Проектирование междугородной магистрали между Пензой и Самарой с использованием оптического кабеля

  • Вид работы:
    Курсовая работа (т)
  • Предмет:
    Информатика, ВТ, телекоммуникации
  • Язык:
    Русский
    ,
    Формат файла:
    MS Word
    1,08 Мб
  • Опубликовано:
    2013-01-12
Вы можете узнать стоимость помощи в написании студенческой работы.
Помощь в написании работы, которую точно примут!

Проектирование междугородной магистрали между Пензой и Самарой с использованием оптического кабеля

Федеральное агентство связи

Московский Технический Университет Связи и Информатики

Кафедра линий связи










Курсовая работа

«Проектирование междугородной магистрали между Пензой и Самарой с использованием оптического кабеля»








Москва 2012 г.

Задание

Введение

. Рассчитать нагрузку, полагая, что кроме телефонной нагрузки имеется: передача данных, интернет и обмен телевизионными программами

. Выбрать систему передачи

. Выбрать и обосновать трассу линии связи между заданными пунктами

. Выбрать тип кабеля, учитывая нагрузку, систему передачи, условия трассы и тип грунта

. Подсчитать затухание и дисперсию при заданных длинах волн

. Определить длину усилительного участка при первой заданной длине волны

. Определить механические усилия при прокладке кабелеукладчиком, учитывая вес, строительную длину кабеля и заданный коэффициент трения

Заключение

Список использованной литературы

Введение

Требуется спроектировать оптическую кабельную магистраль между городами Пензой и Самарой.

Передача данных по оптоволоконным кабелям ВОЛС имеет целый ряд преимуществ над передачей посредствам медного кабеля. Быстрое внедрение технологий ВОЛС является следствием тех свойств, которые вытекают из особенностей передачи сигнала в оптическом волокне.

Широкая полоса пропускания в смонтированной сети ВОЛС - обусловлена чрезвычайно высокой частотой несущей 1014Гц. Это дает потенциальную возможность передачи по одному оптическому волокну потока информации в несколько терабит в секунду. Большая полоса пропускания - это одно из существенных преимуществ оптоволокна над медной или любой другой средой передачи данных.

Низкое затухание светового сигнала в оптоволокне. Выпускаемое в настоящее время промышленное оптоволокно имеет затухание 0,2-0,3 дБ на длине волны 1,55 мкм в расчете на один километр. Низкое затухание, небольшая дисперсия позволяют монтировать участки линий связи без ретрансляции длинною до 100 км и более.

Низкий уровень шумов в волоконно-оптическом кабеле способствует расширению полосы пропускания, путем передачи различной модуляции сигналов с малой избыточностью кода.

Высокая помехозащищенность ВОЛС. Так как оптоволокно сделано из диэлектрического материала, оно невосприимчиво к электромагнитным помехам со стороны окружающих медных кабельных систем, прочего электрооборудования, которое может создавать электромагнитное поле (линии электропередачи, электродвигательные установки). В многоволоконных кабелях также не существует проблемы наложения электромагнитного излучения, которое существует в многопарных медных кабелях.

Малый вес и объем оптоволокна ВОЛС. Волоконно-оптические кабели (ВОК) имеют маленький вес и объем по сравнению с медными кабелями в расчете на одну и ту же пропускную способность. К примеру, 900-парный медный кабель диаметром 7,5 см, может быть заменен одним оптоволокном с диаметром 0,1 см. Если оптоволокно защитить множеством защитных оболочек, покрыть стальной ленточной броней, то диаметр такого оптоволокна составит всего 1,5 см, что в несколько раз меньше описанного выше медного кабеля.

Высокая защищенность ВОЛС от несанкционированного доступа. Так как ВОЛС практически не излучает в радиодиапазоне, то передаваемые по нему данные трудно перехватить, не нарушая приема-передачи. Системы мониторинга (непрерывного контроля) целостности оптоволоконной линии связи, используя свойства высокой чувствительности волокна, могут быстро отключить "взламываемый" канал связи и подать сигнал тревоги. Сенсорные системы, использующие интерференционные эффекты распространяемых световых сигналов (как по разным волокнам, так и разной поляризации) имеют очень высокую чувствительность к колебаниям, к небольшим перепадам давления. Такие системы часто необходимы при создании линий связи в правительственных, банковских, некоторых других специальных службах, где предъявляются повышенные требования к защите передаваемых данных.

Гальваническая развязка элементов сети. Данное преимущество оптоволокна заключается в его изолирующем свойстве. Оптоволокно помогает избежать электрических "земельных" петель, которые могут возникать, когда два сетевых устройства неизолированной вычислительной сети, связанные медным кабелем, имеют заземления в разных точках здания, например на разных этажах. При этом может возникнуть большая разность потенциалов, что способно повредить сетевое оборудование. Для оптоволокна этой проблемы не существует.

Взрыво- и пожаробезопасность. Так как оптоволокно исключает искрообразования, то его использование повышает безопасность сетей передачи данных на химических, нефтеперерабатывающих предприятиях, при обслуживании технологических процессов повышенного риска.

Экономичность ВОЛС. Оптоволокно произведённое из кварца, основу которого составляет двуокись кремния, широко распространенного, а потому недорогого материала, в отличии от меди. Сейчас стоимость волокна по отношению к медной паре соотносится как 2:5. При этом ВОЛС позволяет передавать данные на значительно большие расстояния без ретрансляции. Количество повторителей на протяженных линиях сокращается при использовании ВОЛС. При использовании солитонных систем передачи достигнуты дальности в 4000 км без регенерации (то есть только с использованием оптических усилителей на промежуточных узлах) при скорости передачи выше 10 Гбит/с.

Длительный срок эксплуатации ВОЛС. Со временем оптоволокно испытывает разрушение. Это значит, что величина затухания в проложенном кабеле постепенно увеличивается. Однако, благодаря совершенству современных технологий производства оптоволокна, этот процесс значительно замедлен, и срок службы ВОЛС составляет около 25 лет. За это время может смениться несколько поколений/стандартов приемо-передающих систем.

Удаленное электропитание. В некоторых случаях бывает необходимо удаленное электропитание узла информационной сети. Оптоволокно не способно выполнять функции силового кабеля. Однако, в этих случаях можно использовать смешанный кабель, где наряду с оптоволоконным кабелем имеется медный. Такой кабель широко применяется в России.

1. Рассчитать нагрузку, полагая, что кроме телефонной нагрузки имеется: передача данных, интернет и обмен телевизионными программами

Число каналов, связывающих заданные оконечные пункты, в основном зависят от численности населения в этих пунктах и от степени заинтересованности отдельных групп населения во взаимосвязи.

Численность Населения в любом областном центре и в области может быть определена на основе статистических данных последней переписи населения. Обычно перепись населения осуществляется один раз в пять лет, поэтому при перспективном проектировании следует учесть прирост населения. Количество населения в заданном пункте и его подчиненных окрестностях с учетом прироста населения:

Ht=H0(1+ 0.01P)t , чел., (1)

Н0 -население в период переписи, чел.;

Р - средний годовой прирост населения в данной местности, % (принимаем по данным переписи Р=2-3%)

t - время, определяемое как разность между назначенным годом перспективного проектирования и годом проведения переписи населения.

Год перспективного проектирования принимается на 5-10 лет вперед по сравнению с текущим временем. В курсовом проекте следует принять 5 лет вперед. В нашем случае t= 5 (т.к. с момента переписи населения 2010 г. прошело 2 года)

Количество абонентов определяется в зависимости от численности населения, проживающих в зоне обслуживания. Принимая коэффициент оснащенности населения телефонными аппаратами равным 0.5, количество абонентов в каждой зоне равно:

m=0.5 Ht (2)

Степень заинтересованности отдельных групп населения во взаимосвязи зависит от политических, экономических, культурных и социально-бытовых отношений между группами населения, районами и областями. Взаимосвязь между заданными оконечными и промежуточными пунктами определяется на основании статистических данных, полученных предприятием связи за предшествующие проектированию годы. Практически эти взаимосвязи выражают через коэффициент тяготения f1.

Кроме телефонных каналов по кабельной линии организуются каналы и других видов связи. В нормальных условиях общее число nоб каналов равно:

nоб = nтф+ nпд+ nинт+ nтв +Δn ≈ 2 nтф+ nпд+ nинт+ nтв (4)

Δn≈nтф - число каналов для телеграфной связи, проводного вещания, транзитных каналов и т.д.

nинт - число каналов интернета;

nпд - число каналов для передачи данных;

nтв - число телевизионных каналов.

Потребности в передаче данных в настоящее время растут быстрее потребности в телефонных каналах и nпд может быть принято равным 1,2 nтф. Рост потребности в интрнет-связях очень велик и может быть принят nинт от 5 до 100 nтф.В курсовой работе следует предусмотреть также два двухсторонних телевизионных канала, которыми обмениваются соседние области. Если учесть, что один ТВ-канал занимает 1600 телефонных каналов, то общее число каналов будет:

nоб = nтф+ nпд+ nинт+ nтв +Δn ≈ 2 nтф+ nпд+ nинт+ nтв =(2+1.2+5) nтф + 2*1600

Тогда общее число каналов рассчитывают по упрощенной формуле, получаем: - минимально.

Согласно рекомендациям фирмы Corning при резком обострении ситуации, например. Во время стихийных бедствий и чрезвычайных ситуаций, потребность в каналах связи резко возрастает. Поэтому необходимо учесть резервирование и возрастание потребности, вследствие чего рассчитанную величину следует увеличить, по крайней мере, в 2 раза. Окончательно получаем: 1.432

2. Выбор системы передачи

Систему передачи выбирают на основе рассчитанного требуемого числа каналов nоб. Требуемое число каналов nоб делится на число каналов системы передачи, полученное число округляется до целого числа в большую сторону и тем самым определяется необходимое число систем передачи.

Округлив до целого числа, получаем, что в нашем случае будем использовать 2 системы передачи «Сопка-5» на 7680 каналов со скоростью 560 Мбит/с.

Комплекс « Сопка-5» предназначен для организации по одному оптическому кабелю с одномодовыми волокнами мощных пучков каналов и цифровых трактов на магистральных линиях передачи, соединяющих сетевые узлы. Кабель содержит 8(до 4 систем передачи) оптических волокон(для нашего случая).Передача должна осуществляться на длине волны равной 1,55 мкм.

3. Выбрать и обосновать трассу линии связи между заданными пунктами

Трасса прокладки кабеля определяется расположением оконечных пунктов. Все требования, учитываемые при выборе трассы, можно свести к трем основным: минимальные капитальные затраты на строительство; минимальные эксплуатационные расходы; удобство обслуживания.

Для обеспечения первого требования учитывается протяженность трассы, наличие и сложность пересечения рек, железных и шоссейных дорог, трубопроводов, характер местности, почв, грунтовых вод, возможность применения механизированной прокладки, необходимость защиты сооружений от электромагнитных влияний и коррозии, возможность и условия доставки грузов (материалов, оборудования) на трассу.

Для обеспечения второго и третьего требований учитывают жилищно-бытовые условия и возможность размещения обслуживающего персонала, а также создание соответствующих условий для исполнения служебных обязанностей.

Чтобы соблюсти указанные требования, трасса должна иметь наикратчайшее расстояние между заданными пунктами и наименьшее количество препятствий, усложняющих и удорожающих строительство. За пределами населенных пунктов трассу обычно выбирают в полосе отвода шоссейных дорог или вдоль профилированных проселочных дорог. Допускается строительство трассы магистрали вдоль железных дорог, но в таком случае необходимо предусмотреть выполнение мероприятий по защите трассы от внешнего влияния контактных сетей железных дорог.

При пересечении водных преград переходы выбирают в тех местах, где река имеет наименьшую ширину, нет скальных и каменистых грунтов, заторов льда и пр. Следует избегать в месте перехода обрывистых или заболоченных берегов, перекатных участков, паромных переправ, стоянок судов, причалов и т.д.

В нашем случае прокладку трассы Пенза - Самара целесообразней производить вдоль автомобильной дороги , М5 “Урал”, протяженность трассы на этом пути 430 км.

Покрытие дороги асфальтобетонное, с шириной проезжей части 8-16м.

Климатические условия в основном благоприятные, срдняя толщина снежного порова 30-50мм (средняя температура января от -8°С до -4°С), жаркое лето.

Дорога проходит в условиях равнинной местности.

Опасных участков на данном участке пути нет.

Дорога пересекает значительные реки: вдхр. Ку       йбышевское(Самара), Балашейка

Грузоподъемность мостов 60 тонн и более.

Первый вариант по пути трассы М5 “Урал”, через города Самара - Жигулевск - Кузнецк - Городище - Пенза протяженность трассы 430км:



Второй вариант прокладки кабеля возможен по пути Самара - Новокуйбышевск - Чапаевск - Балаково - Саратов - Пенза. Протяженность трассы 670 км. Маршрут проходит во многих местах вдоль железнодорожных путей, а также пересекает незначительные реки. Эта трасса является не главной, поэтому эксплуатация магистрали на некоторых участках будет затруднительна:


Так как по второму варианту трасса проходит через меньшие населенные пункты и имеет большую протяженность, целесообразно выбрать первый вариант.

4. Выбрать тип кабеля, учитывая нагрузку, систему передачи, условия трассы и тип грунта

При разработке конструкции ОК следует учитывать ряд требований:

·   кабель должен быть надежно защищен от наружных механических воздействий;

·   при изгибе кабеля или при его растягивании в процессе прокладки ОВ должны оставаться неповрежденными по всему сечению кабеля;

·   в конструкции должны быть как минимум две медные жилы, по которым к регенераторам подается дистанционное электропитание по системе «провод-провод», в отдельных случаях оно может подаваться по системе «провод- металлическая оболочка».

Исходя из условий выбранной трассы и категории ее грунта, выбираем кабель ОКЛБ-01.

Данный кабель является магистральным и внутризоновым, с центральным силовым элементом из стеклопластикового стержня, вокруг которого скручены ОМ(оптических модулей) или ОМ и жилы для ДП(дистанционное питание),с гидрофобным заполнением, промежуточной оболочкой из ПЭ, броней из стальных лент и защитной оболочкой из ПЭ.

Кабель используется для прокладки в грунтах всех категорий, в том числе зараженным грызунами, кроме подверженных мерзлотным деформациям, в кабельной канализации ,трубах, блоках, коллекторах, на мостах и в шахтах, через неглубокие болота и несудоходные реки.

ОКЛБ-01 содержит 4(8,16) оптических волокон, коэффициент затухания не более 0,3 дБ/км, дисперсия не более 2 пс (нм*км), наружный диаметр 18,4±0,2мм, расчетная масса 1 км 404 кг.

Кабель должен быть стойким к изгибам (20 циклов) с радиусом, равным 3600 мм на угол 900 при температуре не ниже -100С. Также должен выдерживать 10 циклов осевых закручиваний на угол ±3600 на длине 1,0±0,2 м при температуре не ниже -100С.

Т.к. трасса будет проходить по Европейской части России, где высокая плотность населенных пунктов, то возможна прокладка оптического кабели без медных жил, т.к. расстояние между соседними населенными пунктами, с поденным электричеством, меньше длинны усилительного участка.

Поперечный разрез кабеля представлен на рисунке:

Рис. 1 - оптическое волокно; 2 - оболочка оптического модуля; 3 - центральный силовой элемент из стеклопластикового стержня; 4-оболочка; 5-гидрофобное заполнение; 6 - обмоточная лента; 7 - промежуточная оболочка из полиэтилена; 8- подушка из крепированной бумаги; 9 - сталеленточная броня; 10-наружная защитная оболочка из полиэтилена (с битумной подклейкой к броне)

5. Подсчитать затухание и дисперсию при заданных длинах волн

Расчет параметров кабеля:

) Относительное значение показателей преломления:

n1=1,51, n2=1,5 -показатели преломления.

Тогда получаем

) Числовая апертура:

 (9)

Отсюда

) Нормированная частота :

Расчет производится для всех трех длин волн.

Для λ1 =1,3 мкм:

Для λ2 =1,51 мкм:

Для λ3 =1,6 мкм:

) Критическая частота:

Гц ,где

 - для одномодовой передачи ,

с0= 3*108 м/c- скорость света,

d=2*a=8,5 мкм- диаметр ОВ.

) Критическая длина волны

м или λ0=1,276 мкм.

) Потери энергии на поглощение:

Ослабление за счет поглощения линейно растет с частотой и связано с потерями на диэлектрическую поляризацию. Потери на поглощение зависят от чистоты материала и при наличии посторонних примесей могут достигать значительной величины.

Также рассчитываются для 3 длин волн.

Для λ1 =1,3 мкм: дБ/км,

Для λ2 =1,51 мкм: дБ/км,

Для λ3 =1,6 мкм: дБ/км,

 Где δ - угол потерь в волокне, а tgδ =2*10-11.

7) Потери на рассеяние:

Рассеяние обусловлено неоднородностями электрических параметров материала ОВ, примесями, размеры которых меньше длины волны, и тепловой флуктуацией показателя преломления. Величина потерь на рассеивание, дБ/км, называется рэлеевским.

Для λ1 =1,3 мкм: дБ/км,

Для λ2 =1,51 мкм: дБ/км,

Для λ3 =1,6 мкм: дБ/км,

Где Кр=0,8 дБ*мкм4/км - некий коэффициент рассеяния.

) Общие потери:

Ослабление сигнала в ОВ обусловлено собственными потерями и дополнительными кабельными потерями , обусловленными неоднородностями конструктивных параметров, возникающих при деформации и изгибе световодов в процессе наложения покрытий и защитных оболочек при изготовлении кабеля. Коэффициент затухания (ослабления)

Величина в реальных условиях составляет 0,1-0,2 дБ/км. Собственные потери состоят из трех составляющих: ослабления за счет поглощения ; ослабления за счет наличия в материале ОВ посторонних примесей , ослабления за счет потерь на рассеяние .

α= αс+ αк≈ αп + αр

Тогда имеем:

Для λ1 =1,3 мкм: дБ/км

Для λ2 =1,51 мкм: дБ/км,

Для λ3 =1,6 мкм: дБ/км,

9) Потери в инфракрасном диапазоне (при λ=2 мкм):

Сик, k-постоянные коэффициенты для кварца.

) Волноводная дисперсия:

Для λ1 =1,3 мкм: с/км или τвв1=0.04 пс/км,

Для λ2 =1,51 мкм: с/км или τвв1=0.6 пс/км,

Для λ3 =1,6 мкм: с/км или τвв1=0.7 пс/км,

∆λ=0,1нм-- ширина спектральной линии источника излучения, равная 0,1…4 нм для лазера,

l=1км - длина линии,

В(λ)- удельная волновая дисперсия,равная 8,12 и 14 пс/(нм*км) для трех длиг волн соответственно.

) Материальная дисперсия:

Для λ1 =1,3 мкм: с/км или τмат1= -0,25 пс/км,

Для λ2 =1,51 мкм: с/км или τмат1= -0,9 пс/км,

М(λ)- удельная материальная дисперсия ,равная -5,-18 и -20 пс/(км*нм) для трех дин волн соответсвенно.

) Результирующая дисперсия:

Для λ1 =1,3 мкм:

Для λ2 =1,51 мкм:

Для λ3 =1,6 мкм:

Тогда на всех участе линии передачи длиной 470 км результирующая дисперсия равна:

Для λ1 =1,3 мкм:

Для λ2 =1,51 мкм:

Для λ3 =1,6 мкм:

) Пропускная способность:

На длине 1 км:

Для λ1 =1,3 мкм:

Для λ2 =1,51 мкм:

Для λ3 =1,6 мкм:

На всем участке линии длиной 430 км:

Для λ1 =1,32 мкм:

Для λ2 =1,51 мкм:

Для λ3 =1,625 мкм:

Расчет длины усилительного участка.

После того как выбраны типовая система передачи и оптический кабель, на основе заданных качества связи и пропускной способности линии определяют длины усилительных участков .

По мере распространения оптического сигнала по кабелю, с одной стороны, происходит снижение уровня мощности; с другой стороны, - уширение передаваемых импульсов.

При проверочном расчете правильного выбора длины участка уселения руководствуются двумя параметрами: суммарным затуханием усилительного участка и дисперсией оптического волокна (ОВ).

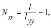
Для определения количества усилителей, которые необходимо установить на линии, используем формулу:


где: l - длина линии, км, lру - максимальная длина усилительного участка для выбранной аппаратуры, км (так как максимальная длина усилительного участка выбранных аппаратуры и кабеля равна 70 км, то с учетом запаса возьмем lру=60 км).

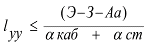
Если исходить из затухания с учетом всех потерь, имеющих место в линейном тракте, то расчетная формула длины усилительного участка выглядит следующим образом:


Э-энергетический потенциал, равный Рпер -Рпр=35-40 дБ,

З-запас на компенсацию старения волокна и др.=5-10 дБ,

Аа-затухание аппаратуры( потери в аппаратуре)=3-5 дБ,

αкаб -потери в кабеле , 0,3 дБ/км,

αст=Ас/l- потери на стыках для неразъемных соединений, дБ/км,

где Ас - затухание соединения ~0.3-0.5 ,дБ,

l=2- значение строительной длины кабеля на участке усиления, км.

Рассчитаем длину усилительного участка по дисперсии:

Для качественного приема ИКМ сигналов достаточно выполнить требование где , - длительность тактового интервала и тактовая частота ИКМ сигнала выбранной системы передачи; - длительность паузы. Если длительность паузы равна длительности посылки, то

Отсюда следует:

Ft=668,4672 МГц - тактовая частота выбранной системы передачи, τи=0.3 пс - величина уширения импульсов в линии.

Длина для усилительного участка ВОСП «Сопка-5» при работе по волокну с затуханием не более 0,3-0,4 дБ/км в диапазоне 1,55 мкм достигает 70 км.

6. Определить длину усилительного участка при первой заданной длине волны

Метод прокладки (прокладка в грунт кабелеукладчиком, прокладка в защитной пластмассовой трубе с задувкой, подвеска на линии электропередачи или контактной сети железной дороги) выбирается в соответствии с условиями на выбранной трассе. Поскольку грунт II-III категории, то лучше прокладывать кабель в грунт кабелеукладчиком.

Более производительным и прогрессивным является способ бестраншейной прокладки с помощью кабелеукладчиком. В этом случае ОК прокладывают непосредственно на дне узкой щели, прорезаемой в грунте ножом кабелеукладчика, снабженным кассетой для направления, подачи и укладки кабеля на заданную глубину залегая (0,9…1,2м). При этом кабель на пути от барабана до выхода из кабеленаправляющей кассеты подвергается различным механическим воздействиями, которые в зависимости от категории грунта, скоростных режимов прокладки, конструкции ОК и кабелеукладчика могут изменяться в значительных пределах.

7. Определить механические усилия при прокладке кабелеукладчиком, учитывая вес, строительную длину кабеля и заданный коэффициент трения

Расчет грозозащиты кабелей с металлическими элементами в конструкции.

) Определение категории молниестойкости по удельному сопротивлению грунта:

Ρ=600 Ом*м - II-III категории,

) Определяем молниестойскость по «Руководству по защите ОК от ударов молнии»

Для выбранного кабеля ОКЛБ-01 максимальный допустимый ток равен I=20кА.

) Вероятное число повреждений ОК с металлическими элементами в конструкции:

Для наших параметров n=0,633,

Тогда внеся поправку, определяемую величиной грозодеятельности в заданной местности, получим :

q=3.6- удельная плотность ударов молнии в землю в год.

) Сравним полученное значение n1 с нормой допустимого числа повреждений магистральных кабелей от ударов молнии n0:

n0=0.1- при удельном сопротивлении грунта ρ>500 Омм,

n1>n0, т.е. 1,065>0.1

) Так как n1>n0 ,то необходима дополнительная защита кабеля от ударов молнии.

магистраль кабель оптический нагрузка

Заключение

В курсовом проекте был решен комплекс вопросов проектирования кабельной магистрали между городами Пензой и Самарой.

Были проведены обоснования наличия кабельной линии связи между данными городами. Была выбрана трасса, обеспечивающая минимальные затраты на строительство и эксплуатацию линейных сооружений.

В проекте была дана краткая характеристика используемого кабеля и системы передач. Произведен расчет первичных и вторичных параметров передачи кабеля. Осуществлено сравнение рассчитанных параметров с существующими нормами, в результате которого сделан вывод о правильности произведенных расчетов.

В ходе выполнения курсового проекта была выбрана аппаратура «Сопка-5»,которая предназначена для организации по одному оптическому кабелю с одномодовыми волокнами мощных пучков каналов и цифровых трактов на магистральных линиях передачи, соединяющих сетевые узлы и, соответственно, кабель ОКЛ, так как он является рекомендуемым кабелем для использования совместно с аппаратурой «Сопка-5». В выбранной нами аппаратуре ВОСП скорость передачи в линии 668,4672 Мбит/с. Так как максимальная длина усилительного участка выбранных аппаратуры и кабеля равна 70 км, то с учетом запаса lру=54км, что и подтвердилось проверочными расчётами.

Список использованной литературы

1.   Гроднев И.И. и др. Справочник. Волоконно-оптические системы передачи и кабели. - М.: Радио и связь, 1993.

2.       Рукововдство по защите оптических кабелей связи от ударов молнии.М.1996.

Похожие работы на - Проектирование междугородной магистрали между Пензой и Самарой с использованием оптического кабеля

 

Не нашли материал для своей работы?
Поможем написать уникальную работу
Без плагиата!
Без нейросетей!