Дифузний випромінювач змінної яскравості
ВСТУП
Останнім часом спостерігається швидкий розвиток цифрових
оптико-електронних систем з багатоелементними приймачами випромінювання (БПВ) -
цифрових фотоапаратів, відеокамер, web-камер, спеціалізованих камер для
оптичної мікроскопії, астрономії, дистанційного зондування Землі (ДЗЗ), та ін..
Однак їх подальший розвиток в значній мірі залежить від методів та засобів
вимірювання їх енергетичних характеристик.
Найважливішою особливістю вимірювання енергетичних
характеристик ЦВС з БПВ являються високі вимоги до випромінювача, який повинен
відповідати деяким технічним умовам [6]:
. Випромінювач повинен забезпечувати освітлення великої
кількості фоточутливих елементів БПВ з нерівномірністю не більше 1-3%.
2. Випромінювач повинен мати широкий динамічний
діапазон зміни освітленості БПВ, не менше 104 - без зміни
спектрального складу і ступеня поляризації оптичного випромінювання.
. Випромінювач повинен забезпечувати високе значення
максимальної освітленості вхідної зіниці ЦВС або фото чутливої площадки БПВ
більше 5 Вт/м2.
. Випромінювач повинен гарантувати високу
повторюваність результату зі СКВ меншим 0.05.
Як показав критичний аналіз, створення випромінювача, в
повній мірі задовольняючих вимогам, перекисленим в [6], являється важкою
технічною задачею. Так, використання ламп розжарювання та галогенних ламп
дозволяє отримувати високі яскравості, але не забезпечує виконання вимог по
однорідності, лінійності та повторюваності через їх невеликий строк служби та
вигорання нитки розжарювання. Застосування потужних світлодіодів не дозволяє
виконати вимоги по стабільності спектрального складу і повторюваності
вимірювань через їх високу чутливість до зміни температури та напруги. А
установка інтегруючої сфери хоч і дозволяє досягти високої однорідності по
великій площі, лінійності вихідної характеристики та повторюваності, але
виконання вимог по яскравості та великому динамічному діапазону, конструктивно
проблематичне.
Тому, не дивлячись на велику кількість відомих
випромінювачів, зараз потрібний випромінювач змінної яскравості найбільш
задовольняючий вимогам наведеним вище.
Найбільш досконалими на сьогоднішній день вважаються
установки, призначені для калібрування та атестації ЦВС - дифузні випромінювачі
на основі інтегруючої сфери.
Дифузні випромінювачі змінної яскравості (ДВЗЯ) на основі
сполучених інтегруючих сфер [6] призначені для формування у вихідній апертурі
однорідного поля яскравості значної інтенсивності і регулювання його величини з
високою точністю без зміни спектральної характеристики. Враховуючи високі
метрологічні характеристики ДВЗЯ, вони можуть застосовуватися у вимірювальній
фотометрії, наукових дослідженнях, установках для калібрування прецизійних ЦВС,
зокрема для атестації перед запуском оптико-електронних сканерів космічного
базування.
Останнім часом інтерес до приладів такого типу значно
підвищився у зв’язку з перспективою їх використання для вимірювання
енергетичних характеристик та атестації перед запуском оптико-електронних
систем дистанційного зондування Землі із космосу, що розробляються на Україні. Зокрема,
гостра необхідність в наявності достатньо точного пристрою для енергетичного
калібрування ЦВС постала в КП СПБ “Арсенал” м. Київ, де розробляються космічні
сканери. Тому підвищення точності і покращення метрологічних характеристик є
важливою, актуальною, але до кінця не вирішеною в наш час задачею.
Відомі роботи в області кульових фотометрів і дифузних
випромінювачів [5, 6, 7] мають, в даному випадку, обмежене використання, що
пояснюється суттєвою різницею в роботі пристроїв цього типу і традиційних випромінювачів.
Зокрема, використання сполучених інтегруючих сфер, симетрична конструкція
пасивного випромінювача і винесення із нього джерел випромінювання, забезпечує
значно кращі умови для формування однорідного поля яскравості на виході, що, в
свою чергу, зменшує вплив систематичних похибок на фотометричні характеристики
ДВЗЯ. Основну роль при цьому починають грати випадкові фактори - нестабільність
джерел випромінювання, зміна характеристик внутрішнього покриття інтегруючих
сфер, флуктуація геометричних і фізичних параметрів конструктивних елементів,
технологічні похибки і цілий ряд інших. Як показали попередні дослідження, ДВЗЯ
забезпечує яскравість вихідної апертури більше ніж 10 Вт/(ср*м2 ) при величині
останньої не менше 0.2 м нерівномірності поля яскравості не більше 0.5%.
Динамічний діапазон таких випромінювачів складає 104-105, а нелінійність
характеристики яскравості на виході не перевищує 0.5%.
Однак, для реалізації високих потенційних можливостей таких
систем, їх практичного використання для калібрування вітчизняних космічних
сканерів, проектування і подальший розвиток закладає гостру необхідність у
проведенні теоретичних та експериментальних досліджень, розробки практичних
рекомендацій по конструюванню, підбору елементної бази і метрологічного забезпечення.
Матеріали наукових публікацій по ДВЗЯ та ДВ, що служили опорою при написанні
дипломного проекту подані в [6, 7, 8, 9]. Установка призначена для лабораторної
роботи. Відповідно застосовуються вимоги до точності та функціональності.
Розробка установки мас навчально-дослідницький характер тому
виробництво складових установки буде одиничне, з метою тестування зразка.
Результати роботи передбачається використати при розробці
вітчизняних установок для вимірювання енергетичних характеристик та калібрування
оптико-електронних пристроїв космічного базування, що розробляються в Україні,
в тому числі вКП СПБ “Арсенал”, а також можуть бути використані для
калібрування прецизійних цифрових відеосистем широкого класу.
РОЗДІЛ 1. ОГЛЯД ТА ПОРІВНЯЛЬНИЙ АНАЛІЗ ВІДОМИХ СХЕМ ТА
КОНСТРУКТОРСЬКИХ РІШЕНЬ
1.1 Дифузні випромінювачі та їх застосування
Основне призначення дифузного випромінювача - це просторове
інтегрування енергетичного потоку. Завдяки інтегруючим властивостям
фотометричної кулі було розроблено джерело з високо рівномірним розподілом
яскравості по апертурі.
Дифузні випромінювачі (ДВ) на основі інтегруючої сфери (ІС)
знайшли широке застосування при вимірі енергетичних характеристик БПВ й
пристроїв на їхній основі: цифрових фотоапаратів, відеокамер, web-камер,
спеціалізованих камер для оптичної мікроскопії, астрономії, дистанційного
зондування Землі (ДЗЗ), та ін. Однак, установка інтегруючої сфери хоч і
дозволяє досягти високої однорідності по великій площі, лінійності вихідної
характеристики та повторюваності, але виконання вимог по яскравості та великому
динамічному діапазону, конструктивно проблематичне.
Найбільш досконалими на сьогоднішній день вважаються
установки, призначені для калібрування та атестації ЦВС - дифузні випромінювачі
на основі інтегруючої сфери.
Дифузні випромінювачі змінної яскравості (ДВЗЯ) на основі
сполучених інтегруючих сфер [6] призначені для формування у вихідній апертурі
однорідного поля яскравості значної інтенсивності і регулювання його величини з
високою точністю без зміни спектральної характеристики. Враховуючи високі
метрологічні характеристики ДВЗЯ, вони можуть застосовуватися у вимірювальній
фотометрії, наукових дослідженнях, установках для калібрування прецизійних ЦВС,
зокрема для атестації перед запуском оптико-електронних сканерів космічного
базування.
Останнім часом інтерес до приладів такого типу значно
підвищився у зв’язку з перспективою їх використання для вимірювання
енергетичних характеристик та атестації перед запуском оптико-електронних
систем дистанційного зондування Землі із космосу.
1.2 Головні елементи, параметри та характеристики сфери
.2.1 Конструктивні параметри сфери
Для аналізу енергетичних характеристик ДВЗЯвикористовуються
наступні, виправдані конструктивними міркуваннями та застосуванням в
аналогічних системах параметри:
. Відносний отвір ДВЗЯ
, де
- діаметреквівалентного
отворуввторинній сфері, площакотрого
рівнасуміплощ вихідної апертуриівсіх
калібровочних діафрагм:
2. Енергетичний параметр випромінювачаР, рівний
сумарній площі калібровочних діафрагмдоплощі вихідної апертури:
3. Кількість первинних випромінювачівN1;
4. Відносний отвір первинного випромінювачаG1,
рівний відношенню максимального діаметра калібровочної діафрагми
до діаметра первинної сфери
(
).
. Коефіцієнт заповнення випромінювачів первинної сфери
КЗ (
).
. Величина потоку, що випромінює одне ДВ
;
. Покриття первинної і вторинної інтегруючої сфери ρ
. Діаметр вихідної апертури
.
Під час розробки інтегруючої сфери орієнтуються на вимоги
щодо максимального динамічного діапазону яскравості, діаметра вихідної апертури
та нерівномірності яскравісного поля, що формується на виході ДВЗЯ.
Діаметр вихідної апертури повинен бути на 15…20% більше
діаметра вхідної зіниці ЦВС, яку калібрують. Діаметри інтегруючих сфер
обираються з умови, що розумне збільшення діаметра сфери при незмінному
діаметрі вихідної апертури поліпшує інтегруючі властивості випромінювача.
Найменшим значенням приймається значення
, а найбільшим -
. Із цих же міркувань
обирається й максимальний діаметр каліброваних діафрагм.
1.2.2 Дифузні відбиваючі покриття
Дифузне відбиваюче покриття має відповідати наступним
вимогам:
дифузні властивості;
- постійна відбиваюча властивість для як можна ширшої
ділянки спектру;
температурна та механічна стабільність.
Розглянемо деякі найперспективніші та найефективніші покриття
виконані з традиційних та нових матеріалів.
Рис. 1.1 Спектральні характеристики внутрішніх покриттів
інтегруючої сфери (традиційні матеріали)
Рис. 1.2 Спектральні характеристики внутрішніх покриттів
інтегруючої сфери (нові матеріали)
Характеристики деяких матеріалів приведено в таблиці 1.1.
Таблиця
1.1
|
Spectralon (Labsphere)
|
|
Клас
|
Матеріал
|
|
Спектральний діапазон
|
250-2500 нм
|
|
Відбиття 99%
|
400-1500 нм
|
|
Відбиття 95%
|
250-2500 нм
|
|
Температурна стабільність
|
Вище 400˚ С
|
|
Вакуумна стабільність
|
Ніяких газовиділень
|
|
Граничий опір лазерному випромінюванню
|
4 Дж/см2
|
|
Встановлення
|
Монтування блоками
|
|
Spectraflect (Labsphere)
|
|
Клас
|
Покриття
|
|
Спектральний діапазон
|
300-2400 нм
|
|
Відбиття 96-98%
|
Середнє 600 нм
|
|
Температурна стабільність
|
до 100˚С
|
|
Вакуумна стабільність
|
Низьке газовиділення у високому вакуумі
|
|
Граничий опір лазерному випромінюванню
|
17 Дж/см2
|
|
Встановлення
|
Нанесення розпиленням
|
|
Duraflect (Labsphere)
|
|
Клас
|
Покриття
|
|
Спектральний діапазон
|
350-1200 нм
|
|
Відбиття 94-96%
|
Середнє 600 нм
|
|
Температурна стабільність
|
80˚ С
|
|
Вакуумна стабільність
|
Газовиділення при 120˚С
|
|
Водопроникність
|
Водонепроникний
|
|
Граничий опір лазерному випромінюванню
|
Відсутній
|
|
Встановлення
|
Нанесення розпиленням
|
|
Infragold(Labsphere)
|
|
Клас
|
Покриття
|
|
Спектральний діапазон
|
0.7-20 мкм
|
|
Відбиття 94-95%
|
1-16 мкм
|
|
Вакуумна стабільність
|
Ніяких газовиділень
|
|
Граничий опір лазерному випромінюванню
|
19.3 Дж/см2, середнє 10.6 мкм
|
|
Встановлення
|
електрохімічне нанесення
|
1.2.3 Джерела випромінювання
Найбільш доцільними джерелами випромінювання для ДВ вважають
малогабаритні галогенні лампи. Ці лампи забезпечують суцільний спектр
випромінювання, який не має окремих ліній випромінювання, а також тимчасової
нестабільності при використанні з блоком живлення змінного струму.
В таблиці 1.2. приведено список ГЛ, відібраних автором цього
проекту, якнайбільш доцільних для використання в даному приладі.
Таблиця1.2
|
Найм.
|
Потужн., Вт
|
Напр., В
|
Світловий потік, Лм
|
Строк служби, год.
|
Габарити
|
Тип цоколя
|
|
|
|
|
|
L
|
D
|
H
|
|
|
Philips Capsule Line Pro
|
100
|
12
|
2200
|
4000
|
44
|
12
|
30
|
GY6.35
|
|
Philips MASTER Caps
|
60
|
12
|
1700
|
4000
|
44
|
12
|
30
|
GY6.35
|
|
Philips Clickline
|
60
|
230
|
820
|
2000
|
44.8
|
12.78
|
21.1
|
G9
|
|
Philips MASTER Line TC
|
60
|
12
|
1600
|
5000
|
85
|
14
|
53
|
G8.5
|
|
Philips MV Capsule 2yr
|
60
|
12
|
790
|
2000
|
44.8
|
12.78
|
21.7
|
G9
|
|
Philips EcoHalo ClickLine
|
53
|
230
|
850
|
2000
|
44.8
|
12.78
|
21.7
|
G9
|
|
Philips Capsule line
|
50
|
12
|
800
|
1500
|
44
|
12
|
30
|
GY6.35
|
|
Philips Capsule Line Pro мат/прозр
|
50
|
12
|
950
|
4000
|
44
|
12
|
30
|
GY6.35
|
|
Philips Halogen Capsule 4yr
|
50
|
12
|
880
|
4000
|
44
|
12
|
30
|
GY6.35
|
|
Philips MASTER Line TC
|
45
|
12
|
1100
|
5000
|
85
|
14
|
53
|
G8.5
|
|
Philips MASTER Caps
|
30
|
12
|
750
|
4000
|
44
|
12
|
30
|
GY6.35
|
|
Philips Clickline
|
25
|
230
|
490
|
2000
|
44.8
|
12.78
|
21.1
|
G9
|
|
Philips Halogen Capsule 4yr
|
20
|
12
|
310
|
4000
|
32
|
8.5
|
22
|
G4
|
|
Philips Capsule line
|
20
|
12
|
310
|
3000
|
32
|
9
|
22
|
G4
|
|
КГМ 6-20-1
|
20
|
6
|
310
|
1500
|
31
|
8
|
-
|
G4
|
|
КГМ 12-20-1
|
20
|
12
|
350
|
2000
|
33
|
10
|
-
|
G4
|
|
КГМ 6-25
|
25
|
6
|
510
|
100
|
30
|
9
|
-
|
G4
|
|
КГМ 6-25-1
|
25
|
6
|
350
|
1500
|
31
|
8
|
-
|
G4
|
|
КГМ 12-50-2
|
50
|
12
|
1000
|
2000
|
44
|
12
|
-
|
G6.35
|
|
КГМ 12-65
|
65
|
12
|
1000
|
2000
|
44
|
12
|
-
|
G6.35
|
|
КГМ 12-100-7
|
100
|
12
|
2000
|
2000
|
44
|
12
|
-
|
G6.35
|
|
КГМ 12-100-5
|
100
|
12
|
2500
|
2000
|
44
|
12.5
|
-
|
G6.35
|
|
КГМ 30-300-2
|
300
|
30
|
35*
|
55
|
55
|
15
|
36
|
G6.35
|
|
КГМ 36-500*
|
500
|
36
|
18130
|
50
|
60
|
18
|
36
|
GY6.35
|
* - габаритна яскравість, 19х106 кд/м²
Як перспективні джерела випромінювання в даному приладі в
майбутньому можуть використовуватися над яскраві світло діоди високої
потужності та лампи на їх основі. Їх позитивною характеристикою є низьке
тепловиділення, малі габарити. Але невисока стабільність і значно менший,
порівняно з галогенними лампами потік випромінювання, ускладнює їх використання
при проведенні вимірювань, що потребують значної оптичної потужності.
В майбутньому з покращенням метрологічних характеристик їх
застосування буде доцільним.
.2.4 Розміщення джерел випромінювання
Кількість джерел випромінювання в первинній сфері
визначається коефіцієнтом заповнення kзякі в ДВ середніх розмірів
(від 0.25 до 1.5 м) приймає значення від 0.015 до 0.025 шт/мм.
1.2.5 Нерівномірність яскравісного поля
Однією з основних характеристик ДВЗЯ є нерівномірність
розподілю яскравості в площині вихідної апертури. У більшості практичних
випадків ця величина не повинна перевищувати величин порядку 1 - 3%. Але з
появою нових систем високого розділення ставляться більш жорсткі вимоги щодо
нерівномірності у поєднанні з вимогами щодо максимальної яскравості та
динамічного діапазону яскравості.
Нерівномірність яскравості вихідної апертури тісно пов’язана
з інтегруючими властивостями сфери, що визначається конструктивними
параметрами. Необхідно забезпечити ефективну інтегруючу площу, яка має
становити не менше ніж 80 - 85% від усієї площі внутрішньої поверхні
інтегруючої сфери. Це питання розглядається одномоментно із питаннями
забезпечення максимальної вихідної яскравості, а також ряду важливих задач по
температурному режиму та контролю усього процесу інтегрування.
1.3 Існуючі аналоги
|
Bentham
|

|
|
Модель
|
ULS300
|
|
Діапазон яскравостей
|
30 - 14500 кд/м2
|
|
Кольорова температура
|
3100 ± 20 К
|
|
Діаметр сфери
|
300 мм
|
|
Діаметр вихідної апертури
|
100 мм
|
|
Нерівномірність вихідної апертури
|
0.05%
|
|
ElectroOpticalIdustries. Inc
|
|
|
Модель
|
ISV400
|
|
Діапазон яскравостей
|
0 - 34260 кд/м2
|
|
Кольорова температура
|
2950 ± 25 К
|
|
Діаметр сфери
|
300 мм
|
|
Діаметр вихідної апертури
|
101 мм
|
|
Покриття
|
PTFE
|
|
Нерівномірність вихідної апертури
|
<2%
|
|
Optronik
|

|
|
Модель
|
LDN10-5
|
|
Діапазон яскравостей
|
200 - 2200 кд/м2
|
|
Діаметр сфери
|
500 мм
|
|
Діаметр вихідної апертури
|
100 мм
|
|
Покриття
|
Spectraflect (Labsphere)
|
|
Нерівномірність вихідної апертури
|
<2%
|
|
Newport
|

|
|
Модель
|
70677
|
|
Діаметр сфери
|
200 мм
|
|
Діаметр вихідної апертури
|
50 мм
|
|
Покриття
|
Barium sulfate (Newport)
|
|
Комплектація джерелами випромінювання
|
Визначається замовником
|
|
Optroniс Laborotories
|

|
|
Модель
|
OL Series 454
|
|
Діапазон яскравостей
|
0 - 21926кд/м2
|
|
Кольорова температура
|
3000 ± 35 К
|
|
Діаметр сфери
|
304 мм
|
|
Діаметр вихідної апертури
|
76 мм
|
|
Покриття
|
PTFE
|
|
Нерівномірність вихідної апертури
|
<0.5%
|
|
Optroniс Laborotories
|

|
|
Модель
|
OL Series 466
|
|
Діапазон яскравостей
|
0 - 787кд/м2
|
|
Кольорова температура
|
3000 ± 35 К
|
|
Діаметр сфери
|
304 мм
|
|
Діаметр вихідної апертури
|
76 мм
|
|
Покриття
|
PTFE
|
|
Нерівномірність вихідної апертури
|
<0.5%
|
|
Gigahertz-Optik
|

|
|
Модель
|
UMBB-300
|
|
Кольорова температура
|
3000 ± 35 К
|
|
Діаметр сфери
|
300 мм
|
|
Діаметр вихідної апертури
|
89 мм
|
|
Покриття
|
UMBB-BSC (Gigahertz-Optik)
|
|
Комплектація джерелами випромінювання
|
Визначається замовником
|
|
Labsphere
|

|
|
Модель
|
USS-1200C
|
|
Діапазон яскравостей
|
0 - 63000кд/м2
|
|
Кольорова температура
|
3000 ± 35 К
|
|
Діаметр сфери
|
300 мм
|
|
Діаметр вихідної апертури
|
100 мм
|
|
Покриття
|
Spectraflect
|
|
Нерівномірність вихідної апертури
|
<2%
|
|
SphereOptics
|

|
|
Модель
|
LR-122-H
|
|
Діапазон яскравостей
|
0 - 27408кд/м2
|
|
Кольорова температура
|
3000 ± 35 К
|
|
Діаметр сфери
|
300 мм
|
|
Діаметр вихідної апертури
|
100 мм
|
|
Покриття
|
(Zenith) PTFE
|
|
Нерівномірність вихідної апертури
|
<2%
|
Тепер, проаналізувавши всю зібрану інформацію, в тому числі
наведену вище, зіставимо порівняльні таблиці 1.3. аналогів розробляємому ДВЗЯ.
Висновки до 1 розділу:
В даному розділі було проведено огляд фундаментальних основ
ДВЗЯ, розглянуто його основні параметри та сфери застосування. Було
проаналізовано світовий ринок приладів, що вирішують подібні задачі. Зіставлено
порівняльну таблицю характеристик та параметрів дифузних випромінювачів
виробників світу.
РОЗДІЛ 2. РОЗРОБКА СТРУКТУРНОЇ СХЕМИ
2.1 Фізичні основи роботи приладу
Робота приладу основана на теорії фотометричної кулі
(інтегруючої сфери, кулі Ульбріхта).
Фотометрична куля - це прилад для визначення світлового
потоку, що випромінюється в різних напрямках (або освітленості). Цей прилад
являє собою кулю, порожню всередині, розміри котрої обираються в залежності від
зовнішніх розмірів джерел випромінювання. Внутрішня поверхня кулі вкрита
однорідною білою фарбою, ідеально матовою, коефіцієнт відбиття (
) якої однаковий для всієї поверхні
(є дифузним відбивачем). Внутрішнє покриття сфери гарантує, що падаючий потік
на ділянку
внутрішньої поверхні сфери
відбивається таким чином, що значення величини яскравості однакове у всіх
напрямках. Під певним кутом випромінювання з ділянки
, що падає на ділянку
, створює відносну освітленість
, яка не залежить від взаємного
розташування ділянок
і
. Відносна освітленість однакова по всій площі сфери після
одного відбиття. Освітленість, яка створюється в певній частині ділянки
в межах сфери, може бути розрахована
інтегруванням відносної освітленості
по усій поверхні сфери і є
пропорційною повному потоку, виміряному детектором.
Дана залежність справедлива лише в тих випадках, коли
внутрішня поверхня сфери - ламбертівська з постійними спектральними
властивостями і не має ніяких абсорбуючих поверхонь, а датчик має ідеальну
косинусну корекцію. Проте в експериментальних умовах присутні похибки, які
зумовлені неможливістю створення ідеального дифузного розсіювача з постійним
значенням коефіцієнту відбиття по всій внутрішній частині сфери.
Освітленість будь-якої точки кулі, захищеної невеликим екраном від
прямих променів розміщеного в кулі джерела, пропорційна світловому потоку цього
джерела (у загальному випадку - потоку випромінювання):
Рис. 2.1 Освітлення сфери
Освітленість екранованої ділянки виміряється тим або іншим способом,
наприклад за допомогою вбудованого в кулю фотоелемента.
Рис. 2.2 Способи вимірювань в кулі
2.2 Вибір елементів структурної схеми
Для розроблюваного приладу необхідно обрати ряд уніфікованих
елементів, від яких залежить якість та надійність роботи всієї системи.
Тому до цього питання необхідно підійти з великою
відповідальністю та уважністю.
Для ДВЗЯ необхідно в першу чергу обрати джерело
випромінювання, та під нього підібрати патрон. Також виходячи з конструктивних
міркувань та габаритів сусідніх елементів необхідно обрати кроковий двигун для
регулювання розміру каліброваної діафрагми.
2.2.1 Вибір джерела випромінювання
Галогенна лампа [2] - лампа розжарювання, у балон якої
доданий буферний газ: пари галогенів (брому або йоду). Це підвищує час життя
лампи до 2000-4000 годин, і дозволяє підвищити температуру спіралі. При цьому
робоча температура спіралі складає приблизно 3000 К. Ефективність галогенних
ламп може досягати 28 лм/Вт, але на практиці рідко буває вищою 13-15 лм/Вт.
Принцип роботи
Електричний струм, проходячи через тіло розжарення (зазвичай
- вольфрамову спіраль), нагріває його до високої температури. Нагріваючись, тіло
розжарення починає світитися. Проте із-за високої робочої температури атоми
вольфраму випаровуються з поверхні тіла розжарення (вольфрамової спіралі) і
осідають (конденсуються) на менш гарячих поверхнях колби, обмежуючи термін
служби лампи.
У галогенній лампі, йод, що оточує тіло розжарення (спільно
із залишковим киснем) вступає в хімічну реакцію з атомами вольфраму, що
випарувалися, перешкоджаючи осадженню останніх на колбі. Цей процес є оборотним
- при високих температурах поблизу тіла розжарення з'єднання розпадається на
складові речовини. Атоми вольфраму звільняються таким чином або на самій
спіралі, або поблизу неї. В результаті атоми вольфраму повертаються на тіло
розжарення, що дозволяє підвищити робочу температуру спіралі (для отримання
яскравішого світла), продовжити термін служби лампи, а також зменшити габарити
в порівнянні із звичайними лампами розжарювання тієї ж потужності. Галогенні
лампи однаково добре працюють на змінному і постійному струмі. При застосуванні
плавного включення термін служби може бути підвищений до 8000-12 000 годин.
Переваги і недоліки
Додавання галогенів запобігає осадженню вольфраму на склі, за
умови, що температура складає вище 250°C. Унаслідок відсутності почорніння
колби, галогенні лампи можна виготовляти дуже компактними. Малий об'єм колби
дозволяє, з одного боку, використати більший робочий тиск (що знову ж таки веде
до зменшення швидкості випаровування нитки) і, з іншого боку, без істотного
збільшення вартості заповнювати колбу важкими інертними газами, що веде до зменшення
втрат енергії за рахунок теплопровідності. Усе це подовжує час життя галогенних
ламп і підвищує їх ефективність. Сучасні галогенні лампи мають цілий ряд
переваг в порівнянні зі звичайними лампами розжарювання:
· незмінно яскраве світло і постійне світло упродовж
усього терміну служби лампи розжарювання;
· красиве і соковите з прекрасним
перенесенням кольорів випромінюване світло;
· завдяки високій світловіддачі,
галогенні лампи забезпечують більше світла, ніж лампи розжарювання;
· термін служби галогенних ламп
приблизно в два рази більший, ніж у стандартних ламп розжарювання;
· зменшені розміри галогенних ламп
дозволяють використати їх в надмініатюрних і малопомітних світильниках, що
підкреслюють неповторність інтер'єрів.
У галогенних лампах значно понижено ультрафіолетове
випромінювання, що у свою чергу зменшує вицвітання об'єктів, що викликається
цим випромінюванням. Галогенні лампи працюють від мережі 220 В напряму без
трансформаторів, моделі низької напруги - від джерел живлення 6, 12, 24В.
Галогенні лампи низької напруги вигідно відрізняються
мініатюрністю, великим кутом падіння світлового пучка. Це дозволяє створити
компактні і привабливі системи освітлення в найрізноманітніших сферах
діяльності. Галогенні лампи низької напруги випускаються як з відбивачами, так
і без.
Світлопередача
Галогенні лампи мають дуже хорошу світлопередачу (Ra 99-100)
кольорів, оскільки їх безперервний спектр близький до спектру абсолютно чорного
тіла з температурою 2800-3000K. Їх світло підкреслює теплі тони, але у меншій
мірі, ніж світло звичайних ламп розжарювання.
Застосування
Хоча галогенні лампи не досягають ефективності люмінесцентних
і тим більше світлодіодних ламп, їх перевага полягає в тому, що вони можуть
бути без яких-небудь доопрацювань використані як пряма заміна звичайних ламп
розжарювання, наприклад, з диммерами і з вимикачами з підсвічуванням ("з
вогником").
Галогенні лампи також активно використовуються в
автомобільних фарах завдяки їх підвищеній світлопередачі, довговічності,
стійкості до коливань напруги, малих розмірів колби.
Потужні галогенні лампи використовуються в прожекторах,
рампах, а також для освітлення при фото-, кіно- і відеозйомці, в
кінопроекційній апаратурі.
Галогенні лампи з невеликою температурою тіла розжарювання є
джерелами інфрачервоного випромінювання і використовуються як нагрівальні
елементи, приміром в електроплитах, мікрохвильових печах (гриль), паяльниках
(спайка ІЧ-випромінюванням термопластів).
Виконання
Галогенні лампи можуть бути виготовлені як в компактних
типорозмірах MR16, MR11, з цоколем GU 5.3, G4, GY 6.35 (на 12 вольт) або G9,
GU10 (на 220 або 110 вольт), так і з цоколем Едісона Е14 або Е27 (на 220 або
110 вольт). Колба ламп може бути прозорою, матованою, а також мати рефлектор
і/або розсіювач.
Лампи типорозмірів MR призначені для установки в транспортних
засобах (автомобілях, мотоциклах, велосипедах), а також, при підключенні через
трансформатор, можуть бути використані для стаціонарного освітлення
("точкове освітлення", компактні світильники) від побутової мережі.
Лампи типорозміру GU використовуються для стаціонарного
освітлення аналогічно лампам MR, на відміну від останніх не вимагаючи
трансформатора.
Рис. 2.3 Лампа типорозміруMR16
Визначити, лампа якого типу (MR або GU) встановлена в цьому
світильнику або світловій "точці", не виймаючи лампу, легко,
простеживши, як міняється яскравість лампи при включенні і виключенні: лампа GU
спалахує і гасне практично миттєво, а лампа MR - плавніше, маючи певну інерцію
(близько 1/2 секунди).
Лампи з цоколем Е14 (миньон) або Е27 (стандарт) призначені
для заміщення звичайних ламп розжарювання. Вони забезпечені додатковою
зовнішньою колбою (за формою і розмірам що нагадує колбу звичайних ламп
розжарювання), що захищає внутрішню кварцеву колбу від забруднень, випадкових
дотиків і контакту з легкоплавкими матеріалами.
Особливості експлуатації
Галогенні лампи дуже чутливі до жирових забруднень, тому їх
внутрішніх колб не можна торкатися навіть чисто вимитими руками. Зважаючи на
високу температуру колби, будь-які забруднення поверхні (наприклад, відбитки
пальців) швидко згорають в процесі роботи, залишаючи почорніння. Це веде до
локальних підвищень температури колби, які можуть послужити причиною її
руйнування (тому, із-за високої температури, колби виготовляються з кварцевого
скла). При їх установці слід тримати колбу лампи через чисту серветку (чи в
чистих рукавичках), а при випадковому торканні ретельно протерти колбу
тканиною, що не залишає волокон (наприклад, мікрофіброю) зі спиртом. Оскільки
колба галогенної лампи розігрівається до пожежонебезпечних температур, то її
слід монтувати так, щоб надалі повністю виключити всяку можливість її зіткнення
з будь-якими предметами, що знаходяться поблизу, і матеріалами, і тим більше
людським тілом.
При використанні галогенної лампи з димером необхідно час від
часу включати лампу на повну потужність, щоб випарувати осад йодиду вольфраму,
що накопичився на внутрішній частині колби.
Класифікація галогенних ламп
Класифікація за напругою
Галогенні лампи мережевої напруги
Галогенні лампи мережевої напруги загального призначення
Галогенні лампи, розраховані на високу напругу, можна
експлуатувати так само як і звичайні лампи розжарювання. Вони розраховані на
роботу в мережі із стандартною напругою в 220-240 вольт без трансформатора.
Відрізняються від традиційних ламп розжарювання більш високою колірною
температурою (близько 3000 К) при однаковій здатності до перенесення кольорів.
За показниками економічності перевершують класичні лампи розжарювання:
галогенна лампа горить яскравіше і служить в два рази довше за аналогічну по
потужності звичайну лампу розжарювання.
Галогенні лампи мережевої напруги спрямованого cвітла
Галогенні лампи спрямованого світла - це потужніша і
економічніша альтернатива звичайним дзеркальним лампам. Конструктивною
особливістю лампи є наявність виконаного з металу відбивача, який направляє
вперед світловий і тепловий потоки. Це дає можливість ефективно вирішувати
проблему відведення тепла, яка з'являється при установці ламп в стельові
світильники, або при їх використанні у світильниках із закритими головними
частинами. Випускаються також моделі з інтерференційним відбивачем, в яких
потік теплового випромінювання перенаправляється у зворотному напрямі.
Низьковольтні галогенні лампи
Низьковольтні галогенні лампи загального призначення
Капсульні галогенні лампи - найбільш мініатюрні з сімейства
галогенних ламп. Вони виготовляються по техніці низького тиску і можуть
застосовуватися у відкритих світильниках без використання захисного скла. Нитка
напруження в капсульних лампах може мати і поперечне і подовжнє розташування.
Розташування спіралі по осі лампи дає оптимальний розподіл світлового потоку.
Спеціальні низьковольтні галогенні лампи
· лампи зі збільшеним терміном служби (до 3000 годин);
· лампи серії 24-вольта зі склом, що
поглинає ультрафіолетове випромінювання;
· лампи зі збільшеною на 30% світловою
віддачею.
Ці лампи робляться для спеціальних сфер застосування
(наприклад, для освітлення духовок, для приміщень, в яких потрібно мати високий
рівень освітленості і тому подібне) і їх відносять в окрему групу.
Низьковольтні галогенні лампи спрямованого світла
Галогенні лампи з відбивачем значно розширюють можливості
використання галогенних джерел світла. Поверхню інтерференційного відбивача в
лампах цієї конструкції покривають спеціальним шаром, що пропускає інфрачервоне
випромінювання. Завдяки такому рішенню вдалося відвести через відбивач назад
більше 60% теплової енергії. Чутливі до тепла об'єкти, таким чином, не
руйнуються і не псуються.
Колірна температура ламп - 3200 К. Біле іскристе світло цих
лам дозволяє вдало виділити і підкреслити блиск і колірні нюанси освітлюваних
об'єктів.
Низьковольтні галогенні лампи з алюмінієвим відбивачем, в
яких тепло відводиться вперед, дуже добре пристосовані для використання в таких
стельових конструкціях, що передбачають врізні стельові світильники.
Класифікація за конструкцією
Лінійні
Лінійні галогенні лампи зазвичай обладнані цоколями по обох
сторонах колби. Лампи потужністю 2000 ватів і вище не оснащені цоколями, а обладнані
плоскими або дротяними виводами для їх затиску. Потужність цих ламп варіюється
в діапазоні 100-20000 ватів, а номінальна напруга складає 110, 127 і 220 вольт.
Російські лінійні лампи містять в маркуванні букви КГ або КИ (кварцеві
галогенні або йодні галогенні, відповідно), а цифри, що йдуть за ними,
повідомляють напругу і потужність ламп. В деяких випадках після вказання
потужності лампи через дефіс може вказуватися цифра, що інформує про
модифікацію лампи. Наприклад, в маркуванні КГ 220-1000-5 вказана п'ята
модифікація лампи. Лінійні галогенні лампи найчастіше використовуються при
освітленні вулиць, торцевих частин будівель, рекламних вивісок і так далі.
Важливо враховувати те, що через особливості хімічних
процесів майже усі лінійні галогенні лампи працюють лише в горизонтальному
положенні, і максимальний кут їх нахилу складає 4°. При збільшенні цього кута
верхня частина колби швидко темніє і тривалість служби лампи різко знижується.
Компактні (малогабаритні)
Малогабаритні галогенні лампи випускаються для роботи в
мережах з напругою 220 В і потужністю 500-5000 Вт. Застосовуються лампи з
високою потужністю найчастіше для установки в прожектори для кінозйомок.
Компактні лампи оснащені особливими цоколями і мають спеціальну конструкцію.
Останнім часом випуск цих ламп знижується, оскільки їх змінюють
метало-галогенні джерела світла, що мають підвищені технічні характеристики.
У маркуванні російських компактних галогенних ламп містяться
букви КГМ або КГМН (кварцева галогенна малогабаритна), АКГ (автомобільна
кварцева галогенна), КГСМ (кварцева галогенна літакова малогабаритна), після
яких вказуються номінальна напруга, і потужність. У автомобільних галогенних
ламп з двома розжарюваними тілами (для перемикання ближнього і далекого світла)
в маркуванні є присутньою потужність кожного розжарюваного тіла.
У ламп з відбивачами в позначенні, окрім напруги і
потужності, повинні вказуватися кут розсіяння і діаметр відбивача.
Компактні галогенні лампи, оснащені відбивачами,
застосовуються для точкового підсвічування музейних експонатів, ювелірних
товарів, а також в настільних лампах. Компактні галогенні лампи без відбивачів,
окрім точкового освітлення, застосовуються в різних оптичних і сигнальних
пристроях.
На відміну від лінійних, компактні галогенні лампи працюють однаково,
незалежно від розташування.
PAR-лампи
Лампи з колбами з пресованого скла, оснащені з внутрішньої
сторони відбивачем (PAR-лампи). Ці лампи виконують завдання лампи і світильника
одночасно. Лампи типу PAR зазвичай оснащені цоколем Е27, що дозволяє встановлювати
їх в звичайні патрони, і призначені для експлуатації в мережах з напругою 220
В. Встановлений відбивач утворює потрібну криву розподілу сили світла, тому
пропадає необхідність у використанні додаткової оптики. Характеристики цих ламп
дещо гірші, ніж характеристики компактних ламп, оснащених відбивачем, але вони
мають великий попит, оскільки підключаються в мережу 220 У без використання
трансформатора. Зазвичай ці лампи використовуються при створенні системи
точкового підсвічування торгових залів і вітрин.
IRC-галогенні лампи
Новим напрямом розвитку ламп є т.н. IRC-галогенні лампи
(скорочення IRC означає "інфрачервоне покриття"). На колби таких ламп
наноситься спеціальне покриття, яке пропускає видиме світло, але затримує
інфрачервоне (теплове) випромінювання і відбиває його назад, до спіралі. За
рахунок цього зменшуються втрати тепла і, як наслідок, збільшується
ефективність лампи. За даними фірми OSRAM, споживання енергії знижується на
45%, а час життя подвоюється (в порівнянні із звичайною галогенною лампою).
Інші види галогенних ламп
Задовго до появи ламп PAR виникли автомобільні і літакові
лампи, що теж виконують функції ламп і освітлювальних пристроїв. Лампи
випускаються в колбах з пресованого скла, на зовнішній стороні якої
встановлюється відбивач. Такі лампи працюють на низькій напрузі (12-24 В) і
оснащені особливими цоколями.
Вибір джерела випромінювання
Галогенні лампи мають безліч переваг в порівнянні з іншими
джерелами випромінювання, але і мають деякі недоліки. У зв'язку з тим, що недоліки,
цього джерела випромінювання задовольняють вимогам ТЗ, галогенна лампа і була
вибрана основним випромінювачем в приладі, що розроблявся.
Для конкретнішого вибору джерела випромінювання були узяті до
уваги галогенні лампи вітчизняного виробництва - лампи типу КГМ (кварцеві
галогенні малогабаритні), і лампи зарубіжного виробництва - галогенні лампи
фірми Philips.
Каталоги з детальним описом, кресленнями і характеристиками
цих ламп приведені в додатках.
Для визначення необхідного випромінювача, проаналізуємо
доступну інформацію і складемо порівняльну таблицю характеристик галогенних
ламп із запропонованих каталогів відповідно до вимог, що пред'являються до ГЛ
для ДВЗЯ.
Вимоги, що пред'являються до ГЛ для ДВЗЯ
Оскільки ДВЗЯ має складну і незвичайну будову, і має деякі
конструктивні складнощі та особливості, то до ГЛ, використовуваних в ДВЗЯ,
пред'являється ряд спеціальних вимог:
· Компактна лампа за типом конструкції (нелінійна);
· Великі світлові потоки (для
забезпечення великого динамічного діапазону зміни яскравості ДВЗЯ);
· Малі габарити (для розміщення
максимально допустимої кількості джерел випромінювання в кожній первинній сфері
ДВЗЯ);
· Великий термін служби (для
забезпечення найменшого контакту користувача з внутрішніми покриттями поверхні
первинної сфери ДВЗЯ);
· Можливість швидкої і зручної заміни
лампи без спеціального інструменту і навичок (для самостійної заміни джерел
випромінювання при псуванні лампи або при зміні типу джерела);
· Одноцокольна будова лампи (для
економії місця і зручності установки/зміни ламп);
· Стандартний тип цоколя (для
забезпечення можливості використання ламп з іншими параметрами і
характеристиками);
· Лампа мережевої напруги (використання
низьковольтних джерел випромінювання недоцільне, оскільки ДВЗЯ буде
використаний у складі стаціонарного лабораторного стенду);
· Не має значення напрям поширення
світла (оскільки робота ДВЗЯ повністю підкоряється залежностям і законам
поширення випромінювання в інтегруючій сфері, то недоцільно використати лампи з
відбивачами, що формують спрямований пучок);
· Економічна виправданість (прилад є
спеціалізованою лабораторною установкою довгострокового користування, тому не
унеможливлюється використання дорогих елементів, для поліпшення якості роботи).
Відбір найбільш доцільних для ДВЗЯ ГЛ
Відповідно до вимог висунутим до галогенних ламп для
дифузного випромінювача змінної яскравості, з каталогів, описаних вище було
відібрано 24 найбільш доцільних для ДВЗЯ галогенних ламп.
Їх характеристики та параметри описані нижче в таблиці 2.1..
Таблиця
2.1
Характеристики ГЛ [1], [5]
|
Найменування
|
Потужн.Вт
|
Напр., В
|
Світловий потік, Лм
|
Строк служби, год.
|
Габарити
|
Тип цоколя
|
|
|
|
|
|
L
|
D
|
H
|
|
|
Philips Capsule Line Pro
|
100
|
12
|
2200
|
4000
|
44
|
12
|
30
|
GY6.35
|
|
Philips MASTER Caps
|
60
|
12
|
1700
|
4000
|
44
|
12
|
30
|
GY6.35
|
|
Philips Clickline
|
60
|
230
|
820
|
2000
|
44.8
|
12.78
|
21.1
|
G9
|
|
Philips MASTER Line TC
|
60
|
12
|
1600
|
5000
|
85
|
14
|
53
|
G8.5
|
|
Philips MV Capsule 2yr
|
60
|
12
|
790
|
2000
|
44.8
|
12.78
|
21.7
|
G9
|
|
Philips EcoHalo ClickLine
|
53
|
230
|
850
|
2000
|
44.8
|
12.78
|
21.7
|
G9
|
|
Philips Capsule line
|
50
|
12
|
800
|
1500
|
44
|
12
|
30
|
GY6.35
|
|
Philips Capsule Line Pro мат/прозр
|
50
|
12
|
950
|
4000
|
44
|
12
|
30
|
GY6.35
|
|
Philips Halogen 12V Capsule 4yr
|
50
|
12
|
880
|
4000
|
44
|
12
|
30
|
GY6.35
|
|
Philips MASTER Line TC
|
45
|
12
|
1100
|
5000
|
85
|
14
|
53
|
G8.5
|
|
Philips MASTER Caps
|
30
|
12
|
750
|
4000
|
44
|
12
|
30
|
GY6.35
|
25
|
230
|
490
|
2000
|
44.8
|
12.78
|
21.1
|
G9
|
|
Philips Halogen 12V Capsule 4yr
|
20
|
12
|
310
|
4000
|
32
|
8.5
|
22
|
G4
|
|
Philips Capsule line
|
20
|
12
|
310
|
3000
|
32
|
9
|
22
|
G4
|
|
КГМ 6-20-1
|
20
|
6
|
310
|
1500
|
31
|
8
|
-
|
G4
|
|
КГМ 12-20-1
|
20
|
12
|
350
|
2000
|
33
|
10
|
-
|
G4
|
|
КГМ 6-25
|
25
|
6
|
510
|
100
|
30
|
9
|
-
|
G4
|
|
КГМ 6-25-1
|
25
|
6
|
350
|
1500
|
31
|
8
|
-
|
G4
|
|
КГМ 12-50-2
|
50
|
12
|
1000
|
2000
|
44
|
12
|
-
|
G6.35
|
|
КГМ 12-65
|
65
|
12
|
1000
|
2000
|
44
|
12
|
-
|
G6.35
|
|
КГМ 12-100-7
|
100
|
12
|
2000
|
2000
|
44
|
12
|
-
|
G6.35
|
|
КГМ 12-100-5
|
100
|
12
|
2500
|
2000
|
44
|
12.5
|
-
|
G6.35
|
|
КГМ 30-300-2
|
300
|
30
|
35*
|
55
|
55
|
15
|
36
|
G6.35
|
|
КГМ 36-500*
|
500
|
36
|
18130
|
50
|
60
|
18
|
36
|
GY6.35
|
* - габаритна яскравість, 19х106 кд/м²
Для більш об’єктивного вибору випромінювача проведемо аналіз
ламп з представленої таблиці характеристик. Маємо 5 основних вагомих
характеристик ГЛ, по яким і буде виконуватись відбір:
Ф - світловий потік, Лм;
Т - строк служби, год.;- напруга, В;- потужність, Вт;- об’єм
лампи, мм ³.
Кожній з характеристик присвоїмо коефіцієнт вагомості, в
залежності від того яке значення вона відіграє в розроблюваному приладі.
Таблиця
2.2
Коефіцієнти вагомості характеристик ГЛ.
|
Найм.
|
|
|
|
|
|
|
Значення
|
1
|
0,9
|
0,8
|
0,7
|
0,6
|
Розрахуємо характеристичний коефіцієнт К для кожної ГЛ з
таблиці 1.1. за формулою (1):
За допомогою програми Mathcadбуло розраховано коефіцієнти К
для всіх ГЛ з таблиці, а самі лампи було поділено на 3 групи по потужності:
І група - 100-500 Вт;
- ІІ група - 31-99 Вт;
ІІІ група - 20-30 Вт.
Результати приведено в таблиці 2.3. Лампи розташовані в
таблиці в порядку зменшення характеристичних коефіцієнтів К.
Таблиця
2.3
Характеристичні коефіцієнти ГЛ
|
І група
|
ІІ група
|
ІІІ група
|
|
Наймен.
|
К, у. о.
|
Наймен.
|
К, у. о.
|
Наймен.
|
К, у. о.
|
|
Philips Capsule Line Pro
|
2.338
|
Philips MASTER Caps 60W
|
3.075
|
Philips Halogen 12V Capsule 4yr
|
4.61
|
|
КГМ 12-100-5
|
1.25
|
Philips Capsule Line Pro мат/прозр
|
2.062
|
КГМ 6-20-1
|
4.03
|
|
КГМ 12-100-7
|
1.085
|
Philips Halogen 12V Capsule 4yr
|
1.91
|
Philips Capsule line
|
3.084
|
|
КГМ 36-500
|
|
Philips MASTER Line TC
|
1.376
|
КГМ 6-25-1
|
2.979
|
|
КГМ 30-300-2
|
|
Philips MASTER Line TC
|
1.261
|
Philips MASTER Caps 30W
|
2.713
|
|
-
|
-
|
КГМ 12-50-2
|
1.085
|
КГМ 12-20-1
|
1.823
|
|
-
|
-
|
КГМ 12-65
|
0.835
|
КГМ 6-25
|
0.289
|
|
-
|
-
|
Philips Capsule Line
|
0.651
|
Philips Clickline
|
0.048
|
|
-
|
-
|
Philips MV Capsule 2yr
|
0.619
|
-
|
-
|
|
-
|
-
|
Philips EcoHalo ClickLine
|
0.039
|
-
|
-
|
|
-
|
-
|
Philips Clickline
|
0.034
|
-
|
-
|
Як результат таблиці 2.3 для кожної з груп було обрано ГЛ з
найбільшим характеристичним коефіцієнтом.
Остаточні характеристики обраних джерел випромінювання
показані в таблиці 2.4:
Таблиця
2.4
Характеристики обраних ГЛ
|
Для І групи (100-500 Вт)
|
|
Найм.
|
Потужн Вт
|
Напр.В
|
Світловий потік, Лм
|
Строк служби, год.
|
Габарити
|
Тип цоколя
|
|
|
|
|
|
L
|
D
|
H
|
|
|
Philips Capsule Line Pro
|
100
|
12
|
2200
|
4000
|
44
|
12
|
30
|
GY6.35
|
|
|
|
Для ІІ групи (31-99 Вт)
|
|
Philips MASTER Caps
|
60
|
12
|
1700
|
4000
|
44
|
12
|
30
|
GY6.35
|
|
|
|
Для ІІІ групи (20- 0 Вт)
|
|
Philips Halogen 12V Capsule 4yr
|
20
|
12
|
310
|
4000
|
32
|
8.5
|
22
|
G4
|
|
|
Перерахунок параметрів ГЛ в енергетичні величини
Спираючись на теорію, що торкається розрахунку АЧТ, як
еталонного джерела випромінювання [4], займемось перерахунком параметрів ГЛ в
енергетичні величини.
Оскільки джерелом випромінювання у інтегруючій сфері є ГЛ
Philips Halogen 12VCapsule 4yr, то приведемо її короткі характеристики у
таблиці 2.5 [1]:
Таблиця
2.5
|
Параметр
|
Значення
|
|
Напруга живлення, В
|
12
|
|
Світловий потік випромінювання, Лм
|
310
|
|
Кольорова температура, К
|
3000
|
|
Термін експлуатації, год
|
4000
|
|
Габарити лампи: - D, мм - L, мм - C, мм
|
8.5 32 22
|
Розрахуємо спектральну щільність випромінювання АЧТ МАЧТ(λ)
по формулі
Планка:
,(2.2)
де С1=3.74∙104
і С2=1.439∙104
- постійні коефіцієнти; λ
- довжина хвилі
в мкм.
Довжина хвилі λМ, на якій знаходиться максимум
функції МАЧТ(λ):
, (2.3)
де Т - температура [K] тіла накалювання галогенної лампи, яка
складає 3000 К. Тоді при такій температурі спектральний максимум буде
знаходитись на довжині хвилі λМ=0.966 мкм.
Подалі розглядатимемо випромінювання галогенної лампи у
спектральному діапазоні 0.4<λ<2.1 (в такому діапазоні
розсіюється випромінювання стінками ДВЗЯ).
Розрахуємо спектральну щільність випромінювання вольфраму МВЕ(λ):

,(2.4)
де εВ(λ)
- коефіцієнт
випромінювання вольфраму (дані беремо із таблиць).
Для вольфраму в діапазоні 0.4 мкм<λ<2.1
мкм спектральний
розподіл коефіцієнта випромінювання εw(λ)
показаний на
рис.2.4.
Рис. 2.4 спектральний розподіл коефіцієнта випромінювання εw(λ)
Дані спектрального розподілу εw(λ)
приведені у
таблиці 1 додатку №1.
Розрахуємо відносну спектральну характеристику вольфрамової
лампи
:
(2.5)
Результати розрахунків приведені у таблиці 1 додатку 2.
Розрахуємо відносну спектральну характеристику вольфрамової
лампи
із врахуванням коефіцієнту видимості
ока
(див. табл. 2 додатку №2):

(2.6)
Розрахуємо максимальне значення спектральної характеристики
вольфраму ФВЕ(λ)МАХ:
,
(2.7)
де ФBV - паспортне значення світлового потоку
лампи при Т=3000 К, [лм]:
ФBV=310 лм, при Т=3000К.
Всі розрахунки проводилися з використанням програми
“Mathcad14”.
Значить, при розрахунку отримали ФВЕ(λ)МАХ=8.776 Вт/мкм.
Визначимо абсолютне значення потоку випромінювання:
,
(2.8)
Результати розрахунків ФВЕ(λ)
внесені у табл.
1 додатку 2.
Визначимо повний інтегральний потік лампи ФВЕ за
формулою:
,
(2.9)
ФВЕ=9.061 Вт.
Аналогічно, перерахуємо повний інтегральний потік лампи ФВЕдля
джерел випромінювання інших груп.
В результаті отримали:
· Для лампи Philips Capsule Line Pro І
групи:
ФВЕ= 64.302 Вт,
· Для лампи Philips MASTER Caps ІІ
групи:
ФВЕ = 49.688 Вт,
· Для лампи Philips Halogen 12VCapsule
4yr ІІІ групи:
ФВЕ = 9.061 Вт.
Зі специфікацій на обрані лампи видно, що вони підтримують
тип патрона GY 6.35. Його й використаємо при конструюванні приладу.
2.3 Вибір крокового двигуна
Виходячи з конструктивних міркувань та габаритів сусідніх
елементів необхідно обрати кроковий двигун для регулювання розміру каліброваної
діафрагми.
Автором проекту було обрано двигун 1.8'' Nema 0.8 High Torque
Hybrid Step Motor. Специфікація на нього, та всі його характеристики й
параметри наведені в додатку 7.
2.4 Структурна схема ДВЗЯ
Структурна схема ДВЗЯ показана на рис. 2.5.
Рис. 2.5 Структурна схема ДВЗЯ
. Джерело випромінювання;
2. Первинна сфера;
. Вторинна сфера;
. Калібровочна діафрагма;
. Вихідна апертура;
. ЦВС;
. Спектрокомпаратор.
Основу схеми складає оригінальний дифузний випромінювач
змінної яскравості на базі оптично спряжених інтегруючих сфер.
Як видно з рис. 2.1., джерела випромінювання 1 розташовані в
первинних інтегруючих сферах 2, а потік, поступаючий із них у вторинну
інтегруючу сферу 3, та регулюється діафрагмою змінного перерізу. В вихідній
апертурі 5 вторинної сфери формується однорідне змінне яскравісне поле з
фотометричним тілом, що наближається до фотометричного тіла ламбертівського
випромінювача. Це дозволяє розміщувати калібруєму ЦВС 6, безпосередньо в вихідній
апертурі ДВЗЯ, без застосування додаткової з’єднуючої оптики.
Основні переваги запропонованої системи:
. Одночасно освітлюються усі пікселі БПВ в усьому
динамічному діапазоні вимірюваної яскравості. Іншими словами, вимір ФПС і 3Х
верхніх значень яскравості робиться одночасно при незмінній конфігурації
установки, що виключає екстраполяцію результатів і істотно підвищує точність
вимірів. Одночасно значно збільшується ефективність електронної корекції
чутливості пікселів БПВ.
2. За рахунок використання великого числа джерел
випромінювання в первинних сферах і значного числа калібрувальних діафрагм,
виконаних з високою точністю, істотно розширюється діапазон відтворених
яскравостей (особливо у бік великих значень) і підвищується точність їх
установки при незмінному спектральному складі випромінювання.
. Винесенням джерел випромінювання з вторинної
інтегруючої сфери, яка безпосередньо формує вихідне яскравісне поле,
досягається сприятливіша інтегруюча і антивідблискова обстановка, що істотно
покращує рівномірність розподілу яскравості в межах вихідної апертури.
. Оскільки ЦВС, що калібруються, встановлюються
безпосередньо у вихідній апертурі випромінювача, відпадає необхідність
застосування погоджуючої і коллімуючої оптики, а вимоги до точного
позиціонування ЦВС відносно установки практично відпадають.
. Істотно спрощується процедура і підвищується
точність абсолютизації вимірів, оскільки для калібрування випромінювача і
перенесення одиниці яскравості можуть використовуватися яскравоміри, що
встановлюються по аналогії з п.4 безпосередньо у вихідній апертурі без точного
позиціонування і застосування погоджуючої оптики.
. Поліпшення метрологічних характеристик вторинної
інтегруючої сфери дозволяє, як буде показано пізніше, використати нові методи
абсолютизації вимірів, це значно підвищить загальну точність калібрування ЦВС.
Висновки до розділу 2:
В даному розділі було описано фізичні основи роботи приладу,
структурну схему та принцип роботи. Були обрані та описані елементи такі схеми:
джерела випромінювання та комплектуючі;
- кроковий двигун;
3.1 Загальна теорія дифузного випромінювача на основі
інтегруючої сфери
Розглянемо формування освітленості внутрішньої поверхні
сфери, скориставшись методом послідовних відображень. Нехай всередину сфери від
джерела випромінювання потрапляє елементарний монохроматичний потік dФ0 і
в районі точки M освітлює деякий елемент поверхні dAM (рис. 3.1.).
Рис. 3.1. Формування яскравісного поля вихідної зіниці LB,
пропорційно освітленості на поверхні зіниці Е
При цьому в точці М буде створена нульова освітленість Е0
= ЕМ, визначувана відношенням потоку dФ0 до
освітлюваної площі dAM.
Утворене при відбитті і розсіянні від внутрішньої поверхні
фотометричне тіло характеризуватимемо двомірною неселективною функцією η(φ,υ).
Тоді яскравість
площадки dAM в напрямі, визначуваному полярним і азимутним кутами φ
і υ, знаходяться з наступного
виразу:
,(3.1)
де
- яскравість площадки в напрямку нормалі до площадкиdAM.
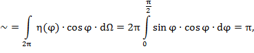
Визначимо силу світла dAM в напрямку φ, прийнявши допущення, що
функція
являється осесиметричною:
.(3.2)
В цьому випадку вираз для розрахунку сили світла запишеться
так:
.(3.3)
Тоді потік, відбитий елементом
в тілесномукуті 2π
стерадіан, можна представитинаступним
чином:
,(3.4)
де
- коефіццєнт відбиття внутрішньої поверхні сфери
З цього слідує,
де
- еквівалентний тілесний кут:
.(3.6)
Освітленість, створена в будь-якій точці сфери Т
від елемента
, визначається з виразу:
де R - радіус інтегруючої сфери.
Очевидно, що відхилення від властивостей ідеального
розсіювача внутрішньої поверхні сфери повинно найбільш значуще відкликатися при
першому відбитті.Розрахунок наступних відбиттів з врахуванням усереднення та
властивостей більшості покриттів можна виконати в приближенні дифузного
розсіювання.
Визначимо освітленість будь-якої точки K, зумовленої
відбиттям від елемента
потоку, що поступає від
. Сила світла елемента
в напрямку β:
. (3.8)
Для дифузно розсіюючої поверхні:
Тому:
де
- площа внутрішньої поверхні сфери.
Вся внутріншя поверхня сфериствоює в точціK освітленість:
де
- сумарна площа усіх отворів в сфері(включаючи і площину
вихідної зіниці
);
- тілесний кут, що спирається на еквівалентний
сумарний отвір сфери;
- відносна ефективна розсіювальна поверхня сфери;
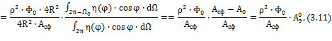
При виведенні(3.11) ми враховували, що рівні тілесні кути, вершини яких знаходяться на
поверхні сфери, вирізають на цій поверхні рівні площадки.
Подальші відображення створюють освітленість
, яка визначається таким
чином:
(3.13)
Тоді повна(сумарна) освітленість будь-якої точки сфери
буде рівна:
Вираз (3.14) опису є освітленість у будь-якій точці сфери при
будь-якій (заданій) формі індикатриси випромінювання джерела і будь-якому
просторовому розподілі потоку після відбиття від внутрішньої поверхні. Тоді, вважаючи внутрішню поверхню
сфери ламбертовським відбивачем, без отворів, і враховуючи, що в цьому випадку
, а
отримаємо:
Проаналізуємо вклад кожного з відбиттів в створення сумарного
яскравісного поля вихідної зіниці дифузного випромінювача, скориставшись наступними
міркуваннями. Вид фотометричного тіла елементу
визначається функцією
, яка формується індикатрисою
джерела випромінювання, розсіювальними властивостями
покриття і розмірами освітлюваної зони (ефект усереднювання). Графіки
коефіцієнтів яскравості найбільш перспективних для ДВ покриттів показані на
рис. 1.1 та 1.2, а в таблиці 1.2 представлені відібрані нами галогенні
лампи, що мають відносно ширококутні і рівномірні індикатриси.
Експериментальні дослідження цих ламп в комбінації з
покриттями на основі сірчанокислого барію і з обробленого алюмінію показали, що навіть при першому
відбитті в цьому випадку формується фотометричне тіло, дуже близьке до
ламбертовського, а при подальших відбиттях - практично від нього не
відрізняється.
Таким чином, якщо в ДВ використовуються рекомендовані
галогенні лампи, вирази (3.7), (3.11) і (3.14) для
практичного аналізу можна спростити:
Рис. 3.2 Освітленість внутрішньої поверхні інтегруючої сфери
для падаючого потоку, Ф=1000Вт і радіусу сфери R=0.5 м
Графіки показані на рис. 3.2 і дозволяють зробити наступні
висновки.
. Яскравість вихідної зіниці ДИ значно збільшується із
зростанням кількості відображень.
2. Збільшення коефіцієнта відбиття покриття також веде
до збільшення яскравості вихідної зіниці, але одночасно посилюється
вплив величини відносного отвору ДВ (Do) на розподіл освітленості в
сфері. Для розглянутих покриттів значення Do повинні знаходиться в
межах 0.2...0.3. При використанні покриттів з ρ>0.9
відносний отвір
ДВ слід зменшувати.
Якщо основним завданням ДВ є створення яскравісного поля з
високою рівномірністю, то не слід використовувати
високовідбиваючі покриття в комбінації з випромінювачами, що мають вузьку індикатрису
і великий відносний отвір.
Найбільш ефективною мірою зменшення нерівномірності
яскравості вихідної зіниці є підбір джерел випромінювання з мінімальними
розмірами тіла розжарювання і ширококутною індикатрисою. Відносний отвір має
бути мінімальний можливим.
Для точнішого аналізу і при використанні будь-яких джерел
випромінювання слід використати формули (3.7),(3.11) і(3.14), а функцію η
(φ,υ) визначати експериментально. Проте, як показала практика, зроблені висновки
залишаються справедливими.
Спектральна характеристика дифузного випромінювача
Спектральна характеристика дифузного випромінювача формується
в основному під дією трьох чинників - спектральної характеристики джерел
випромінювання, спектральної характеристики покриття і кількості
ефективних відбиттів від стінок інтегруючої сфери.
Відмітимо, що остання обставина часто не
враховується, що призводить до погрішностей обчислення спектральної
щільності енергетичної яскравості (СЩЕЯ) вихідної зіниці. На рис. 1.1 та 1.2
показані спектральні характеристики покриттів, найчастіше використовуваних
в кульових фотометрах і ДВ, і на рис. 3.3 - СЩЭЯ вихідної зіниці
розрахована з використанням (3.18) при заміні інтегральних значень
іФ0 на спектральні
(λ)
и Ф0(λ).
При цьому
спектральна характеристика джерел випромінювання розраховувалася за звичайною
методикою, але з урахуванням поправок, визначених за реально
виміряними характеристиками деяких ламп розжарювання.
Рис. 3.3а
.
Рис. 3.3 б
Рис. 3.3в
Рис. 3.3 г
Виконані дослідження дозволяють зробити ряд практичних
висновків.
Кращіфотометричні характеристики має покриття з пресованого
порошку сірчанокислого барію, але це покриття недостатньо стійке
до механічних впливів і швидко (напротязі декількох місяців) помітно змінює
свої властивості. Тому, якщо цифровий оптичний мікроскоп
використовується для виміру і порівняння оптичних характеристик зразків, застосування цього покриття
небажане.
Високою стабільністю і досить хорошими фотометричними
властивостями відрізняються покриття на основі сірчанокислого барію в
етилцелюлозі (для видимої ІЧ області) і покриття з обробленого алюмінію (ближня
ІЧ- і видима області). Дуже перспективним для дифузних випромінювачів є покриття
з прессованого політетрафторетилену, що мають коефіцієнт відбиття більше
99% від ультрафіолетової до ближньої інфрачервоної області і відрізняється
хорошою стабільністю, але його технологія в Україні поки
що не освоєна.
Враховуючи малий термін служби галогенних ламп, найбільш прийнятних для ДВ з
фотометричних міркувань, вони зазвичай експлуатуються при
зниженій напрузі. Аналіз спектральної щільності енергетичної яскравості
вихідної зіниці при різних температурах випромінювачів показав, що навіть при використанні
найменш селективних покриттів це призводить не лише до кількісної, але і до якісної зміни
спектру випромінювання вихідної зіниці, облік якого тільки на основі
законів теплового випромінювання, очевидно є некоректним. Розглянемо
ще одно явище, яке до теперішнього часу взагалі не враховувалося
розробниками ДВ і призводило до значних погрішностей при розрахунку СЩЕЯ.
Йдеться про селективне поглинання випромінювання в середовищі, що заповнює ДВ, особливо відчутному у
ближній ІЧ області, де знаходяться спектри поглинання
багатьох газів.
Отримаємо основні співвідношення, що описують ці явища
скориставшись схемою, показаною на рис. 3.4. Для простоти
декілька змінимо методику розрахунку додаткових освітленостей, описану вище.
Рис. 3.4 До виведення формули про вплив поглинання
випромінювання в середовищі, що заповнює ДВ
Нехай в центрі сфери розташовано джерело випромінювання, яке випромінює рівномірно на
всіх напрямках потік Ф0. Якщо сфера заповнена
поглинаючим середовищем з показником поглинання α
і концентрацією
С, то випромінювач створить освітленість E0, рівну:
Стінки сфери стають при цьому вторинним випромінювачем, що створює першу додаткову
освітленість
. Для визначення
розіб'ємо усю поверхню сфери на елементарні
кільцеві зони dA площинами, перпендикулярними діаметру MM’, який проходить через
довільну вибрану точку M. Освітленість в цій точці, що створюється елементарною
зоною dA буде рівна:
З врахуванням, що
,
и
отримуємо:
Інтегруючи (
) від 0 до
, отримаємо першу додаткову
освітленість в точці М від всієї поверхні сфери:
При цьому ми вважаємо, що відбиття від внутрішньої
поверхні сфери підкоряється закону Ламберта і не залежить від властивостей
середовища, що заповнює сферу.
Аналогічно можна показати, що перша додаткова
освітленість при повторному відбитті від стінок створить в точці М другу
додаткову освітленість E2:
і так далі, до нескінченності:
Сумарная освітленність стінки сфер
:
Для малих значень αC, що зазвичай виконується в ДИ, розкладаючи в ряд показову
функцію і обмежуючись трьома членами, отримуємо:
Отримані вирази справедливі для ДВ без отворів, що, проте, легко враховується при
використанні методики, описаної вище.
Приймаючи в (3.26) α=0, отримуємо відомий вираз для
порожньої інтегруючої сфери:
Для оцінки величини поглинання випромінювання в ДВ, заповненому середовищем, введемо коефіцієнт
поглинання ДВ
:
де
- яскравістьвихідноїзіниці «порожнього» ДВ, а
- яскравістьвихідноїзіниціпри
наявності поглинаючого середовища ДВ.
З використанням (3.26) і (3.27) отримаємо:
Вираз (
) показує, що навіть за наявності дуже слабо
поглинаючого середовища (α≤10) і незначній
концентрації (C≤1%) яскравість вихідної зіниці в смузі поглинання
зменшується майже в 2 рази. Застосування високовідбиваючих покриттів збільшить
це значення на порядок, що робить абсолютно необхідним
врахування описаного явища при розрахунку і вимірі СЩЕЯ.
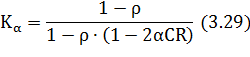
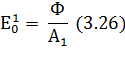
3.2 Теорія ДВЗЯ
3.2.1 Формування яскравості поля у вихідній апертурі ДВЗЯ
При рішенні задачі опису і аналізу яскравісного поля
зформованого вихідною апертурою ДВЗЯ, необхідно враховувати:
а. Завдання є багатопараметричним, причому зв'язок між
параметрами є складним і часто непрямим;
б. Частини параметрів ДВЗЯ (коефіцієнт яскравості і
спектральна характеристика покриття; розташування і конструктивні особливості
джерел випромінювання, їх арматура і методи установки і так
далі) не мають аналітичного вираження;
в. Більшість параметрів мають схемотехнічні і
конструктивні обмеження, які складно безпосередньо врахувати
в аналітичних виразах.
У зв'язку з цим, для енергетичного аналізу ДВЗЯ був
використаний чисельно-аналітичний метод, при якому частина
залежностей встановлювалася розрахунками, частина конструктивним
опрацюванням і схемотехнічним моделюванням, а частина отримана
аналітично. Окрім цього, аналіз виконувався в два етапи -
спочатку були вивчені загальні наближені закономірності, і потім після конструктивної
і схемотехнічної корекції, було проведено точніше і детальніше
слідування.
Конструктивна схема показана на рис. 3.5., а його розрахункова схема на
рис. 3.6
Рис. 3.5 Конструктивна схема ДВЗЯ
Рис. 3.6 Розрахункова схема ДВЗЯ
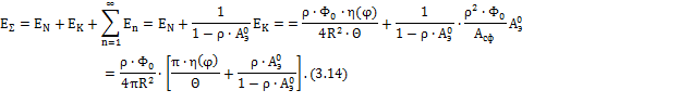
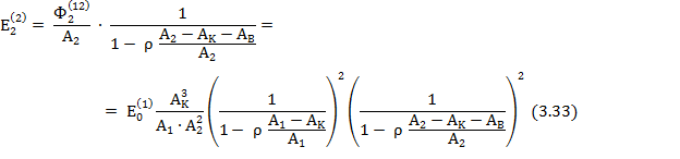
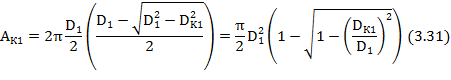
Освітленість внутрішньої поверхні первинної інтегруючої сфери
E1 визначається виразом:
де:
- кількість джерел випромінювання в первинній сфері;
- потік випромінювання від одного джерела випромінювання;
-діаметр первинної сфери;
- інтегральний коефіцієнт відбиття поверхні первинної сфери;
площа вихідної апертури (калібрувальної діафрагми) первинної
сфери;
розраховується як площа сферичного сегменту:
де
- діаметр калібрувальної діафрагми.
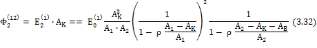
Потік випромінювання, що поступає з первинної
сфери у вторинну
визначається з виразу:
(3.32)
Потік випромінювання, що поступає у вторинну сферу
від декількох первинних сфер пропорційний сумарній площі усіх калібрувальних
діафрагм і знаходиться аналогічно.
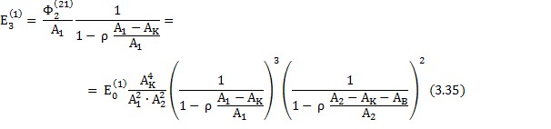
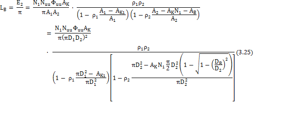
Тоді освітленість внутрішньої поверхні вторинної інтегруючої
сфери
буде рівна:
(3.23)
де
кількість первинних сфер;
площа і діаметр вторинної сфери відповідно;
інтегральний коефіцієнт відбиття вторинної сфери;
сумарна площа калібрувальних діафрагм;
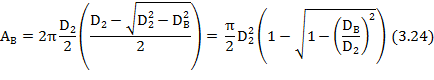
площа і діаметр вихідної апертури вторинної сфери відповідно;
Площа вихідної апертури розраховується як площа сферичного
сегменту:
Тоді яскравість вихідної апертури, вважаючи вторинну інтегруючу
сферу ламбертовським випромінювачем, визначається виразом:
Спектр випромінювання ДВЗЯ визначається аналогічним виразом, але з урахуванням
спектральних характеристик джерел випромінювання і покриттів первинної і
вторинної сфер -
,
, и
, відповідно.
Графіки спектральних характеристик покриттів ДИПЯ на основі
сірчанокислого барія, Sprctralon і Infragold показані на
рис.1.1 та 1.2.
Як джерела випромінювання приймалися галогенні лампи з
температурою тіла розжарення 3200К.
3.2.2 Енергетичний баланс дифузного випромінювача змінної
яскравості
Одночасно з випромінюванням потоку з первинної сфери у
вторинну відбувається зворотний процес - випромінювання потоку з вторинної сфери
в первинну. Тобто система первинних сфер і вторинна сфера знаходяться в стані
постійного обміну енергією через калібрувальні діафрагми що, звісно, істотно впливає на
формування сумарного яскравісного поля на виході ДВЗЯ. Розглянемо цей процес
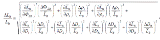
детальніше, скориставшись моделлю випромінювача, представленою на рис. 3.7.
Для простоти вважатимемо, що ДВЗЯ складається з двох сфер -
первинної, площа якої
эквивалентна площам усіх первинних
сфер випромінювача і вторинної, з площею
, зв'язаною з первинною через
калібрувальну діафрагму, площа якої
дорівнює площі усіх калібрувальних
діафрагм. Площа вихідної апертури ДИПЯ рівна
.При виведенні формул, що описують енергетичний
баланс випромінювача використовуватимемо індекс (1) в позначеннях, що відносяться до первинної, і індекс (2) - вторинної
сфери. Поєднання індексів (12) і (21) означатимуть направлення потоку
випромінювання з первинної сфери у вторинну і, відповідно, навпаки.
Рис. 3.7 Розрахункова схема енергетичного балансу ДВЗЯ
Якщо Ф - потік, що випромінюється джерелами
випромінювання в первинній сфері, то її нульова освітленість
за умови рівномірного розподілу
випромінювання по поверхні сфери рівна:
Перша сумарна освітленість первинної сфери
, з урахуванням площі
калібрувальної діафрагми
знаходиться з виразу:
де ρ
коэффициент відбиття внутрішньої
поверхні сфер.
Первинний потік, що поступає з первинної сфери у
вторинну
через калібрувальну діафрагму
рівний:
Перша освітленість вторинної сфери, утворена потоком
визначиться з виразу:
Освітленість вторинної сфери формує потік випромінювання
, що поступає з вторинної
сфери в первинну:
Друга (додаткова) освітленість первинної сфери, утворена потоком
рівна:
Другий потік
, що повертається з первинної сфери в
вторинну:
Друга (додаткова) освітленість вторинної сфери рівна:
Міркуючи аналогічно, отримаємо:
І так до нескінченності.
Повна освітленість вторинної сфери
визначається сумою усіх
освітленостей:
Виносячи множники
отримаємо геометричну прогресію:
Зі знаменником:
І остаточно:
Величина додаткової освітленостіскладе:
Виконавши сумування, і знаходячи суму
геометричної прогресії за описаною вище процедурою отримаємо:
Щоб визначити вклад додаткової освітленості у величину
вихідної яскравості ДВЗЯ, розділимо (3.44) на (3.42). В
результаті отримуємо:
Очевидно, що величина додаткової освітленості
передусім залежить від розмірів калібрувальної діафрагми і коефіцієнта
відображення покриттів інтегруючих сфер. Графіки, враховуючі ці чинники, представлені на рис. 3.8.
Чисельна оцінка величини додаткової освітленості, виконана
стосовно розглянутого раніше варіанту ДВЗЯ для калібрування ЦВС
"Egyptsat-1" показала, що в найбільш сприятливому випадку (
) відношення
знаходиться в межах 0.12…0.15, але
швидко зменшується зі зменшенням
.
Рис. 3.8 Графіки залежності величини додаткової освітленості
від розмірів калібровочної діафрагми
Висновки до розділу 3
Таким чином для точного визначення вихідної яскравості ДВЗЯ в
режимі максимального розкриття калібрувальних діафрагм прийнятніше використати
вираз (3.38), а для робочих оцінок, при середніх значеннях
вихідні яскравості, цілком допустимо користуватися
(3.33).
РОЗДІЛ 4. ГАБАРИТНО-ЕНЕРГЕТИЧНИЙ РОЗРАХУНОК
4.1 Розрахункове дослідження ДВЗЯ
На основі проведеного аналітичного синтезу та аналізу
інформації, зсилаючись на [6, 7, 8] було виконано розрахункове дослідження ДВЗЯ
(текст та результати повного дослідження наведено в додатку 3).
Метою даного розрахункового дослідження було знаходження
найбільш доцільних з конструкторської точки зору, найвигідніших з економічної,
та найефективніших з точки зору енергетики характеристик та параметрів приладу.
Як вихідні дані, для дослідження були задані рекомендовані
значення параметрів ДВЗЯ:
§
=0.25 мм - діаметр вихідного отвору;
§
-відношення діаметра вихідної апертури до діаметра вторинної
сфери;
§
-коефіцієнт випромінювання (енергетичний параметр Р);
§
- кількість первинних випромінювачів;
§
- відношення діаметра відносного отвору до діаметра первинної
сфери;
§
-коефіцієнт заповнення;
§
- оптичний потік, створений джерелом випромінювання.
Для уточнення цих параметрів й було проведено розрахункове
дослідження ДВЗЯ.
Дослідження проводиться за спрощеними залежностями, вказаними
в [6].
Кінцевим результатом кожного розрахунку проведеного в даному
дослідженні буде
- яскравість на виході ДВЗЯ, [
], залежна від тих чи інших
вихідних параметрів.
Було розраховано
для наступних варіантів значень
вихідних параметрів:
ü
=0.1,
=3,
=10,
=0.2, інші значення -
рекомендовані;
ü
=0.1,
=3,
=10,
=0.25, інші значення - рекомендовані;
ü
=0.1,
=3,
=10,
=0.3, інші значення -
рекомендовані;
ü
=0.1,
=3,
=20,
=0.2, інші значення - рекомендовані;
ü
=0.1,
=3,
=20,
=0.25, інші значення -
рекомендовані;
ü
=0.1,
=3,
=20,
=0.3, інші значення - рекомендовані;
ü
=0.1,
=3,
=30,
=0.2, інші значення -
рекомендовані;
ü
=0.1,
=3,
=30,
=0.25, інші значення - рекомендовані;
ü
=0.1,
=3,
=30,
=0.3, інші значення -
рекомендовані;
ü
=0.1,
=5,
=10,
=0.2, інші значення - рекомендовані;
ü
=0.1,
=5,
=10,
=0.25, інші значення -
рекомендовані;
ü
=0.1,
=5,
=10,
=0.3, інші значення - рекомендовані;
ü
=0.1,
=5,
=20,
=0.2, інші значення -
рекомендовані;
ü
=0.1,
=5,
=20,
=0.25, інші значення - рекомендовані;
ü
=0.1,
=5,
=20,
=0.3, інші значення -
рекомендовані;
ü
=0.1,
=5,
=30,
=0.2, інші значення - рекомендовані;
ü
=0.1,
=5,
=30,
=0.25, інші значення -
рекомендовані;
ü
=0.1,
=5,
=30,
=0.3, інші значення - рекомендовані;
ü
=0.1,
=7,
=10,
=0.2, інші значення -
рекомендовані;
ü
=0.1,
=7,
=10,
=0.25, інші значення - рекомендовані;
ü
=0.1,
=7,
=10,
=0.3, інші значення -
рекомендовані;
ü
=0.1,
=7,
=20,
=0.2, інші значення - рекомендовані;
ü
=0.1,
=7,
=20,
=0.25, інші значення -
рекомендовані;
ü
=0.1,
=7,
=20,
=0.3, інші значення - рекомендовані;
ü
=0.1,
=7,
=30,
=0.2, інші значення -
рекомендовані;
ü
=0.1,
=7,
=30,
=0.25, інші значення - рекомендовані;
ü
=0.1,
=7,
=30,
=0.3, інші значення -
рекомендовані;
ü
=0.5,
=3,
=10,
=0.2, інші значення - рекомендовані;
ü
=0.5,
=3,
=10,
=0.25, інші значення -
рекомендовані;
ü
=0.5,
=3,
=10,
=0.3, інші значення - рекомендовані;
ü
=0.5,
=3,
=20,
=0.2, інші значення -
рекомендовані;
ü
=0.5,
=3,
=20,
=0.25, інші значення - рекомендовані;
ü
=0.5,
=3,
=20,
=0.3, інші значення -
рекомендовані;
ü
=0.5,
=3,
=30,
=0.2, інші значення - рекомендовані;
ü
=0.5,
=3,
=30,
=0.25, інші значення -
рекомендовані;
ü
=0.5,
=3,
=30,
=0.3, інші значення - рекомендовані;
ü
=0.5,
=5,
=10,
=0.2, інші значення -
рекомендовані;
ü
=0.5,
=5,
=10,
=0.25, інші значення - рекомендовані;
ü
=0.5,
=5,
=10,
=0.3, інші значення -
рекомендовані;
ü
=0.5,
=5,
=20,
=0.2, інші значення - рекомендовані;
ü
=0.5,
=5,
=20,
=0.25, інші значення -
рекомендовані;
ü
=0.5,
=5,
=20,
=0.3, інші значення - рекомендовані;
ü
=0.5,
=5,
=30,
=0.2, інші значення -
рекомендовані;
ü
=0.5,
=5,
=30,
=0.25, інші значення - рекомендовані;
ü
=0.5,
=5,
=30,
=0.3, інші значення -
рекомендовані;
ü
=0.5,
=7,
=10,
=0.2, інші значення - рекомендовані;
ü
=0.5,
=7,
=10,
=0.25, інші значення -
рекомендовані;
ü
=0.5,
=7,
=10,
=0.3, інші значення - рекомендовані;
ü
=0.5,
=7,
=20,
=0.2, інші значення -
рекомендовані;
ü
=0.5,
=7,
=20,
=0.25, інші значення - рекомендовані;
ü
=0.5,
=7,
=20,
=0.3, інші значення -
рекомендовані;
ü
=0.5,
=7,
=30,
=0.2, інші значення - рекомендовані;
ü
=0.5,
=7,
=30,
=0.25, інші значення -
рекомендовані;
ü
=0.5,
=7,
=30,
=0.3, інші значення - рекомендовані;
ü
=1.0,
=3,
=10,
=0.2, інші значення -
рекомендовані;
ü
=1.0,
=3,
=10,
=0.25, інші значення - рекомендовані;
ü
=1.0,
=3,
=10,
=0.3, інші значення -
рекомендовані;
ü
=1.0,
=3,
=20,
=0.2, інші значення - рекомендовані;
ü
=1.0,
=3,
=20,
=0.25, інші значення -
рекомендовані;
ü
=1.0,
=3,
=20,
=0.3, інші значення - рекомендовані;
ü
=1.0,
=3,
=30,
=0.2, інші значення -
рекомендовані;
ü
=1.0,
=3,
=30,
=0.25, інші значення - рекомендовані;
ü
=1.0,
=3,
=30,
=0.3, інші значення -
рекомендовані;
ü
=1.0,
=5,
=10,
=0.2, інші значення - рекомендовані;
ü
=1.0,
=5,
=10,
=0.25, інші значення -
рекомендовані;
ü
=1.0,
=5,
=10,
=0.3, інші значення - рекомендовані;
ü
=1.0,
=5,
=20,
=0.2, інші значення -
рекомендовані;
ü
=1.0,
=5,
=20,
=0.25, інші значення - рекомендовані;
ü
=1.0,
=5,
=20,
=0.3, інші значення -
рекомендовані;
ü
=1.0,
=5,
=30,
=0.2, інші значення - рекомендовані;
ü
=1.0,
=5,
=30,
=0.25, інші значення -
рекомендовані;
ü
=1.0,
=5,
=30,
=0.3, інші значення - рекомендовані;
ü
=1.0,
=7,
=10,
=0.2, інші значення -
рекомендовані;
ü
=1.0,
=7,
=10,
=0.25, інші значення - рекомендовані;
ü
=1.0,
=7,
=10,
=0.3, інші значення -
рекомендовані;
ü
=1.0,
=7,
=20,
=0.2, інші значення - рекомендовані;
ü
=1.0,
=7,
=20,
=0.25, інші значення -
рекомендовані;
ü
=1.0,
=7,
=20,
=0.3, інші значення - рекомендовані;
ü
=1.0,
=7,
=30,
=0.2, інші значення -
рекомендовані;
ü
=1.0,
=7,
=30,
=0.25, інші значення - рекомендовані;
ü
=1.0,
=7,
=30,
=0.3, інші значення -
рекомендовані;
В результаті, отримане було проаналізовано, та побудовано
графіки таких впливових на результат залежностей:
· Залежність яскравості на виході ДВЗЯ Lв від
відносоного отвору первинної сфери G1=Dkmax/D1 (при Ki=0.5, D0/D2=1/4, Kz=20),
для 3, 5 та 7 первинних сфер ДВЗЯ;
· Залежність яскравості на виході ДВЗЯ
Lв від відносного отвору ДВЗЯG=D0/D2 (при Ki=0.5, Dkmax/D1=1/3, Kz=20), для 3,
5 та 7 первинних сфер ДВЗЯ;
· Залежність яскравості на виході ДВЗЯ
(Lв) від коефіцієнта випромінювання Ki (при D0/D2=1/4, Dkmax/D1=1/3, Kz=20),
для 3, 5 та 7 первинних сфер ДВЗЯ;
· Залежність діаметра вторинної сфери
D2 від коефіцієнта випромінювання Ki (при D0/D2=1/4, Dkmax/D1=1/3, Kz=20), для
3, 5 та 7 первинних сфер ДВЗЯ;
· Залежність діаметра первинної сфери
D1 від коефіцієнта випромінювання Ki (при D0/D2=1/4, Dkmax/D1=1/3, Kz=20), для
3, 5 та 7 первинних сфер ДВЗЯ;
· Залежність діаметра каліброваної
діафрагми Dkmax від коефіцієнта випромінювання Ki (при D0/D2=1/4, Dkmax/D1=1/3,
Kz=20), для 3, 5 та 7 первинних сфер ДВЗЯ;
· Залежність кількості джерел
випромінювання в первинній сфері Nii від коефіцієнта випромінювання Ki (при
D0/D2=1/4, Dkmax/D1=1/3, Kz=20), для 3, 5 та 7 первинних сфер ДВЗЯ;
· Залежність яскравості на виході ДВЗЯ
Lв від коефіцієнта заповнення первинної сфери Kz (при D0/D2=1/4, Dkmax/D1=1/3,
Ki=0.5), для 3, 5 та 7 первинних сфер ДВЗЯ;
Графіки отриманих залежностей приведено нижче, а вихідні
дані, для їх побудови, та метод побудови наведено в додатку 4.
) Залежність яскравості на виході ДВЗЯ Lв від відносного
отвору первинної сфери G1=Dkmax/D1 (при Ki=0.5, D0/D2=1/4, Kz=20), для 3, 5 та
7 первинних сфер ДВЗЯ (Рис.4.1.):
Рис. 4.1 Залежність яскравостіLввід відношенняDkmax/D1
) Залежність яскравості на виході ДВЗЯ Lв від відносного
отвору ДВЗЯG=D0/D2 (при Ki=0.5, Dkmax/D1=1/3, Kz=20), для 3, 5 та 7 первинних
сфер ДВЗЯ (Рис 4.2):
Рис 4.2 Залежність яскравості Lв від відношення D0/D2
) Залежність яскравості на виході ДВЗЯ (Lв) від коефіцієнта
випромінювання Ki (при D0/D2=1/4, Dkmax/D1=1/3, Kz=20), для 3, 5 та 7 первинних
сфер ДВЗЯ (Рис 4.3.)
Рис. 4.3 Залежність яскравості Lв від коефіцієнта
випромінювання Ki
4) Залежність діаметра вторинної сфери D2 від коефіцієнта
випромінювання Ki (при D0/D2=1/4, Dkmax/D1=1/3, Kz=20), для 3, 5 та 7 первинних
сфер ДВЗЯ (Рис. 4.4):
Рис. 4.4. Залежність D2 від коефіцієнта випромінювання Ki
) Залежність діаметра первинної сфери D1 від коефіцієнта
випром. Ki (при D0/D2=1/4, Dkmax/D1=1/3, Kz=20), для 3, 5 та 7 перв. сфер ДВЗЯ
(Рис. 4.5.):
Рис. 4.5 Залежність D1 від коефіцієнта випромінювання Ki
) Залежність діаметракаліброваної діафрагми Dkmax від
коефіцієнта випромінювання Ki (при D0/D2=1/4, Dkmax/D1=1/3, Kz=20), для 3, 5 та
7 первинних сфер ДВЗЯ (Рис. 4.6):
Рис. 4.6 Залежність Dkmax від коефіцієнта випромінювання Ki
) Залежність кількості джерел випромінювання в первинній
сфері Nii від коефіцієнта випромінювання Ki (при D0/D2=1/4, Dkmax/D1=1/3,
Kz=20), для 3, 5 та 7 первинних сфер ДВЗЯ (Рис. 4.7):
Рис. 4.7 Залежність Nii від коефіцієнта випромінювання Ki
) Залежність яскравості на виході ДВЗЯ Lв від коефіцієнта
заповнення первинної сфери Kz (при D0/D2=1/4, Dkmax/D1=1/3, Ki=0.5), для 3, 5
та 7 первинних сфер ДВЗЯ (Рис. 4.8):
Рис. 4.8 Залежність яскравостіLв від коефіцієнта заповнення
Kz
Розрахункове дослідження можна вважати успішним, так як
отримані залежності показали наглядно переваги та недоліки зміни кожного з
досліджуваних параметрів.
Проаналізувавши, наведені вище графіки залежностей, було
обрано найдоцільніші вихідні параметри для розрахунку габаритних та
енергетичних характеристик приладу:
§
мм - діаметр вихідного отвору;
§
-відносоний отвірДВЗЯ;
§
-коефіцієнт випромінювання;
§
- кількість первинних випромінювачів;
§
- відносоний отвір первинної сфери;
§
-коефіцієнтзаповнення;
§
- оптичний потік, створений джерелом випромінювання.
Також було зроблено наступні висновки:
. Збільшення числа первинних випромінювачів(N1)
ефективніше для підвищення вихідної яскравості ДВЗЯ, ніж збільшення кількості
джерел випромінювання в них при малому значенні N1.
2. Існує оптимальне співвідношення розмірів
калібрувальної діафрагми і вихідної апертури ДВЗЯ (енергетичний параметр Р),
при якому яскравість ДВЗЯ максимальна. ЗначенняРскладає при цьому 0.55... 0.85.
. Збільшення відносного отвору первинного
випромінювача
доцільне до значень
…
при великому значенні N1
(N1 ≥ 3). Подальше збільшення
веде до віньєтування калібрувальної
діафрагми вхідним отвором вторинної сфери. При малому N1 (N1<3)
цей ефект проявляється набагато раніше і із зростанням
відбувається монотонна зміна
яскравості ДВЗЯ.
. Найбільш ефективною мірою підвищення яскравості ДВЗЯ
є використання високо відбиваючих покриттів з
.
4.2 Розрахункова частина
Згідно з описаним вище розрахунковим дослідженням ДВЗЯ було
обрано вихідні параметри для габаритного та енергетичного розрахунку.
Всі розрахунки було виконано в САПР “Mathcad”, а всі робочі
програми розрахунку будуть наведені в додатках (додаток 5).
4.2.1 Габаритний розрахунок
Розрахуємо основні конструктивні та енергетичні параметри
ДВЗЯ при використанні лампи ІІІ групи PhilipsHalogen 12VCapsule 4yr.
Задаємось розміром вихідної апертури
, виходячи з апертури пристрою, що
калібрується:
Знайдемо площу вихідної апертури
:
(4.1.)
.
Знайдемо
- сумарну площу отворів вторинної сфери.
(4.2.)
.
Знайдемо загальнуплощу отворів сфери
:
(4.3.)
.
Знайдемо діаметр вторинної сфери
:
(4.4.),
З розрахункового дослідження ДВЗЯ відомо, що:
(4.5.)
З (3.5.) обчислимо:
- площа вторинної сфери.
Задаємося кількістю первинних сфер, виходячи з проектуємої
яскравості та розрахункового дослідження ДВЗЯ:
Розрахуємо максимальну площу калібруємого отвору
:
(4.6.)
Визначимо максимальний діаметр калібруємого отвору
:
(4.7.)
Визначимо діаметр первинного випромінювача
, виходячи зі світлосили
первинного випромінювача
.
Світлосила первинного випромінювача з врахуванням
розрахункового дослідження ДВЗЯ дорівнює:
Звідси:
(4.8.)
.
Задамось коефіцієнтом заповнення
:
Розрахуємо кількість джерел випромінювання (ГЛ)
, в первинній сфері діаметром
:
(4.9.)
Так як, отримане число не є цілим, то за кількість ламп
візьмемо найбільше повне ціле число з отриманого
. Тобто, в подальших розрахунках
кількість джерел випромінювання в первинній сфері будемо вважати рівним
4.2.2 Енергетичний розрахунок
Розрахуємо яскравість на виході ДВЗЯ для джерела
випромінювання, що було обрано для даного приладу раніше (Розділі 2, пункт
«Вибір джерела випромінювання»), - ГЛ ІІІ групи PhilipsHalogen 12VCapsule 4yr,
та розрахованих вище габаритів системи.
Вихідні дані для розрахунку:
§
- оптичний потік, створений джерелом випромінювання.
§
- діаметр первинної сфери;
§
- площа калібруємого отвору;
§
- кількість джерел випромінювання в первинній сфері;
§
- коефіцієнт відбиття внутрішньої поверхні інтегруючої
сфери;
§
- коефіцієнт відбиття внутрішньої поверхні інтегруючої
сфери.
§
- кількість первинних сфер;
§
- діаметр вторинної сфери;
§
- площа вторинної сфери;
§
- діаметр вихідного зрачка вторинної сфери.
Знайдемо площу первинної сфери:
(4.10.)
Знайдемо освітленість внутрішньої поверхні первинної сфери
:
(4.11.)
Розрахуємо оптичний потік, що поступає з первинної сфери в
вторинну
:
(4.12.)
Знайдемо освітленість внутрішньої поверхні вторинної сфери
.
Знайдемо площу вихідної зіниці, як площу сферичного сегмента:
(4.13.)
Освітленість внутрішньої поверхні вторинної сфери
дорівнює:
(4.14.)
Знайдемо яскравість вихідної зіниці вторинної сфери, яку
можна вважати Ламбертовим випромінювачем:
(4.15.)
Аналогічні розрахунки проведемо й для джерел випромінювання,
обраних в інших групах. Всі розрахунки проведені в програмі Mathcad, та
наведені нижче в Додатках в повному обсязі.
.2.3 Вибір параметрів ДВЗЯ в залежності від ДВ
Отримані в результаті конструктивні та енергетичні параметри
для обраних ламп кожної з 3х груп наведемо нижче в порівняльній таблиці.
Проаналізувавши порівняльну таблицю, було обрано за джерело
випромінювання було обрано галогенну лампу ІІ групи PhilipsMASTERCaps, так як
вона дозволяє отримати найбільшу яскравість на виході ДВЗЯ, при незначному
збільшенні габаритів приладу, та меншій ніж у лампи І групи потужності,що
дозволяє не застосовувати ніяких додаткових засобів охолодження первинної
сфери.
Таблиця
4.1
Порівняльна таблиця параметрів і характеристик ДВЗЯ в
залежності від обраного джерела випромінювання
|
ГЛ
|
D2, м
|
, у.о.
|
D1, м
|
Nii, шт
|
Фs, Вт
|
Lв,
|
Dkmax,м
|
|
PhilipsCapsuleLine Pro
|
1.265
|
0.198
|
0.227
|
4
|
64.300
|
3.18∙103
|
0.073
|
|
PhilipsMASTERCaps
|
1.265
|
0.198
|
0.227
|
4
|
49.688
|
2.458∙103
|
0.073
|
|
PhilipsHalogen 12VCapsule 4yr
|
1.265
|
0.198
|
0.268
|
5
|
9.061
|
400.135
|
0.087
|
Нижче наведена таблиця, з характеристиками та параметрами
ДВЗЯ, при використанні ГЛ PhilipsMASTERCaps як джерела випромінювання,
отриманими внаслідок габаритного та енергетичного розрахунків (таблиця 4.2.),
та таблиця з характеристиками ГЛ PhilipsMASTERCaps(таблиця 4.3.)
Таблиця
4.2
Характеристики та параметри ДВЗЯ
|
Dv, м
|
D2, м
|
D1, м
|
Dkmax, м
|
Ni, шт
|
Nii, шт
|
ρ1,
ρ2,%
|
Lв,
|
|
0.25
|
1.265
|
0.227
|
0.073
|
7
|
4
|
99
|
2.458∙103
|
|
Характеристики джерела випромінювання
|
|
Найменування
|
Р,Вт
|
U,В
|
Ф, Лм
|
Tсл, год.
|
Габарити
|
Тип цоколя
|
|
|
|
|
|
L
|
D
|
H
|
|
|
PhilipsMASTER Caps
|
60
|
12
|
1700
|
4000
|
44
|
12
|
30
|
GY6.35
|
Таблиця4.3
Р - потужність, Вт;- напруга, В;
Ф - світловий потік, Лм;сл - строк служби лампи,
год.
4.2.4 Розрахунок різьбової передачі
Діафрагма приводиться в рух за допомогою крокових двигунів,
що працюють синхронно між собою. Розрахуємо залежність повороту вісі двигуна
від переміщення пластин діафрагми вздовж направляючих.
Знаючи крок різьби S=0.5 мм, можна сказати, що за один повний
оберт направляючої на 360˚ пластина діафрагми зміщується вздовж
направляючоїна S. Тобто, при повороті вісі на 1˚ пластина зміститься на
Висновки до розділу 4:
В результаті виконання розрахункової частини дипломного
проекту були розраховані конструктивні та енергетичні параметри та
характеристики ДВЗЯ для джерел випромінювання 3х груп, розсортованих по
споживаючій потужності лампи. А саме для таких ламп PhilipsCapsuleLine Pro (І
група), PhilipsMASTERCaps (ІІ група), PhilipsHalogen 12VCapsule 4yr (ІІІ
група).
Проаналізувавши отримані результати було обрано джерело
випромінювання, яке найбільше задовольняє поставленим в ТЗ задачам, а саме
PhilipsMASTERCaps (ІІ група).
На основі габаритного розрахунку було побудовано схему
оптичну принципову приладу, що розробляється.
приймач випромінювання дифузний яскравісний
РОЗДІЛ 5. РОЗРОБКА МЕТОДІВ КОНСТРУЮВАННЯ ТА РОЗРОБКА
КОНСТРУКЦІЇ
.1 Методика проектування дифузного випромінювача змінної
яскравості
Вище відзначалося, що завдання визначення енергетичних
характеристик ДВЗЯ є багатоваріантним і багатопараметричним, причому значна
частина параметричних зв'язків не має аналітичного опису, і обмежена
конструктивними міркуваннями. Повною мірою це відноситься і до методів
проектування випромінювача. Проте енергетичний аналіз ДВЗЯ, проведений в
розділі 4 дозволив встановити основні залежності між його метричними
характеристиками і параметрами основних конструктивних елементів. При цьому
також враховувалися результати, отримані при макетуванні і експериментальному
дослідженні випромінювача, а також почерпнуті з літературних джерел. На
підставі цих залежностей були розроблені наступні рекомендації по проектуванню
ДВЗЯ із заданими параметрами.
. Виходячи з вхідної апертури пристрою, що калібрується, і
конструктивних особливостей вимірювального стенду визначається величина
вихідної апертури ДВЗЯ
. При цьому перекриття апертури ДВЗЯ апертурою пристрою, що
калібрується, має бути не менше 20...25%.
2. Виходячи з необхідної рівномірності сформованого
яскравісного поля і максимальної необхідної яскравості ДВЗЯ, задаються
величиною відносного отвору G. Як показала практика використання дифузних
випромінювачів в системах енергетичного калібрування, величина G зазвичай
вибирається в межах
, причому більше значення дозволяє дещо зменшити габарити
випромінювача і підвищити його яскравість, але за рахунок зниження
рівномірності яскравості поля і навпаки. Рекомендоване значення G -
.
. По певних і заданих величинах
и G, а також використовуючи
залежності вихідної яскравості від енергетичного параметра P, знаходиться його
величина в межах 0.55...0.85. Рекомендоване значення для більшості практичних
випадків P = 0.65.
. По отриманих величинах
, G, P і сумарної площі усіх
отворів вторинної інтегруючої сфери
визначається сумарна площа
калібрувальних діафрагм
.
. Задаючись кількістю первинних випромінювачів
визначають розміри калібрувальних
діафрагм
. При цьому слід враховувати, що при
<3помітно знижується рівномірність
вихідного яскравісного поля і зменшується його інтегральне значення, а при
>7, істотно ускладнюється
конструкція ДВЗЯ. Застосування парного числа первинних випромінювачів, як було
показано вище, не доцільно із-за взаємного перекриття. Рекомендоване значення
- 5...7.
. Задаються відносним отвором первинного випромінювача
G1 з діапазону
і використовуючи міркування, викладені в п.2 з тією різницею,
що вимоги до рівномірності яскравісного поля в первинному випромінювачі нижче,
а вимоги до максимальної яскравості вищі. Рекомендоване значення G1-
.
. Виходячи з необхідної вихідної яскравості ДВЗЯ, по
заданим N1 і G, визначають діаметр первинного випромінювання D1
і кількість джерел випромінювання Nii. Для полегшення цієї
процедури, в таблиці 1.2. представлені деякі типи галогенних ламп, найбільш
доцільні для використанні у випромінювачі. Підставою для відбору служить передусім
максимальний випромінюваний потік, мінімальні габарити, зручність кріплення в
інтегруючій сфері, мінімальні втрати енергії із-за віньєтування і екранування,
максимальна тривалість горіння. При визначенні Niiдоцільно задатися
коефіцієнтом заповнення Kз. Енергетично і конструктивно виправданий
діапазон значень Kз- 10...30. Зменшення Kзполегшує
тепловий режим, але знижує вихідну яскравість і рівномірність її розподілу у
вихідній апертурі. Найбільш раціональне значенняKз=20, але для
випромінювачів з підвищеною величиною яскравості, значення Kзможна
збільшити до 30…40. Проте при цьому слід прийняти додаткові заходи по
ефективному охолодженню первинного випромінювача.
. По формулах (3.38) - (3.33) визначається максимальна
яскравість формованого ДВЗЯ яскравісного поля, а з використанням методики
розділу - його нерівномірність. При цьому слід враховувати, що основним видом
погрішності є отвори калібрувальних діафрагм у вторинній сфері.
Корекцію результатів найзручніше робити заміною типу
використовуваної галогенної лампи з коефіцієнтом заповнення. Практика
розрахунків і проектування ДВЗЯ, показує, що без зміни певних конструктивних
параметрів випромінювача, його вихідну яскравість можна змінювати таким чином в
межах 40...60%.
З використанням розглянутої методики отриманих вище
результатів, були розраховані залежності вихідної яскравості ДИПЯ від основних
параметрів його конструктивних елементів, представлені в таблиці. і показані на
рис. 4.1-4.8. Вертикальні лінії на графіках визначають межу мінімально
можливого діаметру вторинної сфери при вказаному співвідношенні кількості
джерел випромінювання Nіі і первинних сфер N1. Інакше,
зменшуючи діаметр вторинної сфери D2 при незмінному співвідношенні Nіі
∙N1 буде порушуватися умова узгодження діаметру калібруючих
діафрагм і відносних отворів G1 і G. У розрахунках параметри
набували наступних числових значень: G1 =
,
ρ1=ρ2=0.99, Фii=100Вт, Р=0,65.
При використанні отриманих результатів для практичних цілей
слід мати на увазі, що зміни потоку випромінювання від 50 до 200 Вт призводить
до лінійної зміни вихідної яскравості без замітного впливу на інші параметри
ДВЗЯ.
5.2 Конструкція ДВЗЯ
ДВЗЯ призначений для створення рівномірного по вихідній
апертурі яскравісного поля та передачі його на вхідну зіницю ЦВС, регулюючи
його інтенсивність калібруючою діафрагмою.
Спочатку збирати несучий каркас. Ніжки 6 загвинтити в
різьбові отвори стоп 9. 4.Встановити опори 7 в отвори стоп 9, піджати ребрами
10 та закріпити спочатку болтами 12, а потім болтами 11. Встановити плече 8 на
опори 7 і закріпити болтами 12. Закріпити вузол вторинної сфери 1 гвинтами 13
на опорах 7.
Складається вузол діафрагми. Корпус діафрагми кріпиться до
верхньої півсфери вторинної сфери гвинтами. Кріплення нагвинчується на направляючий
вал до вказаних міток. Пластина кріпиться до кріплень гвинтами. Зібраний
механізм встановлюється в корпус діафрагми, та накривається кришкою, що
кріпиться до корпусу діафрагми гвинтами. До корпусу гвинтами кріпляться крокові
двигуни.
Вузол первинної сфери складається з верхньої півсфери 6 та
нижньої півсфери, що з’єднані між собою гвинтами.
Закріпити вузли діафрагм 2 на вторинній сфері 1 гвинтами 14.
Вузол освітлювача складається з корпусу освітлювача на який з
натягом встановлюється ущільнювач та патрон GY 6.35, в який попередньо
встановлено галогенну лампу PhilipsMasterCAPS.
Закріпити вузли освітлювачів 3 на вузлі первинної сфери 4
гвинтами 15. Під'єднати дроти 18 (на кресленні не показано) до вузлів
освітлювачів 4 та вузлів діафрагм 2 з однієї сторони, та до зовнішнього блоку
управління та живлення ДВЗЯ 20 (на кресленні не показано).
Для юстування положення ДВЗЯ відносно ЦВС ніжки загвинчувати
чи розвинчувати спеціальним ключем (поставляється в комплекті, на кресленні не
показано).
Висновки до розділу 5:
Завдяки вдало вибраній конструкції приладу було досягнуто
якості реальних зразків, а по деяким параметрам, навіть, вдалося перевершити
відомі аналоги світових фірм виробників.
Конструкція розроблюваного приладу є надійною, міцною,
технологічною та відповідає вимогам ТЗ.
РОЗДІЛ 6. Розрахунок метрологічних характеристик
6.1 Метрологічний аналіз дифузного випромінювача
Аналіз точності ДВ та ДВЗЯ є чи найважливішим серед усіх
питань метрології подібних установок. Тому звернемо особливу увагу на це питання.
Основну роль при аналізі точності починають грати випадкові
такі фактори як нестабільність джерел випромінювання, зміна характеристик
внутрішнього покриття інтегруючої сфери, мінливість геометричних і фізичних
параметрів конструктивних елементів ДВ, ДВЗЯ і т.д. Розглянемо це більш
детально. Спочатку поставимо задачу оцінити точність ДВ, а згодом ДВЗЯ та
порівняти їхні середні похибки установки яскравості на виході з урахуванням
багатьох факторів, що впливають на її величину.
6.1.1 Дослідження точності дифузного випромінювача
Спираючись на отриману формулу яскравості для класичного ДВ в
п.п. 3.1. проаналізуємо його точність установки яскравості у вихідній апертурі.
Представляється, що вихідна апертура суттєво менше розміру
інтегруючої сфери, а ФДВ і ρ - інтегральні значення
відповідних спектральних залежностей.
Враховуючи, що перелічені величини незалежні, відносна
похибка яскравості у вихідній апертурі ДВ
, що обумовлена частковими похибками
окремих факторів - ΔФдв,Δρ,
ΔRсф іΔRв може бути описана виразом (6.1):
(6.1)
де доданки є квадратами відносних первинних похибок з їхніми
частковими похідними - коефіцієнтами впливу первинних похибок.
Вирази для коефіцієнтів впливу представлені в таблиці 6.1.
нижче.
Таблиця
6.1
Коефіцієнти впливу первинних похибок
При чисельному аналізі похибок установки яскравості вихідної
апертури були використані параметри ДВ: Rсф = 0.125 м.; RВ
= 0.05 м.; покриття сірчанокислим барієм ρ = 0.897; Фдв (1 галогенна
лампа Philips) = 320 лм.
Відповідні числові значення коефіцієнтів впливу, отримані для
зазначених вище значень, представлені в таблиці, а на рис. 6.1. показані
залежності відносної похибки яскравості вихідної апертури
від величинипервинних похибок ΔФдв,
Δρ,
ΔRсф іΔRв. Яскравість на виході ДВ при
зазначених вище вхідних даних складає L=4.156·103 лм/(ср·м2).
Із рис. 6.1. видно, що найбільший внесок у сумарну похибка
вносить нестабільність внутрішнього покриття ДВ. Як показали дослідження й
аналіз літератури [7, 6, 8] ця нестабільність обумовлена різними
факторами:деградацією матеріалу, його гігроскопічністю, запиленням і т.д. Для
кожного із застосовуваних на практиці покриттів ці фактори проявляються в
різній степені, але в середньому можна вважати, що навіть найбільш довговічні
покриття з алюмосилікату магнію й полівініл бутірола не можуть L забезпечити
стабільність краще, ніж 0.05% на годину.
Рис. 6.1 Залежність відносної похибки установки яскравості
від первинних помилок
Покриття із пресованого сірчанокислого барію й напиленого
окису магнію, мають кращі оптичні характеристики [7], але мають меншу
стабільність. У цьому плані найбільш перспективними є покриття з
політетрафторетилену (PTFE), що забезпечують сполучення гарних оптичних
характеристик з високою стабільністю, але їхнє застосування на Україні дуже
обмежено.
Другим по величині джерелом похибки вихідної яскравості є
нестабільність джерел випромінювання. Тут варто розрізняти короткочасну
складову, викликану, в основному, перепадами живлячої напруги з довгостроковим,
обумовленим вигорянням тіла розжарення, деградацією матеріалу колби й
осадженням вольфраму на її внутрішній поверхні.
Короткочасну нестабільність можна істотно (до десятих часток
відсотка)зменшити застосуванням еталонних блоків живлення (наприклад типу
БП-120, МТКС-15, МТКС-30) і підключенням груп ламп до різних джерел живлення.
Довгострокова нестабільність ураховується періодичним калібруванням і
визначається точністю еталонного випромінювача.
Зміна розмірів інтегруючої сфери хоча і є, у відносних
величинах,істотним джерелом загальної похибки, по абсолютній величині не
перевищує часток відсотка навіть при досить жорсткому температурному режимі ДВ.
Примусове охолодження випромінювача знижує цю похибка до
(0.1-0.2%).
Асферичність та інші порушення форми інтегруючої сфери носять
систематичний характер і враховуються при калібруванні ДВ.
Ще менший вплив складає нестабільність вихідної апертури
(менш 0.1%)і нею можна знехтувати.
На рис. 6.2 показані залежності похибки яскравості вихідної
апертури від погрішностей основних елементів ДВ із врахуванням їхніх реальних
значень, отриманих на експериментальній установці, які можуть використовуватися
при оцінці точності проектованих випромінювачів [8].
Рис. 6.2 Похибка яскравості вихідної апертури залежно від
нестабільності основних елементів ДВ
Таким чином, сумарна похибка ДВ, при використанні вітчизняних
покриттів може бути доведена до величини 1-2%, а при використанні покриттів на
основі політетрафторетилену до 0.5-1%, що цілком достатньо для калібрування
навіть еталонної фотометричної апаратури.
Отже, при використанні основних типів покриттів вітчизняного виробництва
і стабілізації джерела живлення в межах 0.2-0.5%, похибка установки вихідної
яскравості ДВ може бути доведена до 0.5-1%.
6.1.2 Дослідження точності дифузного випромінювача змінної
яскравості
Основні похибки формування поля яскравості в вихідній
апертурі ДВЗЯ пов’язані із деградацією з часом відбиваючих покрить ρ1 і ρ2, флуктуаціями напруги живлення і, як
слідство, зміною випромінюваного потоку Φдв,температурними коливаннями розмірів
конструктивних елементів D1, D2,Dк,Dв,
зміною характеристик середовища всередині інтегруючих сфер і т.п. Якщо вважати,
що ДВЗЯ працює в усталеному режимі, а фактори, що впливають на яскравість в
вихідній апертурі вважати статистично незалежними, то похибка установки
яскравості у вихідній апертурі, яка обумовлена частковими похибками окремих
факторів: ΔФдв,
Δρ1,Δρ2,ΔD1,
ΔD2,
ΔDК і ΔDВ в першому наближенні можна описати
виразом (6.2):
(6.2)
де
,
,
,
,
,
- часткові похідні відносних
первинних похибок або їх коефіцієнти впливу на сумарну похибку.
Формули для розрахунку відповідних коефіцієнтів впливу
приведені в табл. 6.2.
При чисельному аналізі сумарної похибки установки яскравості
вихідної апертури були використані параметри ДВЗЯ, що розраховувався для
калібрування широкоспектральних скануючих пристроїв космічного базування типу
”Egyptsat - 1” (галогенна лампа КГМ-30-300-2, Фдв = 100Вт, D1
=0.25 м, D2 =1 м, Dк =0.05 м, Dв =0.2 м, N1
= 3, Nдв = 5).
Відповідні числові значення коефіцієнтів впливу, отриманих
для вказаних значень параметрів, представлені в табл. 6.2, а розраховані по
формулі (6.2)залежності похибки установки яскравості вихідної апертури
від первинних похибок
Фдв,
Δρ1,
Δρ2,
ΔD1,
ΔD2,
ΔDК і ΔDВ показані на рис. 6.3.
Рис. 6.3 Залежність похибки установки вихідної яскравості
ДВЗЯ від відносних похибок його параметрів
Відзначимо, що найбільший вклад в сумарну похибку вносять
похибки внутрішніх покриттів інтегруючих сфер Δρ1,
Δρ2, нестабільність потоку
джерел випромінювання
Фдв, зміна діаметра вихідної апертури ΔDВ і похибка калібрувальної діафрагми ΔDК. Похибка діаметра первинної і
вторинної сфер ΔD1,
ΔD2 найменше впливають на
сумарну похибку, але знехтувати ними не можна. Проаналізуємо указані похибки
найбільш детально.
Нестабільність внутрішнього покриття інтегруючих сфер
обумовлена різними факторами: деградацією матеріалу, його
гігроскопічністю,запиленістю і т. п.
Для кожного з використовуваних на практиці покриттів ці
фактори проявляються в різній степені, але для більшості традиційних
покрить(BaSO4, MgO, Al і др.) сумарна нестабільність перевищує0,05% за годину.
Суттєво кращі характеристики мають нові матеріали, особливо на основі
політетрафторетилену. В табл. 6.3 приведені характеристики деградації з часом
покриття “Spectralon” SRS-99, яке здатне забезпечити стабільність характеристик
при доволі довгій експлуатації з похибкою менше 0,01%. До того ж ці покриття
надійно працюють при великому перепаді температур, що особливо важливо для
первинних інтегруючих сфер.
Нестабільність живлення джерел випромінювання призводить до
зміни як величини випромінювального потоку так і його спектрального складу.
Похибку вихідної яскравості ДВЗЯ, яка обумовлена цією зміною
потоку можна визначити по формулі (6.3):
(6.3)
а зміщення максимуму спектральної характеристики по формулі
(6.4):
(6.4)
Де Фs(λ,T) - вихідний інтегральний потік
від лампи;
Фs(λ+Δλ,T+ΔT)
- потік
від лампи обумовлений коливанням живлячої напруги,=2850К - установлена
температура лампинакалювання КГМ-12-100.
Таблиця
6.3
Старіння матеріалу SpectralonSRS-99
Числові значення похибок (6.3, 6.4), отриманих для різних
величин пульсацій живлячої напруги представлені в табл. 6.4 і дозволяють
оцінитиїхній вплив в різних випадках.
Таблиця
6.4
Похибка джерел випромінювання
Примітка: приведена величина
в цьому розділі відноситься тільки до
аналізуджерела випромінювання.
Очевидно, що основним методом зменшення розглядуваних похибок
є використання високостабільних джерел живлення та роздільно-групове
підключення джерел випромінювання первинних сфер до декількох електрично
розв’язаних блоків живлення. Наприклад, живлення джерел випромінювання ДВЗЯ з
15 лампами (групи по 5 ламп) від трьох блоків зменшує похибку установки
вихідної яскравості приблизно в 1.7 разів.
Характеристики деяких джерел живлення, які можуть
використовуватися з ДВЗЯ представлені в табл. 6.5 і дозволяють чисельно оцінити
похибку джерел випромінювання для різних випадків.
Таблиця
6.5
Дані про деякі стабільні джерела живлення для ламп
накалювання
Треба зауважити, що стабілізація напруги живлення в межах
0.05% є досить реальною задачею навіть при значному струмі, що споживається
лампами ДВЗЯ.
Зміна параметрів конструктивних елементів ДВЗЯ хоч і є, у
відносних величинах, суттєвим джерелом похибок (рис. 6.3), та при правильних
виборі матеріалу і конструкторському підході може бути доведена до долів
відсотка навіть при доволі жорсткому температурному режимі випромінювача. В
табл. 6.6 приводяться розраховані по коефіцієнтам лінійного температурного
розширення відхилення розмірів інтегруючих сфер і калібрувальних діафрагм для
різних матеріалів і різних температурних режимів.
Очевидно, що ефективне охолодження первинних інтегруючих
сферможе суттєво знизити ці похибки. Такий же результат дає використання в ДВЗЯ
надяскравихсвітлодіодів, але спектр їх випромінювання значно вужчий ніж у ламп
розжарювання і випромінюваний потік менший.
Таблиця
6.6
Відхилення параметрів конструктивних елементів ДВЗЯ
Асферичність та інші порушення форми інтегруючої сфери мало
впливають на зміну вихідної яскравості, носять систематичний характер іможуть
бути враховані при калібруванні ДВЗЯ.
На рис. 6.4 показані залежності похибок установки яскравості
у вихідній апертурі від первинних похибок основних елементів ДВЗЯ з урахуванням
їх реальних величин, отриманих вище.
При цьому для чіткішого розуміння були використані
максимальні значення. Однак, навіть в цьому випадку максимальна похибка
установки яскравості не перевищує 1%, чого достатньо для більшості
фотометричних задач.
Враховуючи, що ДВЗЯ працює в значному діапазоні змінної
яскравості (перспективним є значення - 105...106)
представляє інтерес дослідження залежності похибки установки яскравості від її
абсолютної величини. На рис. 6.5, 6.6 показані залежності похибки установки
яскравості від первинних похибок елементів ДВЗЯ для крайніх значень діаметра
калібрувальної діафрагми DК = 0.001 і 0.1м відповідно. Ці ж залежності
для калібрувальної діафрагми діаметром 0.05 м були вказані раніше на рис. 6.4,
а в табл. 6.7 приведені числові значення сумарної похибки установки вихідної
яскравості в різних точках динамічного діапазону ДВЗЯ при первинних похибках
основних елементів на рівні 0.1%.
Рис. 6.4. Залежність похибки установки вихідної яскравості
ДВЗЯ відпервинних похибок при DК =0.05 м,
Φдв =100 Вт,
ρ1
=ρ2 =0.99, D1 =0.25
м, D2 =1 м, DВ =0.2 м, Nі =3, Nдв
=5
Рис. 6.5 Залежність похибки установки вихідної яскравості
ДВЗЯ від первинних похибок при DК = 0.001 м
Рис. 6.6 Залежність похибки установки вихідної яскравості
ДВЗЯ від первинних похибок при DК = 0.1 м
Таблиця
6.7
Похибка установки вихідної яскравості в різних точках
динамічного діапазону
Із рис. 6.5, 6.6 і табл. 6.7. видно, що похибка установки
вихідної яскравості ДЗВЯ суттєво підвищується в режимі малих яскравостей.
Значно зменшити цю похибку і розширити динамічний діапазон випромінювача можна,
відключивши частину джерел випромінювання при середньому значенні
калібрувальних діафрагм в режимі малих яскравостей. Як показали
експериментальні дослідження [9], кількість одночасно працюючих джерел
випромінювання в первинній сфері, за рахунок ефективного інтегрування потоку,
мало відображається на фотометричному тілі, що формується на калібрувальній
діафрагмі і майже не відображається на параметрах вихідного поля яскравості. У
зв’язку з цим, такий режим можна рекомендувати для надточних вимірювань. Правда
при цьому збільшується час калібрування за рахунок уповільнення процесу
термостабілізації випромінювача.
На рис. 6.7 показана залежність нормованої величини
яскравості вихідної апертури ДЗВЯ від діаметра калібрувальної діафрагми при
різній кількості первинних сфер. Необхідно звернути увагу на існуючу не
лінійність калібрувальної характеристики та її малий нахил на початку і в кінці
динамічного діапазону.
Якщо до лінійності калібрувальної характеристики
пред’являються досить жорсткі вимоги то слід виготовляти калібрувальні
діафрагми із змінними діаметрами, що змінюватимуться не по лінійному закону, а
приблизно такому як на рис. 6.7. Крок значень калібрувальних діафрагм повинен
бути змінним по цьому ж принципу.
Експериментальні дослідження ДЗВЯ показали, що перелічені
рекомендації дозволяють забезпечити достатню лінійність вихідної яскравості в
межах динамічного діапазону 105 -106.
Рис. 6.7 Зміщення кривої нормованої яскравості при різній
кількостіпервинних сфер N1
РОЗДІЛ 7. ЕКОНОМІЧНА ЧАСТИНА
7.1
Оцінка рівня якості виробу
.1.1
Вихідні положення
Оцінка рівня якості виробу проводиться з метою порівняльного
аналізу і визначення найбільш ефективного в технічному відношенні варіанта
інженерного рішення. Така оцінка проводиться на стадіях створення нової і
модернізації діючої техніки, при впровадженні її у виробництво, в процесі
проведення функціонально-вартісного аналізу тощо.
На різних етапах оцінка рівня якості виробу має свої
особливості.
На стадії створення нових або модернізації діючих виробів
(при проведенні функціонально-вартісного аналізу), коли за варіантами, що
підлягають розгляду, недостатньо інформації щодо кількісної характеристики
властивостей виробу, узагальнюючий показник рівня якості - коефіцієнт
технічного рівня
розраховується для кожного варіанту інженерного рішення за
формулою:
де
- коефіцієнт вагомості i-го параметра якості в сукупності
прийнятих для розгляду параметрів якості;
- оцінка i-го параметра якості j-го варіанта виробу в балах;
- кількість параметрів виробу, які прийняті для оцінки.
Кращим варіантом інженерного рішення виробу з прийнятих до
розгляду є варіант, якому відповідає найбільше значення коефіцієнта технічного
рівня:
де
- кількість варіантів інженерних рішень, які були прийняті
для порівняльної оцінки.
При наявності кількісної характеристики властивостей виробу
коефіцієнт технічного рівня можна визначити за формулою:
де
- відносний (одиничний) i-й показник якості j-ого варіанта
виробу.
7.1.2
Обгрунтування системи параметрів виробу та визначення показників якості нової
системи
На основі даних про зміст основних функцій, які повинен
реалізовувати виріб, вимог замовника до них, а також умов, які характеризують
експлуатацію виробу, визначають основні параметри виробу, які будуть
використані для розрахунку коефіцієнта технічного рівня виробу. Система
параметрів, що прийнята до розрахунків, повинна достатньо повно характеризувати
споживчі властивості виробу (його призначення, надійність, економне використання
ресурсів, стандартизація тощо). Чим більше параметрів прийнято для оцінки рівня
якості, тим точніша буде оцінка. У будь-якому випадку кількість параметрів
повинна бути не менше шести. Основні параметри виробу повинні бути достатньо
охарактеризовані.
Основні технічні параметри
Дифузний випромінювач змінної яскравості (ДВЗЯ) призначений
для калібрування ОЕП з високою однорідністю яскравістного поля. Основними
параметрами дифузного випромінювача, що впливають на рівень якості приладу є:
– Діаметр вихідної апертури - цей параметр є важливим для
цього типу приладів, адже він визначає максимальний розмір яскравісного поля,
що забезпечує калібрування цифрових відеосистем з більшим діаметром вхідної
зіниці ;
– Діаметр головної сфери - характеризує габарити приладу,
а також інтегруючі властивості ;
– Нерівномірність яскравісного поля по апертурі -
параметр, відіграє основну роль у роботі приладу по визначенню зонної
характеристики;
– Максимальна яскравість - параметр, що характеризує
спроможність приладу визначати граничні характеристики досліджуваного приладу.
При збільшенні максимальної яскравості, діаметра вихідної апертури та при
сталій нерівномірності - зростає його вартість;
– Динамічний діапазон - параметр, що характеризує
здатність відтворювати максимально можливий діапазон яскравості;
– Спектральний діапазон - параметр, що визначає
здатність випромінювати у діапазоні певних довжин хвиль електромагнітного
випромінювання.
Основні технічні параметри базового та нового приладу
наведено в таблиці 7.1.
Таблиця 7.1
Основні
технічні параметри приладу
|
Показники
|
Базова система
|
Нова система
|
|
1. Діаметр вихідної апертури, мм
|
300
|
250
|
|
2. Діаметр головної сфери, мм
|
1010
|
1265
|
|
3. Нерівномірність яскравістного поля по апертурі,%
|
2
|
0,5
|
|
4. Максимальна яскравість, кд/(ср·м2)
|
25695
|
2458
|
|
5. Динамічний діапазон, кд/(ср·м2)
|
104
|
105
|
|
6. Спектральний діапазон, мкм
|
0,35…2,4
|
0,4…2,5
|
Відносні (одиничні) показники якості за будь-яким параметром
, якщо вони знаходяться у лінійній
залежності від якості, визначаються за формулами:
(7.1)
(7.2)
Для показників якості за будь-яким параметром
, що знаходяться у нелінійній
залежності від якості, визначаються за формулами:
(7.3)
(7.4)
де
,
- числові значення i-го параметру відповідно донового і
базового виробів.
Формули (7.1) і (7.3) використовується при розрахунку
відносних показників якості, коли збільшення величини параметра веде до
покращення якості виробу (наприклад, продуктивність виробу, економність тощо),
а формули (7.2) і (7.4) - коли зі збільшенням кількісного значення величини
параметра якість виробу погіршується (наприклад, маса, габарити, споживана
потужність тощо).
(7.5)
(7.6)
(7.7)
(7.8)
(7.9)
(7.10)
Значення відносного показника якості повинно бути більше
одиниці при покращенні i-го показника якості і менше одиниці при його
погіршенні.
Таблиця
7.2
Відносні
показники якості
|
ПоказникиБазова системаНова система
|
|
|
|
1. Діаметр вихідної апертури, мм
|
1
|
1,2
|
|
2. Діаметр головної сфери, мм
|
1
|
0,8
|
|
3. Нерівномірність яскравістного поля по апертурі,%
|
1
|
4
|
|
4. Максимальна яскравість, кд/(ср·м2)
|
1
|
10,45
|
|
5. Динамічний діапазон, кд/(ср·м2)
|
1
|
0,1
|
|
6. Спектральний діапазон, мкм
|
1
|
7.1.3
Визначення коефіцієнтів вагомості параметрів
Вагомість кожного параметра в загальній кількості параметрів,
що розглядаються при оцінці, визначається методом попарного порівняння. Оцінку
проводить експертна комісія, кількість членів якої повинна дорівнювати
непарному числу (не менше 5 чол.). Експерти повинні бути фахівцями в даній
предметній галузі.
Визначення коефіцієнтів вагомості передбачає: визначення
ступеня важливості параметрів шляхом присвоєння їм відповідних рангів;
перевірку придатності експертних оцінок для подальшого використання: виявлення
і оцінку попарного пріоритету параметрів, обробку результатів і визначення
коефіцієнтів вагомості
.
Після детального обговорення та аналізу кожний експерт оцінює
ступінь важливості параметрів шляхом присвоєння їм рангів. Результати
експертного ранжирування подано в табл. 7.3.
Таблиця
7.3
Результати
ранжування параметрів
|
Назва параметра
|
Ранг параметра за оцінкою експерта
|
Сума рангів, Ri
|
Відхилення
|
|
1
|
2
|
3
|
4
|
5
|
|
Di
|
Di2
|
|
1
|
2
|
3
|
4
|
5
|
6
|
7
|
8
|
9
|
|
Діаметр вихідної апертури, мм
|
5
|
4
|
6
|
4
|
4
|
23
|
5,5
|
30,25
|
|
Діаметр головної сфери, мм
|
4
|
5
|
2
|
5
|
5
|
21
|
3,5
|
12,25
|
|
Нерівномірність яскравістного поля по апертурі,%
|
3
|
2
|
4
|
3
|
3
|
15
|
-2,5
|
6,25
|
|
Максимальна яскравість, кд/(ср·м2)
|
1
|
3
|
1
|
1
|
2
|
8
|
-9,5
|
90,25
|
|
Динамічний діапазон, кд/(ср·м2)
|
2
|
1
|
3
|
2
|
1
|
9
|
-8,5
|
72,25
|
|
Спектральний діапазон, мкм
|
6
|
6
|
5
|
6
|
6
|
29
|
11,5
|
132,25
|
|
21
|
21
|
21
|
21
|
21
|
105
|
0
|
343,5
|
Перед подальшою обробкою перевіряється сума рангів за кожним
стовпчиком (2-6), яка повинна дорівнювати
,
де
- кількість оцінюваних параметрів.
Визначення можливості використання результатів ранжування
параметрів для подальших розрахунків проводять на підставі розрахунку
коефіцієнта конкордації (узгодженості) експертних оцінок. Для цього:
а) визначають суму рангів кожного показника (за рядками):
1(7.11)
де
- ранг i-го параметра, визначений j-м експертом;
- число експертів.
Проводять перевірку загальної суми рангів, яка повинна
дорівнювати:
((7.12)
б) обчислюють середню суму рангів (Т) за формулою:
((7.13)
в) визначають відхилення суми рангів кожного параметра (R)
від середньої суми рангів (Т) (табл. 6.3, стовпчик 7):
((7.14)
Сума відхилень за всіма параметрами повинна дорівнювати нулю;
г) обчислюють квадрат відхилень за кожним параметром
та загальну суму квадратів відхилень
(табл. 3, стовпчик 8):
(7.15)
д) визначають коефіцієнт узгодженості (конкордації) за
формулою:
(7.16)
Коефіцієнт узгодженості може мати значення в інтервалі
. У разі повної узгодженості поглядів
експертів коефіцієнт
. Чим більше розбіжностей між поглядами експертів, тим меншою
буде величина W. Визначена розрахункова величина W порівнюється з нормативною
. Якщо
, визначені дані заслуговують на
довіру і придатні до використання. Для електровимірювальних і радіотехнічних
виробів коефіцієнт узгодженості беруть -
.
Якщо розрахункове значення коефіцієнта
, необхідно провести повторне
ранжування. Для цього треба повторити експертизу, залучивши більшу кількість
експертів, провести більш глибоке обговорення й аналіз важливості параметрів.
, отже отримані дані заслуговують на довіру і придатні до
використання.
Використовуючи отримані від кожного експерта результати
ранжирування параметрів (див. табл. 7.3), проводиться попарне порівняння всіх
параметрів і результати заносяться в табл. 7.4.
Проводимо попарне порівняння всіх параметрів (табл. 7.4):
Таблиця
7.4
Порівняння параметрів парами
|
Параметри
|
Експерти
|
Підсумкова оцінка
|
Числове значення коефіцієнтів переваги (aij)
|
|
1
|
2
|
3
|
4
|
5
|
|
|
|
x1 і x2
|
<
|
>
|
<
|
>
|
>
|
>
|
1,5
|
|
x1 і x3
|
<
|
<
|
<
|
<
|
<
|
<
|
0,5
|
|
x1 і x4
|
<
|
<
|
<
|
<
|
<
|
<
|
0,5
|
|
x1 і x5
|
<
|
<
|
<
|
<
|
<
|
<
|
0,5
|
|
x1 і x6
|
>
|
>
|
<
|
>
|
>
|
>
|
1,5
|
|
x2 і x3
|
<
|
<
|
>
|
<
|
<
|
<
|
0,5
|
|
x2 і x4
|
<
|
<
|
<
|
<
|
<
|
<
|
0,5
|
|
x2 і x5
|
<
|
<
|
>
|
<
|
<
|
<
|
0,5
|
|
x2 і x6
|
>
|
>
|
>
|
>
|
>
|
>
|
1,5
|
|
x3 і x4
|
<
|
>
|
<
|
<
|
<
|
<
|
0,5
|
|
x3 і x5
|
<
|
<
|
<
|
<
|
<
|
<
|
0,5
|
|
x3 і x6
|
>
|
>
|
>
|
>
|
>
|
>
|
1,5
|
|
x4 і x5
|
>
|
<
|
>
|
>
|
<
|
>
|
1,5
|
|
x4 і x6
|
>
|
>
|
>
|
>
|
>
|
>
|
1,5
|
|
x5 і x6
|
>
|
>
|
>
|
>
|
>
|
>
|
1,5
|
У даний час найбільш широко використовуються наступні
значення коефіцієнтів переваги
:
де
і
- параметри, які порівнюються між собою. На основі числових
даних
, табл. 7.4 складають квадратну
матрицю
(табл. 5).
Таблиця
7.5
Розрахунок вагомості параметрів
|
xi
|
Параметри xj
|
Перша ітерація
|
Друга ітерація
|
|
x1
|
x2
|
x3
|
x4
|
x5
|
x6
|
bi
|
i
|
b'i
|
'i
|
|
x1
|
1,0
|
1,5
|
0,5
|
0,5
|
0,5
|
1,5
|
5,5
|
0,153
|
28,75
|
0,146
|
|
x2
|
0,5
|
1,0
|
0,5
|
0,5
|
0,5
|
1,5
|
4,5
|
0,125
|
23,75
|
0,121
|
|
x3
|
1,5
|
1,5
|
1,0
|
0,5
|
0,5
|
1,5
|
6,5
|
0,181
|
34,75
|
0,175
|
|
x4
|
1,5
|
1,5
|
1,5
|
1,0
|
1,5
|
1,5
|
8,5
|
0,236
|
49,75
|
0,247
|
|
x5
|
1,5
|
1,5
|
1,5
|
0,5
|
1,0
|
1,5
|
7,5
|
0,208
|
41,75
|
0,212
|
|
x6
|
0,5
|
0,5
|
0,5
|
0,5
|
0,5
|
1,0
|
3,5
|
0,097
|
19,75
|
0,099
|
|
Всього
|
36
|
1
|
198,5
|
1
|
|
|
|
|
|
|
|
|
|
|
|
|
Розрахунок вагомості (пріоритетності) кожного параметра
проводиться за наступними формулами:
(7.17)
(7.18)
де
- вагомість i-го параметра за результатами оцінок
всіхекспертів; визначається як сума значень коефіцієнтів переваги
даних усіма експертами за i-му
параметром. Результати розрахунків заносяться в табл. 5. Відносні оцінки
вагомості
розраховують декілька раз,доки наступне значення буде
відхилятися від попереднього меншніж на 5%. На другій і наступних ітераціях
значення коефіцієнтавагомості
розраховується таким чином:
(7.19)
де
визначається як:
(7.20)
або
(7.21)
Відносна оцінка, яка отримана на останній ітерації
розрахунків, приймається за коефіцієнт вагомості
i-го параметра. За абсолютним
значенням
можна зробити висновки про вагомість (пріоритетність)
певного параметра виробу.
Таблиця
7.5
Розрахунок технічного рівня
|
Показники
|
Базова система "Клевер-2М"
|
Нова система
|
qi x fi
|
|
1. Діаметр вихідної апертури, мм
|
0,146
|
0,438
|
|
2. Діаметр головної сфери, мм
|
0,121
|
0,305
|
|
3. Нерівномірність яскравістного поля по апертурі,%
|
0,175
|
0,35
|
|
4. Максимальна яскравість, кд/(ср·м2)
|
0,247
|
0,1235
|
|
5. Динамічний діапазон, кд/(ср·м2)
|
0,212
|
0,7314
|
|
6 Спектральний діапазон, мкм
|
0,099
|
0,099
|
|
KТ.Р.
|
1
|
2,047
|
Цей коефіцієнт більше за одиницю, отже новий прилад краще
попереднього аналога.
7.2 Планування виконання науково-дослідних робіт
Планування науково-дослідних та дослідно-конструкторських
робіт (НДДКР) проводиться на основі:
ü виявлення та опису всіх робіт і
подій, закріплення за кожною роботою виконавців;
ü визначення тривалості та
трудомісткості виконання робіт;
ü визначення основних параметрів подій
(ранній і пізній строки здійснення подій, резерви часу подій) і робіт (ранні і
пізні початок і закінчення, повні та вільні резерви робіт);
ü аналізу і оптимізації сітьового
графіка.
Таблиця
7.6
Зміст робіт
|
Шифр робіт
|
Зміст робіт
|
|
0,1
|
Розробка технічного завдання (ТЗ) на прилад
|
|
1,2
|
Узгодження ТЗ із замовником
|
|
1,3
|
Збір нормативно-технічної літератури
|
|
2,4
|
Складання та затвердження календарного плану
|
|
3,5
|
Аналіз нормативно-технічної літератури
|
|
4,6
|
Огляд існуючих методів поставленої задачі
|
|
5,7
|
Аналіз О.К.
|
|
6,8
|
Вибір найефективнішого методу
|
|
7,10
|
Вибір і обґрунтування габаритів системи
|
|
8,9
|
Розробка структурної схеми ДВЗЯ
|
|
8,10
|
Обґрунтування типу ДВЗЯ
|
|
9,11
|
Розрахунок розмірів ДВЗЯ
|
|
10,12
|
Вибір і обґрунтування способу обробки
|
|
11,13
|
Розрахунок ближньої зони
|
|
12,14
|
Розробка конструкції ДВЗЯ
|
|
13,15
|
Вибір операційного підсилювача
|
|
14,16
|
Розробка та вибір АЦП
|
|
15,16
|
Розрахунок та вибір джерела живлення
|
|
16,17
|
Виготовлення основних вузлів мікроконтролера
|
|
17,18
|
Вибір стандартів для складального креслення
|
|
17,19
|
Вибір стандартів для основних вузлів товщиноміра
|
Таблиця
7.7
Перелік подій
|
№ ПодіїПерелік подій
|
|
|
0
|
Рішення про проектування нового приладу
|
|
1
|
ТЗ на прилад розроблено
|
|
2
|
ТЗ із замовником узгоджено
|
|
3
|
Збір нормативно-технічної літератури проведено
|
|
4
|
Календарний план складено та затверджено
|
|
5
|
Нормативно-технічну літературу проаналізовано
|
|
6
|
Існуючі методи розглянуто
|
|
7
|
ОК проаналізовано
|
|
8
|
Найефективніший метод обрано
|
|
9
|
Еквівалентну схему товщиноміра розроблено
|
|
10
|
Робочу частоту обрано, тип хвиль обґрунтовано
|
|
11
|
Розміри товщиноміра розраховано
|
|
12
|
Вибір і обґрунтування способу обробки обрано і
обґрунтовано
|
|
13
|
Ближню зону розраховано
|
|
14
|
Конструкцію товщиноміра розроблено
|
|
15
|
Вибір операційного підсилювача обрано
|
|
16
|
Характеристики спрямованості приладу розраховано,
технології виготовлення ПЕП розроблено
|
|
17
|
Основні вузли мікроконтролера виготовлено
|
|
18
|
Стандарти для складального креслення обрано
|
|
19
|
Стандарти для основних вузлів мікроконтролера обрано
|
|
20
|
Складальне креслення конструкції товщиноміра
зроблено
|
|
21
|
Підготовку до складання виконано
|
Розрахунки по виконанню НДДКР наводяться в таблиці 7.9
Таблиця 7.8
Тривалість і трудомісткість робіт
|
Шифрробіт
|
, дні
|
, дні
|
, дні
|
Виконавці Посада
|
Трудомісткість, людино-дні
|
Шифр робіт дні
|
|
|
|
|
|
К-сть осіб
|
К-ть осіб
|
|
|
0,1
|
1
|
2
|
2
|
Головний інженер
|
1
|
0,1
|
1
|
|
1,2
|
1
|
2
|
2
|
Головний інженер
|
1
|
1,2
|
1
|
|
1,3
|
1
|
2
|
2
|
Інженер
|
1
|
1,3
|
1
|
|
2,4
|
2
|
3
|
3
|
Головний інженер
|
1
|
2,4
|
2
|
|
3,5
|
2
|
3
|
2
|
Інженер
|
1
|
3,5
|
2
|
|
4,6
|
1
|
2
|
2
|
Головний інженер
|
1
|
4,6
|
1
|
|
5,7
|
3
|
5
|
4
|
Інженер
|
1
|
5,7
|
3
|
|
6,8
|
3
|
4
|
3
|
Інженер
|
1
|
6,8
|
3
|
|
7,10
|
3
|
4
|
3
|
Головний інженер, інженер - конструктор
|
2
|
7,10
|
3
|
|
8,9
|
1
|
2
|
2
|
Головний інженер
|
1
|
8,9
|
1
|
|
8,10
|
1
|
2
|
2
|
Інженер
|
1
|
8,10
|
1
|
|
9,11
|
1
|
2
|
2
|
Інженер-конструктор
|
1
|
9,11
|
1
|
|
10,12
|
1
|
2
|
2
|
Інженер, інженер-технолог
|
2
|
10,12
|
1
|
|
11,13
|
1
|
2
|
2
|
Головний інженер
|
1
|
11,13
|
1
|
|
12,14
|
1
|
2
|
2
|
Інженер-конструктор
|
1
|
12,14
|
1
|
|
13,15
|
3
|
4
|
3
|
Головний інженер
|
1
|
13,15
|
3
|
|
14,16
|
1
|
2
|
2
|
Інженер-технолог
|
1
|
14,16
|
1
|
|
15,16
|
3
|
4
|
3
|
Головний інженер
|
1
|
15,16
|
3
|
|
16,17
|
3
|
5
|
4
|
Інженер-технолог
|
1
|
16,17
|
3
|
|
17,18
|
3
|
5
|
4
|
Інженер
|
1
|
17,18
|
3
|
|
17,19
|
1
|
2
|
2
|
Інженер-конструктор
|
1
|
17,19
|
1
|
Визначення тривалості виконання робіт проводиться за формулою
,
Трудомісткість роботи визначається за формулою (7.20):
,
де Р - кількість виконавців даної роботи.
Резерв часу події - проміжок часу, на який можна відкласти
відбуття події без порушень строків завершення розробки (проекту) в цілому.
Резерв часу події визначається як різниця між пізнім та
раннім строками здійснення події:
,
Визначення основних параметрів робіт (ранні та пізні початок
і закінчення робіт, повні та вільні резерви робіт) виконують за допомогою
формул (7.26)...(7.31).
Ранній з можливих строків початку роботи ij:
,
Пізній з допустимих строків початку роботи ij:
,
Ранній з можливих строків завершення роботи ij:
,
Пізній з допустимих строків завершення роботи ij:
,
Повний резерв часу роботи ij(
) - максимальна кількість часу, на
яку можна збільшити тривалість даної роботи, не змінюючи тривалість критичного
шляху.
,
Якщо резерв частково або повністю використовувати для
збільшення тривалості певної роботи, то зменшиться резерв часу всіх інших
робіт, що лежать на відповідному шляху.
Вільний резерв часу роботи (
) - максимальна кількість часу, на
яку можна збільшити тривалість роботи або відкласти її початок, не змінюючи при
цьому ранніх строків початку наступних робіт за умови того, що початкова подія
цієї роботи наступила в свій ранній строк.
,
Таблиця
7.9
Параметри робіт сітьового графіку
|
Шифр робіт
|
|
|
|
|
|
|
|
0,1
|
3
|
0
|
3
|
0
|
3
|
0
|
|
1,2
|
3
|
3
|
6
|
12
|
15
|
9
|
|
1,3
|
6
|
3
|
9
|
9
|
0
|
|
2,4
|
2
|
6
|
8
|
15
|
17
|
9
|
|
3,5
|
6
|
9
|
15
|
9
|
15
|
0
|
|
4,6
|
4
|
8
|
12
|
17
|
21
|
9
|
|
5,7
|
4
|
15
|
19
|
15
|
19
|
0
|
|
6,8
|
2
|
12
|
14
|
21
|
23
|
9
|
|
7,10
|
2
|
19
|
21
|
19
|
21
|
0
|
|
8,9
|
6
|
14
|
20
|
23
|
29
|
9
|
|
8,10
|
2
|
14
|
16
|
19
|
21
|
5
|
|
9,11
|
3
|
20
|
23
|
29
|
32
|
9
|
|
10,12
|
3
|
21
|
24
|
21
|
24
|
0
|
|
11,13
|
2
|
23
|
25
|
32
|
34
|
9
|
|
12,14
|
8
|
24
|
32
|
24
|
32
|
0
|
|
13,15
|
2
|
25
|
27
|
34
|
36
|
9
|
|
14,16
|
8
|
32
|
40
|
32
|
40
|
0
|
|
15,16
|
4
|
27
|
31
|
36
|
40
|
9
|
|
16,17
|
4
|
40
|
44
|
40
|
44
|
0
|
|
17,18
|
2
|
44
|
46
|
44
|
46
|
0
|
|
17,19
|
2
|
44
|
46
|
46
|
48
|
2
|
|
18,20
|
3
|
46
|
49
|
46
|
49
|
0
|
|
19,21
|
2
|
46
|
48
|
48
|
50
|
2
|
|
20,22
|
3
|
49
|
52
|
49
|
52
|
0
|
|
21,22
|
2
|
48
|
50
|
50
|
52
|
2
|
|
22,23
|
3
|
52
|
55
|
52
|
55
|
0
|
|
23,24
|
6
|
55
|
61
|
55
|
61
|
0
|
|
24,25
|
3
|
61
|
64
|
61
|
64
|
0
|
|
25,26
|
2
|
64
|
66
|
64
|
66
|
0
|
|
26,27
|
2
|
66
|
68
|
66
|
68
|
0
|
Кошторис
витрат на науково-дослідні та дослідно-конструкторські роботи:
Кошторис розробляється виконавцем робіт на основі
календарного плану виконання робіт (сітьового графіка) і затверджується
замовником або органом, що забезпечує фінансування робіт.
Витрати, що включаються у собівартість НДДКР, групуються
відповідно до їх економічного змісту за такими елементами.
7.3 Витрати
7.3.1
Матеріальні витрати
Матеріальні
витрати подано в таблиці 7.11, а покупні вироби утаблиці.7.12.
Таблиця
7.11
Матеріальні
витрати
|
Назва матеріалу
|
Одиниця виміру
|
Кількість
|
Ціна одиниці, грн
|
Сума, грн
|
|
Папір (формат А4)
|
пачка
|
2
|
43
|
86
|
|
Картридж для принтеру типу CanonBJC-1000
|
шт.
|
2
|
130
|
260
|
|
Ватман (формат А1)
|
шт.
|
4
|
7,50
|
30
|
|
Пластик
|
кг
|
0,2
|
110
|
22
|
|
Скло ГОСТ13659-78
|
кг
|
0,2
|
350
|
70
|
|
Всього
|
468
|
|
Невраховані матеріали (20%)
|
93,6
|
|
Всього
|
561,6
|
|
Транспортно-заготівельні витрати (10%)
|
56,16
|
|
Загалом
|
617,76
|
Таблиця
7.12
Покупні вироби
|
Назва матеріалу
|
Стандарт, технічні умови
|
Кількість
|
Ціна одиниці, грн
|
Сума, грн
|
|
Приймач випромінювання Hamamatsu P2532-01
|
|
6
|
291.67
|
1750.02
|
|
Елементи кріплення
|
|
8
|
6
|
48
|
|
Світлодіод LED20
|
|
1
|
12
|
12
|
|
Об’єктив
|
|
1
|
850
|
850
|
|
Світлодіод LED13
|
|
1
|
12
|
12
|
|
Блок живлення
|
|
1
|
1
|
25
|
|
Всього
|
|
|
|
2697
|
|
Невраховані матеріали
|
|
|
|
539,44
|
|
Всього
|
|
|
|
3236,44
|
|
Транспортно-заготівельні витрати (10%)
|
|
|
|
269,7
|
|
Загалом
|
|
|
|
3506,14
|
1.3.2
Витрати на оплату праці
До цього елемента належать витрати на виплату основної і
додаткової заробітної плати виконавцям, обчислені згідно із системами оплати
праці, прийнятими в організації, включаючи всі види матеріальних та грошових
доплат.
Основна заробітна плата розраховується на основі даних про
трудомісткість окремих робіт і посадових окладів основних виконавців НДР.
Денну заробітну плату визначають на підставі місячних
окладів, враховуючи тривалість умовного місяця (21,1 днів - при 5-ти денному
робочому тижні). Результати розрахунків основної заробітної плати виконавців
наведено у таблиці 7.14.
Таблиця
7.14
Трудомісткість виконання робіт
|
Виконавці
|
Трудомісткість, людино-дні
|
|
Провідний інженер
|
23
|
|
Інженер-технолог
|
6
|
|
Інженер-конструктор
|
13
|
|
Інженер
|
23
|
|
Експерти
|
10
|
|
Економіст
|
4
|
Таблиця
7.14
Основна заробітна плата виконавців
|
Виконавець
|
Місячний оклад, грн
|
Денна заробітна плата
|
Трудомісткість, людино-дні
|
Основна заробітна плата, грн
|
|
Провідний інженер
|
5000
|
236,96
|
23
|
5450,24
|
|
Інженер технолог
|
3500
|
165,87
|
6
|
995,25
|
|
Інженер конструктор
|
3500
|
165,86
|
13
|
2156,40
|
|
Інженер
|
3000
|
142,18
|
23
|
3270,14
|
|
Економіст
|
4000
|
189,57
|
4
|
758,28
|
|
Усього
|
12630,31
|
Додаткова заробітна плата становить 35% від основної, тобто:
,31*0,35=4420,61 грн.
Сума додаткової і основної зарплати становить
,31+4420,61=17050,92 грн.
.3.3
Відрахування на соціальні заходи
До цього елемента належать витрати здійснювані у порядку та
розмірах, передбачених законодавством України:
Таблиця 7.15
Відрахування
на соціальні заходи*
|
Види державного соціального страхування
|
Роботодавці у% від фонду оплати праці
|
Разом
|
|
пенсійне страхування
|
32%
|
1177,11 грн.
|
|
страхування на випадок безробіття
|
1,9%
|
69,89 грн.
|
|
страхування у зв’язку з тимчасовою втратою
працездатності
|
2,9%
|
106,68 грн.
|
|
страхування від нещасних випадків на виробництві
|
1,2%
|
44,14грн.
|
38%
|
1397,82 грн.
|
.3.4
Витрати на спеціальне обладнання
У цій статті розраховуються витрати на придбання машин,
приладів та іншого обладнання, яке необхідне тільки для цієї НДР. В даному
випадку витрати на спеціальне обладнання не передбачені.
7.3.5
Витрати на службові відрядження
Витрати на службові відрядження складаються із фактичних
витрат на відрядження штатних працівників, зайнятих виконанням НДДКР: витрат на
проїзд до місця відрядження і назад, витрат на проживання у готелі, добові
витрати, які розраховуються за кожний день перебування у відрядженні,
враховуючи час перебування у дорозі.
Для даної НДДКР витрати по цій статті не передбачені.
.3.6
Експериментально-виробничі витрати
Експериментально-виробничі витрати включають витрати на
виготовлення стендів, дослідних зразків, окремих вузлів, деталей та інше, коли
вони виготовляються в інших самостійних відділах або в інших організаціях.
Витрати розраховуються виходячи з кількості годин машинного
часу, який необхідний для виконання потрібного обсягу обчислювальних робіт за
темою і вартістю однієї машинної години.
Таблиця
7.16
Витрати на оплату машинного часу
|
Роботи які виконуються на ЕОМ
|
Тривалість виконання роботи, год
|
Вартість однієї машино-години, грн
|
Сума витрат, грн
|
|
Розрахунок системи у програмі “Луч”
|
3
|
6
|
18
|
|
Моделювання приладу у програмі “Mathcad”
|
12
|
6
|
72
|
|
Написання та друк пояснювальної записки
|
56
|
5.5
|
308
|
|
Креслення деталей та вузлів
|
24
|
6
|
144
|
|
Всього
|
542
|
.3.7
Накладні витрати
Витрати по цій статті розраховуються за нормативом,
підприємством відносно до заробітної плати. В даному випадку норматив становить
67%.
Отже сума витрат складає - 11424,12 грн.
7.3.8
Прибуток
Прибуток складає 10% від суми витрат і дорівнює 3453,88грн.
7.3.9
Загальні витрати
Загальні витрати становлять суму п.п.1.3.1-1.3.8 і дорівнюють
37992,64грн.
7.3.10
Податок на додану вартість (ПДВ)
ПДВ обчислюється в розмірі 20% від суми загальних витрат і
становить - 7598,53грн.
7.3.11
Повна вартість роботи виконаної власними силами
Сума п.п.1.3.9.-1.3.10. - 45591,17грн.
Кошторис
вартості роботи
Дифузний випромінювач змінної яскравості
(вид, тема роботи та номер реєстрації)
Джерело фінансування:
Замовник:
Співвиконавці:
Термін виконання робіт: початок, закінчення
|
Стаття витрат
|
Норматив
|
Сума витрат, грн
|
Питома вага статті,%
|
|
1. Матеріали
|
|
4123,9
|
10,9
|
|
2. Заробітна плата, всього
|
|
17050,92
|
44,9
|
|
2.а. основна
|
|
12630,31
|
33,2
|
|
2.б. додаткова
|
35% від п. 2.а.
|
4420,61
|
11,6
|
|
3. Відрахування на соціальні заходи, у тому числі:
на пенсійне страхування, страхування у зв’язку з втратою працездатності,
страхування на випадок безробіття, та від нещасних випадків на виробництві
|
38% п. 2 32% п. 2 2,9% п. 2 1,9% п. 2 1,2% п. 2
|
1397,82 1177,11 106,68 69,89 44,14
|
3,7
|
|
4. Спеціальне обладнання
|
--
|
--
|
--
|
|
5. Відрядження
|
|
|
|
|
6. Експериментально-виробничі витрати
|
|
542
|
1,4
|
|
7. Накладні витрати
|
67% п. 2
|
11424,12
|
30
|
|
7.а. Сума витрат
|
|
34538,76
|
90,91
|
|
8. Прибуток
|
10% п. 7.а
|
3453,88
|
9,09
|
|
9. Загальні витрати
|
|
37992,64
|
100
|
|
10.ПДВ
|
20% п. 9
|
7598,53
|
|
|
11. Повна вартість роботи, виконаної власними силами
|
|
45591,17
|
|
|
12. Договірна ціна
|
|
45600
|
|
Дата складання кошторису
Керівник
Економіст
Висновки
до розділу
Провівши експертне ранжування і виконавши обробку результатів
було доведено, що наш пристрій має дещо вищий показник технічного рівня якості
серед розглянутих. Цей коефіцієнт дорівнює 2,047. Отже новий прилад дещо краще
попереднього аналогу.
В результаті планування НДДКР були виявлені і описані всі
події, роботи та закріплені за кожною роботою виконавці, визначені тривалості
та трудомісткості всіх робіт, визначені основні параметри подій (ранній та
пізній строки здійснення подій, резерви часу подій) і робіт (ранній та пізній
початок і закінчення подій, повні резерви подій). В результаті планування НДДКР
ми маємо двадцять сім подій.
У розділі складено кошторис витрат на розробку та виробництво
виробу. Загальні витрати на розробку дифузного випромінювача змінної яскравості
складає 37992,64 грн., повна вартість роботи 45591,17 грн., договірна ціна
45600 грн.
РОЗДІЛ 8. ОХОРОНА ПРАЦІ
Метою даного розділу буде аналіз умов праці в приміщенні
конструкторського відділу, розробка комплексу заходів для поліпшення умов праці
і доведення їх до рівня, що передбачений чинним законодавством.
В даному дипломному проекті було розроблено прилад для лабораторного
використання - дифузний випромінювач змінної яскравості. Цей прилад призначений
для калібрування ОЕП з необхідністю високої рівномірністі яскравістного поля.
Так як даний прилад має відносно великі габарити (приблизно
1.5м х 1.3 м), та невелику масу (оскільки, прилад пологий всередені та
виконаний виключно з легких матеріалів, тобто переважно з алюмінію, дюралюмінію
та неметалів), то його установку в випробувальному приміщені рекомендовано
виконувати двом чоловікам, а складання приладу та його юстування допустиме 1
інженером-складальником.
Окрім цього потрібно взяти до уваги той фактор, що прилад
працю є від електромережі 220 В (хоча на всі його елементи подається низька
напруга - приблизно 12 В).
Тобто, враховуючи всі фактори, наведені вище, всім причетним
до складання, юстування та установки приладу необхідно провести інструктаж з
охорони праці, а для користувачів розробити інструкцію з вимогами безпеки.
8.1 Санітарно-гігієнічна характеристика приміщення
Як об'єкт, що буде використовуватися для аналізу існуючих у
ньому умов праці, візьмемо тип приміщення характерний для конструкторських
бюро, проектних інститутів і т.д.
Приміщення конструкторського відділу має розміри 10х9х3,50 м
і включає у свій склад дерев'яні меблі, комп'ютери й оргтехніку. У приміщенні
передбачається робота 3 інженерів-конструкторів.
8.2 Оцінка небезпечних і шкідливих виробничих факторів та
розробка заходів по покращенню (нормалізації) умов праці при виконанні роботи
(технологічному процесі, робочій операції)
8.2.1 Аналіз мікроклімату в приміщенні
Відповідно до ДСТ 12.1.005-88 “Загальні санітарно-гігієнічні
вимоги до повітря робочої зони" під мікрокліматом виробничих приміщень
розуміють клімат їхнього внутрішнього середовища, що визначається, що впливають
на організм людини в повідомленні: температури, вологості, швидкості руху
повітря і теплових випромінювань.
Норми на оптимальні і припустимі значення температури,
відносній вологості і швидкості руху повітря встановлюються для робочої зони
(робочого місця) приміщень у залежності від періоду року і категорії
виконуваних робіт. Крім того, припустимі температури повітря встановлюють
диференційовано для постійних і непостійних робочих місць.
Поділ робіт на категорії проводиться в залежності від
загальні енерговитрати організму працівника. Відповідно до характеру робіт у
відзначеному приміщенні, ними можна кваліфікувати як легкі фізичні роботи
(категорія 1).
Тому що переважна більшість робіт виконується сидячи і
супроводжується незначною фізичною напругою, те уточненою категорією робіт є
категорія 1а. Для цієї категорії енерговитрати організму не перевищують 120
ккал/год. (139 Вт). Призначення приміщення дозволяє визначати робочі місця в
ньому як постійні.
Обмірювані значення показників мікроклімату в розглянутому
приміщенні і регламентовані ГОСТом оптимальні і припустимі значення показників
приведені в табл. 8.2.1 окремо для холодного і теплого періодів року.
Таблиця 8.2.1
|
Період року
|
Параметр мікроклімату
|
Параметри мікроклімату відповідно ГОСТ 12.1.005-88
|
Данні вимірювань
|
|
|
оптимальний
|
допустимий
|
|
|
Холодний
|
Температура, С°
|
22-24
|
18-26
|
21
|
|
Відносна вологість повітря,%
|
40-60
|
75
|
55
|
|
Швидкість руху повітря, м/с
|
0,1
|
0,1
|
0,75
|
|
Теплий
|
Температура, С°
|
22-25
|
18-26
|
24
|
|
Відносна вологість повітря,%
|
40-60
|
75
|
50
|
|
Швидкість руху повітря, м/с
|
0,1
|
0,1
|
0,1
|
Проаналізувавши отримані числові значення параметрів
мікроклімату в розглянутому приміщенні, можна зробити висновок про їхню
відповідність існуючим нормативам. Дотримання умови мікроклімату в межах норми
забезпечується: у холодний період підігрівом приміщення радіаторами з
теплоносієм водою, нагрітої до температури 50-80°С, кондиціюванням; у теплий
період - кондиціюванням.
8.2.2 Оцінка приміщення
Розглянемо виробниче приміщення для виготовлення даного
приладу. У цьому приміщенні проводяться операції складання оптичних вузлів,
зборки оптичних приладів з установкою оптичних деталей і вузлів, юстування
приладу, регулювання і настроювання.
Приміщення, у якому збирається прилад, є складальним цехом і
знаходиться на першому поверсі цегляного будинку.
У нашому випадку геометричні розміри приміщення:
довжина a=10 м;
ширина b=9 м;
висота h=3,50 м.
Склад персоналу, що працює в приміщенні, наступний: начальник
цеху, економіст, технолог, майстер, конструктор, слюсар - оптик,
слюсар-наладчик. Всього 7 чоловік.
Виходячи зі значень a, b, h, розрахуємо значення площі й
об'єму приміщення:
= a*b = 10*9 = 90 м2;= S*h = 90*3,50 = 315 м3.
На підставі приведених вище даних розрахуємо значення площі й
об'єму приміщення, що приходяться на одного службовця. Результати розрахунків
наведені в таблиці.
Таблиця
8.2.2
Площа та об'єм приміщення, що приходиться на одного службовця
|
Параметр
|
Норматив
|
Фактичні
|
|
Площа, S
|
не менше 6 м2
|
12,85 м2
|
|
Об'єм, V
|
не менше 15 м2
|
45 3
|
8.2.3 Аналіз штучного освітлення
Як критерій для оцінки штучного освітлення будемо
використовувати освітленість Е. Для аналізу освітлення розрахуємо
значення освітленості Ероз. у деякій точці приміщення і порівняємо
його з нормативним значення освітленості Ен.
У приміщенні використовується система загального рівномірного
освітлення світильниками з люмінесцентними лампами. Система освітлення включає
у свій склад 6 світильників марки Л201Б 2х40-14 з лампами ЛБ40. Світильники
розташовані в два ряди по 3 штуки в кожнім, як це показано на мал.3.3.
Приведемо деякі характеристики світильників і ламп, що
використовуються, що будуть необхідні для подальшого розрахунку штучного
висвітлення:
довжина світильника 1275 мм,
ширина світильника 354 мм,
коефіцієнт корисної дії світильника 0,53,
кількість ламп у світильнику 2,
потужність однієї лампи 40 Вт,
світловий потік однієї лампи 3120 лм.
Оскільки відношення довжини ряду світильників до відстані від
світильника до контрольної точки перевищує 0,2 (тобто джерело світла лінійне),
освітленість будемо визначати за допомогою методу лінійних ізолюкс. Для
розрахунку освітленості скористаємося наступним співвідношенням:
, (8.2.1)
де Nр - кількість світильників у рядові (Nр=3),- кількість
ламп у світильнику (n=2),
Фл- світловий потік лампи (Фл=3120 лм),
m- коефіцієнт, що враховує збільшення освітленості в
розрахунковій точці унаслідок відображення світла від поверхонь у приміщенні (m =1,1),
ei - відносна освітленість у
розрахунковій точці, що створюється і-им напіврядом світильників,- кількість
напіврядів світильників,
Yi - коефіцієнт переходу від
горизонтальної освітленості до освітленості похилої площини (Yi=1 для горизонтальної робочої
поверхні),з - коефіцієнт запасу (Kз =1,5),- висота підвісу світильників,р -
довжина ряду світильників.
Для розрахунку висоти підвісу світильників скористаємося
наступною формулою:= H-Hр.п.,
де Н висота приміщення,р.п висота робочої поверхні.
Для значень Н=2,80 м і Нр.п.=0,80 м одержимо
h=2,80-0,80=2,0 р.
Розрахуємо довжину ряду світильників: lр=3х1,275 м=3,825 м.
Для визначення ei скористаємося графіком лінійних
ізолюкс мал.2.1 [16]. Для чого, спочатку, через задану розрахункову крапку на
плані приміщення (мал.2.3) проведемо слід площини, що перпендикулярна рядам
світильників. Таким чином, ряди світильників будуть розділені на 4 напівряди.
Для кожного напіврядувизначимо його довжину li і відстань від проекції
напівряду на робочу горизонтальну поверхню до розрахункової точки pi (і=1...4).
Для розрахункової точки, що знаходиться на відстані 1,5 м від
протилежної до вікон стіни і 0,5 м від бічної стіни, одержимо наступні значення
li і pi:
1= p2=1,423 м; p3= p4=5,623
м.
(Примітка. Індекси напіврядів світильників при l і ру
вищезгаданих співвідношеннях відповідають індексам, що проставлені на мал.2.3.)
Далі визначимо так називані відносні координати
і
за допомогою наступних формул:
.(8.2.2)
Відповідно до розрахованого вище значеннями li і pi
формулами (8.2.1), (8.2.2) одержимо:
;
;
;
.
Рис. 8.2.3
За допомогою графіка на мал. 8.2.3. [16], спів ставляючи
отримані відносні координати
і
, знаходимо значення ei: e1=30; e2=55;e3=1,0;e4=3.
По формулі (8.2.1) розрахуємо фактичне значення освітленості
в приміщенні:
лк.
Як бачимо, розраховане значення освітленості для існуючої в
приміщенні системи штучного освітлення не відповідає нормативному значенню, що
для робочих поверхонь знаходяться на висоті 0,8 м від підлоги, повинне
дорівнювати Ен =300 лк (ДБН В. 2.5-28-2066 «Природне і штучне освітлення»)
8.2.4 Заходи по покращенню штучного освітлення
Для поліпшення показників штучного освітлення в приміщенні
необхідно збільшити кількість світильників, що використовуються. Для того ж
типу світильників і типу і потужності ламп, що розглядалися в п.3.3, розрахуємо
значення освітленості в контрольній точці приміщення для системи освітлення, що
включає у свій склад 4 ряди світильників по 3 штуки в кожнім, як це показано на
мал.4.
Рис. 8.3
За допомогою описаної в п 3.1 методики, розрахуємо величини,
необхідні для визначення фактичної освітленості в приміщенні:
.l1= l3= l5= l7=0,9125
м; l2= l4= l6= l8=2,9125 м;1=p2=0,373
м; p3=p4=2,473 м; p5=p6=4,573 м; p7=p8=6,673
м;
.
;
;
;
;
;
;
.e1=55; e2=75;e3=12;e4 =25;
e5=2; e6=6;e7=0,5;e8=2.
По формулі (3.8) з врахуванням розрахованих вище величин
визначимо значення освітленості:
лк.
Як бачимо, розрахована нами поліпшена система освітлення в
приміщенні цілком відповідає вимогам нормативів.
8.2.5 Аналіз пожежної безпеки приміщення
Визначимо категорію розглянутого приміщення по вибухопожежній
і пожежної небезпеці. Для цього складемо перелік матеріалів, що знаходяться в
житлі і здатні горіти:
·
вироби з
паперу (ватман, технічна і нормативна документація, плакати і т.д.) але різного
роду канцелярські приналежності;
·
конструктивні
елементи житла (дерев'яні двері, дерев'яні чи металопластикоі віконні рами,
покриття підлоги);
·
меблі;
·
комп'ютери
й оргтехніка.
Тому що всі перераховані вище матеріали є твердими пальними
матеріалами, здатними тільки горіти при взаємодії з киснем повітря, то
розглянуте приміщення можна віднести до категорії В.
Розглянемо можливі причини виникнення пожеж у приміщенні:
·
причини
електричного характеру короткі замикання, перевантаження мережі; короткі
замикання, пробої ізоляції використовуваного устаткування, що виникли внаслідок
його несправності, чи зносу неправильної експлуатації й інше;
·
причини
обумовлені людським фактором - порушення правил пожежної безпеки, несвоєчасний
ремонт устаткування, що знаходиться під чи напругою неправильне його
обслуговування і т.д.
У приміщенні присутні первинні засоби пожежогасіння це
вуглекислотний вогнегасник марки ОУ-5. Застосування вогнегасника даної марки
можливо при пожежогасінні електромереж і електроустановок, що знаходяться під
напругою до 1000 В, що відповідає встановленому в приміщенні устаткуванні.
Так як приміщення, що аналізується нами, відноситься до
категорії В, то воно повинно бути оснащено установкою електричної
пожежної сигналізації, задачею якої є виявлення початкової стадії пожежі,
повідомлення про місце її виникнення і включення установок пожежогасіння. У
даному випадку в приміщенні відсутня пожежна сигналізація.
На підставі проведеної оцінки пожежної безпеки приміщення,
можна зробити висновок про її невідповідність існуючим нормам і про
необхідність її удосконалювання.
8.2.6 Заходи по покращенню пожежної безпеки
Так як, розглянуте приміщення відноситься до категорії В,
то його варто оснастити установкою електричної пожежної сигналізації, задачею
якої, у конкретному випадку, є виявлення початкової стадії пожежі і повідомлення
про місце її виникнення.
У даному випадку, в ролі датчиків, що реагують на параметр
середовища пожежі, покладено використовувати димові датчики. Від них сигнал про
пожежу надходить у прийомну станцію, що оснащена системою звукового оповіщення.
Зазначена система пожежної сигналізації також
використовується як охоронна сигналізація.
8.2.7 Оцінка електробезпеки приміщення
У розглянутому приміщенні електропроводка захована, проведена
в отворах під штукатуркою. Штепсельні розетки встановлені на висоті одного
метра від підлоги. Вимикачі світла розташовані на стіні на висоті 1,8 м від
підлоги, біля дверей.
Корпуса комп'ютера, принтера й іншої оргтехніки виготовлені
зі спеціального матеріалу, що робить поразка електричним струмом людини, при
дотику до них, неможливим у випадку їхньої неушкодженості. Очевидно, що
спеціальних заходів для забезпечення електробезпечності при користуванні
зазначеним електроустаткуванням застосовувати не потрібно.
Можна зробити висновок про те, що існуючий рівень
електробезпечності відповідає класу приміщень без підвищеної
електронебезпечності, до якого і належить розглянуте приміщення.
8.2.8 Аналіз акустичних умов в приміщенні
Визначимо присутній у приміщенні шум і його джерела:
) вуличний шум,
) шум, створюваний кондиціонерами,
) шум, створюваний обчислювальною технікою.
Для орієнтованої оцінки шуму в приміщенні як характеристику
шуму будемо приймати рівень звуку в дБА. Рівень звуку визначається по
так називаній шкалі А шумовимірювача з корекцією, що полягає в тім, що
уводяться виправлення, що враховують залежність чутливості слуху від частоти
звуку і приблизні результати об'єктивних вимірів до суб'єктивного сприйняття.
Метод нормування рівня звуку використовується для оцінки постійного і
непостійного шуму.
Визначимо характеристики перерахованих вище шумових впливів.
Шум, що створюється кондиціонерами і вулицею, варто віднести
до постійного. Рівень звуку цього шуму настільки малий, котрий практично
збігається з фоновим.
Серед обчислювальної техніки істотний шумовий вплив створює
тільки принтер. Працюючий у режимі печатки принтер створює шум, рівень звуку
якого різко падає до рівня фонового шуму при вимиканні принтера, причому
тривалість інтервалів, протягом яких рівень звуку залишається постійним і
перевищує рівень фонового шуму, складає більш 1с. - ми можемо класифікувати шум
створюваний принтером як переривчастий.
Відповідно до СН 3223-85 “Санітарні норми припустимих рівнів
шуму на робочих місцях" значення припустимої норми рівня звуку для
приміщень конструкторських бюро складає 50 дБА. Відповідно до технічної
документації на принтер (SHARP JX-9210), що знаходиться в оцінюваному
приміщенні, його максимальний рівень звуку складає 46 дБА.
Можна зробити висновок, що присутній у конструкторському
відділі шум не суперечить існуючим нормативам.
8.2.9 Оцінка рівня електромагнітного випромінювання в
приміщенні
Серед обчислювальної техніки, що знаходиться в приміщенні,
основним джерелом електромагнітного випромінювання є монітор комп'ютера,
сконструйований на підставі електронно-променевої трубки. Джерелами
електромагнітного випромінювання в моніторі є лінії джерела живлення (частота
поля 50 Гц), система рядкового розгорнення (2-400 кГц), блок модуляції променя
ЕПТ (5-10 МГц).
Використовуваний у приміщенні монітор має маркірування Low
Radiation (низьке випромінювання). На моніторах такого типу встановлений
захист діючий по методу замкнутого металевого екрана. Цей захист реалізується
шляхом створення додаткового металевого внутрішнього корпуса, що замикається на
убудований захисний екран. У результаті таких заходів електричне й
електростатичне поле знижується до фонових значень уже на відстані 5-7 см від
корпуса, а разом із системою компенсації магнітного поля така конструкція
забезпечує максимальну безпеку для користувача.
Це значить можна дати позитивну оцінку безпеки, що існує в
приміщенні, у відношенні щодо електромагнітних випромінювань.
Висновки до розділу 8:
Можна зробити висновок, що розробляє мий прилад після
проведення описаних вище дій буде цілком задовольняти вимогам техніки безпеки та
охорони праці.
РОЗДІЛ 9. ТЕХНОЛОГІЧНА ЧАСТИНА
Вступ
Досконалість конструкцій оптичних приладів характеризується
їхньою відповідністю своєму функціональному призначенню, зручністю, надійністю
та економічністю роботи, а також тим, якою мірою враховані і використані
можливості найбільш прогресивних методів і засобів їхнього виготовлення і
контролю.
Узагальненим критерієм технологічності конструкції є її
економічна доцільність при заданій якості і прийнятих умовах виробництва,
експлуатації і ремонту.
При такій оцінці необхідно розглядати також фактори, що
визначають технологічність конструкції.
У технологічній частині приводиться розрахунок основних
показників технологічності виготовлення та складання оптичного блоку, розробка
схеми складального складу і технологічної схеми складання даного вузла.
Технологічністю конструкції називається така властивість
окремих деталей, складальних одиниць і приладів в цілому, при якій для даних
умов, даного масштабу випуску і даних технічних вимог до приладу забезпечується
найбільш швидке та економічне освоєння його виробництва, а також найбільш
раціональне його виготовлення.
Конструкція буде технологічною, якщо вона володіє:
найменшою трудомісткістю й найкоротшим виробничим циклом;
найбільшою уніфікацією та нормалізацією складальних одиниць і
деталей;
широкою можливістю застосування найбільш простих і
раціональних операцій, а також можливістю автоматизації складання при найменшій
кількості матеріалів та обладнання.
Для всіх виробів при відпрацюванні конструкції на технологічність
ставляться наступні вимоги:
зниження трудомісткості виготовлення;
використання уніфікованих елементів конструкцій деталей;
можливість застосування типових технологічних процесів.
До складальних одиниць завданнями відпрацювання на
технологічність є:
забезпечення технологічності принципової і конструктивної
схем складальної одиниці;
забезпечення технологічної компоновки складальної одиниці.
.1 Оцінка рівня технологічності конструкції
.1.1 Визначення основних показників технологічності
Абсолютний техніко-економічний показник трудомісткості
виготовлення Тв виражається сумою нормо-годин, витрачених на
виготовлення виробу:
(9.1.1),
де Ті - трудомісткість виготовлення та випробувань
-ї складової виробу в нормо-годинах.
У складальну одиницю розроблюваного вузла входить 19 деталей. На їх
виготовлення витрачено:
(норм-годин).
Рівень технологічності конструкції
. визначається відношенням досягнутої
трудомісткості виробу
до базового показника трудомісткості виготовлення Тб.в.=175:ооо
(9.1.2)
Технологічна собівартість
визначається як сума витрат на
одиницю виробу:
Ст=См+Сз+Сц.в,(9.1.3)
де См - вартість матеріалів, витрачених на
виготовлення виробу;
Сз - заробітна плата виробничих робочих з
нарахуваннями;
Сц.в - цехові витрати на електроенергію, що
споживається обладнанням, ремонт та амортизацію обладнання, інструменту та
пристроїв, на змащувальні, охолоджуючі, обтиральні та інші матеріали.
За кошторисом витрат:
См= 9124; Сз= 21845; Сц.в=
1541.
Тоді
9124+21845+1541=32510 грн.
Рівень технологічності конструкції за технологічною
собівартістю Кр.с. визначається відношенням досягнутої собівартості
виробу
до технологічної собівартості
базового виробу
:
(9.1.4)
9.1.2 Техніко-економічні показники трудомісткості
Відносна трудомісткість заготівельних робіт
дорівнює відношенню трудомісткості
виготовлення усіх видів заготовок
до загальної трудомісткості
виготовлення виробу
:
(9.1.5)
Відносна трудомісткість виду процесу виготовлення
визначається як відношення
трудомісткості окремого процесу виготовлення
до загальної трудомісткості:
(9.1.6)
Відносна трудомісткість підготовки до функціонування
визначається відношенням
трудомісткості підготовки виробу для функціонування
до трудомісткості виготовлення:
(9.1.7)
Питома трудомісткість виготовлення виробу
визначається відношенням
трудомісткості виготовлення до номінального значення основного технологічного
параметру Р виробу (Р=8):
(9.1.8)
Цей показник є зручною характеристикою для порівняльної
оцінки виробу:
(9.1.9)
9.1.3 Техніко-економічний показник собівартості
Відносна собівартість підготовки виробу до функціонування
дорівнює відношенню собівартості
підготовки до функціонування та собівартості виготовлення:
(9.1.10)
Питома технологічна собівартість
визначається відношенням
технологічної собівартості до номінального значення основного параметру виробу:
(9.1.11)
Питома собівартість підготовки виробу до функціонування Сп.п.ф.
дорівнює відношенню собівартості підготовки функціонування Сп.фдо
номінального значення основного технічного параметра виробу:
(9.1.12)
Питома собівартість виготовлення Ст.в.
визначається відношенням собівартості виготовлення до номінального значення
основного технічного параметру Р:
(9.1.13)
9.1.4 Технічні показники уніфікації конструкції
Коефіцієнт уніфікації виробу Ку визначається
формулою:
(9.1.14)
де Eу - кількість уніфікованих складальних одиниць
у виробі; Ду- кількість уніфікованих деталей; Е - загальна кількість
складальних одиниць у виробі; Д - загальна кількість деталей.
Визначимо коефіцієнт стандартизації виробу Кст.:
(9.1.15)
де Ест- кількість стандартизованих складальних
одиниць у виробі; Дст - кількість стандартизованих деталей.
Коефіцієнт повторюваності Кпов визначимо за
формулою:
(9.1.16)
де Q- кількість найменувань складових частин.
9.1.5 Технологічні показники витрат матеріалу
Питома матеріаломісткість виробу Кп.м.
визначається відношенням маси конструкції виробу до номінального значення
основного технічного параметру виробу (продуктивність, потужність і т.п.):
(9.1.17)
Коефіцієнт використання матеріалу Кв.м.характеризує
використання конструкційних матеріалів при виготовленні виробу:
(9.1.18)
де Мм - маса матеріалу, витраченого на
виготовлення складової частини виробу.
Коефіцієнт застосування матеріалу Кз.м.визначається
відношенням сумарної маси даного матеріалу у виробі до загальної маси
конструкції виробу:
(9.1.19)
9.1.6 Технологічні показники обробки
Коефіцієнт точності обробки Кт.о визначимо по
формулі:
(9.1.20)
Визначимо коефіцієнт шороховатості Кш по формулі:
(9.1.21)
де Бср - середній умовний показник шороховатості;
Б - умовний показник шороховатості, що визначається в таблиці 9.1; niш
- кількість поверхонь відповідного параметра шороховатості.
Таблиця
9.1
Умовний показник шероховатості (Б)
|
Параметри Шорстк.
|
Rz
|
320
|
160
|
80
|
40
|
20
|
|
|
|
|
|
|
|
0.1
|
0.005
|
|
Ro
|
|
|
|
|
|
2.5
|
1.25
|
0.63
|
0.32
|
0.16
|
0.08
|
0.04
|
|
|
|
Умовн. Показник шорстк.
|
ni
|
1
|
2
|
3
|
4
|
5
|
6
|
7
|
8
|
9
|
10
|
11
|
12
|
13
|
14
|
Для нашого виробу n8=4, n9=8, n14=2,
n6=4
9.1.7 Комплексний показник технологічності
Комплексні показники технологічності конструкції на відміну
від окремих характеризують не на окремі ознаки технологічності, а визначену
групу ознак технологічності конструкції виробу. Технологічність конструкції
виробу може характеризуватись одним комплексним показником або декількома
узагальнюючими групами окремих показників, або виражаючими різні види технологічності
конструкції виробу.
Комплексний показник технологічності, що виражений середнім
арифметичним або середнім зваженим, з врахуванням економічної еквівалентності
прийнятих окремих показників і відповідаючи вимогам наочності виразу
технологічності виробу, визначається по формулі:
(9.1.22)
де К - комплексний показник технологічності; Кi -
часний показник технологічності; КiE- коефіцієнт економічної
еквівалентності і-го часного показника.
.
Розраховані показники задовольняють поставленій задачі, тому
можна дати рекомендації щодо організації серійного виробництва.
9.2 Технологічна підготовка складальних робіт вузла приладу
.2 Аналіз то опис конструкції складальної одиниці
По кресленню загального виду зробимо опис конструкції
складальної одиниці в якості якої взято первинний вузол ДВЗЯ (див. рис. 2.3).
Первинний вузол ДВЗЯ призначений для створення рівномірного
по вихідній апертурі яскравісного поля та передачі його до вторинної сфери,
регулюючи його інтенсивність калібруючою діафрагмою.
Спочатку складається вузол діафрагми. Корпус діафрагми
кріпиться до верхньої півсфери вторинної сфери гвинтами 12. Кріплення 4
нагвинчується на направляючий вал 1 до вказаних міток. Пластина 8 кріпиться до
кріплень 4 гвинтами 11. Зібраний механізм встановлюється в корпус діафрагми 8,
та накривається кришкою 5, що кріпиться до корпусу діафрагми 2 гвинтами 15. До
корпусу 2 гвинтами 14 кріпляться крокові двигуни.
Вузол первинної сфери складається з верхньої півсфери 6 та
нижньої півсфери 7, що з’єднані між собою гвинтами 14. Вузол первинної сфери
закріпляється на вузлі діафрагми гвинтами 14.
Вузол освітлювача складається з корпусу освітлювача 3 на який
з натягом встановлюється ущільнювач 10 та патрон GY 6.35 19, в який попередньо
встановлено галогенну лампу PhilipsMasterCAPS 18. Вузли освітлювачів кріпляться
до вузла первинної сфери гвинтами 13.
Як видно з аналізу конструкції складність складання є малою,
а для складання необхідне стандартне обладнання і інструмент.
9.2.2 Оцінка рівня технологічності конструкції вузла приладу
Під технологічністю конструкції складальної одиниці розуміють
її властивість, що дозволяє провести виготовлення даного виробу найбільш
швидко, просто, з застосуванням найбільш простих, економічних й прогресивних
методів виготовлення та складання. Технологічність конструкції та її окремих
елементів необхідно розглядати як функції масштабу випуску на даний виріб,
рівня серійності в умовах визначеного виробництва з врахуванням його особливостей.
Показник уніфікації конструкції визначається коефіцієнтом
уніфікації
(9.2.1)
де Ny, ny - число уніфікованих
складальних одиниць та деталей в аналізуємій конструкції ;N, n - число всіх
складальних одиниць в виробі та всіх деталей в ньому. Таким чином маємо:
Так як Кy=0,25..0,5то вважають, що технологічність
виробу задовільна.
Коефіцієнт
уніфікації складальних одиниць у виробі
(9.2.2)
Так як
, то технологічність виробу висока
Коефіцієнт
уніфікації деталей виробу
(9.2.3)
В нашому випадку Кy=0,3..0,6 - технологічність
незадовільна.
Показник складності конструкції визначається коефіцієнтом
складності конструкції, враховуючи рівень умовного розподілу всієї конструкції
виробу на окремі елементи - складальні одиниці в виробі N та число всіх деталей
n у виробі
(9.2.4)
КСБ < 0,4 - технологічність виробу задовільна.
По результатах розрахунків показників уніфікації та
складності конструкції можна зробити висновок що технологічність виробу
задовільна.
.2.3 Побудова схеми складального складу
На основі аналізу конструкторської документації створюється
схема складального складу. На рис.2.1 приведена схема складального складу
первинного Вузла ДВЗЯ. Схема складального складу використовується для аналізу і
синтезу приладу та процесу складання. Під аналізом варто розуміти міру
розчленовування приладу в процесі зборки. Під синтезом приладу і складального
процесу розуміється прийняття правил побудови приладу з його елементами і
складальним процесом з його операціями і їхніми частинами.
Деталі і складальні одиниці в схемі виконуються у виді
прямокутників, розділених на 3 частині. У першій частині прямокутника
проставляються номер позиції деталі відповідно до специфікації, у другий - її
найменування, у третій - кількість деталей даного найменування. На схемі
складального складу можуть бути зазначені джерела надходження елементів,
терміни готовності різних операцій складання і приладу в цілому. Схему можна
використовувати як диспетчерський документ, за яким зручно стежити за процесом
виробництва і вживати заходів, якщо готовність тих чи інших елементів не
відповідає графіку. У той самий час схема складального складу не дає
представлення про послідовність складання і спосіб забезпечення з'єднань.
Схема складального складу - відправний документ для вірного
проектування технологічної схеми складання і всього технологічного процесу
складання.
Рис.9.1 - Схема складального складу ПВ ДВЗЯ
9.2.4 Розробка технологічної схеми складання
Послідовність складання, способи забезпечення з'єднань,
періодичність і зміст процесу регулювання, іспитів і контролю визначає технологічна
схема складання. На рис.2.2 приведена технологічна схема складання вузла
оптичного блоку. Деталі і складальні одиниці в схемі виконуються у виді
прямокутників, розділених на три частини. У першій частині прямокутника
проставляється номер позиції деталі відповідно до специфікації, у другий - її
найменування, у третій - кількість деталей даного найменування, що
використовуються при складанні в цьому переході.
Верхня горизонтальна лінія - є загальне складання виробу,
вертикальні лінії та інші нижні горизонтальні - вузлові складання. Кожне
складання розглядається по відповідній лінії зліва направо, куди знизу
подаються в відповідні вузли збірні елементи більш низького порядку, а зверху -
стандартні та нормалізовані деталі і матеріали, запис основних необхідних
методів отримання з’єднань, місця необхідного контролю ходу складального
процесу.
Основні деталі і складальні одиниці зображуються на схемі
ліворуч від лінії зборки по ходу його складання. Також ліворуч від лінії
складання по його напрямку на виносних лініях роблять технологічні написи,
обумовлені в технологічних вимогах на складання, і додаткові технологічні
деталі, що застосовуються при зборці складальної одиниці і приладу в цілому.
Схема складання сприяє аналізу конструкції приладу, дозволяє
вносити такі зміни в конструкцію приладу, які спрощують технологічний процес.
Технологічна схема складання є основним документом, що фіксує технологічний
процес складання.
Рис.9.2 - Технологічна схема складання ПВ ДВЗЯ
.3 Розрахунок точності складальних робіт
Точність виконання складальних робіт має визначальне значення
для формування точності виготовлених приладів.
До приладів пред'являються визначені вимоги щодо точності
показань чи до вихідних показань при заданих умовах експлуатації. При цьому
повинна забезпечуватися надійність роботи і потрібний термін служби. Усі ці
вимоги забезпечуються правильним і обґрунтованим вибором принципової схеми
приладу і його конструкції, а також технологією виготовлення деталей і
складання приладу. Однієї з основних вимог технологічності конструкції приладу
при виконанні зборки в серійному виробництві є взаємозамінність складальних
одиниць і деталей.
У процесі виготовлення приладів неминучі погрішності у
виготовленні деталей. Тому вихідні параметри складальних одиниць відрізняються
від номінальних значень. З огляду на вплив на вихідні параметри складальних
одиниць або прилад - це означає зробити розрахунок геометричної точності і
розрахунок приладу на фізичну взаємозамінність.
Перша оцінює точність спряження елементів у кінематичних
ланцюгах приладу і відповідає за точність дотримання зазорів, натягів,
взаємного розміщення поверхонь або осей окремих елементів складання. В основі
другої лежить точність вихідного фізичного параметра: механічних, фізичних і
інших величин.
Потрібна точність складання (геометрична точність) може
забезпечуватися різними методами в залежності від необхідності точності і
програми випуску. У приладобудуванні застосовують два методи забезпечення
точності:
метод повної взаємозамінності;
метод неповної взаємозамінності.
Розрахунок геометричної точності зводиться до розрахунку
розмірного ланцюга. Перед розрахунком ланцюга іде складання конструктивної
схеми виробу (рис.2.3) і його складових частин по складальних кресленнях, по
яких збирається розмірний ланцюг. За ГОСТ 16319-80 розрізняють пряму і зворотну
задачу розрахунку розмірного ланцюга.
Для рішення прямої задачі по допуску і замикаючому ланцюгу
(розміру) необхідно визначити допуски і відхилення на усі ланки, що складають розмірний
ланцюг.
Найбільш типовим у технологічній практиці є рішення зворотної
задачі. У цьому випадку визначається розмір значення, що замикає по відомих
розмірах розмірний ланцюг (рис.2. 4).
У процесі виробництва приладів неминучі погрішності у
виготовленні деталей і складальних одиниць, тому вихідні параметри складальних
одиниць і приладів відрізняються від номінальних значень. В таблиці 2.2
наведені номінальні значення складальних ланок розмірного ланцюга та їх
допустимі відхилення.
Рис. 9.3 - Ескіз первинного вузла ДВЗЯ
- вал направляючий; 2- корпус діафрагми; 3-корпус
освітлювача, 4-кріплення; 5-кришка, 6-півсфера верхня,7- півсфера нижня;
8-пластина; 9-верхня півсфера вторинної сфери, 10-ущільнювач; 11-гвинт М1х2 ГОСТ
1491-80; 12- гвинт М1х3 ГОСТ 1491-80; 13- гвинт М1х4 ГОСТ 1491-801; 14- гвинт
М1.6х6 ГОСТ 17475-80; 15- гвинт М1х4 ГОСТ 17475-80, 16- двигун кроковий,
17-дріт, 18-лампа галогенна, 19- патрон GY 6.5
Таблиця
9.2
Номінальні значення складальних ланок розмірного ланцюга та
їх допустимі відхилення.
|
Ланка
|
Номінальний розмір
|
Припустиме відхилення
|
|
l1
|
2
|
±0,01
|
|
l2
|
5
|
-0,03
|
|
l3
|
2
|
-0,01
|
|
l4
|
1.4
|
-0,006
|
|
l5
|
2
|
-0,01
|
|
l6
|
5.4
|
±0,034
|
Розв’яжемо обернену задачу, яка зводиться до знаходження
номінального розміру та допуску замикаючої ланки. У цьому розмірному ланцюзі
ланка L2 та L6, збільшуючі, а L1, L3, L4,L5,
зменшуючі.
Так як всі ланки розмірного ланцюга паралельні, то номінальні
розміри замикаючої ланки:
мм.
Знайдемо допуск замикаючої ланки у випадку повної
взаємозамінності:
Координати середини поля допуску замикаючої ланки:
Верхнє та нижнє відхилення розміру замикаючої ланки:
Таким чином, у випадку повної взаємозамінності замикаюча
ланка Lзам дорівнює:
9.4 Розробка технологічного процесу виготовлення оптичної
деталі
.4.1 Визначення типу виробництва
Тип виробництва по ГОСТ 3.1107-84 характеризується
коефіцієнтом закріплення операцій Кз.о., який є відношенням всіх
різноманітних технологічних операцій, що виконуються на одному робочому місці:
(9.4.1)
де
- сумарне число різноманітних операцій;Рм - явочне
число робочих місць, на яких виконуються дані операції.
Тип виробництва - серійне,
=25. Серійне виробництво
характеризується:
1. Число операцій більше ніж робочих місць (тобто на кожному
робочому місці виконується кілька операцій).
2. Використання як універсального так і нормованого
устаткування, інструмента, що ріже і вимірює; робочу силу як високої так
низької кваліфікаціїї.
3. Заготовки виготовляють литтям у кокіль, під тиском
гарячим та холодним штампуванням, при цьому технологічний процес розробляють
докладно, а нормування частково розраховують.
9.4.2 Розрахунок припусків
Вибір оптимальних припусків має велике техніко-економічне
значення при проектуванні технологічних процесів, так як завищення припусків
зводить до перевитрат матеріалів, інструментів, збільшення трудомісткості і
собівартості виготовлення деталей. Занижені припуски збільшують матеріальний
брак, потребують підвищеної точності установки заготівок на пристосуваннях
тощо.
Припуск zt на товщину по осі заготівки лінз та
пластин встановлюють від верхньої межі допуску на розмір готової деталі.
Величину zt, яка лежить в межах від 1,8 до 8,0 мм. призначають в
залежності від діаметра Do круглих або найбільшої сторони некруглих
пластин:
мм. (9.4.2)
мм
Допуск zdна діаметр встановлюють від номінального
розміру готової деталі - від 1,5 до 12 мм. Призначають zdтак само,
як і допуск на товщину по осі, в залежності від діаметра деталі. При товщині
краю більше 0,3 мм:
мм(9.4.3)
мм
Допуски на радіуси кривизни Rз сферичних поверхонь
пресованих заготівок розраховуватись не будуть, так як деталь не буде мати
сферичних поверхонь.
Номінальні розміри заготовок - товщину, діаметр, довжину,
ширину - визначають з врахуванням відповідного номінального розміру готової
деталі, поля допуску на даний розмір заготовок, виготовлених методом
пресування.
9.4.3 Розробка ескізу заготовки
Ескіз заготовки виконується згідно з розрахованими допусками
на товщину, діаметр і радіус кривизни. Ескіз заготовки та креслення деталі
приведенні в додатку 2.1.
9.4.4 Складання схеми маршруту технологічного процесу
Одним з основних етапів при проектуванні технологічного
процесу є розробка схеми маршруту, який являє собою перелік операцій в порядку
їхнього виконання. При встановленні послідовності операцій необхідно керуватися
наступними загальними принципами:
· операції, що передують, не повинні ускладнювати
виконання наступних операцій і в наступних операціях точність обробки повинна
зростати;
· при точній обробці розбивка процесу
на операції диктується режимами обробки, при чому час, що витрачається на
виконання кожної операції, повинен бути рівним чи кратним;
· операції, на яких можливий брак,
виконується операція контролю.
Маршрутний технологічний процес оформлюється в маршрутні
карти згідно ГОСТ 3.1105-74. Операції позначаються римськими цифрами, переходи
- арабськими цифрами, установи - прописними літерами української абетки.
Автоматизовані операції позначаються арабськими цифрами. На рис.2.5 Нижче
наведено схему маршруту технологічного процесу виготовлення оптичної деталі -
сфітлофільтра.
9.4.5 Проектування операційних карт технологічного процесу
виготовлення оптичної деталі
Операційна технологічна карта являє собою детальну розробку
кожної технологічної операції, з урахуванням її елементів згідно технологічної
схеми складу. Операційний технологічний процес подається у вигляді
послідовності переходів, потім записується об’єкт роботи (базова деталь чи
деталь, яка була раніше приєднана до базової деталі). Операційний технологічний
процес виготовлення сфітлофільтра наведений в операційній карті у додатку 2.2.
Схема маршруту технологічного процесу виготовлення
сфітлофільтра
Наведена в додатку 2.3.
Висновок
до розділу 9:
У технологічній частині зроблений розрахунок основних
показників технологічності, техніко-економічних показників, технологічних
показників витрат матеріалів, показників уніфікації конструкції. Також
проведений розрахунок виготовлення та складання оптичного блоку, показників
точності складання, розроблена схема складального складу і технологічна схеми
складання даного вузла, розраховані допуски на розміри заготівки оптичного
компонента, а також розроблений маршрут технологічного процесу виготовлення
світлофільтра.
За розрахунками був визначений тип виробництва світлофільтра
- серійний.
ЗАГАЛЬНИЙ ВИСНОВОК
На протязі виконання дипломного проекту було науково
обґрунтовано і розроблено оригінальний дифузний випромінювач змінної яскравості
для використання в системах радіометричного калібрування прецизійних ЦВС. За
рахунок великого числа первинних випромінювачів у вигляді інтегруючих сфер,
зв'язаних з вторинною сферою через калібрувальні діафрагми змінного перерізу і
винесення джерел випромінювання з вторинної сфери, яка безпосередньо формує
вихідне яскравісне поле, вдалося підвищити максимальну яскравість вихідної
апертури, зменшити її неоднорідність і розширити динамічний діапазон до
значення 105…106без зменшення спектрального складу
випромінювання.
Отримані аналітичні вирази, що описують енергетичні і
метрологічні характеристики ДВЗЯ і дозволяють проектувати СРК із заданими
параметрами. Встановлений обмін потоків випромінювання між первинними і
вторинними сферами. Показано, що в результаті цього обміну вихідна яскравість
підвищується на 10...15%.
В результаті енергетичного аналізу показано, що для
поліпшення енергетичних характеристик ДВЗЯ в першу чергу необхідно збільшувати
кількість первинних випромінювань(рекомендовані значення N1=5...7),
витримка відношення площі калібруючих діафрагм і площі вихідної апертури в
межах 0.55...0.75 і застосовувати високовідбиваючі покриття на основі
політетрафторотилена з коефіцієнтом відображення більше 0.99.
В результаті метрологічного аналізу ДВЗЯ встановлене, що
найбільший вклад в погрішність установки вихідної яскравості вносять коливання
відбиваючих властивостей покриттів інтегруючих сфер, нестабільності джерел
випромінювання і зміни геометричних параметрів калібрувальних діафрагм і
вихідної апертури. Отримані аналітичні вирази, що описують ці погрішності, і
запропоновані конструктивні заходи по їх зменшенню до 0.1...0.2.
В цілому дипломний проект можна вважати успішним, так як
вимоги технічного завдання задовільнені, робота виконана в повному обсязі, та
отримані корисні результати, які послугують гарним ґрунтом для подальших
розробок та досліджень.
ПЕРЕЛІК ВИКОРИСТАНИХ ДЖЕРЕЛ
1. Характеристики
ГЛ [1]. - каталог
2. Вікіпедия,
стаття про класифікацію ГЛ
. Конспект
ОЕП, Коваль С.Т., 2008
. Каталог
ламп КГМ
. Михеенко
Л.А., Боровицкий В.Н., «Излучатель переменной яркости на основе сопряженных
интегрирующих сфер» // Технология и конструирование в электронной аппаратуре,
2006, №6, с. 61-64.
. Міхєєнко
Л.А., Гордієнко Ю.О., «Метрологічний аналіз дифузного випромінювача змінної
яскравості на основі спряжених інтегруючих сфер» // Приладобудування та
інформаційно-вимірювальна техніка, 2009, 5, с. 88-95.
. Міхеєнко
Л.А., Гордієнко Ю.О., «Дифузний випромінювач змінної яскравості на основі
сполучених інтегруючих сфер» // Оптико-електронні інформаційно-енергетичні
технології, 2010, 1, с. 160 - 173.
. Гуревич
М.М., Фотометрия (Теория, методы и приборы). - Л.: Энергоатомиздат, 1984. - 184
с.
. Конспект
лекцій з конструювання ОЕП, Михеенко Л.А. 2007
10. Павлов
С.П., Губонина З.И. Охрана труда в приборостроении: Учеб. для приборостроит.
спец. Вузов / Под ред. А.Г. Алексаняна. Г.: Высш. шк., 1986. 215 с.
11. Методические
указания к лабораторным работам «Исследование освещения» для студентов всех
специальностей / Сост. Ю.К. Френзе, М.Я. Подколзин, Г.В.Сабарно, Н.И.
Чаповский. Киев: КПИ, 1988. 48 с.