Разработка схемы одноразрядного сумматора на логических элементах

  • Вид работы:
    Дипломная (ВКР)
  • Предмет:
    Информатика, ВТ, телекоммуникации
  • Язык:
    Русский
    ,
    Формат файла:
    MS Word
    744,8 Кб
  • Опубликовано:
    2013-02-24
Вы можете узнать стоимость помощи в написании студенческой работы.
Помощь в написании работы, которую точно примут!

Разработка схемы одноразрядного сумматора на логических элементах

Аннотация

«Разработка схемы одноразрядного сумматора на логических элементах»

Данный дипломный проект посвящен разработке схемы полного одноразрядного сумматора на логических элементах в соответствии с заданными параметрами и условиями его эксплуатации.

В экономической части проведен расчет затрат на разработку проекта и дана оценка экономического эффекта от использования данного продукта.

Рассмотрены также вопросы охраны труда и снижения воздействия на работающих вредных производственных факторов

В ходе выполнения дипломного проекта выполнены расчеты:

·        расчет схемы одноразрядного сумматора;

·        расчет надёжности изделия;

·        расчет себестоимости изделия.

Содержание

Введение

Глава 1. Исследовательская часть

.1 Логические основы работы ЭВМ

.2 ИМС К155ИМ1

.3 Виды сумматоров

.3.1 Четвертьсумматор

.3.2 Полусумматор

.3.3 Полный одноразрядный двоичный сумматор

.4 Классификация сумматоров

.5 Важнейшие параметры сумматоров

.6 Характерные неисправности и пути их исправления

Глава 2. Технологическая часть

2.1 Расчёт полного одноразрядного сумматора

.2 Выбор элементной базы

.3 Элементная база

.4 Расчёт надёжности

Глава 3. Экономическая часть

3.1 Определение экономической эффективности внедрения

.2 Стоимость материалов

.3 Затраты на оплату труда

.4 Общая величина капитальных вложений на реализацию проекта

.5 Определение годового экономического эффекта

.6 Расчет экономической эффективности

Глава 4. Охрана труда

.1 Микроклимат рабочей зоны разработчика

.2 Освещение рабочего места

.2.1 Расчет естественного освещения

.2.2 Расчет искусственного освещения

.3 Воздействие шума на программиста

.4 Опасность повышенного уровня напряженности

.5 Электробезопасность, статическое электричество

.6 Пожарная безопасность

.7 Допуск к работе

Заключение

Список использованной литературы

Перечень сокращений

Введение

Цифровая электроника в настоящее время все более и более вытесняет традиционную аналоговую. Ведущие фирмы, производящие самую разную электронную аппаратуру, все чаще заявляют о полном переходе на цифровую технологию. Причем, это относится как к бытовой технике (аудио,- видеоаппаратура, средства связи), так и к профессиональной технике (измерительная, управляющая аппаратура). Ставшие уже привычными персональные компьютеры также полностью реализованы на основе цифровой технологии. Видимо, в ближайшем будущем полностью аналоговые устройства будут применяться только в тех редких случаях, когда требуется получить рекордные значения некоторых параметров электронных устройств (например, быстродействия).

Основной элементарной операцией, выполняемой над кодами чисел в цифровых устройствах, является арифметическое сложение.

Сумматор - логический операционный узел, выполняющий арифметическое сложение кодов двух чисел. При арифметическом сложении выполняются и другие дополнительные операции: учет знаков чисел, выравнивание порядков слагаемых и тому подобное. Указанные операции выполняются в арифметическо-логических устройствах или процессорных элементах, ядром которых являются сумматоры.

В процессе выполнения данной дипломной работы будет предложен комплект конструкторской документации на устройство «Одноразрядный сумматор» на логических элементах.

Глава 1. Исследовательская часть

 

.1 Логические основы работы ЭВМ


Во всех современных компьютерах применяется логическая система, изобретенная Джорджем Булем. Тысячи микроскопических электронных переключателей в кристалле интегральной схемы сгруппированы в системы «вентилей», выполняющих логические операции, т.е. операции с предсказуемыми результатами. На приведенных здесь рисунках показаны элементарные логические вентили И, ИЛИ и НЕ. Все остальные логические схемы компьютера могут быть построены на основе вентилей этих трех типов.

Соединенные в различные комбинации, логические вентили дают возможность компьютеру решать задачи с помощью закодированных импульсов его двоичного языка. На вход каждого логического вентиля поступают электрические сигналы высокого и низкого уровней напряжения, которые он интерпретирует в зависимости от своей функции и выдает один выходной сигнал также либо низкого, либо высокого уровня. Эти уровни соответствуют одному из состояний двоичной системы: да - нет, единица - нуль, истина - ложь. Простой вентиль И, например, выдает на выходе 1 в том и только том случае, когда на все его входы поступает 1, что соответствует логическому значению «истина».

Действуя в соответствии с определенными правилами, логические вентили координируют движение данных и выполнение инструкций в компьютере. Так, определенный элемент данных может пройти от одного блока к другому только в том случае, если на входах конкретного вентиля И оба сигнала будут равны 1.

Изображенные на рисунке 1 вентили выполняют логическую операцию И. Они показаны символическими обозначениями, принятыми в электронике. Хотя у каждого вентиля И здесь изображено по два входа, на самом деле число входов может быть и большим. Однако, как у всех логических вентилей, выход у него только один. Вентиль И по определению выдает значение 1, т. е. логическое значение «истина», в том и только том случае, когда на оба его входа поступает 1, т. е. «истина». Три верхних вентиля дают на выходе 0, или «ложь», поскольку ни у одного из них на оба входа не поступает по 1. Лишь у нижнего вентиля на выходе появляется 1, т. е. «истина».

Как и вентили И, вентили ИЛИ могут иметь больше двух входов, Но только один выход. Однако к входам этих вентилей «предъявляются менее строгие требования». Как показано на рисунке 2, на выходе вентиля ИЛИ 1, или «истина», получается и в том случае, когда по крайней мере на один из его входов поступает 1. Только в одном случае вентиль ИЛИ выдает двоичный 0, или логическое значение «ложь», - когда логическое значение «ложь» поступает на все его входы.

Эти треугольники с кружочком на конце рисунка 3 - символические изображения вентиля НЕ, или инвертера. В отличие от вентилей И, ИЛИ вентиль НЕ имеет лишь один вход, значение которого он меняет на обратное, превращая 0 в 1, а 1 в 0. Вентили НЕ часто комбинируют с вентилями И и ИЛИ, в результате чего получаются вентили И-НЕ («и-не») и ИЛИ-НЕ («или-не»). Такие комбинированные схемы обрабатывают входные сигналы так же, как вентили И, ИЛИ, а затем инвертируют выходной сигнал.

Рисунок 1 - Схема логическое “И”

Рисунок 2 - Схема логическое “ИЛИ”

Рисунок 3 - Схема логическое “НЕ”

 

1.2 Имс К155ИМ1


Корпус К155ИМ1 рис. 4 типа 201.14-1, масса не более 1 г.

Рисунок 4 - Корпус К155ИМ1










Рисунок 5 - Условное графическое обозначение

- вход инверсный слагаемого B3;

- вход инверсный слагаемого B4;

- вход переноса P1;

- выход инверсный переноса P2;

- выход суммы S;

- выход инверсной суммы S;

- общий;

- вход слагаемого A1;

- вход слагаемого A2;

- вход инверсный слагаемого A3;

- вход инверсный слагаемого A4;

- вход слагаемого B1;

- вход слагаемого B2;

- напряжение питания;

В таблице 1 приведены параметры ИМС К155ИМ1:

Таблица 1


Зарубежные аналогиN, SN7480J

сумматор одноразрядный неисправность микроклимат

1.3 Виды сумматоров

.3.1 Четвертьсумматор

Простейшим двоичным суммирующим элементом является четвертьсумматор. Происхождение названия этого элемента следует из того, что он имеет в два раза меньше выходов и в два раза меньше строк в таблице истинности по сравнению с полным двоичным одноразрядным сумматором. Наиболее известны для данной схемы названия: элемент “сумма по модулю 2” и элемент “исключающее ИЛИ”. Схема изображённая на рисунке 6 имеет два входа а и b для двух слагаемых и один выход S для суммы. Работу её отражает таблица 2 истинности, а соответствующее уравнение имеет вид:

 (1.1)

Таблица 2


Рисунок 6 - Схема четвертьсумматора

Данный элемент выпускается в виде интегральных схем типа ЛП5 (серии 133, 155, 530, 531, 533, 555, 1531, 1533); ЛП12 (555); ЛП107 (100, 500, 1500); ЛП2 (561, 564); ЛП14 (1561) и т. п.

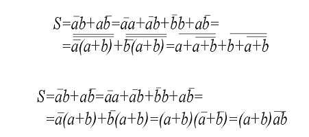
Реализуем четвертьсумматор в базисах И-НЕ, ИЛИ-НЕ и с использованием только одного инвертора, для чего преобразуем уравнение (1.1):

(1.2)



(1.3)


(1.4)

Схемы, полученные по уравнениям (1.2)-(1.4), приведены на рисунке 7.

Рисунок 7 - Схемы логики

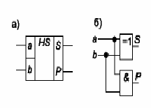
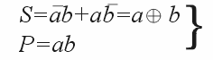
1.3.2 Полусумматор

Схема полусумматора на рисунке 8 имеет два входа a и b для двух слагаемых и два выхода: S - сумма, P - перенос. Обозначением полусумматора служат буквы HS (half sum - полусумма). Работу его отражает таблица 3 истинности, а соответствующие уравнения имеют вид:

 (1.5)

Таблица 3


Рисунок 8 - Схема полусумматора

Из уравнений (1.5) следует, что для реализации полусумматора требуется один элемент “исключающее ИЛИ” и один двухвходовый вентиль “И” рисунок 8б.

.3.3 Полный одноразрядный двоичный сумматор

Схема полного одноразрядного сумматора изображённого на рисунке 9 имеет три входа: a, b - для двух слагаемых и p - для переноса из предыдущего (более младшего) разряда и два выхода: S - сумма, P - перенос в следующий (более старший) разряд. Обозначением полного двоичного сумматора служат буквы SM. Работу его отражает таблица 4 истинности:

Таблица 4

Рисунок 9 - Схема полного одноразрядного сумматора

.4 Классификация сумматоров

В зависимости от системы исчисления различают:

·        Двоичные;

·        Двоично-десятичные (в общем случае двоично-кодированные);

·        Десятичные;

·        Прочие (например, амплитудные).

По количеству одновременно обрабатываемых разрядов складываемых чисел:

·        Одноразрядные;

·        Многоразрядные.

По числу входов и выходов одноразрядных двоичных сумматоров:

·        Четвертьсумматоры (элементы «сумма по модулю 2», «элементы», «исключающие ИЛИ»), характеризующиеся наличием двух входов, на которые подаются два одноразрядных числа, и одним выходом, на котором реализуется их арифметическая сумма;

·        Полусумматоры, характеризующиеся наличием двух входов, на которые подаются одноименные разряды двух чисел, и двух выходов: на одном реализуется арифметическая сумма в данном разряде, а на другом - перенос в следующий (более старший разряд);

·        Полные одноразрядные двоичные сумматоры, характеризующиеся наличием трех входов, на которые подаются одноименные разряды двух складываемых чисел и перенос из предыдущего (более младшего) разряда, и двумя выходами: на одном реализуется арифметическая сумма в данном разряде, а на другом - перенос в следующий (более старший разряд).

По способу представления и обработки складываемых чисел многоразрядные сумматоры подразделяются на:

·        Последовательные, в которых обработка чисел ведется поочередно, разряд за разрядом на одном и том же суммирующем узле.

·        Параллельные, в которых слагаемые складываются одновременно по всем разрядам, и для каждого разряда имеется свой суммирующий элемент.

·        параллельные, в которых слагаемые складываются одновременно по всем разрядам, и для каждого разряда имеется свой суммирующий элемент.

Параллельный сумматор в простейшем случае представляет собой n одноразрядных сумматоров, последовательно (от младших разрядов к старшим) соединённых цепями переноса. Однако такая схема сумматора характеризуется сравнительно невысоким быстродействием, так как формирование сигналов суммы и переноса в каждом i-ом разряде производится лишь после того, как поступит сигнал переноса с (1-1)-го разряда. Таким образом, быстродействие сумматора определяется временем распространения сигнала по цепи переноса. Уменьшение этого времени - основная задача при построении параллельных сумматоров.

Для уменьшения времени распространения сигнала переноса применяют конструктивные решения, когда используют в цепи переноса наиболее быстродействующие элементы; тщательно выполняют монтаж без длинных проводников и паразитных ёмкостных составляющих нагрузки и (наиболее часто) структурные методы ускорения прохождения сигнала переноса.

По способу организации межразрядных переносов параллельные сумматоры, реализующие структурные методы, делят на сумматоры:

·        с последовательным переносом;

·        с параллельным переносом;

·        с групповой структурой;

·        со специальной организацией цепей переноса.

Среди сумматоров со специальной организацией цепей переноса можно указать:

·        сумматоры со сквозным переносом, в которых между входом и выходом переноса одноразрядного сумматора оказывается наименьшее число логических уровней;

·        сумматоры с двухпроводной передачей сигналов переноса;

·        сумматоры с условным переносом (вариант сумматора с групповой структурой, позволяющий уменьшить время суммирования в 2 раза при увеличении оборудования в 1,5 раза);

·        асинхронные сумматоры, вырабатывающие признак завершения операции суммирования, при этом среднее время суммирования уменьшается, поскольку оно существенно меньше максимального.

Сумматоры, которые имеют постоянное время, отводимое для суммирования, независимое от значений слагаемых, называют синхронными.

По способу выполнения операции сложения и возможности сохранения результата сложения можно выделить три основных вида сумматоров:

·        комбинационный, выполняющий микрооперацию "S = А плюс В", в котором результат выдаётся по мере его образования (это комбинационная схема в общепринятом смысле слова);

·        сумматор с сохранением результата "S = А плюс В";

·        накапливающий, выполняющий микрооперацию "S = S плюс В".

Последние две структуры строятся либо на счётных триггерах (сейчас практически не используются), либо по структуре "комбинационный сумматор - регистр хранения" (сейчас наиболее употребляемая схема).

.5 Важнейшие параметры сумматоров

Важнейшими параметрами сумматоров являются:

·        разрядность;

·        статические параметры: Ubx, Ubx, Iвх и так далее, то есть обычные параметры интегральных схем;

·        динамические параметры. Сумматоры характеризуются четырьмя задержками распространения;

·        от подачи входного переноса до установления всех выходов суммы при постоянном уровне на всех входах слагаемых;

·        от одновременной подачи всех слагаемых до установления всех выходов суммы при постоянном уровне на входе переноса;

·        от подачи входного переноса до установления выходного переноса при постоянном уровне на входах слагаемых;

·        От подачи всех слагаемых до установления выходного переноса при постоянном уровне на входе слагаемых.

1.6 Характерные неисправности и пути их исправления

Характерные неисправности:

·        Не проходят сигналы, т.е. сбоит один или несколько логических элементов ИЛИ, либо проводник между логическими элементами плохо соединен;

·        Выходной сигнал не соответствует поступающим значениям;

·        Не работает вся схема, на входящие сигналы не реагирует.

Пути исправления:

·        В случае неисправности логических элементов необходимо их заменить, также, если неисправны проводники нужно исправить их соединение;

·        Проверить проводники на наличие контакта с входом, проверить правильность соединений;

·        Проверить питание микросхемы, проверить целостность проводников.

Все неисправности можно обнаружить при помощи мультиметра, поочерёдно проверяя входы и выходы логических элементов, и сравнивая показания прибора с теоретическими расчетами.

Глава 2. Технологическая часть

.1 Расчёт полного одноразрядного сумматора

Отметим два момента:

Первый: в таблице 3 и таблице 4 выходные сигналы P и S не случайно расположены именно в такой последовательности. Это подчеркивает, что PS рассматривается как двухразрядное двоичное число, например, 1 + 1 = 210 = 102 , то есть P = 1, а S = 0 или 1 + 1 + 1 = 310 = 112, то есть P = 1, а S = 1.

Второй: выходные сигналы P и S полного двоичного сумматора относятся к классу самодвойственных функций алгебры логики. Самодвойственными называют функции, инвертирующие своё значение при инвертировании всех переменных, от которых они зависят. Обратите внимание, что P и S для четвертьсумматора и полусумматора не являются самодвойственными функциями! Преимущества, вытекающие из этого свойства полного двоичного сумматора, будут рассмотрены при анализе возможностей ИС типа 155ИМ1.

Уравнения, описывающие работу полного двоичного сумматора, представленные в совершенной дизъюнктивной нормальной форме

имеют вид:



(2.1)

Уравнение для переноса может быть минимизировано:

= ab + ap + bp. (2.2)

При практическом проектировании сумматора уравнения (2.1) и (2.2) могут быть преобразованы к виду, удобному для реализации на заданных логических элементах с некоторыми ограничениями (по числу логических входов и др.) и удовлетворяющему предъявляемым к сумматору требованиям по быстродействию.

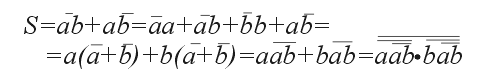
Например, преобразуем уравнения (2.1) следующим образом:

 (2.3)

Из выражений (2.3) следует, что полный двоичный сумматор может быть реализован на двух полусумматорах и одном двухвходовом элементе ИЛИ. Соответствующая схема приведена на рисунке 10.

Рисунок 10 - Схема полного двоичного сумматора

Из выражения (2.3) для S также следует:

S = a Å b Å p. (2.4)

Примечание. Так как операция в выражении (2.4) коммутативна (переменные можно менять местами), то следует, что три входа полного двоичного сумматора абсолютно равноправны и на любой из них можно подавать любую входную переменную. Это полезно помнить, разводя печатные платы, на которых установлены ИС сумматоров.

К настоящему времени разработано большое число схем сумматоров. Доказано (нашим отечественным ученым Вайнштейном), что при использовании только одного инвертора нельзя реализовать полный двоичный сумматор со сложностью Pкв < 16, а при двух инверторах - Pкв < 14, где Pкв - вес по Квайну, используемый как оценка сложности любых комбинационных схем. Pкв - это общее число всех входов всех логических элементов схемы без учёта инверторов.

Рисунок 11 - Карта Карно

Покажем, используя два метода, как была получена рациональная (с использованием только одного инвертора) схема полного двоичного сумматора, явившаяся основой схем ИС сумматоров типа 7480, 155ИМ1 и др.

Первый метод основан на использовании значения выходного переноса P как вспомогательной переменной при определении выходной суммы S таблица 5. В таблице 5 при наборах переменных, являющихся нереальными (например, единичное значение переноса при нулевых значениях всех входных переменных), поставлены безразличные значения (крестик) для функции S, которые можно доопределять произвольным образом.

Таблица 5


Из карты Карно для функции S изображённой на рисунке 11 следует:

S = abp + Pa + Pb + Pp = = abp + P(a + b + p). (2.5)

Второй метод основан на применении диаграмм Венна. На рисунке 12а показана диаграмма Венна для трех переменных а, b, p; области, ограниченные окружностями, соответствуют переменным а, b, p, а области, обозначенные цифрами от 0 до 7 - соответствующим конъюнкциям (например, 5 = abp). Область, заштрихованная на рисунке 12б, очевидно, соответствует функции P = ab + ap + bp.

Функция S представлена заштрихованной областью на рисунке 7в. Её можно представить суммой произведения функции a + b + p рисунке 12г на функцию ab + ap + bp рисунок 12д и функции abp рисунок 12е. Очевидно, что в этом случае получается выражение для S, аналогичное уравнению (2.5).

Рисунок 12 - Диаграммы Венна

Схема сумматора, реализованного по уравнениям (2.2) и (2.5), приведена на рисунке 13а. В данной схеме используются многовходовые логические элементы И и ИЛИ. Если использовать только двухвходовые элементы, то получаются схемы, приведённые на рисунке 13б,в.

Рисунок 13 - логическая схема сумматора

2.2 Выбор элементной базы

Подбор элементов осуществлен таким образом, чтобы при максимуме экономической выгоды получить систему, удовлетворяющую всем поставленным требованиям, с высокой степенью надежности и с высокими эксплуатационными показателями.

При выборе элементов подбор производился из числа наиболее распространенных и доступных, с хорошими массогабаритными показателями и широким диапазоном рабочих температур. При подборе учитывался такой фактор, как надежность элементов. Выбор компонентов производился с учетом возможной дальнейшей модификации разработанного устройства и возможности аппаратной части устройства намного превосходят возможности, изложенные в техническом задании.

.3 Элементная база

В качестве элементной базы для построения арифметического устройства могут быть использованы ИМС серии К155ЛА3, К155ЛП5.

Для защиты схемы от электрических помех на выходы питания ставится электролитический конденсатор К-53-14-1,6В-6,8 мкФ. Для защиты от низкочастотных помех, между контактами питания и заземления, ставятся керамические конденсаторы типа КМ-5б-Н90-0,047 мкФ.

2.4 Расчёт надёжности

Расчёт надёжности изделия проводят на этапе эскизного проектирования. В результате предварительного расчёта определяются все основные параметры:

а) Интенсивность отказа изделий. Определяется по формуле (2.6):

 (2.6)

Где N - число группы “компонентов надёжности”, имеющие разные интенсивности отказов.

io - интенсивность отказа элементов в i - ой группе.

ni - количество элементов в i - ой группе.

б) Время наработки на отказ определяется по формуле (2.7):

 (2.7)

в) Вероятность безотказной работы определяется по формуле (2.8):

 (2.8)

где t - время работы изделия.

В таблице 6 приведены показатели надёжности изделий:

Таблица 6

Группа элементов

Интенсивность атказа 1/час

Количество элементов 1/час

io ni 1/час

ИМС. Конденсаторы: а)Керамические. б)Электролитические. Контактные разводы. Пайка. Печатная плата.

0.01.10-5  0.062 . 10-5 0.035 . 10-5 0.02 . 10-5 0.01 . 10-5 0.1 . 10-5

2 3 2 1 6 21 1

0.02 . 10-5  0.124 . 10-5 0.035 . 10-5 0.12 . 10-5 0.21 . 10-5 0.1 . 10-5

По формуле (2.6) получим интенсивность отказов для всего изделия:

По формуле (2.7) определим время наработки на отказ:

По формуле (2.8) определим вероятность безотказной работы для 100 часов, 1000 часов и 10000 часов.

P (100) = 0.9991

P(1000) = 0.9917

P(10000) = 0.9209

В ходе выполнения дипломной работы были исследованы различные типы сумматоров, выпускаемых в настоящее время промышленностью, которые применяются при разработке логических схем для современных микроэлектронных устройств. Рассмотрены возможные варианты их схемного решения и функционирования. Был произведён выбор элементной базы и расчёт надёжности готовой ИМС. Выведены формулы логики для реализации наглядного представления работы полного одноразрядного сумматора.

Глава 3. Экономическая часть

.1 Определение экономической эффективности внедрения

Новый продукт должен быть не только технически совершенным, но и экономически выгодным. Только после расчета экономической выгоды можно сказать, что данный продукт будет конкурентно способный в своей области.

Продуктом в данном дипломном проекте является схема устройства одноразрядного сумматора.

Предварительный экономический эффект рассчитывается до выполнения разработки на основе данных технических предложений и прогноза использования. Он используется при планировании разработки и внедрения продукта . Потенциальный экономический эффект рассчитывается по окончании разработки на основе достигнутых технико-экономических характеристик и прогнозных данных о максимальных объемах использования продукта в народном хозяйстве. Потенциальный эффект используется при оценке деятельности организации разработчиков продукта. Гарантированный экономический эффект рассчитывается в виде гарантированного экономического эффекта для конкретного объекта внедрения и общего гарантированного внедрения по ряду объектов. Гарантированный экономический эффект для конкретного объекта внедрения рассчитывается после окончания разработки для одного программного внедрения на основе данных о гарантированном разработчиком удельном эффекте от применения продукта и гарантированных пользователем сроках и годовом объеме использования продукта. Гарантированный эффект от одного внедрения продукта рассчитывается при оформлении договорных отношений между организацией - разработчиком и организацией - пользователем. Гарантированный общий экономический эффект рассчитывается при внедрении продукта на производство на основе обобщения фактических показателей использования продукта (по ряду объектов внедрения), а также данных об объемах внедрения продукта, соответствующих возможностям изготовления, внедрения и сопровождения. Гарантированный общий эффект служит для разработки и утверждения экономически обоснованной цены на программную продукцию, выбора варианта производства и внедрения продукта.

Фактический экономический эффект рассчитывается на основе данных учета и сопоставления затрат и результатов при конкретных применениях продукта. Фактический эффект рассчитывается от одного программного внедрения конкретного продукта на конкретном объекте, а также как общий экономический эффект от использования конкретного продукта на всех объектах внедрения за расчетный период. Фактический эффект используется для оценки деятельности организаций, разрабатывающих и использующих продукт, для определения отчислений в фонды экономического стимулирования, а также для анализа эффективности функционирования продукта и выработки технических предложений по усовершенствованию продукта и условий его применения.

Все расчёты будут производиться в рублях ПМР.

3.2 Стоимость материалов

Определим смету затрат, произведя записи в таблицу 7 и рассчитаем стоимость материалов, которые были израсходованы на разработку устройства. В их состав входят следующие электрические элементы

Таблица 7

Материал

Единицы измерения

Цена за единицу (руб)

Кол-во

Сумма (руб)

К155ЛА3

шт.

5

1

5

К155ЛП5

шт.

5

1

5

Конденсатор К-53-14-1,6В-6,8 мкФ

шт.

18

2

36

Керамические и электрические конденсаторы

шт.

15

1

15

Печатная плата

шт.

38

1

38


Итого затраты на материалы составили: 76 руб.

Транспортно-заготовительные расходы (7%): 5,3 руб.

Всего сумма затрат: 81,3 руб.

.3 Затраты на оплату труда

Затраты на основную заработную плату проектировщика рассчитываются на основе данных о квалифицированном составе разработчиков, их должностных окладах и общей занятости по теме.

Дополнительная заработная плата начисляется в размере 10 % от суммы основной заработной платы, а отчисления на социальные страхования - в размере 36 % от основной заработной платы. Смета затрат на оплату труда отражена в таблице 8:

Таблица 8

Должность работника

Должностной оклад (руб)

Дневная ставка (руб)

Занятость по теме

Сумма основной зарплаты (руб)

Разработчик

700

20

25

500

Руководитель проекта

900

25

15

375


Итого затраты на оплату труда проектировщиков составляют: 875 руб.

3.4 Общая величина капитальных вложений на реализацию проекта

Так как для внедрения данной задачи не предусмотрено специальных закупок техники и переустройства рабочих мест, капитальные вложения на реализацию задачи Кр равны нулю, и общая величина капитальных вложений определяется предпроизводственными затратами.

Таблица 9

Статьи

Затраты (сумма в руб)

Материалы и покупные элементы

76

Основная заработная плата

875

Дополнительная заработная плата, 10%

87,5

Единый социальный налог, 25 %

218,75

Накладные расходы, 45%

393,75

Итого общая величина капитальных вложений на реализацию проекта составляет 1651 руб.

.5 Определение годового экономического эффекта

Основной экономический показатель, определяющий экономическую целесообразность затрат на создание ПС - это годовой экономический эффект. Годовой экономический эффект определяется по формуле:

Гэ = Э-Ен*Ез-Гзатр(3.1)

где Гэ годовой экономический эффект, 3890 руб; Э годовая экономия от применения внедряемой задачи, 1000 руб; Ен нормативный коэффициент экономической эффективности капитальных вложений (Ен - 0,15);

Ез- единовременные затраты, связанные с внедрением задачи, равны стоимости продукта Ез=875 руб.; Гзатр - годовые затраты в процессе эксплуатации задачи, 440 руб. Подставляя в формулу предполагаемые данные, определяем величину годового экономического эффекта: Гэ=3890-0,15*324

3.6 Расчет экономической эффективности

Экономическая эффективность капитальных вложений, связанных с разработкой и внедрением ПС, определяется ко формуле:

Еэ=Гэ/Ез(3.2)

где Еэ - экономическая эффективность капитальных вложений.

Гэ - годовой экономический эффект

Ез - единовременные затраты, связанные с внедрением задачи, 875 руб Подставляя в формулу вычисленные данные, определяем величину экономической эффективности:

Еэ=918,34/324,536=2,829

Так как Еэ > Ен - внедрение ПС экономически эффективно.

Определим срок окупаемости внедряемой задачи по формуле:

То = Ез/Гэ(3.3)

где Тс - срок окупаемости задачи, год;

Ез годовой экономический эффект, 875 руб

Гэ - единовременные затраты, связанные с внедрением задачи 2,829 руб.

И так, То = 875/2,829= 0,309 года.

Глава 4. Охрана труда

.1 Микроклимат рабочей зоны разработчика

Микроклимат производственных помещений - это климат внутренней среды этих помещений, который определяется действующими на организм человека сочетаниями температуры, влажности и скорости движения воздуха.

Параметры микроклимата для помещений, где установлены компьютеры.

ВЦ является помещением І категории (выполняются легкие физические работы), поэтому должны соблюдаться следующие требования:

оптимальная температура воздуха - 22° С (допустимая - 20-24° С), оптимальная относительная влажность - 40-60% (допустимая - не более 75%) , скорость движения воздуха не более 0.1м/с.

Нормы подачи свежего воздуха в помещения, где расположены компьютеры.

Объемный расход подаваемого в помещение свежего воздуха, м3 /на одного человека в час 20-40м3 на человека.

Меры по созданию оптимальных значений параметров микроклимата на рабочем месте.

Для создания и автоматического поддержания на ВЦ независимо от наружных условий оптимальных значений температуры, влажности, чистоты и скорости движения воздуха, в холодное время года используется водяное отопление, в теплое время года применяется кондиционирование воздуха.

4.2 Освещение рабочего места

.2.1 Расчет естественного освещения

Рациональное освещение должно быть спроектировано в соответствии с нормами, приведенными в СНИП 23-05-95.

Проведем расчет естественного освещения для помещений ВЦ, если характеристика зрительной работы высокой точности, разряд зрительной работы - III и подразряд зрительной работы - б. Вид естественного освещения - одностороннее боковое, через оконные проемы.

Определим нормируемое значение коэффициента естественной освещенности (КЕО) с учетом характеристики зрительной работы:

, (4.1)

где  - нормативное значение КЕО  

m - коэффициент светового климата;

с - коэффициент солнечности климата.

Нормативное значение КЕО для третьего пояса светового климата принимаем равным 1,5 %. Значение коэффициента светового климата т для четвертого пояса равно 0,9, а значение коэффициента солнечного климата с = 0,75

= 1,5·0,9·0,75 = 1,0125 %.

Теперь рассчитаем площадь световых проемов по формуле:

 (4.2)

Кз - коэффициент запаса равен, 1,2; Кзд - коэффициент, учитывающий затенение окон противостоящими зданиями =1;

r1 - коэффициент, учитывающий повышение освещенности за счет отраженного света при боковом освещении;

t0 - общий коэффициент светопропускания.

Глубина помещения В = 6м, длина помещения ln = 8м, высота h = 3,5м.

Соответственно, площадь пола помещения Sn = 48м2.

Для определения значения световой характеристики окон h0 необходимо найти следующие отношения: ln/В = 1,4 и B/h1=2,8 ( где h1 = 1,80 м высота от уровня рабочей поверхности до верха окна).

Значение световой характеристики принимаем равным 15.

Площадь световых проемов:

м2

Площадь световых проемов равна 11,16 м2 соответственно количество окон у нас равняется двум.

.2.2 Расчет искусственного освещения

Равномерное освещение горизонтальной рабочей поверхности достигается при определенных отношениях расстояния между центрами светильников L (L = 1,75H) к высоте их подвеса над рабочей поверхностью Hр (в расчетах Hр =H).

Hр = 2 м

Число светильников определяется по формуле:

, (4.3)

где S - площадь помещения, 48 м²;

M - расстояние между параллельными рядами 2,3 м;

L - расстояние между центрами светильников.

В соответствии с рекомендациями M ≥ 0,6 Hp. Оптимальное значение М=2…3 м.

Найдем количество светильников по формуле (4.3):

.

Для расчета общего равномерного освещения горизонтальной рабочей поверхности используют метод светового потока, учитывающий световой поток, отраженный от потолка и стен:

, (4.4)

где Еn - нормированная минимальная освещенность, 300 лк;

Z - коэффициент минимальной освещенности, для ламп ЛЛ Z =1,1;

К - коэффициент запаса, 1,5;

Показатель помещения равен:

 (4.5)

,

следовательно, из таблицы η =0,37.

Тогда световой поток по формуле (4.4) будет равен:

 = 10702 лм.

Возьму лампу ЛБ 80 со световым потоком 5220 лм. Т.к. В светильнике 2 лампы, то тогда должно выполняться следующее требование:

В данном случае:

Потребляемая мощность всей осветительной установки находится по формуле:

,  (4.6)

где р - мощность лампы, 80Вт;- число светильников, 6 шт.;

n - число ламп в светильнике, 2 шт.

P=80*6*2=960 Вт.

4.3 Воздействие шума на программиста

Расчет уровня шума на рабочем месте программиста.

Уровень шума на рабочем месте инженеров-программистов и операторов не должен превышать 50дБА, а в залах обработки информации на вычислительных машинах - 65дБА. ГОСТ 12.1.003-76 ССБТ

Уровень шума устройств, источников шума в помещении отражён в таблице 10:

Таблица 10

Устройство

Уровень шума, дБ

Винчестер

40

Вентилятор

45

Монитор

17

Клавиатура

10

Принтер

45

Сканер

42


Уровень шума рассчитывается по формуле:

 (4.7)

 дБА

Уровень шума в помещении составляет 49,50 дБА

Защита от шума

Для снижения уровня шума стены и потолок помещений, где установлены компьютеры, могут быть облицованы звукопоглощающими материалами. Уровень вибрации в помещениях вычислительных центров может быть снижен путем установки оборудования на специальные виброизоляторы.

.4 Опасность повышенного уровня напряженности электромагнитного поля

Опасность ЭМИ для организма программиста

Электромагнитные поля, характеризующиеся напряженностями электрических и магнитных полей, наиболее вредны для организма человек. Основным источником этих проблем, связанных с охраной здоровья людей, использующих в своей работе автоматизированные информационные системы на основе персональных компьютеров, являются дисплеи.

ПЭВМ как источник излучений

ПЭВМ являются источниками таких излучений как: мягкого рентгеновского; ультрафиолетового 200-400 нм; видимого 400-700 нм, ближнего инфракрасного 700-1050 нм; радиочастотного З кГц-ЗО МГц; электростатических полей.

Предельно допустимые значения характеристик ЭМП

Может возникнуть опасность по уровням напряженности электромагнитного поля. На расстоянии 5-10 см от экрана и корпуса монитора уровни напряженности могут достигать 140 В/м по электрической составляющей, что значительно превышает допустимые значения СанПиН 2.2.2. 542-96. Предельно допустимые значения характеристик ЭМП указаны в таблице 11:

Таблица 11

Наименование параметров

Допустим Значение

Напряженность эм поля на расстоянии 50 см вокруг ВДТ по электрической составляющей должна быть не более:


- в диапазоне частот 5 Гц - 2 кГц;

25 В/м

- в диапазоне частот 2 - 400 кГц

2,5 В/м

Плотность магнитного потока должна быть не более:


- в диапазоне частот 5 Гц - 2 кГц;

250нТл

- в диапазоне частот 2 - 400 кГц

25 нТл

Поверхностный электростатический потенциал не должен превышать

500 В


4.5 Электробезопасность, статическое электричество

Электробезопасность в помещении ВЦ обеспечивается техническими способами и средствами защиты, а так же организационными и техническими мероприятиями.

Электробезопасность обеспечивается в соответствии с ГОСТ 12.1. 030. - 81.

Для обеспечения защиты от поражения электрическим током при прикосновении к металлическим нетоковедущим частям, которые могут оказаться под напряжением в результате повреждения изоляции, я рекомендую применять защитное заземление.

Организационные и технические мероприятия по обеспечению электробезопасности

Основным организационным мероприятием является инструктаж и обучение безопасным методам труда, а так же проверка знаний правил безопасности и инструкций в соответствии с занимаемой должностью применительно к выполняемой работе.

При проведении незапланированного и планового ремонта вычислительной техники выполняются следующие действия: отключение компьютера от сети; проверка отсутствия напряжения.

4.6 Пожарная безопасность

·        Требования, предъявляемые к пожарной безопасности:

·        Установка пожарно-сигнальной сигнализации с соответствующими тепловыми и дымовыми датчиками;

·        Выполнение скрытой электропроводки в стенах;

·        Устранение неисправных выключателей и розеток;

·        Запрет на использование оголенных шнуров и проводов для соединения;

·        Необходимо иметь в доступном видимом месте углекислотные огнетушители (по характеру помещения - минимум 1 шт.)

4.7 Допуск к работе

Допускаются к работе лица не моложе 18 лет, женщинам с момента установления беременности и во время кормления грудью запрещается работать за компьютером.

Администрация обязана:

·        Направить поступающего на работу на медицинский осмотр;

·        Провести вводный инструктаж при приёме на работу;

·        Ежеквартально проводить повторный инструктаж;

·        Ежегодно проверять знание безопасных приёмов и методов труда;

·        Допускать к эксплуатации дисплей, имеющий государственный сертификат;

·        Провести аттестацию рабочего места;

·        Заключить с работником контракт (трудовой договор).

·        1-2 раза в год обследовать всех работающих на компьютере по состоянию зрения.

Признаки при которых необходимо воспользоваться средствами профилактики зрения:

·        Мерцание в глазах;

·        Появление колеблющейся завесы;

·        Световые вспышки перед глазами;

·        Временное нарушение световосприятия.

По тяжести напряжённости существуют 3 группы работы на компьютере:

·        Считывание информации;

·        Ввода информации;

·        Работа в режиме диалога.

Заключение

В процессе выполнения дипломного проекта был разработан комплект документации на изделие «полный одноразрядный сумматор»и произведён расчёт надёжности.

Дипломный проект содержит:

·        Расчёт полного одноразрядного сумматора

·        Выбор элементной базы

·        Элементная база

·        Расчёт надёжности

·        Экономическая часть

·        Охрана труда

Для наглядности расчетов в работе приведены схемы, рисунки и таблицы.

Список использованной литературы

1. Самофалов К.Г., Корнейчук В.И., Тарасенко В.П. Электронные цифровые вычислительные машины: Учебник. - Киев: Высшая школа. - 1976. - 480 с.

. Потемкин И.С. Функциональные узлы цифровой автоматики. - М.:

Энергоатомиздат. - 1988. - 320 с.

. Угрюмов Е.П. Проектирование элементов и узлов ЭВМ: Учеб. пособие для вузов. - М.: Высшая школа. - 1987. - 320 с.

. Колабеков Б.А. цифровые устройства и микропроцессорные системы, м. телеком 2005 336 с.

. Новиков Ю.В. основы цифровой схемотехники. м издательство «Мир» 2001, 380 c.

. Отечественные микросхемы и зарубежные аналоги Справочник. Перельман Б.Л.,Шевелев В.И. "НТЦ Микротех", 1998г.,376 с.

Перечень сокращений

ИС - интегральная схема;

ИМС - интегральная микросхема;

ИП - источник питания;

ПП - печатная плата;

ЭП - эскизный проект;

ТТ - технические требования;

ТТЛ - транзисторно-транзисторная логика;

ТЭО - технико-экономическое обоснование;

ПК - персональный компьютер;

ВТ - вычислительная техника;

ЗУ - запоминающее устройство;

КТС - комплекс технических средств;

ИС - измерительная система;

ЭВМ - электронно-вычислительная машина.

Похожие работы на - Разработка схемы одноразрядного сумматора на логических элементах

 

Не нашли материал для своей работы?
Поможем написать уникальную работу
Без плагиата!
Без нейросетей!