíû
îãíåçàùèòíûå
ñîñòàâû Òåðìèíóñ
11, 12, 13, 14. Ôèçèêî-õèìè÷åñêèå
ïîêàçàòåëè ñîñòàâîâ
ïðèâåäåíû â òàáëèöå
1.1. Îãíåçàùèòíûå
ñîñòàâû Òåðìèíóñ
11, 12, 13, 14 áûëè ñåðòèôèöèðîâàíû
ïî ÍÏÁ 251-98 ÃÓ ÃÎ×Ñ
Ñâåðäëîâñêîé
îáëàñòè, ðåçóëüòàòû
ñåðòèôèêàöèîííûõ
èñïûòàíèé ïðèâåäåíû
â òàáëèöå 1.2.
Òàáëèöà
1.1- Ôèçèêî-õèìè÷åñêèå
ïîêàçàòåëè îãíåçàùèòíûõ
ñîñòàâîâ
|
Ïîêàçàòåëü
|
Òåðìèíóñ-11
|
Òåðìèíóñ-12
|
Òåðìèíóñ-13
|
Òåðìèíóñ-14
|
|
Âíåøíèé
âèä
|
Ïðîçðà÷íàÿ
áåñöâåòíàÿ èëè
îêðàøåííàÿ â
ñâåòëî-êîðè÷íåâûé
öâåò æèäêîñòü
|
Ïðîçðà÷íàÿ
æèäêîñòü îò ñâåòëî-êîðè÷íåâîãî
äî òåìíî-êîðè÷íåâîãî
öâåòà
|
Ïðîçðà÷íàÿ
áåñöâåòíàÿ èëè
ñëàáîîêðàøåííàÿ
æèäêîñòü
|
Ïðîçðà÷íàÿ
áåñöâåòíàÿ èëè
îêðàøåííàÿ â
æåëòûå öâåòà
æèäêîñòü
|
|
Ïëîòíîñòü,
ã/ñì3
|
1,19
- 1,22
|
1,19
- 1,22
|
1,05
- 1,15
|
1,19
- 1,22
|
|
Óñëîâíàÿ
âÿçêîñòü ïî âèñêîç.
ÂÇ-246 ñ ñîïëîì 4 ìì
ïðè òåìï. (20±2) îÑ,
ñ
|
12
- 15
|
12
- 15
|
12
- 15
|
12
- 15
|
|
ðÍ
ðàñòâîðà
|
6,5
- 7,5
|
6,5
- 7,5
|
2
- 3
|
1
- 2
|
Òàáëèöà
1.2- Ðåçóëüòàòû ñåðòèôèêàöèîííûõ
èñïûòàíèé â ëàáîðàòîðèè
ÃÓ ÃÎ×Ñ Ñâåðäëîâñêîé
îáëàñòè
|
Ñîñòàâ
|
Ðàñõîä
ñîñòàâà äëÿ ãðóïïû
îãíåçàùèòíîé
ýôôåêòèâíîñòè,
ã/ì2
|
|
I
ãðóïïà
|
II
ãðóïïà
|
|
Òåðìèíóñ-11
|
350
|
75
|
|
Òåðìèíóñ-12
|
350
|
75
|
|
Òåðìèíóñ-13
|
150
|
75
|
|
Òåðìèíóñ-14
|
100
|
75
|
Êàê âèäíî
èç ïðèâåäåííûõ
äàííûõ, ñîñòàâû
ìàðêè ÒÅÐÌÈÍÓÑ®
èìåþò âûñîêóþ
îãíåçàùèòíóþ
ýôôåêòèâíîñòü
ïðè íèçêîì ðàñõîäå.
Ðàñõîä ñîñòàâîâ
Òåðìèíóñ-11 è 12 äëÿ
ïîëó÷åíèÿ I
ãðóïïû
îãíåçàùèòíîé
ýôôåêòèâíîñòè
ñîñòàâëÿåò 350 ã/ì2,
÷òî ñðàâíèìî
ñ ðàñõîäîì íàèáîëåå
ýôôåêòèâíûõ
èçâåñòíûõ îãíåçàùèòíûõ
ñîñòàâîâ. Äëÿ
ïîëó÷åíèÿ I
ãðóïïû
îãíåçàùèòíîé
ýôôåêòèâíîñòè
äîñòàòî÷íî 2-3
êðàòíîé îáðàáîòêè
ñ ïðîìåæóòî÷íîé
åñòåñòâåííîé
ñóøêîé ñëîåâ
â òå÷åíèå 4-6 ÷.
Òåðìèíóñ-13
îòíîñèòñÿ ê ãðóïïå
îðãàíîðàñòâîðèìûõ
îãíåçàùèòíûõ
ñîñòàâîâ è ñîäåðæèò
îðãàíè÷åñêèé
ðàñòâîðèòåëü.
Êàê ñëåäñòâèå,
îñîáåííîñòüþ
ñîñòàâà ÿâëÿåòñÿ
åãî âûñîêàÿ âîäîñòîéêîñòü,
÷òî ïîçâîëÿåò
ïðèìåíÿòü äëÿ
çàùèòû äðåâåñèíû,
ýêñïëóàòèðóåìîé
â óñëîâèÿõ âûñîêîé
âëàæíîñòè.
Óíèêàëüíûì
ïî ðàñõîäó äëÿ
I ãðóïïû
îãíåçàùèòíîé
ýôôåêòèâíîñòè
(100 ã/ì2) ÿâëÿåòñÿ
Òåðìèíóñ-14[3].
Ïåðâîé ðàáîòîé
îáîáùèâøåé äîñòèæåíèÿ
â îáëàñòè ïîëó÷åíèÿ
âñïó÷èâàþùèõñÿ
îãíåçàùèòíûõ
ïîêðûòèé ïî äðåâåñèíå,
ïîæàëóé, ìîæíî
íàçâàòü ñòàòüÿ
îïóáëèêîâàííîé
â 1971 ãîäó â æóðíàëå
«J. Fire&Flammability»
[5,34].
Ïåðâîå êîììåð÷åñêîå
ïðèìåíåíèå âñïó÷èâàþùèõñÿ
àçîò- ôîñôîðñîäåðæàùèõ
îãíåçàùèòíûõ
ñèñòåì ìîæíî
îòíåñòè ê 1938 êîãäà
ïîÿâèëñÿ ïàòåíò
ÑØÀ [5,35] â êîòîðîì
îïèñûâàëîñü ïîêðûòèå
ïîëó÷àåìîå êîíäåíñàöèåé:
27,5% äèàììîíèéôîñôàòà,
35% äèöèàíäèàìèäà,
37.5% ôîðìàëüäåãèäà.
 ïàòåíòå çàÿâëÿëîñü,
÷òî ïðè íàãðåâàíèè
ïîêðûòèå âñïó÷èâàåòñÿ
è îáðàçóåò îáóãëåííûé
ñëîé.
Íàèáîëåå
èçâåñòíûìè è
ïðèìåíÿþùèìèñÿ
â ïðîìûøëåííûõ
ìàñøòàáàõ îãíåçàùèòíûìè
ñðåäñòâàìè, ñïîñîáíûìè
îáðàçîâûâàòü
âñïó÷åííûé ñëîé,
äëÿ äðåâåñèíû
è äðåâåñíûõ êîìïîçèöèîííûõ
ìàòåðèàëîâ ÿâëÿþòñÿ
ïîëèàìèäîôîñôàòû
ïîëó÷àåìûå êîíäåíñàöèåé
îðòîôîñôîðíîé
êèñëîòû è êàðáàìèäà.
Òàê íàïðèìåð
ñîñòàâ ÊÌ [5,36] ïîëó÷àåìûé
ðåàêöèåé êîíäåíñàöèè
îðòîôîñôîðíîé
êèñëîòû ñ êàðáàìèäîì
îñóùåñòâëÿåòñÿ
â áåçâîäíîé ñðåäå
è ïðîòåêàåò ñ
îáðàçîâàíèåì
ïîëèàìèäîôîñôàòîâ
ïî ñõåìå:
ãäå: Õ - ãðóïïû:
-Í; -NH4;
-CO; -NH2.
Ñîîòíîøåíèå
îðòîôîñôîðíîé
êèñëîòû è êàðáàìèäà
ñîñòàâëÿåò
1:1,5. Êîíäåíñàöèþ
ïðîâîäÿò â ðàñïëàâå
êàðáàìèäà ïðè
òåìïåðàòóðå ïëàâëåíèÿ
135-140îÑ. Ïåðâîíà÷àëüíî
ââîäÿò 55-70% êàðáàìèäà,
ïîñëå ÷åãî àíòèïèðåí
îõëàæäàþò è äîáàâëÿþò
îñòàâøèéñÿ êàðáàìèä.
Äëÿ ïîëó÷åíèÿ
ðàáî÷åãî ðàñòâîðà
ñîñòàâ ðàçáàâëÿþò
äî êîíöåíòðàöèè
50-55%.
Îãíåçàùèòíîå
äåéñòâèå îãíåçàùèòíîãî
ñîñòàâà ÊÌ ïðîÿâëÿåòñÿ
â òâåðäîé ôàçå,
îíî ñîïðîâîæäàåòñÿ
ñíèæåíèåì âûõîäà
ëåòó÷èõ ïðîäóêòîâ
è óâåëè÷åíèåì
âûõîäà óãîëüíîãî
îñòàòêà çà ñ÷åò
äåãèäðàòèðóþùåãî
äåéñòâèÿ ôîñôîðíîé
êèñëîòû, îáðàçóþùèéñÿ
ïðè ðàçëîæåíèè
ïîëèàìèäîôîñôàòîâ
ïîä äåéñòâèåì
âûñîêèõ òåìïåðàòóð.
Ïðè ðàçëîæåíèè
àçîòñîäåðæàùåé
÷àñòè âûäåëÿþòñÿ
îãíåãàñÿùèå
ãàçû - àììèàê
è àçîò. Ýôôåêòèâíîñòü
îãíåçàùèòíîãî
äåéñòâèÿ ïðîäóêòà
ÊÌ ìîæíî ïîâûñèòü
ââåäåíèåì â ñèñòåìó
«ôîñôîð-àçîò» ñèíåðãè÷åñêè
äåéñòâóþùåãî
ãàëîãåíñîäåðæàùåãî
ñîåäèíåíèÿ, íàïðèìåð,
õëîðèäà àììîíèÿ.
Îäíèì èç
íàèáîëåå ýôôåêòèâíûõ
ñîñòàâîâ íà îñíîâå
ïîëèàìèäîôîñôàòîâ
ÿâëÿåòñÿ îãíåçàùèòíûé
ñîñòàâ ïîä óñëîâíûì
íàçâàíèåì ÔÌÄ.
Ñîñòàâ èìååò
âûñîêóþ ýôôåêòèâíîñòü
è íå óõóäøàåò
ïðî÷íîñòü ïëèò.
Ñóùåñòâåííûå
åãî íåäîñòàòêè
- ñîäåðæàíèå â
ñîñòàâå òîêñè÷íîãî
è äåôèöèòíîãî
ïðîäóêòà - äèöèàíäèàìèäà.
Êðîìå òîãî, ïðè
äëèòåëüíîì õðàíåíèè
ðàáî÷åãî ðàñòâîðà
íàáëþäàåòñÿ
ÿâëåíèå êðèñòàëëèçàöèè.
Èç âîäîðàñòâîðèìûõ
îãíåçàùèòíûõ
ñðåäñòâ äëÿ äðåâåñíûõ
ïëèò ñëåäóåò
îòìåòèòü ðàçðàáàòûâàåìûé
êàôåäðîé òåõíîëîãèè
ïåðåðàáîòêè ïëàñòè÷åñêèõ
ìàññ Óðàëüñêîãî
ãîñóäàðñòâåííîãî
ëåñîòåõíè÷åñêîãî
óíèâåðñèòåòà
íîâûé êëàññ îãíåçàùèòíûõ
ñîñòàâîâ íà îñíîâå
àììîíèéíûõ ñîëåé
ìîíî- è ïîëèìåòèëåíôîñôîíîâûõ
êèñëîò [5,37-39].
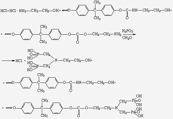
Àìèíî- è
ïîëèàìèíîìåòèëåíôîñôîíàòû
àììîíèÿ ïîëó÷àþò
êîíäåíñàöèåé
àìèíîâ (ýòèëåíàìèí,
ãåêñàìåòèëåíäèàìèí,
ýòèëåíäèàìèí)
èëè ïîëèàìèíîâ
(ïîëèýòèëåíïîëèàìèí
ÏÝÏÀ) ñ ôîðìàëüäåãèäîì
è ôîñôîðèñòîé
êèñëîòîé ïî ñõåìå:
Ñîëÿíàÿ
êèñëîòà ÿâëÿåòñÿ
êàòàëèçàòîðîì.
Ïîñëå êîíäåíñàöèè
ïî ïåðâîé ðåàêöèè
ìàññó íåéòðàëèçóþò
âîäíûì ðàñòâîðîì
àììèàêà äî ðÍ=5-6,
ïîëó÷àÿ ãîòîâûé
îãíåçàùèòíûé
ñîñòàâ ñ ñîäåðæàíèåì
ñóõèõ âåùåñòâ
35-50%. Îñíîâíûå îãíåçàùèòíûå
êîìïîíåíòû - àìèíîôîñôîíàòû
àììîíèÿ è õëîðèä
àììîíèÿ, ñîëè
ôîñôîðíîé è ôîñôîðèñòîé
êèñëîòû â íåáîëüøèõ
êîëè÷åñòâàõ.
Èç ýòîãî
êëàññà îãíåçàùèòíûõ
ñîñòàâîâ äî ïðîìûøëåííîãî
ïðîèçâîäñòâà
äîâåäåíû îãíåçàùèòíûå
ñîñòàâû ïîä íàçâàíèåì
Àìèôîë [5,40] è Àììàôîí
[5,41].
Òåõíîëîãèÿ
ïðîèçâîäñòâà
ýòèõ îãíåçàùèòíûõ
ñðåäñòâ çàêëþ÷àåòñÿ
â íåéòðàëèçàöèè
îòõîäà ïðîèçâîäñòâà
ÍÒÔ (íèòðèëîòðèìåòèëåíôîñôîíîâîé
êèñëîòû) - ìàòî÷íèêà
- âîäíûì ðàñòâîðîì
àììèàêà äî ðÍ=6-7.
Ìàòî÷íèê ÍÒÔ
ñîäåðæèò ñìåñü
àìèíîìåòèëåíôîñôîíîâûõ
êèñëîò è õëîðèä
âîäîðîäà. Åñëè
íåéòðàëèçîâàòü
åãî âîäíûì ðàñòâîðîì
àììèàêà, òî ïîëó÷àåòñÿ
âîäíûé ðàñòâîð,
ñîäåðæàùèé àìèíîìåòèëåíôîñôîíàòû
àììîíèÿ è õëîðèä
àììîíèÿ.
Ñõåìà ðåàêöèè:
ãäå n
= 0 ÷
2
Âñå êîìïîíåíòû
îáëàäàþò îãíåçàùèòíûì
äåéñòâèåì. Ñîäåðæàíèå
ñóõèõ âåùåñòâ
ñîñòàâëÿåò
35-40%. Ðàñõîä ñîñòàâà
â äðåâåñíûõ ïëèòàõ
âñåãî 5-7%.
 êàðáàìèäíî-ôîðìàëüäåãèäíûõ
ñìîëàõ îðòîôîñôîðíàÿ
êèñëîòà ïðè òåðìè÷åñêèõ
ïðåâðàùåíèÿõ
âçàèìîäåéñòâóåò
ïî àìèäíûì ñâÿçÿì
[5,42], äàâàÿ ïðîäóêòû
N-ôîñôîëèðîâàíèÿ,
êîòîðûå òåðÿÿ
âîäó, àçîò è óãëåêèñëûé
ãàç, îáðàçóþò
ïåíîêîêñ.
Âÿçêèé ðàñïëàâ
ïîëèàìèäîôîñôàòîâ
ñïîñîáñòâóåò
ôîðìèðîâàíèþ
âñïåíåííîãî
êàðáîíèçîâàííîãî
ñëîÿ è ïîäàâëÿåò
òåðìîîêèñëåíèå
ïåíîêîêñîâ, çà
ñ÷åò ÷åãî óñèëèâàåòñÿ
ýôôåêò îãíåçàùèòû.
Íåóäîáñòâî
ïðèìåíåíèÿ ãîòîâîé
îãíåçàùèòíîé
ìî÷åâèíîôîðìàëüäåãèäíîé
ñìîëû, ñâÿçàííîå
ñî ñêëîííîñòüþ
åå ê çàòâåðäåâàíèþ,
ñïîñîáñòâîâàëî
ðàçðàáîòêå ñîñòàâîâ,
ñîñòîÿùèõ èç
äâóõ ÷àñòåé (ðàçäåëüíûå
ñîñòàâû): ïîðîøêîîáðàçíîé
è æèäêîé, ñìåøèâàåìûõ
â îïðåäåëåííûõ
ñîîòíîøåíèÿõ
ïåðåä óïîòðåáëåíèåì.
 ðÿäå ñòðàí
ïîäîáíûå îãíåçàùèòíûå
ñîñòàâû íà îñíîâå
êàðáàìèäîôîðìàëüäåãèäíûõ
ñìîë âûïóñêàëèñü
â ïðîìûøëåííîì
ìàñøòàáå[5,23]. Ïîëó÷åííûé
îãíåçàùèòíûé
ñîñòàâ (ÎÇÑ) îáåñïå÷èâàåò
âûñîêóþ ýôôåêòèâíîñòü,
óæå ïðè ðàñõîäå
ñâûøå 100 ã/ì2 ïîòåðÿ
ìàññû íå ïðåâûøàåò
20% ïðè èñïûòàíèè
ïî ìåòîäó îãíåâîé
òðóáû.
Òàêèì îáðàçîì
â ðåàëüíûõ óñëîâèÿõ
ïîæàðà íà ïîâåðõíîñòè
îáðàáîòàííîé
äðåâåñèíû ïðîèñõîäèò
îáðàçîâàíèå
êàðáîíèçèðîâàííîãî
ñëîÿ ïðè òåìïåðàòóðàõ
äàëåêèõ îò òåìïåðàòóðû
ñàìîïðîèçâîëüíîãî
âîñïëàìåíåíèÿ
äðåâåñèíû, êàê
èçâåñòíî ïðîöåññ
ãîðåíèÿ äðåâåñèíû
ÿâëÿåòñÿ àâòîêàòàëèòè÷åñêèì,
òåì ñàìûì ñîçäàâàÿ
íà ïîâåðõíîñòè
ìåõàíè÷åñêèé
áàðüåð ïðåïÿòñòâóþùèé
ïðÿìîìó âîçäåéñòâèþ
ïëàìåíè íà äðåâåñèíó
è äîñòóïó êèñëîðîäà
âîçäóõà ê íåïîâðåæäåííûì
ñëîÿì äðåâåñèíû,
êðîìå òîãî îáðàçîâàâøèéñÿ
íà ïîâåðõíîñòè
äðåâåñèíû íåãîðþ÷èé
îáóãëåííûé ñëîé,
ñîâìåñòíî ñî
âñïó÷åííûì ñëîåì
îëèãîìåðà, çàìåäëÿþò
ãëóáîêèé ïðîãðåâ
äðåâåñèíû. Èç
âûøå ñêàçàííîãî
ìîæíî ñäåëàòü
âûâîä, ÷òî ïðåäñòàâëåííûé
îëèãîìåð ÿâëÿåòñÿ
ýôôåêòèâíûì
èíãèáèòîðîì
ãîðåíèÿ äðåâåñèíû
â òâåðäîé ôàçå[43].
Íà îñíîâå
ìî÷åâèíî-ôîðìàëüäåãèäíîãî
îëèãîìåðà èçãîòàâëèâàþò
îãíåçàùèòíóþ
êðàñêó ÌÔ-Ê, ñîñòîÿùóþ
èç òâåðäîé è æèäêîé
÷àñòåé. Òâåðäóþ
ñóõóþ ÷àñòü êðàñêè
ïðèãîòîâëÿþò
êîíäåíñàöèåé,
% ìàñ.: ìîíîàììîíèéôîñôàò
- 61,2; ìî÷åâèíà - 24,6; Ôîðìàëèí
- 14,2.
Æèäêàÿ ÷àñòü
ïîëó÷àåòñÿ êîíäåíñàöèåé,
% ìàñ.: ìî÷åâèíû
- 12,1, äèöèàíäèàìèäà
- 12, ôîðìàëèíà 75,8.
Ñìåøåíèå
ñóõîé è æèäêîé
÷àñòåé êðàñêè
ÌÔ-Ê ïðîèçâîäèòñÿ
ïåðåä åå óïîòðåáëåíèåì.
Íà 200ã ïîðîøêà áåðåòñÿ
80 ã. æèäêîé ÷àñòè
è 65-70 ã âîäû. Æèäêóþ
÷àñòü ñíà÷àëà
ðàçáàâëÿþò âîäîé,
à çàòåì âëèâàþò
ïðè ïåðåìåøèâàíèè
â ïîðîøîê, ïîñëå
÷åãî êðàñêà ãîòîâà
ê óïîòðåáëåíèþ
[5,44].
Ïðè ñîâìåùåíèè
ìî÷åâèíîôîðìàëüäåãèäíîãî
îëèãîìåðà è ìîíîìåðà
ÔÀ ðàçðàçðàáîòàíà
êðàñêà ÔÀÌ [5,45]. Â
ìîíîìåð ÔÀ ââîäèòñÿ
ñóõîé êàðáàìèäíûé
îëèãîìåð, à çàòåì
äîáàâëÿþò àöåòîíîâûé
ðàñòâîð áåíçîëñóëüôîêèñëîòû.
Ñóõîé êàðáàìèäíûé
îëèãîìåð ïîëó÷àåòñÿ
ïîëèêîíäåíñàöèåé
ìî÷åâèíû (18,5%), ôîðìàëèíà
30%-íîãî (35,7%) è ìîíîàììîíèéôîñôàòà
(45,8%). Ïîñëå ïåðåìåøèâàíèÿ
êîìïîíåíòîâ
êðàñêè ñîñòàâ
âûäåðæèâàþò 8
- 10 ÷.
Òàêèì îáðàçîì,
àíàëèç ëèòåðàòóðíûõ
äàííûõ ïîêàçûâàåò
ïåðñïåêòèâíîñòü
ðàçðàáîòêè è
ïðèìåíåíèÿ â
êà÷åñòâå îãíåçàùèòíûõ
ñðåäñòâ äëÿ äðåâåñèíû
è äðåâåñíûõ êîìïîçèöèîííûõ
ìàòåðèàëîâ àçîò-ôîñôîðñîäåðæàùèõ
ñîåäèíåíèé[2].
Öåëüþ äàííîé
ðàáîòû ÿâëÿåòñÿ
ïîëó÷åíèå è èññëåäîâàíèå
ñâîéñòâ àçîò-ôîñôîðñîäåðæàùèõ
îãíåçàùèòíûõ
ñîñòàâîâ íà îñíîâå
ïðîäóêòîâ àìèíîëèçà
âòîðè÷íîãî ïîëèêàðáîíàòà.
2. Ýêñïåðèìåíòàëüíàÿ ÷àñòü
.1 Õàðàêòåðèñòèêà
èñõîäíûõ âåùåñòâ
è ìàòåðèàëîâ Ôîñôîðèñòàÿ
êèñëîòà
Ôîñôîðèñòàÿ
êèñëîòà (Í3ÐÎ3)
ïðåäñòàâëÿåò
ñîáîé ðàñïëû-âàþùèåñÿ
êðèñòàëëû áåëîãî
öâåòà êèñëîòû
ïðåäñòàâëåíû
â òàáëèöå 2.1.
Òàáëèöà
2.1-Ôèçèêî-õèìè÷åñêèå
ïîêàçàòåëè ôîñôîðèñòîé
êèñëîòû
|
Íàèìåíîâàíèå
ïîêàçàòåëåé
|
Íîðìû
|
|
Ìîëåêóëÿðíàÿ
ìàññà
|
81,99
|
|
Ïëîòíîñòü,
êã/ì3
|
1,651
|
|
Òåìïåðàòóðà
ïëàâëåíèÿ, °Ñ
|
73,6
|
|
Òåìïåðàòóðà
êèïåíèÿ, °Ñ, íå
áîëåå
|
|
Ðàñòâîðèìîñòü
â âîäå, ã/100 ã
|
694
|
Ôîðìàëèí
Ôîðìàëèí
(ÑÍ2Î) - âîäíûé
ðàñòâîð ôîðìàëüäåãèäà
(îáû÷íî 37-40%-íûé),
ñîäåðæàùèé 6-15% ìåòàíîëà
(èíãèáèòîð ïîëèìåðèçàöèè
ôîðìàëüäåãèäà).
Ôîðìàëèí - áåñöâåòíàÿ
æèäêîñòü ñ õàðàêòåðíûì
îñòðûì çàïàõîì,
ïðè ñòîÿíèè ìóòíååò
èç-çà âûïàäåíèÿ
áåëîãî îñàäêà
ïàðàôîðìàëüäåãèäà.
Óñòîé÷èâîñòè
ïðè õðàíåíèè
ñïîñîáñòâóåò
ïîâûøåíèå òåìïåðàòóðû.
Ôîðìàëèí - èñòî÷íèê
ôîðìàëüäåãèäà,
äåçèíôèöèðóþùåå
è äåçîäîðèðóþùåå
ñðåäñòâî, åãî
èñïîëüçóþò äëÿ
ñîõðàíåíèÿ àíàòîìè÷åñêèõ
ïðåïàðàòîâ, äóáëåíèÿ
êîæ, äëÿ áàëüçàìèðîâàíèÿ.
Òàáëèöà
2.2-Ôèçèêî-õèìè÷åñêèå
ïîêàçàòåëè ôîðìàëèíà
|
Íàèìåíîâàíèå
ïîêàçàòåëåé
|
Íîðìû
|
|
Ñîäåðæàíèå
ôîðìàëüäåãèäà
|
33,3
|
|
Ïëîòíîñòü,
êã/ì3
|
1,1109-1,0764
(18 °Ñ)
|
|
ðÍ
|
2,8-4,0
|
|
Ïîêàçàòåëü
ïðåëîìëåíèÿ
|
1,3766-1,3776
|
Àììèàê,
âîäíûé ðàñòâîð
Âîäíûé ðàñòâîð
àììèàêà ïðåäñòàâëÿåò
ñîáîé áåñöâåòíóþ
æèäêîñòü ëåã÷å
âîäû ñ õàðàêòåðíûì
çàïàõîì àììèàêà
è ñèëüíîùåëî÷íîé
ðåàêöèåé. Ïðè íàãðåâàíèè
äî êèïåíèÿ âåñü
àììèàê âûäåëÿåòñÿ
â âèäå ãàçà.
Ïî ÃÎÑÒ
3760-47 âîäíûé ðàñòâîð
àììèàêà ÷.ä.à.
äîëæåí ñîäåðæàòü
îò 25 äî 27 % NH3.
Íàèáîëüøåå
êîëè÷åñòâî äîïóñòèìûõ
ïðèìåñåé (%) â NH4OH
÷.ä.à.:
Îñòàòîê ïîñëå
ïðîêàëèâàíèÿ
0,003
Óãëåêèñëûå
ñîëè 0,002
Õëîðèäû
0,0001
Ñåðà îáùàÿ
(â ïåðåñ÷åòå íà
SO4)
0,0003
Òÿæåëûå
ìåòàëëû ñåðîâîäîðîäíîé
ãðóïïû 0,0001
Æåëåçî
0,00002
Ìàãíèé
0,0001
2.2 Ìåòîäû
èññëåäîâàíèÿ
è ðàñ÷åòîâ
.2.1 Õàðàêòåðèñòèêà
ïðèáîðîâ è îáîðóäîâàíèÿ
Ïèïåòêà
íå ãðàäóèðîâàííàÿ
Îáúåì, ìë
-10
Ñåêóíäîìåð
ïðåäíàçíà÷åí
äëÿ èçìåðåíèÿ
âðåìåíè.
Ïðåäåë èçìåðåíèÿ,
ìèí - 60
Öåíà äåëåíèÿ,
ñ - 0,2
Âåñû òåõíè÷åñêèå
ìàðêè ÂËÒÝ-2100 èñïîëüçóþòñÿ
äëÿ âçâåøèâàíèÿ.
Ïðåäåë èçìåðåíèÿ,
êã - 2,1
Ïîãðåøíîñòü,
ã - 0,01
Øêàô ñóøèëüíûé
ñ òåðìîðåãóëèðîâàíèåì
ïðîèçâîäñòâà
ÏÐÍ ìàðêè
SPT-200
Ïðåäåë èçìåðåíèÿ,
°Ñ - 0-250
Öåíà äåëåíèÿ,
°Ñ- 0,5
Øòàíãåíöèðêóëü
ñ öåíîé äåëåíèÿ
0,05 ìì
Áþêñû ñòåêëÿííûå
ñ êðûøêîé
Óñòàíîâêà
äëÿ ñæèãàíèÿ
îáðàçöîâ (ñïèðòîâêà,
çåðêàëî, øòàòèâ
è ò.ä.)
2.2.2 Ìåòîäèêè
ïðîâåäåíèÿ ýêñïåðèìåíòà
2.2.2.1 Îïðåäåëåíèå
ìàññîâîé äîëè
ñóõîãî îñòàòêà
Ìàòåðèàëû:
ïðîäóêòû ôîñôîðèëèðîâàíèÿ
ìàòî÷íèêîâ, àíòèïèðåíû.
Îáîðóäîâàíèå,
ïîñóäà è ðåàêòèâû:
· ñòåêëÿííûé
áþêñ äëÿ âçÿòèÿ
íàâåñêè;
· âåñû
ëàáîðàòîðíûå
îáùåãî íàçíà÷åíèÿ
2-ãî êëàññà òî÷íîñòè
ïî ÃÎÑÒ 24104 ñ íàèáîëüøèì
ïðåäåëîì âçâåøèâàíèÿ
200 ã;
· øêàô
ñóøèëüíûé ñ òåðìîðåãóëÿòîðîì,
ïîääåðæèâàþùèì
òåìïåðàòóðó
(105 ± 2)°Ñ;
· ýêñèêàòîð
ïî ÃÎÑÒ 25336;
• êàëüöèé
õëîðèñòûé êðèñòàëëè÷åñêèé
ïî ÃÎÑÒ 450.
Õîä îïðåäåëåíèÿ.
Ñòàêàí÷èê
ñ êðûøêîé (áþêñ),
âûñóøåííûé äî
ïîñòîÿííîé ìàññû
ïðè (105 ± 2)°Ñ, âçâåøèâàþò.
 ñòåêëÿííûé
áþêñ, âçâåøåííûé
ñ ïîãðåøíîñòüþ
íå áîëåå 0,0002 ã, ïîìåùàþò
1-2 ã èññëåäóåìîãî
ìàòåðèàëà è âçâåøèâàþò
ñ òîé æå ïîãðåøíîñòüþ.
Áþêñû ñ âåùåñòâîì
ñòàâÿò â ñóøèëüíûé
øêàô, íàãðåòûé
äî (105 ± 2)°Ñ, è ñóøàò
ïðè ýòîé òåìïåðàòóðå.
Êîëè÷åñòâî
ñòàêàí÷èêîâ,
ïîìåùàåìûõ â
øêàô, íå äîëæíî
áûòü áîëåå âîñüìè,
à âðåìÿ çàãðóçêè
èõ â øêàô íå äîëæíî
ïðåâûøàòü 1 ìèí.
Îáðàçöû âûäåðæèâàþò
â òåðìîøêàôó
äî ïîñòîÿííîé
ìàññû áþêñà.
Ñòàêàí÷èêè
âûíèìàþò èç òåðìîøêàôà,
ïîìåùàþò íå ìåíåå
÷åì íà 45 ìèí â ýêñèêàòîð
ñ ïðîêàëåííûì
õëîðèñòûì êàëüöèåì,
äàëåå âûíèìàþò
è âçâåøèâàþò
ñ ïîãðåøíîñòüþ
íå áîëåå 0,0002 ã.
Îáðàáîòêà
ðåçóëüòàòîâ.
Ìàññîâóþ
äîëþ ñóõîãî îñòàòêà
X â
ïðîöåíòàõ îïðåäåëÿþò
ïî ôîðìóëå:
Õ = (m-m1)/(m2-m1)
* 100,
ãäå m
- ìàññà áþêñà
ñ íàâåñêîé ïîñëå
ñóøêè, ã;
m1
- ìàññà áþêñà,
ã;
m2
- ìàññà áþêñà
ñ íàâåñêîé äî
ñóøêè, ã.
Çà ðåçóëüòàò
èñïûòàíèÿ ïðèíèìàþò
ñðåäíåå àðèôìåòè÷åñêîå
äâóõ ïàðàëëåëüíûõ
îïðåäåëåíèé, äîïóñòèìîå
ðàñõîæäåíèå
ìåæäó êîòîðûìè
íå äîëæíî ïðåâûøàòü
0,8%, è çàïèñûâàþò
ñ òî÷íîñòüþ äî
äåñÿòûõ äîëåé
ïðîöåíòà.
2.2.2.2 Îïðåäåëåíèå
ðÍ
Îïðåäåëåíèå
ðÍ îñóùåñòâëÿþò
ðÍ-ìåòðîì èëè
ñ ïîìîùüþ èíäèêàòîðíîé
áóìàãè.
2.2.2.3 Îïðåäåëåíèå
ïëîòíîñòè
 ÷èñòûé
öèëèíäð íàëèâàþò
èññëåäóåìîå
âåùåñòâî ïðèáëèçèòåëüíî
íà 1/2-2/3 îáúåìà öèëèíäðà.
Îïóñêàþò ñóõîé
è ÷èñòûé àðåîìåòð.
Îæèäàþò 2-3 ìèíóòû
è îïðåäåëÿþò çíà÷åíèå
ïëîòíîñòè ïî
äåëåíèþ øêàëû
íà àðåîìåòðå,
ïðîòèâ êîòîðîãî
óñòàíîâèòñÿ
âåðõíèé ìåíèñê.
2.2.2.4 Íàíåñåíèå
îãíåçàùèòíîãî
ïîêðûòèÿ
Èñïûòàíèÿ
ïðîâîäèëè íà îáðàçöàõ,
èçãîòîâëåííûõ
èç ïðÿìîñëîéíîé
âîçäóøíî-ñóõîé
äðåâåñèíû ñîñíû
ñ ïëîòíîñòüþ
0,45-0,55 ã/ñì3. Îáðàçöû
äðåâåñèíû èìåþò
ðàçìåðû 100x35x 5 ìì. Îáðàáîòêà
äðåâåñèíû îãíåçàùèòíûìè
ïîêðûòèÿìè ïðîèçâîäèëàñü
êèñòüþ. Íà âçâåøåííûå
îáðàçöû íàíîñèëîñü
îãíåçàùèòíîå
ïîêðûòèå ñ ðàçíûì
ðàñõîäîì. Çàòåì
äàâàëè âûñîõíóòü
èì äî ïîñòîÿííîé
âëàæíîñòè â òå÷åíèå
ñóòîê.
2.2.2.5 Èñïûòàíèÿ
îáðàçöîâ äðåâåñèíû
â óñòàíîâêå «Îãíåâàÿ
òðóáà»
Ìåòîä çàêëþ÷àåòñÿ
â îïðåäåëåíèè
ïîòåðè ìàññû
îáðàçöà è âðåìåíè
ñàìîñòîÿòåëüíîãî
ãîðåíèÿ ïðè åãî
èñïûòàíèè â òðóáå
ïëàìåíåì ñïèðòîâîé
ãîðåëêè.
Èñïûòàíèÿ
ïðîâîäÿò â âûòÿæíîì
øêàôó ïðè åñòåñòâåííîé
òÿãå â óñòàíîâêå
äëÿ îãíåâûõ èñïûòàíèé
(ðèñ.2.1). Îáðàçöû äëÿ
èñïûòàíèé èç
äðåâåñèíû ñîñíû
áåç äåôåêòîâ,
ðàçìåðû îáðàçöîâ
100x35x 5 ìì. Îáðàçåö ïîäâåøèâàåòñÿ
íà êðþ÷îê ïðèáîðà,
è êðþ÷îê çàêðåïëÿåòñÿ
íà øòàòèâå òàê,
÷òîáû íèæíèé
êðàé îáðàçöà
âûõîäèë èç íèæíåãî
êîíöà òðóáû íà
ðàññòîÿíèå 5 ìì,
à ðàññòîÿíèå
ìåæäó íèæíèì
êîíöîì îáðàçöà
è ñðåçîì ôèòèëÿ
ñïèðòîâêè ñîñòàâëÿëî
òàêæå 5 ìì. Íåîáõîäèìî
ñëåäèòü, ÷òîáû
îáðàçåö ðàñïîëàãàëñÿ
ïî öåíòðó òðóáû
è íå êàñàëñÿ åå
ñòåíîê.
Ïîñëå ýòîãî
çàæèãàþò ñïèðòîâêó
è ðåãóëèðóþò
åå òàê, ÷òîáû âûñîòà
ïëàìåíè áûëà
40-50 ìì (çàæèãàíèå
è ðåãóëèðîâàíèå
ñïèðòîâêè ïðîèçâîäÿò
âíå ïðèáîðà). Çàææåííóþ
ñïèðòîâêó ïîìåùàþò
íà øòàòèâå òàê,
÷òîáû
íèæíèé êðàé
îáðàçöà íàõîäèëñÿ
â ïëàìåíè, ïðè÷åì
ïëàìÿ ñïèðòîâêè
äîëæíî áûòü ïî
öåíòðàëüíîé îñè
îáðàçöà, è âêëþ÷àþò
ñåêóíäîìåð.
Îáðàçåö
âûäåðæèâàþò â
ïëàìåíè ñïèðòîâêè
2 ìèí, ïîñëå ÷åãî
ñïèðòîâêó óáèðàþò
(ïëàìÿ çàãàñèòü
êîëïà÷êîì), ïîä
îáðàçåö ñòàâÿò
âçâåøåííóþ ÷àøêó
Ïåòðè, è îñìàòðèâàþò
îáðàçåö â òðóáå
ñ ïîìîùüþ çåðêàëà,
êîòîðîå óñòàíàâëèâàþò
ñíèçó òàê, ÷òîáû
â íåãî áûë âèäåí
âåñü îáðàçåö â
òðóáå.
Åñëè ïëàìåííîå
ãîðåíèå îáðàçöà
îòñóòñòâóåò
(âðåìÿ ñàìîñòîÿòåëüíîãî
ãîðåíèÿ ðàâíî
0) - ñåêóíäîìåð âûêëþ÷àþò,
íåñãîðåâøèå
îñòàòêè îáðàçöà
îñòîðîæíî âûíèìàþò
èç òðóáû è óêëàäûâàþò
íà ÷àøêó Ïåòðè.
Ïîñëå îñòûâàíèÿ
÷àøêó Ïåòðè ñ
íåñãîðåâøèì
îñòàòêîì âçâåøèâàþò.
Ðèñóíîê
2.1 - Ñõåìà óñòàíîâêè
äëÿ îãíåâûõ èñïûòàíèé:
1 - ìåòàëëè÷åñêèé
êðþ÷îê äëÿ êðåïëåíèÿ
îáðàçöà;
2 - ìåòàëëè÷åñêàÿ
èëè êåðàìè÷åñêàÿ
òðóáà; 3 - îáðàçåö;
4 - çåðêàëî;
5 - ñïèðòîâêà; 6 - øòàòèâ.
Åñëè ïîñëå
óäàëåíèÿ ñïèðòîâêè
îáðàçåö ïðîäîëæàåò
ãîðåòü ñàìîñòîÿòåëüíî
(íà îáðàçöå íàáëþäàþòñÿ
ÿçûêè ïëàìåíè)
- íàáëþäàþò çà
îáðàçöîì (èñ÷åçíîâåíèåì
íà îáðàçöå ÿçûêîâ
ïëàìåíè) âûêëþ÷àþò
ñåêóíäîìåð è
îòìå÷àþò ïðîäîëæèòåëüíîñòü
èñïûòàíèÿ â ñåêóíäàõ
(tècï).
Ðàññ÷èòûâàþò
âðåìÿ ñàìîñòîÿòåëüíîãî
ãîðåíèÿ (tc.ã
ñ) ïî ôîðìóëå:
tc.ã
= tècï - 120
Íåñãîðåâøèå
îñòàòêè îáðàçöà
îñòîðîæíî âûíèìàþò
èç òðóáû è óêëàäûâàþò
íà ÷àøêó Ïåòðè.
Ïîñëå îñòûâàíèÿ
÷àøêó Ïåòðè ñ
íåñãîðåâøèì
îñòàòêîì âçâåøèâàþò.
Ïîòåðþ ìàññû
îáðàçöà äðåâåñèíû
ïðè ãîðåíèè (∆m,
%) âû÷èñëÿþò ïî
ôîðìóëå:
∆m = (m1-m2)/(m1-m0)
* 100,
ãäå m1- ìàññà
÷àøêè ñ îáðàçöîì
äðåâåñèíû äî ñæèãàíèÿ,
ã;
m2
- ìàññà ÷àøêè
ñ îáðàçöîì äðåâåñèíû
ïîñëå ñæèãàíèÿ,
ã;
m0
- ìàññà ÷àøêè,
ã.
Ðåçóëüòàò
îêðóãëÿþò äî äåñÿòè÷íîãî
çíà÷åíèÿ.
Òàêèì îáðàçîì,
èñïûòûâàþò âñå
4 îáðàçöà, îáðàáîòàííûõ
îãíåçàùèòíûì
ñîñòàâîì. Ñðåäíþþ
ïîòåðþ ìàññû
îáðàçöîâ îïðåäåëÿþò
êàê ñðåäíåå àðèôìåòè÷åñêîå
èç çíà÷åíèé
ïîòåðè ìàññû,
ïîëó÷åííûõ â
ðåçóëüòàòå èñïûòàíèé
âñåõ ÷åòûðåõ
îáðàçöîâ. Â òàáëèöå
2.3 ïðåäñòàâëåíû
ðåçóëüòàòû îáðàáîòêè
îáðàçöîâ äðåâåñèíû
îãíåçàùèòíûìè
ñîñòàâàìè íà
îñíîâå ïðîäóêòîâ
àìèíîëèçà ïîëèêàðáîíàòà
ìîíîýòàíîëàìèíîì
ïðè ðàçëè÷íîì
ñîäåðæàíèè ÌÝÀ.
 òàáëèöå 2.4 ïðåäñòàâëåíû
ðåçóëüòàòû èñïûòàíèé
íà óñòàíîâêå
îãíåâàÿ òðóáà
îáðàáîòàííûõ
îáðàçöîâ äðåâåñèíû
îãíåçàùèòíûìè
ñîñòàâàìè íà
îñíîâå ïðîäóêòîâ
àìèíîëèçà ïîëèêàðáîíàòà
ìîíîýòàíîëàìèíîì
ïðè ðàçëè÷íîì
ñîäåðæàíèè ÌÝÀ.
 òàáëèöå 2.5 ïðåäñòàâëåíû
ðåçóëüòàòû îáðàáîòêè
îáðàçöîâ äðåâåñèíû
îãíåçàùèòíûìè
ñîñòàâàìè íà
îñíîâå ïðîäóêòîâ
àìèíîëèçà ïîëèêàðáîíàòà
ýòèëåíäèàìèíîì
ïðè ðàçëè÷íîì
ñîäåðæàíèè ÝÄÀ.
 òàáëèöå 2.6 ïðåäñòàâëåíû
ðåçóëüòàòû èñïûòàíèé
íà óñòàíîâêå
îãíåâàÿ òðóáà
îáðàáîòàííûõ
îáðàçöîâ äðåâåñèíû
îãíåçàùèòíûìè
ñîñòàâàìè íà
îñíîâå ïðîäóêòîâ
àìèíîëèçà ïîëèêàðáîíàòà
ýòèëåíäèàìèíîì
ïðè ðàçëè÷íîì
ñîäåðæàíèè ÝÄÀ.
 òàáëèöå 2.7 ïðåäñòàâëåíû
ðåçóëüòàòû îáðàáîòêè
îáðàçöîâ äðåâåñèíû
îãíåçàùèòíûìè
ñîñòàâàìè íà
îñíîâå ïðîäóêòîâ
àìèíîëèçà ïîëèêàðáîíàòà
äèýòàíîëàìèíîì
ïðè ðàçëè÷íîì
ñîäåðæàíèè ÄÝÀ.
 òàáëèöå 2.8 ïðåäñòàâëåíû
ðåçóëüòàòû èñïûòàíèé
íà óñòàíîâêå
îãíåâàÿ òðóáà
îáðàáîòàííûõ
îáðàçöîâ äðåâåñèíû
îãíåçàùèòíûìè
ñîñòàâàìè íà
îñíîâå ïðîäóêòîâ
àìèíîëèçà ïîëèêàðáîíàòà
äèýòàíîëàìèíîì
ïðè ðàçëè÷íîì
ñîäåðæàíèè ÄÝÀ.
 òàáëèöå 2.9 ïðåäñòàâëåíû
ðåçóëüòàòû îáðàáîòêè
îáðàçöîâ äðåâåñèíû
îãíåçàùèòíûì
ñîñòàâîì íà îñíîâå
ïðîäóêòîâ àìèíîëèçà
ïîëèêàðáîíàòà
ìîíîýòàíîëàìèíîì
(áàëàíñîâûé îïûò).
 òàáëèöå 2.10 ïðåäñòàâëåíû
ðåçóëüòàòû èñïûòàíèé
íà óñòàíîâêå
îãíåâàÿ òðóáà
îáðàáîòàííûõ
îáðàçöîâ äðåâåñèíû
îãíåçàùèòíûì
ñîñòàâîì íà îñíîâå
ïðîäóêòîâ àìèíîëèçà
ïîëèêàðáîíàòà
ìîíîýòàíîëàìèíîì
(áàëàíñîâûé îïûò).
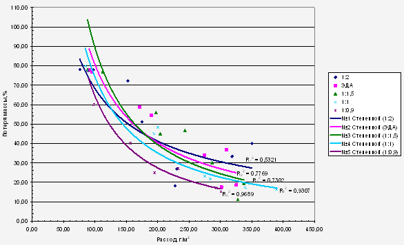
Òàáëèöà
2.3 - Ðåçóëüòàòû îáðàáîòêè
îáðàçöîâ ñîñíû
îãíåçàùèòíûìè
ñîñòàâàìè íà
îñíîâå ïðîäóêòîâ
àìèíîëèçà ïîëèêàðáîíàòà
ìîíîýòàíîëàìèíîì
ïðè ðàçëè÷íîì
ñîäåðæàíèè ÌÝÀ
|
¹
îïû-òà, ÎÇÑ íà
îñíîâå ÏÊ: Àìèí
|
Èñõîäíûé
îáðàçåö äðåâåñèíû
ñîñíû
|
1-é
ñëîé
|
2-é
ñëîé
|
3-é
ñëîé
|
4-é
ñëîé
|
Îáùèé
ðàñõîä, ã/ì2
|
|
¹
îáðàçöà
|
Ðàçìåðû,
ìì
|
S, ì2
|
Ìàññà
ÎÇÑ, ã
|
Ìàññà
ÎÇÑ, ã
|
Ìàññà
ÎÇÑ, ã
|
Ìàññà
ÎÇÑ, ã
|
|
|
|
Äëèíà
à, ìì
|
øèðèíà
â, ìì
|
òîëùèíà
h, ìì
|
|
|
|
|
|
|
|
Îïûò
¹14
ÌÝÀ
|
1
|
100,25
|
35,6
|
5,1
|
0,00852
|
0,815
|
*
|
*
|
*
|
95,62
|
|
2
|
99,85
|
35,65
|
5,1
|
0,00850
|
0,873
|
*
|
*
|
*
|
102,69
|
|
3
|
99,8
|
35,65
|
5,05
|
0,00848
|
0,735
|
0,545
|
*
|
*
|
150,88
|
|
4
|
99,8
|
35,6
|
4,6
|
0,00835
|
0,629
|
0,758
|
*
|
*
|
166,08
|
|
5
|
100,25
|
35,65
|
5,1
|
0,00853
|
0,78
|
0,883
|
0,746
|
*
|
282,28
|
|
6
|
99,75
|
35,65
|
5
|
0,00847
|
0,737
|
0,627
|
0,632
|
*
|
235,76
|
|
7
|
100,6
|
35,6
|
4,85
|
0,00848
|
0,658
|
0,587
|
0,704
|
0,507
|
289,49
|
|
8
|
98,9
|
35,65
|
5,1
|
0,00842
|
0,789
|
0,69
|
0,592
|
0,615
|
318,85
|
|
Îïûò
¹4 1:2
|
1
|
100
|
36
|
4,4
|
0,00840
|
0,95
|
*
|
*
|
*
|
113,14
|
|
2
|
99,5
|
35,4
|
4,4
|
0,00823
|
0,915
|
*
|
*
|
*
|
111,16
|
|
3
|
100,2
|
35,3
|
4,8
|
0,00837
|
1,143
|
0,826
|
*
|
*
|
235,11
|
|
4
|
100,5
|
35,3
|
4,65
|
0,00836
|
0,995
|
0,914
|
*
|
*
|
228,40
|
|
5
|
99,55
|
35,45
|
4,65
|
0,00831
|
0,882
|
0,895
|
0,642
|
*
|
290,97
|
|
6
|
99,2
|
35,4
|
4,3
|
0,00818
|
0,978
|
0,748
|
0,748
|
*
|
302,41
|
|
7
|
100,5
|
35,15
|
4,45
|
0,00827
|
1,381
|
0,915
|
0,608
|
0,672
|
432,28
|
|
8
|
99,55
|
35,3
|
4,65
|
0,00828
|
0,988
|
0,997
|
0,737
|
0,717
|
415,22
|
|
Îïûò
¹15
1:1,5
|
1
|
98,6
|
35,5
|
4
|
0,00807
|
0,829
|
*
|
*
|
*
|
102,68
|
|
2
|
99,55
|
35,55
|
4,8
|
0,00837
|
0,795
|
*
|
*
|
*
|
94,93
|
|
3
|
100
|
35,55
|
4,5
|
0,00833
|
0,67
|
0,593
|
*
|
*
|
151,62
|
|
4
|
99,85
|
35,55
|
4,65
|
0,00836
|
0,955
|
0,856
|
*
|
*
|
216,66
|
|
5
|
99,75
|
35,5
|
4,8
|
0,00838
|
0,978
|
0,654
|
0,539
|
*
|
259,05
|
|
6
|
100,25
|
35,5
|
4,75
|
0,00841
|
0,767
|
0,766
|
0,63
|
*
|
257,27
|
|
7
|
100
|
35,55
|
4,45
|
0,00832
|
0,838
|
0,641
|
0,575
|
0,486
|
305,42
|
|
8
|
99,85
|
35,45
|
4,7
|
0,00835
|
0,648
|
0,662
|
0,482
|
261,76
|
|
Îïûò
¹15
1:1
|
1
|
100,15
|
35,5
|
5,25
|
0,00853
|
0,928
|
*
|
*
|
*
|
108,73
|
|
2
|
100,5
|
35,5
|
4,7
|
0,00841
|
1,488
|
*
|
*
|
*
|
176,85
|
|
3
|
100
|
35,6
|
4,9
|
0,00845
|
0,925
|
0,999
|
*
|
*
|
227,72
|
|
4
|
100,5
|
35,5
|
4,4
|
0,00833
|
1,097
|
1,06
|
*
|
*
|
258,87
|
|
5
|
99,6
|
35,5
|
4,8
|
0,00837
|
1,007
|
1,011
|
0,869
|
*
|
344,98
|
|
6
|
99
|
35,7
|
4,6
|
0,00831
|
1,043
|
1,19
|
0,773
|
*
|
361,83
|
|
7
|
98,9
|
35,65
|
4,65
|
0,00830
|
0,999
|
0,999
|
0,751
|
0,641
|
408,29
|
|
8
|
100,3
|
35,6
|
4,6
|
0,00839
|
0,968
|
1,056
|
0,807
|
0,707
|
421,61
|
|
Îïûò
¹15
1:0,9
|
1
|
99,6
|
35,3
|
4,25
|
0,00818
|
0,948
|
*
|
*
|
*
|
115,91
|
|
2
|
99,5
|
35,5
|
4,4
|
0,00825
|
0,818
|
*
|
*
|
*
|
99,12
|
|
3
|
99,5
|
35,3
|
4,35
|
0,00820
|
0,84
|
0,592
|
*
|
*
|
174,69
|
|
4
|
100,4
|
35,35
|
4,75
|
0,00839
|
0,876
|
0,598
|
*
|
*
|
175,73
|
|
5
|
98,8
|
35,45
|
4,85
|
0,00831
|
0,892
|
0,724
|
0,539
|
*
|
259,42
|
|
6
|
99,35
|
35,4
|
4,75
|
0,00831
|
1,03
|
0,669
|
0,624
|
*
|
279,40
|
|
7
|
101
|
35,35
|
4,75
|
0,00844
|
0,822
|
0,631
|
0,593
|
0,51
|
302,99
|
|
8
|
99
|
35,35
|
4,7
|
0,00826
|
0,822
|
0,69
|
0,513
|
0,605
|
318,32
|
Òàáëèöà
2.4 - Ðåçóëüòàòû èñïûòàíèé
â îãíåâîé òðóáå
îáðàçöîâ ñîñíû,
îáðàáîòàííûõ
îãíåçàùèòíûìè
ñîñòàâàìè íà
îñíîâå ïðîäóêòîâ
àìèíîëèçà ïîëèêàðáîíàòà
ìîíîýòàíîëàìèíîì
ïðè ðàçëè÷íîì
ñîäåðæàíèè ÌÝÀ.
|
¹
îïûòà, ÎÇÑ íà
îñíîâå ÏÊ: Àìèí
|
¹
îáðàç-öà
|
Ðàñõîä
ÎÇÑ ã/ì2
|
Ìàññà
îáðàçöà ïåðåä
ñæèãàíèåì ã
|
Ðåçóëüòàòû
èñïûòàíèÿ â îãíåâîé
òðóáå
|
|
|
|
|
Âðåìÿ
çàæèãàíèÿ, ñ
|
Ìàññà
îáðàçöà ïîñëå
ñæèã, ã
|
Ïîòåðÿ
ìàññû, %
|
|
Îïûò
¹14
ÌÝÀ
|
1
|
95,62
|
8,798
|
120
|
2,16
|
75,45
|
|
2
|
102,69
|
8,558
|
120
|
2,131
|
75,10
|
|
3
|
150,88
|
9,524
|
120
|
2,535
|
73,38
|
|
4
|
166,08
|
9,051
|
120
|
3,012
|
66,72
|
|
5
|
282,28
|
9,751
|
120
|
5,064
|
48,07
|
|
6
|
235,76
|
9,655
|
120
|
3,745
|
61,21
|
|
7
|
289,49
|
9,899
|
120
|
4,025
|
59,34
|
|
8
|
318,85
|
10,038
|
120
|
4,902
|
51,17
|
|
Îïûò
¹4 1:2
|
1
|
113,14
|
7,518
|
120
|
3,433
|
54,34
|
|
2
|
111,16
|
8,114
|
120
|
4,22
|
47,99
|
|
3
|
235,11
|
8,67
|
120
|
8,305
|
4,21
|
|
4
|
228,40
|
8,524
|
120
|
7,588
|
10,98
|
|
5
|
290,97
|
8,747
|
120
|
7,942
|
9,20
|
|
6
|
302,41
|
8,427
|
120
|
7,878
|
6,51
|
|
7
|
432,28
|
9,422
|
120
|
9,085
|
3,58
|
|
8
|
415,22
|
9,676
|
120
|
9,317
|
3,71
|
|
Îïûò
¹15
1:1,5
|
1
|
102,68
|
6,65
|
120
|
1,999
|
69,94
|
|
2
|
94,93
|
7,96
|
120
|
1,966
|
75,30
|
|
3
|
151,62
|
7,99
|
120
|
2,911
|
63,57
|
|
4
|
216,66
|
8,095
|
120
|
4,26
|
47,37
|
|
5
|
259,05
|
8,649
|
120
|
5,351
|
38,13
|
|
6
|
257,27
|
8,616
|
120
|
7,059
|
18,07
|
|
7
|
305,42
|
8,436
|
120
|
6,878
|
18,47
|
|
8
|
261,76
|
8,582
|
120
|
7,814
|
8,95
|
|
Îïûò
¹15
1:1
|
1
|
108,73
|
8,806
|
120
|
2,205
|
74,96
|
|
2
|
176,85
|
8,428
|
120
|
3,08
|
63,46
|
|
3
|
227,72
|
8,535
|
120
|
5,681
|
33,44
|
|
4
|
258,87
|
8,636
|
120
|
7,49
|
13,27
|
|
5
|
344,98
|
8,408
|
120
|
7,859
|
6,53
|
361,83
|
8,566
|
120
|
7,968
|
6,98
|
|
7
|
408,29
|
9,082
|
120
|
8,682
|
4,40
|
|
8
|
421,61
|
8,913
|
120
|
8,439
|
5,32
|
|
Îïûò
¹15
1:0,9
|
1
|
115,91
|
7,955
|
120
|
1,591
|
80,00
|
|
2
|
99,12
|
7,865
|
120
|
1,621
|
79,39
|
|
3
|
174,69
|
8,117
|
120
|
2,817
|
65,30
|
|
4
|
175,73
|
8,569
|
120
|
2,24
|
73,86
|
|
5
|
259,42
|
8,716
|
120
|
2,796
|
67,92
|
|
6
|
279,40
|
8,784
|
120
|
2,985
|
66,02
|
|
7
|
302,99
|
9,102
|
120
|
3,536
|
61,15
|
|
8
|
318,32
|
8,898
|
120
|
4,302
|
51,65
|
Òàáëèöà
2.5 - Ðåçóëüòàòû îáðàáîòêè
îáðàçöîâ ñîñíû
îãíåçàùèòíûìè
ñîñòàâàìè íà
îñíîâå ïðîäóêòîâ
àìèíîëèçà ïîëèêàðáîíàòà
ýòèëåíäèàìèíîì
ïðè ðàçëè÷íîì
ñîäåðæàíèè ÝÄÀ.
|
¹
îïûòà, ÎÇÑ íà
îñíîâå ÏÊ: Àìèí
|
Èñõîäíûé
îáðàçåö äðåâåñèíû
ñîñíû
|
1-é
ñëîé
|
2-é
ñëîé
|
3-é
ñëîé
|
4-é
ñëîé
|
Îáùèé
ðàñõîä, ã/ì2
|
|
¹
îáðàçöà
|
Ðàçìåðû,
ìì
|
S, ì2
|
Ìàññà
ÎÇÑ, ã
|
Ìàññà
ÎÇÑ, ã
|
Ìàññà
ÎÇÑ, ã
|
Ìàññà
ÎÇÑ, ã
|
|
|
|
Äëèíà
à, ìì
|
Øèðèíà
â, ìì
|
Òîëù.
h, ìì
|
|
|
|
|
|
|
|
Îïûò
¹16 ÝÄÀ
|
1
|
99,5
|
35,7
|
4,4
|
0,00829
|
0,753
|
*
|
*
|
*
|
90,79
|
|
2
|
98,8
|
35,55
|
4,15
|
0,00814
|
0,775
|
*
|
*
|
*
|
95,21
|
|
3
|
99
|
35,55
|
4,75
|
0,00832
|
0,846
|
0,733
|
*
|
*
|
189,85
|
|
4
|
99,3
|
35,65
|
5,15
|
0,00847
|
0,746
|
0,703
|
*
|
*
|
171,07
|
|
5
|
99,5
|
35,65
|
5
|
0,00845
|
0,985
|
0,915
|
0,716
|
*
|
309,74
|
|
6
|
99,4
|
35,45
|
4,75
|
0,00833
|
0,791
|
0,752
|
0,741
|
*
|
274,24
|
|
7
|
98,8
|
35,6
|
5,1
|
0,00841
|
0,772
|
0,645
|
0,672
|
0,45
|
302,07
|
|
8
|
99
|
35,6
|
4,95
|
0,00838
|
0,851
|
0,855
|
0,572
|
0,448
|
325,25
|
|
Îïûò
¹18 1:2
|
1
|
100
|
35,65
|
4,65
|
0,00839
|
0,821
|
*
|
*
|
*
|
97,84
|
|
2
|
98,45
|
35,6
|
4,45
|
0,00820
|
0,623
|
*
|
*
|
*
|
75,95
|
|
3
|
98,8
|
35,9
|
4,55
|
0,00832
|
0,642
|
0,629
|
*
|
*
|
152,77
|
|
4
|
99,4
|
35,6
|
4,8
|
0,00837
|
0,664
|
0,8
|
*
|
*
|
174,84
|
|
5
|
99,4
|
35,75
|
4,55
|
0,00834
|
0,714
|
0,721
|
0,466
|
*
|
228,02
|
|
6
|
99,7
|
35,65
|
4,4
|
0,00830
|
0,347
|
0,804
|
0,763
|
*
|
230,61
|
|
7
|
99,8
|
35,9
|
4,9
|
0,00850
|
0,704
|
0,623
|
0,763
|
0,617
|
318,64
|
|
8
|
99,6
|
35,55
|
4,5
|
0,00830
|
0,782
|
0,6
|
0,75
|
0,777
|
350,57
|
|
Îïûò
¹19 1:1,5
|
1
|
99,5
|
35,7
|
4,75
|
0,00839
|
0,942
|
*
|
*
|
*
|
112,29
|
|
2
|
99,3
|
35,65
|
4,65
|
0,00834
|
0,735
|
*
|
*
|
*
|
88,18
|
|
3
|
99,15
|
35,6
|
4,7
|
0,00833
|
0,974
|
0,725
|
*
|
*
|
204,06
|
|
4
|
98,85
|
35,7
|
4,95
|
0,00839
|
0,921
|
0,736
|
*
|
*
|
197,50
|
|
5
|
99,9
|
35,8
|
4,65
|
0,00841
|
0,854
|
0,81
|
0,751
|
*
|
286,99
|
|
6
|
99,45
|
35,7
|
4,7
|
0,00837
|
0,723
|
0,699
|
0,617
|
*
|
243,57
|
|
7
|
99,6
|
35,35
|
4,8
|
0,00834
|
0,888
|
0,767
|
0,685
|
0,394
|
327,93
|
|
8
|
100,45
|
35,45
|
4,9
|
0,00845
|
0,807
|
0,777
|
0,682
|
0,586
|
337,37
|
|
Îïûò
¹20 1:1
|
1
|
99,3
|
35,7
|
4,8
|
0,00839
|
0,711
|
*
|
*
|
*
|
84,78
|
|
2
|
99,15
|
35,65
|
4,6
|
0,00831
|
0,739
|
*
|
*
|
*
|
88,93
|
|
3
|
99,75
|
4,9
|
0,00843
|
0,863
|
0,825
|
*
|
*
|
200,27
|
|
4
|
99
|
35,5
|
4,7
|
0,00829
|
0,774
|
0,835
|
*
|
*
|
194,01
|
|
5
|
98,45
|
35,6
|
4,8
|
0,00830
|
0,781
|
0,821
|
0,679
|
*
|
274,93
|
|
6
|
100
|
35,85
|
4,6
|
0,00842
|
0,886
|
0,837
|
0,669
|
*
|
284,09
|
|
7
|
99,75
|
35,5
|
4,8
|
0,00838
|
0,88
|
0,754
|
0,694
|
0,521
|
339,95
|
|
8
|
98,55
|
35,5
|
4,4
|
0,00818
|
1,044
|
0,808
|
0,714
|
0,617
|
389,28
|
|
Îïûò
¹21 1:0,9
|
1
|
98,55
|
35,3
|
4,4
|
0,00814
|
0,729
|
*
|
*
|
*
|
89,61
|
|
2
|
99,35
|
35,35
|
4,75
|
0,00830
|
0,816
|
*
|
*
|
*
|
98,27
|
|
3
|
98,6
|
35,6
|
4,9
|
0,00834
|
0,726
|
0,579
|
*
|
*
|
156,56
|
|
4
|
98,75
|
35,5
|
4,8
|
0,00830
|
0,912
|
0,707
|
*
|
*
|
195,06
|
|
5
|
98
|
35,4
|
5,15
|
0,00831
|
0,951
|
0,866
|
0,629
|
*
|
294,26
|
|
6
|
98,85
|
35,65
|
4,95
|
0,00838
|
0,754
|
0,673
|
0,523
|
*
|
232,71
|
|
7
|
98,85
|
35,5
|
5
|
0,00836
|
0,854
|
0,742
|
0,586
|
0,336
|
301,13
|
Òàáëèöà
2.6 - Ðåçóëüòàòû èñïûòàíèé
â îãíåâîé òðóáå
îáðàçöîâ ñîñíû,
îáðàáîòàííûõ
îãíåçàùèòíûìè
ñîñòàâàìè íà
îñíîâå ïðîäóêòîâ
àìèíîëèçà ïîëèêàðáîíàòà
ýòèëåíäèàìèíîì
ïðè ðàçëè÷íîì
ñîäåðæàíèè ÝÄÀ.
|
¹
îïûòà, ÎÇÑ íà
îñíîâå ÏÊ: Àìèí
|
¹
îáðàçöà
|
Ðàñõîä
ÎÇÑ ã/ì2
|
Ìàññà
îáðàçöà ïåðåä
Ñæèãàíèåì ã
|
Ðåçóëüòàòû
èñïûòàíèÿ â îãíåâîé
òðóáå
|
|
|
|
|
Âðåìÿ
çàæèã., ñ
|
Ìàññà
îáðàçöà ïîñëå
ñæèãàíèÿ, ã
|
Ïîòåðÿ
ìàññû, %
|
|
Îïûò
¹16 ÝÄÀ
|
1
|
90,79
|
7,856
|
120
|
1,726
|
78,03
|
|
2
|
95,21
|
6,778
|
120
|
1,569
|
76,85
|
|
3
|
189,85
|
7,933
|
120
|
3,6
|
54,62
|
|
4
|
171,07
|
8,456
|
120
|
3,495
|
58,67
|
|
5
|
309,74
|
8,8
|
120
|
5,568
|
36,73
|
|
6
|
274,24
|
8,464
|
120
|
5,588
|
33,98
|
|
7
|
302,07
|
9,409
|
120
|
7,766
|
17,46
|
|
8
|
325,25
|
9,135
|
120
|
7,44
|
18,56
|
|
Îïûò
¹18 1:2
|
1
|
97,84
|
8,093
|
120
|
1,788
|
77,91
|
|
2
|
75,95
|
7,873
|
120
|
1,724
|
78,10
|
|
3
|
152,77
|
7,951
|
120
|
2,204
|
72,28
|
|
4
|
174,84
|
8,639
|
120
|
4,222
|
51,13
|
|
5
|
228,02
|
8,23
|
120
|
6,735
|
18,17
|
|
6
|
230,61
|
7,908
|
120
|
5,777
|
26,95
|
|
7
|
318,64
|
8,694
|
120
|
5,79
|
33,40
|
|
8
|
350,57
|
8,38
|
120
|
5,033
|
39,94
|
|
Îïûò
¹19 1:1,5
|
1
|
112,29
|
8,15
|
120
|
1,878
|
76,96
|
|
2
|
88,18
|
8,049
|
120
|
1,766
|
78,06
|
|
3
|
204,06
|
8,63
|
120
|
4,738
|
45,10
|
|
4
|
197,50
|
8,382
|
120
|
3,693
|
55,94
|
|
5
|
286,99
|
8,673
|
120
|
6,057
|
30,16
|
|
6
|
243,57
|
8,596
|
120
|
4,573
|
46,80
|
|
7
|
327,93
|
8,597
|
120
|
7,636
|
11,18
|
|
8
|
337,37
|
9,085
|
120
|
7,306
|
19,58
|
|
Îïûò
¹20 1:1
|
1
|
84,78
|
7,836
|
120
|
1,575
|
79,90
|
|
2
|
88,93
|
7,929
|
120
|
1,784
|
77,50
|
|
3
|
200,27
|
8,453
|
120
|
4,359
|
48,43
|
|
4
|
194,01
|
8,453
|
120
|
4,65
|
44,99
|
|
5
|
274,93
|
8,611
|
120
|
6,607
|
23,27
|
|
6
|
284,09
|
8,675
|
120
|
6,8
|
21,61
|
|
7
|
339,95
|
8,656
|
120
|
7,158
|
17,31
|
|
8
|
389,28
|
8,525
|
120
|
7,125
|
16,42
|
|
Îïûò
¹21 1:0,9
|
1
|
89,61
|
7,861
|
120
|
1,768
|
77,51
|
|
2
|
98,27
|
8,145
|
120
|
3,243
|
60,18
|
|
3
|
156,56
|
8,332
|
120
|
40,16
|
|
4
|
195,06
|
8,58
|
120
|
6,445
|
24,88
|
|
5
|
294,26
|
8,801
|
120
|
7,296
|
17,10
|
|
6
|
232,71
|
9,111
|
120
|
6,643
|
27,09
|
|
7
|
301,13
|
8,849
|
120
|
7,5
|
15,24
|
Òàáëèöà
2.7 - Ðåçóëüòàòû îáðàáîòêè
îáðàçöîâ ñîñíû
îãíåçàùèòíûìè
ñîñòàâàìè íà
îñíîâå ïðîäóêòîâ
àìèíîëèçà ïîëèêàðáîíàòà
äèýòàíîëàìèíîì
ïðè ðàçëè÷íîì
ñîäåðæàíèè ÄÝÀ.
|
¹
îïûòà, ÎÇÑ íà
îñíîâå ÏÊ: Àìèí
|
Èñõîäíûé
îáðàçåö äðåâåñèíû
ñîñíû
|
1-é
ñëîé
|
2-é
ñëîé
|
3-é
ñëîé
|
4-é
ñëîé
|
Îáùèé
ðàñõ., ã/ì2
|
|
¹
îáðàçöà
|
Ðàçìåðû,
ìì
|
S, ì2
|
Ìàññà
ÎÇÑ, ã
|
Ìàññà
ÎÇÑ, ã
|
Ìàññà
ÎÇÑ, ã
|
Ìàññà
ÎÇÑ, ã
|
|
|
|
Äëèíà
à, ìì
|
øèðèíà
â, ìì
|
Òîëùèíà
h, ìì
|
|
|
|
|
|
|
|
Îïûò
¹23 1:2
|
1
|
99,25
|
35,5
|
4,6
|
0,00829
|
0,721
|
*
|
*
|
*
|
87,01
|
|
2
|
99,3
|
35,5
|
4,3
|
0,00821
|
0,693
|
*
|
*
|
*
|
84,41
|
|
3
|
99,8
|
35,75
|
4,7
|
0,00841
|
0,56
|
0,909
|
*
|
*
|
174,68
|
|
5
|
98,4
|
35,55
|
5
|
0,00834
|
0,524
|
0,586
|
0,653
|
*
|
211,50
|
|
6
|
98,75
|
35,5
|
4,8
|
0,00830
|
0,546
|
0,519
|
0,636
|
*
|
204,94
|
|
7
|
100,15
|
35,5
|
4,2
|
0,00825
|
0,88
|
0,865
|
0,613
|
0,631
|
362,30
|
|
8
|
100
|
35,55
|
4,8
|
0,00841
|
0,594
|
0,67
|
0,603
|
0,571
|
289,85
|
|
Îïûò
¹24 1:1,5
|
1
|
100,2
|
35,8
|
4,75
|
0,00847
|
0,682
|
*
|
*
|
*
|
80,55
|
|
2
|
99,9
|
35,65
|
4,5
|
0,00834
|
0,545
|
*
|
*
|
*
|
65,33
|
|
3
|
99,7
|
35,85
|
4,8
|
0,00845
|
0,456
|
0,554
|
*
|
*
|
119,53
|
|
4
|
99,8
|
35,9
|
4,65
|
0,00843
|
0,531
|
0,581
|
*
|
*
|
131,95
|
|
5
|
99,1
|
35,7
|
4,7
|
0,00834
|
0,63
|
0,585
|
0,675
|
*
|
226,54
|
|
6
|
100,3
|
35,85
|
4,7
|
0,00847
|
0,627
|
0,635
|
0,694
|
*
|
230,90
|
|
7
|
99,4
|
35,65
|
4,65
|
0,00834
|
0,679
|
0,708
|
0,778
|
0,603
|
331,77
|
|
8
|
99,75
|
35,55
|
5
|
0,00845
|
0,691
|
0,659
|
0,666
|
0,591
|
308,70
|
|
Îïûò
¹25 1:1
|
1
|
98,3
|
35,5
|
4,9
|
0,00829
|
0,676
|
*
|
*
|
*
|
81,54
|
|
2
|
100,5
|
35,65
|
4,85
|
0,00849
|
0,651
|
*
|
*
|
*
|
76,71
|
|
3
|
98,8
|
35,5
|
4,7
|
0,00828
|
0,643
|
1,041
|
*
|
*
|
203,45
|
|
4
|
99,5
|
35,55
|
4,7
|
0,00834
|
0,638
|
1,014
|
*
|
*
|
197,99
|
|
5
|
99,5
|
35,6
|
4,95
|
0,00842
|
0,576
|
1
|
0,71
|
*
|
271,44
|
|
6
|
98,75
|
35,6
|
4,9
|
0,00835
|
0,667
|
1,084
|
0,683
|
*
|
291,58
|
|
7
|
99,1
|
35,5
|
4,6
|
0,00827
|
0,617
|
1,029
|
0,707
|
0,493
|
343,95
|
|
8
|
98,5
|
35,75
|
4,45
|
0,00824
|
0,497
|
0,982
|
0,589
|
0,553
|
318,18
|
|
Îïûò
¹26 1:0,9
|
1
|
99,75
|
35,9
|
4,5
|
0,00838
|
0,518
|
*
|
*
|
*
|
61,79
|
|
2
|
97,35
|
35,6
|
4,9
|
0,00823
|
0,609
|
*
|
*
|
*
|
73,96
|
|
3
|
98,8
|
35,55
|
4,8
|
0,00831
|
0,543
|
0,53
|
*
|
*
|
129,05
|
|
4
|
100,75
|
35,7
|
4,3
|
0,00837
|
0,601
|
0,659
|
*
|
*
|
150,59
|
|
5
|
99,6
|
35,85
|
4,6
|
0,00839
|
0,552
|
0,768
|
0,641
|
*
|
233,80
|
|
6
|
98,9
|
35,8
|
5
|
0,00843
|
0,548
|
0,657
|
0,546
|
*
|
207,75
|
|
7
|
99,3
|
35,65
|
4,9
|
0,00840
|
0,498
|
0,538
|
0,441
|
0,734
|
263,13
|
|
8
|
99,3
|
35,7
|
0,00839
|
0,5
|
0,522
|
0,501
|
0,515
|
243,02
|
|
Îïûò
¹29 ÄÝÀ
|
1
|
100
|
35,5
|
4,9
|
0,00843
|
0,474
|
*
|
*
|
*
|
56,24
|
|
2
|
100,2
|
35,55
|
4,9
|
0,00845
|
0,774
|
*
|
*
|
*
|
91,55
|
|
3
|
99,7
|
35,5
|
4,8
|
0,00838
|
0,471
|
0,544
|
*
|
*
|
121,17
|
|
4
|
98,8
|
35,5
|
4,85
|
0,00832
|
0,461
|
0,365
|
*
|
*
|
99,31
|
|
5
|
99,7
|
35,5
|
4,6
|
0,00832
|
0,402
|
0,538
|
0,408
|
*
|
161,97
|
|
6
|
99,3
|
35,35
|
4,75
|
0,00830
|
0,503
|
0,376
|
0,357
|
*
|
148,92
|
|
7
|
98,9
|
35,5
|
4,9
|
0,00834
|
0,564
|
0,595
|
0,365
|
0,715
|
268,50
|
|
8
|
98
|
35,5
|
4,8
|
0,00824
|
0,382
|
0,399
|
0,469
|
0,573
|
221,25
|
Òàáëèöà
2.8 - Ðåçóëüòàòû èñïûòàíèé
â îãíåâîé òðóáå
îáðàçöîâ ñîñíû,
îáðàáîòàííûõ
îãíåçàùèòíûìè
ñîñòàâàìè íà
îñíîâå ïðîäóêòîâ
àìèíîëèçà ïîëèêàðáîíàòà
äèýòàíîëàìèíîì
ïðè ðàçëè÷íîì
ñîäåðæàíèè ÄÝÀ.
|
¹
îïûòà, ÎÇÑ íà
îñíîâå ÏÊ:Àìèí
|
¹
îáðàçöà
|
Ðàñõîä
ÎÇÑ ã/ì2
|
Ìàññà
îáðàçöà ïåðåä
Ñæèãàíèåì ã
|
Ðåçóëüòàòû
èñïûòàíèÿ â îãíåâîé
òðóáå
|
|
|
|
|
Âðåìÿ
çàæèãàíèÿ, ñ
|
Ìàññà
îáðàçöà ïîñëå
ñæèãàíèÿ, ã
|
Ïîòåðÿ
ìàññû, %
|
|
Îïûò
¹23 1:2
|
1
|
87,01
|
8,111
|
120
|
1,608
|
80,18
|
|
2
|
84,41
|
7,84
|
120
|
2,087
|
73,38
|
|
3
|
174,68
|
8,181
|
120
|
3,167
|
61,29
|
|
5
|
211,50
|
8,945
|
120
|
3,032
|
66,10
|
|
6
|
204,94
|
8,488
|
120
|
3,361
|
60,40
|
|
7
|
362,30
|
8,314
|
120
|
4,07
|
51,05
|
|
8
|
289,85
|
9,138
|
120
|
4,828
|
47,17
|
|
Îïûò
¹24 1:1,5
|
1
|
80,55
|
7,874
|
120
|
1,648
|
79,07
|
|
2
|
65,33
|
7,546
|
120
|
1,613
|
78,62
|
|
3
|
119,53
|
8,081
|
120
|
1,807
|
77,64
|
|
4
|
131,95
|
8,403
|
120
|
2,45
|
70,84
|
|
5
|
226,54
|
8,612
|
120
|
3,888
|
54,85
|
|
6
|
230,90
|
8,567
|
120
|
3,537
|
58,71
|
|
7
|
331,77
|
8,856
|
120
|
4,743
|
46,44
|
|
8
|
308,70
|
9,271
|
120
|
4,974
|
46,35
|
|
Îïûò
¹25 1:1
|
1
|
81,54
|
8,088
|
120
|
1,765
|
78,18
|
|
2
|
76,71
|
8,391
|
120
|
1,871
|
77,70
|
|
3
|
203,45
|
8,366
|
120
|
2,586
|
69,09
|
|
4
|
197,99
|
8,301
|
120
|
3,311
|
60,11
|
|
5
|
271,44
|
8,9
|
120
|
5,253
|
40,98
|
|
6
|
291,58
|
8,685
|
120
|
6,458
|
25,64
|
|
7
|
343,95
|
8,71
|
120
|
4,974
|
42,89
|
|
8
|
318,18
|
8,477
|
120
|
3,308
|
60,98
|
|
Îïûò
¹29 ÄÝÀ
|
1
|
56,24
|
9,821
|
120
|
2,118
|
78,43
|
|
2
|
91,55
|
8,936
|
120
|
2,469
|
72,37
|
|
3
|
121,17
|
8,814
|
120
|
3,181
|
63,91
|
|
4
|
99,31
|
8,959
|
120
|
1,922
|
78,55
|
|
5
|
161,97
|
8,758
|
120
|
3,14
|
64,15
|
|
6
|
148,92
|
8,839
|
120
|
3,246
|
63,28
|
|
7
|
268,50
|
10,065
|
120
|
4,473
|
55,56
|
|
8
|
221,25
|
9,949
|
120
|
4,39
|
55,87
|
|
Îïûò
¹26 1:0,9
|
1
|
61,79
|
7,646
|
120
|
1,568
|
79,49
|
|
2
|
73,96
|
8,043
|
120
|
1,637
|
79,65
|
|
3
|
129,05
|
8,416
|
120
|
1,75
|
79,21
|
|
4
|
150,59
|
8,171
|
120
|
1,765
|
78,40
|
|
5
|
233,80
|
8,41
|
120
|
2,264
|
73,08
|
|
6
|
207,75
|
8,878
|
120
|
2,363
|
73,38
|
|
7
|
263,13
|
8,96
|
120
|
2,458
|
72,57
|
|
8
|
243,02
|
8,731
|
120
|
2,297
|
73,69
|
Òàáëèöà
2.9 - Ðåçóëüòàòû îáðàáîòêè
îáðàçöîâ ñîñíû
îãíåçàùèòíûìè
ñîñòàâàìè íà
îñíîâå ïðîäóêòîâ
àìèíîëèçà ïîëèêàðáîíàòà
ìîíîýòàíîëàìèíîì
(áàëàíñîâûé îïûò).
|
¹
îïûòà
|
Èñõîäíûé
îáðàçåö äðåâåñèíû
ñîñíû
|
1-é
ñëîé
|
2-é
ñëîé
|
3-é
ñëîé
|
4-é
ñëîé
|
Îáùèé
ðàñõîä, ã/ì2
|
|
¹
îáðàçöà
|
Ðàçìåðû,
ìì
|
S, ì2
|
Ìàññà
ÎÇÑ, ã
|
Ìàññà
ÎÇÑ, ã
|
Ìàññà
ÎÇÑ, ã
|
Ìàññà
ÎÇÑ, ã
|
Øèðèíà
â, ìì
|
Òîëùèíà
h, ìì
|
|
|
|
|
|
|
|
Îïûò
¹28
|
1
|
99,2
|
35,8
|
4,4
|
0,00829
|
0,761
|
*
|
*
|
*
|
91,79
|
|
2
|
98,55
|
35,85
|
4,6
|
0,00830
|
0,801
|
*
|
*
|
*
|
96,48
|
|
3
|
98,3
|
35,9
|
4,75
|
0,00833
|
0,819
|
0,913
|
*
|
*
|
207,85
|
|
4
|
100,2
|
36
|
4,9
|
0,00855
|
0,797
|
0,964
|
*
|
*
|
205,99
|
|
5
|
99
|
35,75
|
4,9
|
0,00840
|
0,631
|
0,986
|
0,599
|
*
|
263,84
|
|
6
|
98,95
|
35,5
|
4,75
|
0,00830
|
0,573
|
0,855
|
0,615
|
*
|
246,06
|
|
7
|
98,8
|
35,6
|
4,9
|
0,00835
|
0,705
|
0,855
|
0,521
|
0,536
|
313,35
|
|
8
|
99,55
|
35,7
|
4,85
|
0,00842
|
0,952
|
0,981
|
0,495
|
0,546
|
353,22
|
Òàáëèöà
2.10 - Ðåçóëüòàòû èñïûòàíèé
â îãíåâîé òðóáå
îáðàçöîâ ñîñíû,
îáðàáîòàííûõ
îãíåçàùèòíûìè
ñîñòàâàìè íà
îñíîâå ïðîäóêòîâ
àìèíîëèçà ïîëèêàðáîíàòà
ìîíîýòàíîëàìèíîì
(áàëàíñîâûé îïûò).
|
¹
îïûòà
|
¹
îáðàçöà
|
Ðàñõîä
ÎÇÑ ã/ì2
|
Ìàññà
îáðàçöà ïåðåä
ñæèãàíèåì ã
|
Ðåçóëüòàòû
èñïûòàíèÿ â îãíåâîé
òðóáå
|
|
|
|
|
Âðåìÿ
çàæèãàíèÿ, ñ
|
Ìàññà
îáðàçöà ïîñëå
ñæèãàíèÿ, ã
|
Ïîòåðÿ
ìàññû, %
|
|
Îïûò
¹28
|
1
|
91,79
|
7,882
|
120
|
1,838
|
76,68
|
|
2
|
96,48
|
8,071
|
120
|
2,014
|
75,05
|
|
3
|
207,85
|
8,737
|
120
|
4,724
|
45,93
|
|
4
|
205,99
|
9,025
|
120
|
7,333
|
18,75
|
|
5
|
263,84
|
9,125
|
120
|
7,139
|
21,76
|
|
6
|
246,06
|
9,078
|
120
|
5,298
|
41,64
|
|
7
|
313,35
|
9,334
|
120
|
7,018
|
24,81
|
|
8
|
353,22
|
9,649
|
120
|
8,182
|
15,20
|
 òàáëèöå
2.11 ïðåäñòàâëåíû
ðåçóëüòàòû áàëàíñîâîãî
îïûòà ïîëó÷åíèÿ
îãíåçàùèòíîãî
ñîñòàâà íà îñíîâå
ïðîäóêòà àìèíîëèçà
ïîëèêàðáîíàòà.
Òàáëèöà
2.11 - Ìàòåðèàëüíûé
áàëàíñ ïîëó÷åíèÿ
ÎÇÑ íà îñíîâå
ïðîäóêòà àìèíîëèçà
ïîëèêàðáîíàòà
ìîíîýòàíîëàìèíîì
â ñîîòíîøåíèè
1:1.
|
1.
Ôîñôîðèëèðîâàíèå
êèñëîãî ïðîäóêòà
àìèíîëèçà
|
|
Ïðèõîä
|
Ðàñõîä
|
|
Íàèìåíîâàíèå
|
ã
|
ìîëü
|
ìë
|
ã/ñì3
|
Íàèìåíîâàíèå
|
ã
|
ìë
|
ã/ñì3
|
|
1.Ìàòî÷íèê
|
121,12
|
−
|
−
|
−
|
1.Ïðîäóêò
|
246,23
|
203,66
|
1,209
|
|
1.1Àìèí
|
47,37
|
0,78
|
42,48
|
1,115
|
2.Ïîòåðè
|
9,12
|
|
|
|
2.H3PO3
|
63,96
|
0,78
|
−
|
−
|
|
|
|
|
|
3.CH2O(33,3%)
|
70,27
|
0,78
|
65,67
|
1,07
|
|
|
|
|
|
Èòîãî:
|
255,35
|
Èòîãî:
|
255,35
|
|
2.
Íåéòðàëèçàöèÿ
ïðîäóêòà ôîñôîðèëèðîâàíèÿ
àììèàêîì
|
|
Ïðèõîä
|
Ðàñõîä
|
|
Íàèìåíîâàíèå
|
ã
|
ìë
|
ã/ñì3
|
Íàèìåíîâàíèå
|
ã
|
ìë
|
ã/ñì3
|
|
1.
Ïðîäóêò ôîñôîðèëèðîâàíèÿ
|
241,92
|
200,099
|
1,209
|
1.
Ãîòîâûé àíòèïèðåí
|
301
|
258,36
|
1,165
|
|
2.
Àììèàê (25%)
|
62,3
|
70
|
0,89
|
2.
Ïîòåðè
|
3,22
|
−
|
−
|
|
Èòîãî:
|
304,22
|
Èòîãî:
|
304,22
|
|
|
|
|
|
|
|
|
|
|
|
|
|
|
|
|
2.3 Îáñóæäåíèå
ðåçóëüòàòîâ
2.3.1 Èññëåäîâàíèå
àíòèïèðåíîâ
íà îñíîâå èñõîäíîãî
ïîëèêàðáîíàòà.
2.3.1.1 Ìåòîäèêà
ïðîâåäåíèÿ ðàáîòû
Ñõåìà ïîëó÷åíèÿ
îãíåçàùèòíîãî
ñîñòàâà ñîñòîèò
èç äâóõ ïîñëåäîâàòåëüíûõ
ñòàäèé.
Íà ïåðâîé
ñòàäèè ñîëÿíîêèñëûé
ðàñòâîð ïðîäóêòà
àìèíîëèçà ïîëèêàðáîíàòà
ñ ðàçëè÷íûìè
àìèíàìè (ÌÝÀ,
ÝÄÀ, ÄÝÀ) ïîäâåðãàåòñÿ
ðåàêöèè ôîñôîðèëèðîâàíèÿ.
Íà ïåðâîé
ñòàäèè ïîëó÷åííûå
ïðîäóêòû àìèíîëèçà,
áûëè èñïîëüçîâàíû
â êà÷åñòâå àìèíîñîäåðæàùèõ
ðåàãåíòîâ â ðåàêöèè
Êàáà÷íèêà-Ôèëäñà
ñ ïîëó÷åíèåì
ïðîèçâîäíûõ àìèíîìåòèëåíôîñôîíîâûõ
êèñëîò, ñîäåðæàùèå
â ñâîåì ñîñòàâå
ôðàãìåíòû èñõîäíûõ
ìîíîìåðîâ (ðèñóíîê
2.2).
Ðèñóíîê
2.2. - Ñõåìà ïîëó÷åíèÿ
àìèíîìåòèëåíôîñôîíîâûõ
êèñëîò èç ïðîäóêòîâ
àìèíîëèçà ïîëèêàðáîíàòà.
Ðåàêöèÿ
ïðîâîäèëàñü â
òðåõãîðëîé êîëáå,
ñíàáæåííîé ìåøàëêîé
è îáðàòíûì õîëîäèëüíèêîì
ïðè òåìïåðàòóðå
80-900Ñ â òå÷åíèå
2-2,5 ÷àñîâ, â çàâèñèìîñòè
îò èñõîäíîãî
àìèíà.
Ãîòîâûé
ïðîäóêò ïðåäñòàâëÿë
ñîáîé æåëòóþ
ëèáî êðàñíóþ
æèäêîñòü ðàçëè÷íûõ
îòòåíêîâ,â çàâèñèìîñòè
îò èñõîäíîãî
àìèíà, ðàñòâîðèìóþ
â âîäå. Òàêæå íà
ýòîé ñòàäèè íàáëþäàëîñü
âûïàäåíèå íå
ðàñòâîðèìûõ
â âîäå îñàäêîâ.
Íà âòîðîé
ñòàäèè ïîñëå
âûäåëåíèÿ îñàäêà
âîäíûå ðàñòâîðû
àìèíîìåòèëåíôîñôîíîâûõ
êèñëîò áûëè íåéòðàëèçîâàíû
âîäíûì ðàñòâîðîì
àììèàêà äî íåéòðàëüíîãî
çíà÷åíèÿ ðÍ (ðèñóíîê
2.3).
Ðèñóíîê
2.3. - Ñõåìà ïîëó÷åíèÿ
îãíåçàùèòíîãî
ñîñòàâà.
Ðåàêöèÿ
ïðîâîäèëàñü â
òðåõãîðëîé êîëáå,
ñíàáæåííîé ìåøàëêîé
è îáðàòíûì õîëîäèëüíèêîì
ïðè êîìíàòíîé
òåìïåðàòóðå. Ïîñëå
îõëàæäåíèÿ ãîòîâûé
îãíåçàùèòíûé
ñîñòàâ îõëàæäàëñÿ
è ñëèâàëñÿ â åìêîñòü.
Ãîòîâûå
îãíåçàùèòíûå
ñîñòàâû ïðåäñòàâëÿëè
ñîáîé ïðîçðà÷íûå
æåëòûå ëèáî êðàñíûå
æèäêîñòè ðàçëè÷íûõ
îòòåíêîâ,â çàâèñèìîñòè
îò èñõîäíîãî
àìèíà.
Îãíåçàùèòíûå
ñâîéñòâà áûëè
èñïûòàíû íà óñòàíîâêå
îãíåâàÿ òðóáà
íà îáðàçöàõ äðåâåñèíû
ñîñíû ðàçìåðàìè
100×35×5 ìì.
Ïî äàííûì èñïûòàíèé
îïðåäåëÿëàñü ïîòåðÿ
ìàññû îáðàçöà
äðåâåñèíû è ñòðîèëñÿ
ãðàôèê çàâèñèìîñòè
ïîòåðè ìàññû
îáðàçöà îò ðàñõîäà
îãíåçàùèòíîãî
ñîñòàâà.
2.3.1.2 Èññëåäîâàíèå
ñâîéñòâ îãíåçàùèòíîãî
ñîñòàâà íà îñíîâå
ïðîäóêòà àìèíîëèçà
ïîëèêàðáîíàòà
ìîíîýòàíîëàìèíîì
ïðè ðàçëè÷íîì
ñîäåðæàíèè ÌÝÀ
Ñîëÿíîêèñëûé
ðàñòâîð ïðîäóêòà
àìèíîëèçà ïîëèêàðáîíàòà
áûë èñïîëüçîâàí
â ðåàêöèè ôîñôîðèëèðîâàíèÿ
(ðèñ. 2.4) â êà÷åñòâå
àìèíîñîäåðæàùåãî
ðåàãåíòà. Ðåàêöèÿ
ïðîâîäèëàñü â
òðåõãîðëîé êîëáå,
ñíàáæåííîé ìåøàëêîé
è îáðàòíûì õîëîäèëüíèêîì
ïðè òåìïåðàòóðå
80-900Ñ â òå÷åíèå
2 ÷àñîâ. Ïðîäóêò
ôîñôîðèëèðîâàíèÿ
ïðåäñòàâëÿë ñîáîé
æåëòóþ æèäêîñòü,
ðàñòâîðèìóþ
â âîäå.
Ðèñóíîê
2.4. - Ñõåìà ïðåäïîëàãàåìîé
ðåàêöèè ôîñôîðèëèðîâàíèÿ
ñîëÿíîêèñëîãî
ðàñòâîðà ïðîäóêòà
àìèíîëèçà ïîëèêàðáîíàòà
ìîíîýòàíîëàìèíîì.
Ïðîäóêò ôîñôîðèëèðîâàíèÿ
áûë íåéòðàëèçîâàí
âîäíûì ðàñòâîðîì
àììèàêà ñ ïîëó÷åíèåì
îãíåçàùèòíîãî
ñîñòàâà, êðàòêèå
ôèçèêî-õèìè÷åñêèå
ñâîéñòâà êîòîðîãî
ïðèâåäåíû â òàáëèöå
2.12.
Òàáëèöà
2.12-Ôèçèêî-õèìè÷åñêèå
ñâîéñòâà îãíåçàùèòíûõ
ñîñòàâîâ íà îñíîâå
ïðîäóêòà àìèíîëèçà
ïîëèêàðáîíàòà
ìîíîýòàíîëàìèíîì
ïðè ðàçëè÷íîì
ñîîòíîøåíèè
ÌÝÀ.
|
Ñâîéñòâà
|
Ñîîòíîøåíèå
ÏÊ:ÌÝÀ
|
|
ÌÝÀ
|
1:1,5
|
1:1
|
1:0,9
|
|
Ñóõîé
îñòàòîê, %
|
51,25
|
42,92
|
38,55
|
42,94
|
|
Ïëîòíîñòü,
ã/ñì3
|
1,155
|
1,135
|
1,131
|
1,139
|
|
Âÿçêîñòü
ïî ÂÇ-246 ñ dñîïëà=4
ìì
|
9,73
|
9,34
|
−
|
−
|
Áûëè èñïûòàíû
îãíåçàùèòíûå
ñâîéñòâà ýòèõ
ñîñòàâîâ. Íà ðèñóíêå
2.5 ïðåäñòàâëåíà
çàâèñèìîñòü
ïîòåðè ìàññû
îáðàçöîâ îò ðàñõîäà
ÎÇÑ (ñì. òàáëèöó
2.4 ).
Ðèñóíîê
2.5- Çàâèñèìîñòü
ïîòåðè ìàññû
îáðàçöà îò ðàñõîäà
ÎÇÑ íà îñíîâå
ïðîäóêòà àìèíîëèçà
ÏÊ â ÌÝÀ.
Êàê âèäíî
èç ðèñóíêà 2.5 ñîñòàâû
íà îñíîâå ïðîäóêòà
àìèíîëèçà ÏÊ
â ÌÝÀ ïðè ñîîòíîøåíèÿõ
(1:1,5), (1:1) è (1:2) îáëàäàþò
îãíåçàùèòíûìè
ñâîéñòâàìè è
ïðè ðàñõîäå 250 ã/ì2
ïîòåðÿ ìàññû
äðåâåñèíû ñîñòàâëÿåò
ñîîòâåòñòâåííî
24, 17 è 9%, ÷òî äåëàåò
åå òðóäíîãîðþ÷èì
ìàòåðèàëîì. Ñîñòàâ
æå íà îñíîâå ïðîäóêòà
àìèíîëèçà ÏÊ
â ÌÝÀ ïðè ñîîòíîøåíèè
(1:0,9) íå îáëàäàåò
îãíåçàùèòíûìè
ñâîéñòâàìè.
2.3.1.3 Èññëåäîâàíèå
ñâîéñòâ îãíåçàùèòíîãî
ñîñòàâà íà îñíîâå
ïðîäóêòà àìèíîëèçà
ïîëèêàðáîíàòà
ýòèëåíäèàìèíîì
ïðè ðàçëè÷íîì
ñîäåðæàíèè ÝÄÀ
Ñîëÿíîêèñëûé
ðàñòâîð ïðîäóêòà
àìèíîëèçà ïîëèêàðáîíàòà
áûë èñïîëüçîâàí
â ðåàêöèè ôîñôîðèëèðîâàíèÿ
(ðèñ. 2.6) â êà÷åñòâå
àìèíîñîäåðæàùåãî
ðåàãåíòà. Ðåàêöèÿ
ïðîâîäèëàñü â
òðåõãîðëîé êîëáå,
ñíàáæåííîé ìåøàëêîé
è îáðàòíûì õîëîäèëüíèêîì
ïðè òåìïåðàòóðå
80-900Ñ â òå÷åíèå
2 ÷àñîâ.
Ïðîäóêò ôîñôîðèëèðîâàíèÿ
ïðåäñòàâëÿë ñîáîé
êðàñíóþ æèäêîñòü,
ðàñòâîðèìóþ
â âîäå.
Ðèñóíîê
2.6 - Ñõåìà ïðåäïîëàãàåìîé
ðåàêöèè ôîñôîðèëèðîâàíèÿ
ñîëÿíîêèñëîãî
ðàñòâîðà ïðîäóêòà
àìèíîëèçà ïîëèêàðáîíàòà
ýòèëåíäèàìèíîì
Ïðîäóêò ôîñôîðèëèðîâàíèÿ
áûë íåéòðàëèçîâàí
âîäíûì ðàñòâîðîì
àììèàêà ñ ïîëó÷åíèåì
îãíåçàùèòíîãî
ñîñòàâà, êðàòêèå
ôèçèêî-õèìè÷åñêèå
ñâîéñòâà êîòîðîãî
ïðèâåäåíû â òàáëèöå
2.13.
Òàáëèöà
2.13.-Ôèçèêî-õèìè÷åñêèå
ñâîéñòâà ïðîäóêòîâ
ôîñôîðèëèðîâàíèÿ
(I) è îãíåçàùèòíûõ
ñîñòàâîâ (II) íà
îñíîâå ïðîäóêòà
àìèíîëèçà ïîëèêàðáîíàòà
ýòèëåíäèàìèíîì
ïðè ðàçëè÷íîì
ñîîòíîøåíèè
ÝÄÀ.
|
Ñâîéñòâà
|
Ñîîòíîøåíèå
ÏÊ:ÝÄÀ
|
|
ÝÄÀ
|
1:2
|
1:1,5
|
1:1
|
1:0,9
|
|
I
|
II
|
I
|
II
|
I
|
II
|
I
|
II
|
I
|
II
|
|
Ñóõîé
îñòàòîê, %
|
44,17
|
44,85
|
42,69
|
51,05
|
50
|
53,63
|
39,30
|
46,53
|
38,75
|
53,79
|
|
Ïëîòíîñòü,
ã/ñì3
|
1,208
|
1,158
|
1,234
|
1,161
|
1,201
|
1,178
|
1,223
|
1,153
|
1,192
|
1,157
|
Áûëè èñïûòàíû
îãíåçàùèòíûå
ñâîéñòâà ýòèõ
ñîñòàâîâ. Íà ðèñóíêå
2.7 ïðåäñòàâëåíà
çàâèñèìîñòü
ïîòåðè ìàññû
îáðàçöîâ îò ðàñõîäà
ÎÇÑ (ñì. òàáëèöó
2.6).
Ðèñóíîê
2.7- Çàâèñèìîñòü
ïîòåðè ìàññû
îáðàçöà îò ðàñõîäà
ÎÇÑ íà îñíîâå
ïðîäóêòà àìèíîëèçà
ÏÊ â ÝÄÀ.
Êàê âèäíî
èç ðèñóíêà 2.7 ñîñòàâû
íà îñíîâå ïðîäóêòà
àìèíîëèçà ÏÊ
â ÝÄÀ ïðè ñîîòíîøåíèÿõ
(1:1,5), (1:1) è (1:0,9) îáëàäàþò
îãíåçàùèòíûìè
ñâîéñòâàìè è
ïðè ðàñõîäå 290 ã/ì2
ïîòåðÿ ìàññû
äðåâåñèíû ñîñòàâëÿåò
ñîîòâåòñòâåííî
24, 23 è 17% , ÷òî äåëàåò
åå òðóäíîãîðþ÷èì
ìàòåðèàëîì. Ñîñòàâ
æå íà îñíîâå ïðîäóêòà
àìèíîëèçà ÏÊ
â ÝÄÀ ïðè ñîîòíîøåíèè
(1:2) íå îáëàäàåò
îãíåçàùèòíûìè
ñâîéñòâàìè.
2.3.1.4 Èññëåäîâàíèå
ñâîéñòâ îãíåçàùèòíîãî
ñîñòàâà íà îñíîâå
ïðîäóêòà àìèíîëèçà
ïîëèêàðáîíàòà
äèýòàíîëàìèíîì
ïðè ðàçëè÷íîì
ñîäåðæàíèè ÄÝÀ
Ñîëÿíîêèñëûé
ðàñòâîð ïðîäóêòà
àìèíîëèçà ïîëèêàðáîíàòà
áûë èñïîëüçîâàí
â ðåàêöèè ôîñôîðèëèðîâàíèÿ
(ðèñ. 2.8) â êà÷åñòâå
àìèíîñîäåðæàùåãî
ðåàãåíòà. Ðåàêöèÿ
ïðîâîäèëàñü â
òðåõãîðëîé êîëáå,
ñíàáæåííîé ìåøàëêîé
è îáðàòíûì õîëîäèëüíèêîì
ïðè òåìïåðàòóðå
80-900Ñ â òå÷åíèå
2,5 ÷àñîâ.
Ïðîäóêò ôîñôîðèëèðîâàíèÿ
ïðåäñòàâëÿë ñîáîé
æåëòóþ ëèáî áåñöâåòíóþ
æèäêîñòü, ðàñòâîðèìóþ
â âîäå.
Ðèñóíîê
2.8 - Ñõåìà ïðåäïîëàãàåìîé
ðåàêöèè ôîñôîðèëèðîâàíèÿ
ñîëÿíîêèñëîãî
ðàñòâîðà ïðîäóêòà
àìèíîëèçà ïîëèêàðáîíàòà
äèýòàíîëàìèíîì
Ïðîäóêò ôîñôîðèëèðîâàíèÿ
áûë íåéòðàëèçîâàí
âîäíûì ðàñòâîðîì
àììèàêà ñ ïîëó÷åíèåì
îãíåçàùèòíîãî
ñîñòàâà, êðàòêèå
ôèçèêî-õèìè÷åñêèå
ñâîéñòâà êîòîðîãî
ïðèâåäåíû â òàáëèöå
2.14.
Òàáëèöà
2.14-Ôèçèêî-õèìè÷åñêèå
ñâîéñòâà ïðîäóêòîâ
ôîñôîðèëèðîâàíèÿ
(I) è îãíåçàùèòíûõ
ñîñòàâîâ (II) íà
îñíîâå ïðîäóêòà
àìèíîëèçà ïîëèêàðáîíàòà
äèýòàíîëàìèíîì
ïðè ðàçëè÷íîì
ñîîòíîøåíèè
ÄÝÀ.
Òàáëèöà
|
Ñâîéñòâà
|
Ñîîòíîøåíèå
ÏÊ:ÄÝÀ
|
|
1:2
|
1:1,5
|
1:1
|
|
I
|
II
|
I
|
II
|
I
|
II
|
|
Ñóõîé
îñòàòîê, %
|
34,19
|
48,63
|
29,54
|
52,93
|
22,21
|
34,51
|
|
Ïëîòíîñòü,
ã/ñì3
|
1,167
|
1,133
|
1,144
|
1,126
|
1,136
|
1,106
|
Áûëè èñïûòàíû
îãíåçàùèòíûå
ñâîéñòâà ýòèõ
ñîñòàâîâ. Íà ðèñóíêå
2.9 ïðåäñòàâëåíà
çàâèñèìîñòü
ïîòåðè ìàññû
îáðàçöîâ îò ðàñõîäà
ÎÇÑ (ñì. òàáëèöó
2.8).
Ðèñóíîê
2.9- Çàâèñèìîñòü
ïîòåðè ìàññû
îáðàçöà îò ðàñõîäà
ÎÇÑ íà îñíîâå
ïðîäóêòà àìèíîëèçà
ÏÊ â ÄÝÀ.
Êàê âèäíî
èç ðèñóíêà 2.9 ñîñòàâû
íà îñíîâå ïðîäóêòà
àìèíîëèçà ÏÊ
â ÄÝÀ ïðè ðàçëè÷íûõ
ñîîòíîøåíèÿõ
íå îáëàäàþò îãíåçàùèòíûìè
ñâîéñòâàìè.
Ñîëÿíîêèñëûé
ðàñòâîð ïðîäóêòà
àìèíîëèçà ïîëèêàðáîíàòà
áûë èñïîëüçîâàí
â ðåàêöèè ôîñôîðèëèðîâàíèÿ
â êà÷åñòâå àìèíîñîäåðæàùåãî
ðåàãåíòà. Ðåàêöèÿ
ïðîâîäèëàñü â
òðåõãîðëîé êîëáå,
ñíàáæåííîé ìåøàëêîé
è îáðàòíûì õîëîäèëüíèêîì
ïðè òåìïåðàòóðå
80-900Ñ â òå÷åíèå
2 ÷àñîâ.
Ïðîäóêò ôîñôîðèëèðîâàíèÿ
ïðåäñòàâëÿë ñîáîé
æåëòóþ æèäêîñòü,
ðàñòâîðèìóþ
â âîäå. Ïðîäóêò
ôîñôîðèëèðîâàíèÿ
áûë íåéòðàëèçîâàí
âîäíûì ðàñòâîðîì
àììèàêà ñ ïîëó÷åíèåì
îãíåçàùèòíîãî
ñîñòàâà, êðàòêèå
ôèçèêî-õèìè÷åñêèå
ñâîéñòâà êîòîðîãî
ïðèâåäåíû â òàáëèöå
2.15.
Òàáëèöà
2.15-Ôèçèêî-õèìè÷åñêèå
ñâîéñòâà ïðîäóêòà
ôîñôîðèëèðîâàíèÿ
(I) è îãíåçàùèòíîãî
ñîñòàâà (II) íà îñíîâå
ïðîäóêòà àìèíîëèçà
ïîëèêàðáîíàòà
ìîíîýòàíîëàìèíîì
(áàëàíñîâûé îïûò).
|
Ñâîéñòâà
|
I
|
II
|
|
Ñóõîé
îñòàòîê, %
|
47,48
|
46,17
|
|
Ïëîòíîñòü,
ã/ñì3
|
1,209
|
1,165
|
Áûëè èñïûòàíû
îãíåçàùèòíûå
ñâîéñòâà ýòîãî
ñîñòàâà. Íà ðèñóíêå
2.10 ïðåäñòàâëåíà
çàâèñèìîñòü
ïîòåðè ìàññû
îáðàçöîâ îò ðàñõîäà
ÎÇÑ (ñì. òàáëèöó
2.10).
Ðèñóíîê
2.10- Çàâèñèìîñòü
ïîòåðè ìàññû
îáðàçöà îò ðàñõîäà
ÎÇÑ íà îñíîâå
ïðîäóêòà àìèíîëèçà
ÏÊ â ÌÝÀ (áàëàíñîâûé
îïûò).
Êàê âèäíî
èç ðèñóíêà 2.10 ñîñòàâ
íà îñíîâå ïðîäóêòà
àìèíîëèçà ÏÊ
â ÌÝÀ ïðè ñîîòíîøåíèÿõ
(1:1) îáëàäàåò îãåçàùèòíûìè
ñâîéñòâàìè è
ïðè ðàñõîäå 330 ã/ì2
ïîòåðÿ ìàññû
äðåâåñèíû ñîñòàâëÿåò
20% , ÷òî äåëàåò åå
òðóäíîãîðþ÷èì
ìàòåðèàëîì.
3. òåõíîëîãè÷åñêàÿ ÷àñòü
3.1 Õàðàêòåðèñòèêà
èñõîäíîãî ñûðüÿ
è ìàòåðèàëîâ
Òàáëèöà
|
Íàèìåíîâàíèå
ñûðüÿ, ìàòåðèàëîâ
è ïîëóïðîäóêòîâ
|
Ãîñóäàðñòâåííûé
èëè îòðàñëåâîé
ñòàíäàðò, òåõíè÷åñêèå
óñëîâèÿ, ðåãëàìåíò
èëè ìåòîäèêà
íà ïîäãîòîâêó
ñûðüÿ
|
Ïîêàçàòåëè,
îáÿçàòåëüíûå
äëÿ ïðîâåðêè
|
Ðåãëàìåíòèðóåìûå
ïîêàçàòåëè ñ
äîïóñòèìûìè
îòêëîíåíèÿìè,
íå ìåíåå %
|
|
1
|
2
|
3
|
4
|
|
Ôîðìàëèí
òåõíè÷åñêèé
|
ÃÎÑÒ
1625-75, ñîðò 1
|
Ìàññîâàÿ
äîëÿ ôîðìàëüäåãèäà
|
37
|
|
Ôîñôîðèñòàÿ
êèñëîòà òåõíè÷åñêàÿ
|
ÒÓ
6-00-04691277-49-95
|
Ìàññîâàÿ
äîëÿ ôîñôîðèñòîé
êèñëîòû
|
64
|
|
Àììèàê
âîäíûé òåõíè÷åñêèé
|
ÃÎÑÒ
9-92
|
Ìàññîâàÿ
äîëÿ àììèàêà
|
25
|
3.2 Îïèñàíèå
òåõíîëîãè÷åñêîãî
ïðîöåññà
Òåõíîëîãè÷åñêèé
ïðîöåññ ïðîèçâîäñòâà
îãíåçàùèòíîãî
ñîñòàâà (àíòèïèðåíà)
ñîñòîèò èç ðÿäà
ïîñëåäîâàòåëüíûõ
îïåðàöèé, îñíîâíûìè
èç êîòîðûõ ÿâëÿþòñÿ:
· ïîäãîòîâêà
ñûðüÿ è ìàòåðèàëîâ;
· ïîëó÷åíèå
ïðîäóêòîâ ôîñôîðèëèðîâàíèÿ;
· íåéòðàëèçàöèÿ
ïðîäóêòîâ ôîñôîðèëèðîâàíèÿ;
· âûãðóçêà
ãîòîâîãî ïðîäóêòà.
3.2.1 Ïîäãîòîâêà
ñûðüÿ è ìàòåðèàëîâ
Ñîëÿíîêèñëûé
ðàñòâîð ïðîäóêòà
àìèíîëèçà ïîëèêàðáîíàòà
ìîíîýòàíîëàìèíîì
(ÏÊ:ÌÝÀ=1:1) - ìàòî÷íèê
ïîñòóïàåò â æåëåçíîäîðîæíûõ
öèñòåðíàõ èëè
â áî÷êàõ. Èç æåëåçíîäîðîæíûõ
öèñòåðí ìàòî÷íèê
ïåðåêà÷èâàåòñÿ
â åìêîñòü õðàíåíèÿ
(ïîç.Å-1). Èç åìêîñòè
(ïîç.Å-1) ìàòî÷íèê
íàñîñîì (ïîç.Í-1)
ïîäàåòñÿ â ðàñõîäíûé
ìåðíèê (ïîç.Ì-1).
Ôîðìàëèí
ïîñòóïàåò â æåëåçíîäîðîæíûõ
öèñòåðíàõ. Èç
æåëåçíîäîðîæíîé
öèñòåðíû ôîðìàëèí
ïåðåêà÷èâàåòñÿ
â åìêîñòü õðàíåíèÿ
(ïîç.Å-2). Èç åìêîñòè
(ïîç.Å-2) ôîðìàëèí
íàñîñîì (ïîç.Í-2)
ïîäàåòñÿ â ðàñõîäíûé
ìåðíèê (ïîç.Ì-2).
Àììèàê,
25% ðàñòâîð, ïîñòóïàåò
â æåëåçíîäîðîæíûõ
öèñòåðíàõ è ïåðåêà÷èâàåòñÿ
â åìêîñòü äëÿ õðàíåíèÿ
(ïîç.Å-3). Èç åìêîñòè
(ïîç.Å-3) àììèàê
íàñîñîì (ïîç.Í-3)
ïîäàåòñÿ â ðàñõîäíûé
ìåðíèê (ïîç.Ì-3).
3.2.2 Ïîëó÷åíèå
ïðîäóêòîâ ôîñôîðèëèðîâàíèÿ
Ñòàäèÿ ïîëó÷åíèÿ
ïðîäóêòîâ ôîñôîðèëèðîâàíèÿ
ïðîâîäèòñÿ â ñòàëüíîì
ýìàëèðîâàííîì
ðåàêòîðå (ïîç.Ð-1)
îáúåìîì 3,2 ì3 ñ
ðóáàøêîé, ìåøàëêîé
è îáðàòíûì õîëîäèëüíèêîì
(ïîç.Õ-1), êóäà ïîñòóïàåò
ìàòî÷íèê îò îäíîé
îïåðàöèè.
Çàòåì ÷åðåç
ëþê ðåàêòîðà (ïîç.Ð-1)
çàãðóæàþò ôîñôîðèñòóþ
êèñëîòó. Ïî îêîí÷àíèè
çàãðóçêè ôîñôîðèñòîé
êèñëîòû òåìïåðàòóðó
ðåàêöèîííîé
ìàññû ïîäíèìàþò
ïîäà÷åé ïàðà â
ðóáàøêó ðåàêòîðà
äî 90°Ñ è âûäåðæèâàþò
ïðè ýòîé òåìïåðàòóðå
â òå÷åíèå 15 ìèí.
Äàëåå â ðåàêòîð
(ïîç.Ð-1) èç ìåðíèêà
äëÿ ôîðìàëèíà
(ïîç.Ì-2) ïîäàåòñÿ
ôîðìàëèí â ñîîòâåòñòâèè
ñ ðåöåïòóðîé çàãðóçêè
íà îäíó îïåðàöèþ
â òå÷åíèå 30 ìèí.
Èç ðåàêòîðà(ïîç.Ð-1)
÷åðåç îáðàòíûé
êîðîáîíîâûé õîëîäèëüíèê
(ïîç.
Õ-1), îõëàæäàåìûé
îáîðîòíîé âîäîé,
÷àñòè÷íî óíîñÿòñÿ
ôîðìàëüäåãèä,
ïàðû âîäû. Êîíäåíñàò
èç õîëîäèëüíèêà
(ïîç.Õ-1) ÷åðåç ôàçîðàçäåëèòåëü
(ïîç.Ô-1) âîçâðàùàåòñÿ
â ðåàêòîð (ïîç.Ð-1),
à ôîðìàëüäåãèä
íàïðàâëÿåòñÿ
íà ñèñòåìó àäñîðáöèè.
 ðåàêòîðå
ïðè òåìïåðàòóðå
90°Ñ ïðîòåêàåò ðåàêöèÿ
âçàèìîäåéñòâèÿ
ïðîäóêòîâ àìèíîëèçà
ïîëèêàðáîíàòà
ñ ôîñôîðèñòîé
êèñëîòîé è ôîðìàëüäåãèäîì.
Ïîñëå îêîí÷àíèÿ
ñòàäèè ñèíòåçà
â ðóáàøêó ðåàêòîðà
(ïîç.Ð-1) ïîäàåòñÿ
îáîðîòíàÿ îõëàæäàþùàÿ
âîäà è ðåàêöèîííàÿ
ìàññà îõëàæäàåòñÿ
äî 20-30°Ñ.
3.2.3 Íåéòðàëèçàöèÿ
ïðîäóêòîâ ôîñôîðèëèðîâàíèÿ
Îãíåçàùèòíûé
ñîñòàâ ïîëó÷àþò
íåéòðàëèçàöèåé
êèñëîé ðåàêöèîííîé
ìàññû âîäíûì
ðàñòâîðîì àììèàêà.
Íåéòðàëèçàöèÿ
äî ðÍ=5-6 ïðîâîäèòñÿ
25%-íûì âîäíûì ðàñòâîðîì
àììèàêà ïðè òåìïåðàòóðå
20-30°Ñ.
Ðåàêöèÿ ýêçîòåðìè÷íà,
â ðåçóëüòàòå
ðåàêöèè îáðàçóåòñÿ
âîäíî-ñîëåâîé
ðàñòâîð ðåàãåíòà.
Òåïëî ðåàêöèè
íåéòðàëèçàöèè
â ðåàêòîðå (ïîç.Ð-1)
ñíèìàåòñÿ îáîðîòíîé
âîäîé, ïîäàâàåìîé
â ðóáàøêó àïïàðàòà.
Ðàñòâîð
àììèàêà ïîäàåòñÿ
â ðåàêòîð ïðè íåïðåðûâíî
ðàáîòàþùåé ìåøàëêå
èç ìåðíèêà (ïîç.Ì-3)
ñî ñêîðîñòüþ
5-10 ë/ìèí. Â ïðîöåññå
äîáàâëåíèÿ àììèàêà
â ðóáàøêó ðåàêòîðà
ïîäàåòñÿ îõëàæäàþùàÿ
îáîðîòíàÿ âîäà
ñ òåìïåðàòóðîé
15-25°Ñ.  ñëó÷àå ïîäúåìà
òåìïåðàòóðû â
ðåàêöèîííîé
ìàññå âûøå 80°Ñ
ïîäà÷à ðàñòâîðà
àììèàêà ïðåêðàùàåòñÿ
è ðåàêöèîííàÿ
ìàññà îõëàæäàåòñÿ
äî 50°Ñ, ïîñëå ÷åãî
ñíîâà âîçîáíîâëÿåòñÿ
ïîäà÷à àììèàêà.
Ïîñëå ïîäà÷è
â àïïàðàò 80% îò îáúåìà
àììèàêà ïî ðåöåïòóðå
çàãðóçêè ïðîâåðÿåòñÿ
ðÍ ðàñòâîðà. Ïðè
ðÍ ðàñòâîðà íèæå
5 â ðåàêòîð äîçèðóåòñÿ
25 ë ùåëî÷è è ïîñëå
5-ìèíóòíîãî ïåðåìåøèâàíèÿ
ðÍ âíîâü êîíòðîëèðóåòñÿ.
Äàëåå àíàëîãè÷íî
ïîðöèÿìè ïî 25 ë íåéòðàëèçàöèþ
ïðîäîëæàþò äî
äîñòèæåíèÿ ðÍ
ïðîäóêòà 5-6. Ïðè
ðÍ=5-6 íåéòðàëèçàöèþ
çàêàí÷èâàþò.
3.2.4 Âûãðóçêà
ãîòîâîãî ïðîäóêòà
Ïîñëå îêîí÷àíèÿ
íåéòðàëèçàöèè
ãîòîâûé ïðîäóêò
îõëàæäàþò â ðåàêòîðå
äî 25-30°Ñ è ñëèâàþò
ïðè íåïðåðûâíî
ðàáîòàþùåé ìåøàëêå
÷åðåç íèæíèé
ñïóñê â åìêîñòü
ãîòîâîãî ðåàãåíòà
(ïîç.Å-4).
Èç åìêîñòè
(ïîç.-Å-4) ðåàãåíò
çàêà÷èâàåòñÿ
â æåëåçíîäîðîæíûå
öèñòåðíû, ëèáî
çàòàðèâàåòñÿ
â ñòàëüíûå ëàêèðîâàííûå
áî÷êè åìêîñòüþ
200 ë.
Ïðèíöèïèàëüíàÿ
òåõíîëîãè÷åñêàÿ
ñõåìà ïðîèçâîäñòâà
àíòèïèðåíà ïðåäñòàâëåíà
íà ðèñóíêå 3.1.
3.3 Ìàòåðèàëüíûé
áàëàíñ
Ìàòåðèàëüíûé
ðàñ÷åò ïðîèçâîäèòñÿ
â ñîîòâåòñòâèè
ñ ðåöåïòóðîé è
ïî ñòàäèÿì òåõíîëîãè÷åñêîãî
ïðîöåññà. Äëÿ ðàñ÷åòà
òðåáóåòñÿ çíàòü
ðåöåïòóðó, êîíöåíòðàöèþ
òîâàðíîãî ïðîäóêòà
(òàáëèöà 3.2) è ïîòåðè
ïî ñòàäèÿì.
Òàáëèöà
3.2- Ðåöåïòóðà è êîíöåíòðàöèÿ
òîâàðíîãî ïðîäóêòà
|
Íàèìåíîâàíèå
|
Êîíöåíòðàöèÿ,
%
|
Êîëè÷åñòâî,
ì.÷.
|
|
Ìàòî÷íèê
|
|
38
|
|
Í3ÐÎ3
|
100
|
20
|
|
ÑÍ2Î
|
33,3
|
22
|
|
NH3
|
25
|
20
|
Ïðèíèìàåì
ïîòåðè âñåõ âåùåñòâ
ïðè çàãðóçêå
â ðåàêòîð 1 %,
Çàãðóæàåì
ìàòî÷íèê - 38 ì.÷.
Ïîòåðè ïðè çàãðóçêå
1%:
*0,01=0,38 ì.÷.
Ñ ó÷åòîì
ïîòåðü â ðåàêòîð
ïîñòóïàåò:
-0,38=37,62 ì.÷.
Çàãðóæàåì
Í3ÐÎ3 - 20 ì.÷. Ïîòåðè
ïðè çàãðóçêå
1%:
*0,01=0,20 ì.÷.
Ñ ó÷åòîì
ïîòåðü â ðåàêòîð
ïîñòóïàåò:
-0,2=19,80 ì.÷.
Çàãðóæàåì
ÑÍ2Î - 22 ì.÷. Ïîòåðè
ïðè çàãðóçêå
1%:
*0,01=0,22 ì.÷.
Ñ ó÷åòîì
ïîòåðü â ðåàêòîð
ïîñòóïàåò:
-0,22=21,78 ì.÷.
Çàãðóæàåì
NH3 - 20 ì.÷. Ïîòåðè
ïðè çàãðóçêå
1%:
*0,01=0,20 ì.÷.
Ñ ó÷åòîì
ïîòåðü â ðåàêòîð
ïîñòóïàåò:
-0,20=19,80 ì.÷.
Îáùèå ïîòåðè
íà ñòàäèè çàãðóçêè
â ðåàêòîð ñîñòàâëÿþò:
0,38+0,20+0,22+0,20= 1,00 ì.÷.
Ñëåäîâàòåëüíî,
íà ñòàäèè çàãðóçêè
â ðåàêòîð ïîñòóïàåò:
+20+22+20-1,00=99,00 ì.÷.
Òàáëèöà.
Äàííûå ñâåäåì
â òàáëèöó 3.3 è 3.4 ìàòåðèàëüíîãî
áàëàíñà íà ñòàäèè
çàãðóçêè:
|
Òàáëèöà
3.3 - Ìàòåðèàëüíûé
áàëàíñ íà
|
ñòàäèè
çàãðóçêè â ðåàêòîð
|
|
|
Çàãðóæåíî
|
|
Ïîëó÷åíî
|
|
Íàèìåíîâàíèå
|
C , %
|
Êîëè÷åñòâî,
|
Íàèìåíîâàíèå
|
Ñ,%
|
Êîëè÷åñòâî,
|
|
|
ì.÷.
|
|
|
ì.÷.
|
|
Ìàòî÷íèê
|
|
100
|
Ìàòî÷íèê
|
|
99,00
|
|
|
|
Ïîòåðè
|
|
1,00
|
|
|
|
Âñåãî
|
|
100
|
|
Í3ÐÎ3
|
70
|
48
|
Ïðîäóêò
|
|
|
|
ÑÍ2Î
|
33,3
|
52
|
ôîñôîðèëèðîâàíèÿ
|
|
99,00
|
|
|
|
Ïîòåðè
|
|
1,00
|
|
|
|
Âñåãî
|
|
100
|
|
NH3
|
25
|
100
|
Àíòèïèðåí
|
|
99,00
|
|
|
|
Ïîòåðè
|
|
1,00
|
|
|
|
Âñåãî
|
|
100
|
Òàáëèöà
3.4 - Ñâîäíàÿ òàáëèöà
ìàòåðèàëüíîãî
áàëàíñà
|
Çàãðóæåíî
|
Ïîëó÷åíî
|
|
Íàèìåíîâàíèå
|
Ñ,%
|
Êîëè÷åñòâî,
|
Íàèìåíîâàíèå
|
Ñ,%
|
Êîëè÷åñòâî,
|
|
|
ì.÷.
|
|
|
ì.÷.
|
|
Ìàòî÷íèê
|
|
38
|
Àíòèïèðåí
|
|
99.00
|
|
Í3ÐÎ3
|
70
|
20
|
|
|
|
|
ÑÍ2Î
|
33,3
|
22
|
Ïîòåðè
|
|
1.00
|
|
NH3
|
25
|
20
|
|
|
|
|
Âñåãî:
|
|
100
|
Âñåãî:
|
|
100
|
Âûõîä òîâàðíîé
ïðîäóêöèè ñîñòàâèò:
99.00/100* 100%=99%
Ðàñ÷åò íîðìû
ðàñõîäà ñûðüÿ
íà 1 òîííó ðåàêöèîííîé
ñìåñè:
Ïîäêèñëåííûé
ìàòî÷íèê:
Òàáëèöà
3.5 - Ñâîäíàÿ òàáëèöà
íîðìû ðàñõîäà
ñûðüÿ íà 1ò òîâàðíîé
ïðîäóêöèè
|
Íàèìåíîâàíèå
|
Íîðìà
ðàñõîäà, êã
|
|
Ìàòî÷íèê
|
383,84
|
|
Í3ÐÎ3
|
202,02
|
|
ÑÍ2Î
|
222,22
|
|
NH3
|
202,02
|
|
Âñåãî:
|
1010,1
|
Çàêëþ÷åíèå
. Ñîñòàâëåí
àíàëèòè÷åñêèé
îáçîð ïî àçîò-ôîñôîðñîäåðæàùèì
îãíåçàùèòíûì
ñîñòàâàì, àíòèïèðåíàì
äëÿ äðåâåñèíû
è äðåâåñíûõ ìàòåðèàëîâ
(áèáëèîãðàôèÿ
45 èñòî÷íèêîâ).
. Ïîëó÷åíû
îãíåçàùèòíûå
ñîñòàâû íà îñíîâå
ïðîäóêòîâ àìèíîëèçà
ïîëèêàðáîíàòà
(ÏÊ) ìîíîýòàíîëàìèíîì
(ÌÝÀ), ýòèëåíäèàìèíîì
(ÝÄÀ) è äèýòàíîëàìèíîì
(ÄÝÀ).
. Èçó÷åíà
îãíåçàùèòíàÿ
ýôôåêòèâíîñòü
àíòèïèðåíîâ
íà îñíîâå ïðîäóêòîâ
àìèíîëèçà ÏÊ
è ÌÝÀ ïðè ðàçëè÷íûõ
ìàññîâûõ ñîîòíîøåíèÿõ
è óñòàíîâëåíî,
÷òî ïðè ñîîòíîøåíèÿõ
(1:2), (1:1) è (1:1,5) ñîñòàâû
îáëàäàþò îãíåçàùèòíûìè
ñâîéñòâàìè. Ïðè
ðàñõîäå 250 ã/ì2
ïîòåðÿ ìàññû
äðåâåñèíû ñîñòàâëÿåò
îò 9 äî 24%,ñëåäîâàòåëüíî
ýòè ñîñòàâû îòíîñÿòñÿ
êî II ãðóïïå îãíåçàùèòíîé
ýôôåêòèâíîñòè.
Ñîñòàâ æå íà îñíîâå
ïðîäóêòà àìèíîëèçà
ÏÊ â ÌÝÀ ïðè ñîîòíîøåíèè
(1:0,9) íå îáëàäàåò
îãíåçàùèòíûìè
ñâîéñòâàìè.
. Èçó÷åíà
îãíåçàùèòíàÿ
ýôôåêòèâíîñòü
àíòèïèðåíîâ
íà îñíîâå ïðîäóêòîâ
àìèíîëèçà ÏÊ
è ÝÄÀ ïðè ðàçëè÷íûõ
ìàññîâûõ ñîîòíîøåíèÿõ
è óñòàíîâëåíî,
÷òî ïðè ñîîòíîøåíèÿõ
(1:0,9,), (1:1) è (1:1,5) ñîñòàâû
îáëàäàþò îãíåçàùèòíûìè
ñâîéñòâàìè. Ïðè
ðàñõîäå 290 ã/ì2
ïîòåðÿ ìàññû
äðåâåñèíû ñîñòàâëÿåò
ñîîòâåòñòâåííî
îò 17 äî 24% , ñëåäîâàòåëüíî
ýòè ñîñòàâû îòíîñÿòñÿ
êî II ãðóïïå îãíåçàùèòíîé
ýôôåêòèâíîñòè.
Ñîñòàâ æå íà îñíîâå
ïðîäóêòà àìèíîëèçà
ÏÊ â ÝÄÀ ïðè ñîîòíîøåíèè
(1:2) íå îáëàäàåò
îãåçàùèòíûìè
ñâîéñòâàìè.
5. Èçó÷åíà
îãíåçàùèòíàÿ
ýôôåêòèâíîñòü
àíòèïèðåíîâ
íà îñíîâå ïðîäóêòîâ
àìèíîëèçà ÏÊ
è ÄÝÀ ïðè ðàçëè÷íûõ
ìàññîâûõ ñîîòíîøåíèÿõ
è óñòàíîâëåíî,
÷òî ñîñòàâû íà
îñíîâå ïðîäóêòà
àìèíîëèçà ÏÊ
â ÄÝÀ ïðè ðàçëè÷íûõ
ñîîòíîøåíèÿõ
íå îáëàäàþò îãíåçàùèòíûìè
ñâîéñòâàìè.
6. Ïðåäëîæåíà
ïðèíöèïèàëüíàÿ
òåõíîëîãè÷åñêàÿ
ñõåìà ïðîèçâîäñòâà
àíòèïèðåíà îñíîâå
ïðîäóêòîâ àìèíîëèçà
ÏÊ â ÌÝÀ.
Ñïèñîê
èñïîëüçîâàííûõ
èñòî÷íèêîâ
îãíåçàùèòà
äðåâåñèíà àíòèïèðåí
àìèíîëèç
1.Àñååâà,
Ð.Ì. Ãîðåíèå ïîëèìåðíûõ
ìàòåðèàëîâ [Òåêñò]/
Ð.Ì. Àñååâà, Ã.Å.
Çàèêîâ - Ì.Íàóêà,
1981, 280 ñ.
2.Weil,
E.D. Encyclopedia of chemical technology [Òåêñò]/
E.D. Weil - New York, 1980 V10. P. 348-419
3.Èçó÷åíèå
îãíåçàùèòíîé
ýôôåêòèâíîñòè
àçîò-ôîñôîðñîäåðæàùèõ
ñîñòàâîâ äëÿ
äðåâåñèíû / Â.Ì.
Áàëàêèí, Þ.È.Ëèòâèíåö,
Å.Þ. Ïîëèùóê, À.Â.
Ðóêàâèøíèêîâ//
Ïîæàðîâçðûâîáåçîïàñíîñòü
Ò.16 ¹ 5 2007 Ñ.39-41
.Ðîìàíåíêîâ
È.Ã. Îãíåçàùèòà
ñòðîèòåëüíûõ
êîíñòðóêöèé
[Òåêñò]/ È.Ã. Ðîìàíåíêîâ,
Ô.À. Ëåâèòåñ, - Ì.
Ñòðîéèçäàò 1991
ã. 320ñ
.Àçîò-ôîñôîðñîäåðæàùèå
àíòèïèðåíû äëÿ
äðåâåñèíû è äðåâåñíûõ
êîìïîçèöèîííûõ
ìàòåðèàëîâ. (Ëèòåðàòóðíûé
îáçîð)// Â.Ì. Áàëàêèí,
Å.Þ. Ïîëèùóê// Ïîæàðîâçðûâîáåçîïàñíîñòü
Ò.17, ¹2, 2008 Ñ.43-51
.Ëèòâèíåö
Þ.È. Îñíîâû ôèçèêî-õèìè÷åñêîé
ìîäèôèêàöèè
äðåâåñíûõ ïëèò:
Êóðñ ëåêöèé äëÿ
ñòóäåíòîâ ñïåöèàëüíîñòè
«Òåõíîëîãèÿ äðåâåñíûõ
ïëèò è ïëàñòèêîâ».
Åêàòåðèíáóðã:
ÓÃËÒÓ, 2003. - 115 ñ.
.Òû÷èíî
Í.À. Âûñîêîýôôåêòèâíûå
îãíåçàùèòíûå
ñðåäñòâà êîìáèíèðîâàííîãî
äåéñòâèÿ äëÿ îáðàáîòêè
äðåâåñèíû/äèñ.
ä. ò. í. Ìîñêâà 2006.
.Ïîâûøåíèå
îãíåñòîéêîñòè
äðåâåñèíû ðàñòâîðàìè,
ñîäåðæàùèìè
áèøîôèò, áîðíóþ
êèñëîòó è áóðó
/ Òóæèêîâ Î. È., Ïîëüñêàÿ
Í. Í. //ÐÆÕèì -2005.-ò4-19Ô.6
.Ïðèäàíèå
îãíå- è áèîñòîéêîñòè
äðåâåñèíå ñ ïîìîùüþ
áèøîôèòà è áîðñîäåðæàùèõ
âåùåñòâ /Ïîëüñêàÿ
Í. Í., Òóæèêîâ Î.
È. // ÐÆÕèì.-2004.-ò16-19Ô.17
.Çàùèòíûå
ñîñòàâû äëÿ äðåâåñèíû
íà îñíîâå ñóáåðèíà
êîðû áåðåçû /Ñóäàêîâà
È. Ã., Èâàíîâ È. Ï.,
Êóçíåöîâ Á. Í.
//ÐÆÕèì.- 2006.-ò2-19Ô.14
.Ñèíòåç
âñïó÷èâàþùåãîñÿ
îãíåçàùèòíîãî
ñðåäñòâà íà îñíîâå
ìåëàðèíîâûõ
ñîëåé ôîñôàòà
êðàõìàëà /Dong Yan-mao, Bao
Zhi-yu // ÐÆÕèì.-2006.-ò4-19Ô.48
.Îãíåáèîçàùèòíûé
ñîñòàâ äëÿ äðåâåñèíû
"ÊÑÄ-À"// ÐÆÕèì.-
2007.-ò04-19Ô.2
.Îãíåçàùèòíûé
âñïó÷èâàþùèéñÿ
ñîñòàâ äëÿ ïîêðûòèÿ
äåðåâÿííûõ ïîâåðõíîñòåé
/Àìáàðöóìÿí Ð.
Ã. // ÐÆÕèì.- 1999.-îò6-Ô11Ï
.Îãíåáèîçàùèòíûé
ïðîïèòî÷íûé ñîñòàâ/
Ãðå÷ìàí À. Î., Ãðå÷ìàí
Ò. À. // ÐÆÕèì.- 2000.-ò12-Ô8Ï
.Îãíåçàùèòíûé
ñîñòàâ äëÿ äðåâåñèíû
(åãî âàðèàíòû)//
ÐÆÕèì.- 2003.-ò12-19Ô.21Ï
.Îãíåçàùèòíûé
ñîñòàâ äëÿ äðåâåñèíû//
ÐÆÕèì.- 2004.-ò15-19Ô.10Ï
.Ñîñòàâ
äëÿ çàùèòû äðåâåñèíû
îò âîçãîðàíèé
è áèîïîâðåæäåíèé
/Ìèõàéëîâ Â. È.,
Çåìëèöêèé Â. Å.,
Êèñåëåâ Å. À //ÐÆÕèì.-
1997.-ò16-Ô7Ï
.Îãíåáèîçàùèòíûé
ñîñòàâ äëÿ îáðàáîòêè
äðåâåñèíû /Èâàíîâà
Ò. À., Êîøåâîé Ï.
È., Ãðåêîâà Í. À
//ÐÆÕèì.- 1998.-ò16-Ô3Ï
.Ñîñòàâ
äëÿ îãíå- è áèîçàùèòû
äðåâåñíûõ ìàòåðèàëîâ,
áóìàãè, òêàíåé.
(Âàðèàíòû è ìîäèôèêàöèè
- ÂèÌ)/Åëüöîâ À. Þ.
//ÐÆÕèì.- 2000.-ò24-Ô5Ï
.Ñîñòàâ
äëÿ îãíå- è áèîçàùèòû
äðåâåñèíû/ Ïàò.
Ðîññèÿ //ÐÆÕèì.-2005.24-19Ô.10Ï
.Îðëîâà
À.Ì. Îãíåçàùèòà
äðåâåñèíû [Òåêñò]/
À.Ì. Îðëîâà, Å.À. Ïåòðîâà//Ïîæàðîâçðûâîáåçîïàñíîñòü
¹2, 2002 ñ. 8 - 17.
.Ïðåäâîäèòåëåâ
Ä.À. Íîâûé ìåòîä
ñèíòåçà ôîñôîðñîäåðæàùèõ
ýôèðîâ öåëëþëîçû
/Ä.À. Ïðåäâîäèòåëåâ,
Ý.Å. Íèôàíòüåâ,
Ç.À. Ðîãîâèí // Âûñîêîìîëåêóëÿðíûå
ñîåäèíåíèÿ,
1966, ò.8, ¹.1, ñ.76-79.
.Áîðàòîâ
À.Í. Ïîæàðíàÿ îïàñíîñòü
ñòðîèòåëüíûõ
ìàòåðèàëîâ [Òåêñò]/
À.Í. Áîðàòîâ, À.À.
Àíäèàíîâ, À.ß Êîðîëü÷åíêî
è äð. ïîä ðåä. À.Í.
Áîðàòîâà. - Ì.: Ñòðîéèçäàò
1988. - 380 ñ.
.Ïîêðîâñêàÿ
Å.Í. Õèìèêî-ôèçè÷åñêèå
îñíîâû óâåëè÷åíèÿ
äîëãîâå÷íîñòè
äðåâåñèíû. Ñîõðàíåíèå
ïàìÿòíèêîâ äåðåâÿííîãî
çîä÷åñòâà ñ ïîìîùüþ
ýëåìåíòîîðãàíè÷åñêèõ
ñîåäèíåíèé [Òåêñò]
- Ì.:Èçäàòåëüñòâî
ÀÑÂ, 2003, 104ñ.
.Ïåòðîâà
Å.À. Ñíèæåíèå
ãîðþ÷åñòè ìàòåðèàëîâ
íà îñíîâå äðåâåñèíû
[Òåêñò] äèñ. êàíä.
òåõí. íàóê. Ìîñêâà
2003 132 ñ.
.Ñîñòàâà
äëÿ îãíå- è áèîçàùèòû
äðåâåñèíû /Ìèõàéëîâ
Â. È., Êèñëÿêîâ À.
Ï. // ÐÆÕèì.- 2003.-ò08-19Ô.10Ï
.Weil
E.D. Enciclopedia of chemical technology [Òåêñò]
/ Wiley-Interscience: New York, 1980 V.10 p 348-419
28.Ìûøëÿêîâñêèé
À.Í. Îðãàíè÷åñêèå
ïîêðûòèÿ ïîíèæåííîé
ãîðþ÷åñòè [Òåêñò]/À.Í.
Ìûøëÿêîâñêèé,
À.Ä. Ëûêîâ, Â.Í. Ðåíêèí.
- Ë.: Õèìèÿ, 1989. - 184 ñ.
.Ñèâåíêîâ
À.Á. Îãíåçàùèòíûå
ïîêðûòèÿ íà îñíîâå
ìîäèôèöèðîâàííûõ
ïîëèñàõàðèäîâ.
×àñòü1. Èññëåäîâàíèå
ãîðþ÷åñòè è âîñïëàìåíÿåìîñòè
[Òåêñò]/ À.Á. Ñèâåíêîâ,
Á.Á. Ñåðêîâ, Ð.Ì. Àñååâà,
À.Ì. Ñàõàðîâ, Ï.À.
Ñàõàðîâ È.Ï. Ñêèáèäà//
Ïîæàðîâçðûâîáåçîïàñíîñòü
¹1, 2002 ñ.39-44
.Òû÷èíî
Í.À. Âûñîêîýôôåêòèâíûå
îãíåçàùèòíûå
ñðåäñòâà êîìáèíèðîâàííîãî
äåéñòâèÿ äëÿ îáðàáîòêè
äðåâåñèíû [Òåêñò]/
äèñ. ä.ò.í. Ìîñêâà
2006.
.Çóáêîâ
Í.Ñ. Ñðàâíèòåëüíàÿ
îöåíêà ýôôåêòèâíîñòè
ôîñôîðñîäåðæàùèõ
çàìåäëèòåëåé
ãîðåíèÿ äëÿ òåêñòèëüíûõ
ìàòåðèàëîâ [Òåêñò]/
Í.Ñ. Çóáêîâà, Í.Ã.
Áóòûëêèíà, Í.È.
Êîíñòàíòèíîâà,
Ã.È.Áîëîäüÿí, Î.È.
Ìîë÷àäñêèé./ Êðóïíûå
ïîæàðû: ïðåäóïðåæäåíèå
è òóøåíèå. Ìàòåðèàëû
16-é íàó÷íî ïðàêòè÷åñêîé
êîíôåðåíöèè.
Ìîñêâà 2001 ×.1. Ì.: Èçä-âî
ÂÍÈÈÏÎ 2001 ñ. 214-216
.Áàëàêèí
Â.Ì. Íîâûå îãíåçàùèòíûå
ñîñòàâû äëÿ äðåâåñèíû
ñåðèè «Òåðìèíóñ»
[Òåêñò]/ Â.Ì. Áàëàêèí,
Þ.È. Ëèòâèíåö, Ì.À.
Áåëîáîðîäîâ, Í.Ñ.
Îâ÷èííèêîâà//
Ìàòåðèàëû 26-é ìåæäóíàðîäíîé
êîíôåðåíöèè è
âûñòàâêè «Êîìïîçèöèîííûå
ìàòåðèàëû â ïðîìûøëåííîñòè»
ã.ßëòà; 2006. Ñ.14-16
.Áàëàêèí
Â.Ì. Îãíåáèîçàùèòíûå
ñîñòàâû íà îñíîâå
ïîëèàìèíîìåòèëôîñôîíàòîâ
äëÿ äðåâåñíûõ
ìàòåðèàëîâ [Òåêñò]/
Áàëàêèí Â.Ì., Ïîòàïîâ
À.Â., Ëèòâèíåö Þ.È.,
Ïàçíèêîâà Ñ.Í,
×åðíîãîëîâ È.À.//
Ìàòåðèàëû 11-é ìåæäóíàðîäíîé
êîíôåðåíöèè ñòóäåíòîâ
è àñïèðàíòîâ.
Êàçàíü,
ÊÕÒÓ,
2005 ñ.222
.Vandersall
H.L. Intumiscent coating systems. Their development and chemistry [Òåêñò]/J.
Fire&Flammability, Vol.2 April 1971 p.97-140
.Ïàò
2106938 ÑØÀ
Fireproof of wood [Òåêñò]/
H.Tramm, Carl Clar, Paul Kuhnel, W. Schuff. Îïóáë
1.02.1938
.Ëåîíîâè÷
À. À. Îáåñïå÷åíèå
îãíåçàùèùåííîñòè
äðåâåñíî-ñòðóæå÷íûõ
ïëèò ñ ïîìîùüþ
àìèäîôîñôàòà
ÊÌ [Òåêñò]/ À.À. Ëåîíîâè÷,
Â.Â. Âàñèëüåâ// Äåðåâîîáðàáàòûâàþùàÿ
ïðîìûøëåííîñòü.
- 1997. ¹5 Ñ.6-7
.Òàëàêèí
Â.Ñ. Ñèíòåç è ñâîéñòâà
âîäîðàñòâîðèìûõ
ïîëèìåðíûõ è
îëèãîìåðíûõ
àìèíîìåòèëåíôîñôîíîâûõ
êèñëîò [Òåêñò]/
Â.Ñ. Òàëàíêèí
äèñ. ê.õ.í. Ñâåðäëîâñê
1987 147ñ.
.Áàëàêèí
Â.Ì. Èññëåäîâàíèå
àìèíîìåòèëåíôîñôîíàòîâ
â êà÷åñòâå àíòèïèðåíîâ
äëÿ äðåâåñíûõ
ïëèò [Òåêñò]/ Â.Ì.
Áàëàêèí, Â.Ñ. Òàëàíêèí,
Þ.È. Ëèòâèíåö, À.Â.
Ëåíèëèí, Â.È. Áèðþêîâ,
Ì.Ï. Ãàâðèëîâ. À.Í.
Âàñèëüåâà// Òåõíîëîãèÿ
äðåâåñíûõ ïëèò
è ïëàñòèêîâ. Ìåæâóçîâñêèé
ñáîðíèê. ÓÏÈ Ñâåðäëîâñê
1983 ñ.76-79
.Áàëàêèí
Â.Ì. Âîçìîæíîñòü
èñïîëüçîâàíèÿ
àëêèëàìèíîìåòèëåíôîñôî-íàòîâ
â êà÷åñòâå àíòèïèðåíîâ
äëÿ äðåâåñíûõ
ïëèò [Òåêñò]/ Â.Ì.
Áàëàêèí, Þ.È. Ëèòâèíåö,
Â.Ñ. Òàëàíêèí,
Ò.À. Ïàñòóõîâà
// Òåõíîëîãèÿ äðåâåñíûõ
ïëèò è ïëàñòèêîâ.
Ìåæâóçîâñêèé
ñáîðíèê. ÓÏÈ Ñâåðäëîâñê
1985 ñ.75-79
.ÒÓ
6-09-20-195-91 Àìèôîë. Òåõíè÷åñêèå
óñëîâèÿ [Òåêñò].
.ÒÓ
2499-025-16886106-2003 Ñîñòàâ îãíåçàùèòíûé
Àììîôîí-1. Òåõíè÷åñêèå
óñëîâèÿ. [Òåêñò]
.À.Â.
Àíòîíîâ Ãîðåíèå
êîêñîîáðàçóùèõ
ïîëèìåðíûõ ñèñòåì
[Òåêñò]/ À.Â. Àíòîíîâ.
È.Ñ. Ðåøåòíèêîâ,
Í.À. Õîëòóðèíñêèé//
Óñïåõè õèìèè
68 7 1999 ñ. 663-673
.Ôîñôîðñîäåðæàùèå
êàðáàìèäîàìèíîôîðìàëüäåãèäíûå
îëèãîìåðû: è èññëåäîâàíèå
îãíåçàùèòíûõ
è ôèçèêî-õèìè÷åñêèõ
ñâîéñòâ /Â.Ì. Áàëàêèí,
Å.Þ. Ïîëèùóê, Å.Ì.
Ãîðáóíîâà, À.Â.
Ðóêàâèøíèêîâ//
Ïîæàðîâçðûâîáåçîïàñíîñòü
Ò.17 ¹5 2008 Ñ. 54-56
.Òàóáêèí
Ñ.È. Îñíîâû îãíåçàùèòû
öåëëþëîçíûõ ìàòåðèàëîâ
[Òåêñò]. - Ì.: Èçä-âî
ÌÊÕ ÐÑÔÑÐ, 1960 - 346ñ.
.Ñïîñîáû
è ñðåäñòâà îãíåçàùèòû
äðåâåñèíû [Òåêñò].
ÃÓÏÎ ÌÂÄ ÑÑÑÐ,
ÂÍÈÈÏÎ. - Ì., 1985 - 57 ñ.
Ðàçìåùåíî
íà Allbest.ru