Генератор цифровых тестовых сигналов
Міністерство освіти і науки україни
Національний авіаційний університет
ДИПЛОМНА
РОБОТА
(пояснювальна записка)
Київ
2008
Пояснительная записка к дипломной работе "Генератор цифровых
тестовых сигналов": 105 страниц, 46 рисунков, 35 формул, 12 использованных
источников.
ГЕНЕРАТОР, ЦИФРОВОЙ, СИГНАЛ, ИЗМЕРЕНИЯ, СХЕМА
Цель дипломной работы - разработка генератора цифровых тестовых сигналов.
Метод исследования - проведение расчетов и построение узлов
разрабатываемого устройства. Учитывались основные параметры, влияющие на работу
генератора.
Материалы дипломной работы рекомендуется использовать при проведении
научных исследований, в учебном процессе и практической деятельности
специалистов соответствующих области науки и техники.
СОДЕРЖАНИЕ
Перечень
сокращений
Введение
РАЗДЕЛ 1.
Классификация цифровых приборов
.1
Тест-генератор TR-0836/Т046
.2
Программно-управляемый функциональный генератор
.3 Простой
генератор испытательных телевизионных сигналов
РАЗДЕЛ 2. Модели
цифровых сигналов
.1.1 Основные
понятия частотного представления сигнала
.1.2 Связь
между скоростью передачи данных и шириной полосы
.2 Цифровая
обработка сигналов
.2.1
Медианная фильтрация сигналов
.3 Модуляция
и управление информационными параметрами сигналов
.3.1 Классификация
сигналов и методов модуляции
.3.2 Методы
амплитудной, фазовой и частотной модуляции
.3.3 Цифровые
методы модуляции
.4 Методика
измерения характеристики преобразования АЦП
.4.1 Описание
методики
РАЗДЕЛ 3.
Разработка генератора тестовых сигналов
.1 Разработка
структурной схемы устройства
.2 Разработка
функциональной схемы устройства
.3 Разработка
принципиальной схемы устройства
.3.1
Проектирование схемы детектора фронтов
.3.2
Генератор тактовых импульсов
.3.3 Схема
подсчета тактовых импульсов
.3.4 Схема
преобразования параллельного кода в последовательный
.3.5 Схема
управления
РАЗДЕЛ 4.
Охрана труда
РАЗДЕЛ5. Охрана окружающей среды
ПЕРЕЧЕНЬ СОКРАЩЕНИЙ
ПК - персональный компьютер
АЦП - аналого-цифровой преобразователь
ЦИ - цифровая индикация
УУ - устройство управления
ЦАП - цифро-аналоговый преобразователь
ТИС - телевизионный испытательный сигнал
КГ - кварцевый генератор
ДЧ - делитель частоты
АМ - амплитудная модуляция
ФМ - фазовая модуляция
ЧМ - частотная модуляция
УВЧ - усилитель высокой частоты
УПЧ - усилитель промежуточной частоты
УНЧ - усилитель низкой частоты
ИКМ - импульсно-кодовая модуляция
ТГ - тактовый генератор
ВВЕДЕНИЕ
Ускорение научно-технического прогресса, развитие автоматизации процессов
производства требует постоянного совершенствования систем сбора и переработки
информации. Наиболее успешно это решается при выполнении операций с величинами,
представленными в дискретном (цифровом) виде.
К основным преимуществам обработки дискретной информации следует отнести
высокую точность, большое быстродействие и хорошую помехозащищенность, в чем
немалую роль сыграл опыт разработки средств цифровой вычислительной техники.
Последнее относится не только к результатам, полученным на выходе цифровых
приборов, но и ко многим узлам собственно аналого-цифровых преобразователей
(АЦП), представляющих типичные элементы и устройства ПК.
Следует отметить также и то, что в настоящее время в связи со снижением
стоимости элементов и узлов цифровой и вычислительной техники наметилась
тенденция ещё более широкого введения этих элементов в состав измерительных
устройств с цифровым выходом, вплоть до применения процессоров, устройств
отображения и т.п. Положительные свойства с многодекадным цифровым отсчетом
известны давно и в случаях, когда необходима высокая точность измерения при
большом линейном диапазоне, применялись приборы подобного типа (например, мосты
и компенсаторы постоянного тока). При этом, однако, логические операции в
измерительном процессе выполнялись оператором.
Современные цифровые приборы отличаются большой степенью автоматизации
измерительного процесса, высоким быстродействием и удобством передачи
результатов измерения на расстоянии, что особенно важно при непосредственной
передаче информации в ПК, работающие в режиме реального масштаба времени, например,
в системе автоматического управления технологическим процессом. Автоматические
цифровые приборы также широко применяют при выполнении лабораторных и цеховых
измерений с участием оператора; при этом повышается удобство и
производительность измерений, а также исключается субъективная погрешность
отсчета, связанная с использованием стрелочных приборов.
В настоящее время наиболее распространены цифровые приборы для измерения
таких электрических величин, как напряжение, ток, сопротивление, частота, фаза,
период, длительность импульсов и т.д. В данной дипломной работе основное
внимание уделено наиболее проверенным вариантом электронных цифровых приборов,
выпускающимся серийно или отвечающим требованиям к серийному выпуску. К
подобным требованиям, в первую очередь, относится отсутствие в составе
комплектующих изделий элементов, требующих индивидуального подбора,
технологичность конструкции, удобство эксплуатации.
При проведении различного рода испытаний, измерениях режимов работы
электронных схем, а также градуировке измерительных приборов требуются
источники электрических сигналов, способные вырабатывать колебания различных
частот и форм. Такие источники относятся к генераторам электрических колебаний
или, упрощенно, генераторам сигналов. Если генераторы сигналов обладают
возможностью точной установки и регулировки в широких пределах выходных
параметров, а также высокой стабильностью во времени и при воздействии внешних
дестабилизирующих факторов, их относят к измерительным генераторам.
Среди измерительных генераторов различают генераторы гармонических и
импульсных сигналов, сигналов специальной формы, т.е. формы, отличающейся от
прямоугольной (пилообразной, трапецеидальной, треугольной и т.п.), качающейся
частоты и ряд других. По виду модуляции выделяют генераторы с амплитудной,
частотной, импульсной, комбинированной, различными видами манипуляций и прочее.
Измерительные генераторы импульсных сигналов разделяют на генераторы
одиночных импульсов и непрерывных последовательностей, парных импульсов и
импульсов, представляющих кодовые группы.
Наряду с измерительными генераторами, генераторы сигналов как отдельные
функциональные узлы используются в схемотехнике радиопередающих и приемных
устройств, в аппаратуре вычислительной, медицинской, бытовой техники, в
устройствах автоматики, телемеханики и многих других областях.
Такое многообразие сфер применения обусловило необходимость создания
универсальных источников сигналов, т.е. сигналов не только синусоидальной, но и
ряда других форм: меандра, треугольной и т.п. Эти источники относят к
генераторам специальной формы или, как их еще называют, функциональным
генераторам. Однако многофункциональность предусматривает и необходимость
наличия достаточно большого количества элементов регулировки и управления
генератором, что значительно усложняет его эксплуатацию. Поэтому разработчики
следуют по пути программного управления функциями прибора посредством
микропроцессорной системы.
Среди измерительных генераторов различают генераторы гармонических и
импульсных сигналов, сигналов специальной формы, т.е. формы, отличающейся от
прямоугольной (пилообразной, трапецеидальной, треугольной и т.п.), качающейся
частоты и ряд других. По виду модуляции выделяют генераторы с амплитудной,
частотной, импульсной, комбинированной, различными видами манипуляций и прочее.
Измерительные генераторы импульсных сигналов разделяют на генераторы
одиночных импульсов и непрерывных последовательностей, парных импульсов и
импульсов, представляющих кодовые группы.
Наряду с измерительными генераторами, генераторы сигналов как отдельные
функциональные узлы используются в схемотехнике радиопередающих и приемных
устройств, в аппаратуре вычислительной, медицинской, бытовой техники, в
устройствах автоматики, телемеханики и многих других областях.
Такое многообразие сфер применения обусловило необходимость создания
универсальных источников сигналов, т.е. сигналов не только синусоидальной, но и
ряда других форм: меандра, треугольной и т.п. Эти источники относят к
генераторам специальной формы или, как их еще называют, функциональным
генераторам. Однако многофункциональность предусматривает и необходимость
наличия достаточно большого количества элементов регулировки и управления
генератором, что значительно усложняет его эксплуатацию. Поэтому разработчики
следуют по пути программного управления функциями прибора посредством
микропроцессорной системы.
РАЗДЕЛ 1.
КЛАССИФИКАЦИЯ ЦИФРОВЫХ ПРИБОРОВ
Правильно составленная классификация облегчает изучение тех или иных
предметов и, более того, в ряде случаев направляет исследователя на создание
новых устройств, свойства которых не были известны. К настоящему моменту
имеется значительное количество предложений по классификации цифровых приборов,
которые отражают разные этапы развития цифровой измерительной техники и
различный подход к выбору основных классификационных признаков. Рассматриваемая
классификация основана на некоторых признаках, представляющих интерес для
пользователя цифровых приборов, и охватывает практически все известные типы
электронных цифровых измерительных устройств.
Цифровой измерительный прибор состоит из АЦП и устройства цифровой
индикации УИ. Если нет необходимости в визуальном контроле результатов
измерения, АЦП применяют как самостоятельное устройство, обеспечивающее на
своем выходе выдачу результатов измерения в коде, удобном для ввода в ПК.
Назначение узлов АЦП следующее. Во входном преобразователе ПР1 аналоговая
величина преобразовывается из одного вида в другой (А1-А2); например, здесь
производится масштабирование входного сигнала, преобразование напряжения,
сопротивления, емкости и других величин в постоянное напряжение.
КАФЕДРА РЭ
В этом же узле осуществляется, как это требуется в некоторых типах АЦП,
предварительная дискретизация по времени, при которой с помощью специальных
схем выборки непрерывный сигнал превращается в последовательность импульсов,
величина которых соответствует уровню непрерывного сигнала в определенные
моменты времени. Собственно преобразование аналоговой величины в код (А2-К1)
выполняется преобразователем аналог-код ПР2. Однако, если на выходе этого
преобразователя код, например, отраженный неудобен для дальнейшего
использования, то в таком случае применяют дополнительный преобразователь ПР3,
который служит для получения кода К2; последний поступает на вход АЦП или на
УИ. Согласованную работу узлов обеспечивают сигналы устройства управления УУ. В
зависимости от назначения и принципа действия приборов иногда совмещают функции
отдельных узлов или исключают их. На основании особенностей работы узлов АЦП
выбраны следующие классификационные признаки.
Основную функцию АЦП выполняет преобразователь аналог-код; поэтому в
качестве первого классификационного признака выбран способ формирования
разрядов в процессе преобразования аналоговой величины в код. Наибольшее
распространение в АЦП получили временной и пространственный способы
формирования разрядов.
Аналого-цифровые преобразователи с пространственным способом формирования
разрядов позволяют определить все разряды кода одновременно. Цифровой код
передается по много проводной (по числу разрядов) линии связи. Кроме таких АЦП
поразрядного кодирования с параллельной (одновременной) отработкой разрядов к
данному типу преобразователей относят специальные АЦП пространственного
кодирования. Эти устройства содержат диск или маску с кодовым рисунком; дискриминаторы,
позволяющие установить в каждом из разрядов 1 или 0, и устройства считывания.
Кодовый рисунок на диске или маске соответствует выбранному коду.
Как правило, используют отраженный код, позволяющий снизить ошибку
неоднозначности до единицы младшего разряда, в то время как при позиционном
двоичном коде ошибка может достигать 50% максимального значения.
При временном способе разряды цифрового кода образуются последовательно
один за другим и в таком же порядке поступают по однопроводной линии в следующие
узлы прибора. К таким АЦП относят устройства с время - импульсным
преобразованием, в которых постоянное напряжение преобразуется в
пропорциональный ему временной интервал, а затем с помощью измерителя
интервалов в цифровой код, так что к моменту окончания временного интервала
завершается отработка последнего разряда; а также АЦП поразрядного кодирования
с последовательной отработкой разрядов.
В электромеханических АЦП маска или диск смещаются пропорционально
преобразуемой аналоговой величине относительно неподвижного устройства
считывания; в электронных - маска неподвижна, а плоский считывающий луч
электронно-лучевой трубки, смещается. Некоторое распространение получили
электромеханические АЦП, используемые в преобразователях угол-код. АЦП
пространственного кодирования, основанные на применении кодирующей
электронно-лучевой трубки, с помощью которых можно добиться высокого
быстродействия, из-за значительных трудностей при разработке узлов прибора
распространения не получили. Электронный вариант пространственного АЦП,
включающий 2n-1 схем сравнения, на выходы которых подается
исследуемое напряжение и напряжения от 2n-1 источников опорных
сигналов (делителей напряжения ), отличающихся от соседних по уровню на 1
квант, обеспечивает длительность преобразования, равную времени срабатывания
одной схемы сравнения и дешифратора.
При выборе прибора по способу формирования разрядов учитывают, что в
данном случае является более важным - экономия оборудования или выигрыш во
времени. Для решения компромисса между требованиями быстродействия и экономии
оборудования разработаны АЦП со смешанным пространственно-временным способом
формирования кода. При этом весь код делится на группы разрядов, которые
формируются одновременно с пространственным разделением; обработку групп
производят последовательно по определенному временному графику.
Вторым классификационным признаком, во многом определяющим структуру и
свойства АЦП, является тип выбранного кода.
Двоичный код применяют, как правило, в АЦП поразрядного кодирования с
временным разделением разрядов.
Единичный код (здесь имеется в виду та модификация единичного кода, когда
число представляется пакетом единиц, изолированных паузами) применяют в таких
широко распространенных АЦП с временным разделением разрядов, как время -импульсный
(где с помощью последовательности счетных импульсов измеряется временной
интервал) или частотно-импульсный (где аналоговая величина - частота,
представленный последовательностью импульсов - преобразуется в число при
прохождении на счетчик в течение калиброванного временного интервала).
Если единичный код применяют в АЦП с пространственным разделением
разрядов, то во всех каналах имеются независимые образцовые напряжения,
отличающиеся друг от друга на один квант, отработка всего кода осуществляется
без распространения от разряда к разряду.
Этот метод преобразования называют иногда методом считывания. Дальнейшее
преобразование единичного кода в код, удобный для наблюдения или обработки в
ПК, требует дополнительного оборудования.
Двоично-десятичный код используют в цифровых приборах с временным
разделением разрядов, где с помощью несложного дешифратора тетроды с двоичной
организацией достаточно просто обеспечивают отсчет в десятичном коде.
Отраженный код, чаще всего используют при пространственном разделении
разрядов, благодаря чему обеспечивается быстрое образование кода, что важно в
режиме сложения за непрерывно изменяющимся входным сигналом. Действительно, при
изменении входного сигнала на одну градацию в показании происходит замена
только в одном разряде и быстро - действие определяется задержкой в одном нуль
- органе.
Коды избыточностью например, двоичный с цифрами 1, 0, 1 и другие
специальные коды применяют иногда для уменьшения динамических погрешностей
из-за переходных процессов, защиты от одиночных сбоев в АЦП с временным
разделением разрядов.
В АЦП со смешанным пространственно-временным способом формирования
разрядов возможно одновременное использование различных кодов. Так, в
интегрирующих цифровых вольтметрах типа НР-3460 А и TR6567 отрабатывается код
двумя группами разрядов с помощью единичного кодирования, а связь между
группами выполняется с десятичным масштабированием. Существуют и другие
комбинации кодов в сочетании с временным и пространственным способами
разделения разрядов.
Третий классификационный признак связан с функцией входного
преобразователя аналоговых величин (ПР1); преобразуемая величина представляется
в следующие узлы АЦП своим мгновенным или интегральным значением.
Определение мгновенного значения сигнала связано с некоторым искажением
результата измерения вследствие ограниченности быстродействия АЦП и крутых
перепадов уровня сигнала. Для уменьшения искажения используют стробирующее
устройство - фиксатор, служащий для запоминания мгновенного значения сигнала и
привязки его к определенному моменту. Однако и в этом случае невозможно
избавится полностью от некоторого паразитного усреднения и погрешности
измерения, определяемой недостаточно совершенным и быстродействующим
фиксатором, а также характером сигнала.
В преобразователях интегральных значений на входной узел прибора ПР1
возлагают функции усреднения (выделения постоянной составляющей сигнала или
подавления помехи переменного тока), определения среднего, среднего
квадратического или амплитудного значения тока или напряжения,
преобразование активного или реактивного сопротивления в напряжение
постоянного тока и т.п.
Наконец, в зависимости от способа организации процесса преобразования,
который реализуется в УУ, различают АЦП циклического и следящего действия
(четвертый классификационный признак).
В приборах циклического действия отдельные этапы преобразования
выполняются по жесткой программе, например: сброс предыдущего показания,
включение входного сигнала или выборка его текущего значения, собственно
измерение или заполнение счетного узла, установка показаний в индикаторном
устройстве и выдача сигналов на регистратор или ПК. Частота повторений циклов
преобразования (частота дискретизаций) задается специальным синхронизатором,
имеющимся в приборе, или синхронизирующими сигналами, поступающими извне.
Снятие показания в приборах циклического действия допускается лишь во время
определенного такта, так называемого времени индикации. В приборах, имеющих
специальные регистры памяти в отсчетном устройстве, показания можно снимать в
любое время.
АЦП следящего действия переход к следующему преобразованию осуществляется
под воздействием сигналов, вырабатываемых при изменении параметров исследуемого
сигнала: уровня сигнала на величину, превышающую порог чувствительности
прибора; длительности периода на величину больше единицы квантования и др.
Показания прибора все время готовы к снятию и передаче в другие устройства
канала. Подобным свойством обладает также АЦП с пространственным разделением
разрядов, являющиеся модификацией следящих приборов. Здесь сложение идет за
всем уровнем сигнала; отдельный узел управления АЦП при этом не требуется.
Приборы следящего действия можно отнести к устройствам адаптивной
дискретизации, поскольку частота преобразований или частота корректирования
кода подстраивается по характеру сигнала. Принципиально адаптивную
дискретизацию можно реализовать и в приборах циклического действия. При этом,
например, частота повторения циклов устанавливается автоматически по данным
соседних измерений.
1.1 Тест-генератор TR-0836/Т046
Тест-генератор предназначен для контроля работоспособности и настройки
телевизионных приемников, мониторов, видеомагнитофонов и т. п.
Генератор позволяет контролировать прохождение видеосигнала от антенного
входа до кинескопа, производить статическое и динамическое сведение лучей
кинескопа, регулировать однородность первичных цветов кинескопа и линейность
изображения по вертикали и горизонтали и т. д.
Прибором можно оценить устойчивость работы узлов синхронизации кадровой и
строчной разверток, а также величину геометрических искажений растра.
Внешний вид генератора TR-0836/Т046 показан на рис. 1.1.
Тест-генератор вырабатывает сигналы:
· В системе PAL по стандартам - B, G, D, H;
· В системе SECAM по стандартам - B, G, D, K.
Типы сигналов:
· Шахматное поле;
· Сетчатое поле;
· Сетчатое поле с точками по растру;
· Черно-белый полукадр;
· Белое поле;
· Черное поле;
· Красное поле;
· Вертикальные цветные полосы в порядке убывания сигнала
(сигнал 1 и 2);
· Вертикальные цветные полосы по наибольшему изменению частоты,
для системы SECAM и наибольшему изменению фазы,
для системы PAL;
· Горизонтальные цветные полосы.
Рис. 1.1. Внешний вид генератора TR-0836/Т046
Видеовыход
Амплитуда выходного полного видеосигнала (черно-белого или цветного) в
положительной полярности равна 1 В на нагрузке 75Ом. Выход - открытый.
Номинальное значение амплитуды видеосигнала:
· Сигнала яркости - 0,7 В (70%);
· Синхросигнала - 0,3 В (-30%);
· Уровень "черного" (соответствует уровню гашения) -
0 В.
Высокочастотный выход
По высокочастотному выходу переключение осуществляется кодовым
переключателем, обеспечивающим 100 канальных частот, по диапазонам:
· ПЧ, МВ 1-2 диапазон - 38…94 МГц;
· МВ 3 диапазон - 170…230 МГц;
· ДМВ 4-5 диапазон - 470…860 МГц.
Коду 00 соответствует частота ПЧ - 38 МГц. Кодам 01…12 и 12…68
соответствует канальные частоты стандартов D и К. Кодам с 95 по 98
соответствуют целые значения частот, которые могут применятся в качестве меток,
в случае измерений с генератором качающейся частоты.
Генератор не содержит корректор группового времени запаздывания. Поэтому
при осциллографических измерениях, в случае наблюдения детектированного
сигнала, следует учитывать ошибку группового времени запаздывания, равную 90
нс.
Номинальное выходное сопротивление ВЧ-выхода - 75 Ом. Выход закрытый.
Номинальное выходное напряжение - 50 мВэфф на нагрузке 75 Ом при измерении в
пике синхроимпульсов.
Выходным аттенюатором напряжение плавно регулируется на 100 дБ.
Видеосигнал амплитудно-модулирован. Номинальная глубина модуляции - 70%. Нижняя
боковая полоса не подавлена. Соотношение несущих звука и изображения - 10: 1.
Частота несущей звука переключается в пределах 5,5…6,5 МГц. Модуляция
частотная при девиации частоты59 кГц. Частота модулирующего сигнала - 1 кГц.
Выходное напряжение несущей звука - 5 мВ.
Назначение тест-сигналов:
. Шахматное поле. 18 вертикальных и 14 горизонтальных полос. Используется
для:
· Регулировки размера и положения изображения;
· Исследования канала яркости;
· Проверки качества цветовой синхронизации.
. Сетчатое поле. 19 вертикальных и 15 горизонтальных линий. Сигнал
используется для:
· Контроля статического и динамического сведения лучей
кинескопа;
· Контроля линейности по строкам и по кадрам.
. Сетчатое поле с точками. 10 вертикальных и 8 горизонтальных линий с
точками в центре квадратов. Сигнал используется для контроля и регулировки
статического и динамического сведения лучей кинескопа.
. Черно-белый полукадр. Комбинация черно-белого перехода по строкам и
кадрам. Сигнал используется для:
· Исследования взаимного влияния каналов яркости и цветности;
· Контроля переходных процессов по строкам и кадрам;
· Установки центра изображения.
. Белое поле. 100% белого по всему растру. Сигнал используется для:
· Регулировки максимума тока луча кинескопа;
· Контроля чистоты цвета.
. Черное поле. Соответствует уровню гашения по всему растру. Сигнал
используется для регулировки уровня гашения.
. Красное поле. 75% яркости красного по всему растру. Сигнал используется
для:
· Контроля чистоты цвета;
· Контроля шума канала цветности.
. Вертикальные цветные полосы 1. 9 вертикальных цветных полос (белая -
желтая - голубая - зеленая - пурпурная - красная - синяя - черная - белая) в
последовательности убывания яркости. Амплитуда цветов - 100% белая и 75%
цветные полосы. Сигнал используется для:
· Контроля основных цветов;
· Контроля цветопередачи кинескопа;
· Регулировки декодирующих устройств.
. Вертикальные цветные полосы 2. 9 вертикальных цветных полос (белая -
желтая - голубая - зеленая - пурпурная - красная - синяя - черная - белая) в
последовательности наибольших перепадов по частоте/фазе для систем SECAM/PAL.
Амплитуда цветов - 100% белая и 75% цветные полосы. Сигнал используется для:
· Контроля основных цветов;
· Переходных процессов блока цветности и кинескопа.
. Горизонтальные цветные полосы. 7 горизонтальных цветных полос (белая -
желтая - голубая - зеленая - пурпурная - красная - синяя - черная - белая) в
последовательности убивания яркости. Амплитуда цветов - 100% белая и 75%
цветные полосы. Сигнал используется для:
· Контроля цветопередачи;
· Контроля яркости и контрастности;
· Контроля цветового тона и насыщенности.
1.2 Программно-управляемый функциональный генератор
При проведении различного рода испытаний, измерениях режимов работы
электронных схем, а также градуировке измерительных приборов требуются
источники электрических сигналов, способные вырабатывать колебания различных
частот и форм. Такие источники относятся к генераторам электрических колебаний
или, упрощенно, генераторам сигналов. Если генераторы сигналов обладают
возможностью точной установки и регулировки в широких пределах выходных
параметров, а также высокой стабильностью во времени и при воздействии внешних
дестабилизирующих факторов, их относят к измерительным генераторам.
Среди измерительных генераторов различают генераторы гармонических и
импульсных сигналов, сигналов специальной формы, т.е. формы, отличающейся от
прямоугольной (пилообразной, трапецеидальной, треугольной и т.п.), качающейся
частоты и ряд других. По виду модуляции выделяют генераторы с амплитудной,
частотной, импульсной, комбинированной, различными видами манипуляций и проч.
Измерительные генераторы импульсных сигналов разделяют на генераторы
одиночных импульсов и непрерывных последовательностей, парных импульсов и
импульсов, представляющих кодовые группы.
Наряду с измерительными генераторами, генераторы сигналов как отдельные
функциональные узлы используются в схемотехнике радиопередающих и приемных
устройств, в аппаратуре вычислительной, медицинской, бытовой техники, в устройствах
автоматики, телемеханики и многих других областях.
Такое многообразие сфер применения обусловило необходимость создания
универсальных источников сигналов, т.е. сигналов не только синусоидальной, но и
ряда других форм: меандра, треугольной и т.п. Эти источники относят к
генераторам специальной формы или, как их еще называют, функциональным
генераторам. Однако многофункциональность предусматривает и необходимость
наличия достаточно большого количества элементов регулировки и управления
генератором, что значительно усложняет его эксплуатацию. Поэтому разработчики
следуют по пути программного управления функциями прибора посредством
микропроцессорной системы.
Известный опыт в этом направлении имеется у компании Analog Devices, выпускающей в интегральном исполнении функциональные
генераторы AD5930, AD5932, AD9833.
Так, в частности, компонент AD9833
представляет собой программируемый генератор с возможностью формирования
синусоидальных, треугольных и прямоугольных выходных сигналов в диапазоне
частот от 0 до 12,5 МГц и не требует подключения дополнительных внешних
элементов. Выходные частоты и фазы сигналов задаются программно. При входной
тактовой частоте (fMCLK),
равной 25 МГц обеспечивается разрешающая способность до 0,1 Гц, а при тактовой
частоте в 1 МГц, AD9833 может иметь
разрешение в 0,004 Гц. AD9833
программируется через трехпроводной последовательный интерфейс, работающий с
тактовой частотой до 40 МГц, и совместимый с SPI, QSPI, MICROWIRE и DSP стандартными интерфейсами. Генератор сохраняет
основные технические параметры при напряжении источника питания от 2,3 В до 5,5
В, при этом потребляемая мощность при напряжении 3 В составляет всего лишь 20
мВт. Тем не менее, с целью дополнительного уменьшения потребляемой мощности
этот компонент имеет функцию выключения питания (SLEEP), что позволяет при различных режимах работы
отключать отдельные неиспользуемые функциональные узлы устройства. Например,
цифро-аналоговый преобразователь может быть отключен, когда сгенерирован
импульсный выходной сигнал. На рис. 1.2 приведена упрощенная функциональная
схема AD9833.
Рис. 1.2. Функциональная схема AD9833
Синусоидальные сигналы (рис.1.3) можно представить в виде их мгновенного
значения a(t) = sin(ωt). Однако это нелинейное представление сигнала и его
генерация предпочтительна с использованием кусочных конструкций. С другой
стороны, представление в угловой форме линейно по своему характеру и
представляет фазовый циклический сдвиг на фиксированный угол для каждой единицы
времени. Угловая скорость зависит от частоты сигнала и равна ω = 2πf.
Рис. 1.3. Синусоидальный сигнал.
С учетом того, что фаза синусоидального сигнала линейная и известен
период повторения, фазовый сдвиг для периода может быть определен как Δφ
= ωΔt. Отсюда ω
= Δφ/Δt = 2πf. Решая относительно f и заменяя тактовую частоту на период
(1/fMCLK), получим
f = Δφ × fMCLK/2π.
Компонент AD9833 генерирует
сигналы, используя данное выражение. Это достигается посредством применения
следующих функциональных узлов: цифрового управляемого генератора с фазовым
модулятором, таблицы синусов (SIN ROM) и
цифро-аналогового преобразователя (рис. 1.2). Управляемый генератор и фазовый
модулятор состоят из двух частотных регистров, фазового аккумулятора, двух
фазовых регистров сдвига и схемы суммирования фаз. Таблица SIN ROM используется для преобразования информации с
частотных и фазовых регистров с целью формирования совместно с ЦАП
синусоидальных сигналов на выходе. Этим процессом управляют разряды MODE и OPBITEN, коммутируя соответствующие цепи генератора. Если
таблица SIN ROM исключается из процесса формирования сигнала при
переключении MUХ1 разрядом MODE, ЦАП будет генерировать линейную треугольную функцию.
В этом случае SIN ROM может быть отключена разрядом SLEEP2. Получение прямоугольных колебаний
достигается подключением к выходу схемы компаратора разрядом OPBITEN с возможным отключением ЦАП
посредством SLEEP1. Частота последовательности
прямоугольных импульсов на выходе при необходимости может быть уменьшена в два
раза, что обеспечивается разрядом DIV2 управляющего регистра.
Программирование генератора производится путем загрузки данных в
устройство в виде шестнадцатиразрядных слов под управлением последовательности
тактовых импульсов SCLK. Вход FSYNC (рис. 1.4) содержит триггер уровня,
который обеспечивает кадровую синхронизацию и включение генератора.
Так как компонент имеет различные выходные функции, он может быть
использован в разнообразных применениях, в частности, в качестве и автономного
генератора. Наряду с традиционными, возможно применение в областях, в которых
требуются модулированные колебания. Устройство может быть использовано как для
реализации простых типов модуляции, таких как FSK, так и более сложных GMSK, QPSK и
ряда других.
В схеме на рис. 1.4 компонент D1 типа 74НСТ244 предназначен для буферизации шины данных и управления, но
может быть исключен из схемы, если микроконтроллер конструктивно расположен
вблизи от генератора. Так как AD9833
имеет стандартный последовательный интерфейс, он может быть подключен
непосредственно к различным микропроцессорам. На рис. 1.5 приведен
последовательный интерфейс AD9833
и микроконтроллера 80С51/80L51.
Рис. 1.5. Подключение AD9833
к контроллеру 80С51/80L51.
При работе с генератором микроконтроллер функционирует в режиме 0, тогда
линия TxD 80C51/80L51
формирует сигнал SCLK для AD9833, а по линии RxD пересылаются данные. Сигнал FSYNC формируется программно с вывода Р3.3
порта и устанавливается в низкий уровень при пересылке данных, которые
передаются в восьмибитном формате. По завершении передачи второго байта данных
Р3.3 переводится в высокий уровень. Между двумя операциями записи SCLK необходимо поддерживать в высоком
состоянии.
Пример включения AD9833
и микроконтроллера 68НС11/68L11
приведен на рис. 1.6.
Рис. 1.6. Подключение AD9833
к контроллеру 68HC11/68L11.
Микроконтроллер настраивается ведущим с установкой бита MSTR в SPCR в единицу. Это обеспечивает последовательное
тактирование SCK до тех пор, пока с выхода MOSI данные поступают на последовательную
линию SDATA. Сигнал FSYNC формируется на линии РС7. Условия корректной работы
интерфейса следующие:
· SCK находится в высоком состоянии между операциями записи
(CPOL = 0);
· данные считываются по срезу SCK (CPHA =
1).
При пересылке данных в AD9833,
линия FSYNC устанавливается в низкое состояние.
Как и в предыдущем случае, данные пересылаются в восьмибитном формате. Только
после пересылки второго байта линия FSYNC может быть снова установлена в высокий уровень.
В цепи управления AD9833
может быть использован и цифровой сигнальный процессор, в частности, семейства ADSP-21хх (рис. 1.7).
Рис. 1.7. Подключение AD9833
к процессору ADSP-21хх.
Управляющий регистр порта SPORT
должен быть запрограммирован следующим образом:
· работа внутреннего источника тактовых импульсов (ISCLK = 1);
· активный низкий уровень линии синхронизации кадров (INVTFS = 1);
· шестнадцатиразрядные слова (SLEN = 15);
· внутренний сигнал синхронизации кадров (ITFS = 1);
· формирование синхронизации кадров для каждой записи (TFSR = 1).
Процесс обмена начинается с записи слова в регистр Тх после того как SPORT инициализирован. Данные поступают на
выход по каждому фронту сигнала синхронизации, и по каждому срезу SCLK принимаются в AD9833.
Конструктивно компонент AD9833
выполнен в виде десятивыводного корпуса типа MSOP размерами 3×3 (мм) без учета длины выводов, имеющих
расстояние между осями 0,5 мм. Печатная плата для AD9833 должна быть скомпонована таким образом, чтобы аналоговые
и цифровые цепи были разделены и расположены вблизи соответствующих выводов
компонента, а шины аналоговой и цифровой земли должны соединяться в одной
точке. Для развязки по цепям питания желательно использовать керамические
конденсаторы емкостью 0,1 мкФ, соединенные параллельно с танталовыми
конденсаторами емкостью порядка 10 мкФ, и располагать их на минимальном
удалении от компонента. Для предотвращения наводок на другие части платы шина SCLK должна экранироваться цифровой
землей, при этом, одна сторона платы с элементами должна полностью отводится
под шину земли, а сигнальные шины необходимо располагать на противоположной
стороне. При соблюдении этих требований монтажа AD9833 функционирует в штатном режиме.
.3 Простой генератор испытательных телевизионных сигналов
Проверить центровку изображения, линейность разверток, чистоту цвета,
качество сведения трех лучей масочного кинескопа цветных телевизоров (и
отрегулировать их при необходимости) поможет генератор телевизионных
испытательных сигналов (сокращенно ТИС). Он вырабатывает сигналы равномерно
светящегося поля, крестовидной фигуры, а также в двух режимах (густо и редко)
сигналы вертикальных и горизонтальных линий и полос, сетчатого, точечного и
шахматного полей. Отличают данный прибор наличие единственного подборочного
элемента - конденсатора в формирователе вертикальных линий, а также временная
привязка сигнала «крест» к телевизионному изображению, квадратная форма
сигналов ячеек сетчатого, точечного и шахматного полей. В предлагаемой схеме
все расчеты выполнены в соответствии со стандартом на вещательное телевидение,
поэтому регулировки с помощью этого прибора (центровка растра, установка
линейности, горизонтального размера) идентичны настройке по УЭИТ, а отсутствие
подборочных элементов обеспечивает нормальную работу генератора после его
сборки без сложной наладки, что немаловажно для радиомехаников телеателье и
особенно для сельских радиолюбителей. Общие принципы определения координат
сигналов изображения на экране телевизора, а также простой способ составления
схем сквозных делителей частоты с любым коэффициентом деления изложены в
радиолюбительской литературе. Поэтому остановимся лишь на характерных
особенностях схемы. При воспроизведении изображения широкоугольными цветными
кинескопами теряется примерно 6% информации по горизонтали, и потому в
простейших генераторах сигналов отпадает необходимость временного сдвига фронта
строчного синхроимпульса (ССИ) относительно фронта строчного гасящего импульса
(СГИ). Длительность кадровых синхронизирующих (КСИ) и гасящих импульсов (КГИ),
а также временной сдвиг между ними - стандартные. Ячейки сигналов сетчатого, точечного
и шахматного полей должны иметь форму квадратов для определения горизонтального
размера телевизионного изображения. Упрощенный генератор испытательных
сигналов, который можно изготовить самостоятельно, вырабатывает сетчатое и
белое поля, вертикальные и горизонтальные линии.
Структура синхросмеси обеспечивает получение на экране устойчивого
изображения (без излома вертикальных и подергивания по вертикали).
Формирование сигналов испытательных изображений осуществляется от одного
задающего опорного кварцевого генератора, что обеспечивает высокую точность и
жесткие фазовые соотношения между элементами сигнала и, как следствие, высокую
стабильность в работе.
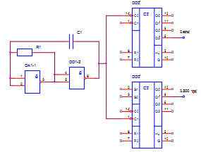
Структурная схема прибора представлена на рис. 1.8.
Рис. 1.8. Структурная схема генератора испытательных сигналов
Он состоит из задающего опорного кварцевого генератора КГ, делителя
частоты ДЧ, узлов формирования сигналов "горизонтальные линии" −
ФГ и "вертикальные линии" − ФВ и "сетчатое поле" −
СП, строчных УС и кадровых УК синхроимпульсов и узла формирования полного
телевизионного сигнала УПТС.
Кварцевый генератор вырабатывает импульсы с частотой следования 1 МГц.
Они поступают на делитель частоты ДЧ.
Делитель частоты имеет один вход и 13 выходов, с которых снимаются
импульсные сигналы, обеспечивающие работу всех узлов генератора.
С выхода 1 ДЧ прямоугольные импульсы с частотой 500 кГц поступают на вход
ФВ, где происходит формирование сигнала вертикальных линий. Через переключатель
S1 этот сигнал подается на вход формирователя сетчатое поле ФС.
Для получения испытательного изображения в виде 24 горизонтальных линий
служит сигнал горизонтальные линии, формируемый в узле ФГ.
Сигнал "горизонтальные линии" с выхода узла ФГ через
переключатель S2 подается на второй вход узла ФС.
При одновременном поступлении на оба входа ФС полученных ранее сигналов
(контакты переключателей S1 и S2
замкнуты), на его выходе образуется испытательный видеосигнал "сетчатое
поле".
С делителя частоты ДЧ импульсы соответствующих частот поступают в
формирователи строчных и кадровых синхроимпульсов. Полный телевизионный сигнал
формируется в узле УПТС.
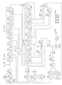
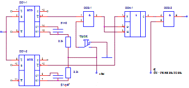
Принципиальная схема прибора приведена на рис. 1.9.
Задающий опорный кварцевый генератор собран на трех элементах 2И-НЕ (DD1.1…DD1.3).
Узел делителей частоты выполнен на девяти микросхемах DD2…DD10.
Формирование импульсов с требуемыми частотами следования определятся
соединением триггеров по счетным и установочным входам, а также охвата их
соответствующими связями.
Формирователь вертикальных линий собран на трех двухвходовых элементах
2И-НЕ (DD11.1, DD113). В этом режиме на экране кинескопа воспроизводится около
30 вертикальных линий. Конденсатор С2 определяет длительность импульсов
вертикальных линий.
Значимое емкости С2 определяют подбором по толщине вертикальных линий. Их
толщину устанавливают равной толщине горизонтальных линий.
Узел формирования горизонтальных линий собран на элементе 4И-не (DD12.2).
На элементе DD14.4 выполнен
узел формирования сетчатого поля.
На выходе элемента DD14.4
появляется сигнал "вертикальные линии", если замкнуты только контакты
переключателя S1, сигнал "горизонтальные
линии" − если замкнуты только контакты переключателя S2, и сигнал "сетчатое поле"
− при одновременном замыкании контактов S1 и S2.
Строчные синхроимпульсы формируются в узле, который выполнен на элементе
4И-НЕ (DD12.1). Сформированные строчные
синхроимпульсы, структура которых представлена на рис. 1.10, подаются на вход
УПС.
Узел формирования кадровых синхроимпульсов собран на элементах DD13.1…DD13.3, DD14.1,
DD14.2.
Для формирования полного телевизионного сигнала на входы узла УПС
подаются строчные и кадровые синхроимпульсы и один из испытательных сигналов.
Осциллограмма результирующей синхросмеси показана на рис. 1.10.
Полный телевизионный сигнал образуется на резисторе R3. Резистор R2 ограничивает величину видеосигнала на уровне 25% в
сравнении с амплитудой синхросигналов.
При правильно выполненном монтаже и исправности всех элементов прибор
работает сразу.
Для контроля работы функциональных узлов на рис. 1.10 приведены эпюры
напряжений в соответствующих точках схемы генератора.
Прибор сохраняет работоспособность при изменении напряжения питания от
3,4 до 6 В. При напряжении источника питания 5 В потребляемый ток составляет 17
мА.
Рис. 1.9. Принципиальная схема генератора испытательных сигналов
Рис. 1.10. Диаграммы сигналов тест-генератора
РАЗДЕЛ 2. МОДЕЛИ ЦИФРОВЫХ СИГНАЛОВ
Если рассматривать сигнал как функцию времени, то он может быть либо
аналоговым, либо цифровым. Цифровым называется сигнал, интенсивность которого в
течение некоторого периода поддерживается на постоянном уровне, а затем
изменяется также на постоянную величину. На рис. 2.1 приведен пример цифрового
сигнала - набор двоичных единиц и нулей.
Рис. 2.1. Аналоговый и цифровой сигналы
Цифровой сигнал представляет собой последовательность импульсов
напряжения, которые могут передаваться по проводной линии; при этом постоянный
положительный уровень напряжения может использоваться для представления
двоичного нуля, а постоянный отрицательный уровень - для представления двоичной
единицы.
Основное преимущество цифровых сигналов состоит в том, что их передача в
общем случае дешевле и менее восприимчива к помехам, чем передача аналоговых
сигналов. Основной недостаток - цифровым сигналам затухание вредит больше, чем
аналоговым. На рис. 2.2 показаны исходная последовательность импульсов
напряжения, генерируемых источником, и эти же импульсы, прошедшие некоторое
расстояние по передающей среде. Из-за затухания, или ослабления, мощности
сигнала на высоких частотах импульсы становятся более сглаженными и низкими.
Ясно, что это затухание довольно быстро может привести к потере информации,
содержащейся в передаваемом сигнале.
Рис. 2.2. Ослабление цифровых сигналов
В общем случае оборудование для кодирования цифровых данных цифровым
сигналом дешевле и проще, чем оборудование для модулирования цифровых данных
аналоговым сигналом (рис.2 3.).
Рис. 2.3. Кодирование цифровых данных цифровым и аналоговым сигналом
Цифровая передача данных связана с содержанием сигнала. Цифровой сигнал
можно передать только на ограниченное расстояние, пока затухание не нарушит
целостности данных. Для передачи цифровых данных на большие расстояния
используются ретрансляторы, которые принимают цифровой сигнал, восстанавливают
закодированную комбинацию нулей и единиц и передают новый сигнал. Таким образом
происходит компенсация затухания.
Простейшим типом сигнала является периодический сигнал, в котором
некоторая структура периодически повторяется во времени. На рис. 2.4 приведен
пример периодического цифрового сигнала (прямоугольный сигнал, или меандр).
Математическое определение: сигнал s (t) является периодическим тогда и только,
когда:
(t + T)=s(t) - ∞ < t > + ∞, 2.1
где постоянная Т является периодом сигнала (Т ―
наименьшая величина,
удовлетворяющее этому уравнению). Если невозможно найти Т, удовлетворяющее
уравнению, сигнал называется апериодическим.
В общем случае такой сигнал можно определить тремя параметрами:
максимальной амплитудой А, частотой f и фазой φ. Максимальной амплитудой называется
максимальное значение или интенсивность сигнала во времени; измеряется
максимальная амплитуда, как правило, в вольтах. Частотной называется темп
повторения сигналов (в периодах за секунду, или герцах). Эквивалентным
параметром является период сигнала Т, представляющий собой время, за которое
происходит повторение сигнала; следовательно, Т =1/f. Фаза является мерой относительного сдвига по времени в
пределах отдельного периода сигнала (данный термин будет проиллюстрирован
несколько ниже).
В общем случае синусоидальный сигнал можно представить в следующем виде:
S (t) =A sin (2πf
t + φ) 2.2.
Влияние изменения каждого из трех параметров показано на рис. 2.5. На
рис. 2.5, а частота составляет 1 Гц; следовательно, период. Т равен 1 с. На
рис. 2.5, б частота и фаза те же, но амплитуда уменьшена в два раза. На рис.
2.5, в частота f =2, что эквивалентно периоду Т=1/2. Наконец, на рис. 2.5, г
показано влияние сдвига фазы на π/4 радиан, что составляет 45º
(2π радиан = 360º
= 1 период).
Рис. 2.4. Периодические сигналы
По горизонтальной оси на рис 2.5 отложено время; на самом же графике
показана зависимость от времени величины сигнала в данной точке пространства.
Подобные графики (с точностью до изменения масштаба) можно получить, если
отложить на горизонтальной оси расстояние. В этом случае на графике будет
изображена интенсивность сигнала в данный момент времени в зависимости от
расстояния. Например, при передаче синусоидальной волны (если рассмотреть электромагнитную
волну на некотором расстоянии от антенны или звук на некотором расстоянии от
громкоговорителя) в отдельный момент времени интенсивность сигнала изменяется
по гармоническому закону как функция расстояния от источника.
Рис. 2.5. s(t)=A sin (2πf t + φ)
Существует простое соотношение между двумя синусоидальными сигналами,
один из которых изменяется во времени, а другой − в пространстве.
Определим длину волны сигнала λ, как расстояние, занимаемое одним периодом
или, иными словами, как расстояние между двумя точками равных фаз двух
последовательных циклов. Предположим, что сигнал распространяется со скоростью ν.
Тогда длина волны
связана с периодом следующим соотношением: λ = νТ, что равносильно λf
= ν. Особое
значение для нашего изложения имеет случай ν = c, где c - Скорость света в вакууме,
приблизительно равная
2.1.1 Основные понятия частотного представления сигнала
Реальный электромагнитный сигнал составлен из многих частот. Рассмотрим,
например, сигнал, показанный на рис. 2.6, в.
S(t)=(4/π)×[sin(2πft)+(1/3)sin(2π(3f)t)] (2.3)
Он состоит из простых синусоидальных сигналов с частотами f и 3f, показанных соответственно на рис. 2.6, а и б. Отметим два
интересных момента, связанных с этим рисунком.
Рис. 2.6. Сложение частотных составляющих (Т = 1/f)
Вторая частота кратна первой. Если все частотные составляющие сигнала
кратны одной частоте, то последняя называется собственной частотой.
Период суммарного сигнала равен периоду сигнала собственной частоты.
Период составляющей sin (2πƒt) равен Т = 1/ƒ, и, как можно увидеть на рис. 2.6, в,
период сигнала s(t) также равен Т.
Любой сигнал складывается из синусоидальных составляющих с разными
частотами. Сложив вместе достаточное количество синусоидальных сигналов с
соответствующими амплитудами, частотами и фазами, можно получить
электромагнитный сигнал любой формы. Аналогично любой электромагнитный сигнал
рассматривается как совокупность периодических аналоговых (синусоидальных)
сигналов с разными амплитудами, частотами и фазами. Далее по ходу изложения мы
увидим, как важно иметь возможность рассмотреть сигнал не как процесс изменения
во времени (временное представление), а как функцию частоты (частотное
представление).
Спектром сигнала называется область частот, составляющих данный сигнал.
Для сигнала, приведенного на рис. 2.6, в, спектр простирается от ƒ
до 3ƒ.
Абсолютной шириной
полосы сигнала называется ширина его спектра. В рассматриваемом случае (рис.
2.6. в) ширина полосы составляет 3ƒ-ƒ=2ƒ. Многие сигналы имеют бесконечную
ширину полосы, но большая часть их энергии сосредоточена в относительно узкой
полосе частот, называемой эффективной полосой, или просто полосой.
.1.2 Связь между скоростью передачи данных и шириной полосы
Существует прямая связь между информационной емкостью сигнала и шириной
его полосы: чем шире полоса, тем больше информации может нести сигнал.
Рассмотрим очень простой пример, воспользовавшись сигналом, показанным на рис.
2.5, б. Предположим, что положительный импульс представляет двоичный нуль, а
отрицательный - двоичную единицу. Следовательно, данный сигнал представляет
двоичный поток 0101…. Длительность каждого импульса равна 1/2f; следовательно,
скорость передачи данных составляет 2f битов в секунду (бит/с). При сложении
синусоид с частотами f и 3f ( рис2.6.) мы получаем сигнал, форма которого
начинает походит на форму исходного прямоугольного сигнала. Продолжим этот
процесс и добавим синусоидальный сигнал с частотой 5f (результат показан на
рис. 2.7, а), а затем сигнал с частотой 7f (рис. 2.7, б). Продолжая добавлять
составляющие с нечетными частотами, кратными f, и надлежащим образом выбранными
амплитудами, мы увидим, что результирующий сигнал все больше и больше
приближается к прямоугольной форме.
Действительно, можно показать, что составляющие прямоугольного сигнала с
амплитудами А и -А можно выразить следующим образом:
2.4.
Этот сигнал содержит бесконечное число частотных составляющих и,
следовательно, имеет бесконечную ширину полосы. Впрочем, максимальная амплитуда
k-й составляющей с частотой kf равна всего лишь 1/k, поэтому большая часть
энергии данного сигнала приходится на несколько первых составляющих. Что
произойдет, если мы ограничим полосу только первыми тремя частотными
составляющими? Ответ мы уже видели, он приведен на рис. 2.7, а. Здесь форма
результирующего сигнала достаточно близка к форме исходного прямоугольного
сигнала.
Рис. 2.7. Частотные составляющие прямоугольного сигнала (Т=1f)
Рисунки 2.6 и 2.7 можно использовать для иллюстрации связи между
скоростью передачи данных и шириной полосы. Предположим, что мы используем
цифровую систему, способную передавать сигналы с шириной полосы 4 МГц.
Попытаемся передать последовательность чередующихся нулей и единиц в виде
сигнала прямоугольной формы, приведенного на рис. 2.7, в.
В общем случае любой цифровой сигнал имеет бесконечную ширину полосы.
Если мы попытаемся передать этот сигнал через какую-то среду, передающая
система наложит ограничения на ширину полосы, которую можно передать. Более
того, для каждой конкретной среды справедливо следующее: чем больше
передаваемая полоса, тем больше стоимость передачи. Поэтому, с одной стороны,
по экономическим и практическим соображениям следует аппроксимировать цифровую
информацию сигналом с ограниченной шириной полосы. С другой стороны, при
ограничении ширины полосы возникают искажения, затрудняющие интерпретацию
принимаемого сигнала. Чем больше ограничена возможность возникновения ошибок
при приеме.
.2 Цифровая обработка сигналов
Медианные фильтры достаточно часто применяются на практике как средство
предварительной обработки цифровых данных. Специфической особенностью фильтров
является слабая реакция на отсчеты, резко выделяющиеся на фоне соседних. Это
свойство позволяет применять медианную фильтрацию для устранения аномальных
значений в массивах данных, уменьшения импульсных помех. Характерной
особенностью медианного фильтра является его нелинейность. Во многих случаях
применение медианного фильтра оказывается более эффективным по сравнению с
линейными фильтрами, поскольку процедуры линейной обработки являются
оптимальными при равномерном или гауссовом распределении помех, что в реальных
сигналах может быть далеко не так. В случаях, когда перепады значений сигналов
велики по сравнению с дисперсией аддитивного белого шума, медианный фильтр дает
меньшее значение среднеквадратической ошибки по сравнению с оптимальными
линейными фильтрами. Особенно эффективным медианный фильтр оказывается при
очистке сигналов от импульсных шумов при обработке изображений, акустических
сигналов, передаче кодовых сигналов и т.п. Однако детальные исследования
свойств медианных фильтров как средства фильтрации сигналов различного типа
являются довольно редкими.
.2.1 Медианная фильтрация сигналов
Принцип фильтрации. Медианный фильтр представляет собой оконный фильтр,
последовательно скользящий по массиву сигнала, и возвращающий на каждом шаге
один из элементов, попавших в окно (апертуру) фильтра. Выходной сигнал yk скользящего медианного фильтра
шириной 2n+1 для текущего отсчета k формируется из входного временного ряда …, xk-1, xk, xk+1,… в соответствии с формулой:
yk = Me(xk-n, xk-n+1,…, xk-1, xk, xk+1,…, xk+n-1, xk+n), (2.5)
где Me(x1, …, xm, …, x2n+1) = xn+1,
xm - элементы вариационного ряда, т.е.
ранжированные в порядке возрастания значений xm: x1 = min(x1, x2,…, x2n+1) ≤ x(2) ≤ x(3) ≤ … ≤ x2n+1 =
max(x1, x2,…, x2n+1).
Одномерные фильтры. Медианная фильтрация реализуется в виде процедуры
локальной обработки отсчетов в скользящем окне, которое включает определенное
число отсчетов сигнала. Для каждого положения окна выделенные в нем отсчеты
ранжируются по возрастанию или убыванию значений. Средний по своему положению
отчет в ранжированном списке называется медианой рассматриваемой группы
отсчетов. Этим отсчетом заменяется центральный отсчет в окне для
обрабатываемого сигнала.
Алгоритм медианной фильтрации обладает явно выраженной избирательностью к
элементам массива с немонотонной составляющей последовательности чисел в
пределах апертуры и наиболее эффективно исключает из сигналов одиночные
выбросы, отрицательные и положительные, попадающие на края ранжированного
списка. С учетом ранжирования в списке медианные фильтры хорошо подавляют шумы
и помехи, протяженность которых составляет менее половины окна. Монотонные
составляющие сигналов медианный фильтр оставляет без изменений.
Благодаря этой особенности, медианные фильтры при оптимально выбранной
апертуре могут сохранять без искажений резкие границы объектов, подавляя
некоррелированные и слабо коррелированные помехи и малоразмерные детали. При
аналогичных условиях алгоритмы линейной фильтрации неизбежно «смазывает» резкие
границы и контуры объектов. На рис. 2.8 приведен пример обработки сигнала с
импульсными шумами медианным и треугольным фильтрами с одинаковыми размерами окна
N=3. Преимущество медианного фильтра очевидно.
Рис. 2.8.
Окно медианного фильтра, как правило, устанавливается нечетным. В общем
случае окно может быть и четным, при этом медиана устанавливается, как среднее
арифметическое двух средних отсчетов. В качестве начальных и конечных условий
фильтрации обычно принимаются концевые значения сигналов, либо медиана
находится только для тех точек, которые вписываются в пределы апертуры.
Рис. 2.9.
На рис. 2.9 приведен пример медианной фильтрации модельного сигнала ak,
составленного из детерминированного сигнала sk в сумме со случайным
сигналом qk, имеющим равномерное распределение с одиночными
импульсными выбросами. Окно фильтра равно 5. Результат фильтрации - отсчеты bk.
Двумерные фильтры. Основную информацию в изображениях несут контуры
объектов. При фильтрации зашумленных изображений степень сглаживания контуров
объектов напрямую зависит от размеров апертуры фильтра. При малых размерах
апертуры лучше сохраняются контрастные детали изображения, но в меньшей степени
подавляется импульсные шумы. При больших размерах апертуры наблюдается обратная
картина. Это противоречие в некоторой степени сглаживается при применении
фильтров с адаптацией размеров апертуры под характер изображения. В адаптивных
фильтрах большие апертуры используются в монотонных областях обрабатываемого
сигнала (лучшее подавление шумов), а малые - вблизи неоднородностей, сохраняя
их.
Кроме размеров окна эффективность фильтра в зависимости от характера
изображения и параметров статистики шумов существенно зависит от формы маски
выборки отсчетов. Примеры формы масок с минимальной апертурой приведены на рис.
2.10. Оптимальный выбор формы сглаживающей апертуры зависит от специфики решаемой
задачи и формы объектов.
Рис. 2.10.
Достоинство медианных фильтров.
· Простая структура фильтра как для аппаратной, так и для
программной реализации.
· Фильтр не изменяет ступенчатые и пилообразные функции.
· Фильтр хорошо подавляет одиночные импульсные помехи и
случайные шумовые выбросы отсчетов.
· Медианный фильтр легко реализуется на два измерения с
двухмерным окном любой формы (прямоугольное, крестообразное, кольцевое,
круговое).
Недостатки медианных фильтров.
· Медианная фильтрация нелинейна, так как медиана суммы двух
произвольных последовательностей не равна сумме их медиан, что в ряде случаев
может усложнять математический анализ сигналов.
· Фильтр вызывает уплощение вершин треугольных функций.
· Подавление белого и гауссового шума менее эффективно, чем у
линейных фильтров. Слабая эффективность наблюдается также при фильтрации
флюктуационного шума.
· Двумерная обработка приводит к более существенному ослаблению
сигнала. При увеличении размера окна происходит также размытие контуров
изображений.
Недостатки метода можно уменьшить, если применять медианную фильтрацию с
адаптивным изменением размера окна фильтра в зависимости от динамики сигнала и
характера шумов (адаптивная медианная фильтрация). В качестве критерия размера
окна можно использовать, например, величину отклонения значений соседних
отсчетов относительно яркости центрального ранжированного отсчета /1i/. При
уменьшении этой величины ниже определенного порога размер окна увеличивается
цифровая обработка сигналов
.3 Модуляция и управление информационными параметрами сигналов
Модуляция сигналов позволяет выполнить преобразование сигналов с целью
повышения эффективности и помехоустойчивости процесса передачи информации. В
большинстве случаев методы модуляции основываются на управлении параметрами
сигналов в соответствии с информационным сообщением. При модуляции сигналов
изменяется их форма и спектральные характеристики. Особенности формирования
спектров сигналов имеют важное значение для систем связи и телекоммуникаций.
.3.1 Классификация сигналов и методов модуляции
Сообщения передаются при помощи сигналов. В простейшем случае сообщение
может, заключатся в наличии (отсутствии) принятого сигнала. При этом требуется
решать задачу обнаружения сигнала. Во многих случаях вид передаваемых сигналов
заранее известен и прием сообщения состоит в том, чтобы определить, какой из
возможных сигналов был передан. Тогда задача состоит в различении сигналов.
Если сигналы отличаются значениями их параметров, которые считаются постоянными
в течение некоторого интервала, то необходимо получать оценки параметров
сигнала. Сообщение может содержаться в измерениях параметров, т. е. в их
мгновенных (локальных) значениях. Тогда для получения сообщения нужно выполнить
фильтрацию параметров сигнала. Задача фильтрации, как правило, является более
сложной, чем оценивание параметров.
Управление информационным параметром сигнала в соответствии с
передаваемым сообщением называют модуляцией.
Информационный сигнал (сообщение) обозначим θ(х), сигнал-переносчик, параметр
которого изменяется в соответствии с сообщением, обозначим s(х). При модуляции
выполняется преобразование этих двух сигналов в один модулированный сигнал ξ(х) в соответствии с уравнением
ξ(х) = М{ s(х), θ(х)}, (2.6)
где М{.} - оператор, определяемый видом модуляции. Для выделения
сообщения θ(х) на приемной стороне необходимо выполнить обратное
преобразование (демодуляцию), т. е.
(2.7)
В зависимости от вида, функциональной формы и числа параметров
сигнала-переносчика s(х) и информационного сигнала θ(х) варьируются свойства различных
методов модуляции, а именно, вид и ширина спектра сигнала ξ(х), устойчивость к воздействию помех
и т. д.
Если информационный параметр сигнала-переносчика изменяется непрерывно,
то методы модуляции являются непрерывными (распространены, например, методы
амплитудной, фазовой и частотной непрерывной модуляции гармонического
сигнала-переносчика).
В качестве сигнала-переносчика часто используют периодическую
последовательность импульсов, тогда модуляцию называют импульсной (например,
при изменении амплитуды или частоты импульсов по закону θ(х) имеет место амплитудно-импульсная
или частотно-импульсная модуляция соответственно).
Информационный параметр может принимать счетное число значений, при этом
модуляцию называют дискретной. К дискретным видам модуляции относятся,
например, амплитудная, частотная, и фазовая манипуляции. Если значения
параметра закодированы и передаются в цифровой форме, то соответствующие виды
модуляции носят название цифровой модуляции. Наиболее распространенным видом
цифровой модуляции является импульсно-кодовая модуляция, когда значение
сигналов в дискретных точках кодируют в цифровой форме.
При создании систем передачи сигналов основными задачами являются
разработка методов и математических моделей, определяющих оптимальные режимы
модуляции-демодуляции с точки зрения повышения скорости, достоверности и
помехозащищенности передачи информации.
При классификации видов модуляции принимают в расчет вид, характер
информационного сигнала и сигнала-переносчика: детерминированный процесс,
случайный стационарный процесс, нестационарный процесс и т. д.
Детерминированные сигналы определяются их амплитудами и фазовыми спектрами на
основе свойств рядов Фурье и преобразования Фурье. В теории информации и
передачи сигналов особое место занимают стохастические сигналы, являющиеся
реализациями случайных процессов с заданными характеристиками - корреляционными
функциями и спектральными плотностями.
Если вид информационного сигнала, сигнала-переносчика и характеристики
линии связи заданы, то основной задачей является оптимальный прием сигналов.
Задача оптимального приема, как правило, сводится к задаче различения сигналов
по заданному критерию в условиях помех (задача обнаружения рассматривается как
различение смеси сигнала и помехи, когда сигнал отсутствует).
Задача приема сообщений подразделяют на два класса - когерентный и
некогерентный прием, соответственно при наличии и отсутствии синхронизации в
канале передачи информации. Методы когерентного (синхронного) приема, как
правило, более просты и надежны. Методы некогерентного (асинхронного) приема
обеспечивают более высокое быстродействие, однако более сложны в реализации.
.3.2 Методы амплитудной, фазовой и частотной модуляции
Амплитудная, фазовая и частотная модуляция гармонических
сигналов-переносчиков получили наиболее широкое распространение в радиовещании
и системах связи.
Амплитудная модуляция:
Амплитудно-модулированный (АМ) сигнал в общем случае определяется
выражением:
(2.8)
где θ(х) − информационный (модулирующий) сигнал, s(х) −
сигнал-переносчик, m - коэффициент модуляции.
Спектр сигнала можно найти с использованием свойств преобразования Фурье
в форме:
(2.9)
Формирование спектра иллюстрируется на рис. 2.11. и 2.12.
При гармоническом модулирующем сигнале (рис. 1) его спектр, как и спектр
сигнала-переносчика, представляет собой две дельта-функции. Свертка спектров
S(u) и Θ(u)
приводит к переносу
спектра Θ(u)
на более высокую (так
называемую несущую) частоту
.
Если модулирующий сигнал имеет сложную форму и, следовательно,
протяженный спектр (рис. 2.12), образованный множеством пар дельта функций с
различными положениями на частотной оси, то в результате переноса спектра на
несущую частоту
образуются соответствующие спектральные порядки. В силу
свойств частотной симметрии преобразования Фурье можно показать, что вся
полезная информация содержится в спектральном порядке в окрестности частоты
.
Демодуляцию АМ сигнала осуществляют путем выделения огибающей
сигнала-переносчика при его детектировании и фильтрации нижних частот на выходе
детектора. Ширина полосы пропускания фильтра должна соответствовать ширине
спектра Θ(u)
(рис. 2.12), чтобы
обеспечить минимальные спектральные искажения восстановленного сигнала.
Рис. 2.11. Спектр АМ сигнала с гармонической модуляцией

Фазовая модуляция:
Фазомодулированный (ФМ) сигнал имеет постоянную амплитуду, фаза сигнала
изменяется пропорционально информационному сигналу, а именно:
(2.10)
где uо - несущая частота, m - индекс фазовой модуляции.
Пусть модулирующий сигнал является гармоническим,
и индекс модуляции m << 1. При
этом выражение можно переписать в виде:
(2.11)
учитывая, что при
После преобразования второго слагаемого в получим:
(2.12)
Спектр ФМ сигнала с малым индексом модуляции показан на рис. 3.
Рис. 2.13. Спектр и векторная диаграмма для ФМ сигнала при m << 1
Величины спектральных составляющих идентичны величинам спектральных
составляющих сигнала с синусоидальной АМ, однако фазовые соотношения между
несущей и боковыми составляющими различны. Эти фазовые соотношения более
детально показаны графически на векторной диаграмме в правой части рис. 2.13.
Меньшие векторы медленно вращаются в противоположных направлениях вокруг быстро
вращающегося большого вектора, а ξ(х) представляет собой проекцию суммы
векторов на горизонтальную ось. Однако в отличие от случая АМ сигнала сумма
меньших векторов всегда перпендикулярна большему вектору. При этом, если
векторы боковых составляющих малы (m << 1), длина суммарного вектора
близка по величине амплитуде несущей А, но результирующий вектор вращается с
переменной скоростью.
Фазовые соотношения в данной векторной диаграмме указывают простой способ
генерирования ФМ сигналов с малым индексом модуляции (рис. 2.14) при
произвольном модулирующем сигнале θ(х).
Рис. 2.14. Структурная схема ФМ модулятора при m << 1
Частотная модуляция.
При частотной модуляции изменяется мгновенная (локальная) частота u(х)
сигнала-переносчика s(х) в соответствии с информационным сигналом θ(х), а именно:
(2.13)
Где
(2.14)
При синусоидальной ЧМ модулирующий сигнал имеет вид:
(2.15)
откуда:
(2.16)
Сравнение (6) и (8) с учетом (11) показывает идентичность ФМ ЧМ при
синусоидальной модулирующей функции и индексе модуляции
Значение а представляет собой максимальную девиацию мгновенной угловой
частоты относительно несущей угловой частоты 2π uо.
Простейший модулятор для ЧМ сигналов или частотный дискриминатор
представляет собой резонансный контур, настроенный, например, ниже несущей
частоты (рис. 2.15). Изменения мгновенной частоты во входном модулированном
сигнале преобразуются в изменения амплитуды сигнала на выходе резонансного
контура. Эти амплитудные изменения нетрудно выделить при помощи обычного
детектора огибающей. Ограниченный диапазон линейности такого дискриминатора
можно расширить, применив пару контуров, один из которых настроен
соответственно выше, а другой ниже частоты несущей. Выходные сигналы на выходе
этих контуров раздельно детектируются и после этого вычитаются, образуя полную
характеристику дискриминатора, показанную на рис. 2.16. Выходной сигнал в
дискриминаторах такого типа изменяется по амплитуде при вариациях как частоты,
так и амплитуды входного сигнала.
В реальных системах неконтролируемые изменения амплитуды в ЧМ сигнале
вызываются шумами, помехами, "замираниями" радиоволн и другими
факторами. В связи с этим на входе дискриминаторов необходимо включать
ограничитель, который представляет собой нелинейное устройство с
характеристикой, показанной на рис. 2.17. Ограничитель совместно с включенным
на его выходе резонансным усилителем практически устраняет амплитудные
изменения огибающей узкополосного сигнала, сохраняя при этом фазовые изменения.
Рис. 2.15. Преобразование изменений частоты в изменении амплитуды при
помощи резонансной цепи
Рис. 2.16. Характеристика дискриминатора, полученная с помощью пары
резонансных контуров
Рис. 2.17. Совместная работа ограничителя и резонансного усилителя
На рис. 2.18 показана полная структурная схема типового ЧМ приемника.
Усилитель высокой частоты (УВЧ) усиливает принятый сигнал, внутренний
гетеродин (генератор) вырабатывает гармонический "опорный" сигнал,
который перемножается в смесителе с принятым сигналом. В результате формируется
сигнал на промежуточной частоте, которая является постоянной при синхронной
перестройке частот настройки УВЧ и гетеродина. Усилитель промежуточной частоты
УПЧ обеспечивает высокий коэффициент усиления сигнала. Усиленный сигнал после
ограничителя поступает на второй УПЧ, выполняющий функции резонансного
усилителя в схеме рис. 2.17. Частотный дискриминатор выделяет изменения частоты
сигнала, которые в форме низкочастотного сигнала поступают на вход усилителя
низкой частоты УНЧ.
Рис. 2.18. Функциональная схема ЧМ приемника
.3.3 Цифровые методы модуляции
Цифровые виды модуляции используются для передачи кодированных сообщений
дискретными методами. Сущность цифровой модуляции заключается в том, что
передаваемый непрерывный сигнал дискретизируется во времени, квантуется по
уровню и полученные отчеты, следующие в дискретные моменты времени,
преобразуются в кодовые комбинации. Полученной последовательностью кодовых
видеосигналов модулируется высокочастотный сигнал-переносчик.
Следовательно, цифровые методы модуляции основаны на трех необходимых
преобразованиях полезных непрерывных сигналов: дискретизации, квантовании, и
кодировании.
Достоинствами цифровых методов модуляции является:
· Слабое влияние не идеальности и нестабильности характеристик
аппаратуры на качество передачи информации;
· Высокая помехоустойчивость даже при использовании каналов с
нестабильными характеристиками и большим уровнем шумов;
· Возможность регенерации (восстановления) сигналов в узлах
связи сетей, что значительно ослабляет эффект накопления искажений сигналов при
передаче информации по линиям большой протяженности;
· Универсальная форма представления сигналов для различных
сообщений (речь, телевизионное изображение);
· Низкая чувствительность к нелинейным искажениям в групповом
тракте многоканальных систем;
· Относительно простое согласование этих систем с компьютерами
и электронными автоматическими телефонными станциями, что играет важную роль
для построения сетей связи;
· Возможность автоматизации передачи и обработки сигналов с
помощью компьютеров.
Основными недостатками систем с цифровыми способами передачи сигналов
являются: значительное расширение занимаемой полосы частот каналов,
необходимость обеспечения точной синхронизации сигналов и построения аппаратуры
для регенерации сигналов на линиях большой протяженности.
В настоящее время наибольшее распространение получили системы с
импульсной кодовой модуляцией (ИКМ), в которых значение сигналов в дискретные
моменты времени преобразуется в двоичные цифровые коды.
На рис. 2.19 показаны временные диаграммы сигналов в системе с ИКМ. На
рис. 2.19,а представлены исходный непрерывный сигнал с ограниченным спектром и
дискретизированный сигнал с интервалом дискретизации Т<1/2uм, где uм -
верхняя частота спектра сигнала. На рис.2.19,б показана полученная в результате
квантования и кодирования последовательность двоичных видеоимпульсов. Из-за
искажений сигналов и шумов в канале принятая видеопоследовательность (рис.
2.19,в) отличается от переданной. Выбирается пороговый уровень sо, его
превышение в моменты отсчета (стробирования) значения сигнала означает наличие
импульса, а непревышение - отсутствие импульса. С помощью формирующих устройств
из принятой видеопоследовательности создается "очищенная" последовательность,
которая поступает па декодер. С выхода декодера импульсы, площади которых равна
соответствующим импульсным отсчетам исходного сигнала (рис. 2.19,д), поступают
на демодулятор, в простейшем случае на вход фильтра нижних частот, на выходе
которого восстанавливается копия исходного непрерывного сигнала рис. 2.19,д.
Для получения регенерированной кодовой последовательности отсчеты
принимаемого сигнала берутся в середине каждого тактового интервала
длительностью L (рис. 2.19,б и в). Это делается для того, чтобы исключить
влияние на работу демодулятора запаздывания и фазовых искажений сигналов в
канале связи. В результате регенерируемая последовательность
"задержана" на L/2 относительно переданной (рис. 2.19,б и г).
Правильное декодирование сигналов требует также, чтобы были приняты все разряды
кодовой комбинации. Из-за этого принятые отсчеты оказываются дополнительно
задержанными относительно передаваемых на интервал дискретизации Т (рис. 2.19,а
и д).
Метод пороговой селекции сигналов на фоне помех часто не обеспечивает
требуемой помехоустойчивости и достоверности при приеме кодовых сигналов.
Значительно более высокую помехоустойчивость обеспечивает применение метода
согласованной фильтрации импульсных сигналов.
Проведем сравнительный анализ характеристик методов цифровой
амплитудно-кодовой и фазоимпульсной модуляции при использовании согласованных
фильтров.
Рис. 2.19. диаграммы сигналов в 4-разрядной системе ИКМ
.4 Методика измерения характеристики преобразования АЦП
В настоящее время известно много способов контроля качества серийно
выпускаемых АЦП. Однако когда дело касается только что разработанного в
лаборатории изготовленного для испытаний кристалла, зачастую требуется гораздо
более тщательный подход к проведению измерений. При этом возникает много
проблем, связанных с тем, чтобы, с одной стороны, обеспечить требования по
точности и стабильности измерительных устройств, с другой - добиться, возможно,
большей скорости измерений.
Наиболее распространенным способом, использующимся в большинстве методик,
стало применение ПК и сопрягающих его с АЦП периферийных устройств.
Весь измерительный комплекс состоит, как правило, из следующих частей:
внешнее устройство, работающее в соответствии с данной методикой, к которому и
подключается используемый АЦП; адаптер ввода-вывода для сопряжения с ПК;
программа, содержащая протоколы обмена с портом в/в и обеспечивающая обработку
данных по этой методике. Скорость обработки данных обычно зависит от мощности
ПК, использующихся протоколов обмена и способов вычисления конечного
результата.
Основные статические параметры АЦП, представляющие интерес, это:
характеристика преобразования (зависимость между значениями входного
аналогового напряжения и выходного кода), напряжение межкодового перехода
(НМП), шаг квантования ХП, напряжение смещение нуля, нелинейность,
дифференциальная и интегральная нелинейности.
Существуют различные методы измерения этих характеристик, в большинстве
широко известных методов используется подаваемое на вход АЦП либо линейно
изменяющееся во времени напряжение (треугольные либо пилообразные импульсы),
либо синусоидальные колебания, охватывающие весь рабочий диапазон АЦП с
последующим вычислением спектра преобразованного сигнала с помощью быстрого
преобразования Фурье.
Недостатки этих методов очевидны. В первом случае возникает проблема
получения хорошего линейно нарастающего или спадающего напряжения. Во втором -
проблема хорошей фильтрации синусоидального сигнала из-за нелинейности
отдельных дискретных элементов фильтра. При этом собственные гармоники
испытательного сигнала примешиваются к гармоникам, получающимся из-за
нелинейности преобразования самого АЦП. В результате полученный спектр не дает
полной информации о коэффициенте нелинейных искажений АЦП. Большинство методик
обходит также получение полной ХП АЦП (всех dUi от Uвхmin до Uвхmax) из-за
большого количества времени, уходящего на прохождение всей характеристики в
многоразрядных АЦП. Такие методы используют, например, измерения напряжений,
соответствующих отдельным переходам 2ⁿ (n
[1;N]; N -
число разрядов АЦП).
Распространенным методом получения сигналов специальной формы стало
применение достаточно линейных цифро-аналоговых преобразователей, на вход
которых подается последовательность кодов с ПК или другого устройства. При этом
можно добиться синусоидального сигнала с малым коэффициентом гармоник. Но
тогда, возможность испытать АЦП с большим числом разрядов ограничивается
разрядностью ЦАП, и возникает парадокс "Щита и копья", когда
появляется необходимость оценить искажения, вносимые самим ЦАП с помощью более
прецизионного АЦП.
Следовательно, необходимо создание методики, которая объединила бы
достоинства существующих методов, давала полную картину характеристики
преобразования и была, по возможности, свободна от их недостатков.
.4.1 Описание методики
Как известно, на практике гораздо проще получить хорошо отфильтрованный
синусоидальный сигнал, чем достаточно линейно изменяющееся пилообразное
напряжение. Кроме того, функция синуса является наиболее удобной для
аналитических вычислений. В связи с этим представляется целесообразным
использовать именно синусоиду в качестве измерительного сигнала.
Рассмотрим сперва идеальный случай, когда на вход АЦП подается
аналитический чистый синусоидальный сигнал с амплитудой А и некоторой
постоянной составляющей Uo,
сумма значений, которых лежит в пределах диапазона напряжений, которые может
измерить АЦП. Пусть амплитуда этого сигнала такова, что он охватывает только
часть характеристики преобразования АЦП, как показано на рис. 2.20. При этом
частота дискретизации АЦП много больше частоты сигнала.
Рис. 2.20
На рисунке Ui....... Ui+б обозначают точки перехода,
характеризующиеся изменением выходного кода на одну единицу младшего разряда; m0....... m7 обозначают соответственно количество отсчетов,
обусловленных частотой дискретизации АЦП, от начала измерений до данного
момента времени.
Из свойств функции SINX и из рисунка выходит, что точка min находится на
половине интервала между m0 и m1, а точка max соответственно на половине
интервала между m6 и m7.
Обозначающим тот номер m, которому соответствует min функции, через
"а" и примем его за начало отсчета.
Кроме того, введем обозначения:
Тогда, n0 - интервал от начала отсчета "а" до момента первого
изменения выходного кода на единицу младшего разряда; ni - соответственно интервал от "а" до момента
второго изменения и т. д. Пусть, кроме того, N - число отсчетов, которые
укладываются в один период синусоиды.
В этом случае для шагов du квантования можно записать:
Таким образом, зная, что на входе АЦП - синусоида определенной амплитуды,
по количеству отсчетов сигнала можно вычислить каждый из шагов квантования,
охватываемый этой синусоидой. В этом случае погрешность вычислений du:
(2.17)
То есть, чем больше число N и чем меньше амплитуда, тем выше точность
вычислений. Снизу минимальная амплитуда ограничена прецизионностью АЦП.
Тем не менее, в реальной ситуации испытательный сигнал, даже хорошо
отфильтрованный, обладает дополнительными гармониками и некоторым уровнем
шумов, что вносит ощутимые погрешности в измерения. Поэтому, охват синусоидой
всей характеристики преобразования АЦП не приведет к желаемому результату. Но
охват небольшого участка характеристики дает гораздо меньше погрешностей. В
частности, при уменьшении амплитуды сигнала (при коэффициенте гармоник,
например, равном 0.1), коэффициент гармоник на выходе АЦП остается почти
постоянным только при амплитудах, охватывающих участок характеристики
преобразования свыше некоторого небольшого количества "ступенек" ХП.
При дальнейшем уменьшении амплитуды входного сигнала коэффициент гармоник на выходе
АЦП начинает возрастать из-за "ступенчатости" сигнала на выходе и уже
слабо зависит от гармоник входного сигнала при их небольшой величине.
Следовательно, влияние гармоник испытательного сигнала (при уменьшении его
амплитуды) на погрешность измерения du (отдельной "ступеньки")
уменьшается.
В частности, при численном моделировании, брался синусоидальный сигнал с
амплитудой 2-й гармоники 0.01%..10% от амплитуды 1-й. Причем 2-я гармоника уже
при значении 0.1% и при любой ее фазе относительно 1-й почти не оказывает влияния
на вычисления при амплитудах сигнала менее суммы 5 шагов квантования АЦП.
Рассмотрим влияние гармоник испытательного сигнала на погрешность
измерений.
Пусть А - амплитуда 1-й гармоники, ω - ее частота, а2...... аn - амплитуды соответственно 2-й,......,
n-й гармоник гораздо меньше А, f1.... fn - их фазы, N - количество преобразований за один период
колебания основной гармоники, осуществленных АЦП и обусловленных частотой
дискретизации. При этом полагаем, что при возрастании напряжения на входе АЦП
мы будем фиксировать только первый положительный перепад значения от n-1 к n на
выходе по достижении очередного напряжения межкодового перехода, игнорируя все
остальные перепады от n к n-1 и обратно (соответствующие колебаниям напряжения
около данного значения НМП), до появления значения n+1; а при убивании
напряжения - по тому же принципу учитываются только отрицательные переходы.
Тогда относительная погрешность, вносимая гармониками сигнала:
(2.18)
будет при таких фазах f1....... fn, что:
(2.19)
В этом случае для относительной погрешности σdu,harm можно, например, записать:
(2.20)
где: а=а2+…+аn, а k - число отсчетов, потребовавшееся из
измерения dui, как показано на рис. 2.21. На рис.
2.22 показана зависимость σdu,harm от отношения,
а/А при различных значениях k, и при N=400.
Те же самые рассуждения, в принципе, можно применить и к погрешностям,
вносимым шумами, если вместо а подставить уровень шумов (их максимальную
амплитуду), и получить такую же зависимость, как на рис. 2.22.
Таким образом, по полученной зависимости и из приведенных выше
рассуждений можно вывести критерий настройки испытательного сигнала на нужную
амплитуду.
Рис. 2.21
Рис. 2.22
Суть приведенной ниже методики можно изложить в следующем порядке:
· Установить напряжение постоянной составляющей U0
приблизительно на середину характеристики преобразования АЦП.
· Включить низкочастотный (по сравнению с частотой
дискретизации АЦП) синусоидальный сигнал, размах которого не выходит за границы
ХП.
· Выставить его амплитуду по приведенному выше критерию.
· Установить U0 на
начало характеристики преобразования АЦП.
· Измерения U0 и
проводя измерения при каждом новом его значении, пройти всю характеристику
преобразования.
· По получаемым данным и приведенным выше формулам вычислять
значения dui.
· По вычисленным значениям dui составить характеристику преобразования АЦП в виде
таблицы.
Используя полученную характеристику, можно вычислить среднее значение
шага квантования ХП:
(2.21)
напряжения межкодового перехода, нелинейность, дифференциальную
нелинейность:
(2.22)
где dumax - значение шага квантования, дающего
максимальное отклонение от среднего значения ducp.
Подавая аналитический сигнал на полученную ХП, можно с помощью быстрого
преобразования Фурье получить коэффициент нелинейных искажений, вызванных
нелинейностью ХП.
цифровой сигнал генератор
РАЗДЕЛ 3. РАЗРАБОТКА ГЕНЕРАТОРА ТЕСТОВЫХ СИГНАЛОВ
Внедрение микропроцессорной, и вообще цифровой, техники в устройства
управления промышленными объектами требует от специалистов самого различного
профиля быстрого освоения этой области знания. В процессе разработки
функциональных схем цифровых устройств отчетливо выделяются два характерных
этапа. На первом этапе, который можно назвать структурным проектированием,
заданный неформально алгоритм разработчик представляет в виде
последовательности некоторых операторов, таких, как получение результата, счет,
преобразование кода, передача информации. При этом он старается использовать
ограниченный набор общепринятых операторов. При использовании этих операторов,
как правило, алгоритм можно представить довольно небольшим их числом. Структура
алгоритма становится обозримой, понятной, легко читаемой и однозначной. На
основе полученной структуры алгоритма формулируются технические требования к
схемам, реализующим отдельные операторы. По техническим требованиям в качестве
функциональных узлов схемы можно применить либо готовые блоки в интегральном
исполнении, либо, если таких микросхем в наличии нет, синтезировать их из более
простых элементов. Подобный синтез первоначально производится при помощи
алгебры логики, после чего по полученным функциям строится эквивалентная схема.
Однако, как правило, синтезированные схемы хуже их аналогов в интегральном
исполнении.
К этому приводят следующие обстоятельства: большее время задержки,
большие габариты, большее потребление энергии. Поэтому результативного
проектирования цифровых устройств разработчик должен уметь: выбрать наиболее
приемлемый вариант решения поставленной задачи, работать с алгеброй логики,
знать основные цифровые элементы и уметь их применять, по возможности знать
наиболее простые и распространенные алгоритмы решения основных задач. Знание
наиболее распространенных инженерных приемов в проектировании устройств
позволит в будущем сразу воспользоваться готовой схемой, не занимаясь
бесполезной работой. Необходимо заметить, что реализация схемы гораздо сложнее,
чем простое решение задачи в алгебре логики и наборе полученной функции из
логических элементов. В действительности даже, казалось бы, самые простые
элементы, необходимо включать по определенной схеме, знать назначения всех
выводов. Необходимо знать, чем различаются элементы в пределах серии. Понимание
внутренней логики микросхемы особенно важно именно для специалистов по
автоматике и промышленной электронике, поскольку цифровые микросхемы изначально
создавались для выполнения строго определенных функций в составе ПК. В условиях
автоматики и радиотехники они часто выполняют функции, не запланированные в
свое время их разработчиками, и грамотное использование микросхем в этих
случаях прямо зависит от понимания логики их работы. Хорошее знание тонкостей
функционирования схем узлов становится жизненно необходимым при поиске
неисправностей, когда нужно определить, имеется ли неисправность в данном узле
или же на его вход поступают комбинации сигналов, на которые схема узла не
рассчитана. Составление тестов, а тем более разработка само проверяемых схем
также требуют очень хороших знаний принципов работы узлов.
3.1 Разработка структурной схемы устройства
Работу устройства можно представить следующим образом. По переднему
фронту импульса начинается отсчет. При поступлении заднего фронта импульса или
при превышении заданного интервала времени отсчет останавливается. Если
значение в счетчике превышает заданный предел, на панели отображения выводится
сигнал «ошибка». В противном случае на панели отображения отображается
содержимое счетчика и величина измеренного интервала передается в устройство
обработки. Описанный алгоритм показан на рис. 3.1.
В состав структурной схемы войдут следующие элементы:
· Детектор фронтов
· Схема подсчета тактовых импульсов
· Тактовый генератор
· Схема преобразования параллельного кода в последовательный
· Схема отображения
Структурную схему можно представить так, как отображено на рисунке 3.2.
Рис. 3.2. Структурная схема
При поступлении переднего фронта измеряемого импульса детектор фронтов
(ДФ) формирует управляющий сигнал на начало счета. Формируемые тактовым
генератором (ТГ) импульсы поступают на схему подсчета тактовых импульсов (СУ).
При поступлении заднего фронта измеряемого импульса ДФ формирует сигнал
останавливающий счет. При этом количество подсчитанных импульсов выводится на
схему отображения (УО) и через схему преобразования параллельного кода в
последовательный (ПК) в устройство обработки.
Рис. 3.1. Алгоритм работы устройства
3.2 Разработка функциональной схемы устройства
Детектор фронтов состоит из двух ждущих мультивибраторов и триггера. Один
ждущий мультивибратор предназначен для выделения заднего фронта импульса и
сбрасывает триггер. Другой ждущий мультивибратор предназначен для выделения
переднего фронта импульса и переключает триггер в единичное состояние и
вырабатывает сигнал сброса счетчика. Оба мультивибратора вырабатывают импульсы
длительности необходимой для надежного переключения триггера.
Схема подсчета тактовых импульсов состоит из элемента «И» и счетчика.
Элемент «И» пропускает тактовые импульсы от генератора, только если триггер
находится в единичном состоянии. Счетчик обеспечивает подсчет импульсов.
Схема отображения содержит регистр, дешифратор и индикаторы.
Использование регистра позволяет избежать мерцания во время подсчета. Запись в
регистр выполняется только по окончанию подсчета длительности импульса.
Дешифратор необходим для преобразования двоично-десятичного кода в код
обеспечивающий отображение соответствующей цифры.
Рис. 3.3. Функциональная схема
Схема преобразования параллельного кода в последовательный состоит из
преобразования кода 8421 в код 8421+3 и сдвигового регистра обеспечивающего
преобразование параллельного кода в последовательный.
В состав тактового генератора входит генератор прямоугольных импульсов
заданной частоты и делитель частоты для сдвигового регистра.
Определим разрядность индикатора по формуле:
, (3.1)
где
- максимальное значение измеряемой величины;
-точность измерения.
Разрядность
регистра с параллельным вводом и последовательным выводом информации определим
исходя из того, что для отображения каждого десятичного разряда требуется 4
бита:
3.3 Разработка принципиальной схемы устройства
.3.1 Проектирование схемы детектора фронтов
Рис. 3.4. Схема детектора фронтов
Ждущий
мультивибратор можно реализовать на основе микросхемы К155АГ3. Она содержит два
ждущих мультивибратора с возможностью перезапуска. Каждый мультивибратор
содержит выходы
и
, вход
сброса
и два входа запуска:
- прямой
и
- инверсный, с активным низким уровнем.
Рис.
3.5. Ждущий мультивибратор
Длительность
импульса (при
) вычислим по формуле:
. (3.2)
Паразитная
емкость вывода RT на землю около 50пФ, поэтому максимальное время выходного
импульса 40нс.
Потребляемый
микросхемой К155АГ3 ток составляет 66мА, стекающий коллекторный ток выводов
может быть до 40мА.
Вход
используется для прямого запуска мультивибратора.
Сигнал сброса формируется с помощью RC звена: времязадающий
конденсатор
подключается между выводами 14 и 15 а также 6 и 7;
резисторы
подключаются
от выводов 15 и 7 к положительной шине питания 5В. Примем номиналы
и
:
Рис.
3.6. Триггер
Триггер
можно реализовать на основе микросхемы К555ТР2. Она содержит 4 независимых RS -
триггера, имеющих общую шину питания. У каждого триггера есть входы
и
, а также
комплиментарный выход
.
Логический
элемент «И» можно реализовать на основе микросхемы К155ЛИ1. Она содержит четыре
логических элемента «И». Время задержки для микросхемы К155ЛИ1:
,
,
потребляемый ток
,
.
Рис.
3.7. Логический элемент "И"
Схема
детектора фронтов и электронного ключа отображена на рисунке 3.4. Между
микросхемой К155АГ3 и RS триггером стоит логический элемент «И», на один вход
которого подается логический нуль и предусмотрена кнопка «Пуск» для установки RS
триггера в исходное (нулевое) состояние. В качестве элемента «И» используется
один элемент микросхемы К155ЛИ1.
3.3.2 Генератор тактовых импульсов
Рис. 3.8. Схема тактового генератора
Для работы счетчика и сдвигового регистра необходим генератор тактовых
импульсов. Схема генератора приведена на рисунке 7. Он построен на двух
элементах И-НЕ микросхемы К155ЛА3. Частота генерации определяется из
соотношения:
,
где
НОК - наименьшее общее кратное,
-
точность измерения,
- скорость передачи.
Частота
генерации определяется как:
. (3.4)
Приняв
, определим номинал резистора:
Примем
значение из номинального ряда
.
Для
получения частот в 10000Гц и 1200Гц необходимо применить делители частоты. В
качестве делителей удобно использовать счетчики К155ИЕ2 и К155ИЕ4. Для
реализации деления на 5 используем счетчик К155ИЕ2 (DD3) подавая
тактовые импульсы на вход C1 на выходе Q1 получим частоту деленную на 5.
Для реализации деления на 6 используем счетчик К155ИЕ4.
Рис.
3.9. Логический элемент "И-НЕ"
Рис.
3.10. Счетчики
3.3.3 Схема подсчета тактовых импульсов
Рис. 3.11. Схема подсчета тактовых импульсов
Для реализации схемы подсчета тактовых импульсов используем счетчики
К155ИЕ6. В этих счетчиках имеется возможность последовательного подключения с
целью увеличения разрядности. При этом выход «>15» подключается к тактовому
входу следующего счетчика. Для получения на выходе 12 разрядного
двоично-десятичного кода требуется 3 счетчика К155ИЕ6. Вывод переноса
последнего счетчика используем для индикации ошибки.
.3.4 Схема преобразования параллельного кода в последовательный
Рис. 3.12. Схема преобразования
Для реализации схемы преобразования параллельного кода в последовательный
выберем параллельно-последовательный регистр сдвига с параллельной записью
данных К155ИР1. К155ИР1 - четырехразрядный сдвиговый регистр.
Вход
разрешения параллельной загрузки
служит
для выбора режима работы регистра. Если на вход
подается
напряжение высокого уровня, разрешается работа тактового входа C2. В
момент прихода на этот вход отрицательного перепада тактового импульса в
регистр загружаются данные с параллельных входов D0-D3.
Рис.
3.13. Четырехразрядный сдвиговый регистр
Если
на вход
подано напряжение низкого уровня, то разрешается
работа тактовому входу С1. Отрицательные фронты последовательности тактовых
импульсов сдвигают данные от последовательности входа S1 на выход Q0,
затем на Q1,Q2,Q3, т.е. вправо.
Для
построения 12 разрядного регистра сдвига необходимо соединить 3 регистра
последовательно, причем выход Q3 предыдущего регистра соединяется со входом S1
последующего.
3.3.5 Схема управления
Рис. 3.14. Схема управления
Для согласования отдельных узлов устройства необходима схема управления.
В ее функции входит следующее:
· Управление записью данных в регистры сдвига
· Управление сдвигом данных записанных в регистры сдвига
· Прекращение передачи данных в устройство обработки после
передачи 12 разрядов
Анализ вышесказанного, позволяет сделать следующие выводы о необходимых
компонентах схемы управления:
· Для управления сдвигом потребуется счетчик с пересчетом до 12
· Для прекращения передачи потребуется электронный ключ на
триггере
· Для согласования по времени переключения логических элементов
потребуются элементы задержки.
По
заднему фронту изменяемого импульса с выхода детектора фронтов на входную схему
задержки поступает положительный импульс. Со схемы задержки этот импульс
поступает на вход
триггера (электронного ключа), а также на вход C2
регистров сдвига. На выходе
формируется
логический ноль и через элемент задержки поступает на вход
регистров сдвига, что переводит регистры в режим
сдвига. После поступления заднего фронта импульса на вход С2 регистров сдвига
происходит запись в эти регистры с выхода схемы подсчета. В это время триггер
уже установлен в единичное состояние и логическая единица с выхода
поступает на элемент «И-НЕ», что дает возможность
тактовым импульсам поступать на вход C1 регистров сдвига. По достижении
счетчиком значения 12 через элемент «И» сигнал поступает на вход R
триггера и переводит его в нулевое состояние, тем самым закрывая тактовым
импульсам путь через элемент «И-НЕ».
При
выполнении данной дипломной работы были проведены расчет и построение узлов
устройства.
Учитывались
основные параметры влияющие на работу цифрового устройства. Был произведен
синтез структурной, функциональной и электрической принципиальной схем
заданного устройства, выбраны и обоснованы критерии подбора интегральных микросхем,
проведена их сравнительная оценка.
РАЗДЕЛ 4. ОХРАНА ТРУДА
Введение
Охрана труда - это система законодательных актов и соответствующих им
социально-экономических, технических, гигиенических и организационных
мероприятий, обеспечивающих безопасность, сохранение здоровья и
работоспособности человека в процессе труда.
Техника безопасности - это система организационных и технических
мероприятий и средств, предотвращающих воздействие на человека опасных
производственных факторов, которые вызывают при нарушении правил безопасности
несчастные случаи, травмы.
Производственная санитария - это система организационных, гигиенических и
санитарно-технических мероприятий и средств, предотвращающих воздействие на
работающих вредных производственных факторов, то есть факторов, вызывающих
заболевания.
Гигиенические нормативы на микроклимат
Микроклимат в рабочей зоне определяется действующими на организм человека
сочетаниями температуры, влажности и скорости движения воздуха, а также
температурой окружающих поверхностей.
Повышение влажности затрудняет теплоотдачу организма путем испарения при
высокой температуре воздуха и способствует перегреву и наоборот, усиливает
теплоотдачу при низкой температуре, способствуя переохлаждению. Оптимальными
считаются такие сочетания параметров микроклимата, которые при длительном
воздействии на человека обеспечивают сохранение нормального функционального и
теплового состояния организма без напряжения его физиологических способностей к
терморегуляции, что создает ощущение теплового комфорта и является для высокой
работоспособности. Приведем примеры норм. Для тяжелых работ в теплый период
года оптимальная температура равна 18...21 С, а допустимая при значительных
избытках явной теплоты на 5 С выше средней температуры наружного воздуха в 13
самого жаркого месяца, но не выше 26 С. Относительная влажность при этом до
65%.Скорость движения воздуха 0,5...1 м/c (оптимальная 0,5м/c). В холодный
период года на тех же работах оптимальная температура составляет 16...18 С,
допустимая 13...19 С. В ряде случаев, указанных в ГОСТе, допускаются
определенные отклонения от норм.
Производственное помещение должно иметь не менее 15 м объема и
,5 м площади на каждого работающего в нем. Высота производственных
помещений от пола до потолка должен быть не менее 3,2м, а помещений
энергетического и транспортно-складского хозяйства, если люди там находятся
непостоянно, не менее 3м.
Полы нужно делать ровными нескользкими. Если полы холодные, у рабочих
мест необходимо положить деревянные решетки или коврики. Для предотвращения
сквозняков у наружных входов и въездов в производственные помещения следует
делать тамбуры с самозакрывающимися дверями.
Станки, верстаки нужно расставлять так чтобы между рабочими местами был
проход шириной не менее 1м, не требовалось перемещать грузы грузоподъемными
устройствами над рабочими местами.
Перечень вредных и небезопасных факторов
Рабочее место обычно проектируется так, чтобы оно наилучшим образом
удовлетворяло эргономическим требованиям. Темой дипломного проекта является
разработка измерителя параметров электронных систем контроля доступа на базе
микроконтроллера. Основное время при разработке устройства занимает работа на
ПК. Рассмотрим основные факторы рабочей среды при работе с ПК.
Нормативные показатели производственного микроклимата установлены ГОСТ
12.1.005-88,. Этими нормами регламентировали показатели микроклимата в рабочей
зоне производственного помещения: температуру, относительную влажность и т.д.
По этим нормам в помещении поддерживаются следующие показатели:
- температура окружающей среды в холодный период года 20-22 ˚C, в
тёплый период 22-25 ˚C (за счет отопления и проветривания помещения);
относительная влажность воздуха 40-60%.
-
содержание пыли не более
при размере частиц максимум 3 мкм (за счет регулярных
уборок помещения).
Освещение служит одним из важнейших факторов, влияющих на
производительность труда. Рационально устроенное освещение на рабочих местах
является существенным показателем высокого уровня культуры труда, неотъемлемой
частью научной организации труда и эстетики производства.
Важной задачей является выбор вида освещения (искусственное или
естественное) и в соответствии с этим - выбор типа производственного помещения
(с окнами или без окон). Наиболее благоприятно для человека естественное
освещение.
Для достаточного естественного освещения площадь окон в рабочем помещении
составляет не менее 1/3 от общей площади стен.
Однако применение естественного света имеет много недостатков:
поступление света, как правило, только с одной стороны, неравномерность
освещённости в пространстве и т.д. Применение искусственного освещения помогает
избегать этих недостатков, но помещение без окон создаёт в ряде случаев у людей
чувство дискомфорта. Особенно сильно это проявляется в помещениях малого
объёма. В больших помещениях данный недостаток практически отсутствует, поэтому
здесь предпочтительно применение искусственного освещения.
Для искусственного освещения используются главным образом люминесцентные
лампы, у которых высокая световая отдача (до 75 лм/Вт и более), продолжительный
срок службы (до 1000 часов), малая яркость светящейся поверхности, близкий к
естественному спектральный состав света, что обеспечивает хорошую
цветопередачу. Наиболее приемлемыми являются люминесцентные лампы ЛБ (белого
цвета) и ЛТБ (тепло белого цвета) мощностью 20, 40 и 80 Вт. Рекомендуемая
освещенность для работы с экраном составляет 200 лк, а в сочетании с работой
над документами 400 лк.
Шум - совокупность апериодических звуков, неблагоприятно воздействующих на
организм человека, мешающих его работе и отдыху.
Шум на рабочем месте в помещении создается внутренними источниками:
техническими средствами, преобразователями напряжения и другим оборудованием,
также шумом, проникающим в помещение извне. Гигиенические нормативы шума
определены ГОСТ 12.1.003-83 и СН 2.2.4/2.1.8.562-96. В соответствии с этими
документами уровень шума на рабочем месте программистов вычислительных машин
составляет не более 50 дБ.
Шум влияет на весь организм человека: угнетает ЦНС, вызывает изменение
скорости дыхания и пульса, способствует нарушению обмена веществ, возникновению
сердечно-сосудистых заболеваний, язвы желудка, гипертонической болезни, может
приводить к профессиональным заболеваниям.
Для снижения шума, создаваемого на моем рабочем месте, внутренними
источниками, а также шума, проникающего извне, предусматривается:
ослабление шума самих источников, в частности звукоизолирующих кожухов;
применение рационального расположения оборудования;
использование архитектурно-планировочных и технологических решений,
направленных на изоляцию внешних источников шума.
Основные меры устранения опасности поражения электрическим током
Электрическая изоляция токоведущих частей электроустановок от частей,
находящихся под иным потенциалом, в том числе от земли, необходима не только
для нормальной работы установки, но и для безопасности людей. Изоляция проводов
и кабелей предотвращает прикосновение к их токоведущим жезлом. Кроме того, в
электрический сети, питающейся от генератора или трансформатора с изолированной
от земли обмоткой, через человека, прикоснувшегося к одной из токоведущих жил,
течет тип меньшей ток, чем лучше изоляция двух других жил о земли.
Если какой-либо точке любого провода произойдет повреждение изоляции, то
возникающее электрические соединение с землей в сети с изолированной нейтралью
называется однофазным замыканием на землю такое соединение с землей не является
коротким замыканием, потому что на пути тока от провода с поврежденной
изоляцией к токоведущим жилам проводов других фаз будет сопротивление этих двух
проводов относительно земли. Ток однофазного замыкания в сети с изолированной
нейтралью значительно меньше тока короткого замыкания между проводами или между
проводами и землей в сети, заземленной нейтралью. Если замыкание на землю
произойдет через тело человека, то в сети с изолированной нейтралью ток через
человека будет значительно меньше, чем в сети с заземленной нейтралью.
В установках напряжением до 1000 В сети с изолированной нейтралью
безопаснее сетей с заземленной нейтралью только при условии хорошей изоляции
фаз относительно земли и сравнительно небольшой протяженности сети, так как чем
длиннее провода, тем больше значение емкостных токов и токов утечки.
Изоляции силовой или осветительной электропроводки считается достаточной,
если ее сопротивление между проводом каждой фазы и землей, или между разными
фазами на участке, ограниченном последовательно включенными установочными
автоматами или плавкими предохранителями или за последним предохранителем
составляет не менее 0,5 МОм (500 000 Ом).
Действие электрического тока на организм человека
Электрический удар характеризуется поражением всего организма в целом,
что может привести к гибели человека. Характер электрических поражений зависит
от физических параметров тока (его силы напряжения, частоты и т.д.),
электрического сопротивления тела человека, продолжительности воздействия тока
на человека и виды электрической цепи.
Человек начинает ощущать протекающий через него ток промышленной
частоты(50 Гц) при относительно малом его значении: 0,6-1,5 мА.
Защита от инфразвука и вибрации
Инфразвук - область акустических колебаний с частотой ниже 16-20 Гц. В
условиях производства инфразвук, как правило, сочетается с низкочастотным
шумом, в ряде случаев с низкочастотной вибрацией.
При воздействии инфразвука на организм уровнем 110...150 дБ могут
возникать неприятные субъективные ощущения и многочисленные реактивные
изменения: сердечно-сосудистой и дыхательной системах, вестибулярном
анализаторе.
Гигиеническая регламентация инфразвука производится по санитарным нормам
СН 2.2.4/2.1.8.583-96, которые задают предельно допустимые уровни звукового
давления (УЗД) на рабочих местах для различных видов работ, а также в жилых и
общественных помещениях.
На людей может воздействовать ударная волна. Прямое воздействие возникает
в результате воздействия избыточного давления и скоростного напора воздуха.
Ввиду небольших размеров тела человека ударная волна мгновенно охватывает
человека и подвергает его сильному сжатию в течение нескольких секунд. Мгновенное
повышение давления воспринимается живым организмом как резкий удар.
Защита от вибрации
Линейные вибросистемы состоят из элементов массы упругости и
демпфирования. В общем случае в системе действуют силы, инерции, трения,
упругости вынуждающие.
Сила инерции, как известно, равна произведению массы М на ее ускорение:
= M*dV/dt; (4.1)
где V-виброскорость.
Сила F направлена в сторону, противоположную ускорению. При вибрации
упругих систем происходит рассеяние энергии в окружающую среду, а также в материале
упругих элементов и в узлах сочленения деталей конструкции. Эти потери
вызываются силами трения - диссипативными силами, на преодоление которых
непрерывно и необратимо расходуется энергия источника вибрации.
Расчет короткого замыкания
Объект
исследования - «Генератор тестовых сигналов, работающий на традиционных
источниках энергии. Разработаны математические модели расчета симметричных и
несимметричных токов КЗ в схемах главных электрических соединений ЭЭО, методы и
алгоритмы автоматизации проектных процедур. Расчет токов КЗ в сложной схеме
представляет собой сложную задачу, и применение средств вычислительной техники
для ее решения довольно целесообразно. Для расчета тока КЗ в
электроустановках применяются принцип наложения собственно аварийного режима на
предыдущий нагрузочный режим, который использует собственные и взаимные
сопротивления и проводимости. По исходной треугольной матрице сопротивлений
ветвей схемы замещения электрической сети формируется матрица узловых
проводимостей
С помощью стандартной программы обращения матрицы
определяется матрица узловых сопротивлений
. Потом рассчитывается нагрузочный и аварийный режимы
электрической сети с использованием известного матричного уравнения:
(4.2)
где
U и I - матрицы столбцы узловых напряжений и узловых токов. Напряжение узла в
нагрузочном режиме:
(4.3)
где
N - число узлов в схеме замещения. В аварийном режиме в схеме замещения есть
лишь один источник тока в узле КЗ (имеет обозначения "c"):
(4.4)
При
этом напряжение в і-ом узле:
(4.5)
После
определения напряжений во всех узлах схемы замещения токи в ветвях находят по
выражению:
(4.6)
Алгоритм
позволяет рассчитать и токи КЗ за ветвями, которые находятся за исходной точкой
КЗ. Данные ветви в матрице узловых проводимостей не учитываются. Ток КЗ и
напряжение в і-ом узле при КЗ за такой ветвью находят по формулам:

(4.7)
где
- сопротивление ветви, которое заканчивается точкой
КЗ. Метод расчета токов однофазного и двухфазного КЗ на землю имеет много
общего с рассмотренным выше методом расчета трехфазного КЗ. Путем обращения
получается матрица узловых сопротивлений
. Дале
рассчитываем токи однофазного и двухфазного КЗ в месте замыкания по следующим
выражениям:

(4.8)
Напряжение
в нагрузочном режиме и суммарные сопротивления прямой последовательности в
узлах схемы замещения известны из результатов предыдущего расчета токов
трехфазного КЗ. Напряжения нулевой последовательности во всех узлах схемы
замещения составляют:

(4.9)
Токораспределение в ветвях схемы замещения нулевой последовательности
определяется согласно закона Ома для участка сети путем деления разности
напряжений в узлах ветвей на сопротивление.
Противопожарная безопасность
Согласно стандартному определению, пожар - это неконтролируемое горение
вне специального чага, наносящее материальный ущерб. Основной причиной пожаров
(до 40 %) на предприятиях являются нарушения, связанные с технологическим
режимом.
Пожары в помещениях представляют большую опасность для работающих и могут
причинить огромный материальный ущерб. Пожарная безопасность может быть
обеспечена мерами пожарной профилактики и активной пожарной защиты. Инструктаж
по пожарной безопасности проводится не реже одного раза в три месяца.
Основной задачей пожарно-профилактической работы является разработка и
осуществление мероприятий, направленных на устранение причин, вызывающих
пожары, на создание условий эвакуации людей и имущества в случае пожара, на
обеспечение своевременного вызова пожарных частей и успешное тушение пожаров.
Процесс горения прекращается, если:
) очаг горения изолируется от воздуха;
) концентрация кислорода снижается до предельного значения (для
большинства веществ до 12- 15%);
) горящие вещества охлаждаются ниже температур самовоспламенения,
воспламенения;
) осуществляется интенсивное ингибирование (торможение скорости
химической реакции в пламени) и в некоторых других случаях. Вещества, которые
способствуют созданию перечисленных выше условий, называются огнетушащими.
Различают первичные, стационарные и передвижные средства пожаротушения.
Для различных объектов и помещений существуют нормы первичных средств
пожаротушения. На каждые 100 кв.м. пола производственных помещений обычно
требуются 1-2 огнетушителя. Время действия пенных огнетушителей 50-70 с, длина
струи 6-8 м.
Для предупреждения возникновения загорания каждый работник обязан:
содержать в чистоте и порядке рабочее место и закреплённое оборудование;
при выполнении работы не загромождать проходы, коридоры и подходы к первичным
средствам пожаротушения;
хранить горючие вещества и легковоспламеняющиеся жидкости только в
специальном шкафу;
- при окончании паяльных работ отключить паяльник от сети, неостывший
паяльник не складывать в стол;
- перед уходом с работы проверить состояние рабочего места на
пожаробезопасность и принять все меры, исключающие возникновение пожара;
Запрещается:
использовать первичные средства пожаротушения для хозяйственных целей;
оставлять после окончания работы включенные токоприёмники, освещение и
открытые окна;
курить на рабочем месте;
размещать легковоспламеняющиеся жидкости в зоне работы паяльника;
устанавливать и эксплуатировать электронагревательные приборы бытового
назначения;
отключать динамики от радиотрансляционной сети.
При обнаружении пожара или загорания необходимо:
немедленно сообщить о случившемся в пожарную охрану и телефонисту цеха
или объекта;
приступить к тушению пожара имеющимися средствами пожаротушения
(огнетушитель, внутренний пожарный кран);
принять меры по вызову к месту пожара начальника цеха, объекта, участка
или другого должностного лица.
Выводы
В данном разделе дипломного проекта освещены основные вопросы из техники
безопасности и организации условий труда, проведен анализ опасных и вредных
производственных факторов. В соответствии с государственными стандартами и
Законом Украины, а также Санпин 2.2.2.542-96 данная развернута характеристика
охраны труда и пожарной опасности помещений и среды, в которых будет
эксплуатироваться проектируемый объект. В соответствии с принятыми нормами
обеспечивается необходимый микроклимат, минимальный уровень шума, создания
удобного и правильного с точки зрения эргономики рабочего места. В процессе
работы одним из важнейших факторов, которые влияют на производительность и
вредность труда при длительной работе, является излучение на рабочем месте. Это
достигается правильным выбором защитных средств и контроля за время работы.
РАЗДЕЛ 5. ОХРАНА ОКРУЖАЮЩЕЙ СРЕДЫ
Защита рабочих и служащих объекта в чрезвычайных ситуациях (ЧС)
представляет собой систему социально - экономических, организационных,
технических и лечебно - профилактических мероприятий и средств, а также
законодательных актов, обеспечивающих безопасность, сохранение здоровья и
работоспособности человека в процессе труда.
Защита рабочих и служащих выявляет и изучает возможные причины
производственных несчастных случаев, профессиональных заболеваний, аварий,
взрывов, пожаров и разрабатывает систему мероприятий и требований с целью
устранения этих причин и создания, безопасных и благоприятных для человека
условий труда.
Сложность стоящих перед защитой рабочих и служащих задач требует
использования достижений и выводов многих научных дисциплин, прямо или косвенно
связанных с задачами создания здоровых и безопасных условий труда.
Так как главным объектом защиты является человек в процессе труда, то при
разработке требований производственной санитарии используются результаты
исследований ряда медицинских и биологических дисциплин.
Успех в решении проблем защиты в большой степени зависит от безопасности
функционирования объектов экономики (ОЭ). Эта безопасность в свою очередь
зависит от многих факторов: физико-химических свойств сырья, полупродуктов и
продуктов, от характера технологического процесса, от конструкции и надежности
оборудования, условий хранения и транспортирования материалов, состояния
контрольно-измерительных приборов и средств автоматизации, эффективности
средств противоаварийной защиты и т. д. Кроме того, безопасность производства в
значительной степени зависит от уровня организации профилактической работы,
своевременности и качества планово-предупредительных ремонтных работ,
подготовленности и практических навыков персонала, системы надзора за
состоянием технических средств противоаварийной защиты.
Наличие такого количества факторов, от которых зависит безопасность
функционирования ОЭ, делает эту проблему крайне сложной.
Безопасность производственной деятельности
Наибольшую опасность для жизнедеятельности производственного персонала
представляют аварии и катастрофы технических систем.
Под аварией понимают непредвиденную внезапную остановку или нарушение
нормальной (штатной) работы производственного (технологического) процесса. Как
правило, авария сопровождается повреждением или уничтожением техники и других
материальных ценностей, а также травматизмом работников технических систем и
случайно оказавшихся на месте аварии других людей. Следствием аварий могут быть
пожары и взрывы, которые усугубляют их негативное воздействие на безопасность
людей и окружающей среды.
Катастрофой называют внезапное бедствие, событие в технической системе
или природной среде, влекущее за собой трагические последствия - разрушение
зданий, сооружении и других компонентов технических систем, уничтожение
материальных ценностей и гибель людей. Катастрофы и аварии, как правило,
сопровождаются пожарами и взрывами, затрудняющими оказание помощи пострадавшим
и ликвидацию последствий этих чрезвычайных происшествий.
Причинами аварий и катастроф могут являться стихийные бедствия, нарушения
режимов технологических процессов (несоблюдение технологической дисциплины)
либо правил эксплуатации производственного, энергетического, транспортного и
др. оборудования, а также правил техники безопасности. Особо тяжкие последствия
имеют аварии и катастрофы на предприятиях атомной, химической, газовой,
горнодобывающей промышленности, на железнодорожном, автомобильном, воздушном и
водном транспорте. Такие аварии и катастрофы зачастую оказывают губительное
влияние не только на людей, но и на природную среду, вызывая загазованность
атмосферы, разливы на суше и воде нефти, нефтепродуктов, агрессивных жидкостей,
сильнодействующих ядовитых веществ (СДЯВ), выбросы радионуклидов.
В последние годы число крупных аварий и катастроф неуклонно возрастает во
всем мире, в том числе и в России. Для выявления их общих закономерностей в РФ
создана компьютерная база данных, названная Банком аварийных ситуаций (БАС). Здесь
содержатся сведения о чрезвычайных происшествиях во многих отраслях экономики;
генезис и детали происшествий; главные ошибки производственного персонала;
размеры ущерба; программа расчета сил и средств, необходимых для ликвидации
этих последствий. БАС используется при обучении специалистов производства и
спасателей, а также для профилактики аварийных ситуаций.
Общепризнанно, что все современные технические системы не являются
абсолютно безопасными. Объективно они всегда потенциально опасны, так как в них
происходят процессы (явления) и содержатся объекты, способные в определенных
условиях нанести ущерб (вред) здоровью человека и даже лишить его жизни. Данные
процессы и объекты, действующие на организм человека непосредственно или
косвенно, принято называть опасными и вредными факторами. Эти факторы действуют
во внешне определенной области пространства, которую называют опасной зоной.
Нахождение человека в данной зоне и нарушение им правил безопасности
может привести к несчастным случаям, т.е. травме, аварии, катастрофе. Опасность
может быть оценена количественно, например, величиной риска. Риск понимается
как возможность (вероятность) возникновения нежелательного события за
определенный отрезок времени. Величина риска и обратная величина - уровень
безопасности - зависят от конкретных условий и обстоятельств, в которых
протекает жизнь и деятельность человека, а также от его психофизиологических
свойств, определяющих его поведение при нахождении в опасной зоне.
Риск в производственной среде определяется прежде всего техническими
факторами: устойчивостью работы машин, оборудования, инструментов,
приспособлений, а также методами технологии и организации производства,
условиями микроклимата на рабочем месте. Именно эти факторы при неблагоприятном
стечении обстоятельств становятся вредными и опасными для работников,
приводящими к травмам, заболеваниям, а также к летальному исходу.
Большое значение для снижения аварий в производственной среде имеет
повышение надежности технических систем. Надежность техники и технологии
определяется безотказной, безаварийной работой в течение определенного отрезка
времени, например, гарантийного срока. Обеспечение надежности технических
систем закладывается еще при их проектировании, контролируется при изготовлении
и эксплуатации.
В последние годы при проектировании (конструировании), изготовлении
(строительстве) и эксплуатации технических и систем управления в различных
сферах деятельности чрезвычайно широко применяются персональные компьютеры и
всевозможные компьютерные программы.
Работа с компьютерами программистов, операторов и других пользователей
связана с дополнительными вредными и опасными факторами, негативно
воздействующими на организм человека. Например, неблагоприятное воздействие на
зрение оказывает несоблюдение стандартных визуальных эргономических параметров
экрана, размер минимального элемента отображения, мерцание изображения,
отражательная способность (блики) и др. Работающий компьютер создает
электромагнитное поле, неблагоприятно действующее на организм человека. Это
поле может вызывать радиопомехи, т.е. мешать работе радио- и телеаппаратуры,
что приводит к снижению надежности технической системы или системы управления,
к увеличению риска возникновения аварийной ситуации в производственной среде.
Для обеспечения безопасности работы с компьютером разработаны и должны
повсеместно применяться стандарты на мониторы, требования к помещениям для
эксплуатации компьютеров и к организации и оборудованию рабочих мест. Эти
сведения публикуются в специальной периодической печати.
Технология производства большей части технических систем в РФ связана с
большим количеством газообразных и жидких промышленных отходов, которые перед
выбросом в атмосферу или гидросферу подлежат обязательной очистке. Твердые
отходы перед отправлением в отвалы или захоронением в специально отведенных
местах должны проходить специальную обработку с целью извлечения ценных и
полезных веществ. В современных условиях экономического кризиса большая часть
очистных сооружений на предприятиях работает неэффективно либо не работает
вовсе, а на некоторых из них таких сооружений вообще не существует. Поэтому во
многих промышленных районах (регионах) отходы производства попадают в
окружающую природную среду без очистки, резко ухудшая экологическую обстановку
или приводя к экологическим кризисам. Радикальными способами изменения ситуации
являются: утилизация (т.е. переработка или употребление с пользой) отходов,
создание малоотходных и безотходных технологий, надежное захоронение
радиоактивных отходов и сильнодействующих ядовитых веществ. Последнее в
настоящее время не терпит отлагательств. В противном случае в начале III
тысячелетия может произойти глобальная экологическая катастрофа.
Устойчивость работы объектов экономики
Одной из наиболее важных и в то же время сложных задач защиты рабочих и
служащих является повышение устойчивости работы объектов промышленности в
условиях ЧС.
Понятие об устойчивости объекта
Под устойчивостью работы объекта народного хозяйства понимается
способность объекта выпускать установленные виды продукции в объемах и
номенклатурах, предусмотренных соответствующими планами (для объектов, не
производящих материальные ценности, - транспорт, связь и др. -выполнять свои
функции), в условиях ЧС, а также приспособленность этого объекта к
восстановлению в случае повреждения.
Мероприятия по обеспечению устойчивости работы объекта прежде всего
должны быть направлены на защиту рабочих и служащих от оружия массового
поражения и от последствий ЧС; они тесно связаны с мероприятиями по подготовке
и проведению спасательных и неотложных аварийно-восстановительных работ в
очагах поражения, так как без людских резервов и успешной ликвидации
последствий ЧС в очагах поражения проводить мероприятия по обеспечению
устойчивой работы объектов народного хозяйства достаточно проблематично.
На устойчивость объектов влияют следующие факторы:
• степень надежности защиты рабочих и служащих;
• бесперебойное снабжение объекта всеми видами энергии, водой, сырьем,
комплектующими изделиями;
• наличие плана перевода производства на особый режим работы в экстренных
ситуациях;
• степень надежности управления производством;
• надежность действия производственных связей;
• заблаговременная подготовка к восстановлению производства. Одним из
наиболее важных направлений в повышении устойчивости работы объекта является
строгое соблюдение инженерно-технических требований ГО еще на стадии его
проектирования и строительства.
В последующем, в ходе работы и износа оборудования, оценивается
физическая устойчивость и разрабатываются дополнительные мероприятия по ее
повышению.
Методика оценки устойчивости
К оценке устойчивости объекта привлекаются инженерно-технический персонал
и работники штаба ГО объекта, а при необходимости - сотрудники
научно-исследовательских и проектных организаций, связанных с его работой.
Общее руководство исследованиями осуществляет начальник ГО объекта - он
же руководитель данного предприятия (объекта). Его приказом определяются группы
специалистов и план проведения работ; руководство возлагается на главного
инженера.
На промышленных объектах обычно создаются группы по обследованию:
• зданий и сооружений, руководитель - заместитель директора по
капитальному строительству (начальник ОКС);
• коммунально-энергетических сетей, старший - главный энергетик;
• станочного и технологического оборудования, старший - главный механик;
• технологического процесса, старший - главный технолог;
• управления производством, старший - начальник производственного отдела;
• материально-технического снабжения и транспорта, старший - заместитель
директора по материально-техническому снабжению и др.
Вышеперечисленные группы проводят всю расчетную работу по исследованию
устойчивости работы объекта.
Конечной целью данного анализа является объективная оценка устойчивости
работы объекта в экстремальных условиях и его заблаговременная подготовка к
восстановлению в случае, если он подвергнется разрушению.
ЗАКЛЮЧЕНИЕ
Организация и улучшение условий труда на рабочем месте является одним из
важнейших резервов производительности труда и экономической эффективности
производства, а также дальнейшего развития самого работающего человека. В этом
главное проявление социального и экономического значения организации и
улучшения условий труда.
Для поддержания длительной работоспособности человека большое значение
имеет режим труда и отдыха. Под рациональным физиологически обоснованным
режимом труда и отдыха подразумевается такое чередование периодов работы с
периодом отдыха, при котором достигается высокая эффективность общественно-
полезной деятельности человека, хорошее состояние здоровья, высокий уровень
работоспособности и производительности труда.
Важной организационной предпосылкой рационального сменного режима труда
является устранение вызванных случайными перебоями производственного процесса
простоев штурмовщины.
После установления нормального производственного процесса сменный режим
труда и отдыха рабочих становится фактором ритмизации труда, эффективным
средством предупреждения утомления работающих.
Рациональная организация труда на рабочем месте связана с такой
проблемой, как правильная организация работы в течение всей недели, что
обеспечивается систематической научной организацией производства.
Для поддержания длительной работоспособности человека имеет большое
значение не только суточный и недельный режим труда и отдыха, но и месячный,
поэтому законодательством о труде предусмотрен еженедельный непрерывный отдых
продолжительностью не менее сорока двух часов. А рациональный годовой режим
труда и отдыха обеспечивается ежегодным отпуском.
Для создания оптимальных условий труда на рабочем месте необходимо, чтобы
на предприятии были установлены оптимальные показатели этих условий для каждого
вида производства, состоящие из данных, характеризующих производственную среду.
Для получения доступа к работе все принимаемые должны проверить состояние
здоровья, т.е. пройти медицинский профотбор.
ВЫВОДЫ
В данной дипломной работе был разработан генератор цифровых тестовых
сигналов. При выполнении работы были проведены расчет и построение узлов
разрабатываемого устройства. Учитывались основные параметры, влияющие на работу
генератора. Был произведен синтез структурной, функциональной и электрической
принципиальной схем заданного устройства, выбраны и обоснованы критерии подбора
интегральных микросхем, проведена их сравнительная оценка.
В процессе выполнения дипломной работы были рассмотрены существующие
модели цифровых сигналов. Рассмотрены методы цифровой обработки сигналов,
методика измерений характеристик АЦП.
На завершающем этапе написания дипломной работы были
рассмотрены вопросы охраны труда и охраны окружающей среды.
ЛИТЕРАТУРА
1. Аналоговые
и цифровые интегральные схемы / Под редакцией С.В. Якубовского - М.Сов.
радио1979
2. Преснухин
Л.Н. Воробьев Н.В. Шишкевич А.А. Расчет элементов цифровых устройств М. Высшая
школа 1982
. Алексенко
А.Г. Основы микросхематехники. М., Сов. Радио, 1977.
. Швецкий
Б.И. Электронные измерительные приборы с цифровым отсчетом. Киев, Техника,1970
. Вострокнутов
Н.Н. Испытания и поверки цифровых измерительных приборов. М., Изд-во
стандартов, 1977
. Луковников
А.В, Шкрабак В.С. Охрана труда. М 1991
. Яневич
Ю.М. Задачи приема сигналов и определения их параметров на фоне шумов: Курс
лекций. / СПбУ.
. «Электроника»
В.И. Лачин, Н. С. Савёлов. Феникс 2000г
. Жмурин
Д.Н. Математические основы теории систем: уч. пос.- Новочеркасск, 1998
. Лебедев
О.Н., Мирошниченко А.И., Телец В.А. Изделия электронной техники: цифровые
микросхемы, микросхемы памяти, микросхемы ЦАП и АЦП.- М.: Радио и связь, 1994
. Справочник.
«Интегральные микросхемы и их зарубежные аналоги». Под редакцией Нефёдова А.В.
М.: Радиософт. 1994г.-
. Справочник.
«Диоды, тиристоры, транзисторы и микросхемы общего назначения». Воронеж. 1994г.