Разработка схемы и расчет основных параметров фотоприемного устройства ВОЛС в диапазоне скоростей передачи 1-10 Гбит/с, длина волны 1,55 мкм
Содержание
курсового проекта
Введение
. Определение требуемой ширины полосы частот ФП и
длительности тактового интервала
. Определение минимального соотношения сигнал-шум
на выходе фотоприемного устройства (SNR)
. Выбор небходимого фотодиода
. Выбор типа транзистора входного каскада
усилителя ФПУ
. Расчет минимальной мощности оптического
излучения на входе фотоприемника.
. Пути и способы улучшения чувствительности
разработанного фотоприемника.
Список литературы и интернет ресурсов
Введение
Цель проекта:
Провести разработку схемы и расчет основных параметров фотоприемного
устройства ВОЛС в диапазоне скоростей передачи 1-10 Гбит/с, длина волны 1,55
мкм.
Исходные данные к проекту:
. Скорость передачи информации - В [Гбит/с].
2. Допустимый коэффициент ошибок (BER).
. Тип кодирования сигнала (NRZ или RZ).
. Тип усилителя фотоприемника.
Задание на курсовой проект:
. Исходя и заданной скорости передачи и типа кодирования, определить
необходимую длительность тактового интервала и требуемую ширину полосы частот
фотоприемного устройства. Обосновать расчет ширины полосы: кратко описать
теоретические основы выбора кода в ВОСП, перечислить достоинства и недостатки
кодов различных типов, рассчитать ширину спектра сигнала заданной скорости
передачи при заданном типе кода.
2. Исходя из заданной вероятности ошибки, определить минимально
необходимое соотношение сигнал-шум на выходе фотоприемного устройства (SNR). Обосновать расчет величины SNR, кратко описать теоретические основы
зависимости между BER и SNR, провести необходимые расчеты.
. Выбрать необходимый тип фотоприемника (PIN-фотодиод или ЛФД, материал светочувствительного слоя
- Si, Ge, InGaAsP). Найти в
технической литературе и выбрать конкретный тип фотодиода, выпускаемого
промышленностью (привести несколько различных типов доступных современных
фотодиодов с указанием их параметров и обосновать выбор).
. Выбрать схему входного каскада фотоприемника, привести краткий
обзор различных схем с анализом достоинств и недостатков каждой и обосновать
свой выбор. Выбрать тип транзистора входного каскада усилителя ФПУ (биполярный
или полевой), обосновать выбор, найти в технической литературе и выбрать
конкретный тип транзистора, выпускаемого промышленностью.
. На основании результатов предыдущих стадий разработки проекта рассчитать
минимальную мощность оптического излучения на входе фотоприемника, необходимую
для получения заданного коэффициента ошибок (чувствительность приемника).
Сравнить полученные данные с параметрами известных, коммерчески доступных
фотоприемников с аналогичными величинами B и BER:
найти в технической литературе и привести несколько типов конкретных,
выпускаемых промышленностью современных фотоприемников с указанием их
параметров и сравнительный анализ достоинств и недостатков разработанного ФПУ.
. Проанализировать пути и способы улучшения чувствительности
разработанного фотоприемника. Рассчитать длину регенерационного участка ВОЛС с
разработанным приемником (принять мощность излучения 0 дБм и затухание в кабеле
0,3 дБ/км).
Типы и технические характеристики выпускаемых промышленностью фотодиодов,
транзисторов и фотоприемников искать в технической литературе (справочники,
каталоги, сайты производителей). Использовать только современную справочную
литературу (не ранее 2000 года издания).
Согласно официальному списку группы:
. Скорость передачи информации - В=0,8 [Гбит/с].
2. Допустимый коэффициент ошибок - BER=10-9.
. Тип кодирования сигнала - фотонный.
. Тип усилителя фотоприемника - с высоким входным
сопротивлением.
В данном курсовом проекте все расчеты будут выполнены с помощью
математического пакета MathCad.
1.
Определение требуемой
ширины полосы частот ФП и длительности тактового интервала
А) Критерии выбора кода:
Основные факторы, которыми определяется выбор кода передачи в ВОЛС:
1. Спектр сигнала в полосе пропускания. Спектр сигнала должен быть
узким и не должен иметь постоянной составляющей, т.е. должен быть ограничен
сверху и снизу.
2. Восстановление частоты следования импульсов синхронизации. Для
принятия решения и восстановления импульсов и их фазы требуются импульсы
синхронизации, которые необходимо извлечь из принятого сообщения.
. Согласование с дискретным сообщением. Код передачи должен
отображать любую двоичную последовательность.
. Контроль над коэффициентом ошибок в оконечном оборудовании. Необходимо
контролировать качество связи, не прерывая ее, поэтому требуется код передачи,
обладающий избыточностью или характеристическими последовательностями. Тогда
достаточно фиксировать нарушение правил формирования кода, чтобы контролировать
качество связи.
. Простота эксплуатации. Устройства кодирования, декодирования и
контроля ошибок должны быть достаточно простыми.
. Совместимость с передачей по оптическим волокнам. Форма
импульсов должна соответствовать наилучшим характеристикам оптического волокна.
Поскольку импульсы излучаемой оптической мощности, могут быть только
положительными или нулевыми, мы не можем непосредственно использовать
биполярные коды, которые применяются для передачи информации по проводным
линиям.
Примеры простейших кодов приведены в приложении стр. 1.
Кодирование передаваемой по сети информации имеет самое непосредственное
отношение к соотношению максимально допустимой скорости передачи и пропускной
способности используемой среды передачи. Например, при разных кодах предельная
скорость передачи по одному и тому же кабелю может отличаться. От выбранного
кода прямо зависят также сложность сетевой аппаратуры и надежность передачи
информации.
При низкой скорости передачи информации отношение сигнала к шуму обычно
довольно велико, и поэтому можно использовать кодирование с широким спектром
частот, очень простое в осуществлении. И наоборот, при высокой скорости
передачи важно не расширять спектр частот, чтобы, с одной стороны, эффективно
отфильтровать шум в приемнике, а с другой - упростить структуру усилительных
схем и схем восстановления частоты синхроимпульсов.
Код NRZ
Код NRZ (Non Return to Zero - без возврата к нулю) - это простейший код,
представляющий собой обычный цифровой сигнал. Логическому нулю соответствует
высокий уровень напряжения в кабеле, логической единице - низкий уровень
напряжения (или наоборот, что не принципиально). Уровни могут быть разной
полярности (положительной и отрицательной) или же одной полярности
(положительной или отрицательной). В течение битового интервала (bit time, BT),
то есть времени передачи одного бита никаких изменений уровня сигнала в кабеле
не происходит.
К несомненным достоинствам кода NRZ относятся его довольно простая
реализация (исходный сигнал не надо ни специально кодировать на передающем конце,
ни декодировать на приемном конце), а также минимальная среди других кодов
пропускная способность линии связи, требуемая при данной скорости передачи.
Ведь наиболее частое изменение сигнала в сети будет при непрерывном чередовании
единиц и нулей, то есть при последовательности 1010101010..., поэтому при
скорости передачи, равной 10 Мбит/с (длительность одного бита равна 100 нс)
частота изменения сигнала и соответственно требуемая пропускная способность
линии составит 1 / 200нс = 5 МГц.
Скорость передачи и требуемая пропускная способность при коде NRZ
Передача в коде NRZ с синхросигналом
Самый большой недостаток кода NRZ - это возможность потери синхронизации
приемником во время приема слишком длинных блоков (пакетов) информации.
Приемник может привязывать момент начала приема только к первому (стартовому)
биту пакета, а в течение приема пакета он вынужден пользоваться только
внутренним тактовым генератором (внутренними часами). Например, если передается
последовательность нулей или последовательность единиц, то приемник может
определить, где проходят границы битовых интервалов, только по внутренним
часам. И если часы приемника расходятся с часами передатчика, то временной
сдвиг к концу приема пакета может превысить длительность одного или даже
нескольких бит. В результате произойдет потеря переданных данных. Так, при
длине пакета в 10000 бит допустимое расхождение часов составит не более 0,01%
даже при идеальной передаче формы сигнала по кабелю.
Код RZ
Код RZ
(Return to Zero - с возвратом к нулю) - этот трехуровневый код получил такое
название потому, что используется три следующие уровня: отсутствие света,
"средний" свет, "сильный" свет. Это очень удобно: даже
когда нет передачи информации, свет все равно присутствует, что позволяет легко
определить целостность оптоволоконной линии связи без дополнительных мер.
Использование кода RZ
В центре битового интервала всегда есть переход сигнала (положительный
или отрицательный), следовательно, из этого кода приемник легко может выделить
синхроимпульс (строб). Возможна временная привязка не только к началу пакета,
как в случае кода NRZ, но и к каждому отдельному биту, поэтому потери
синхронизации не произойдет при любой длине пакета. фотоприемник
транзистор усилитель фотодиод
Еще одно важное достоинство кода RZ - простая временная привязка приема,
как к началу последовательности, так и к ее концу. Приемник просто должен
анализировать, есть изменение уровня сигнала в течение битового интервала или
нет. Первый битовый интервал без изменения уровня сигнала соответствует
окончанию принимаемой последовательности бит. Поэтому в коде RZ можно
использовать передачу последовательностями переменной длины. Недостаток кода RZ
состоит в том, что для него требуется вдвое большая полоса пропускания канала
при той же скорости передачи по сравнению с NRZ.
Согласно заданию на курсовой проект, нам нужно использовать фотонный код,
правила кодирования приведены в таблице 1.
Таблица 1.
|
Код
|
Определение
|
Импульсы
|
Ширина полосы (при 90%
энергии)
|
|
|
1
|
0
|
|
|
Фотонный
|
“1”: попеременно уровень 1
и 0 на всем интервале “0”: переход в середине интервала
|
 1.52/T
|
|
|
Спектральные плотности кодов передачи (рис. 1):
Спектральные плотности основных кодов передачи. Рис 1. [1, стр. 379]
B) Определение требуемой ширины полосы частот ФП и
длительности тактового интервала
Зная скорость передачи информации В, найдем длительность тактового
интервала:
При заданном типе кодирования сигнала (фотонный код), ширина полосы
частот фотоприемного устройства должна (таблица 1, приложение):
Таким
образом, ширина полосы частот фотоприемного устройства должна превышать 
2. Определение
минимального соотношения сигнал-шум на выходе фотоприемного устройства (SNR)
Исходя из заданного допустимого коэффициента ошибок (BER), определим минимально необходимое
соотношение сигнал-шум на выходе фотоприемного устройства (SNR).
Операция принятия решения (стробирования), в принципе очень простая,
усложняется из-за искажения сигнала на выходе. Это происходит по двум причинам:
1) Из-за ограниченной полосы пропускания приемника и линии связи. Форма
принимаемого импульса отличается от прямоугольной формы передаваемого импульса.
Наблюдаются хвосты импульса вне рабочего промежутка времени и наползание на
соседние импульсы - так называемая межсимвольная помеха.
2) На полезный сигнал накладывается паразитное напряжение случайного
шума, мгновенная амплитуда которого может быть сравнима с порогом.
На практике обычно нельзя уменьшить влияние обоих эффектов одновременно.
Но на самом деле влияние последнего фактора достаточно мало по сравнению с
влиянием шума, и в расчетах им можно пренебречь.
Искажение сигнала, в особенности шумом, приводит к принятию ошибочных
решений и поступлению к получателю некоторого числа ложных сигналов в двоичной
форме. Качество восстановленного сообщения характеризуется коэффициентом
ошибок, под которым понимают отношение числа ложных битов на выходе приемника к
полному числу полученных битов.
Предположим,
что напряжение сигнала - это случайная величина с гауссовым законом
распределения и стандартным отклонением 
. Она
центрирована на u, когда излучается символ «1», и на нуле при передаче
«0». Поэтому условная вероятность приема символа «0» при передаче символа «1»
будет равна вероятности того, что напряжение на выходе приемника будет ниже
порога 
.
Следовательно,
выражение для этой вероятности имеет вид:

[1, стр.
375]
Аналогично
условная вероятность приема символа «1», когда передается символ «0», равна:

[1, стр.
375]
С
помощью замены переменной:

[1, стр.
375] (1)

[1, стр.
375], (2) где

-
дополнительная функция ошибок.
Символы
«1» и «0» считаются равновероятными, значит полная вероятность ошибки, равна:
Учитывая,
что вероятность ошибки одинакова для каждого символа:
С
учетом (1) и (2), это выражение дает следующее значение порога:
Выражение
для вероятности ошибки примет вид:

, где
Введение
параметра Q оправдано, так как его величина пропорциональна SNR,
определяемому обычно для цифровых систем связи как отношение максимального
напряжения сигнала к действующему значению напряжения шума.

[1, стр.
376]
Определим
минимально необходимое отношение сигнал-шум на выходе фотоприемного устройства:
Для
точности определения, используем математический пакет MathCad:
Графическое
изображение функции P(Q)=BER(Q).
С
помощью графического изображения BER(Q), учитывая, что 
,
определим параметр Q:
Q=6
Из
формулы 
Получаем,
что минимально необходимое отношение сигнал-шум на выходе фотоприемного
устройства 
.
3. Выбор
необходимого фотодиода
Приемник излучения должен преобразовать оптический сигнал в
электрический. Поскольку информационный сигнал содержится в модулированном
световом потоке, этот поток должен быть принят как можно полнее и без
искажений. Так как рабочая поверхность приемника - намного больше сечения
световода, потери при переходе излучения в приемник будут намного меньше, чем
при переходе от источника в линию. Для приема излучения могут использоваться
фотодиоды. Это - полупроводниковые приборы на основе кремния, германия и
соединений элементов третьей и пятой групп. Основными параметрами приемников
являются чувствительность, темновой ток и порог чувствительности. Параметры
определяются при заданных источнике излучения, электрическом режиме и
температуре.
Наиболее популярными для применения в ВОСП являются полупроводниковые
PIN-фотодиоды и лавинные фотодиоды (ЛФД или APD).
В p-i-n фотодиодах между слоями с разной проводимостью вводится слой с
собственной проводимостью (i область), который при подаче обратного напряжения
смещения обедняется свободными носителями, и сильное электрическое поле в нем
будет ускорять носители, которые будут образовываться в результате поглощения
света. Они обладают большей чувствительностью за счет снижения потерь от
рекомбинации. Барьерная емкость - мала, за счет чего обеспечиваются хорошие
частотные характеристики . Для них требуется не большое напряжение обратного
смещения (5 В и меньше), что определяет их преимущественное использование в ЛВС
и других оконечных устройствах.
Лавинные фотодиоды обладают внутренним усилением и отличаются от p-i-n
фотодиодов наличием еще одного дополнительного слоя. При высоких обратных
напряжениях смещения (порядка 100 В) в них образуется сильное ускоряющее поле,
в котором происходит лавинное размножение носителей, то есть усиление фототока.
эти приборы характеризуются высокой чувствительностью, большим усилением и
высоким быстродействием, однако, их использование затруднено сложностью,
высокой стоимостью, высокими рабочими напряжениями, необходимостью стабилизации
напряжений и температур и работой только в режиме усиления слабого сигнала.
Выбирая фотодиод, в требуемом спектральном диапазоне, нам необходимо
обеспечить наибольшую чувствительность, минимальную емкость, минимальный
темновой ток, минимальную эквивалентную мощность шумов.
Спектральные характеристики приемников оптического излучения (рис 2):
Рис.2 Спектральные характеристики приемников оптического излучения [3,
стр. 269]
Из приведенного выше рисунка (рис.2), видно, что в третьем окне
прозрачности для изготовления фотодиодов используются такие материалы, как Ge и InGaAs (соединения группы АIIIBv). Будем выбирать из приемников,
изготовленных из этих материалов.
Как правило, в InGaAs-фотодиодах
достигаются большие значения показателя поглощения света, чем в Ge. Если же на длине волны 1.33 мкм они
соизмеримы, то уже на 1.55 мкм германий обладает меньшим поглощением. Так же
вследствие малой ширины запрещенной зоны плотность темнового тока в германии
превышает на несколько порядков плотность темнового тока в InGaAs.
Исходя из вышесказанного, будем выбирать фотодиод на основе InGaAs.
В таблице 2 и таблице 3 приведен ряд PIN и APD
фотодиодов соответственно:
Таблица 2. PIN-фотодиоды
|
модель
|
Fв, ГГц
|
Id, нА
|
S, А/Вт
|
C, пФ
|
dакт, мкм
|
|
Mitsubishi Electric
Semiconductor PD708C8
|
2
|
0.05
|
0.9
|
1.2
|
80
|
|
Kyosemi Corporation KPDE10GC-V2
|
14
|
0.01
|
0.95
|
0.17
|
28
|
|
Microsemi Corporation LX3055
|
6.5
|
0.6
|
1.0
|
0.35
|
60
|
|
Hamamatsu Corporation G8198-1
|
3
|
0.06
|
0.95
|
0.6
|
40
|
|
Kodenshi
Korea corp. KPPB1-LM622
|
1.4
|
0.2
|
0.95
|
1.3
|
70
|
Таблица 3. APD-фотодиоды
|
модель
|
Fв, ГГц
|
Id, нА
|
S, А/Вт
|
C, пФ
|
M
|
F
|
dакт, мкм
|
|
Mitsubishi Electric Semiconductor PD893E6
|
8.5
|
30
|
0.85
|
0.22
|
н/д
|
н/д
|
20
|
|
Eudyna Devices Inc FPD5W1KX
|
3
|
15
|
0.92
|
0.55
|
10
|
4
|
30
|
|
NEC Compound
Semiconductor Devices NR8300FP-CC
|
2.5
|
5
|
0.96
|
0.35
|
30
|
5 при М=10
|
30
|
|
Hamamatsu G8931-04
|
4
|
40
|
0.9
|
0.35
|
н/д
|
н/д
|
40
|
|
Optoway Technology Inc APD-1155
|
2.5
|
80
|
0.9
|
0.6
|
н/д
|
н/д
|
н/д
|
Выберем по одному фотодиоду из каждой таблицы.
Среди PIN-фотодиодов, благодаря низким
показателям Id=0.01 нА и C=0.17 пФ и высокой чувствительностью S=0.95 А/Вт, можно выделить модель KPDE10GC-V2, изготовленную Kyosemi Corporation.
Среди APD-фотодиодов, выделяется диод модели NR8300FP-CC от производителя NEC Compound
Semiconductor Devices, который отличается от диодов других производителей
низким темновым током Id=5
нА, низкой емкостью C=0.35 пФ и
сравнимой с другими диодами чувствительностью S=0.96 А/Вт.
Фактор шума для выбранного APD-фотодиода:

[4, стр.
340, формула 13.4.1]
где
х - фактор умножения, зависящий от материала ФД и типа носителей, вызывающих
лавину. (Для InGaAs х=0.7)
Полное описание характеристик выбранных фотодиодов приведено в
приложении.
4. Выбор
типа транзистора входного каскада усилителя ФПУ
Основные оптические приемники состоят из фотодиода подключенного к
предварительному усилителю, согласно нашему варианту, нам задан тип усилителя с
высоким входным сопротивлением (см. рис. 3)
Рис. 3. Схема приемника оптического излучения с высоким входным
сопротивлением [3, стр. 268]
Для усиления слабого фототока требуется предварительный усилитель с
низким уровнем шума. Приемники характеризуются чувствительностью и динамическим
диапазоном. Чувствительность определяется оптической мощностью, которая
попадает на детектор и формирует на выходе приемника необходимое соотношение
сигнал/шум. Динамический диапазон определяет увеличение мощности, которое
вызывает увеличение ошибки на разряд в цифровом приемнике. Чем больше
чувствительность приемника, тем меньше динамический диапазон.
В настоящее время разработаны следующие схемы приемника:
с низким входным сопротивлением
с высоким входным сопротивлением
с трансимпедансией
Усилитель с высоким входным сопротивлением обеспечивает наиболее низкий
уровень шума, а следовательно, максимальную чувствительность. Однако вследствие
высокого нагрузочного импеданса на входном каскаде частотная характеристика
ограничивается постоянной времени RC входной цепи:

, [3,
стр. 274]
Где
R - сопротивление из параллельно включенных
сопротивлений цепи смещения и входного сопротивления усилителя
С
- ёмкость из параллельно включенных емкостей фотодиода и входной емкости
усилителя.
Из-за значительной постоянной времени RC приемник с высоким сопротивлением интегрирует регистрируемый
сигнал. Таким образом, после приемника необходимо включить в цепь
корректирующее устройство. Основным недостатком такой схемы является
ограниченный динамический диапазон. Как правило, 15-25 дБ по оптическому
сигналу.
Трансимпедансный усилитель применяется для устранения ограничения динамического
диапазона усилителя с высокоомным входом (обеспечивается динамический диапазон
вплоть до 40 дБ). Кроме того, используется отрицательная обратная связь для
расширения полосы пропускания усилителя. Напряжение на выходе прибора:

, [3,
стр. 274]
Где

-
сопротивление обратной связи

- ток
фотодиода.
Будем
полагать, что усилитель состоит из нескольких каскадов. Однако, если первый
каскад обеспечивает достаточно высокое усиление, то шумы, вносимые последующими
каскадами, приведут лишь к незначительному увеличению общего уровня шума на
выходе.
Для
усилителей рассматривается возможность использования трех типов транзисторов:
1) кремниевый полевой плоскостной;
2) кремниевый биполярный плоскостной;
) полевой канальный на арсениде галлия.
На частотах более 1 ГГц целесообразно использовать во входном каскаде
полевой канальный транзистор из арсенида галлия, с минимальным фактором шума NF (NoiseFactor).
Критерии выбора транзисторов:
Для полевых транзисторов:
1) Крутизна входной характеристики транзистора gm должна быть как можно выше, что
обеспечит наибольший рост значения тока стока при увеличении напряжения
затвор-исток.
2) Значение силы тока затвора Iз, как и любого тока утечки, должно быть как можно меньше.
Для биполярных транзисторов:
1) Значения силы тока коллектора должно быть как можно больше, а тока
базы - меньше, что обеспечит наибольший коэффициент передачи по току.
Так же, как и в 3 пункте приведем ряд полевых и биполярных транзисторов
(см. таблица 4, таблица 5 соответственно):
Таблица
4. Полевые транзисторы
|
модель
|
F, ГГц
|
gm,мСм
|
Iс, мА
|
Iз,мА
|
NF, дБ
|
|
Hexawave inc.
HWL34YRF
|
2.4
|
700
|
1200
|
6
|
н/д
|
|
RFMD inc.
SPF-2000
|
12
|
112
|
85
|
0.3
|
0.5
|
|
Alpha Industries AFM06P3-212
|
18
|
120
|
200
|
1
|
н/д
|
Таблица 5. Биполярные транзисторы
|
модель
|
F, ГГц
|
Iк, А
|
Iб, А
|
h21
|
NF, дБ
|
|
KEC (Korea Electronics) KTC2026
|
4,5
|
0,03
|
-
|
25
|
1.9
|
|
Philips Semiconductors BFS17A
|
2.8
|
0.025
|
-
|
90
|
2.5
|
|
Infineon Technologies BFS17P
|
1.4
|
0.025
|
-
|
70
|
3.5
|
|
Infineon Technologies BFT92
|
5
|
0.025
|
-
|
50
|
-
|
Опираясь на вышеперечисленные критерии, сделаем выбор транзисторов:
Среди полевых транзисторов сделать выбор достаточно сложно.
Например, транзистор Hexawave inc. HWL34YRF имеет весьма большую крутизну входной характеристики,
что безусловно является плюсом, но тем самым ток затвора достаточно велик, что
является его недостатком. Аналогичная ситуация с транзистором Alpha
Industries AFM06P3-212. Опираясь на некоторые знания и собственную логику,
транзистор RFMD inc SPF-2000 обладает наилучшими
характеристиками.
Чтобы убедиться в предпочтениях проведем анализ нескольких полевых
транзисторов, на примере:
Alpha Industries AFM06P3-212 и
RFMD inc SPF-2000
Изначально при выборе биполярного транзистора, рассчитаем ток базы
для каждого по известной нам формуле:

[4, стр. 367]
Так как у транзисторов токи коллектора практически одинаковы, выбор будет
исходить от значения коэффициента передачи по току. Наибольшее значение
параметра h21 имеет транзистор от компании Philips Semiconductors модели BFS17A, так же преимуществом
этого транзистора является достаточно низкий фактор шума NF= 2.5 дБ, что на дБ ниже, чем у
«конкурента» Infineon Technologies BFS17P.
Выбираем транзистор от компании Philips Semiconductors модели BFS17A.
Выбор транзистора и фотодиода будет произведен в следующем пункте, в нем
будут рассмотрены различные комбинации этих устройств, выбор будет сделан
исходя из наилучшего показателя шумовых параметров каждой связки.
Полный перечень характеристик выбранных транзисторов, приведен в
приложении.
5.
Расчет минимальной мощности оптического излучения на входе фотоприемника
При рассмотрении шумов следует очень внимательно относиться к тому, что
понимается под этим термином. Шум обусловлен теми случайными флуктуациями тока,
которые возникают в любой электронной схеме или ее элементе в силу самой
природы электричества и над которыми разработчик схемы не имеет никакого
контроля. Эти флуктуации накладываются на любые сигналы, проходящие через цепь,
и маскируют их. Так же следует различать шумы и помехи, под которыми понимают
те нежелательные сигналы, которые попадают в схему от внешних источников.
Электрический сигнал содержит в себе дробовый шум, поскольку он является
потоком дискретных частиц (электронов), порождённых в результате случайного
квантового процесса детектирования оптического сигнала в фотодиоде.
Спектральная плотность дробового шума PIN-фотодиода:

[4, стр.
348]
А при использовании ЛФД из-за лавинного умножения:

[4, стр.
348],
Где

- полоса
частот, в пределах которой наблюдаются флуктуации, а 
-
среднее значение тока, относительно которого происходят флуктуации.
Если спектральная плотность не зависит от частоты, то шум называют белым.
Всякий рассеивающий элемент системы сносит шум. Таким образом, любое
сопротивление в электронной цепи приводит к появлению теплового шума (шума
Джонсона), обусловленного случайным тепловым движением носителей заряда. Это
движение можно наблюдать в виде флуктуации тока в резисторе или соответствующих
ему флуктуаций напряжения на его выводах. Средний квадрат спектральной
плотности флуктуаций тока и напряжения на сопротивлении R:

[4, стр.
349]

[4, стр.
349],
Где k - постоянная Больцмана, T - температура на резисторе.
Очевидно, что тепловой шум - это белый шум.
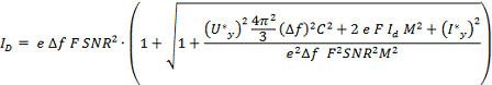
Окончательное выражение отношения сигнал-шум на выходе усилителя:
[4, стр. 353, (полный вывод формулы приведен на стр. 351-353)]
Где, R - эквивалентное сопротивление, учитывающее динамическое
сопротивление диода, его цепей смещения и входное сопротивление усилителя.
С - эквивалентная ёмкость, учитывающая ёмкость переходов ФД, входную
ёмкость усилителя и паразитные ёмкости монтажа элементов фотодетектора и
усилителя.
Для удобства последующего анализа каждая из пяти составляющих шума в
знаменателе обозначается буквами а…д.
Согласно поставленной задаче, нам предлагается использовать усилитель с
высоким входным сопротивлением. Если согласится с необходимостью использовать
коррекцию и сделать величину R достаточно большой, то шумы будут определяться
слагаемыми б, в, д. Какое из этих слагаемых будет наибольшим, зависит от
полосы перекрываемых частот и типа используемого в усилителе входного прибора.
В этом случае отношение сигнал-шум принимает вид:

[4, стр.
356]
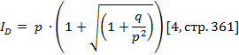
Из
полученного соотношения выразим ток фотодиода 
:
Возведем
обе части равенства во вторую степень, раскроем скобку:
Приведем
выражение к виду:
Произведем
следующую замену:
Получим
квадратное уравнение:
Решение
этого уравнения имеет вид:
Произведя
обратную замену, получим:
Используя
данное соотношение, рассчитаем ток 
,
полученные результаты запишем в виде таблицы (все расчеты выполнены с помощью MathCad).
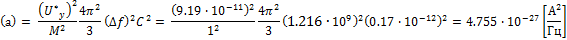
Для
наглядности приведем пример одного расчета (биполярный транзистор BFS17A и APD-фотодиод NR8300FP-CC):

- биполярный Филипс
- диод ЛФД
[А]
Полная таблица результатов будет выглядеть следующим образом (таблица 6):
Таблица 6.
|
ID [А]
|
Биполярный Philips Semiconductors BFS17A
|
Полевой Alpha Industries AFM06P3-212
|
Полевой RFMD inc SPF-2000
|
|
PIN Kyosemi
Corporation KPDE10GC-V2
|
|
|
|
|
ЛФД NEC
Compound Semiconductor Devices NR8300FP-CC
|
|
|
|
Найдем суммарный уровень шума фотоприемного устройства для всех возможный
комбинаций фотодиод-транзистор, таких комбинаций у нас будет 6.
. Оценка шумов ФПУ (PIN-фотодиод
Kyosemi Corp. KPDE10GC-V2 - биполярный транзистор Philips
Semiconductors BFS17A):
Параметры, которые потребуются в расчетах:
Заряд
электрона: 
Полоса
частот: 
Постоянная
Больцмана: 
Температура:
Т = 298 ºК = 25 ºС
Основной
вклад в шумы биполярных плоскостных транзисторов вносит дробовый шум, связанный
с токами смещения базы Iб и коллектора Iк
соответственно. Выражение для спектральных плотностей шумовых тока и напряжение
выглядит следующим образом:

[4, стр.
439]

[4, стр.
439]
Подставляем
численные значения:
Рассчитаем
каждое из слагаемых знаменателя выражения
Для
PIN-фотодиода величины M и F
берутся равными 1:
Сумма
всех слагаемых равна:
. Оценка шумов ФПУ (PIN-фотодиод
Kyosemi Corp. KPDE10GC-V2 - полевой
Alpha
Industries AFM06P3-212):
В полевом транзисторе главным является тепловой шум, обусловленный
сопротивлением канала, тогда оценки спектральных плотностей шумовых тока и
напряжения входного каскада усилителя можно найти из следующих соотношений:

[4, стр.
439]

[4, стр.
439]
Подставляем
численные значения:
Аналогично
предыдущему пункту, рассчитаем каждое из слагаемых:
Сумма
всех слагаемых равна:
3. Оценка шумов ФПУ (PIN-фотодиод
Kyosemi Corp. KPDE10GC-V2 - полевой транзистор RFMD inc SPF-2000):
Спектральные плотности шумового тока и напряжения:
Каждое из слагаемых равно:
Сумма всех слагаемых равна:
. Оценка шумов ФПУ (APD-фотодиод
NEC Compound Semiconductor Devices NR8300FP-CC - биполярный транзистор Philips
Semiconductors BFS17A):
Каждое из слагаемых равно:
Сумма всех слагаемых равна:
. Оценка шумов ФПУ (APD-фотодиод
NEC Compound Semiconductor Devices NR8300FP-CC - полевой транзистор Alpha
Industries AFM06P3-212):
Каждое из слагаемых равно:
Сумма всех слагаемых равна:
. Оценка шумов ФПУ (APD-фотодиод
NEC Compound Semiconductor Devices NR8300FP-CC - полевой транзистор RFMD inc SPF-2000):
Каждое из слагаемых равно:
Сумма всех слагаемых равна:
Для удобства анализа, занесем все полученные результаты в таблицу
(таблица 7 и таблица 8):
Результаты комбинации PIN-фотодиода
Kyosemi Corp. KPDE10GC-V2 и выбранных транзисторов:
Таблица 7
Результаты комбинации APD-фотодиода
NEC Compound Semiconductor Devices NR8300FP и
выбранных транзисторов:
Таблица 8
Посмотрев полученные результаты видно, что наименьший уровень шумов у фотоприемного
устройства, изготовленного из комбинации APD-фотодиод NEC Compound Semiconductor Devices NR8300FP-CC - биполярный транзистор Philips Semiconductors
BFS17A.
Проведем анализ полученного:
1. В
связке с PIN-фотодиодом спектральная плотность темнового тока
(слагаемое В) получилась на 4 порядка ниже, чем в связке с APD-фотодиодом,
поскольку эта составляющая шума в первом случае зависит только от темнового
тока 
, а в
случае с APD фотодиодом
также зависит и от коэффициента F-фактор шума, не равного 1.
Ко всему этому можно добавить, что хоть и у APD-фотодиода чувствительность выше, но характеристика
темнового тока хуже, чем у PIN-фотодиода.
Нетрудно заметить, что именно эта характеристика входит в определение
слагаемого В.
2. Дробовой шум - основная составляющая внутренних шумов большинства
радиоэлектронных устройств, которые приводят к искажению слабых полезных
сигналов и ограничивают чувствительность усилителей. Исходя из полученных
результатов, можно сказать, что во всех рассмотренных вариантах значения
спектральной плотности дробового шума фототока оказались примерно равными
(слагаемое Б), одного порядка. Объясняется это тем, что дробовый шум - это беспорядочная
флуктуация напряжений и токов относительно их среднего значения в цепях,
обусловленная дискретностью электрического заряда - электрона.
Так же относительный уровень слагаемого Б зависит от значения M и F. В связи с этим для PIN-фотодиода дробовый шум незначителен. При использовании
же APD-фотодиода наблюдается уменьшение
слагаемых А и Г, в следствие чего дробовый шум является доминирующим.
Из этих двух пунктов, сделаем вывод, что ФПУ на основе связки с PIN-фотодиодом, выигрывают, хоть и
незначительно, по шумовым составляющим диода, у ФПУ на основе связки с APD-фотодиодом.
. Слагаемые А и Г, отвечающие за шумы транзисторов, в ФПУ на основе APD-фотодиода получились на 1-2 порядка
ниже, чем у ФПУ на основе PIN-фотодиода.
Это связано с присутствием у APD-фотодиода
лавинного эффекта. Нетрудно заметить это и из аналитического представления этих
слагаемых. При расчете слагаемых А и Г в случае с APD-фотодиодом происходит деление на коэффициент
лавинного умножения.
Из вышесказанного сделаем заключение, что APD-фотодиод значительно снижает требования к
транзистору.
. Из полученных результатов так же видно, что с биполярным
транзистором достигаются лучшие показатели по шумам.
Вторым
критерием выбора основы для фотоприемного устройства может служить критерий
«чувствительности», но не сложно догадаться, что ФПУ из комбинации APD-фотодиод
NEC Compound Semiconductor Devices NR8300FP-CC - биполярный транзистор Philips Semiconductors
BFS17A будет иметь наибольшую чувствительность в силу того, что рассчитанный
ранее ток 
, для
этой комбинации имеет наименьшее значение.
Определим минимальную оптическую мощность этого фотоприёмного устройства:
Исходя из этих двух критериев выбора, в качестве фотодиода фотоприемного
устройства выбираем APD-фотодиод NEC Compound Semiconductor Devices NR8300FP-CC, а в качестве транзистора входного
каскада усилителя биполярный транзистор Philips Semiconductors BFS17A.
Рассчитаем длину регенерационного участка:
Сравним спроектированное нами ФПУ с ФПУ устройствами, изготовленными
известными нами производителями (таблица 9):
Таблица 9
|
Название
|
BER
|
В, Гбит/с
|
Чувств-ть,
дБм
|
Тип кода
|
Схема усилителя
|
|
Спроектированное ФПУ
|
|
0.8
|
-31.781
|
фотонный
|
C высоким входным сопротивлением
|
|
Eudyna Devices Inc FRM5W232FY
|
|
2.49
|
-34
|
NRZ
|
Трансимп.
|
|
Mitsubishi
Electric Semiconductor FU-311SPP-CV4
|
|
0.62
|
-32
|
NRZ
|
Трансимп.
|
Видно, что ФПУ Eudyna Devices Inc превосходит разработанное мною
ФПУ по всем параметрам. Данное ФПУ имеет большую скорость передачи информации и
при большей чувствительности обладает лучшим показателем по BER.
Можно пересчитать чувствительность для спроектированного мною ФПУ при
скорости передачи информации, указанной для ФПУ Eudyna Devices Inc (2.49Гбит/с,
так же и изменю тип кода с фотонного на NRZ и значение BER):
Получили
еще более худший показатель по чувствительности (примерно на 5.1 дБм). ФПУ от Mitsubishi Electric Semiconductor уступает
разработанному ФПУ по скорости и немного превосходит по чувствительности.
Интересно рассчитать какую чувствительность покажет спроектированный ФПУ при
В=0.62 Гбит/с и BER = 
и коде NRZ,
характерных ФПУ от Mitsubishi Electric Semiconductor.
К моей неожиданности показатель по чувствительности спроектированного ФПУ
оказался незначительно лучше, чем у ФПУ от Mitsubishi Electric Semiconductor.
6. Пути
и способы улучшения чувствительности разработанного фотоприемника
1. Использование оптимального коэффициента лавинного умножения.
Рассмотрим выражение для определения тока диода:
идно,
что ток является функцией 
Найдем
такое М, при котором 
будет
минимальным и следовательно чувствительность максимальной.
Построим
график:
Из
графика видно, что наиболее оптимальным является 
.
Рассчитаем чувствительность для данного М:
Получили
чувствительность выше чувствительности при М=30.
2. Использование другого кода передачи.
Для увеличения чувствительности разработанного фотоприемного устройства
также можно использовать менее широкополосный код. Например, вместо фотонного
кода можно использовать код NRZ,
так как этот код имеет наименьшую полосу частот:
При
использовании этого кода, значение 
составит:
В
итоге, величина чувствительности:
. Применение другого типа усилителя.
Несмотря на то, что усилитель с высоким входным сопротивлением
обеспечивает наиболее низкий уровень шума, а следовательно, максимальную
чувствительность. Но вследствие высокого нагрузочного импеданса на входном
каскаде частотная характеристика ограничивается постоянной времени RC входной цепи:

, [3,
стр. 274]
Из-за значительной постоянной времени RC приемник с высоким сопротивлением интегрирует регистрируемый
сигнал. Таким образом, после приемника необходимо включить в цепь
корректирующее устройство. Основным недостатком такой схемы является
ограниченный динамический диапазон. Как правило, 15-25 дБ по оптическому
сигналу.
Опираясь на вышесказанное, можно применить трансимпедансный усилитель для
устранения ограничения динамического диапазона усилителя с высокоомным входом
(обеспечивается динамический диапазон вплоть до 40 дБ). Кроме того, в нем
используется отрицательная обратная связь для расширения полосы пропускания
усилителя.
Если учесть всё вышесказанное, получим следующее значение
чувствительности (возьмем Мопт = 12.8, выберем код NRZ):
Также оценим длину регенерационного участка при заданной
чувствительности:
Список
использованной литературы
1. А.Козанне, Ж.Флере, Г.Мэтр, М.Руссо «Оптика и связь»,
М., Мир, 1984г
2. Э.А.Шевцов, М.Е.Белкин «Фотоприемные устройства
волоконно-оптических систем передачи», М., Радио и связь, 1992г.
. М.Кауфман, А. Сидман «Практическое руководство по
расчетам схем в электронике», справочник, т.2, М., Энергоатомиздат, 1993г.
. Дж.Гауэр «Оптические системы связи», М., Радио и
связь, 1989г.
5. http://www.chip-dip.ru
6. http://www.chipfind.ru
. http://ru.wikipedia.org
. http://www.excode.ru