Расчет нагрузок методом коэффициента максимума
Цель работы: рассчитать нагрузки методом
коэффициента максимума.
Задание
|
№
|
P,
кВт
|
|
η
|
Ku
|
|
|
14
|
0,9
|
0,9
|
0,54
|
|
|
4x2
|
0,54
|
0,63
|
0,23
|
|
|
9
|
0,65
|
0,54
|
0,9
|
|
|
2x3
|
0,78
|
0,78
|
0,1
|
.Приводим нагрузки к виду удобному для расчета.
2.Определяем значение коэффициента использования
для приемника по таблице 1.
3.Определяем значение сменной мощности.
.Определяем значение активной мощности.
. Рассчитываем сумму сменной и активной
мощностей.
∑P=6,3+0,7+0,54+0,4=7,9 кВт
∑Q=6,3+0,3+0,54+0,7=7,84 кВА
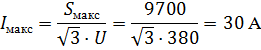
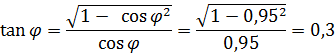
6.Находим значения максимальных значений нужных
параметров.
нагрузка приемник
мощность максимальный
7.Заполняем таблицу.
|
Наименование
|
n
|
Мощность
|
m
|
Ku
|

|
|
|
Максимальные
мощности
|
|
|
|
P
|
∑P
|
|
|
|
|
|
|
|
|
|
|
|
|
|
|
|
|
|
|
|
|
|
|
|
|
|
|
|
1
|
16
|
16
|
6
|
0,5
|
1,2
|
8,5
|
1,2
|
8
|
0,9
|
8,2
|
7,5
|
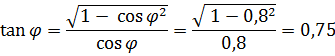
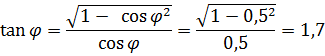
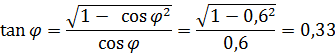
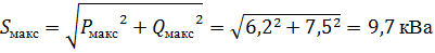
9,7
|
30
|
|
|
4
|
2
|
8
|
|
0,23
|
1,6
|
0,7
|
0,3
|
|
|
|
|
|
|
|
|
1
|
9
|
9
|
|
0,9
|
2,1
|
1,8
|
0,4
|
|
|
|
|
|
|
|
|
2
|
3
|
6
|
|
0,1
|
0,5
|
0,4
|
0,7
|
|
|
|
|
|
|
|
итого
|
8
|
30
|
39
|
6
|
1,7
|
5,4
|
11,4
|
2,6
|
|
|
Вывод:
|
в
ходе проделанной работы мы произвели расчеты нагрузок методом коэффициента
максимума.
|
AXSYS-THTL5-WHCJC-868AA-DELRZ