Звуковое вешание
ФГОБУ ВПО СибГУТИ
Кафедра РВ и ТВ
Тема
«ЗВУКОВОЕ ВЕЩАНИЕ»
Новосибирск,
2013г.
ЗАДАНИЕ
В процессе выполнения задания необходимо:
а) по данным таблицы 1 (в соответствии с
вариантом задания необходимо выбрать данные для расчета аналогового фильтра
нижних частот (АФНЧ). Расчет характеристик фильтра ведется по заданным
значениям неравномерности группового времени запаздывания (Amax, дБ) в полосе
пропускания (граничная частота fPP ) и требуемому затуханию (Amin, дБ) на
граничной частоте полосы непропускания (fpn) (рис. 1)
Рисунок 1
б) рассчитать минимальный порядок
АФНЧ Баттерворта и Чебышева;
в) для фильтра имеющего наименьший
порядок рассчитать с помощью программной среды MathCAD амплитудно-частотную
(АЧХ), фазо-частотную (ФЧХ) характеристики и зависимость группового времени
запаздывания от частоты (τ(w));
г) сравнить полученные значения
времени запаздывания с нормами для звуковых сигналов в радиовещательных трактах
(таблица 2). Если полученные значения для выбранного типа АФНЧ не удовлетворяют
нормам, то необходимо выполнить аналогичные расчеты для другого типа фильтра и
произвести окончательный выбор типа АФНЧ (если оба типа не удовлетворяют
требованиям, то необходимо уменьшить требования к АФНЧ по Amin на 2-10 дБ пока
требования не будут удовлетворяться и повторить расчеты.
д) произвести расчет элементов схемы
выбранного типа АФНЧ и составить схему.
Исходные данные:
Amin = 60 дБ;
Amax = 3 дБ;
Wn =
1,6;
fв = 5 кГц.
1. Расчет АФНЧ
Для выбранных параметров в программной среде «MathCAD»
определяем значения Nb
и Nc:
Запишем программы расчета τb(w)
и τc(w):


На одном графике строим зависимости τd(w),
τb(w)
и τc(w):
Рисунок 2- График зависимости τd(w),
τb(w)
и τc(w)
при N=60
Можно сделать вывод, что при заданных значениях
Аmax, Аmin
и wn данные фильтры не
могут удовлетворять требованиям стандартов по групповому запаздыванию сигнала
так как условия τd
≥
τс
или τd
≥
τb,
не выполняется, следовательно, необходимо уменьшить требования к АФНЧ по Amin
на 2-10 дБ для фильтра меньшего порядка, следовательно для фильтра Чебышева,
возьмем Amin=30 дБ,
получаем
Рисунок 3- График зависимости τd(w),
τb(w)
и τc(w)
при N=30
Теперь выполняются оба условия, значит, но, в данном
случае целесообразно выбрать фильтр Чебышева, так как он имеет меньший порядок.
Далее построим нормированную АЧХ фильтра,
удовлетворяющего всем требованиям и имеющего меньший порядок
Рисунок 4 - АЧХ рассчитанного фильтра.
Вывод: В данном задании мы рассчитали порядок
фильтра, выбрали тип фильтра и построили его АЧХ. Поскольку групповое время
запаздывания является производной от аргумента амплитудно-частотной
характеристики фильтра (H(w)):
а H(w)
определяется через значения полюсов аппроксимирующих полиномов, количество и
значения которых я вычисляла по следующей схеме:
определила порядки фильтров
Баттерворта и Чебышева для заданных значений Аmax,Аmin, wn
(нормированной частоты полосы непропускания fд/2 деленной
на fв), для
фильтра Баттерворта:
Где
,
Nb присвоила
целое значение, но не меньше расчетного (Nb:=ceil Nb)
А для фильтра Чебышева
,
Nс:=ceil(Nс)
на одном графике я построила две
зависимости:
для фильтра Баттерворта
а для фильтра Чебышева:
τd:= ψ(w) и τс:= ψ1(w),
где w
нормированная относительно fв частота (f, деленная
на fв)
τd построена по
данным таблицы 2 путем кусочно-линейной или сплайн интерполяции (в среде MathCAD), с учетом
того, что w в таблице 2
в кГц равна f/10, где f - текущая
частота в Гц;
Получилось, что для всех частот,
приведенных в таблице 2 для фильтра, имеющего наименьшее значение N τd ≥ τс и τd ≥ τb, при Аmin=30. В
результате я выбрала фильтр меньшего порядка, а именно фильтр Чебышева. Можно
отметить, что что фильтры Баттерворта обеспечивают максимально плоское
ослабление в полосе пропускания (легче удовлетворить требования по Аmax и τ(w), а фильтры
Чебышева обеспечивают значительно большее рабочее ослабление Аmin чем фильтр
Баттерворта при равных значениях Аmax и N.
РАСЧЕТ ЭЛЕМЕНТОВ СХЕМЫ АНАЛОГОВОГО
ФИЛЬТРА НИЖНИХ ЧАСТОТ (АФНЧ)
Обычно активные фильтры формируются
в виде каскадного соединителя четырехполюсников, обладающих относительно
простой структурой и называемых звеньями ARC - фильтра
(рисунок 5).
Рисунок 5 - Звенья ARC - фильтра
При этом степень передаточной
функции отдельного звена не превышает числа 2. Поэтому при нечетном числе
звеньев в фильтре N, одно звено фильтра будет первого
порядка.
Реализация передаточных функций
фильтров на активных RC-цепях осуществляется
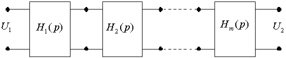
следующим образом. Заданную функцию H(p) порядка m разбивают
на произведение передаточных функций не выше второго порядка, то есть H(p) = H1(p)H2(p)…Hm(p).
Каждую передаточную функцию Hi(p) реализуют
в виде ARC-звена
первого или второго порядка. Схему ARC-фильтра
получают путем каскадного соединения фильтров. Полиномиальные фильтры
(Баттерворта, Чебышева, Гаусса) можно реализовать по одной схеме.Нам, в
соответствии с расчетом, требуется фильтр 4-го порядка.
,
где k0 -
константа нормирования,
Полюса функции p1, p2, p3, p4 найдены
такими:
p1 = -0.085
+ 0.946i= -0.085 - 0.946i3
= -0.206 + 0.392i
p4 = -0.206 -
0.392i
Порядок фильтра четный,
следовательно, в данном фильтре будут звенья только второго порядка.
Первая пара комплексно-сопряженных
полюсов p1 и p2
(p - p2)(p - p3) = p2 + 0.08p + 0.8946;
Поскольку искомых величин больше,
чем уравнений, зададимся частью из них. Выберем приемлемые значения
проводимостей G1, G3 и G4 равными
10-3 см, то есть R1 = R3 = R4 = 1кОм.
Далее из 2-го и 3-го уравнений получаем:
Денормированные значения емкостей:
, нФ
,
где
рад/с
Аналогично проводим вычисления со
второй парой комплексно сопряженных полюсов:
(p - p3)(p - p4) = p2 + 0.412p + 0.196;
И для второго звена фильтра
получаем: С3 = 131.3 нФ, С4 = 76.4 нФ.
В итоге заданная функция H(p) = Hp1(p)Hp2(p) получается
вида:
фильтр частота полюс емкость
Рисунок 6 - Принципиальная схема рассчитанного
аналогового АФНЧ