Цех по производству комплексных плит покрытия промышленных зданий
Содержание
Введение
1. Технологическая часть.
Характеристика и номенклатура продукции
2. Сырьё и полуфабрикаты. Подбор и
корректировка состава бетона
· Требования к применяемым
материалам
· Расчет длины напрягаемого
арматурного стержня
3. Технология производства.
Технологическая схема производства
· Описание выполнения
технологических операций, включающее очистку и смазку форм, укладку и
уплотнение бетонной смеси, тепловлажностную обработку и режим выдержки изделий,
отделку и комплектацию изделий
4. Режим работы цеха и
производственная программа
5. График режимов
ТВО
. Подбор
оборудования и тепловых установок
. Контроль
производства
8. Техника безопасности, охрана
труда и окружающей среды
. Технико-экономическая часть
Список используемой литературы
Введение
Комплексные плиты покрытия размером 3х6 должны
изготавливаться в соответствии с ГОСТ 22701-77 «Плиты покрытия железобетонные
для зданий предприятий. Технические условия».
Плиты предназначены для покрытия одно-, двух- и
многоэтажных промышленных зданий II
степени ответственности с шагом несущих строительных конструкций 6м. Плиты
могут использовать в отапливаемых здания с относительной влажностью не более
85% и в неотапливаемых возведенных в сухой, нормальной и влажной зонах
влажности с неагрессивной или слабоагрессивной газообразной средой.
Сейсмичность района строительства не должна превышать 7-8 баллов.
Плиты относятся к категории несгораемых
железобетонных материалов с пределом огнестойкости 0, 3 часа.
Плиты представляют собой многослойную ребристую
с лицевой стороны конструкцию, состоящую из несущей основы в виде ребристой
предварительно напряженной железобетонной плиты, пароизоляции, слоя
теплоизоляции и нижнего слоя гидроизоляционного ковра. В конструкцию плиты
входят стержни преднапрягаемой арматуры, армирующие сетки, а так же закладные
детали для соединения плит между собой и конструкцией при монтаже.
В качестве несущей основы комплексных плит
используются типовые железобетонные плиты серий 1.465-3, 1.465-7, ГОСТ
22701-77.
В качестве теплоизоляции приняты: керамзитобетон
(g=500
кг/м3), перлитобетон (g=400 кг/м3), ячеистый бетон (g=400
кг/м3), керамзитовый гравий (g=400 кг/м3).
В качестве пароизоляции применяется изол или
рубероид марки РКМ-350Б, допускается применение бризола и полиэтиленовой плёнки
толщиной 0,2 мм.
В качестве гидроизоляционного слоя применяется
рубероид марки РКМ-390Б наклеиваемый: на холодных битумных мастиках - по
основаниям из монолитных бетонов и цементно-песчаного раствора; на горячих
кровельных мастиках - по всем видам оснований.
Материалы обозначаются:
· Для пароизоляции: И - изол; Р - рубероид;
· Для утеплителей: К - керамзитобетон;
ПБ - перлитобетон; Я - ячеистый бетон;
1.
Технологическая часть. Характеристика и номенклатура продукции
Рисунок 1.1 - Эскиз плиты.
- несущая железобетонная плита; 2-
пароизоляция; 3- керамзитобетон;
- перлитобетон; 5- цементно-песчаная
стяжка; 6- гидроизоляционный слой; 7- керамзитовый гравий; 8- ячеистый бетон;
9- ограждающие бортики из керамзита.
Номенклатура продукции
Таблица 1.1
|
Тип
плиты
|
Утеплитель
|
Масса
утеплителя, кг/м3
|
Толщина
утеплителя, мм
|
Расход
материалов для плит размером 3х6 м
|
Масса
несущей плиты, т
|
Масса
комплексной плиты, т
|
|
|
|
|
Утеплитель,
м3
|
Пароизо
ляция
|
Стяжка
|
Гидроизоляция
|
Бетон
на несущую плиту, м3
|
|
|
|
|
|
|
|
Рубероид,
м2
|
Битум,
кг
|
Цементно-песчаный
раствор, м3
|
Рубероид,
м2
|
Битум,
кг
|
|
|
|
|
Тип
1
|
керамзитобетон
|
500
|
100
120
|
1,54
1,82
|
18
|
-
|
0,23
|
16
|
16
|
1,07
|
2,65
|
3,91
4,05
|
|
Тип
2
|
перлитобетон
|
400
|
80
100 120
|
1,24
1,54 1,82
|
18
|
-
|
0,23
|
16
|
16
|
1,07
|
2,65
|
3,64
3,76 3,87
|
|
Тип
3
|
керамзитовый
гравий, бортики из керамзитобетона
|
500
|
100
120
|
1,46
1,75
|
18
|
-
|
0,26
|
16
|
16
|
1,07
|
2,65
|
3,84
3,97
|
|
Тип
4
|
ячеистый
бетон
|
400
|
100
120
|
1,54
1,82
|
18
|
-
|
-
|
16
|
16
|
1,07
|
2,65
|
3,32
3,43
|
|
Марка
изделия
|
Марка
бетона или армирования
|
Расход
материалов (кг) для плит 3*6
|
Масса
изделия
|
|
|
Бетон,
м3
|
Сталь,
кг
|
|
|
А
- 1У
|
Ат
- 1У
|
Ат
- У
|
Ат
-У1
|
А
III В
|
|
А
- 1У
|
Ат
- 1У
|
Ат
- У
|
Ат
-У1
|
А
III В
|
|
|
ПГ
- 1х)
|
250
|
250
|
250
|
350
|
250
|
1,07
|
68
|
68
|
64
|
64
|
73
|
2,65
|
|
ПГ
- 2х)
|
|
|
300
|
|
|
|
78
|
78
|
74
|
77
|
83
|
|
|
ПГ
- 3х)
|
300
|
300
|
|
|
300
|
|
86
|
86
|
81
|
91
|
92
|
|
|
ПГ
- 4х)
|
|
|
350
|
|
|
|
101
|
101
|
96
|
106
|
107
|
|
|
ПГ
- 5х)
|
350
|
350
|
|
400
|
350
|
|
118
|
118
|
112
|
130
|
130
|
|
|
ПГ
- 6х)
|
400
|
400
|
4000
|
-
|
400
|
|
148
|
148
|
138
|
-
|
-
|
|
|
Марка
изделия
|
Расчетная
нагрузка в кгс/м2 на плиту с учетом веса плиты175(160) кгс/м2
|
|
А
- 1У
|
Ат
- 1У
|
Ат
- У
|
Ат
-У1
|
А
III В
|
|
ПГ
- 1х)
|
360(300)
|
360(300)
|
360(300)
|
400(330)
|
360(300)
|
|
ПГ
- 2х)
|
470(380)
|
470(380)
|
470(380)
|
540(470)
|
470(380)
|
|
ПГ
- 3х)
|
580(470)
|
580(470)
|
580(470)
|
700(550)
|
580(470)
|
|
ПГ
- 5х)
|
880(690)
|
880(690)
|
880(690)
|
1000(760)
|
830(640)
|
|
ПГ
- 6х)
|
1000(760)
|
1000(760)
|
1000(760)
|
|
1000(760)
|
. Сырьё и полуфабрикаты. Подбор и корректировка
состава бетона
Цемент.
Складирование и хранение цемента производится в
специализированном прирельсовом складе силосного типа. Герметичность склада
должна обеспечивать защиту цемента от атмосферной и грунтовой влаги.
Цемент поступает на склад в саморазгружающихся
автоцементовозах с пневмовыгрузкой и в саморазгружающихся железнодорожных
вагонах бункерного типа с гравитационной выгрузкой или в цистернах с
пневмовыгрузкой.
Цемент хранят по видам, маркам и партиям от
различных поставщиков раздельно в силосах. Во избежание слёживания цемент
периодически перекачивают из силоса в силос. Ёмкости для хранения цемента
оснащаются аэрационными сводообразующими устройствами.
При длительном хранении (свыше одного месяца)
необходимо обязательно проверять активность цемента перед применением для
приготовления бетонной смеси.
Заполнители.
Хранение заполнителей осуществляется в крытом
складе закрытого эстакадно-полубункерного типа.
Поступающие на завод заполнители разгружаются в
специальный приемный бункер, откуда наклонным ленточным транспортёром подаются
к ленточному конвейеру, распределяющему заполнители по площади склада (щебень,
керамзитовый гравий и песок в соответствующие отсеки склада).
На складе заполнители принимают по объёму или
массе в состоянии естественной влажности.
Объём заполнителей при необходимости определяют
в транспортных средствах, а массу путём взвешивания.
Складирование и хранение заполнителей
осуществляется отдельно по фракциям. Смешивание заполнителей различных фракций
при складировании не допускается.
Для пароизоляции применяется рубероид и изол,
которые хранятся на складе в рулонах.
Арматура.
Поступающая на завод арматура разгружается
мостовыми кранами, для этого в складах проложены железнодорожные подъездные
пути и устроены подъезды для автомобильного транспорта.
Арматурную сталь и проволоку следует хранить в
закрытых складах рассортированными по классам, диаметрам и поставщикам на
стеллажах или штабелями связок со свободными проходами, в условиях, исключающих
коррозию и загрязнение. Допускается хранить арматурную сталь и проволоку под
навесом при условии защиты от влаги. Не допускается хранение арматурной стали и
проволоки на земляном полу, а также вблизи агрессивных химических веществ.
Каждая партия арматурной стали и проволоки
должна сопровождаться специальным документом-сертификатом, в котором
указывается наименование завода-поставщика, дата и номер заказа, диаметр и
марка стали, время и результаты проведения испытаний, масса партии, номер
стандарта.
При складировании арматурной стали и проволоки
следует проверять наличие ярлыка (бирки) с указанием: товарного знака
завода-изготовителя; марки стали; номера плавки; размера; класса арматурной
стали или проволоки; массу (кг); номер заказа, дополнительную маркировку, а
также сверять содержание ярлыка (бирки) и окраски концов арматурных стержней
несмываемой краской.
Добавка.
Химическая добавка сульфат натрия «СН» должна
храниться на закрытых сухих складах или в металлических емкостях, исключающих
попадание влаги в добавку.
Проектирование номинального состава тяжелого
бетона
Исходные данные для проектирования состава
бетонной смеси: класс по прочности при сжатии В35, удобоукладываемость бетонной
смеси ОК=5-7 см.
Портландцемент:
активность Rц=50,6
МПа
истинная плотность rи.ц=3100
кг/м3
насыпная плотность rн.ц=1200
кг/м3
Песок:
истинная плотность rи.п=2500
кг/м3
насыпная плотность rн.п=1450
кг/м3
модуль крупности Мк=1,66
Щебень:
средняя плотность зерен rс.щ=2700
кг/м3
насыпная плотность rн.щ=1300
кг/м3
размер фракций D=10
мм
Определение водоцементного отношения:
;
где А1 - коэффициент учитывающий
качество материалов, равный 0,60;
Rб - предел прочности бетона на
сжатие.
Определение расхода воды:
Расход воды назначаем в зависимости
от подвижности бетонной смеси (ОК) и от наибольшей крупности щебня.
В=210 л/м3.
Определение расхода цемента:
кг/м3.
. Определяем расход щебня:
кг/м3,
где a - коэффициент раздвижки зерен щебня равный
1.45;
. Определение расхода песка:
кг/м3
В результате проведенных расчетов
получен следующий номинальный состав бетона:
Цемент 381,8кг/м3;
Вода 210 кг/м3;
Песок 692,8 кг/м3;
Щебень 1052,2 кг/м3;
Итого 2336,8 кг/м3.
Увеличиваем расход заполнителей на
2,5 %
Песок 692,8*1,025=710,1 кг/м3;
Щебень 1052,2*1,025=1078,5 кг/м3;
Итого 1078,5+710,1+210+381,8=2380,4
кг/м3.
Корректирование состава бетона с
учетом влажности заполнителей.
Определяем количество воды в
заполнителях:
П=710,1*0,12=85,2 кг;
Щ=1078,5*0,08=86,3кг.
Количество воды в заполнителях равно
Вз=85,2+86,3=171,5 кг. Следовательно
воды нужно
Вобщ=В-Вз=210-171,5=38,5 кг.
В/Ц=38,5/381.8=0,1, что нас не
устраивает. Следовательно нужно высушить заполнитель. Высушиваем до следующей
влажности Wщ = 4%; Wп = 3%.
Количество воды в заполнителях в
этом случае будет следующее:
кг;
кг.
В = 210 - 62,06 = 147,94 кг.
В/Ц = 0,39
Получаем
Б = 1120+730,66+147,94+381,8 =
2380,4 кг/м3.
Проектирование номинального состава
керамзитобетона
Исходные данные для проектирования состава
бетонной смеси: класс по прочности при сжатии В25. Жесткость смеси 20-30 с.
Бетон плотностью 1300 кг/м3.
гравий:
размер фракций D=10
мм
Предварительный расход цемента составляет 420 кг
для бетона с маркой по прочности крупного заполнителя П150. Учитывая, что
подвижность бетонной смеси 1-2 см, то вводится поправочный коэффициент 1.07.
Тогда расход цемента:
Ц=420×1,07=449,4 кг
Ориентировочный расход воды В0=205 кг
Расход керамзитового гравия:
К=1000×j×rц.т=1000×0,49×0,8=392
кг
где j - объемная
концентрация
rц.т - средняя плотность зерен гравия в цементном
тесте.
Расход плотного песка:
П=rб.сух
-1,15Ц-К=1300-1,15×449,4-392=391,2 кг
Определяем общий расход воды:
В=В0+ВК+ВЦ+ВПЛ=205+1,8+0+3,91=210,71 кг
где ВПЛ - поправка на водопотребность плотного
песка:
ВПЛ=0,01×П×(ВП
-7)=0,01×391,2×1=3,91
кг
ВП - водопотребность песка
ВК = 2000(j-0,37)2=1,8 кг
ВК - поправка на обхемную концентрацию
керамзитового гравия
ВЦ=0,15(Ц-450) определяется, если расход цемента
более 450 кг/м3
Итого состав керамхитобетона:
Ц=449,4 кг
П=391,2 кг
В=210,71 кг
К=392 кг
Бетонная смесь имеет плотность 1443,3 кг/м3
Для ускорения сроков твердения в бетон добавляют
химическую добавку сульфат натрия (СН) в количестве:
Для тяжелого бетона Д=381,8×0,01=3,81
кг/м3
Для керамзитобетона Д=449,4×0,02=8,98
кг/м3
Требования к применяемым материалам
Цемент должен соответствовать ГОСТ 10178-85
«Портландцемент и шлакопортландцемент. Технические условия». Применение
портландцемента III
группы с активными минеральными добавками по массе свыше 5 % допускается при
экономическом обосновании и положительных результатах заданных показателей
качества при испытании контрольных кубов-образцов подборов составов по СТБ
1182-99.
Щебень должен соответствовать ГОСТ 8267-93
«Щебень и гравий из плотных горных пород для строительных работ. Технические
условия». Щебень с зернами крупностью свыше 15 мм не допускается применять при
приготовлении бетонной смеси. Керамзит должен соответствовать ГОСТ9757-90
«Гравий, щебень и песок искусственные пористые.
Технические условия».
Песок должен соответствовать ГОСТ 8736-93 «Песок
для бетонов и растворов. Технические условия». Модуль крупности песка 1,5-2,0.
Вода должна соответствовать СТБ 1114-98 «Вода
для бетонов и растворов. Технические условия». При применении технической воды
испытания проводят один раз в год на содержание растворимых солей, сульфатов,
хлоридов и взвешенных частиц, а также на соответствие другим техническим
требованиям.
Химические добавки должны соответствовать нормативным
документам, по которым они выпускаются:
сульфат натрия - ГОСТ 21458-75.
Допускается применение других химических добавок
при изготовлении бетонной смеси при условии выполнения подбора состава бетона
по СТБ 1182-99.
Сталь арматурная. Для рабочей арматуры плит
перекрытий применяется сталь арматурная, указанная в рабочих чертежах изделий,
в том числе по ГОСТ 10884-94 «Сталь арматурная термомеханически упрочненная для
железобетонных конструкций. Технические условия», по ГОСТ 5781-82 «Сталь
горячекатаная для армирования железобетонных конструкций. Технические условия»,
по ТУ РБ 0477871.001-97 «Прокат арматурный горячекатаный и термомеханически
упрочненный для железобетонных конструкций».
Бетонная смесь для плит перекрытий должна
соответствовать СТБ1035-96 «Смеси бетонные. Технические условия». Показатель
удобоук-ладываемости бетонной смеси - жесткая Ж2-Ж4, с расслаиваемостью: не
более 0,2 % водоотделение и не более 3 % раствороотделение. Подбор состава
бетонной смеси следует производить по СТБ 1182-99 «Бетоны. Правила подбора
состава». Керамзитобетон должен соответствовать ГОСТ 25820-83 «Бетоны легкие.
Технические условия».
Петли для плит покрытий изготавливаются в
соответствии с рабочими чертежами и принимаются партиями отделом технического
контроля перед передачей формовочным цехам. При приемке партии петель
обязательно проверяется соответствие физико-механических свойств примененной
стали требованиям ГОСТ 5781-82 «Сталь горячекатаная для армирования
железобетонных конструкций. Технические условия».
Сетки, изготавливаемые на многоэлектродных
сварочных машинах, должны соответствовать требованиям ГОСТ 23279-85 «Сетки
арматурные сварные для железобетонных конструкций и изделий. Общие технические
условия».
Предельные отклонения размеров арматурных сеток
не должны превышать отклонений, указанных в рабочих чертежах, или приниматься
не более:
по длине отдельных стержней, расстоянию между
крайними стержнями по длине и ширине ± 5 мм;
по расстоянию между двумя соседними продольными
стержнями (кроме крайних) ± 6 мм.
Передача арматурных сеток формовочным цехам
осуществляется после приемки партии отделом технического контроля.
В партию допускается включать сетки из проволоки
класса Вр-1 с продольными стержнями одинакового диаметра и сетки из проволоки
одного класса и диаметра.
Расчет длины напрягаемого арматурного стержня
Требуемая длина отрезаемого при заготовке
напрягаемого арматурного стержня l0
определяется из расчета:
0= l3+2а,
где l3
- длина арматурной заготовки, равная расстоянию между внутренними опорными
поверхностями временных концевых анкеров;
а - длина конца стержня, используемая для
образования временного концевого анкера, мм.
Длина арматурной заготовки
lз = lY
- Δlо
- Δlс
- Δlф,
где lу
- среднее расстояние между опорными поверхностями упоров форм;
Δlо
- расчетное удлинение натянутой арматуры; Δlс
- величина деформации шайб высаженными головками и смятия высаженных головок;
Δlф
- продольная деформация формы или поддона.
Расчетное удлинение натянутой арматуры Δlо
Δlо
23 мм
- расстояние между наружными
гранями упоров формы, равна 6175 мм
=
H+10=10+15=25 мм,
где H - высота
шайбы после прессовки, равна 15 мм
l3 =
6175-23-1-3=6148 мм
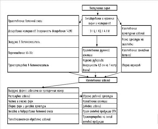
3. Технология производства.
Технологическая схема производства
Рисунок 3.1 - Технологическая схема производства
комплексных плит покрытия
бетон арматурный стержень смесь
Описание выполнения технологических операций,
включающее очистку и смазку форм, укладку и уплотнение бетонной смеси,
тепловлажностную обработку и режим выдержки изделий, отделку и комплектацию
изделий.
1 На посту распалубки
производится чистка поддонов вручную при помощи скребков и смазка - при помощи
щеток с кистью.
Очищенный и смазанный поддон
транспортируется конвейером на пост сборки форм.
Поступление в цех арматурных
стержней и сеток производится рельсовой тележке. Передача армирующих изделий к
посту армирования мостовым краном вначале смены с запасом и далее по
необходимости.
Нагрев арматурных стержней
производится на установке термонагрева на посту армирования до температуры, не
превышающей 400 °С. Производится укладка стержней на
упоры и замер предварительного натяжения стержней.
. Сборка поддона.
Установка закладных деталей,
продольных и поперечных арматурных сеток, укладка верхней сетки на фиксаторы и
фиксация их вязальной проволокой.
Транспортировка поддона на пост
формования и установка его на виброплощадку при помощи мостового крана или
конвейера.
Поступление в цех бетонной
смеси в самоходных бункерах по рельсам.
9 Выгрузка бетонной смеси в бункера
бетоноукладчика.
10 Укладка нижнего слоя бетона
(тяжелого бетона) и уплотнение вибрацией.
Укладка верхнего слоя
(керамзитобетона) бетона.
Окончательное уплотнение
бетонной смеси.
Транспортирование формы с
изделием в ямную камеру для термообработки с предварительной выдержкой.
Термообработка изделий
Транспортировка изделий с
поддоном на пост распалубки мостовым краном.
Извлечение изделия из формы и
транспортировка его на пост наплавления изоляции мостовым краном.
Раскатка и наплавление
рубероида на плиту.
Транспортировка плиты на пост
доводки изделий
Доводка изделий.
Транспортировка изделий на
самоходную тележку.
Проверка изделий отделом
контроля качества.
Маркировка одобренных ОТК
изделий.
23 Транспортирование изделий на склад готовой
продукции.
4. Режим работы цеха и производственная
программа
Намечают режим работы цеха, а
также определяют фонд рабочего времени рабочих и оборудования, устанавливают
производственную программу с учетом производительности оборудования и
определяют потребность в сырье.
Для большинства производств
рекомендуется принимать двухсменный режим работы с пятидневной рабочей неделей
и 260 рабочими днями в году.
Годовой фонд рабочего времени
оборудования в часах определяется поформуле:
Т = Nдн
×
Nсм ×
Тсм ×
Кв ;
где Nдн
- количество рабочих дней в году;
Nсм
- количество смен в сутки;
Тсм - продолжительность смены,
ч;
Кв - коэффициент использования
оборудования по времени, величина которого устанавливается нормами
технологического проектирования в пределах (0,8…0,97).Принимаем равным 0,8.
Т = 260 ×
2 ×
8 ×
0,8 = 3328 ч.
Результаты расчетов записывают
в табл. 4.1.
Таблица 4.1.
Расчет фонда рабочего времени
оборудования.
|
Наименование
отделения
|
Рабочих
суток в году
|
Рабочих
смен в году
|
Длительность
смены в час
|
Коэффициент
Использования оборудования
|
Годовой
фонд времени работы оборудования, ч.
|
|
Цех
по производству комплексных плит покрытия промышленных зданий
|
260
|
520
|
8
|
0,8
|
3328
|
Производственная программа цеха
рассчитывается по условной номенклатуре исходя из годового фонда работы
оборудования и оформляется в виде табл. 4.2.
Таблица 4.2.
Программа выпуска продукции.
|
Наименование
изделия или материала
|
Единица
измерения
|
Выпуск
изделия
|
|
|
в
год
|
в
сутки
|
в
смену
|
в
час
|
|
Комплексные
плиты покрытия
|
м3
шт
|
45000
15202
|
173,08
58
|
86,54
29
|
10,82
3
|
Объём изделия:
Vутеп
= 0,1*5,85*2,85 = 1,66 м3;
Vплиты
= 1,07 м3;
Vц.
р-ра = 0,23 м3;
Vизд.
= 1,66+1,07+0,23 = 2,96 м3.
5. График режимов ТВО
I зона - 2 ч
- подъем температуры;
II зона - 8 ч-
изометрическая выдержка;
III зона - 1,5
ч - остывание.
Для данного режима ТВО 11,5 (2+8+1,5) используем
две пропарочные камеры тоннельного типа.
Максимальный нагрев изделий составляет 60-65 °С,
ибо в данном случае при использовании химической добавки “СН “, бетон начинает
вспучивася.
6. Подбор оборудования и
тепловых установок
Бетоноукладчик - универсальный
6563/1м
Основные характеристики:
Максимальная ширина формуемых
изделий - 2м.
Скорость передвижения машины -
0,17- 0,25м/сек.
Количество бункеров - 1
Емкость бункера -1,7м3
Ширина колеи бетоноукладчика
-2,81м.
Вид питателя - ленточный,
ширина (В) = 2000мм.
Мощность двигателя - 7,3 кВт.
Габаритные размеры:
Длина - 3,215м.
Ширина - 3,825м.
Высота - 2,520м.
Масса - 3,762т.
Виброплощадка СМ 868
Основные характеристики:
Грузоподъемность - 8т.
Количество вибраторов - 8
Характер колебаний (вертикально
направленные, гармонические):
Частота колебаний - 50 в 1 сек.
Амплитуда колебаний - 0,6мм.
Момент деболансов - 51,2 Н*м.
Мощность двигателя - 28кВт.
Способ крепления формы к
виброплощадке - пневматический,
Габаритные размеры:
Длина - 7м.
Ширина - 2,33м.
Высота - 0,9
Масса вибрирующих частей - 3т.
Общая масса - 4,3т.
Установка для натяжения
стержневой арматуры - 6596С/25
Производительность - 30шт/ч.
Диаметр стержней - 10 - 25мм.
Длина стержней - 6,2м.
Мощность трансформатора -
50кВт.
Привод зажимных головок -
пневматический,
Габаритные размеры:
Длина - 5,57м.
Ширина - 1,4м.
Высота - 1,7м.
Масса - 1,441т.
Мостовой кран - ГП-16
Грузоподъемность - 16т.
Самоходная тележка - ВП-32
Грузоподъемность - 32т.
Отделочная машина - СМЖ - 461
Кантователь - СМЖ - 439А
Мостовой кран - ГП-10
Грузоподъёмность 10 т;
Мощность двигателя 12 кВт.
Определение габаритных размеров
и требуемого количества тепловых агрегатов
Для расчета принимаем:
1. Комплексная плита: l=6,00м;
b=3,00 м; h=0,3
м
2.
м - длина
формы;
.
м - ширина
формы;
.
м - высота
формы.
Определение габаритных
размеров:
· Ширину камеры находим по
формуле:
, (5.1)
где bФ=3,3 -
ширина формы, м; b1=0,3 - зазоры, необходимые для
установки стояков подающих пар, м n=1 т. к.bф>2
м.
· Высоту камеры
определяем по формуле:
, (5.2)
где hФ - высота
формы, м; h1=0,05 -
высота прокладок между формами м; h2=h3= =0.15
расстояние от пола до нижней поверхности изделия и от верхнего изделия до
крышки , м.
n2 количество
изделий по высоте
м.
· Длину камеры находим по
формуле:
, (5.3)
где lФ - длина
формы, м; lф>4 то n=1, l1=0.3
Lк=6,5*1+(1+1)*0,3=7,1
м
Определяем число установок:
-годовая производительность
цеха=45000м3;
- производительность цикла работы
установки;

время выдержки;
время загрузки и выгрузки изделия в
часах;
- суммарный объем бетона
одновременно обрабатываемого в одной установке;
м - число рабочох дней в году (250
дн.);
z -
продолжительность рабочей смены (8);
к - число смен (2);
Если D>5, то
резерв 1-2шт.
Принимаем количество пропарочных
ямных камер 8.
. Контроль производства
|
Объект
контроля
|
Контролируемый
параметр
|
Место
контроля (отбора пробы)
|
Периодичность
контроля
|
Кто
должен проводить контроль
|
Метод
контроля обозначение, НД
|
Средства
измерений
|
Оформление
результатов контроля
|
|
Наименование
|
Номинальное
значение
|
Предельное
отклонение
|
|
|
|
|
Тип,
марка, обозначение НД
|
Диапазон
измерений, погрешность
|
|
|
Приемка
цемента
|
Документ
о партии, паспорт
|
ПЦ-Д0,
ПЦ-Д марка более 500 ГОСТ 10178-85
|
|
Каждая
партия
|
При
поступлении на склад
|
Лаборатория
|
Визуально
|
|
|
|
|
Количество
поступающего цемента
|
По
паспорту
|
2%
|
Каждая
партия
|
При
поступлении на склад
|
Мастер
БСЦ
|
Взвешивание
|
Мешалка
МТ3, Чаша затворения ЧЗ, лопатка
|
|
Журнал
|
|
Определение
сроков схватывания
|
начало
схватывания не ранее 45мин.
|
10мин.
|
Каждая
партия
|
При
поступлении на склад
|
Лаборатория
|
ГОСТ301.3-76
|
Прибор
"Вика" с иглой
|
|
Паспорт,
протокол
|
|
Определение
равномерности изменения объема
|
|
|
Каждая
партия
|
При
поступлении на склад
|
Лаборатория
|
ГОСТ301.3-76
|
|
|
Протокол
|
|
Прочность
при изгибе, сжатии
|
5,9МПа
50МПа
|
-2,5
|
Каждая
партия
|
При
поступлении на склад
|
Лаборатория
|
ГОСТ310.4-81
|
ИМЧ-100
ПСЦ125
|
100000
кгс 125000кгс
|
Протокол
|
|
Приемка
песка
|
Документ
о партии, паспорт
|
|
|
Фургон,
машина
|
При
поступлении на склад
|
Лаборатория
|
Визуально
|
|
|
Журнал
|
|
Количество
поступающего песка
|
По
паспорту
|
|
Склад
заполнителей
|
При
поступлении на склад
|
Мастер
БСЦ
|
Визуально,
взвешивание
|
|
|
Журнал
|
|
Определение
зернового состава
|
Мк1,5-2,1
|
5%
|
Склад
заполнителей
|
При
поступлении на склад
|
Лаборатория
|
ГОСТ8735-93
|
Сита,
весы
|
Погрешность
взвешивания 0,1%
|
Журнал
|
|
Определение
влажности
|
4%
|
|
Склад
заполнителей
|
При
поступлении на склад
|
Лаборатория
|
ГОСТ8735-93
ГОСТ8736-93
|
Сушильный
шкаф, весы
|
|
Журнал
|
|
Определение
насыпной плотности
|
1,48-1,5
кг/м3
|
|
Склад
заполнителей
|
При
поступлении на склад
|
Лаборатория
|
ГОСТ8736-93
|
|
Погрешность
взвешивания 0,1%
|
Журнал
|
|
Приемка
щебня, гравия
|
Документ
о партии, паспорт
|
|
|
Фургон,
машина
|
При
поступлении на склад
|
Лаборатория
|
ГОСТ8207-93
|
|
|
Журнал
|
|
Количество
поступающего щебня, гравия
|
По
паспорту
|
|
Склад
заполнителей
|
При
поступлении на склад
|
Мастер
БСЦ
|
Визуально,
взвешивание
|
|
|
Журнал
|
|
Приемка
щебня, гравия
|
Определение
фракционного состава
|
5-20
|
>20
до 5%
|
Склад
заполнителей
|
При
поступлении на склад
|
Лаборатория
|
ГОСТ8269.0-97
|
Сита,
весы
|
Погрешность
взвешивания 0,1%
|
Журнал
|
|
Определение
влажности
|
3%,
8%
|
|
Склад
заполнителей
|
При
поступлении на склад
|
Лаборатория
|
ГОСТ8269.0-97
|
Сушильный
шкаф, весы
|
|
Журнал
|
|
Определение
насыпной плотности
|
1,35
кг/м3 0,8 кг/м3
|
|
Склад
заполнителей
|
При
поступлении на склад
|
Лаборатория
|
ГОСТ8269.0-97
|
|
Погрешность
взвешивания 0,1%
|
Журнал
|
|
Вода
техническая
|
Содержание
ионов K и Na водородный показатель окисленность мг/л, соответственно
|
1000
мг От.4до12 не более 15
|
|
|
Раз
в год
|
Лаборатория
|
СТБ1114-98
|
|
|
Протокол
|
|
Добавка
|
ускоритель
твердения сульфид натрия (СН)
|
Сухие
белые кристаллы
|
|
Склад
|
Каждая
партия
|
Лаборатория
|
ТУ14-625-80
|
|
|
Журнал
|
|
Изоляция
|
Рубероид
количество
|
По
паспорту
|
|
Склад
материалов
|
Каждая
партия
|
Мастер
склада
|
Визуально
|
|
|
Журнал
|
|
Смазка
форм
|
Условная
вязкость
|
7,5
|
|
|
Каждая
партия
|
Лаборатория
|
6258-85
|
Вискозиметр
|
0,1с
|
Журнал
|
|
Приемка
арматурной стали
|
Документ
о качестве
|
|
|
Склад
|
Каждая
партия
|
Лаборатория
|
Визуально
|
|
|
Журнал
|
|
Проверка
соотв. Диаметров
|
12мм
|
0,2мм
|
|
Каждая
партия
|
Лаборатория
|
Измерения
|
Штангенциркуль
|
|
Определение
предела текучести
|
По
НД в соответствии с классом стали
|
|
|
Каждая
партия
|
Лаборатория
|
12004-81
|
Разрывная
машина
|
ДН.КН
0-500 1%
|
Журнал
|
|
Относительное
удлинение Ат800, А240, соответственно
|
До8%
До27%
|
|
|
Каждая
партия
|
Лаборатория
|
12004-82
5781-82
|
|
ДН.КН
0-500 1%
|
|
|
Определение
изгиба в холодном состоянии
|
|
180
C с=0,5d
|
|
Каждая
партия
|
Лаборатория
|
14019-88
|
Пресс,
штангенциркуль
|
ДН.КН
0-1250 2%
|
|
|
Объект
контроля
|
Контролируемый
параметр
|
Место
контроля (отбора пробы)
|
Периодичность
контроля
|
Кто
должен проводить контроль
|
Метод
контроля обозначение, НД
|
Средства
измерений
|
Оформление
результатов контроля
|
|
Наименование
|
Номинальное
значение
|
Предельное
отклонение
|
|
|
|
|
Тип,
марка, обозначение НД
|
Диапазон
измерений, погрешность
|
|
|
Подбор
состава бетона
|
Класс
бетона
|
В35
|
9%
|
лаборатория
|
|
руководит.
|
испытания
образцов
|
Гидравлический
пресс
|
|
протоколы
испытаний
|
|
|
|
|
|
|
|
|
|
|
|
|
|
|
|
|
|
|
|
|
|
|
|
|
|
|
|
|
|
|
|
|
|
|
Формование
изделий
|
готовность
форм
|
чистая
поверхность
|
|
Пост
распалубки
|
До
смазки форм
|
Формовщик
|
Визуально
|
|
|
|
|
|
|
|
|
|
|
|
|
|
|
|
|
|
|
|
|
|
|
|
|
|
|
смазка
форм
|
равномерность
смазки, отсутствие подтеков
|
|
пост
смазки
|
до
заполнения форм бетоном
|
Мастер.
|
визуально
|
|
|
|
|
|
|
|
|
|
|
|
|
|
|
|
укладка
закладных деталей
|
по
рабочим чертежам
|
2
мм
|
Пост
армирования
|
при
каждой формовке
|
Мастер
|
визуально,
измерение
|
Линейка
ГОСТ 4271-94
|
1-500мм
+0,5 мм
|
|
|
|
|
|
|
|
|
|
|
|
|
|
|
|
|
|
|
|
|
|
|
|
|
заполнение
форм смесью
|
поверхность
смеси соотв. Поверхности формы
|
|
Пост
формовки
|
при
каждой формовке
|
Формовщик
|
визуально
|
|
|
|
|
|
|
|
|
|
|
|
|
|
|
|
|
|
|
|
|
|
|
|
|
|
|
|
|
|
|
|
|
|
|
|
|
|
структурная
прочность после распалубки
|
соблюдение
формы изделия, отсутствие обрыва граней
|
|
|
при
каждой формовке
|
Инженер
ОТК
|
визуально
|
|
|
|
|
|
|
|
|
|
|
|
|
|
|
|
|
|
|
|
|
|
|
|
|
|
|
|
|
|
|
|
|
|
|
|
|
|
|
|
|
|
|
|
|
|
|
|
|
Внутренние
размеры форм
|
Соответствие
геометрическим размерам изделий
|
-5мм
|
Пост
формовки
|
Раз
в квартал
|
Инженер
ОТК
|
Измерение
|
Линейка
|
1-500мм
+0,5 мм
|
|
|
Время
электронагрева
|
3мин
|
-1
|
Пост
армирования
|
Раз
в смену
|
Инженер
ОТК
|
Визуально
|
Секундомер
|
1с
|
Журнал
|
|
Тепловлажностная
обработка
|
Соблюдение
режима ТВО Продолжительность Выдержка, Подъем температуры, Изотермический
прогрев, охлаждение соответственно, ч.
|
|
1
1 2 2
|
Пропарочная
камера
|
Каждый
час
|
Лаборант
|
Наблюдение
|
Автоматизированная
система
|
По
паспорту приборов
|
Журнал
контроля температуры
|
|
Объект
контроля
|
Контролируемый
параметр
|
Место
контроля (отбора пробы)
|
Периодичность
контроля
|
Кто
должен проводить контроль
|
Метод
контроля обозначение, НД
|
Средства
измерений
|
Оформление
результатов контроля
|
|
Наименование
|
Номинальное
значение
|
Предельное
отклонение
|
|
|
|
|
Тип,
марка, обозначение НД
|
Диапазон
измерений, погрешность
|
|
|
Качество
готовых изделий
|
Определение
прочности, жесткости, трещиностойкости
|
По
рабочим чертежам
|
|
Готовая
продукция
|
Раз
в квартал
|
Инженер
ОТК
|
ГОСТ8829-84
|
По
методике аккредитованного подразделения
|
|
Протокол
|
|
Определение
марки по морозостойкости
|
50
циклов
|
|
Готовая
продукция
|
Раз
в квартал
|
Инженер
ОТК
|
ГОСТ10060.0-92
|
По
методике аккредитованного подразделения
|
|
Протокол
|
|
Толщина
защитного слоя
|
10
|
5
|
Готовая
продукция
|
Раз
в месяц
|
Инженер
ОТК
|
|
Прибор
ИСЗ
|
|
Журнал
|
|
Отклонение
геометрических размеров: по ширине, по толщине, по длине
|
8мм
4мм 10мм
|
|
Готовая
продукция
|
Ежедневно
|
Инженер
ОТК
|
Измерение
|
Рулетка
|
0,1мм
|
Журнал
|
|
Адгезия
бетона и изоляции
|
пустоты
не более 10см2
|
|
Готовая
продукция
|
Раз
в месяц
|
Инженер
ОТК
|
Соскребание
изоляции
|
Скребок
|
|
Журнал
|
|
Определение
марки по прочности
|
М400
|
5
|
Готовая
продукция
|
Раз
в квартал
|
Инженер
ОТК
|
ГОСТ10180-90
|
|
|
Протокол
|
|
Определение
параллельности опорных ребер
|
5мм
|
|
Готовая
продукция
|
Ежедневно
|
Инженер
ОТК
|
Измерение
|
Испытательный
стенд
|
|
Журнал
|
|
Складирование
изделий
|
Правильность
складирования, наличие печати ОТК
|
до
7 плит в табеле или не более 2м
|
|
Склад
готовой продукции
|
Сплошной
|
Инженер
ОТК
|
Визуально
ГОСТ13015.4-81
|
|
|
|
8. Техника безопасности, охрана труда и
окружающей среды
Производство плит
осуществляется по конвейерной технологии, связанной с работой машин,
механизмов, конвейеров и других устройств. Работа людей осуществляется в зоне
действия кранов.
В соответствии с
"Правилами техники безопасности и производственной санитарии в
промышленности строительных материалов" и СНиП Ш-4-80* «Техника
безопасности в строительстве» к самостоятельной работе с оборудованием по
производству плит допускаются лица не моложе 18 лет, прошедшие медицинский
осмотр и признанные годными, обученные правилам устройства и эксплуатации машин
и механизмов конвейерной линии, сдавшие экзамены по правилам эксплуатации и
имеющие удостоверение о сдаче экзамена по технике безопасности.
В целях предупреждения
производственного травматизма должны соблюдаться требования:
Все операции производственного
процесса должны осуществляться в строгой технологической последовательности и
соответствовать требованиям ГОСТ 12.3.002.-81.